| Похожие рефераты | Скачать .docx |
Реферат: Развитие самостоятельности школьников при обучении математики
ВВЕДЕНИЕ
Внеурочные занятия по математике призваны решить целый комплекс задач по углубленному математическому образованию, всестороннему развитию индивидуальных способностей школьников и максимальному удовлетворению их интересов и потребностей. Для непрерывного обучения и самообразования особо важное значение имеют развитие самостоятельности и творческой активности учащихся и воспитание навыков самообучения по математике. В психолого-педагогической литературе самостоятельность обычно понимается как способность личности к деятельности, совершаемой без вмешательства со стороны. Самостоятельность личности не выступает как изолированное качество личности, она тесно связана с независимостью, инициативностью, активностью, настойчивостью, самокритичностью и самоконтролем, уверенностью в себе. Важной составной частью самостоятельности как черты личности школьника является познавательная самостоятельность, которая трактуется как его готовность (способность и стремление) своими силами вести целенаправленную познавательно-поисковую деятельность.
Самостоятельная познавательная деятельность учеников может носить как характер простого воспроизведения, так и преобразовательный, творческий. При этом в применении к учащимся под творческой подразумевается такая деятельность, в результате которой самостоятельно открывается нечто новое, оригинальное, отражающее индивидуальные склонности, способности и индивидуальный опыт школьника. Философское определение творческой деятельности как деятельности, результатом которой является открытие нового оригинального продукта, имеющего общественную ценность, по отношению к учащемуся неприемлемо. Хотя бывают случаи, когда деятельность учеников выходит за рамки выполнения обычных учебных заданий и носит творческий характер, а ее результатом становится продукт, имеющий общественную ценность: оригинальное доказательство известной теоремы, доказательство новой теоремы, составление новой программы для электронно-вычислительных машин и т. п., как правило, в учебной деятельности творчество проявляется в субъективном плане, как открытие нового для себя, нового в своем умственном развитии, имеющего лишь субъективную новизну, но не имеющего общественной ценности.
Творческий (продуктивный) и воспроизводящий (репродуктивный) характер самостоятельной деятельности связаны между собой. Воспроизводящая самостоятельная деятельность служит первоначальным этапом развития самостоятельности, этапом накопления фактов и действий по образцу, и имеет тенденцию к перерастанию в творческую деятельность. В рамках воспроизводящей деятельности уже имеют место элементы творчества. В свою очередь, в творческой деятельности также содержатся элементы действий по образцу.
В дидактике установлено, что развитие самостоятельности и творческой активности учащихся в процессе обучения математике происходит непрерывно от низшего уровня самостоятельности, воспроизводящей самостоятельности, к высшему уровню, творческой самостоятельности, последовательно проходя при этом определенные уровни самостоятельности. Руководство процессом перерастания воспроизводящей самостоятельности в творческую состоит в осуществлении последовательных взаимосвязанных, взаимопроникающих и обусловливающих друг друга этапов учебной работы, каждый из которых обеспечивает выход учащегося на соответствующий уровень самостоятельности и творческой активности. Задача воспитания и развития самостоятельности личности в обучении заключается в управлении процессом перерастания воспроизводящей самостоятельности в творческую.
1. СИСТЕМА УЧЕБНОЙ РАБОТЫ ПО РАЗВИТИЮ САМОСТОЯТЕЛЬНОСТИ И ТВОРЧЕСКОЙ АКТИВНОСТИ ШКОЛЬНИКОВ
По характеру учебной самостоятельной деятельности учащихся на внеурочных занятиях по математике целесообразно выделить четыре уровня самостоятельности.
Первый уровень — простейшая воспроизводящая самостоятельность. Особенно ярко проявляется этот уровень в самостоятельной деятельности ученика при выполнении упражнений, требующих простого воспроизведения имеющихся знаний, когда учащийся, имея правило, образец, самостоятельно решает задачи, упражнения на его применение.
Ученик, вышедший на первый уровень самостоятельности, но не достигший еще второго уровня, при решении задачи использует имеющийся у него образец, или правило, или метод и т. п., если же задача не соответствует образцу, то он решить ее не может. При этом он даже не предпринимает попыток как-то изменить ситуацию, а чаще всего отказывается от решения новой задачи под тем предлогом, что такие задачи еще не решались.
Первый уровень самостоятельности прослеживается в учебно-познавательной деятельности многих учеников, приступивших к внеурочным занятиям. Затем одни учащиеся быстро выходят на следующий уровень, другие задерживаются на нем определенное время. Большинство из них в процессе изучения материала выходят на более высокий уровень самостоятельности, чем первый.
Так как первый уровень развития самостоятельности прослеживается у многих учеников в начале занятий, то задача учителя заключается не в игнорировании его, полагая, что школьники, посещающие внеурочные занятия, уже достигли более высоких уровней, а в обеспечении перехода всех учащихся на следующие, более высокие уровни самостоятельности.
Второй уровень самостоятельности можно назвать вариативной самостоятельностью. Самостоятельность на этом уровне проявляется в умении из нескольких имеющихся правил, определений, образцов рассуждении и т. п. выбрать одно определенное и использовать его в процессе самостоятельного решения новой задачи. На данном уровне самостоятельности учащийся показывает умение производить мыслительные операции, такие, как сравнение, анализ. Анализируя условие задачи, ученик перебирает имеющиеся в его распоряжении средства для ее решения, сравнивает их и выбирает более действенное.
Третий уровень самостоятельности — частично-поисковая самостоятельность. Самостоятельность ученика на этом уровне проявляется в умении из имеющихся у него правил и предписаний для решения задач определенного раздела математики формировать (комбинировать) обобщенные способы для решения более широкого класса задач, в том числе и из других разделов математики; в умении осуществить перенос математических методов, рассмотренных в одном разделе, на решение задач из другого раздела или из смежных учебных предметов; в стремлении найти «собственное правило», прием, способ деятельности; в поисках нескольких способов решения задачи и в выборе наиболее рационального, изящного; в варьировании условия задачи и сравнении соответствующих способов решения и т. п. В названных проявлениях самостоятельности присутствуют элементы творчества.
Ученик на этом уровне обладает относительно большим набором приемов умственной деятельности — умеет проводить сравнение, анализ, синтез, абстрагирование и т. п. В его деятельности значительное место занимает контроль результатов и самоконтроль. Он может самостоятельно спланировать и организовать свою учебную деятельность.
На внеурочных занятиях в X, а особенно в XI классе самостоятельность некоторых учащихся носит творческий характер, что находит выражение в самостоятельной постановке ими проблемы или задачи, в составлении плана ее решения и отыскании способа решения; в постановке гипотез и их проверке; в проведении собственных исследований и т. п. Поэтому целесообразно выделить высший, четвертый уровень самостоятельности — творческую самостоятельность.
В соответствии с выделенными уровнями осуществляются четыре этапа учебной работы. Каждый этап связан с предыдущим и с последующим и должен обеспечивать переход школьника с одного уровня самостоятельности на следующий.
Первый этап ставит целью выход учащегося на первый уровень самостоятельности. На этом этапе учитель знакомит учащихся с элементарными формами познавательной деятельности, сообщая математические сведения, разъясняет, как можно было бы получить их самостоятельно. С этой целью он использует лекционную форму работы или рассказ, а затем организует самостоятельную деятельность учеников, состоящую в изучении доступного материала учебного пособия и решении задач, предварительно разработанных учителем в качестве примеров. Эта деятельность учителя и учащихся на занятиях соответствует аналогичной деятельности на уроках математики и довольно хорошо освещена в методической литературе.
На данном этапе учитель организует элементарную работу учащихся по математическому самообучению: просмотр математических телевизионных передач во внеурочное время; самостоятельное решение конкурсных задач из сборников, содержащих подробные решения или указания для контроля, причем с обязательным условием использования при решении некоторых из них знаний, полученных на внеурочных занятиях.
