| Скачать .docx | Скачать .pdf |
Реферат: Математическое моделирование экономических систем 2
СОДЕРЖАНИЕ
1. Основные понятия. Цели и этапы ММ, виды систем, динамика 3
2. Управление с использованием ММ 10
3. Практическая часть. Задачи 17
Список использованной литературы 23
Математическое моделирование экономических систем
1. ОСНОВНЫЕ ПОНЯТИЯ. ЦЕЛИ И ЭТАПЫ ММ, ВИДЫ СИСТЕМ, ДИНАМИКА
Целью математического моделирования экономических систем является использование методов математики для наиболее эффективного решения задач, возникающих в сфере экономики, с использованием, как правило, современной вычислительной техники.
Процесс решения экономических задач осуществляется в несколько этапов:
Первым этапом является содержательная (экономическая) постановка задачи. Вначале нужно осознать задачу, четко сформулировать ее. При этом определяются также объекты, которые относятся к решаемой задаче, а также ситуация, которую нужно реализовать в результате ее решения. Это - этап содержательной постановки задачи. Для того, чтобы задачу можно было описать количественно и использовать при ее решении вычислительную технику, нужно произвести качественный и количественный анализ объектов и ситуаций, имеющих к ней отношение. При этом сложные объекты, разбиваются на части (элементы), определяются связи этих элементов, их свойства, количественные и качественные значения свойств, количественные и логические соотношения между ними, выражаемые в виде уравнений, неравенств и т.п. Это - этап системного анализа задачи, в результате которого объект оказывается представленным в виде системы. Следующим этапом является математическая постановка задачи, в процессе которой осуществляется построение математической модели объекта и определение методов (алгоритмов) получения решения задачи. Это - этап системного синтеза (математической постановки) задачи. Следует заметить, что на этом этапе может оказаться, что ранее проведенный системный анализ привел к такому набору элементов, свойств и соотношений, для которого нет приемлемого метода решения задачи, в результате приходится возвращаться к этапу системного анализа. Как правило, решаемые в экономической практике задачи стандартизованы, системный анализ производится в расчете на известную математическую модель и алгоритм ее решения, проблема состоит лишь в выборе подходящего метода.
Следующим этапом является разработка программы решения задачи на ЭВМ. Для сложных объектов, состоящих из большого числа элементов, обладающих большим числом свойств, может потребоваться составление базы данных и средств работы с ней, методов извлечения данных, нужных для расчетов. Для стандартных задач осуществляется не разработка, а выбор подходящего пакета прикладных программ и системы управления базами данных.
На заключительном этапе производится эксплуатация модели и получение результатов.
Таким образом, решение задачи включает следующие этапы:
1. Содержательная постановка задачи.
2. Системный анализ.
3. Системный синтез (математическая постановка задачи).
4. Разработка или выбор программного обеспечения.
5. Решение задачи.
Последовательное использование методов исследования операций и их реализация на современной информационно-вычислительной технике позволяет преодолеть субъективизм, исключить так называемые волевые решения, основанные не на строгом и точном учете объективных обстоятельств, а на случайных эмоциях и личной заинтересованности руководителей различных уровней, которые к тому же не могут согласовать эти свои волевые решения.
Системный анализ позволяет учесть и использовать в управлении всю имеющуюся информацию об управляемом объекте, согласовать принимаемые решения с точки зрения объективного, а не субъективного, критерия эффективности. Экономить на вычислениях при управлении то же самое, что экономить на прицеливании при выстрелах. Однако ЭВМ не только позволяет учесть всю информацию, но и избавляет управленца от ненужной ему информации, а всю нужную пускает в обход человека, представляя ему только самую обобщенную информацию, квинтэссенцию. Системный подход в экономике эффективен и сам по себе, без использования ЭВМ, как метод исследования, при этом он не изменяет ранее открытых экономических законов, а только учит, как их лучше использовать.
