| Похожие рефераты | Скачать .docx | Скачать .pdf |
Курсовая работа: Аналитический метод в решении планиметрических задач
ФЕДЕРАЛЬНОЕ АГЕНТСТВО ПО ОБРАЗОВАНИЮ РОССИЙСКОЙ ФЕДЕРАЦИИ
САРАТОВСКИЙ ГОСУДАРСТВЕННЫЙ УНИВЕРСИТЕТ
ИМ. Н.Г. ЧЕРНЫШЕВСКОГО
Кафедра геометрии
Аналитический метод
в решении планиметрических задач.
Курсовая работа
Научный руководитель
Зав. кафедрой
Саратов 2008 год
Содержание
Введение.
I. Суть аналитического метода
1.1. У истоков аналитической геометрии
1.2. Основные понятия аналитической геометрии.
1.3. Метод координат на плоскости
1.4. Аффинная система координат на плоскости.
1.5. Декартова система координат на плоскости.
Прямая и окружность.
1.6. Аналитическое задание геометрических фигур.
Аналитическое условие и геометрические фигуры.
1.7. Алгебраические линии второго порядка
II. Применение аналитического метода
к решению планиметрических задач.
Заключение
Список используемых источников
введение
Большую роль в развитии геометрии сыграло применение алгебры к изучению свойств геометрических фигур, разросшееся в самостоятельную науку — аналитическую геометрию. Возникновение аналитической геометрии связано с открытием метода координат, являющегося основным ей методом.
Основными геометрическими фигурами, изучаемыми аналитической геометрией, являются точки, прямые, плоскости, линии и поверхности второго порядка. Именно имея ввиду аналитическую геометрию и ее метод, замечательный французский математик Софии Жермен (1776-1831) как-то сказал: «Алгебра – не что иное как записанная в символах геометрия, а геометрия – это просто алгебра, воплощенная в фигурах».
В своей курсовой работе я рассмотрела планиметрические задачи, рассчитанные на применение аналитических методов решения. Рассмотренные задачи должны показать единство геометрии, алгебры и математического анализа. Тенденция использованию при решении геометрических задач только геометрических методов препятствует приложениям алгебры и анализа в самой математике.
Целью данной курсовой работы является изучение применения аналитического метода к решению планиметрических задач.
Курсовая работа состоит из введения, двух глав, заключения и списка используемых источников.
Во введении описана актуальность темы, сформулирована цель, дана структура курсовой работы.
В первой главе даны основные понятия аналитической геометрии. Намечен курс дальнейшего исследования.
Во второй главе описывается применение аналитического метода в решении планиметрических задач.
В заключении сформулированы основные выводы к работе.
III. СУТЬ АНАЛИТИЧЕСКОГО МЕТОДА.
1.1. У истоков аналитической геометрии.
Идейные корни аналитической геометрии лежат в плодородной почве классической древнегреческой математики. Второй по своей эпохальности после гениальных евклидовых «Начал» фундаментальный трактат Апполония из Перги (ок. 260 – 170 гг. до н.э.) «Конические сечения» состоявший из 8 книг, из которых до нас дошли 7, содержал обстоятельные описания свойств эллипса, гиперболы и параболы, включая фокусы, касательные, сопряженные диаметры, начала теории поляр. От современной аналитической геометрии конических сечений его отделяло отсутствие удобной системы обозначений, которую принесла в математику значительно позже алгебры, пришедшая с арабского Востока. Отчетливое и исчерпывающее изложение метода координат и основ аналитической геометрии с введением системы обозначений, которой мы пользуемся до настоящего времени, было сделано великим французским математиком Рене Декартом в его книге «Геометрия» (1637). Основная идея этого метода – использование алгебры в геометрии – высказывалась также другим замечательным французским математиком, современником Декарта, Пьером Ферма (1601 – 1665). Именно Ферма впервые установил, что уравнения 1-ой степени задают прямые, а второй канонические сечения. Открытие метод координат дало мощный толчок к развитию всей математики, и, прежде всего, - математического анализа. В результате XVII век стал эпохой такого расцвета математических наук, которого она не испытывала со времен Древней Греции. Заметим, к слову, что понятие координат не является выдумкой математиков: оно заимствовано из практики, и в примитивной форме способом координат пользуются даже незнакомые с математикой люди. Напомним, например, отрывок из поэмы Некрасова: «Кому на Руси жить хорошо»:
Идите по лесу,
Против столба тридцатого
Прямёхонько версту:
Придёте на поляночку,
Стоят на той поляночке
Две старые сосны,
Под этими под соснами
Закопана коробочка.
Добудьте вы её...
рис. 1
Здесь 30 и 1 — координаты поляночки (в том смысле, в каком понимается задание координат предмета); за единицу длины принята верста (рис. 1).
1.2. Основные понятия аналитической геометрии.
Аналитическая геометрия не имеет строго определенного содержания и определяющим для нее является не предмет исследования, а метод. То есть аналитическая геометрия имеет своей задачей изучение свойств геометрических объектов при помощи аналитического метода.
В основе этого метода лежит так называемый метод координат, впервые систематически примененный Декартом.
Основные понятия геометрии (точки, прямые линии и плоскости) относятся к числу так называемых начальных понятий. Эти понятия можно описать, но всякая попытка дать определение каждого из этих понятий неизбежно сведется к замене определяемого понятия ему эквивалентным. С научной точки зрения логически безупречным методом введения указанных понятий является аксиоматический метод, в развитии и завершении которого величайшая заслуга принадлежит Гильберту.