На втором этапе учебной работы преподаватель привлекает учащихся к обсуждению различных способов решения познавательной задачи и отбору наиболее рационального из них; поощряет самостоятельную деятельность учеников в сравнении способов. Учитель знакомит учащихся с общими и частными указаниями, содействующими самостоятельному выбору путей решения познавательной задачи с помощью уже изученных приемов, способов и методов решения аналогичных задач. На этом этапе педагог широко пользуется методом эвристической беседы, организует самостоятельное изучение учащимися нового материала по учебным пособиям, раскрывающим материал конкретно-индуктивным способом и содержащим большое число примеров различной трудности.
На втором этапе продолжается работа по организации математического самообучения учащихся и руководству им. Ученики решают задачи из сборников конкурсных задач, готовятся к школьным математическим олимпиадам (обычно условия подготовительных задач помещаются на специальных стендах), читают доступную научно-популярную литературу, например, из серии «Популярные лекции по математике». Руководство самообучением учащихся на этом этапе носит фронтально-индивидуальный характер: учитель дает рекомендации по самообучению всем учащимся, но выполнение их не обязательно для всех; помощь преподавателя в организации математического самообучения учащихся носит индивидуальный характер.
Третий этап наиболее ответственный, так как именно на этом этапе должен произойти выход всех учащихся на основной уровень самостоятельности. Здесь большое внимание уделяется организации самостоятельного изучения учащимися дополнительной учебной, научно-популярной и научной математической литературы, сопровождаемого решением достаточного числа задач; подготовке рефератов и докладов по математике; творческому обсуждению докладов и сообщений на семинарах, организуемых на факультативе (постановка и обсуждение гипотез, задач-проблем, математических методов, возможных обобщений или приложений изученной теории и т. п.); участию в школьном конкурсе по решению задач, в школьной, районной или городской олимпиаде по математике, в заочных олимпиадах и конкурсах; самообучению учащихся с учетом индивидуальных интересов и потребностей.
Например, в качестве рефератов могут быть предложены классические задачи древности: о квадратуре круга, об удвоении куба, о трисекции угла. Примером приложения изученной теории может служить использование метода координат к решению геометрических задач. Как задача-проблема ставится вопрос о вычислении работы переменной силы и т. п.
На этом этапе учитель организует на занятиях обобщающие беседы по самостоятельно изученному школьниками материалу;
систематизирует знания учащихся; учит приемам обобщения и абстрагирования; проводит разбор найденных учениками решений; показывает, как надо работать над задачей (все ли случаи рассмотрены, нет ли особых случаев, нельзя ли обобщить найденный способ, чтобы можно было применять его к целому классу задач, и т. п.); учит выдвигать гипотезы, искать пути предварительного обоснования или опровержения их индуктивным путем, а затем находить дедуктивные доказательства; с помощью проблемных вопросов создает дискуссионную обстановку, направляет ход дискуссии и подводит итоги и т. д. Большое внимание уделяется индивидуальной работе с учащимися: оказание ненавязчивой помощи некоторым ученикам в поисках путей решения задачи, в подготовке к математическим олимпиадам, в подборе литературы для рефератов и их письменном оформлении, в организации и осуществлении математического самообучения.
Рассмотрим примеры. (Смотри приложение 1)
На четвертом этапе основной формой является индивидуальная работа с учащимися, дифференцируемая с учетом познавательных интересов и потребностей и профессиональной ориентации каждого. Самостоятельная работа школьника на этом этапе работы носит поисково-исследовательский характер и требует творческих усилий. Учащиеся самостоятельно в течение сравнительно длительного срока решают задачи, сформулированные ими самими или выбранные из предложенных учителем. Помощь преподавателя заключается в проведении индивидуальных консультаций, в рекомендации соответствующей литературы, в организации обсуждения найденного учеником доказательства и т. п.
На этом этапе проводятся конкурсы по решению задач, самостоятельная подготовка победителей школьной математической олимпиады к районной (областной, республиканской) олимпиаде (под руководством учителя); продолжается работа по самообучению.
Наиболее глубоко и полно система учебной работы по развитию самостоятельности и творческой активности школьников реализуется при изучении факультативных курсов по математике.
2. ОБУЧЕНИЕ ЧЕРЕЗ ЗАДАЧИ
Метод обучения математике через задачи базируется на следующих дидактических положениях:
1) Наилучший способ обучения учащихся, дающий им сознательные и прочные знания и обеспечивающий одновременное их умственное развитие, заключается в том, что перед учащимися ставятся последовательно одна за другой посильные теоретические и практические задачи, решение которых дает им новые знания.
2) Обучение на немногочисленных, но хорошо подобранных задачах, решаемых школьниками в основном самостоятельно, способствует вовлечению их в творческую исследовательскую работу, последовательно проводя через этапы научного поиска, развивает логическое мышление.
3) С помощью задач, последовательно связанных друг с другом, можно ознакомить учеников даже с довольно сложными математическими теориями.
4) Усвоение материала курса через последовательное решение учебных задач происходит в едином процессе приобретения новых знаний и их немедленного применения, что способствует развитию познавательной самостоятельности и творческой активности учащихся.
Можно выделить следующие виды обучения через задачи на внеурочных занятиях.
Теоретический материал изучаемого математического курса раскрывается конкретно-индуктивным путем. Учащиеся, решая самостоятельно подготовительные задачи, анализируя, сравнивая и обобщая результаты решений, делают индуктивные выводы. Способы решения конкретных задач таковы, что их можно применить при решении обобщенной задачи (теоремы), тем самым ученики готовятся к дедуктивным доказательствам, которые они в дальнейшем могут осуществить самостоятельно при выполнении нестандартных упражнений на применение теории и решение задач повышенной трудности.
Весь материал курса раскрывается через задачи в основном дедуктивным путем. Теоремы курса имеют вид задач. Полученные знания находят применение при решении творческих исследовательских задач.
Материал курса раскрывается через задачи комбинированным путем, т. е. как конкретно-индуктивным, так и дедуктивным. В курсе содержатся подготовительные, основные и вспомогательные задачи. Для индивидуальных заданий предусмотрены задачи повышенной трудности и творческие, исследовательские задачи.
Рассмотрим более подробно каждый из этих видов обучения.
Подготовительные задачи чаще всего располагаются в серии с нарастающей трудностью. Схематически ее можно изобразить так: А1 —А2 —А3 —...—Ап , где Аk (k=1, 2, 3, .... n) — подготовительная задача, решение которой способствует самостоятельному решению учеником задачи Ak +1 .
Каждая подготовительная задача должна быть небольшой по объему информации, доступной для самостоятельного решения учащимися. Особенно важно это для первых задач серии, так как успех в решении одной задачи стимулирует самостоятельную деятельность школьника при решении следующей. Задачи подбираются средней трудности, чтобы быть доступными всем ученикам. Если взять слишком легкие задачи, то у сильных учащихся пропадает интерес к их решению. Слишком же трудные задачи исключают самостоятельность решения для всех учащихся. При возникновении затруднений учителем должна быть оказана индивидуальная помощь.
В ходе решения задач обязательно их письменное оформление, чтобы можно было, охватив решения всех задач серии, проследить пути к решению основной задачи-проблемы, сделать необходимые обобщения. Если первые задачи серии окажутся для какого-то ученика слишком легкими, он может по своему усмотрению начать письменное оформление решений с задачи Ak , т. е. с промежуточной задачи. Тогда для него подготовительная серия задач будет иметь вид Ak —Ak +1 —...—An .
Решения задач обсуждаются коллективно, анализируются различные способы решения, проводится обобщение полученных результатов, формулируется учебная проблема и намечается способ ее решения. Всячески поощряется самостоятельность суждений, отстаивание учащимися собственного мнения. (Смотри приложение 2)
Идея использования вспомогательных задач возникла на основе наблюдений психологов о том, что при решении сложной задачи учащиеся обычно ищут, под какой из уже известных типов задач можно было бы ее подвести. При этом они, анализируя условие задачи, осуществляя поисковые пробы, пытались воспользоваться такими данными, которые способствовали бы переносу уже имеющегося в их опыте (полученном при решении ранее встречающихся задач) общего или частного метода, способа или приема решения задач. То есть способы решения одной задачи оказывают существенное влияние на самостоятельные поиски решения другой.
