| Скачать .docx | Скачать .pdf |
Реферат: Моделирование транспортных процессов
Содержание
Введение………………………………………………………………………. 3
1. Транспортная задача как разновидность методов и моделей
в управлении экономическими системами
1.1. Математическое моделирование в экономике:
построение экономико-математических моделей ………….….…. 5
1.2. Транспортная задача линейного программирования..………….. 14
2. Пример постановки и решения транспортной задачи
2.1. Риски коммерческого банка и современный
риск-менеджмент на примере ЮниКредит Банка…………...… 26
2.2. Внедрение новых технологий для совершенствования
системы оценки и управления банковскими рисками…….……. 31
Заключение………………………………………………………………..… 35
Список использованной литературы………………...…………………….. 37
Введение
1. Транспортная задача как разновидность методов и моделей в управлении экономическими системами
Экономическая система (англ. Economic system) — совокупность всех экономических процессов, совершающихся в обществе на основе сложившихся в нём отношений собственности и хозяйственного механизма. /10/. В современном мире для обеспечения устойчивого развития предприятия и получения высоких экономических результатов необходимо научиться управлению экономическими явлениями и процессами, что может быть достигнуто с помощью использования математического моделирования.
1.1. Математическое моделирование в экономике: построение экономико-математических моделей
Моделирование в научных исследованиях стало применяться еще в глубокой древности и постепенно захватывало все новые области научных знаний. Термин «модель» широко используется в различных сферах человеческой деятельности и имеет множество смысловых значений. В отношении экономики можно дать ряд определений слову «модель»:
1) упрощенное представление действительности, абстрактное обобщение, воплощенное в определенно форме /2/
2) упрощенное представление экономической действительности, показывающее взаимосвязи между выбранными экономическими переменными/3/
3) формализованное описание экономического процесса или явления, структура которого определяется как его объективными свойствами, так и субъективным целевым характером исследования/4/.
Под моделирование понимается процесс построения, изучения и применения моделей. Оно тесно связано с такими категориями, как абстракция, аналогия, гипотеза и др. Главная особенность моделирования в том, что это метод опосредованного познания с помощью объектов-заместителей. Модель выступает как своеобразный инструмент познания, который исследователь ставит между собой и объектом и с помощью которого изучает интересующий его объект.
Необходимость использования метода моделирования определяется тем, что многие объекты (или проблемы, относящиеся к этим объектам) непосредственно исследовать или вовсе невозможно, или же это исследование требует много времени и средств.
Процесс экономико-математического моделирования включает в себя три структурных элемента: объект исследования, субъект (исследователь), модель, опосредующую отношения между познающим субъектом и познаваемым объектом. Ниже представлена общая схема процесса моделирования:
· Постановка экономической цели и формирование критерия. На этом этапе требуется сформулировать сущность проблемы, правильно поставленную цель, принимаемые предпосылки и допущения; также необходимо выделить основные черты и свойства моделируемого объекта и изучить его структуру.
· Построения модели предполагает наличие определенных сведений об объекте-оригинале, поэтому на втором этапе происходит подготовка исходной информации, т.е. сбор и анализ данных исследуемого объекта. От правильного подбора данных для анализа зависит конечный результат моделирования. Анализ информации состоит из двух основных частей: первая часть предполагает подбор данных, а вторая – на базе имеющихся данных изучает объект или явление.
· На третьем этапе строится математическая модель. Этот этап формализации экономической задачи, т.е. выбор математического аппарата, отражающего условный образ объекта. Познавательные возможности модели определяются тем, что модель отображает лишь некоторые существенные черты исходного объекта, поэтому любая модель замещает оригинал в строго ограниченном смысле. Из этого следует, что для одного объекта может быть построено несколько моделей, отражающих определенные стороны исследуемого объекта или характеризующих его с разной степенью детализации.
· Далее следует математический анализ модели или конструирование модели. На этом этапе исследуются общие свойства модели и методы ее решений.