1.1. Основные системные понятия
Кибернетическая система - это множество взаимосвязанных объектов - элементов системы, способных воспринимать, запоминать и перерабатывать информацию, а также обмениваться информацией. Система включает также связи между элементами. Элементы и связи между ними могут обладать свойствами (показателями), каждое из которых может принимать некоторое множество значений. Примеры кибернетических систем: автопилот, регулятор температуры в холодильнике, ЭВМ, человеческий мозг, живой организм, биологическая популяция, человеческое общество.
Каждый элемент системы, в свою очередь, может быть системой, которая по отношению к исходной системе является подсистемой . В свою очередь, любая система может быть подсистемой другой системы, которая по отношению к ней является надсистемой .
Средой данной системы называется система, состоящая из элементов, не принадлежащих этой системе.
Объединение двух систем есть система, составленная из элементов объединяемых систем.
Пересечение двух систем есть система, состоящая из элементов, принадлежащих одновременно обоим этим системам.
Объединение системы и ее среды называется система-универсум .
Пересечение системы и ее среды называется пустой системой . Она не содержит ни одного элемента.
Для того, чтобы элементы системы могли воспринимать, запоминать и перерабатывать информацию, они должны обладать изменчивостью, т.е. менять свои свойства. Говорят, что элемент может находиться в разных состояниях . Каждый элемент характеризуется набором показателей. При изменении значения хотя бы одного из показателей элемент переходит в другое состояние, т.е. состояние элемента определяется совокупностью конкретных значений показателей элемента. Система в целом также может рассматриваться как элемент, она характеризуется своими показателями и может переходить из одного состояния в другое.
Показатели могут быть числовыми и нечисловыми. Числовые показатели могут быть непрерывными и дискретными. Нечисловые показатели обычно выражают в виде числовых, например - интеллект (коэффициент интеллекта), уровень знаний студента (оценка в баллах), отношение одного человека к другому (социологические индексы).
Элемент может осуществлять воздействие на другие элементы системы, изменяя их состояние. Для перехода элемента из одного состояния в другое требуется определенная энергия. Если физический процесс воздействия одного элемента на другой дает также энергию для перевода в другое состояние, то на второй элемент осуществляется энергетическое воздействие . Если же указанный процесс дает только сведения о состоянии воздействующего элемента, а энергия для перевода в другое состояние элемента, на который направлено воздействие, берется из иного источника, то на элемент осуществляется информационное воздействие . Говорят, что первый элемент передает сигнал второму элементу.
Сигнал есть сообщение о состоянии элемента.
В дальнейшем мы будем употреблять термин "передача сигнала" вместо "информационное воздействие" и "воздействие" вместо "энергетическое воздействие".
Состояние элемента может меняться самопроизвольно, или в результате сигналов и воздействий, поступающих извне системы.
Сообщение - это совокупность сигналов.
Сигналы, вырабатываемые элементами системы, могут поступать за пределы системы, в этом случае они называются выходными сигналами системы. В свою очередь, на элементы могут поступать сигналы извне системы, они называются входными . Аналогичным образом определяются входные и выходные воздействия .
Структура системы - это совокупность ее элементов и связей между ними, по которым могут проходить сигналы и воздействия.
Входами называются элементы системы, к которым приложены входные воздействия или на которые поступают входные сигналы.
Входными показателями называются те показатели системы, которые изменяются в результате входного воздействия или сигнала.
Выходами называются элементы системы, которые осуществляют воздействие или передают сигнал в другую систему.
Выходными показателями называются те показатели системы, изменения которых вызывают выходное воздействие или выходной сигнал, либо сами являются таким воздействием или сигналом.
1.2. Классификация систем.
Классификацию кибернетических систем мы проведем по двум критериям: степень сложности системы и ее детерминированность.
По степени сложности системы бывают:
1. Простые.
2. Сложные.
3. Сверхсложные.
К простым относятся системы, имеющие простую структуру и легко поддающиеся математическому описанию, они могут быть реализованы без использования ЭВМ.
Сложными являются системы, имеющие много внутренних связей и сложное математическое описание, реализуемое на ЭВМ.