Вспомогательные задачи являются своеобразными указаниями к самостоятельной деятельности ученика при решении основной задачи. Они отличаются от указаний и готовых решений, имеющихся в большинстве пособий по математике для самостоятельной подготовки к конкурсным экзаменам, тем, что не содержат рецептов, не навязывают способ решения автора, не дают готового решения. Указание (подсказка) во вспомогательной задаче заключается в ее решении: нужно сначала самостоятельно решить вспомогательную задачу, а затем обнаружить содержащуюся в ней подсказку. Обычно для ученика одной вспомогательной задачи оказывается недостаточно. Тогда дается вторая вспомогательная задача и т. п. Образуется серия вспомогательных задач.
Схематично основная задача А вместе с серией вспомогательных задач A1 , A2 , ..., An изображается так: А: A1 —A2 —... —An .
Самостоятельная деятельность ученика начинается с решения задачи А. Если он за определенное время не сможет решить ее, то приступает к решению первой вспомогательной задачи А1 : А—А1 . В случае решения задачи А1 ученик снова возвращается к задаче А: А1 —А. Если задача А снова не решается, то он обращается к задаче А2 . Решив задачу A2 , возвращается к задаче A и т. д. Возможен случай, когда школьник не сможет решить вспомогательную задачу А1 . Тогда он приступает к решению задачи А2 . Если и A2 не решается, то переходит к задаче A3 и так до An . От задачи An ученик последовательно возвращается к задаче
А: An —An-1 —... —A1 —A. Возможна и другая последовательность решения задач, что можно изобразить схемами:
A—A1 —A—A2 —A—A3 —Aили
A—A1 —A—A2 —A1 —A—A3 —A2 —A1 —A ит. д.
Составление вспомогательных задач наталкивается на серьезные трудности. Для решения задачи Л может соответствовать и другая серия вспомогательных задач, отличная от указанной, например В1 , В2 , ..., Bk Трудность заключается в отборе лучшей (оптимальной) серии для конкретного ученика. Далее, серияможет быть и нелинейна. Это получается тогда, когда для решения задачи A нужно знать способы решения сразу двух (или нескольких) задач. Схематическое изображение этой ситуации таково:
A:
Трудность заключается в том, что одна и та же серия вспомогательных задач для разных учащихся имеет различную эффективность: для одних серия слишком длинна (содержит много задач), для других коротка, одни и те же задачи для одних слишком легки, для других трудны и т. п. Кроме того, вспомогательные задачи навязывают ученику определенный путь решения. Но и при подсказке учителя также навязывается ученику способ решения, намеченный учителем.
Опыт применения вспомогательных задач на кружковых и факультативных занятиях по математике показывает, что школьники, научившись самостоятельно решать задачи с помощью вспомогательных задач, предложенных учителем, замечают, что среди задач A1 —A2 —... —An имеются и такие, которые либо уже были решены ими ранее, либо решаются способами (приемами), известными им. Это наталкивает учащихся на мысль, что при решении новой задачи следует самостоятельно отыскивать среди уже решенных ранее задач родственные данной и использовать их в качестве вспомогательных. Так воспитывается умение при самостоятельном решении задач возвращаться к своему опыту и применять его при продвижении вперед. Последнее является важным звеном умения решать задачи, умения самостоятельно приобретать новые знания.
Курсы, построенные на задачах, не содержат деления материала на теоретическую и практическую части. Сами задачи — это и есть изучаемый курс. Поэтому и содержание задач, и способы решения их направлены как на вооружение учащихся теоретическими знаниями, так и на выработку умений и закрепление навыков. Рассматриваемые определения обычно включаются в содержание задач. Возможна формулировка определений и отдельно от задач. Теоремы имеют тоже вид задач. Если теорема большая или сложная, то она разбивается на последовательность таких задач, что решение предыдущей облегчает решение последующей, а совокупность этих решений дает доказательство теоремы.
Любая тема курса состоит из серии задач, которые должны быть полностью решены каждым учеником, так как только в этом случае достигается полное усвоение определенной математической теории. Однако в индивидуальные задания могут быть включены задачи подготовительные, вспомогательные или задачи для самоконтроля, которые не обязательны для всех учеников.
Перед изучением темы организуется пропедевтическая работа, ставящая своей целью подготовить учеников к самостоятельному активному изучению материала. В частности, здесь выявляются и ликвидируются пробелы в знаниях и формируются необходимые предварительные представления. Затем учитель в форме лекции или беседы вводит учеников в тему, намечает круг вопросов, подлежащих изучению, формулирует сам или подводит учащихся к самостоятельной формулировке первой проблемной задачи курса.
Основным этапом занятий является самостоятельное решение школьниками задач. Учащимся в процессе самостоятельной работы разрешается пользоваться справочниками и конспектами, поскольку необходимо умственное развитие, умение самостоятельно решить возникающие задачи. Индивидуальная помощь учителя носит характер не подсказки, а направления на верный путь решения, для чего используются вспомогательные задачи. Расположение задач в серии по принципу нарастающей трудности стимулирует развитие самостоятельности учеников. Обучение с использованием серии вспомогательных задач строится по принципу от сложного к простому, от трудного к более легкому, что способствует формированию элементов творчества, стимулирует поиски учащимися способов решения, побуждает их мыслить. После решения всех задач серии проводится коллективное обсуждение результатов. Полученный материал обобщается для последующего применения полученных знаний при решении нового класса задач, делаются теоретические выводы. Всячески поощряется самостоятельность учеников в суждениях, в отстаивании собственного мнения.
Как показал опыт, обучение через задачи на внеурочных занятиях обеспечивает развитие самостоятельности и творческой активности учащихся, способствует приобретению прочных и осознанных знаний, развивает умение сравнивать, обобщать, делать творческие выводы из решенных задач, поддерживает интерес к математике.
3. АКТИВИЗАЦИЯ ВНЕКЛАССНОЙ РАБОТЫ
Внеклассная работа по математике в ее традиционном толковании проводится в школе учителем во внеурочное время с учащимися, проявляющими к математике интерес. Эта работа планируется учителем и по мере необходимости корректируется. Государственных программ по внеклассной работе нет, как нет и норм оценок. На внеклассные мероприятия и занятия ученики приходят по желанию, без всякой предварительной записи. Если у ученика пропадет интерес к внеклассной работе, он прекращает свое участие в ней. Активизация внеклассной работы по математике призвана не только возбуждать и поддерживать у учеников интерес к математике, но и желание заниматься ею дополнительно как под руководством учителя во внеурочное время, так и при целенаправленной самостоятельной познавательной деятельности по приобретению новых знаний, т. е. путем самообучения.
Одной из форм внеурочной работы являются конкурсы, которые обладают большим эмоциональным воздействием на участников и зрителей. (Смотри приложение 3)
4. ОРГАНИЗАЦИЯ САМООБУЧЕНИЯ ШКОЛЬНИКОВ С УЧЕТОМ ИНДИВИДУАЛЬНЫХ ИНТЕРЕСОВ И ПОТРЕБНОСТЕЙ
В дидактике установлено, что самостоятельная деятельность учащихся по приобретению новых знаний по собственной инициативе, сверх программы школьного предмета, возможна лишь при наличии серьезного интереса к предмету, увлечения рассматриваемыми проблемами, переходящего в познавательную потребность приобретать сверхпрограммные знания в соответствии с индивидуальными интересами и потребностями.