Аксиоматический метод закладывает фундамент и для лежащего в основе аналитической геометрии метода координат. Ради простоты рассмотрим вопрос о введении координат на прямой. Возможность введения координат на прямой основывается на возможности установления взаимно однозначного соответствия между множеством всех точек прямой и множеством всех вещественных чисел.
Доказательство возможности установления такого соответствия базируется на аксиомах геометрии и на аксиомах (свойствах) множества вещественных чисел.
Метод координат представляет собой глубокий и мощный аппарат, позволяющий привлекать для исследования геометрических объектов. Благодаря универсальности подхода к решению различных задач, метод аналитической геометрии стал основным методом геометрических исследований и широко применяется в других областях точного естествознания – механике, физике.
Аналитическая геометрия объединила геометрию с алгеброй и анализом, что плодотворно сказалось на развитии этих трех разделов математики.
1.3.Метод координат на плоскости
Метод координат лежит в основе аналитической геометрии. Суть системы координат состоит в том, что тем или иным способом устанавливается соответствие между точками плоскости (геометрическими объектами) и упорядоченными парами вещественных чисел (алгебраическими объектами). Вследствие этого геометрические фигуры, представляющие собой множества точек плоскости, оказываются состоящими из таких точек, координаты которых удовлетворяют некоторым алгебраическим соотношениям (уравнениям, неравенствам или их системам). В результате изучение свойств геометрических фигур заменяется изучением свойств алгебраических соотношений, описывающих эти фигуры. Для их изучения, в свою очередь, применяются методы алгебры и математического анализа.
Способов введения на плоскости систем координат существует великое множество. В своей курсовой работе я рассмотрю аффинную (и её частный случай – декартову) систему координат на плоскости.
1.4. Аффинная система координат на плоскости.
Определение. Аффинная система координат (или аффинным репером ) на плоскости называется упорядоченная тройка точек этой плоскости не лежащих на одной прямой: R ={О, Е1 , Е2 }.
Рассмотрим тогда векторы: е(а)1 = ОЕ(а)1 и е(а)2 = ОЕ(а)2 (рис. 2). Поскольку точки О , Е1 , Е2 , не лежат на одной прямой, поэтому векторы е(а)1 и е(а)2 не коллинеарны, следовательно, они образуют базис совокупности V 2 всех векторов плоскости. Таким образом, мы приходим к упорядоченной тройке R ={О, е(а)1 , е(а)2 } , состоящей из точки О и двух неколлинеарных векторов е(а)1 и е(а)2 .
Обратно если дана упорядоченная тройка R
={О, е(а)1
, е(а)2
}
, состоящая из точки О
и двух неколлинеарных векторов е(а)1
и е(а)2
, то от неё легко перейти к тройке R
={О, Е1
, Е2
}
, отложив векторы е(а)1
и е(а)2
от точки О
и взяв соответственно концы этих векторов Е1
и Е2
: е(а)1
= ОЕ(а)1
и е(а)2
= ОЕ(а)2
. Ясно, что точки О
, Е1
, Е2
, не будут лежать на одной прямой, так как векторы е(а)1
и е(а)2
не коллинеарны.
Таким образом, мы приходим к выводу, что задание на плоскости системы координат как упорядоченной тройки точек R ={О, Е1 , Е2 }, не лежащих на одной прямой, равносильно заданию её как упорядоченной тройки R ={О, е(а)1 , е(а)2 }, состоящей из точки О и двух неколлинеарных векторов е(а)1 и е(а)2 . В результате в геометрическую картину, составленную из точек, вводятся векторы.
Первая точка О в системе координат R называется началом системы координат, а векторы е(а)1 и е(а)2 – её базисными или координатными векторами. Прямая ОЕ1 с направляющим вектором е(а)1 называется координатной осью Ох , или осью абсцисс, а прямая ОЕ2 с направляющим вектором е(а)2 называется координатной осью Оу , или осью ординат.
Пусть на плоскости задана система координат R ={О, е(а)1 , е(а)2 } и произвольная точка М. Вектор ОМ(а) = r(а) м называется радиус-вектором точки М относительно точки О (или системы координат R ).
Определение. Координатами точки М в системе координат R ={О, е(а)1 , е(а)2 } называются координаты её радиус-вектора ОМ(а) в базисе е(а)1 , е(а)2 , то есть коэффициенты х , у в его разложении в линейную комбинацию векторов базиса: М(х, у) R - ОМ(а) = хе(а)1 + уе(а)2 .
Итак, понятие координат точки тесно связывается с понятием координат вектора, а понятие системы координат для точек – с понятием базиса векторов. «Привязывая» векторный базис к фиксированной точке плоскости (началу координат), мы приходим к системе координат для точек. Если тот же векторный базис «привязать» к другому началу, мы получим другую систему координат для точек.
Векторы а(а) и в(а) коллинеарны тогда и только тогда, когда их координаты пропорциональны.
Каждой точке М плоскости поставим в соответствие вектор ОМ(а) . Координаты вектора ОМ(а) называются координатами точки М в данной аффинной системе координат. При этом если ОМ(а) = (х, у) , то пишут: М (х, у).
Пусть прямые, проведенные через точку М параллельно осям координат, пересекают оси координат соответственно в точках М1 и М2 (рис. 2). Тогда имеем
ОМ(а) = ОМ(а)1 + ОМ(а)2 .
С другой стороны,
ОМ(а) = хе(а)1 + уе(а)2 .
Следовательно,
х =ОМ(а)1 / е(а), у = ОМ(а)2 / е(а)2 .
Точки Е1 и Е2 имеют координаты: Е1 (1; 0), Е2 (0;1).
Если на плоскости даны две точки А (х1 , у1 ) и В (х2 , у2 ) , то координаты вектора АВ(а) вычисляются так:
АВ(а) = ОВ(а) - ОА(а) = (х2 - х1 , у2 - у1 ).
