| Похожие рефераты | Скачать .docx | Скачать .pdf |
Дипломная работа: Особливості експертизи кисломолочних сирів, порядок та правила перепуску їх через митний кордон України (за матеріалами магазину "Вибір" м. Рівне)
ДИПЛОМНА РОБОТА
на тему:
«Особливості експертизи кисломолочних сирів, порядок та правила перепуску їх через митний кордон України» (за матеріалами магазину «Вибір», м. Рівне)
ПЛАН
ВСТУП.. 4
1 ПРОБЛЕМИ НАСИЧЕННЯ РИНКУ КИСЛОМОЛОЧНИМИ СИРАМИ.. 6
1.1 Стан вітчизняного та світового ринку кисломолочних сирів. 6
1.1.1 Виробництво молокопродуктів. 6
1.1.2 Експорт кисломолочної продукції 7
1.1.3 Імпорт кисломолочних сирів. 10
1.2 Асортимент та споживні властивості кисломолочного сиру. 13
1.2.1 Кисломолочний сир та сиркові вироби. 13
1.2.2 Асортимент кисломолочних сирів. 15
1.3 Вимоги нормативних документів. 18
1.3.1 Органолептичні показники якості кисломолочних сирів. 18
1.3.2 Фізико-хімічні показники якості кисломолочних сирів. 20
1.3.3 Мікробіологічні і санітарно-гігієнічні показники кисломолочного сиру. 21
1.4 Характеристика магазину «ВИБІР». 23
1.5 Особливості виробництва кисломолочних сирів. 25
1.5.1 Сировина для виробництва кисломолочних сирів. 25
1.5.2 Технологія виробництва кисломолочних сирів. 26
1.6 Дефекти кисломолочних сирів. 29
1.7 Фальсифікація кисломолочних сирів та методи їх визначення. 32
1.8 Пакування, маркування, транспортування та зберігання кисломолочних сирів. Гарантії виробника. 34
Висновки до розділу 1. 37
2 Товарознавча експертиза кисломолочних сирів. 40
2.1 Організація проведення експертизи. 40
2.1.1 Подання заявки та оформлення наряду на проведення експертизи. 40
2.1.2 Порядок відбору проб. 41
2.1.3 Акт за результатами експертизи. 42
2.2 Методи визначення органолептичних показників. 44
2.3 Методи визначення фізико-хімічних показників. 44
2.3.1 Визначення вмісту жиру у кисломолочному сирі 44
2.3.2 Визначення кислотності у кисломолочних сирах. 47
2.3.2.1 Потенціометричний метод. 47
2.3.2.2 Метод із застосуванням індикатора фенолфталеїну. 48
2.3.3 Методи визначення вологи та сухих речовин у кисломолочних сирах. 49
2.3.4 Визначення вмісту фосфатази. 50
2.4 Приймання кисломолочних сирів. 53
2.5 Результати експериментальних досліджень. 54
Висновки до розділу. 60
3 Митне оформлення кисломолочного сиру. 63
3.1 Обґрунтування доцільності експортування кисломолочного сиру. 63
3.2 Порядок митного оформлення кисломолочного сиру. 63
3.3 Документи для митного оформлення кисломолочного сиру. 66
3.4 Методи нетарифного регулювання, що застосовуються до кисломолочного сиру 66
3.5 Визначення коду товару за УКТ ЗЕД.. 68
3.6 Визначення країни-походження товару. 71
3.7 Нарахування митних платежів. 76
3.7.1 Визначення митної вартості 76
3.7.2 Нарахування мита. 80
3.7.3 Нарахування ПДВ.. 81
3.7.4 Нарахування митного збору. 81
3.7.5 Визначення загальної суми митних платежів. 82
3.8 Використання ВМД при митному оформленні кисломолочного сиру. 82
Висновки до розділу 3. 92
Висновки. 94
Перелік посилань. 101
Додатки. 108
ВСТУП
Тема здорового харчування турбує людство на протязі багатьох років. Кисломолочний сир (творог) – це натуральний молочно-білковий продукт, один з найцінніших молочних продуктів і продуктів харчування взагалі.
Він вміщує всі ті ж амінокислоти, що входять до складу молока, тільки вміст їх значно більший (у 6-7 разів), ніж у молоці. У кисломолочному сирі значно більший вміст мінеральних речовин, ніж в молоці (в тому числі кальцію, фосфору та магнію) та менше лактози.
Високий вміст кальцію дозволяє рекомендувати кисломолочні сири для лікування та профілактики різних запальних процесів, а також для зміцнення кісткової тканини, зокрема після переломів. Особливого значення надається кисломолочним сирам в харчуванні людей (дорослих і дітей), які проживають в умовах хронічної дії малих доз радіації.
Кисломолочні продукти давно визнані дієтичними, завдяки високій засвоюваності та стимулюванні секреторної функції шлунку, підшлункової залози.
Зважаючи на те, що кисломолочні сири є корисними та користуються великим попитом у населення, обрана тема дипломної роботи є актуальною.
Основна мета роботи – дослідити споживні властивості кисломолочних сирів, показники їх якості, а також методи визначення цих показників.
Відповідно до поставленої мети, під час виконання роботи вирішуються такі завдання:
- висвітлити проблеми насичення ринку кисломолочними сирами;
- дослідити асортимент та споживні властивості кисломолочних сирів;
- ознайомитися із вимогами нормативних документів до якості кисломолочних сирів;
- вивчити особливості виробництвакисломолочних сирів;
- дослідити види дефектів, що зустрічаються у кисломолочних сирах;
- ознайомитися з особливостями експертизи кисломолочних сирів;
- провести експериментальні дослідження кисломолочних сирів.
Крім перерахованих завдань також необхідно ознайомитися із особливостями митного оформлення кисломолочних сирів при експорті.
1 ПРОБЛЕМИ НАСИЧЕННЯ РИНКУ КИСЛОМОЛОЧНИМИ СИРАМИ
1.1 Стан вітчизняного та світового ринку кисломолочних сирів
1.1.1 Виробництво молокопродуктів
Виробництво основних видів молокопродуктів в 2006 році, за винятком кисломолочної продукції, зменшилось. До основних причин відноситься дефіцит якісного сирого молока, введення ембарго Росією на продукцію українського виробництва. Вітчизняні виробники практично повністю забезпечують потреби внутрішнього ринку.