С помощью анкет, в ходе личных бесед можно установить, почему тот или иной ученик посещает занятия кружка или факультатива. В младшем возрасте, как правило, это интерес к математике как любимому учебному предмету, в среднем и старшем — это либо интерес к математике как науке, либо профессионально-ориентационный, связанный с предполагаемой послешкольной деятельностью. Например, в одной из школ с помощью анкет учитель установил, что среди семиклассников, регулярно занимающихся в математических кружках и факультативах, около 70% считают занятия по математике более любимыми в школе, чем по другим предметам, примерно 20% заявили о своем серьезном увлечении математикой как наукой и намерении посвятить математике свою трудовую послешкольную деятельность, а около 10% назвали другие причины, в том числе следование за товарищем, увлеченным математикой. Через два года анкетирование среди этих же учеников показало, что лишь 6% изъявляют желание глубоко изучать математику, 83% связывают дополнительные занятия математикой с необходимостью хорошо подготовиться к конкурсному экзамену по математике на вступительных экзаменах в вуз, а 11 % указывают другие причины. Для учителя полученные данные нужны для эффективного применения индивидуального подхода к школьникам во внеурочной работе, корректировки своей работы, направленной на развитие интереса учащихся в ходе внеурочных занятий. В противном случае первоначальный интерес к математике, не получая подкрепления и развития, гаснет и ученики прекращают посещать внеурочные мероприятия. Более того, они перестают самостоятельно заниматься математикой дома, фактически прекращают самообучение.
Интерес к математике формируется с помощью не только математических игр и занимательных задач, рассмотрения софизмов, разгадывания головоломок и т. п., хотя и они необходимы, но и логической занимательностью самого математического материала: проблемным изложением, постановкой гипотез, рассмотрением различных путей решения проблемной ситуации, решением задач или доказательством теорем различными методами и другими разработанными в методике математики приемами формирования познавательного интереса к математике. (Смотри приложение 4).
Разбор предложенных способов проходил на расширенном заседании математического кружка с привлечением учащихся из группы факультатива и приглашением желающих и вызвал неподдельный интерес у присутствующих. Необходимые вычисления проводились с помощью микрокалькулятора.
Самообучение школьника невозможно без его умения и желания работать с математической книгой.
Подбору математической литературы для самообучения учителю приходится уделять большое внимание. Установлено, что учащиеся по-разному работают над книгой: одни стараются побыстрее пройти теоретический материал и приступить к решению задач, другие больше внимания уделяют, наоборот, теоретическим вопросам. Первым не нравятся многословные учебники и пособия, они предпочитают краткие дедуктивные доказательства; вторые предпочитают книги с подробными выкладками, пояснениями, индуктивными выводами, примерами и т. п.
Так, в одной из школ на факультативных занятиях в старших классах изучение программирования на ЭВМ осуществлялось с помощью программированных пособий. На факультативе их применение оправдывалось тем, что ученикам предлагалось усваивать материал в индивидуальном темпе, затруднения преодолевались с помощью индивидуальных консультаций, а подведение итогов проводилось на заключительной конференции по книгам.
Наблюдения показали, что одни ученики старались быстрее овладеть теорией. Если оказывалось, что выбранный ими ответ неверен, то, не пытаясь разобраться в причинах ошибки, они искали другой ответ, пока не находили верный, позволявший им читать очередную запрограммированную порцию учебной информации. В процессе изучения материала пособия многие из этих учащихся составляли свой шифр — последовательность страниц для чтения с правильными ответами, а затем вторично прочитывали эти страницы в указанной шифром последовательности, т. е. читали как обычную книгу, а не как программированное пособие, составленное по разветвленной программе. Другим, наоборот, нравилось разбирать все замечания автора. Даже убедившись, что выбранный ими ответ верен, они читали указания и к другим, неверным ответам, чтобы рассмотреть приводимые примеры и уяснить причины возможных неправильных ответов.
При переходе в дальнейшем к изучению обычной литературы по программированию на ЭВМ первые испытывали чувство удовлетворения от того, что их не перебивают то и дело вопросами, на которые нужно давать ответ, а в случае неверного выбора еще и перечитывать назидания автора. вторые же не всегда удовлетворялись краткостью авторского изложения материала, постоянно обращались к учителю с вопросами, чувствуя необходимость в его комментариях.
С учетом избирательного отношения учеников к математическим книгам можно рекомендовать для самообучения не одно учебное пособие, а несколько, чтобы ученики сами выбирали то, которое им больше подходит по их индивидуальным склонностям и способностям. Правда, учителю в этом случае труднее контролировать их самостоятельную работу над книгой и проводить консультации. Зато самообучение школьников будет более эффективным.
Большое значение для стимулирования самообучения имеет организация обзоров изученной учащимися математической литературы, ее обсуждение на читательских конференциях или в устных журналах. Обычно делается это так. Объявляется тема для обзора и рекомендуется литература. Список литературы помещается на стенде. Там же указывается расписание консультаций. Дается время для подготовки, назначается место и время проведения.
Обзор литературы делают два-три ученика, они же отвечают на вопросы. Впрочем, отвечать могут и присутствующие ученики и учитель, а также дополнять или поправлять докладчиков. При этом возникают споры, выдвигаются гипотезы, находятся новые решения и т. д. (Смотри приложение 5).
Для самостоятельного обучения очень важно воспитать у учащихся потребность в самостоятельном поиске знаний и их приложении. Поэтому одной из задач является приобщение учеников к решению задач по своей инициативе, сверх школьной программы. Одним из средств является математическая олимпиада. Школьники убеждаются на собственном опыте, что, чем больше разнообразных задач они самостоятельно решают, тем значительнее их успехи не только в школьной, но и в районной олимпиаде. Это служит дополнительным стимулом к самообучению.
Одним из условий самообучения является умение ученика
планировать свою самостоятельную внеурочную познавательную деятельность по приобретению знаний. Учитель помогает ему в составлении индивидуальных планов самообучения и в их реализации. Если в V—VII классах самообучение школьника проводится обычно по плану, подсказанному учителем, в VIII—IX классах уже при совместных обсуждениях в индивидуальных или групповых беседах и консультациях, то в Х—XI классах эти планы составляются самим учеником. Лишь в некоторых случаях он прибегает к совету учителя или руководствуется его рекомендациями.
Так, в одной из групп факультатива XI класса учащимся было предложено уточнить свои индивидуальные планы самообучения на учебный год. В ходе индивидуальных бесед учитель установил, что ученики планировали изучение научной и научно-популярной математической литературы, посещение математического кружка школьников-старшеклассников при пединституте и математического лектория при политехническом институте, решение задач из сборников задач различных математических олимпиад (отечественных и зарубежных). Большое место в планах отводилось самостоятельной работе по подготовке к поступлению в вуз: изучению пособий по математике для поступающих в вуз и решению конкурсных задач, публикуемых в «Кванте», обучению на заочных подготовительных курсах в избранный или родственный вуз и т. д.
Выяснив планы учащихся, учитель осуществлял индивидуально-групповое педагогическое руководство самообучением школьников, которое проводилось в следующих направлениях:
— корректирование (уточнение, детализация) индивидуальных планов самообучения;
— подбор учебной, научно-популярной и научной литературы по математике для самостоятельного изучения;
— более конкретное ознакомление каждого учащегося с предполагаемой дальнейшей деятельностью и уточнение места и значения математических знаний в этой деятельности;
— проведение индивидуальных и групповых консультаций по вопросам самообучения;
— оказание практической помощи учащимся, готовящимся к поступлению в вузы, где от абитуриентов требуется более углубленная математическая подготовка (МГУ, МФТИ, МИФИ и другие институты).
Чтобы педагогическое руководство самообучением школьников было эффективным, целесообразно осуществлять определенную дифференциацию, которая по сути будет индивидуально-групповой. Это обусловлено тем, что учащихся по их познавательным интересам и практическим потребностям, которые они хотят удовлетворить, занимаясь самообразованием, можно разделить на условные группы.
К первой группе можно отнести учащихся с ярко выраженной
интеллектуальной потребностью в углубленном изучении математики, обусловленной стержневым познавательным интересом в области математики. Предполагаемая послешкольная деятельность их связана с серьезным изучением математики либо на математических факультетах университетов, либо в технических вузах с углубленным изучением математики.