Пусть точка С
делит отрезок АВ
в данном отношении: 
Тогда
. Из правил действии над векторами в координатах следует, что координаты точки С
определяются формулами:
, ![]()
В частности, если С – середина отрезка АВ , то
, ![]()
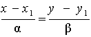
Рассмотрим различные способы задания прямой на плоскости.
Пусть требуется написать уравнение прямой l
, заданной в некоторой аффинной системе координат точкой М1
(х1
, у1
)
и ненулевым вектором
, параллельным прямой l
(рис. 3).
Вектор а(а) будет называться направляющим вектором прямой l .
Пусть М
(х, у)
– произвольная точка прямой l
. Тогда, согласно условию, векторы
и а(а)
коллинеарны тогда и только тогда, когда выполняется равенство
, или
ОМ(а) = ОМ(а)1 + tа(а),
где t – некоторое число (параметр). Это соотношение в координатах запишется так:

Полученные уравнения называют параметрическими уравнениями прямой.
При
и
эти уравнения равносильны следующему уравнению первой степени:
Если прямая задана двумя различными точками: А (х1
, у1
)
и В (х2
, у2
),
то вектор АВ(а) = (х2
- х1
, у2
- у1
)
является направляющим вектором прямой l
. Следовательно, при х1
х2
и у1
у2
получаем уравнение
,
которое называется уравнением прямой, проходящей через две точки.
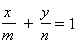
В частности, если прямая l
проходит через точки А (а
, 0)
и В
(
0, b
)
, отличные от начала координат, то уравнение прямой принимает вид
Это уравнение называется уравнением прямой в отрезках.
Исключая из параметрических уравнений прямой параметр t
. При
получим уравнение:
у - у1 = k (х - х1 ),
где
. Число k
называют угловым коэффициентом прямой. В частном случае, при х1
= 0 и у1
=
b
,
уравнение принимает вид
Если же
, то прямая l
параллельна оси О
y
, а её уравнение запишется так:
х = х1 .
Таким образом, всякую прямую на плоскости можно задать уравнение первой степени Ах + Ву + С = 0 , где хотя бы одно из чисел А и В отлично от нуля. Верно и обратное предложение: всякое уравнение первой степени Ах + Ву + С = 0 есть уравнение некоторой прямой в аффинной системе координат на плоскости.
При
уравнение Ах + Ву + С = 0
приводится к виду у =
k
х +
b
, где
, ![]()
Если же В = 0
и
, то оно принимает вид х = а
, где
.
1.5. Декартова система координат на плоскости. Прямая и окружность.
Определение. Декартовой (или ортонормированной, или прямоугольной ) системой координат на плоскости называется такая аффинная система координат, базисные векторы которой ортонормированны, то есть имеют единичные длины и ортогональны (перпендикулярны). Обозначение R = { O , i(а) , j(а) }; так что | i(а) | = | j(а) | = 1 , i(а) перпендикулярен j(а) .
При решении задач, в которых существенную роль играет понятие расстояния между двумя точками, применяется, декартова или прямоугольная система координат.
Пусть даны две точки: А (х1 , у1 ) и В (х2 , у2 ). Тогда, как известно,
.
Пользуясь формулой, запишем уравнение окружности с центром в точке С ( a , b ) и радиусом r :
.
Вышеизложенная теория прямой справедлива и для прямоугольной системы координат. В частности, при решении задач пользуются уравнением прямой с угловым коэффициентом k , проходящей через точку А (х1 , у1 ):
.
Отсюда следует, что угловой коэффициент прямой, заданной двумя точками А (х1 , у1 ) и В (х2 , у2 ), вычисляется по формуле

Угловой коэффициент в прямоугольной системе координат имеет следующий геометрический смысл:
, где
– величина угла от оси абсцисс до прямой l
.
Пусть прямые l 1 и l 2 заданы своими уравнениями с угловыми коэффициентами: у = k 1 х + b 1 и у = k 2 х + b 2 .
Если l
1
||
l
2
, то
, поэтому k
1
=
k
2
, и обратно, т.е. условие k
1
=
k
2
выражает признак параллельности прямых l
1
и l
2
.
Введем формулу для вычисления угла
между пересекающимися прямыми l
1
и l
2
(рис. 6).
Так как
и
,
, то

или

Полученную формулу для вычисления угла от прямой l 1 до прямой l 2 можно записать и так:

Отсюда следует, что
тогда и только тогда, когда k
1
k
2
= - 1
, т.е. условие k
1
k
2
= - 1
выражает признак перпендикулярности прямых l
1
и l
2
.
Приступая к решению геометрической задачи, следует рационально выбрать систему координат, присоединить её к данной фигуре наиболее естественным образом. Желательно, чтобы данные точки располагались на осях координат, тогда среди координат будут нули. Это позволит упростить вычисления.
1.6. Аналитическое задание геометрических фигур.Аналитическое условие и геометрические фигуры.
После того как на плоскости введена система координат, мы получаем возможность рассматривать на этой плоскости такие множества точек (а они - то и образуют те или иные геометрические фигуры), координаты х , у которых удовлетворяют тем или иным условиям (ограничениям). Эти условия могут носить характер уравнений, неравенств или систем уравнений и неравенств. Обратно, если на плоскости имеется некоторая геометрическая фигура (т.е. некоторое множество точек этой плоскости), то возникает задача нахождения аналитических условий, связывающих координаты х , у точек плоскости, которым удовлетворяют координаты всех точек данной фигуры и не удовлетворяют координаты никаких точек плоскости, не принадлежащих этой фигуре.