Сверхсложные системы не поддаются математическому описанию.
Границы между указанными классами размыты и могут со временем смещаться, например, совершенствование математического аппарата и вычислительной техники позволяет дать описание систем, для которых это раньше было невозможно, или сложное описание сделать простым.
По второму критерию системы делятся на детерминированные и вероятностные.
Все возможные случаи получаются комбинированием указанных классов:
1. Простые детерминированные системы:
- холодильник с регулятором;
- система размещения станков в цехе;
- система автобусных маршрутов;
- семейный бюджет;
- расписание занятий факультета;
2. Сложные детерминированные системы:
- ЭВМ;
- цветной телевизор;
- сборочный автоконвейер;
3. Сверхсложные детерминированные системы:
- шахматы.
4. Простые вероятностные системы:
- лотерея;
- система статистического контроля продукции на предприятии;
5. Сложные вероятностные системы:
- система материально-технического снабжения на предприятии;
- система диспетчирования движения самолетов вблизи крупного аэропорта;
- система диспетчирования энергетической системы России;
6. Сверхсложные вероятностные системы:
- предприятие в целом, включая все его технические, экономические, административные, социальные характеристики;
- общество;
- человеческий мозг.
В нашем курсе мы будем интересоваться, главным образом, простыми и сложными системами, вероятностными и детерминированными.
1.3. Динамика системы
Состояние системы - это совокупность значений ее показателей.
Все возможные состояния системы образуют ее множество состояний . Если в этом множестве определено понятие близости элементов, то оно называется пространством состояний .
Движение (поведение ) системы - это процесс перехода системы из одного состояния в другое, из него в третье и т.д.
Если переход системы из одного состояния в другое происходит без прохождения каких-либо промежуточных состояний, то система называется дискретной .
Если при переходе между любыми двумя состояниями система обязательно проходит через промежуточное состояние, то она называется динамической (непрерывной) .
Возможны следующие режимы движения системы:
1) равновесный, когда система находится все время в одном и том же состоянии;
2) периодический, когда система через равные промежутки времени проходит одни и те же состояния;
Если система находится в равновесном или периодическом режиме, то говорят, что она находится в установившемся или стационарном режиме.
3) переходный режим - движение системы между двумя периодами времени, в каждом из которых система находилась в стационарном режиме;
4) апериодический режим - система проходит некоторое множество состояний, однако закономерность прохождения этих состояний является более сложной, чем периодические, например, переменный период;
5) эргодический режим - система проходит все пространство состояний таким образом, что с течением времени проходит сколько угодно близко к любому заданному состоянию.
Свойства объекта и его поведение зависят от того, каким образом мы его представляем в виде системы. Например, если воздух, находящийся в этой комнате, представить в виде системы молекул, каждая из которых характеризуется своими координатами и скоростью, то поведение такой системы будет эргодично, если же определить его как систему, состоящую из одного элемента, показателями которого являются давление и температура, то такая система находится в равновесном режиме.
Для всех практических задач второй способ определения системы предпочтительнее. Мы получаем простую детерминированную систему, а в первом случае - сверхсложную вероятностную, которую мы не сможем исследовать, а если бы даже смогли, то нигде бы не использовали полученные результаты. Необходимо правильное определение системы и при исследовании экономических объектов, которыми мы желаем управлять. Инструментом исследования объектов для целей выбора оптимальных способов управления является кибернетическое моделирование.
1.4. Кибернетическое моделирование
В процессе исследования объекта часто бывает нецелесообразно или даже невозможно иметь дело непосредственно с этим объектом. Удобнее бывает заменить его другим объектом, подобным данному в тех аспектах, которые важны в данном исследовании. Например, модель самолета продувают в аэродинамической трубе, вместо того, чтобы испытывать настоящий самолет - это дешевле. При теоретическом исследовании атомного ядра физики представляют его в виде капли жидкости, имеющей поверхностное натяжение, вязкость и т.п. Управляемые объекты являются, как правило, очень сложными, поэтому процесс управления неотделим от процесса изучения этих объектов.