Во вторую группу целесообразно включить учеников, основные познавательные интересы которых находятся в области физики, техники, в естественнонаучной или производственной сфере, а углубленное изучение математики вызывается потребностями послешкольной деятельности (например, обучением в технических вузах общеинженерных профилей, на естественных факультетах университетов, в техникумах и профтехучилищах по специальностям, связанным с электроникой, робототехникой и другой современной техникой).
Третью группу составляют школьники, познавательные интересы которых находятся в областях, не требующих углубленных математических знаний. Занятия математикой во внеурочное время у них обусловлено не потребностями в дальнейшей деятельности, а исключительно увлечением математикой, возникшим на уроках, любовью к математике как учебному предмету и сфере приложения интеллектуальных сил.
И наконец, в отдельную четвертую группу целесообразно объединить учащихся, познавательные интересы которых еще не сформировались, характер дальнейшей деятельности не определился, а внеурочные занятия математикой обусловлены различными, часто случайными мотивами.
Включение учеников в ту или иную группу учитель осуществляет по результатам индивидуальных бесед с учащимися и их родителями, а также с помощью анкетирования.
Контроль за самообучением школьников можно осуществлять различными способами. Наиболее эффективный — через конкурсы по решению задач и различные математические состязания, в том числе и межпредметного содержания. Конкурс желательно проводить в несколько заочных туров и заключительный очный. Решения задач участники конкурсов могут давать любые, но за каждый способ решения одной и той же задачи очки начисляются отдельно. Это поощряет поиски новых оригинальных путей решения задачи, использование теоретического материала из различных рекомендованных учителем по определенной теме математических книг.
В качестве примера приведем задачи одного из туров заочного конкурса по решению задач в связи с самостоятельной работой школьников над темой «Метод координат». (Смотри приложение 6)
Условия задач помещаются на стенде. Там же указываются конкурсные требования, сроки сдачи письменных работ, место и время обсуждения представленных решений.
Об эффективности математического самообучения учитель может составить себе представление по многим критериям. Приведем некоторые из них:
а) повышение количества учащихся, изучающих дополнительную литературу;
б) смещение стержневого познавательного интереса школьников в сторону математики;
в) массовое применение в самостоятельных, контрольных и зачетных работах, при решении конкурсных и олимпиадных задач математических знаний, полученных в результате самообучения;
г) широкое участие в различных формах математического образования в системе внешкольного обучения: в заочной математической школе при АПН СССР и МГУ, на заочных подготовительных курсах для поступающих в вузы, в очных олимпиадах, проводимых на местах многими вузами (физтехом, МИФИ и др.), в воскресных математических лекториях при вузах и др.
Такая информация поможет учителю своевременно вносить коррективы в свою работу по организации самообучения учеников, способствовать повышению самостоятельности и творческой активности школьников для получения сверхпрограммных математических знаний в соответствии с их индивидуальными интересами, потребностями, планами дальнейшей деятельности.
ЗАКЛЮЧЕНИЕ
Специфика внеурочных занятий состоит в том, что они проводятся по программам, выбранным учителем и обычно согласованным с учениками и корректируемым в процессе обучения с учетом их интеллектуальных возможностей, познавательных интересов и развивающихся потребностей. Участие в большинстве видов внеурочных занятий является необязательным, за результаты работы ученик отметок не получает, хотя его работа также оценивается, но другими способами: поощрениями через стенную печать, награждением грамотами, книгами, сувенирами и т. п.
Само участие ученика в факультативе, в кружковой работе, в математических состязаниях и олимпиадах уже является дифференциацией обучения в школе. Тем не менее и к этой категории школьников целесообразно для максимального развития их индивидуальных способностей и интересов, удовлетворения потребностей широко применять дифференциацию обучения на факультативных и кружковых занятиях и индивидуальный подход в организации и руководстве их самообучения.
Приложение 1
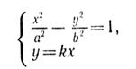
1. Учитель предлагает с помощью чертежей исследовать взаимное расположение гиперболы и прямой. Учащиеся выдвигают гипотезы (индуктивным путем). Затем после исследования системы уравнений
![]() |
можно дать дедуктивное доказательство их (при |k| < |
| прямая пересекает гиперболу в двух точках, а при |k| ³ |
| точек пересечения нет).
2. При изучении комплексных чисел ученикам предлагается исследовать возможные определения понятий «больше», «меньше» во множестве С. Затем на занятии в форме дискуссии опровергаются предлагаемые школьниками определения.
3. В качестве индивидуального задания рекомендуется исследовать возможное обобщение: точкам на прямой ставятся в соответствие действительные числа, точкам на плоскости — комплексные, а точкам в пространстве? Результатом исследования могут быть рефераты или сообщения учащихся, обсуждаемые коллективно на занятии.
Приложение 2
Приведем пример серии задач с нарастающей трудностью по теме «Площадь треугольника», в которой задачи 1—6 по сути являются подготовительными к задаче 7.
1. Даны точки А(3;0), B(3,5), С(-1;3), К(-1;0). Вычислите площадь четырехугольника АBСK.
2. Даны точки А (2; 0), В (2; 3), С (- 1, 4), К (-3; 2). Е (-3; 0). Вычислите площади многоугольников АВСКЕ и ВСК.
3. Даны точки A (x1 ; 0), В (х2 ; 0), С (х2 ; y2 ), К (x3 ; y3 ), Е (x1 ; y1 ). Укажите способ вычисления площади треугольника СКЕ, если:
1) x1 <x3 <x2 , 0<y2 <yl <y3 ;
2) x1 <x2 <x3 , 0<y3 <yl <y2 .
4. Даны точки A(x1 ;y1 ), В (х2 ; у2 ), C(х3 ; у3 ), где y1 , у2 , у3 — положительные числа. Докажите, что площадь треугольника ABC может быть вычислена по формуле S=0.5|S1 |, где
S1 =x1 (y2 —y3 )+x2 (у3 —y1 )+x3 (у1 —y2 ).
5. Докажите, что можно подобрать такой параллельный перенос на вектор
(0; m), при котором точки A (х1
;у1
), В (х2
; y2
), С(х3
; у3
) перейдут в точки A' (х1
'; у1
'), B' (х2
'; у2
'), С' (х3
'; у3
'), причем у1
'>0, у2
'>0, у3
'>0.
6. Даны три точки А(х1 ; у1 ), В(х2 ; у2 ), С (х3 ; у3 ) и точки A' (х1 ; у1 +m), В'(х2 ; у2 +m), С' (х3 ; у3 +m), полученные при параллельном переносе на вектор (0; m), причем у1 +m, у2 +m, у3 +m - положительны. Вычислите площадь треугольника А'В'С'. Объясните, почему результат не зависит от m.
7. Докажите, что площадь треугольника АВС вычисляется по формуле
S =0.5|x1 (y2 —y3 ) + x2 (у3 —y1 ) + x3 (у1 —y2 )|
независимо от того, какая из его вершин обозначена через (x1 ;y1 ), (х2 ; у2 ), (х3 ; у3 ),
Приложение 3
Заморочки из бочки
На столе ведущего стоит бочонок. Команды поочередно тянут из бочонка листочки с вопросами. На ответ дается не более одной минуты.
Если бы завтрашний день был вчерашним, то до воскресенья осталось бы столько дней, сколько дней прошло от воскресенья до вчерашнего дня. Какой же сегодня день? [Среда.]
Груша тяжелее, чем яблоко, а яблоко тяжелее персика. Что тяжелее — груша или персик? [Груша.]
Два мальчика играли на гитарах, а один на балалайке. На чем играл Юра, если Миша с Петей и Петя с Юрой играли на разных инструментах? [Юра играл на гитаре.]
На столе стояли три стакана с ягодами. Вова съел один стакан и поставил его на стол. Сколько стаканов на столе? [Три.]
Шел муж с женой, да брат с сестрой. Несли 3 яблока и разделили поровну. Сколько было людей? [Трое: муж, жена и брат жены.]
У Марины было целое яблоко, две половинки и четыре четвертинки. Сколько было у нее яблок? [Три.]
Батон разрезали на три части. Сколько сделали разрезов? [Два.]