Аналитические условия, связывающие две переменных х, у и характеризующие фигуры Ф, с точки зрения математической логики представляют собой двухместный предикат Р(х, у) , заданный на множестве вещественных чисел: х, у Î R . Множество истинности этого предиката как раз и представляют собой такое множество пар действительных чисел х, у , которые служат координатами точек фигуры Ф и только таких точек. Этот факт записывают следующим образом:
Ф = {М(х, у): Р(х, у) – истинно}.
При этом, нетрудно понять, что если предикат Р(х. у) представляет собой конъюнкцию двух предикатов P 1 (х, у) Ù Р2 (х, у) , то фигура Ф есть пересечение двух фигур Ф = {М (х, у): Р1 (х, у) Ù Р2 (х, у) – истинно} = {М (х, у): Р1 (х, у) – истинно} Ç {М (х, у): Р2 (х, у) – истинно} = Ф1 Ç Ф2 .
Аналогично, если предикат Р(х, у) представляет собой дизъюнкцию двух предикатов P 1 (х, у) Ú Р2 (х, у) , то фигура Ф есть объединение фигур Ф = Ф1 È Ф2 .
Итак, при координатном подходе к изучению геометрических фигур выделяются две взаимно обратные задачи:
1. по заданным геометрическим свойствам фигуры Ф составить аналитические условия Р (х, у), определяющие эту фигуру;
2. по заданным аналитическим условиям Р (х, у), определяющим фигуру Ф, выяснить её геометрические свойства.
Составление аналитических условий, определяющих фигуру.
Здесь по геометрическому описанию фигуры Ф требуется сформулировать такие аналитические условия Р(х, у) , что будут справедливы два утверждения:
а) если точка М(х, у) Î Ф, то её координаты х , у удовлетворяют условиям Р(х, у) , т.е. будучи поставлены в этот предикат, превращают его в истинное утверждение (высказывание);
б) если координаты точки М(х, у) удовлетворяют условиям Р(х, у) , то М Î Ф.
Ясно, что второе утверждение можно заменить равносильным ему утверждением:
б`) если точка М не принадлежит фигуре Ф, то её координаты не удовлетворяют условию Р(х, у) .
Практически это делается так. На данной фигуре Ф берется произвольная (или, как говорят, текущая) точка М(х, у) с текущими координатами х, у и отыскивается (необходимые и достаточные) условия принадлежности точки М фигуре Ф, т.е. строится некая модель этой геометрической ситуации (принадлежности М Î Ф). Затем в этой модели найденные условия переводятся на аналитический язык, т.е. на язык аналитической взаимосвязи текущих координат х, у текущей точки М .
Пример. Пусть на плоскости задана декартова система координат R
= {
O
,
i(а)
,
j(а)
}.
Составим аналитические условия, определяющие правую полуплоскость с граничной прямой Оу
вместе с её границей. Таким условием будет неравенство
, т.е. правая полуплоскость состоит из тех и только тех точек М(х, у),
первые координаты которых (абсциссы) неотрицательны, поскольку все точки правой полуплоскости этим свойством обладают, а никакие точки, не принадлежащие правой полуплоскости (т.е. принадлежащие левой плоскости без граничной прямой Оу
), этим свойством не обладают ( для них
).
Аналитические условия, определяющие I координатную четверть, представляют собой конъюнкцию двух предикатов:
, которые задают эту четверть как пересечение двух полуплоскостей: верхней (задаётся условием
) и правой (задается условием
). Аналогично, II четверть:
; III четверть:
; IV четверть:
.
Из рассмотренных примеров видим, что аналитическое задание линий (или, как еще говорят, кривых линий, или, короче, кривых) приводит к уравнениям с двумя неизвестными х, у вида:
F (х, у) = 0
Здесь следует отметить, что дать строгое определение понятию линии в том адекватном смысле, в каком мы осознаем эти математические объекты с интуитивной точки зрения, весьма непросто. Понятие линии является одним из сложных понятий математики. Самое общее определение этого понятия рассматривается в топологии. Это понятие впервые было определено математиком П.С. Урысоном в 20-х годах XX века. Ограничимся пока следующими двумя определениями.
Определение. Уравнением данной линии L в заданной системе координат R = {О; е(а)1 , е(а)2 } называется такое уравнение F (х, у) = 0 с двумя неизвестными х, у , которому удовлетворяют координаты х, у каждой точки этой линии (т.е. будучи представлены в это уравнение превращают его в верное равенство) и не удовлетворяют координаты никакой точки, не принадлежащей этой линии.
М (х, у) – текущая точка линии L ; х, у – текущие координаты.
Определение. Линией , определяемой уравнением F (х, у) = 0 в заданной системе координат R = {О; е(а)1 , е(а)2 } , называется множеством (или совокупность, или геометрическое место) всех точек плоскости, координаты которых удовлетворяют данному уравнению.
L ={М (х, у): F (х, у) = 0}.
Здесь необходимо отметить, что сформулированное определение линии оказывается весьма широким, так что под него попадают объекты, никак не отвечающие нашему наглядному (интуитивному) представлению о линии. Другими словами, далеко не каждое уравнение вида F (х, у) = 0 определяет на координатной плоскости геометрическую фигуру, которую мы склонны считать линией.
В качестве примера приведем два уравнения. Первое х - |х| = 0
, как легко видеть, определяет на координатной плоскости правую полуплоскость, так как оно равносильно неравенству:
. Второе х+у-|х|-|у|=0
равносильно системе (конъюнкции) двух неравенств
и потому определяет на плоскости одну точку, а уравнение х2
+ у2
+ 1 = 0
вообще не определяет на плоскости никакой геометрической фигуры.