Таблиця 1.1.1 -Україна: виробництво основних груп молочних продуктів, тис. тонн
| Найменування товару | 2006 | 2006 | 2005 | 2005 | Всього 2006р., у % до 2005 | |
| грудень | Всього на поч. Року | грудень | Всього на поч. Року | |||
| Масло вершкове | 4,1 | 101,9 | 5,4 | 117 | 75,9 | 87,1 |
| Кисломолочні продукти | 40,3 | 517 | 37,8 | 494 | 106,6 | 104,7 |
| Фасована кисломолочна продукція | 38,7 | 451,7 | 34,9 | 417,2 | 110,9 | 108,3 |
| Сири жирні | 17,1 | 215,2 | 20,5 | 272,4 | 83,4 | 79 |
| Сири плавлені | 4,73 | 49,5 | 5,1 | 49,9 | 92,7 | 99,2 |
| Молочні консерви | 8,2 | 96,8 | 9,9 | 104,4 | 82,8 | 92,7 |
| Молоко та сухі вершки | 2,4 | 105,8 | 3,6 | 110,7 | 66,7 | 93,9 |
| Казеїн та казеїнати | 0,09 | 12,7 | 0,26 | 17,9 | 34,6 | 70,9 |
На відміну від інших видів молокопродуктів об'єми виробництва кисломолочної продукції у 2006 році дещо зросли. Рівень щомісячних коливань об'ємів виробництва був незначним. У грудні їх було вироблено 40,3 тис. тон. Порівняно з груднем 2005 року, ріст виробництва склав 6,6% з початку року кисломолочної продукції було вироблено 517,0 тис. тон., що що на 4,7% вище показника 2005 року. Основу виробництва кисломолочної продукції складають кефіри, йогурти та творог.
Значна частина кисломолочної продукції виробляється підприємствами Києва та області, Дніпропетровської, Донецької, Львівської, Полтавської Харківської областей.(65% від заг. Виробництва на 2005 р.) Серед підприємств перші позиції займають підприємства компаній “ВБД Україна”, “Юнімілк”, “Лакталіс”, “Галичина”.
1.1.2 Експорт кисломолочної продукції
Введення російського ембарго на українську продукцію показало негативний вплив на рівень зовнішньоекономічної активності. В листопаді 2006 року експорт основних видів молокопродуктів склав біля 12,7 тис. тон., що відрізняється від показників грудня (13,8 тис. тон.) Скорочення імпорту відмічено практично за всіма позиціями.
Всього експорт основних видів молокопродуктів склав біля 172,7 тис. тон (2005р.-252,8 тис. тон).
Закритість основного російського ринку збиту змушує вітчизняних експортерів активізувати роботу по розширенню географічних поставок.
Під впливом зросту цін на сири на внутрішньому ринку середній рівень митної вартості кисломолочних сирів у листопаді продовжував зростати і почав складати 3163,1 $US/т, на умовах DAF/FOB.

Казеїн
Сухі молокопродукти та згущене молоко
Масло вершкове
Сири та творог
Інше
Рисунок 1.1.1 – Україна: експортні поставки молокопродуктів,
листопад 2006 р.

2004 рік
2005 рік
2006 рік
Рисунок 1.1.2 – Україна: експорт основних молокопродуктів, 2004-2006 рр.(тон)
Таблиця 1.1.2 –Україна: експорт основних молочних продуктів. 2006 рік
| Товар | Країни- імпортери | Жовтень,тон | Листопад,тон | Лист.,тис.US | Всього за 2006р. Тон | Всього за 2005р. Тон |
| 0401-молоко та вершки | Азербайджан | 287,9 | 353,8 | 196,4 | 2449,6 | 1632,8 |
| 0402-сухі молокопродукти | Алжир | 5085 | 4024,8 | 7542,3 | 90248,7 | 91013,8 |
| 0403-йогурт,кефір | Молдова | 84,7 | 70,2 | 53,6 | 712,9 | 2980,2 |
| 0404-молочна сиворотка | Японія | 1599 | 2018,5 | 1608,1 | 6581,7 | 8709,8 |
| 0405-масло вершкове | Казахстан | 240,3 | 381,4 | 777,2 | 12612,1 | 22827,6 |
| 0406- сири та творог | Росія | 5594,2 | 5468,8 | 17298,3 | 44574,4 | 104534,9 |
| 3501-казеїн | Польша, Германія | 840 | 358 | 1760,5 | 13418,3 | 17167,2 |
| 2105- морозиво | Молдова | 47,8 | 26,2 | 33,9 | 1805,2 | 3857,9 |
| 2202-молочні напої | Ізраїль, Арменія |
- | 2 | 2,4 | 61 | 57,6 |
| Всього: | 13778,6 | 12703,7 | 29272,7 | 172463,9 | 252781,8 |
Розширення кисломолочних сирів в Росію мають тільки 5 підприємств. Невирішеність питань поновлення поставок української молочної продукції на російський ринок ускладнює конкурентноспроможність виробництва і білоруських сирів.
1.1.3 Імпорт кисломолочних сирів
У листопаді 2006 року імпорт основних видів молочної продукції в Україну склав біля 4,02 тис. тон, що ненабагато нижче попереднього місяця-4,14 тис. тон.
Основними постачальниками молочної продукції в Україну вже традиційно є компанії Росії.

Молочні напої
Кисломолочні продукти
Сири та творог
Інше
Рисунок 1.1.3- Україна: імпорт молокопродуктів, листопад 2006 рік

2004 рік
2005 рік
2006 рік
Рисунок 1.1.4- Україна : імпорт молокопродуктів,
2004-2006 рр.(тон)
Всього з початку року в Україну було доставлено біля 38,8 тис. тон молокопродуктів (2005 рік – 30,5 тис. тон).
За офіційною статистикою імпорт кисломолочних сирів в листопаді дещо зріс і склав 906,5 тон (жовтень 840,4 тон). Порівняно з листопадом 2005 р., імпорт цього виду молокопродуктів зріс майже в 1,7 рази (жовтень 2005 – 535,5 тон).
Основну частину імпорту складає кисломолочна продукція та плавлені сири, виготовлені на підприємствах Росії (біля 76,5% від загального імпорту). Інша частина – це жирні сири середнього та дорогого сегментів із країн ЄС та кисломолочну продукцію із Білорусії. Всього експортерами цього виду молокопродуктів були 13 країн.