Мальчик Пат и собачонка весят два пустых бочонка. Собачонка без мальчишки весит две больших коврижки. А с коврижкой поросенок весит — видите — бочонок. Сколько весит мальчик Пат? Сосчитай-ка поросят. [Мальчик весит столько же, сколько два поросенка.]
Один мальчик говорит другому: «Если ты дашь мне половину своих денег, я смогу купить карандаш». Сколько денег было у второго мальчика? [Установить невозможно.]
Петя и Миша имеют фамилии Белов и Чернов. Какую фамилию имеет каждый из ребят, если Петя на год старше Белова. [Петя Чернов и Миша Белов.]
Человек, стоявший в очереди перед Вами, был выше человека, стоявшего после того человека, который стал перед Вами. Был ли человек, стоявший перед вами выше Вас? [Да.]
Как в древние времена называли «ноль»? [Цифра.]
Может ли при сложении двух чисел получиться нуль, если хотя бы одно из чисел не равно нулю? [Нет, не может.]
В каком случае сумма двух чисел равна первому слагаемому? [Когда второе слагаемое — нуль.]
Который сейчас час, если оставшаяся часть суток вдвое больше прошедшей? [8 часов.]
В семье я рос один на свете,
И это правда, до конца.
Но сын того, кто на портрете,
Сын моего отца.
Кто изображен на портрете? [Мой отец.]
Игра «Счастливый случай»
Вопросы для первой команды
Отрезок, соединяющий точку окружности с ее центром. [Радиус.]
Отрезок, соединяющий вершину треугольника с серединой противолежащей стороны. [Медиана.]
Два созвездия, по форме напоминающие ковш. [Большая Медведица и Малая Медведица.]
Аппарат для подводного плавания. [Акваланг.]
Утверждение, требующее доказательства. [Теорема.]
График квадратичной функции. [Парабола.]
Цифровая оценка успехов. [Балл.]
Множество точек плоскости, равноудаленных от конца данного отрезка. [Перпендикуляр, проведенный к середине данного отрезка.]
Угол, смежный с углом треугольника при данной вершине. [Внешний угол.]
Прямоугольник, у которого все стороны равны. [Квадрат.]
Мера веса драгоценных камней. [Карат.]
Часть круга, ограниченная дугой и ее хордой. [Сегмент.]
Направленный отрезок. [Вектор.]
Отношение противолежащего катета к гипотенузе. [Синус.]
Угол, меньший прямого. [Острый.]
Вопросы для второй команды
Отрезок, соединяющий любые две точки окружности. [Хорда.]
Утверждение, не вызывающее сомнений. [Аксиома.] Устройство для запуска двигателя внутреннего сгорания. [Стартер.]
Вид местности, открывающийся с возвышенного места. [Панорама.]
Самая знаменитая звезда в созвездии Малой Медведицы. [Полярная.]
График линейной функции. [Прямая.] Множество точек пространства, равноудаленных от данной точки. [Сфера.]
Кусок, часть чего-нибудь. [Осколок.] Сумма длин всех сторон многоугольника. [Периметр.]
Ромб, у которого все углы прямые. [Квадрат.] Зажим для присоединения, закрепления проводов. [Клемма.]
Самая большая хорда в круге. [Диаметр.] Простейшее геометрическое понятие. [Точка.] Часть прямой, ограниченная с одной стороны. [Луч.] Отношение прилежащего катета к гипотенузе. [Косинус.]
Игра «Счастливый случай»
Вопросы для первой команды
Результат сложения. [Сумма.]
Сколько цифр вы знаете? [Десять.]
Наименьшее трехзначное число. [100.]
Сотая часть числа. [Процент.]
Прибор для измерения углов. [Транспортир.]
Сколько сантиметров в метре? [Сто.]
Сколько секунд в минуте? [Шестьдесят.]
Результат деления. [Частное.]
Сколько лет в одном веке? [Сто.]
Наименьшее простое число. [2.]
Сколько нулей в записи числа миллион? [Шесть.]
Величина прямого угла. [90°.]
Когда произведение равно нулю? [Когда хотя бы один из множителей равен 0.]
График прямой пропорциональности. [Прямая, проходящая через начало координат.]
Что больше: 2 м или 201 см? [201 см.]
Что меньше:
или 0,5? [
]
Радиус окружности 6 см. Диаметр? [12 см.]
Какую часть часа составляют 20 мин? [1/3.]
Сколько сантиметров составляет 1% метра? [1см.]
Корень уравнения |х| = —1. [Не существует.]
Вопросы для второй команды Результат вычитания. [Разность.]
На какое число нельзя делить? [На 0.]
Наибольшее двузначное число. [99.]
Прибор для построения окружности. [Циркуль.]
Сколько граммов в килограмме? [Тысяча.]
Сколько минут в часе? [Шестьдесят.]
Сколько часов в сутках? [Двадцать четыре.]
Результат умножения. [Произведение.]
Сколько дней в году? [365 или 366.1
Наименьшее натуральное число. [1.]
Сколько нулей в записи числа миллиард? [Девять.]
Величина развернутого угла. [180°.]
Когда частное равно нулю? [Когда делимое равно нулю.]
График обратной пропорциональности. [Гипербола.]
Что больше: 2 дм или 23 см? [23 см.]
4 Что меньше: 0,7 или
[0,7.]
Диаметр окружности 8 м. Радиус? [4 м.]
Какую часть минуты составляют 15 сек? [1/4.]
Найдите 10% тонны. [100 кг.]
Корень уравнения |х| = —7. [Не существует.]
Игра «Третий лишний»
Командам поочередно демонстрируются названия различных объектов. Два из них имеют какое-то общее свойство, а третий нет. Команды должны быстро ответить, какой объект не обладает свойством, которое присуще двум другим. Например:
гектар, сотка, метр;
ярд, тонна, центнер;
конус, квадрат, призма;
треугольник, прямоугольник, ромб;
прямая, отрезок, угол.
Игра «Что? Где? Когда?»
Вопросы
Индийцы называли его «сунья», арабские математики «сифр». Как мы называем его сейчас? [Нуль.]
Именно этот учебник был первой в России энциклопедией математических знаний. По нему учился М.В.Ломоносов, называвший его «вратами учености». Именно в нем впервые на русском языке введены понятия «частное», «произведение», «делитель». Назовите учебник и его автора. [«Арифметика» Л.Ф.Магницкого.]
Это название происходит от двух латинских слов «дважды» и «секу», буквально «рассекающая на две части». О чем идет речь? [О биссектрисе.]
Ее знакомство с математикой произошло в 8 лет, так как стены ее комнаты были оклеены листами с записями лекций по математике профессора Остроградского. Кто она? [С.В.Ковалевская.]
На могиле этого великого математика был установлен памятник с изображением шара и описанного около него цилиндра. Почти спустя 200 лет по этому чертежу нашли его могилу. Кто этот математик? [Архимед.]
В древности такого термина не было. Его ввел в XVII в. французский математик Франсуа Виет, в переводе с латинского он означает «спица колеса». Что это? [Радиус.]
В черном ящике лежит предмет, название которогопроизошло от греческого слова, означающего в переводе «игральная кость». Термин ввели пифагорейцы, а используется этот предмет в играх маленькими детьми. Что в черном ящике? [Куб, кубик.]
Слово, которым обозначается эта фигура, в переводе с греческого означает «натянутая тетива». Что это? [Гипотенуза.]
Точка, от которой в Венгрии отсчитывают расстояния, отмечена особо. В этом месте в центре Будапешта стоит памятный знак. Кто или что было удостоено таких почестей? [Нуль.]
Воины римского консула Марцелла были надолго задержаны у стен города Сиракузы мощными машинами-катапультами. Их изобрел для защиты своего города великий ученый Архимед. В черном ящике лежит еще одно изобретение Архимеда, которое и поныне используется в быту. Что в черном ящике? [Винт Архимеда, используется в мясорубке.]