Для того чтобы уравнение вида F (х, у) = 0 определяло геометрическую фигуру, отвечающую нашему наглядному представлению о линии, следует, вообще говоря, функцию F (х, у) = 0 подчинить некоторым ограничениям. Одним из таких является требование того, чтобы уравнение F (х, у) = 0 и у = f (х) были эквивалентны, т.е. любая пара действительных чисел, удовлетворяющая первому уравнению, удовлетворяет и второму, и наоборот. В этом случае, как нетрудно понять, линия L , определяемая уравнением F (х, у) = 0 , будет графиком функции f(х).
Таким образом, мы приходим еще к одному способу аналитического задания линий плоскости. Он называется явным: здесь линия задается уравнением у = f (х) , в котором у явно выражена через х , Этот способ хорошо известен из школьного курса алгебры и начала анализа. В отличие от него предыдущий способ, т.е. задание линии уравнением F (х, у) = 0 , называется неявным: здесь ни одно из неизвестных не выражено явно через другое.
Наконец, рассмотрим еще один способ задания линий – параметрический. При таком задании каждое из неизвестных х и у выражается как функция через третью, неизвестную, переменную t , называемую параметром:
![]()
L :
![]()
При каждом значении t Î D из некоторой области допустимых значений получаем значения х и у , которые представляют собой координаты некоторой точки линии: М (х. у) Î L .
Для примера получим параметрические уравнения окружности с центром в начале координат радиуса r . В качестве параметра выберем центральный угол t , который образует радиус-вектор ОМ(а) текущей точки М(х, у) с положительным направлением оси Ох (т.е. с вектором i(а) ). Тогда для того, чтобы точка М (х, у) обежало всю рассматриваемую окружность, нужно, чтобы угол t изменялся в пределах: t Î [0, 2p). Из r ONM находим:
х = ON = ОМ со s t = r cos t , у = MN = ОМ sin t = r sin t.
Эти формулы будут справедливы и для II – IV четвертей. Таким образом, мы приходим к параметрическим уравнениям окружности:
![]()
Из этих равенств можно исключить параметр t . Для этого нужно каждое из них возвести в квадрат и результаты сложить почленно. Получим:
х 2 + у 2 = r2 cos2 t + r2 sin2 t, x2 + y2 = r2 (cos2 t + sin2 t), x2 + y2 = r2 .
Мы приходим к знакомому нам уравнению.
Рассмотрим примеры задач на определение вида геометрической фигуры по её аналитическому заданию и их решения. В качестве аналитических условий, задающих геометрические фигуры, будем брать уравнения.
Пример. Исследовать геометрическую фигуру, задаваемую в аффинной системе координат уравнением: х – у = 0
. Представим данное уравнение в виде:
. тогда ясно, что ему удовлетворяют координаты тех и только тех точек плоскости, радиус-векторы r(а)
(х, у)
которых коллинеарны вектору а(а) (1, 1)
.
Отсюда следует, что рассматриваемая фигура есть прямая l , проходящая через начало координат и параллельная вектору а(а) (1, 1) . В случае, когда система координат декартова, прямая l есть биссектриса I и III координатных углов.
1.7. АЛГЕБРАИЧЕСКИЕ ЛИНИИ ВТОРОГО ПОРЯДКА НА ПЛОСКОСТИ
В этом разделе изучаются линии второго порядка, задаваемые в некоторой аффинной системе координат на плоскости алгебраическими уравнениями второй степени. Одна такая линия нам уже известна: это – окружность. Мы начнем с рассмотрения дальнейших конкретных примеров таких линий -эллипса, гиперболы и параболы.
Эти замечательные кривые были известны ещё древнегреческим математикам, начиная с IV в. до н.э. в связи со знаменитой задачей об удвоении куба, которую можно рассматривать как задачу о нахождении точки пересечения двух парабол х 2 = у и у 2 = 2х. В частности, Аристей в работе «О пространственных местах» уже рассматривал три различных типа конических сечений: эллипс, гиперболу и параболу. Основополагающий вклад в изучение этих линий внес Апполоний из Перги (около 260 – 177 гг. до н.э.). Его знаменитый трактат из восьми книг «О конических сечениях», из которого до нас дошли семь (известна реконструкция восьмой книги, предложенная современником И. Ньютона знаменитым астрономом Э. Галлеем) по своей фундаментальности сопоставим разве что с трактатом Евклида «Начала», написанном в III в. до н.э. Он установил многие важные свойства этих кривых, в частности, как канонических сечений, дал им современные названия «эллипс» - недостаток, «гипербола» - избыток (по отношению к некоторым свойствам параболы). Эта работа Аполлония по существу явилась идейным истоком аналитической геометрии. Декарт, когда в своей книге «Геометрия» (1637 г.) он использовал систему алгебраических обозначений, пришедшую с арабского востока (и которой мы пользуемся до сих пор!). Идею использовать алгебру при изучении геометрических фигур высказывал также другой современник Декарта Пьер Ферма. Именно он впервые установил, что уравнения первой степени задают прямые, а второй – конические сечения.
Определение. Эллипсом называется совокупность всех точек плоскости, сумма расстояний которых до двух данных точек этой плоскости (называемых фокусами эллипса), есть величина постоянная.
Пусть F
1
, F
2
–данные точки и расстояние между ними
. Введем на плоскости декартову систему координат, приняв за ось Ох
прямую (F
1
F
2
), а за ось Оу
– прямую, проходящую через середину О
отрезка
перпендикулярно оси Ох
. Назовем эту систему координат канонической для рассматриваемого эллипса.
Теорема. В канонической системе координат уравнение Эллиса может быть записано в виде (оно называется каноническим уравнением эллипса):
. (1)
Доказательство. В канонической системе координат имеем F
1
(-с, 0), F2
(с, 0).