Модель - это мысленно представляемая или материально реализованная система, которая, отображая или воспроизводя объект исследования, способна замещать его так, что ее изучение дает новую информацию об этом объекте.
При моделировании используется аналогия между объектом - оригиналом и его моделью. Аналогии бывают следующими:
1) внешняя аналогия (модель самолета, корабля, микрорайона, выкройка);
2) структурная аналогия (водопроводная сеть и электросеть моделируются с помощью графов, отражающих все связи и пересечения, но не длины отдельных трубопроводов);
3) динамическая аналогия (по поведению системы) - маятник моделирует электрический колебательный контур;
4) кибернетические модели относятся ко второму и третьему типу. Для них свойственно то, что они реализуются с помощью ЭВМ. Смысл кибернетического моделирования заключается в том, что эксперименты проводятся не с реальной физической моделью объекта, а с его описанием, которое помещается в память ЭВМ вместе с программами, реализующими изменения показателей объекта, предусмотренные этим описанием.
С описанием производят машинные эксперименты: меняют те или иные показатели, т.е. изменяют состояние объекта и регистрируют его поведение в этих условиях. Часто поведение объекта имитируется во много раз быстрее, чем на самом деле, благодаря быстродействию ЭВМ. Кибернетическую модель часто называют имитационной моделью.
Формирование описания объекта (его системный анализ) является важнейшим звеном кибернетического моделирования. Вначале исследуемый объект разбивается на отдельные части и элементы, определяются их показатели, связи между ними и взаимодействия (энергетические и информационные). В результате объект оказывается представленным в виде системы. При этом очень важно учесть все, что имеет значение для той практической задачи, в которой возникла потребность в кибернетическом моделировании, и вместе с тем не переусложнить систему.
Следующим этапом является составление математических моделей эффективного функционирования объекта и его системной модели. Затем производится программирование описания и моделей его функционирования.
2. УПРАВЛЕНИЕ С ИСПОЛЬЗОВАНИЕМ ММ
2.1. Понятие управления
Управление - это такое входное воздействие или сигнал, в результате которого система ведет себя заданным образом. Обычно управление направлено на то, чтобы система находилась в стационарном режиме (равновесном или периодическом).
Управление развитием системы - это воздействия или сигналы, направленные на изменение структуры или множества состояний системы. Например, план реконструкции предприятия. В этом случае осуществляется управление поведением системы, которая реализует развитие данной системы.
Таким образом, управление всегда имеет определенную цель. Обычно она формулируется как ограничение на множество возможных состояний системы, или какой-либо показатель системы, который нужно поддерживать в заданных пределах, либо максимизировать. Если известна зависимость указанного показателя от входных воздействий на систему, или ее состояния, то он называется целевой функцией.
Часто цель не может быть достигнута сразу, а необходимо пройти несколько этапов, на каждом из которых имеется локальная цель, не совпадающая с главной целью. Эти локальные цели называются задачами управления. Пример: автобус идет по маршруту. Цель - конечный пункт. Задача - проехать по данной улице. Может оказаться, что направление движения по улице сильно отличается от направления на конечный пункт.
Для осуществления процесса управления нужно наличие трех элементов:
- управляемый объект;
- орган управления;
- исполнительный орган.
Орган управления - это система, на вход которой поступают сигналы о состоянии управляемого объекта и среды, а на выходе - сигнал о необходимом в данной ситуации управлении.
Исполнительный орган - это система, на вход которой поступает сигнал о необходимом управлении, а на выходе вырабатывается управляющее воздействие на управляемый объект.
Система управления объединяет орган управления и исполнительный орган.
Системы управления бывают следующими:
1) ручные - без использования вычислительной техники;
2) автоматизированные - используется вычислительная техника, которая принимает на себя основной поток информации, однако человек остается важнейшим звеном системы управления, функцией которого является принятие решений либо утверждение решений, выработанных ЭВМ;
3) автоматические - человек не участвует в процессе управления и не входит в данную систему управления. Обычно он осуществляет контроль за правильностью функционирования объекта управления и вмешивается только при возникновении особых (например, аварийных) ситуаций. В автоматических системах управления человек является звеном другой системы управления, для которой управляемым объектом является данная автоматическая СУ с ее управляемым ею объектом.