Мы, в отличие от египтян, римлян и славян, пользуемся позиционной системой счисления, в которой всего десять цифр и «ступеньки». Что это за «ступеньки», перечислите их. [Это разряды, их всего три - единицы, десятки, сотни.]
Математическая пьеса «Бесплатный обед»
(по мотивам рассказа Я.И.Пврвльмана)
Ведущий. Десять друзей, решив отпраздновать окончание средней школы в ресторане, заспорили у стола о том, как усесться вокруг него.
Первый друг. Давайте сядем в алфавитном порядке, тогда никому не будет обидно.
Второй. Нет, сядем по возрасту.
Третий. Нет, нет. Сядем по успеваемости.
Четвертый. Да ну, опять успеваемость, это вам не школа, да и надоело.
Пятый. Тогда я предлагаю сесть по росту, и никаких проблем.
Шестой. Устроим здесь физкультуру не так ли?
Седьмой. Придется тащить жребий.
Восьмой. Ну уж нет.
Девятый. По-моему уже обед остыл.
Десятый. Я сажусь, где придется, и вы, давайте за мной.
Появляется официант. Вы еще не расселись? Молодые друзья мои, оставьте ваши пререкания. Сядьте за стол, как кому придется, и выслушайте меня.
Все сели как попало.
Официант. Пусть один из вас запишет, в каком порядке вы сейчас сидите. Завтра вы снова явитесь сюда пообедать и разместитесь уже в ином порядке. Послезавтра сядете опять по-иному и т.д., пока не перепробуете все возможные размещения. Когда же придет черед вновь сесть так, как сидите вы сегодня, тогда -обещаю торжественно — я начну ежедневно угощать вас всех бесплатно самыми изысканными обедами.
Друзья почти хором. Вот здорово, будем каждый день обедать у вас.
Друзья сидят за столом, выходит вперед ведущий.
Ведущий. Друзьям не пришлось дождаться того дня, когда они стали питаться бесплатно. И не потому, что официант не исполнил обещания, а потому что число всех возможных размещений за столом чересчур велико. Оно равняется ни мало, ни много — 3 628 800. Такое число дней составляет, как нетрудно сосчитать, почти 10 000 лет! Вам может показаться невероятным, чтобы 10 человек могли размещаться таким большим числом различных способов. Проверьте расчет сами.
Возьмите любое трехзначное число. Допустим 475. Сколько еще можно получить чисел путем перестановки цифр этого трехзначного числа?
Переставляя цифры, получим следующие числа: 475, 457, 745, 754, 547, 574. Всего 6 перестановок.
Добавим четвертую цифру: 4753. Сколько будет тогда перестановок?
4753, 4735, 4573, 4537, 4357, 4375, ...
Если каждую цифру поставить на первое место, то три другие дадут шесть перестановок, значит, так как у нас всего четыре цифры, то всего получится 4-6=24 перестановки. То есть, когда взяли три цифры, перестановок получили 6, а когда взяли четыре цифры, перестановок оказалось 24. В первом случае число перестановок равно 1×2×3=6, во втором 1×2×3×4=24. А в нашей сценке число перестановок равно 1×2×3×4×5×6×7×8×9×10=3628800.
Математическая пьеса «Задача о чашах»
Много лет тому назад очень богатый шах объявил, что хочет разделить наследство между своими детьми, а того, кто поможет ему в этом, он щедро вознаградит.
Шах. В трех чашах хранил я жемчуг. Подарю я старшему сыну половину жемчужин из первой чаши, среднему — одну треть из второй, а младшему только четверть жемчужин из последней. Затем я подарю старшей дочери 4 лучшие жемчужины из первой чаши, средней — 6 жемчужин из второй чаши, а младшей дочери — две жемчужины из третьей чаши. И осталось у меня в первой чаше 38, во второй — 12, а в третьей — 19 жемчужин. Сколько жемчужин у меня должно быть в каждой чаше сначала? Хватит ли моего жемчуга для детей и меня?
Ведущий. И вот из разных стран пришли во дворец мудрецы. И первый мудрец, поклонившись шаху, написал свое решение задачи.
Первый мудрец. Если в первой чаше, о великий шах, останется 38 жемчужин, а подаришь ты старшей дочери 4 жемчужины, то эти 42 жемчужины и составят половину того, что хранится сейчас в чаше. Ведь вторую половину ты подаришь старшему сыну? Значит, в первой чаше у тебя должно быть сейчас 84 жемчужины. Во второй чаше должно остаться 12 жемчужин, да 6 ты подаришь другой дочери. Эти 18 жемчужин составят 2/3 того, что хранится во второй чаше сейчас. Ведь 1/3 ты пожалуешь среднему сыну. Значит, во второй чаше должно быть сейчас 27 жемчужин. Ну а в третьей чаше должно остаться 19 жемчужин, да две ты подаришь младшей дочери. Выходит, что 21 жемчужина - это 3/4 содержимого третьей чаши. Ведь 1/4 ты отдаешь младшему сыну. Значит, сейчас в третьей чаше должно быть 28 жемчужин.
Во время рассказа первый мудрец записывает решение на доске:
38+4=42 42:1/2=42×2=84, 12+6=18 18:2/3=18-3/2=27, 19+2=21 21:3/4=21×4/3=28.
Шах. Как же ты смог решить такую сложную задачу?
Первый мудрец. Мне помогла арифметика — наука о числах, их свойствах и правилах вычисления. Это очень древняя наука, ей уже много тысяч лет.
Шах. Твое решение мне понятно, но оно длинное и утомило меня. А что скажет другой мудрец?
Второй мудрец. О великий шах! Я обозначу число жемчужин в первой чаше буквой х. Тогда старшему сыну ты подаришь
жемчужин. Если из х вычесть его половину, да еще 4 жемчужины, что ты подаришь старшей дочери, то остаток нужно приравнять к 38. Вот какое уравнение я составил:
x-
-4=38.
Решим его.
= 42, а х в два раза больше, т.е. х = 84. Выходит, что в первой чаше должно быть сейчас 84 жемчужины. А для второй чаши, если количество жемчужин в ней обозначить через у, получим уравнение
y-
-6=12
Решим его.
у == 18, а теперь 18 разделим на 2 и умножим на 3. Значит у = 27.
Рассуждая также, составляем уравнение для третьей
чаши:
z-
-2=19,
z =21, z =28.
Следовательно, в третьей чаше должно быть сейчас 28 жемчужин.
Шах. Твое решение мне тоже нравится. И ответы у вас одинаковые. Но нельзя ли решить это все как-то покороче?
Тогда молча вышел третий мудрец и показал плакат, где написано следующее:
х — ах — b = с.
Ответ: х=
.
Шах. А здесь я ничего не понимаю! И вообще один ответ, а у меня три чаши!
Третий мудрец. Все три ответа уместились в одном, о великий шах! Ведь задачи про чаши совершенно одинаковые, лишь числа разные. Я и объединил три решения в одном, обозначив через х неизвестное число жемчужин, через а - часть жемчужин, подаренных сыну, через b - число жемчужин, отданных дочери, а через с — число оставшихся в чаше жемчужин. Теперь можно подставлять вместо этих букв числа, которые ты задашь в своей задаче, и будут получаться правильные ответы. Будь у тебя 100 чаш, 100 сыновей, 100 дочерей, одного моего уравнения хватит, чтобы получить все ответы.
Шах. Да, твое решение, оказывается, самое удобное. Как же ты придумал его?
Третий мудрец. Мне помогла решить эту задачу алгебра, как и второму мудрецу. В этой науке буквы используются наравне с числами. Под буквой можно разуметь любое число. Алгебра дает самое короткое, самое общее решение для многих похожих друг на друга задач.
Игра «Аукцион»
На торги выносятся задания по какой-либо теме, причем учитель заранее договаривается с ребятами о теме игры. Пусть, например, это будет тема VIII класса «Действия с алгебраическими дробями».