Для составления уравнения эллипса возьмем на нем произвольную (текущую) точку М (х, у)
и найдем условия её принадлежности к рассматриваемому эллипсу
. По определению имеем:
.
По формуле расстояния между двумя точками имеем:
. Преобразуем полученное уравнение:
.
Возведем в квадрат обе чести:
,
.
Возведем в квадрат еще раз:
,
, (2)
Заметим, что так как 2а
– сема дли двух сторон треугольника F1
М F2
, а 2с
– длина его третьей стороны, поэтому
и значит
. Обозначит тогда
, (3).
Тогда уравнение (2) принимает вид:
, откуда поделив обе части на
, приходим к требуемому уравнению (1).
Параметрические уравнения эллипса
в канонической системе координат имеют вид:
. Действительно, подставляя эти выражения в каноническое уравнение эллипса (1), приходим к основному тригонометрическому тождеству:
.
Определение. Гиперболой называется совокупность всех точек плоскости, разность расстояний которых до двух данных точек этой плоскости (называемых фокусами гиперболы) есть величина постоянная.
Как и для эллипса, вводим аналогичным образом для гиперболы каноническую систему координат.
Теорема. В канонической системе координат уравнение гиперболы может быть записано в следующем виде (оно называется каноническим уравнением гиперболы):
, (4).
Доказательство. Здесь условие принадлежности, текущей точки М
к гиперболе
, виду определения гиперболы, принимает вид:
![]()
т.е.
. Преобразуя его совершенно подобным образом, как и в случае эллипса (дважды последовательно возводя в квадрат обе части уравнения), мы придем к тому же самому уравнению (2):
.
Заметим, что в данному случае 2а
– разность длин двух сторон треугольника F1
М F2
,
а 2с
– длина его третьей стороны, поэтому в случае гиперболы
и значит,
. Поэтому в этом случае обозначаем:
или
, (5).
Тогда для гиперболы уравнение (2) принимает вид
, откуда, поделив обе части на
, приходим к требуемому уравнению
.
Параметрические уравнения гиперболы в канонической системе координат имеют вид:
, где
- гиперболический косинус,
- гиперболический синус. Действительно, подставляя эти выражения в каноническое уравнение гиперболы (4), приходим к основному гиперболическому тождеству:
.
Определение. Параболой называется совокупность всех точек, равноудаленных от данной точки этой плоскости (называемой фокусом параболы) и от данной прямой (называемой директрисой). При этом предполагается, что фокус не лежит на директрисе.
Каноническая система координат для параболы вводится следующим образом: её ось Ох проходит через середину О отрезка оси Ох , заключенного между F и d перпендикулярно оси Ох .
Теорема. В канонической системе координат уравнение параболы может быть записано в следующем виде:
. (6)
Доказательство. Пусть
- расстояние от фокуса F
до директрисы d
(называется параметром параболы
). Тогда
, где
. Пусть М (х, у)
– текущая точка параболы
. Найдем расстояния, участвующие в определении параболы:
где
. Тогда по определению параболы имеем:
![]()
По этому уравнению легко устанавливаются следующие свойства параболы: парабола расположена в правой полуплоскости
, проходит через начало координат О(0, 0)
и имеет ось Ох
своей осью симметрии.
II. ПРИМЕНЕНИЕ АНАЛИТИЧЕСКОГО МЕТОДА К РЕШЕНИЮ ПЛАНИМЕТРИЧЕСКИХ ЗАДАЧ.
Мысль о возможности систематического применения метода координат в научных исследованиях зародилась несколько тысяч лет тому назад. Известно, например, что астрономы древнего мира, используя специальные системы координат на воображаемой небесной сфере, определяли положение наиболее ярких звёзд, составляли карты звёздного неба, вели отличавшиеся большой точностью наблюдения за перемещением Солнца, Луны и планет относительно неподвижных звёзд. В более позднюю эпоху широко развилось использование системы географических координат для составления карт земной поверхности и определения местонахождения корабля в открытом море. Однако до XVII века применение метода координат имело односторонний характер: им пользовались, по сути, только для указания положения определённого объекта — неподвижного (гора, мыс) или движущегося (корабль, планета). Новое, исключительно плодотворное применение получил метод координат в книге французского философа и математика Рене Декарта «Геометрия», изданной в 1637 году. Декарт выяснил важное значение понятия переменной величины. Занимаясь изучением наиболее употребительных линий, Декарт заметил, что координаты точки, перемещающейся по данной линии, связаны определённым уравнением, вполне характеризующим эту линию. Так был найден способ изучения линий по их уравнениям, положивший начало аналитической геометрии и способствовавший развитию других математических наук. «Поворотным пунктом в математике, — писал Энгельс, — была декартова переменная величина. Благодаря этому в математику вошли движение и диалектика и благодаря этому же стало немедленно необходимым дифференциальное и
интегральное исчисление». Математической основой аналитической геометрии является своеобразный способ определения геометрических фигур: фигура задаётся уравнением. Возможны два подхода к выяснению сущности этого способа. Рассматривая точку с переменными координатами х, у , связанными некоторым уравнением, мы замечаем, что она перемещается в плоскости с изменением её координат, но пробегаемый ею путь не будет произвольным, так как данное уравнение устанавливает зависимость между величинами х и у . Иными словами, уравнение играет роль как бы рельсов, направляющих движение точки по Возможно, однако, не связывать задание фигуры уравнением с представлением о движущейся точке, описывающей эту фигуру подобно трассирующей пуле, оставляющей светящийся след, или подобно перу сейсмографа, вычерчивающему линию, отображающую колебания земной коры. Можно рассматривать уравнение как средство для отбора точек, составляющих определяемую уравнением фигуру: отбираются те точки плоскости, координаты которых удовлетворяют данному уравнению.