2.2. Схема управления
z B
![]() |
|
|
|
x y
ИО
УО - управляемый объект;
ОУ - орган управления;
ИО - исполнительный орган;
ИЭ - источник энергии управляющих воздействий;
x - управление (вход УО);
y - выход УО, характеризующий его состояние (результат управления);
u - управляющий сигнал;
В - возмущения среды;
z - информация, поступающая в ОУ.
Исполнительный орган изображен в виде вентиля, что отражает процесс, происходящий в нем: маломощное воздействие приводит в движение большой поток энергии, который идет в УО в качестве управляющего воздействия (выключатель, кран и т.п.), т.е. ОУ сам является исполнительным органом по отношению к ИО.
2.3. Способы управления
Различают три способа управления, в зависимости от того, на основании какой информации ОУ формирует управляющий сигнал.
1) Управление по отклонению - используются сведения об изменениях выхода УО, его поведения. Этот способ реализует замкнутая схема управления.
![]() |
z
![]() |
|
|
|
x y
ИО
Здесь имеется замкнутый контур y -> u -> x -> y , поэтому такая схема управления называется замкнутой. Связь ОУ -> УО называется прямой, УО -> ОУ - обратной связью.
Обратная связь может быть положительной и отрицательной. Положительная обратная связь такая, при которой увеличение y приводит к таким значениям x, которые влекут дальнейший рост y, при отрицательной - рост y приводит к значениям x, вызывающим уменьшение y.
Примеры положительной обратной связи: цепные реакции, взрыв, система аварийной сигнализации. Во всех подобных случаях небольшое отклонение должно вызвать как можно более энергичную реакцию управляемого объекта.
Отрицательная обратная связь осуществляется, например, при управлении запасом товаров на складе: при возникновении существенного отклонения запаса от нормативного предпринимаются меры по устранению этого отклонения - завоз товаров, либо реализация излишка.
2) Управление по возмущению или нагрузке - используются сведения о возмущающих воздействиях на управляемый объект со стороны окружающей среды. Этот способ управления реализует разомкнутая схема управления .
+-------+ ¦
¦ ОУ ¦<-------------------¦
+-------+ ¦B
¦ ¦
¦u \¦/
+-------+ ¦ +-------+
¦ ИЭ ¦_____________¦\¦/¦__________________¦ УО ¦____________
+-------+ ¦/ \¦ x +-------+ y
3) Комбинированное управление является сочетанием двух предыдущих способов управления.
+-------+ ¦
¦ ¦<-------------------¦---------+
¦ ОУ ¦<-------------------¦ ¦
+-------+ ¦B ¦
¦ ¦ ¦
¦u \¦/ ¦
+-------+ ¦ +-------+ ¦
¦ ИЭ ¦_____________¦\¦/¦__________________¦ УО ¦_____¦______
+-------+ ¦/ \¦ x +-------+ y
Замкнутая система управления позволяет быстро реагировать на нежелательные отклонения в поведении объекта, с целью устранить эти отклонения. Однако она не следит за причинами, вызвавшими отклонения. В результате объект может выйти из-под контроля, а управление только замедлит его нежелательное поведение. Пример: лечение рака аспирином. Замкнутая система поддерживает равновесие, она обеспечивает достижение цели управления, когда возмущающих воздействий много и не все они могут быть измерены, а также когда заранее не известно влияние возмущений на управляемые величины.
Разомкнутая система управления учитывает причины (возмущения среды), которые вызывают то или иное поведение объекта. Она позволяет лечить болезнь, а не симптомы. Однако результат управления проявляется медленно, может оказаться, что объект уже пришел в нужное состояние, однако продолжаются управляющие воздействия, которые выводят его из этого состояния.
Если СУ реагирует на каждое, даже случайное, отклонение, то может возникать "рысканье" системы, ее неустойчивость.