В игре участвуют 4—5 команд. С помощью кодоскопа на экран проецируется лот № 1 — пять заданий на сокращение дробей. Первая команда выбирает задание и назначает ему цену от 1 до 5 баллов. Если цена этой команды выше тех, что дают другие, она получает это задание и выполняет его. Остальные задания должны купить другие команды. Если задание решено верно, команде начисляются баллы — цена этого задания, если неверно, то эти баллы (или часть их) снимаются. Хочу обратить внимание на одно из достоинств этой простой игры: при выборе примера учащиеся сравнивают все пять примеров и мысленно «прокручивают» в голове ход их решения.
Игра «Игрекс»
Эту игру можно проводить по любой теме на уроке или как внеклассное мероприятие. В классе или в коридоре ставят столы, над которыми написаны плакаты:
фирма «Поиск», «Бюро добрых услуг», «Школбанк», магазин «Сладкоежка». Во всех фирмах работают старшеклассники. В игре может участвовать от 3 до 8 команд. Все команды зачисляются в фирму «Поиск» и получают одну или несколько задач первого уровня, причем каждая задача оценена в 500 игрексов (игреке — денежная единица, которую придумали ребята для этой игры). Решив задачи, команда сдает свою работу снова в фирму «Поиск». Руководители фирмы проверяют работы и оценивают их. На основании этих оценок банк выдает заработанные командой деньги. Банк также ведет размен денег и выдает кредит. Получив причитающееся число игрексов за задания первого уровня, команда приступает к задачам второго уровня и т.д. Если задача не получается, команда обращается за консультацией в «Бюро добрых услуг», заплатив при этом 10% стоимости задачи. Выигрывает та команда, которая заработает больше игрексов. В конце игры все команды покупают в магазине «Сладкоежка» на свои игрексы настоящие конфеты.
Приложение 4
Приведем примеры.
1. В IX классе на занятии математического кружка было предложено найти способ (путь) решения задачи: «Найти уравнение прямой, параллельной прямой у=2х—3 и проходящей через точку К(—3; 2).
Известная из аналитической геометрии формула у—у0 =k(х—х0 ) учащимся не сообщалась. Они самостоятельно должны были отыскать путь решения предложенной задачи.
Решение.
Способ 1. Ученик предложил на прямой у=2х—3 рассмотреть любую точку, например А (0; —3). Затем в формулах параллельного переноса х'=х+а, у'=у+b подобрать параметры а и b так, чтобы точка A перешла в точку К. Это будет перенос: х'=х—3, у'=у+5. Прямую у=2х—3 подвергнем найденному параллельному переносу: x = x'+3; y = у'— 5;
у'— 5=2 (x'+ 3)—3; у'—5= 2x'+6—3; y'==2x'+8. После отбрасывания штрихов при переменных получим ответ: y =2x+8.
Способ 2. Ученик предложил воспользоваться известным фактом, что в уравнениях параллельных прямых угловые коэффициенты равны. Поэтому искомое уравнение будет вида у=2х+b. Последнему удовлетворяют координаты точки K, поэтому 2=2×(-3)+b, b=8.
Ответ: y==2x+8.
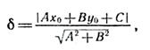
2. В стенгазете математического кружка IX класса было предложено самостоятельно найти способы решения задачи: «Вычислить расстояние от точки M (3; 2) до прямой Зх+4y+1=0».
Ученики нашли различные способы решения.
Способ 1. Воспользоваться готовой формулой, найденной учеником в учебнике по аналитической геометрии для втузов:

где Ах+Ву+С=0 — уравнение прямой, ax0 и у0 — координаты заданной точки.
Способ 2. На прямой Зх - 4y + 1 = 0 способом подбора найти две точки, например A (1; 1) и В (—3; —2). В треугольнике АВМ вычислить длины сторон и по формуле Герона площадь. Затем найти высоту, проведенную к стороне АВ. Это и будет искомое расстояние.
Способ 3. Найти уравнение прямой, проходящей через точку М перпендикулярно данной прямой. Затем вычислить координаты х0 и у0 точки пересечения этих прямых. Расстояние от точки (3; 2) до точки
(x0 ; у0 ) и будет искомым.
Приложение 5
Приведем темы некоторых обзоров.
Тема 1. Координаты и задание фигур на плоскости (IX кл.).
Литература.
1) Гельфанд И. М., Глаголева Е. Г., Кириллов А. А. Метод
координат.— М.: Наука, 1971.
2) Понтрягин Л. С. Знакомство с высшей математикой:
Метод координат.— М.: Наука, 1977.
Тема 2. Задачи на максимум и минимум (X кл.).
Литера т у р а.
1) Нагибин Ф. Ф. Экстремумы.— М.:
Просвещение, 1966.
2) Б е л я е в а Э. С., Монахов В. М. Экстремальные задачи.— М.:
Просвещение, 1977.
Тема 3. Применение математики при решении нематематических
задач (XI кл.).
Литература. 1) Маковецкий П. В. Смотри в корень! — М.: Наука,
1984.
2) Попов Ю. П., Пухначев Ю.В. Математика в образах.— М.: Знание,
1989.
3) Тихонов А. Н., Костомаров Д. П. Рассказы о прикладной
математике.— М.: Наука, 1979.
Приложение 6
1. Между морскими портами А и В регулярно курсируют теплоходы одного и того же номерного рейса, отправляясь ежедневно в полдень из одного порта и прибывая ровно в полдень через 7 суток в другой порт. Стоянка в порту — сутки. Сколько теплоходов своего рейса встретит команда одного из них на пути от Л до В? Каково наименьшее число теплоходов, необходимых для бесперебойного обеспечения расписания движений?
2. Найти геометрическое место середин всех хорд окружности, проходящих через заданную внутри ее точку.
3. Найти геометрическое место оснований перпендикуляров, опущенных из данной точки М на прямые, проходящие через точку К.
4. Механизм представляет собой равнобедренный треугольник СОК, в котором равные стороны ОС и ОК являются упругими (несжимаемыми и нерастяжимыми) стержнями, а сторона КС — резиновый (равномерно растяжимый) шнур. Какую линию опишет середина стороны КС, если сторону ОК оставить неподвижной, а сторону ОС вращать вокруг точки О?
Список литературы
1. Под ред. Ю.К. Бабанского. Выбор методов обучения в средней школе. М., 1981.
2. Бабанский Ю.К. Рациональная организация деятельности учащихся. М.: Знание 1981г. (Серия «Педагогика и психология»; №3 1981г.)
3. Айзенберг М.И. Обучение учащихся методам самостоятельной работы. Математика в школе. 1982 №6.
4. Кулько Б.А., Цехместрова Т.Д. Формирование у учащихся умений учиться: пособие для учителей. – М.: Просвещение, 1989 г.
5. Минскин Е.М. От игры к знаниям. – М.: Просвещение, 1987 г.
6. Сефибеков С.Р. Внеклассная работа по математике. – М.: Просвещение, 1988 г.
7. Пичурин Л.Ф. Воспитание учащихся при обучении математике: книга для учителя. – М.: Просвещение, 1987 г.
8. Самостоятельная деятельность учащихся при обучении математике (Формирование умений самостоятельной работы): Сборник статей, составитель Демидова С.И. – М.: Просвещение, 1990 г.
9. Степанов В.Д. Внеурочная работа по математике в средней школе. – М.: Просвещение, 1991 г.
10. Веселая математика. Журнал «Математика в школе №6, 1999 г.»
Похожие рефераты:
Математические игры как средство развития познавательного интереса учащихся
Психологическое содержание педагогической толерантности как профессионально важного качества учителя
Математическое развитие ребенка в системе дошкольного и начального школьного образования
Особенности развития одарённых детей в процессе обучения математике в 5-6 классах
Дидактические игры в начальном курсе математики
Личный пример учителя в начальной школе
Математическое мышление младших школьников
Формирование учебной мотивации младших школьников с нарушениями интеллекта
Процесс формирования читательской самостоятельности первоклассников на уроках внеклассного чтения
Развитие логического мышления учащихся при решении задач на построение
Произвольная память младших школьников с нарушениями интеллекта в игровой деятельности
Психолого-педагогические условия экономического воспитания младших школьников