Использование метода координат при решении планиметрических задач состоит из следующих этапов:
1) вводят удобным образом систему координат, чаще всего декартову;
2) условие задачи и её заключение переводят на соответствующий язык, записывая их в координатной форме;
3) доказывают или вычисляют требуемое с помощью соответствующего алгебраического аппарата;
4) полученный результат формулируют (интерпретируют) в терминах задачи.
Задача 1. Даны вершины треугольника А (5; -1 ), В(-1; 7) , С (1; 2) . Найти длину его внутренней биссектрисы, проведенной из вершины А .
Решение. Обозначим через М
точку пересечения указанной биссектрисы со стороной ВС
, через c
и b
— длины сторон АВ
и АС
. Как известно из элементарной геометрии, биссектриса, проведенная из какой-нибудь вершины треугольника, делит противолежащую этой вершине сторону на части, пропорциональные прилежащим сторонам. Таким образом, точка М
делит отрезок ВС
в отношении
, где
![]()
Находим длины сторон АВ и АС
,
.
Следовательно,
= 2
. Находим координаты точки М:
Получаем искомую длину биссектрисы ![]()
Задача 2. Докажите, что если диагонали трапеции равны, то трапеция равнобочная.
Решение. Введем декартову систему координат, начало которой поместим в середину нижнего основания, а ось Ох направим вдоль нижнего основания (рис.1). Тогда для координат вершины трапеции будем иметь:
А (-а, 0), D (а, 0), В (а, 1), С (с, 1)
![]()

(считаем что единица масштаба по оси Оу
равны высоте трапеции). По условию, АС = В
D
, или в координатах:
. Отсюда (возведем это равенство квадрат):
а2
+ 2ас + с2
+ 1 = а2
– 2а
b
+
b
2
+ 1
, или (с +
b
)(2а + с -
b
) = 0.
Второй сомножитель явно равен 0 . Следовательно, b + с = 0 , и значит,
b = - с и АВ = DC , т.е. трапеция равнобочная.
Задача 3. Дана декартова прямоугольная система координат. Вывести уравнение окружности, которая имеет центр
и радиус, равный r
(рис. 2).
Решение. Обозначим, буквой М переменную точку, буквами х
, у
— ее координаты (т. е. текущие координаты). Данная окружность есть геометрическое место точек, каждая из которых отстоит от точки С
на расстоянии r
; таким образом, точка М
находится на данной окружности в том и только в том случае, когда
СМ = r . (1)
По формуле имеем
. Заменяя этим выражением величину СМ
в равенстве (1), получаем
.
Мы нашли уравнение, которое связывает величины х , у и которому удовлетворяют координаты тех и только тех точек, что лежат на данной окружности. Это и есть, следовательно, искомое уравнение. Задача решена.
Задача 4. Даны уравнения двух окружностей
и
. Найти точки их пересечения.
Решение. Раскрывая скобки и перенося все члены в левую сторону, можем записать данные уравнения в виде:
,
. (1)
Вычтем из первого уравнения второе; получим:
или
. Объединяя это уравнение с первым из данных, составим систему
(2)
Система (2) равносильна системе (1). Поэтому задача сводится к решению
этой системы. Подставим в первое из уравнений (2)
, найдем:
, или
. Отсюда
, т.е.
,
. По найденным значениям х
определим соответствующие значения у
из уравнения
; при
получаем
, при
имеем
. Таким образом, искомыми являются точки (1; 5)
и (3; 3).
Задача 5. Дан треугольник АВС
. Проведены медианы С
D
и прямая l
, пересекающая лучи СА, СВ, С
D
соответственно в точках М,
N
,
K
, таких, что
,
,
.
Доказать, что
.
Решение. Примем вершину С
треугольника АВС
за начало аффинной системы координат, а СА(а)
и СВ(а)
– за базисные векторы. В таком случае точки будут иметь координаты: А (1, 0)
; В (0, 1)
,
, М (
m
, 0),
N
(0,
n
)
. Так как СК(а) =
k
CD(а)
и
, то
.
Координаты точки К удовлетворяют уравнению прямой MN:
![]()
Подставив координаты точки К в это уравнение, получим:
![]()
Задача 6. Даны две прямые 2х + 3у - 5 = 0, 7х + 15у + 1 = 0, пересекающиеся в точке S . Составить уравнение прямой, которая проходит через точку S и перпендикулярна к прямой 12х - 5у - 1 = 0.
Решение. Прежде всего, проверим утверждение условия задачи: данные прямые действительно пересекаются, так как
. Далее составим уравнение пучка прямых с центром S
:
(1)
Чтобы выделить в этом пучке искомую прямую, вычислим согласно условию перпендикулярности этой прямой к прямой 12х - 5у - 1 = 0. Представив уравнение (1) в виде
(2)
находим угловой коэффициент искомой прямой:
.
Данная прямая имеет угловой коэффициент
.
По условию перпендикулярности
, т.е.
![]()
Отсюда
. Подставляя
в уравнение (2), получаем -5x
-12у
-6=0 или 5х
+12у
+6 = 0.
Задача решена.
Задача7. Даны равносторонний треугольник АВС
и окружность, проходящая через вершины А
и В
, центр которой симметричен вершине С
относительно прямой АВ
. Доказать, что если М
– произвольная точка окружности, то из отрезков МА
, МВ
, МС
можно составить прямоугольный треугольник (который вырождается, если М = А
или М = В
).