Середній рівень митної вартості в листопаді склав 2819,0 $US/тон на умовах DAF/CIF (жовтень 2946,8 $US/тон).
Всього імпорт по цій групі товарів склав біля 7,6 тис. тон (2005 рік – 4,8 тис. тон).
Таблиця 1.1.3- Україна: імпорт молочних продуктів, 2006 рік
| Товар | Країни- експортери | Жовтень,тон | Листопад,тон | Лист.,тис.US | Всього за 2006р. Тон | Всього за 2005р. Тон |
| 0401 – молоко та вершки | Німеччина | 233,9 | 172,7 | 221,8 | 1187,7 | 588,6 |
| 0402 – сухі молокопродукти та згущене молоко | Фінляндія | 26,3 | 86,8 | 187,4 | 231,7 | 33,5 |
| 0403 – Пахта, вершки, йогурт, кефір та ін. | Росія | 2673,3 | 2551,5 | 2975,3 | 26575,1 | 22676,1 |
| 0404 – молочна сироватка | Польща | 211,7 | 205,6 | 264,9 | 1636,8 | 1385,4 |
| 0405 – масло вершкове | Німеччина | 2,0 | 0,6 | 3,0 | 31,6 | 1,6 |
| 0406 – сири та творог | Росія | 840,4 | 906,5 | 2555,3 | 7592,2 | 4846,7 |
| 2105 – морозиво | Росія | 103,5 | 16,7 | 76,6 | 765,5 | 224,0 |
| 2202 – молочні напої | Росія | 47,4 | 84,5 | 94,2 | 760,6 | 732,7 |
| 3501 – Казеїн | Росія | - | - | - | 35,1 | 29,4 |
| Всього: | 4138,5 | 4024,1 | 6378,5 | 38816,3 | 30518,0 |
1.2 Асортимент та споживні властивості кисломолочного сиру
Відповідно до діючих стандартів кисломолочний сир з коров’ячого молока за вмістом жиру поділяється на нежирний, напівжирний (масова частка жиру 9%) і жирний (масова частка жиру 18%). Залежно від способу обробки молока – сир із пастеризованого і не пастеризованого молока. Сир з не пастеризованого молока використовують в громадському харчуванні для виготовлення виробів, які перед споживанням проходять термічну обробку (сирники, вареники та ін.), і для виробництва плавлених сирів.
1.2.1 Кисломолочний сир та сиркові вироби
Класифікація кисломолочних сирів
1. залежно від вмісту жиру:
· нежирний;
· напівжирний(9%);
· жирний (18%).
2. залежно від термічної обробки молока:
· виготовлений з пастеризованого молока;
· виготовлений з не пастеризованого молока.
3. залежно від рецептури:
· без смакових добавок;
· з смаковими добавками:
· для солодких сирків і сиркової маси – з ізюмом, горіхами, плодово – ягідними добавками, згущеним молоком та ін.
· для солоних сирків та сиркової маси – з кмином, томатом і перцем та ін.
· глазуровані ;
· неглазуровані.
4. залежно від виду фасування:
· фасовані в пергамент;
· фасовані в картонні стакани з полімерним покриттям масою 100, 250, 500 г.
· фасовані в полістирольні стаканчики з кришками;
5. залежно від застосування:
· використовується безпосередньо в їжу;
· використовується для отримання творожних виробів та кулінарних страв.
Кисломолочний сир (творог) – концентрований молочно-білковий продукт, один із найцінніших молочних продуктів і продуктів харчування взагалі. Він вміщує всі ті ж амінокислоти, що входять до складу молока, тільки вміст їх значно більший ( у 6-7 разів), ніж у молоці. Білковий склад творогу відрізняється від білкового складу молока. Це зумовлено тим, що при коагуляції молока до згустку переходить казеїн, а альбумін і глобулін залишаються в сироватці. Тому у кисломолочному сирі ( за винятком альбумінного, який виготовляється із сироватки), білки представлені головним білком молока – казеїном. В кисломолочному сирі значно більший вміст мінеральних речовин, ніж в молоці ( в тому числі кальцію, фосфору та магнію) та менше лактози, яка разом з альбуміном переходить в значній кількості в сироватку, а також частково перетворюється молочнокислими бактеріями в молочну кислоту.
Кисломолочний сир – продукт дієтичного харчування. Завдяки високому вмісту амінокислоти метіоніну він рекомендується для профілактики та захворювань печінки і атеросклерозу (метіонін нормалізує жировий обмін і обмін холестерину, порушення яких є причиною розвитку атеросклерозу і захворювань печінки). Високий вміст кальцію дозволяє рекомендувати кисломолочні сири для лікування та профілактики різних запальних процесів, а також для зміцнення кісткової тканини, зокрема після переломів. Особливого значення надається кисломолочним сирам в харчуванні людей (дорослих і дітей), які проживають в умовах хронічної дії малих доз радіації. Останнє зумовлено конкурентними взаємовідносинами між кальцієм і стронцієм. При нестачі кальцію в раціоні в кістковій тканині накопичується радіоактивний стронцій, який є причиною її поступового руйнування. Якщо ж раціон багатий кальцієм – стронцій організмом не засвоюється і виводиться з організму. Тому кисломолочні сири, сиркові вироби та різні їх вироби з них повинні входити до щоденного раціону людини, зокрема дітей дошкільного і шкільного віку, у яких є потреба в кальції особливо висока у зв’язку з їх зростанням.
1.2.2 Асортимент кисломолочних сирів
В залежності від вихідної сировини творог поділяють на жирний, напівжирний та нежирний.
З кисломолочних сирів виготовляють сиркові вироби (сирки, сиркові маси, креми, пасти, торти).
Сирки – це сиркові вироби, розфасовані у споживчу тару.
Сиркові маси – вироби, розфасовані у споживчу тару масою від 200г до 2кг та в транспортну тару.
Сирки можуть бути глазуровані шоколадною глазур’ю. Як правило, їх виготовляють із жирного кисломолочного сиру з додаванням вершкового масла, а також різних смакових та ароматичних речовин і прикрашають візерунком з крему або вкривають глазур’ю.