Комбинированная СУ позволяет осуществлять учет длительно действующих, запаздывающих по своему действию причин (возмущения среды) и фактических результатов управления (поведения объекта). Вначале происходит грубая настройка объекта на условия его работы, затем точное регулирование в соответствии с фактическим поведением объекта.
2.4. Задачи управления
Имеются четыре основных задачи управления:
1) стабилизация;
2) программное управление;
3) слежение;
4) оптимальное управление.
Стабилизация системы - это поддержание ее выходных показателей вблизи заданных значений у0.
+----------------+ y
¦ ¦<-----------------------------+
¦ |y-y0|< eps ¦ ¦
+----------------+ ¦B ¦
¦ ¦ ¦
¦u \¦/ ¦
+-------+ ¦ +-------+ ¦
¦ ИЭ ¦_____________¦\¦/¦__________________¦ УО ¦_____¦______
+-------+ ¦/ \¦ x +-------+ y
Примеры:
1) Система управления организма - поддержание температуры тела, давления крови и т.п.
2) электроснабжение - стабилизация напряжения и частоты тока.
3) управление народнохозяйственным комплексом - поддержание стабильных значений основных макроэкономических показателей.
Программное управление - поддержание выходных показателей вблизи заданных значений y0, зависящих от времени заданным образом. Схема - та же, с заменой y0 на y0(t).
Примеры:
1) вывод ракеты на спутниковую орбиту, причем наилучшая траектория У0(t) заранее известна - рассчитана, исходя из свойств земной атмосферы и тяготения;
2) станок с числовым программным управлением;
3) программа "500 дней".
4) федеральные и региональные целевые программы социально-экономического развития
Слежение - обеспечение как можно более точного соответствия между состоянием или поведением управляемого объекта и состоянием или поведением какого-либо другого объекта, которым управлять невозможно. Он рассматривается как составная часть среды.
+----------------+ y ¦
¦ ¦<-------------------¦---------+
¦ |y-y0|< eps ¦<-------------------¦ ¦
+----------------+ y0 ¦B ¦
¦ ¦ ¦
¦u \¦/ ¦
+-------+ ¦ +-------+ ¦
¦ ИЭ ¦_____________¦\¦/¦__________________¦ УО ¦_____¦______
+-------+ ¦/ \¦ x +-------+ y
Примеры:
1) управление производством товара в зависимости от неуправляемого спроса;
2) ритм и глубина дыхания, частота пульса в зависимости от физической нагрузки;
3) зенитная ракета и самолет противника;
4) антенна радиолокатора и самолет;
5) робототехническая система "глаз-рука".
При оптимальном управлении нужно наилучшим образом выполнить задачу, стоящую перед объектом, при заданных условиях и ограничениях.
+----------------+ y ¦
¦ y -> max ¦<-------------------¦---------+
¦ v <= y0 ¦<-------------------¦ ¦
+----------------+ y0 ¦B ¦
¦ ¦ ¦
¦u \¦/ ¦
+-------+ ¦ +-------+ ¦
¦ ИЭ ¦_____________¦\¦/¦__________________¦ УО ¦_____¦______
+-------+ ¦/ \¦ x +-------+ y
Примеры целевых функций: быстродействие, к.п.д., прибыль, расход сырья и полуфабрикатов в технологическом процессе.
2.5. Использование ЭВМ в процессе управления
Первоначально вычислительные средства использовались как вспомогательные, для выполнения отдельных, наиболее трудоемких операций обработки данных. Основной поток информации о состоянии управлемого объекта и управляющих воздействиях проходил через аппарат управления, состоящий из людей:
+-------+ +-----------+ y ¦
¦ ЭВМ +-------¦ Человек ¦<-------------------¦---------+
+-------+ ¦ ¦<-------------------¦ ¦
+-----------+ y0 ¦B ¦
¦ ¦ ¦
¦u \¦/ ¦
+-------+ ¦ +-------+ ¦
¦ ИЭ ¦_____________¦\¦/¦__________________¦ УО ¦_____¦______
+-------+ ¦/ \¦ x +-------+ y
Затем, в процессе совершенствования вычислительной техники, последняя стала рассматриваться преимущественно как средство обработки больших объемов информации, ЭВМ теперь следует использовать для восприятия и глубокой переработки информации, поступающей с управляемого объекта.