· Численное вычисление включает как разработку методов решения построенной модели, так и серию экспериментальных расчетов с учетом возможных вариантов конкретной задачи.
· На последнем этапе происходит анализ численных результатов и их применение. Модель проверяется на адекватность, т.е. рассматривается вопрос о правильности и полноте результатов моделирования и применимости их к практической деятельности.
Моделирование представляет собой циклический процесс, т.е. за первым циклом может последовать второй, третий и т.д. При этом знания об исследуемом объекте расширяются и уточняются, а первоначально построенная модель постепенно совершенствуется. /7/
Математическая модель некоторого объекта исследования – это его описание на математическом языке. /8/ При построении любой математической модели необходимо соблюдать и учитывать ряд принципов.
· Принцип информационной достаточности. При полном отсутствии информации об исследуемой системе построение ее модели невозможно. При наличии полной информации о системе ее моделирование лишено смысла. Существует некоторый критический уровень сведений о системе (уровень информационной достаточности), при достижении которого может быть построена ее адекватная модель.
· Принцип осуществимости. Создаваемая модель должна обеспечивать достижение поставленной цели исследования с вероятностью, существенно отличающейся от нуля, и за конечное время.
· Принцип множественности моделей. Данный принцип является ключевым. Речь идет о том, что создаваемая модель должна отражать в первую очередь те свойства реальной системы (или явления), которые влияют на выбранный показатель эффективности. Соответственно при использовании любой конкретной модели познаются лишь некоторые стороны реальности. Для более полного ее исследования необходим ряд моделей, позволяющих с разных сторон и с разной степенью детальности отражать рассматриваемый процесс.
· Принцип агрегирования. В большинстве случаев сложную систему можно представить состоящей из агрегатов (подсистем), для адекватного математического описания которых оказываются пригодными некоторые стандартные математические схемы. Принцип агрегирования позволяет, кроме того, достаточно гибко перестраивать модель в зависимости от задач исследования.
· Принцип параметризации. В ряде случаев моделируемая система имеет в своем составе некоторые относительно изолированные подсистемы, характеризующиеся определенным параметром, в том числе векторным. Такие подсистемы можно заменять в модели соответствующими числовыми величинами, а не описывать процесс их функционирования. При необходимости зависимость значений этих величин от ситуации может задаваться в виде таблицы, графика или аналитического выражения (формулы). Принцип параметризации позволяет сократить объем и продолжительность моделирования. Однако надо иметь в виду, что параметризация снижает адекватность модели.
Степень реализации перечисленных принципов и каждой конкретной модели может быть различной, причем это зависит не только от желания разработчика, но и от соблюдения им технологии моделирования. А любая технология предполагает наличие определенной последовательности действий
Общая цель моделирования может быть сформулирована следующим образом: это определение (расчет) значений выбранного показателя эффективности для различных стратегий проведения операции (или вариантов реализации проектируемой системы). При разработке конкретной модели цель моделирования должна уточняться с учетом используемого критерия эффективности. /9/
Любое экономическое явление и экономический процесс можно представить в виде взаимосвязанной системы элементов. Таким образом, при построении моделей объектов используется системный подход, представляющий собой методологию решения сложных задач, в основе которой лежит рассмотрение объекта как системы, функционирующей в некоторой среде. Системный подход предполагает раскрытие целостности объекта, выявление и изучение его внутренней структуры, а также связей с внешней средой. При этом объект представляется как часть реального мира, которая выделяется и исследуется в связи с решаемой задачей построения модели. Кроме этого, системный подход предполагает последовательный переход от общего к частному, когда в основе рассмотрения лежит цель проектирования, а объект рассматривается во взаимосвязи с окружающей средой. Сложный объект может быть разделен на подсистемы, представляющие собой части объекта, удовлетворяющие следующим требованиям:
· подсистема является функционально независимой частью объекта. Она связана с другими подсистемами, обменивается с ними информацией и энергией;
· для каждой подсистемы могут быть определены функции или свойства, не совпадающие со свойствами всей системы;
· каждая из подсистем может быть подвергнута дальнейшему делению до уровня элементов.