Залежно від вмісту жиру творожні вироби поділяються на жирні, напівжирні та нежирні. Жирність цих виробів може бути різною від 5 до 23% і залежить від жирності сиру, а також рецептурної кількості вершкового масла та вершків. В рецептуру сиркових виробів можуть входити також сичужні сири, цукор, мед, різні цукати, родзинки, горіхи, ванілін, кава, какао, кориця, плодово-ягідні та інші добавки.
Крім солодких сиркових виробів виготовляють солоні сирки і сиркові маси, в які поряд з кухонною сіллю можуть додавати кмин, томатну пасту, кріп, перець і таке інше. Складові рецептури після відповідної підготовки разом з сиром подрібнюють і розтирають в змішувачах. При цьому ароматичні речовини завантажують в останню чергу. Потому суміш фасують і охолоджують. Вміст кухонної солі в солоних сиркових виробах від 1 до 2,5% (залежно від виду). В солодких сирках поряд з кислотністю, вмістом жиру і води нормалізується вміст сахарози, який також залежить від виду виробів.
До сиркових виробів належать також молочно-білкова (альбумінна) паста та альбумінні сирки, які виготовляють з молочної сироватки. У них знаходиться майже 1% білка, головним чином альбуміну, який не коагулює під дією сичужного ферменту і високої кислотності, а тому під час виробництва сирів залишається в сироватці.
Виділення альбуміну із сироватки базується на його властивості коагулювати під дією високої температури. Кислу сироватку нагрівають, а після коагуляції сирова точних білків (альбуміну і глобуліну) відділяють від сироватки і відпресовують. Концентрат сирова точних білків (КСБ) можна отримати також ультрафільтрацію кисломолочної сироватки. КСБ використовують для виготовлення молочно-білкової (альбумінної) пасти. До рецептури альбумінної пасти входять КСБ, вершки та різні смакові і ароматичні речовини. Альбумінний сир і альбумінні сирки – продукти дуже цінні, особливо в дитячому та дієтичному харчуванні.
До кисломолочних сирів належать також сири дієтичний та домашній. Дієтичний сир виготовляється роздільним способом з масовою часткою жиру 11%. Вміст білкових речовин в ньому – 12%, тобто співвідношення жиру і білка складає 1:1,1, що дозволяє віддавати перевагу в дієтичному харчуванні саме цьому виду сиру. Завдяки роздільному способу виробництва кислотність сиру не перевищує 1800 Т. Сир має однорідну маслоподібну консистенцію. Фасується в пакети і коробки із полімерних матеріалів по 250 і 500г.
Домашній сир нагадує кисломолочний сир з приємною зернистою структурою і м’яким слабо кислим смаком. Виробляється роздільним способом. Готове сирне зерно промивають водою, а потім змішують з вершками і сіллю, потім розфасовують у стаканчики. Масова частка вологи в домашньому сирі 78-80%, а кухонної солі – не більше 1%. Вміст жиру в розрахунку на суху речовину – 20% ( на всю масу сиру – 4%). Кислотність не перевищує 1500 Т, тобто значно нижча у порівнянні з традиційними видами сирів.
До творожних напівфабрикатів відноситься тісто для сирників домашніх, вареники, ліниві вареники, млинці з творогом, напівфабрикати для запіканки солодкої з ізюмом та ін.
Таблиця 2.1.1- Класифікація асортименту кисломолочних сирів та показники якості
| Вид кисломолочного сиру | Масова частка, % | Кислотність, 0 Т не більше |
|
| Жиру, не менше | Вологи, не більше | ||
| 18%-ї жирності | 18 | 65 | 210 |
| 9%-ї жирності | 9 | 73 | 220 |
| Нежирний | - | 80 | 240 |
| М’який дієтичний: | |||
| Нежирний | - | 79 | 220 |
| 4%-ї жирності | 4 | 77 | 220 |
| 9%-ї жирності | 9 | 66 | 180 |
| 11%-ї жирності | 11 | 73 | 210 |
| М’який дієтичний з плодово-ягідними наповнювачами: | |||
| Нежирний | - | 72 | 200 |
| 4%-ї жирності | 4 | 69 | 190 |
| 9%-ї жирності | 9 | 66 | 180 |
| 11%-ї жирності | 11 | 64 | 180 |
| Столовий | 2 | 76 | 220 |
| Селянський | 5 | 74,5 | 200 |
Сири типу кисломолочних терочних
Зелений сир готують із знежиреного молока. Сир має сіро-зелений колір (додають порошок із висушеного листя синього та жовтого донника), щільну структуру, вільно піддається подрібненню на терці. Масонку не має. Смак гостро солений із специфічним запахом донника. Містить: вологи – 40%, солі – 6,5%. Головка загортається в фольгу, використовується як приправа.
Сири типу кисломолочних зріючи
До цієї групи відносяться литовський, кисломолочний пліснявий, гарцский та ін. виготовляють їх із творогу, до якого додають 3% солі і 1% бікарбонату натрію; ретельно розтирають масу, формують циліндрики по 100г. Витримують в сухому приміщенні 1-2 тижні. На поверхні виникає жовтувата слизь, яка поступово висихаючи, утворює корку. Готові сирки мають приємний, сильно виражений сирний смак та запах.
Литовський сир випускається в вигляді бруска з трикутною основою. Консистенція у нього ніжна, мажуча, смак та запах гострі, кисломолочні. Містить не менше 45% жиру, вологи – 47%, солі – 2%
Сири типу кисломолочних незріючих
При виготовленні цих сирів застосовують сичужно-кисломолочне або кисломолочне звертання. Технологія їх виготовлення подібна до технології виробництва творогу, тому свіжі сири часто називають творожними.
Чайні та кавові сирки мають ніжну, мазку консистенцію, кисломолочний, солонуватий присмак, малюнок без очок. Чайний сирок фасують в картонові коробки масою 250-500г. Кавовий сирок обертають в пергаментний папір та придають квадратну форму (50-120г) або циліндра (100-170г).