+----------+ информационный выход
¦ Человек ¦<---------+ ЭВМ
+----------+ ¦
¦ ¦
¦ ¦
¦ ¦
¦u ¦
¦ +-----------+ y ¦
_____¦\¦/¦_________¦ ЭВМ ¦<-------------------¦---------+
¦/ \¦ ¦ ¦<-------------------¦ ¦
+-----------+ y0 ¦B ¦
¦ ¦ ¦
¦u \¦/ ¦
+-------+ ¦ +-------+ ¦
¦ ИЭ ¦_____________¦\¦/¦__________________¦ УО ¦_____¦______
+-------+ ¦/ \¦ x +-------+ y
К сожалению, многие системы управления формируются по первому способу. Они создают гораздо больше проблем, чем решают. Не высвобождают управленческий персонал и не облегчают его работу, а наоборот - требуют дополнительного персонала и ресурсов. Нужно чтобы ЭВМ состояла при человеке, а не человек при ЭВМ. Но это требует коренной перестройки методов управления, навыков, имеющегося документооборота.
Нужно добиться того, чтобы руководитель получал именно ту информацию, которая ему нужна для принятия решений. Например, директор не должен знать, какие вагоны не поступили, какой груз находится в каждом вагоне, ему нужно знать по каким выпускаемым изделиям имеется недопоставка сырья. Если же директор не соглашается отказаться от лишней информации, значит он в своей деятельности подменяет начальника отдела снабжения, не умеет правильно руководить. ЭВМ берет на себя информационные входы СУ, избавляет от них человека. Часто стараются и ЭВМ избавить от лишней информации - для этого ставят в пунктах сбора данных микро и мини- ЭВМ, которые осуществляют первичную обработку данных перед отправкой в большую ЭВМ.
Практическая часть
Задача 1 . Предприятие производит продукцию двух видов из сырья трех типов. Определить максимум прибыли от реализации с учетом ограничений. Доля сырья первого типа продукции первого и второго вида равны 1 ед. и 2 ед., запасы – 200 ед. Доля сырья второго типа – 1 ед. и 4 ед., запасы – 300 ед. Доля сырья третьего типа – 4 ед. и 1 ед., запасы – 600 ед. Прибыль от единицы продукции первого вида – 5 ед., второго вида – 6 ед.
Решение:
Сведем исходные данные в таблицу:
| Тип сырья | Продукция | Запасы, ед. | |
| I вид | II вид | ||
| 1 | 1 | 2 | 200 |
| 2 | 1 | 4 | 300 |
| 3 | 4 | 1 | 600 |
| Прибыль, руб. | 5 | 6 | - |
Пусть Х1 и Х2 – количество изделий I и II вида.
Z (X) = 5Х1 +6Х2 → max – целевая функция.
Запишем систему ограничений:
Х1 +2Х2 ≤ 200
Х1 +4Х2 ≤ 300
4Х1 +Х2 ≤ 600
Условие неотрицательности:
Х1 ≥ 0; Х2 ≥ 0
(1) Х1 =0, тогда Х2 =100;
Х2 =0, тогда Х1 =200.
(2) Х1 =0, тогда Х2 =75;
Х2 =0, тогда Х1 =300.
(3) Х1 =0, тогда Х2 =600;
Х2 =0, тогда Х1 =150.
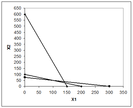
По полученным координатам точек строим 3 прямые.

Многоугольник ОАВСD содержит точки, которые являются допустимыми решениями, т.е. удовлетворяют системе ограничений и условию неотрицательности.
Точка С многоугольника ОАВСD является экстремумом функции.