Решение. Введем на плоскости прямоугольную систему координат. За начало координат возьмем середину О
отрезка АВ, точку В примем за единичную точку оси абсцисс (рис.7). Тогда |ОА| = |ОВ| = 1
, |ВС| = 2
и |ОС| =
. Следовательно, данные точки получают координаты: А (-1,0), В
(1, 0), С (0,
),
D
(0,
).
Уравнение окружности с центром D
радиуса |А
D
|
имеет вид
. Пусть
- некоторая точка этой окружности. Требуется доказать, что |МА|2
+ |МВ|2
= |МС|2
.По формуле расстояния между двумя точками имеем:
;
;
.
Отсюда
.
Учитывая, что координаты точки
удовлетворяют уравнению окружности, т.е.
, получаем:
|МА|2 + |МВ|2 = |МС|2 .
ЗАКЛЮЧЕНИЕ
Алгебра и геометрия, которые сейчас большинство школьников воспринимают как совершенно разные науки, на самом деле очень близки. С помощью метода координат можно было бы изложить весь школьный курс геометрии без единого чертежа, используя только числа и алгебраические операции. Курс планиметрии начинался бы словами: «Назовем точкой пару чисел (х, у ) ...». Далее можно было бы определить окружность как совокупность точек, удовлетворяющих уравнению вида
(х — а )2 + (у — b )2 = R 2 . Прямой линией называлась бы совокупность точек, удовлетворяющих уравнению ах + by + с = 0. Многие другие фигуры можно было бы также охарактеризовать системами уравнений и неравенств. Все геометрические теоремы превратились бы при этом в некоторые алгебраические соотношения. Установление связи между алгеброй, с одной стороны, и геометрией, с другой, было, по существу, революцией в математике. Оно восстановило математику как единую науку, в которой нет «китайской стены» между отдельными ее частями. Создателем метода координат считают французского философа и математика Рене Декарта (1596—1650). В последней части большого философского трактата Декарта, вышедшей в 1637 году, давались описание метода координат и его применение к решению геометрических задач. Развитие идей Декарта привело к возникновению особой ветви математики, которую теперь называют аналитической геометрией.
Само это название выражает основную идею теории. Аналитическая геометрия — это та часть математики, которая решает геометрические задачи аналитическими (т. е. алгебраическими) средствами. Хотя аналитическая геометрия является сейчас уже вполне развившимся и законченным разделом математики, идеи, лежащие в ее основе, породили новые отрасли математики. Возникла и развивается алгебраическая геометрия, которая изучает свойства линий и поверхностей, заданных алгебраическими уравнениями. Эту часть математики никак нельзя считать законченной. Как раз в последние годы в ней получены новые фундаментальные результаты, оказавшие большое влияние и на другие разделы математики.
Характерной особенностью метода координат является определение геометрических фигур уравнениями, что позволяет производить геометрические исследования и решать геометрические задачи средствами алгебры. Придавая геометрическим исследованиям алгебраический характер, метод координат переносит в геометрию наиболее важную особенность алгебры — единообразие способов решения задач. Если в арифметике и элементарной геометрии приходится, как правило, искать для каждой задачи особый путь решения, то в алгебре и аналитической геометрии решения проводятся по общему для всех задач плану, легко приспособляемому к любой задаче. Можно сказать, что аналитическая геометрия занимает такое же положение по отношению к элементарной геометрии, какое алгебра занимает относительно арифметики. Перенесение в геометрию свойственных алгебре и поэтому обладающих большой общностью способов решения задач составляет главную ценность метода координат. Приёмы элементарной геометрии в отдельных случаях позволяют находить изящные решения, более простые, чем получаемые методом координат.
Другое достоинство метода координат состоит в том, что его применение избавляет от необходимости прибегать к наглядному представлению сложных пространственных конфигураций. При практическом применении понятия координат координаты предмета, рассматриваемого условно как точка, могут быть определены лишь приближённо. Задание координат предмета означает, что точка, определяемая этими координатами, либо является одной из точек этого предмета либо достаточно близка к нему.
Метод координат важен также и тем, что он позволяет применять современные вычислительные машины к решению геометрических задач, к исследованию любых геометрических объектов и соотношений.
Список используемой литературы.
1. Габович И., Горнштейн П. Вооружившись методом координат// Квант. – 1978. - №11. – с. 42 – 47.
2. Гельфанд И.М. Глаголева Е.Г., Нириллов А.А. Метод координат. – М.: Наука, 1973.
3. Готман Э.Г. Скопец З.А., Решение геометрических задач аналитическим методом. – М.: Просвещение, 1979.
4. Ефимов Н. В. Краткий курс аналитической геометрии: Учебн. пособие. — М.: ФИЗМАТЛИТ, 2005.
5. Игошин В.И. Аналитическая геометрия. – Саратов: Наука, 2007.
6. Ильин В.А., Позняк Э.Г. Аналитическая геометрия. — М.: Наука, 1999.
7. Погорелов А.В. Аналитическая геометрия. – М.: Наука, 1968.
8. Смогоржевский А. С. Метод координат. – М., Государственное издательство технико-теоретической литературы, 1952.
Похожие рефераты:
Развитие логического мышления учащихся при решении задач на построение
Шпаргалки по геометрии, алгебре, педагогике, методике математики (ИГПИ)
Использование компьютерных технологий в изучении наглядной геометрии
Геометрии Галилея и Минковского как описания пространства-времени
Методические указания и контрольные задания для студентов-заочников
Изучение геометрии на уроках математики в 5-6 классах
Задачи в школьном курсе математики
Комплексные числа в планиметрии
Три кризиса в развитии математики
Большая коллекция шпор для МАТАНа (1 семестр 1 курс)
Развитие самостоятельности школьников при обучении математики