1.3 Вимоги нормативних документів
1.3.1 Органолептичні показники якості кисломолочних сирів
Згідно ТУ 248-90 «Сир із коров’ячого молока» за органолептичними показниками творог повинен відповідати вимогам, вказаним в таблиці 1.3.1.:
Таблиця 1.3.1 - Органолептичні показники якості кисломолочного сиру
| Показники | Вимоги до якості |
| Консистенція | Ніжна, однорідна. Дозволяється рихла дещо неоднорідна, а для нежирного сиру – з незначним виділенням сироватки, розсипчаста. |
| Смак та запах | Чистий, ніжний, кисломолочний, без стороннього присмаку і запаху. Дозволяється слабкий кормовий присмак. |
| Колір | Білий з жовтуватим або кремовим відтінком, рівномірний по всій масі. |
Примітка. Для творогу напівжирного та нежирного, виробленого на механізованих лініях з використанням ванисеток, марки Я9-ОПТ або на твороговиготівниках марки ТІ 4000, допускається консистенція з незначною крупчасткістю та незначним виділенням сироватки.
Серед усіх показників якості для споживання кисломолочних продуктів найважливішими є їх смак і запах.
Специфічний кисломолочний смак і аромат кисломолочних сирів зумовлений утворенням ароматичних речовин при тепловій обробці молока, а також їх нагромадження у процесі життєдіяльності мікроорганізмів заквасок, формування типового смаку і запаху кисломолочних продуктів і заквасок, проходить, головним чином, в період сквашування, дозрівання і зберігання готових продуктів. Таким чином, вираженість їх запаху визначається складом і кількістю бактеріальних заквасок, режимом технологічного процесу і зберігання.
Молочна кислота і летючі жирні кислоти (серед яких переважає оцтова) надають продуктам виражений кислий смак; діацетил, ацетальдегід – специфічний кисломолочний аромат; спирт і вуглекислий газ – приємний освіжаючий смак. Різні смакові відтінки кисломолочних продуктів відчуваються головним чином завдяки різниці у вмісті ацетальдегіду і етанолу, а також співвідношення летючих жирних кислот.
Для формування приємного типового смаку і запаху кисломолочних продуктів та заквасок особливо важливе співвідношення діацетилу і ацетальдегіду. Наприклад для аромоутворюючих заквасок оптимальним вважається співвідношення від 3:1 до 5:1. зрушення співвідношення у бік діацетилу надає сильно виражений аромат діацетилу, грубий, терпкий присмак, а у бік ацетальдегіду – різкий в’яжучий смак.
1.3.2 Фізико-хімічні показники якості кисломолочних сирів
З фізико-хімічних показників у кисломолочних продуктах визначають: температуру, масову частку жиру, сухих речовин, вологи, кислотність, фосфатазу (таблиця 1.3.2).
Таблиця 1.3.2 - Фізико-хімічні показники якості кисломолочного сиру
| №№ з/п | Показник | Норма для кисломолочного сиру | ||
| Жирного | напівжирного | нежирного | ||
| 1 | 2 | 3 | 4 | 5 |
| 1. | Масова частка жиру, %, не менше | 18,0 |
9,0 |
- |
| 2. | Масова частка вологи, %, не більше | 65,0 |
73,0 |
80,0 |
| 3. | Кислотність, 0 Т, не більше | 210,0 | 225,0 | 250,0 |
| 4. | Температура при випуску з підприємства, 0 С, не вище | 8,0 | 8,0 | 8,0 |
| 5. | Фосфатаза (для сиру з пастеризованого молока) | Не допускається | ||
Як видно з даних таблиці зниження жирності сиру зумовлює зростання її вологості і кислотності. Остання в 10 і більше разів вища у порівнянні зі свіжим молоком і в 2 з лишнім рази вища у порівнянні із сметаною і дієтичними кисломолочними напоями. Серед всіх кисломолочних продуктів найвища кислотність допускається для нежирного сиру – 2500 Т. Останнє зумовлено високим рівнем молочнокислого бродіння зумовленим кислотним способом виробництва цього сиру, а також найвищим вмістом білкових речовин, до складу яких входять амінокислоти кислого характеру (моноамідонодікарбонові кислоти).
1.3.3 Мікробіологічні і санітарно-гігієнічні показники кисломолочного сиру
За мікробіологічними і санітарно-гігієнічними показниками творог повинен відповідати вимогам, затвердженим у ГОСТі 248-90 «Сир із коров’ячого молока». З цього питання діючі стандарти на молоко і молочні продукти мають деякі недоліки, а саме в стандарті на питне молоко наводяться вимоги щодо мікробіологічних показників, а щодо вмісту токсичних елементів, афлотоксину М1 і пестицидів – дається посилання на відповідні норми безпечності (Сан Пін), затверджені Міністерством охорони здоров’я. Стандарт на кисломолочний сир нормує безпечність продукту і за мікробіологічними показниками, і за вмістом важких металів, однак ці норми не достатньо виражені, оскільки мікробіологічні показники нормуються без урахування виду сиру залежно від способу обробки молока. В таблиці 1.3.3 наведено мікробіологічні норми безпечності сиру відповідно до Сан Пін 2.3.2.560-96.
Таблиця 1.3.3 - Мікробіологічні норми безпечності сиру
| Назва показника | Норма для сиру | ||
| жирного | напівжирного | нежирного | |
| Титр бактерій групи кишкових паличок, г, не меньше | 0,00001 | 0,00001 | 0,00001 |
| Патогенні мікроорганізми, в т.ч. бактерії роду Сальмонела, в 25 г продукту | Не допускається | Не допускається | Не допускається |
| Масова частка важких металів, милини-1 (мг/кг), не більше | |||
| Свинцю | 0,30 | 0,30 | 0,30 |
| Кадмію | 0,20 | 0,20 | 0,20 |
| Ртуті | 0,02 | 0,02 | 0,02 |
| Міді | 4,00 | 4,00 | 4,00 |
| Цинку | 50,00 | 50,00 | 50,00 |
| Масова частка миш’яку, милини-1 (мг/кг), не більше1/4+1/2-01365 | 0,20 | 0,20 | 0,20 |
Таким чином, в сирі, який виготовляється із сирого молока, бактерії групи кишкової палички (БГКП), які є показником санітарного стану виробництва, не допускаються в 0,001г продукту, а в сирі, виготовленому із пастеризованого молока, в 0,01г, тобто пастеризація молока зменшує забрудненість продукту бактеріями групи кишкової палички на цілий порядок.
Вимоги СанПін щодо забруднення продукту патогенними мікроорганізмами, в тому числі збудниками харчових отруєнь, не залежать від способу обробки молока. Вимоги СанПін відносно рівня забруднення кисломолочного сиру і сиркових виробів шкідливими речовинами наведені в таблиці 1.3.4.