Найдем ее координаты, решив уравнения прямых, на пересечении которых она лежит, т.е. (1) и (2).
Х1 +2Х2 ≤ 200
Х1 +4Х2 ≤ 300
Х1 = 200 – 2Х2
(200 – 2Х2 ) + 4Х2 ≤ 300
Х2 = 50
Х1 = 200 – 2·50 = 100.
Подставив в целевую функцию значения Х1 и Х2 , определим максимальную прибыль:
Z (X)max = 5Х1 +6Х2 = 5·100+6·50 = 800 (руб.)
Ответ: Оптимальный выпуск продукции I вида – 100 изделий, II вида – 50 изделий, что позволяет получить максимальную прибыль, равную 800 руб.
Задача 2. Для двух текстильных предприятий (ТП) хлопок закупается случайно n1 раз в течение квартала, при наличии хлопка на одном ТП – n2 раз. Хлопок перерабатывается на одном ТП за q1 часть канала, на двух ТП в 2 раза быстрее. Прибыль для одного работающего ТП составляет π1 , при простое одно ТП терпит убытки в u1 у.е. Определить среднюю прибыль двух ТП в стационарном режиме и в случае уменьшения времени переработки в Rt раз, если прибыль π1 увеличивается в Rπ раз. Принять решение о возможности уменьшения времени переработки.
Дано:
n1 = 2;
n2 = 6;
q1 = 0,12;
π1 = 11;
u1 = 3;
Rt = 1,7;
Rπ = 1.
Решение:
Интенсивность потока заявок, пришедших в систему
;
Среднее время обслуживания
;
Интенсивность потока обслуживания заявок
;
Коэффициент загрузки СМО
;
Определим вероятности двухканальной СМО:
р0 – оба канала свободны;
р1 – один канал свободен, один канал занят;
р2 – оба канала заняты.
;
;
.
Сумма вероятностей равна единице:
.
Определим среднюю прибыль:
,
.
В случае уменьшения времени переработки в Rt раз, если прибыль π1 увеличивается в Rπ раз, получим:
;
;
;
;
.
Сумма вероятностей равна единице:
.
![]()
Рассчитаем новую среднюю прибыль:
,
.
Ответ: В случае уменьшения времени переработки предприятие терпит убытки.
Задача 3. Найдите для получения максимальной прибыли за весь данный период времени управленческие решения о времени замены оборудования стоимостью С у. е., если прибыль от использования оборудования Р и затраты на его ремонт Zизменяются с течением времени Т.
Дано:
| С | Р | Z | ||||||||||
| Т= 0 | Т= 1 | Т= 2 | Т= 3 | Т= 4 | Т= 5 | Т= 0 | Т= 1 | Т= 2 | Т= 3 | Т= 4 | Т= 5 | |
| 10 | 9 | 9 | 9 | 9 | 9 | 9 | 1 | 2 | 4 | 4 | 8 | 9 |
Решение:
Определяем чистую прибыль от использования оборудования, расчеты сводим в таблицу 1:
π = Р – Z
Таблица 1
| Т= 0 | 1 | 2 | 3 | 4 | 5 | |
| Р | 9 | 9 | 9 | 9 | 9 | 9 |
| Z | 1 | 2 | 4 | 4 | 8 | 9 |
| π | 8 | 7 | 5 | 5 | 1 | 0 |
Дальнейшие расчеты приведены на рисунке 1.
Ответ: Максимальный эффект использования оборудования составит 20 у. е. при его замене после первого, второго или третьего года службы.
Список использованной литературы
1. Бездудный Ф.Ф., Павлов А.П. Математические методы и модели в планировании текстильной и легкой промышленности: Учебник для вузов. – М.: Легкая индустрия, 1979.
2. Бережная Е.В., Бережной В.И. Математические методы моделирования экономических систем: Учебное пособие. – М.: Финансы и статистика, 2006.
3. Васильков Ю.В., Василькова И.Н. Компьютерные технологии в математическом моделировании: Учебное пособие для вузов. – М.: Финансы и статистика, 2006.