Таким образом, систему можно определить как представление объекта в виде набора подсистем, элементов и связей с целью его создания, исследования или усовершенствования. Для системного подхода важным является определение структуры системы, т.е. совокупности связей между элементами системы, отражающих их взаимодействие. /9/
Однако использование метода моделирование имеет ряд проблем:
· все экономические объекты являются сложными, поэтому изучение их трудоемко;
· при исследовании важное значение имеет информация. Она должна быть точной и достоверной, а затраты на ее сбор и время не должны превышать эффекта от использования модели;
· в большинстве случаев факторы носят случайный характер и учесть их влияние на объект исследования не всегда возможно.
Таким образом, любая социально-экономическая система представляет собой сложную систему, в которой взаимодействуют десятки и сотни экономических, технических и социальных процессов, постоянно изменяющихся под воздействием внешних условий, в том числе и научно- технического прогресса. В таких условиях управление социально- экономическими и производственными системами превращается в сложнейшую задачу, требующую специальных средств и методов, которыми обладает наука математическое моделирование. /6/
1.2. Транспортная задача линейного программирования
Задачей линейного программирования называется задача исследования операций, математическая модель которой имеет вид:
ФОРМУЛА 2штуки стр.190 учеб БЕРЕЖНАЯ
ЗЛП может решаться разными методами: графические, аналитические…
Под термином «транспортные задачи» понимается широкий круг задач не только транспортного характера. Общим для них является, как правило, распределение ресурсов, находящихся у т производителей (поставщиков), по п потребителям этих ресурсов.
На автомобильном транспорте наиболее часто встречаются следующие задачи, относящиеся к транспортным:
• прикрепление потребителей ресурса к производителям;
• привязка пунктов отправления к пунктам назначения;
• взаимная привязка грузопотоков прямого и обратного направлений;
•отдельные задачи оптимальной загрузки промышленного оборудования;
• оптимальное распределение объемов выпуска промышленной продукции между заводами-изготовителями и др.
Задача о размещении (транспортная задача)– это распределительная задача, в которой работы и ресурсы измеряются в одних и тех же единицах. В таких задачах ресурсы могут быть разделены между работами, и отдельные работы могут быть выполнены с помощью различных комбинаций ресурсов. Примером типичной транспортной задачи является распределение (транспортировка) продукции, находящейся на складах, по предприятиям-потребителям.
Стандартная транспортная задача определяется как задача разработки наиболее экономичного плана перевозки продукции одного видаиз нескольких пунктов отправления в пункты назначения. При этом величина транспортных расходов прямо пропорциональна объему перевозимой продукции и задается с помощью тарифов на перевозку единицы продукции.
Этапы построения модели транспортной задачи:
I. Определение переменных.
II. Проверка сбалансированности задачи.
III. Построение сбалансированной транспортной матрицы.
IV. Задание целевой функции.
V. Задание ограничений.
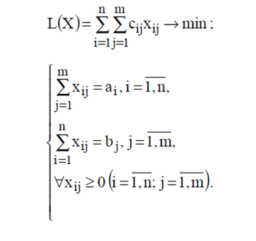
Целевая функция представляет собой общие транспортные расходы на осуществление всех перевозок в целом. Первая группа ограничений указывает, что запас продукции в любом пункте отправления должен быть равен суммарному объему перевозок продукции из этого пункта. Вторая группа ограничений указывает, что суммарные перевозки продукции в некоторый пункт потребления должны полностью удовлетворить спрос на продукцию в этом пункте. Наглядной формой представления модели ТЗ является транспортная матрица (табл. 4.1).

Необходимым и достаточным условием решения задачи является уравнение баланса: СМ лекция