Таблиця 1.3.4 - Вимоги Сан Пін відносно рівня забруднення кисломолочного сиру і сиркових виробів шкідливими речовинами
| Показники (шкідливі речовини) | Рівень, який допускається, мг/кг, не більше | Зауваження |
Токсичні елементи: Свинець Миш’як Кадмій Ртуть Мідь Цинк |
0,3 0,2 0,1 0,02 5,0 40,0 |
|
Мікотокеіни: Афлатоксин М1 |
0,0005 |
Контроль за сировиною |
Пестициди: Гексахлорциклогексан (L, Y-ізомери) ДДТ і його метаболіти |
1,25 1,0 |
Контроль за сировиною в перерахунку на жир; те ж саме |
Антибіотики: (левоміцетин, тетрациклінова група, стрептоміцин, пеніцилін) |
Не допускаються |
Контроль за сировиною |
Радіонукліди: Цезій – 137 Стронцій – 90 |
50 20 |
Бк/л. Контроль за сировиною |
Нажаль, діючі в Україні СанПін, до цього часу не нормують вміст нітратів в молочних продуктах. Стандарти безпечності продуктів харчування західних країн давно вже нормують цей показник для всіх молочних продуктів. Фахівець-товарознавець ніколи не повинен забувати про те, що такі цінні за харчовими, дієтичними і органолептичними показниками як кисломолочний сир і сиркові вироби можуть бути небезпечними для здоров’я людини, якщо будуть забруднені шкідливими речовинами чи мікроелементами.
1.4 Характеристика магазину «ВИБІР»
Магазин «Вибір» створено 07 травня 2005 року, знаходиться за адресою: Україна, м. Рівне, вул.. Відінська , 10.
Магазин «Вибір» займається роздрібню торгівлею продовольчими та непродовольчими товарами. Суб’єкт господарювання є платником єдиного податку.
За товарною спеціалізацією магазин є змішаним; за товарним асортиментом – універсальним; за методом продажу товарів – за індивідуальним обслуговуванням. Магазин поділяється на 6 відділів: кондитерський, бакалія, молочний, алкоголь та тютюн, побутової хімії, м’ясний.
Магазин працює в цілодобовому режимі роботи.
В магазині працює 10 продавців (4 продавців у зміну). Працівники працюють за трудовою угодою.
Магазин відповідає необхідним санітарним нормам. Продаж оварів відбувається згідно з установленими правилами та нормами. В магазині забороняється продаж товарів без відповідного маркування, належного товарного вигляду, на яких строк придатності не зазначено, або зазначено з порушенням вимог нормативних документів, строк придатності яких минув, а також тих, що надійшли без документів , передбачених законодавством, зокрема, які засвідчують їх якість та безпеку.
У магазині «Вибір» представлено такий асортимент кисломолочних сирів:
1. Творог 0% к/м « Творожна традиція Президент» / Стаканчик 0,200 кг;
2. Творог 9% к/м « Творожна традиція Президент» / кв. стаканчик 0,450 кг;
3. Творог 15% к/м « Творожна традиція Президент» / кв. стаканчик 0,450 кг;
4. Десерт сирковий 4% з ізюмом Президент / Стаканчик 0,200 + 60
5. Десерт сирковий 4% полуниця Президент / Стаканчик 0,200 + 60
6. Десерт сирковий 4% ананас Президент / Стаканчик 0,200 + 60
7. Десерт сирковий 4% чорнослив Президент / Стаканчик 0,200 + 60
8. Десерт сирковий 4% екзотик Президент / Стаканчик 0,200 + 60
9. Десерт сирковий 4% чорниця Президент / Стаканчик 0,400 + 60
10. Десерт сирковий 4% вишня Президент / Стаканчик 0,400 + 60
11. Десерт сирковий 4% ізюм та шоколадна глазур Президент / Стаканчик 0,400 + 60
12. Десерт сирковий 4% банан та шоколадна глазур Президент / Стаканчик 0,400 + 60
13. Десерт сирковий 4% апельсин та шоколадна глазур Президент / Стаканчик 0,400 + 60
14. Крем сирковий Творожок 0% Президент / Стаканчик 0,400 + 60
15. Крем сирковий Творожок 4% вишня пюре Президент / Стаканчик 0,125кг;
16. Крем сирковий Творожок 4% з ваніллю Президент / Стаканчик 0,125кг
17. Крем сирковий Творожок 4% з карамеллю Президент / Стаканчик 0,125кг
18. Крем сирковий Творожок 4% мультифруктПрезидент / Стаканчик 0,125кг;
19. Сиркова маса Білосвіт 16,5 % солодка з ізюмом / 0,250
20. Сир кисломолочний 5% Білосвіт / 0,250 кг
21. Сирок Білосвіт 16,5% солодкий з ваніллю /0,100 кг
22. Сирок Білосвіт 16,5% з ізюмом /0,100 кг
23. Сирок Білосвіт 16,5% солодкий з курагою / 0,100 кг
24. Сирок глазурований Білосвіт 26% джем вишня/ 0,050 кг та 0,036
25. Сирок глазурований Білосвіт 26% джем персик/ 0,050 кг та 0,036 кг
26. Сирок глазурований Білосвіт 26% джем полуниця 0,050 кг та 0,036 кг
Молочна та кисломолочна продукція постачається: ТзОВ «Укрмолокопродукт» , ТзОВ «АРГО», ПП Дудік Б.Д., ПП Олійник О.С.
Товар має якісні посвідчення та сертифікати відповідності.
1.5 Особливості виробництва кисломолочних сирів
Кисломолочний сир – це білковий кисломолочний продукт, отриманий із цільного, нормалізованого чи знежиреного пастеризованого молока шляхом сквашування закваскою, виготовленою на чистих культурах молочнокислих бактерій, та відокремленням сироватки від згустку.
1.5.1 Сировина для виробництва кисломолочних сирів
Технологічними інструкціями, з дотриманням санітарних правил для підприємств молочної промисловості, затверджених у зазначеному порядку для виробництва творогу повинні застосовуватись наступні види сировини та допоміжних матеріалів:
молоко коров’яче, що закуповується з ГОСТом 13264;
молоко коров’яче знежирене та вершки масовою часткою жиру від 50 до 55% та кислотністю не більше 120 Т, отримані із молока, що закуповується з ГОСТом 13264;
молоко коров’яче цільне сухе розпиленого сушіння вищого ґатунку за ГОСТом 4495;
молоко коров’яче сухе знежирене розпиленого сушіння вищого ґатунку за ГОСТом 10970;
Концентрат білків творожної сироватки за ТУ 49 1096;
Закваска для творога на чистих культурах молочнокислих стрептококів за ГОСТом 49113, вироблена у відповідності з інструкцією по виготовленню та застосуванню заквасок для КМП на підприємствах молочної промисловості, затвердженої у встановленому порядку;
Закваска «Дарницька» за ТУ 10.16 УССР 62;
Концентрат бактеріальний сухий мезофільних молочнокислих стрептококів за ТУ 49 559 або ГОСТом 10-02-02-50;
Концентрат бактеріальний рідкий мезофільних молочнокислих стрептококів за ТУ 49 1025;
Кальцій хлористий технічний (зневоднений) не нижче 1 сорту за ТУ 06-09-4711;
Кальцій хлористий двуводний за ТУ 06-09-5077;
Кальцій хлористий фармакопінний;
Порошок сичужний за ГОСТом 49144;
Пепсин харчовий яловичий за ГОСТом 4996;
Пепсин харчовий за ТУ 10.02.01.111;
Ферментний препарат ВНІІМС за ГОСТом 49 159;
Вода питна за ГОСТом 2874.
Творог із коров’ячого молока повинен вироблятись у відповідності до стандарту 248-90 «Сир із коров’ячого молока».
1.5.2 Технологія виробництва кисломолочних сирів.
Технологічний процес складається з наступних операцій (рисунок 1.5.1):
Приймання та підготовка молока
Сепарування молока
Складання суміші нормалізованого молока
Пастеризація
Сквашування
Розрізання згустку
Відділення сироватки та розлив згустку
Самопресування та пресування згустку
Охолодження творогу
Фасування та пакування
Рисунок 1.5.1 – Технологічний процес виготовлення кисломолочних сирів
В молоко, залите у творожні ванни, вносять 1-5% закваски чистих культур мезофільних та термофільних молочнокислих стрептокококів у співвідношенні 1:1.
При прискореному способі сквашування молоко повинне мати температуру 35-380 С. Після внесення в молоко закваски його перемішують. Потім додають Ca Cl2 у вигляді 30-40% розчину із розрахунку 400г безводного Ca Cl2 на 1000кг заквашеного молока та вводять сипучий фермент або пепсин із розрахунку 1г препарату (активність 10000 одиниць) на 100 кг молока.
Молоко повинне кваситись до кислотності для жирного та напівжирного творогу 58-600 С, нежирного 66-700 С. Готовий згусток розрізають дротяними ножами на кубики розміром по ребру біля 2 см. Згусток на 30-40 хв залишають у спокої для виділення сироватки та нарощування у ньому кислотності.
У випадку поганого виділення сироватки роблять підігрів згустку на протязі 20-30 хв при 36-420 С. Підігрів роблять поступово (10 С в 3-4 хв). Сироватку , що виділилась випускають із ванни через сифон. Згусток через штуцер на дні ванни розливають по 7-9кг у бязеві або лавсанові мішки один на інший в прес-тележку для самопресування. Після самопресування згусток пресують. На мішки кладуть металічну пластину, на яку давить гвинт пресу.
Творог можна пресувати й охолоджувати на установці системи Г.А. Митрофанова. Ця установка являє собою барабан (дві глухі торцеві стінки та трубчастий колектор). Частину бокової поверхні складає перфорована відсувна кришка. У центрі барабана проходить вал.
Для пресування творожного згустку застосовують також ротаційні перфоровані барабани.
Фасування творогу у брикети проводиться на карусельних та стрічкових автоматах. На стрічку пергаменту чи фольги автомат наносить дату фасування.
Кислотним способом нежирний творог готують із знежиреного пастеризованого молока за тією ж схемою і на тому ж обладнанні, що й кисло-сичужним способом, але без додавання хлористого кальцію, сичужного ферменту або пепсину. Кислотність згустку досягає 75-800 Т. Для прискорення виділення сироватки згусток повільно підігрівають до 36-380 С, витримують 15-20хв, після чого видаляють сироватку. Згусток викладають у мішки, проводять самопресування. Потім його пресують, охолоджують, упаковують або фасують.
Технологія отримання творогу роздільним способом . Цей спосіб найбільш розповсюджений. Спочатку виробляють нежирний творог кисло-сичужним способом, потім його перемішують зі свіжими вершками (у відповідності з жирністю творогу). Цей спосіб полегшує відділення сироватки від згустку, при цьому зменшуються втрати жиру (економія 13 кг жиру на 1т творогу), відокремлюється основний недолік жирного творогу – підвищена кислотність.
Готовий творог для надання хорошої консистенції пропускають через вальцовочну машину, після чого його змішують з охолодженими вершками. Продукт охолоджують і фасують.
Технологія виготовлення м’якого дієтичного творогу . Для механізації трудоємного процесу відведення сироватки від згустку створена механізована лінія по виробництву творогу роздільним способом. При цьому сироватку відокремлюють від згустку на сепараторі. А творог із цих ліній називають дієтичним. Творог готується роздільним способом з обов’язковою гомогенізацією, яка забезпечує йому однорідну м’яку, ніжну консистенцію.
Технологія виготовлення селянського та столового творогу . Виробництво здійснюється із знежиреного пастеризованого молока, сквашеного кисло-сичужним способом чистими культурами молочнокислих стрептококів, з наступним додаванням до нежирного творогу вершків. Вершки використовують 50-55% жирності. Особливістю столового творогу являється те, що його отримують із суміші знежиреного молока і пахти (1:1).
Для дитячого харчування готують спеціальні продукти. Наприклад, творог ДМ (для малят) призначений для харчування дітей з 6-місячного віку. Він виготовляється з нормалізованого гомогенізованого молока, що піддається високотемпературній обробці, сквашеного закваскою чистих культур молочнокислих стрептококів з наступним відділенням сироватки шляхом ультрафільтрації сквашеного згустку. На відміну від творогу, приготовленого традиційним способом, творог ДМ збагачений найбільш цінними білками молока сироватки (В- лактоглобулін, імуноглобуліни, лактоальбуміни та ін.), в максимальному ступені відповідних потреб дитячого організму. Продукт має ніжну, м’яку консистенцію, чистий молочнокислий смак. Вміст жиру 10%, білку 8-10%, кислотність не більше 1500 Т, вологи не більше 77%. Термін зберігання творогу ДМ – 3 доби.
Із творогу ДМ з наступними змішуваннями його з плодово-ягідними наповнювачами, желатином та іншими добавками виробляються кисломолочні білкові продукти, призначені для безпосереднього вживання в їжу дітьми та дорослими.
1.6 Дефекти кисломолочних сирів
Причиною дефектів смаку, запаху і консистенції кисломолочних продуктів поряд з недотриманням умов і термінів зберігання, може бути недоброякісна сировина (молоко, добавки), а також порушення технології виготовлення.
Дефекти смаку і запаху . Найпоширенішими дефектами смаку і запаху кисломолочних продуктів є: невиражений, хлібний, нечистий, оцтовокислий, гіркий і згірклий, надто кислий смак, а також кормовий, аміачний, хлівний і металевий присмак, пліснявий смак і запах.
Невиражений (прісний) смак зумовлений низьким рівнем кислотності і слабким ароматом. Причинами дефекту є використання недоброякісної закваски або сквашування при низькій температурі.
Нечистий і хлібний смак є результатом забруднення молока або закваски сторонньою мікрофлорою. Деколи нечистий смак можуть мати кисломолочні напої, виготовлені на заквасках із окремих штамів біфідобактерій. Останні відносяться до молочнокислих бактерій і в процесі своєї життєдіяльності (поряд з молочною і оцтовою кислотою) утворюють цілу низку побічних продуктів, які можуть бути причиною нечистого смаку. Використовують біфідобактерії в якості заквасок тому, що вони прекрасно пристосовані до проживання в кишечнику і ефективно нормалізують його мікрофлору. Причиною оцтовокислого смаку можуть бути також біфідобактерії, бо вони продукують в 1,5 разів більше оцтової кислоти ніж молочної. Крім того, оцтовокислий смак може появлятися в продуктах змішаного бродіння, оцтовокислі бактерії перетворюють спирт, який є в цих продуктах в оцтову кислоту. Обов’язковою умовою виникнення дефекту є наявність повітря, бо оцтовокисле бродіння відбувається тільки в аеробних умовах.
Гіркий смак є наслідком розвитку жирофільних пептоноутворюючих бактерій під час тривалого зберігання при понижених температурах більше 2 діб сирого молока до його пастеризації і переробки. В кисломолочних сирах цей дефект може бути спричинено використанням пепсину замість сичугового ферменту. Справа в тому, що і пепсин і сичуговий фермент викликають пептонізацію білків, але для утворення згустку потрібно у 10 разів менше сичугового ферменту ніж пепсину, а значить при використанні сичугового ферменту утворюється у 10 разів менше пептонів ніж при використанні пепсину. Використання пепсину зумовлене невисокою ціною, тоді як сичуговий фермент – дуже дорогий і дефіцитний продукт, бо отримують його із четвертого відділення шлунку (сичуга) тільки новонароджених телят і ягнят, а пепсин із сичуга дорослих тварин. Гіркий смак може перейти також в кисломолочні продукти із молока, якщо при годівлі корів були використані гіркі трави (полин). З молока до кисломолочних продуктів можуть перейти і інші кормові присмаки. Різкий неприємний гіркий смак виникає при розвитку маслянокислих бактерій, , а також продуктів гідролізу та окислення ліпідів.
Надто кислий смак може виникнути при дуже тривалому сквашуванні молока, запізнілому охолодженні і при перевищенні термінів зберігання готової продукції.
Аміачний і хлівний присмаки проявляються у тому випадку, коли молоко до переробки тривалий час знаходилося в погано вентильованому приміщенні, де утримувалися тварини, або до переробки було забруднено окремими видами гнильних бактерій.
Металевий присмак зумовлений використанням для зберігання сировини (молока), або готової продукції (сметана, сир) в погано луженій тарі (цистерни, бідони, фляги).
Пліснявий смак і запах виникає в наслідок пліснявіння готової продукції. Розвиток пліснявих грибів може виникнути при тривалому зберіганні продукції в приміщеннях з підвищеною температурою і відносною вологістю повітря за умовою негерметичної упаковки, бо всі плісені - аеробні мікроорганізми. Найчастіше за таких умов розвивається молочна пліснява – Oidium lactis. Пліснява розвивається на поверхні продуктів, утворюючи на них білий пухнастий шар. Неприємний смак і запах пліснявої продукції зумовлений тим, що плісняві гриби продукують протеолітичні ферменти, які призводять до розкладу білкових речовин і ліпідів. Пліснявіння спостерігається тільки при порушенні умов і термінів зберігання і готової продукції.
Дефекти консистенції. Найчастіше зустрічаються такі дефекти консистенції кисломолочних продуктів: виділення сироватки, трухлявість згустку, спучування продукту, рідка, мазка і крихка консистенція.
Виділення сироватки із згустку спостерігається при переквашуванні згустку, порушенні терміну зберігання.
Мазка консистенція спостерігається в кисломолочних сирах при переквашуванні або недостатньому повторному нагріванні (відварюванні) подрібненого згустку.
1.7 Фальсифікація кисломолочних сирів та методи їх визначення
Способи фальсифікації кисломолочних сирів та методи їх виявлення наведені у таблиці 1.7.1.
Таблиця 1.7.1- Фальсифікація кисломолочних сирів та методи їх визначення
| Найменування | Способи та засоби | Методи визначення |
| Кисломолочний сир | Розбавлення водою | Вимірюють в’язкість та вміст жиру. Визначають вологість продукту |
| Розбавлення кефіром | Дослідження на наявність кефірного грибка | |
| Додавання крохмалю | Реакція з йодом | |
| Додавання крейди | Реакція з кислотою | |
| Виготовлення із сирого молока | Ефективність пастеризації |
Додання до сметани кисломолочного сиру. Для поліпшення консистенції сметани (як правило після розведення водою) фальсифікатори добавляють добре розтертий кисломолочний сир.
Визначають таку фальсифікацію наступним способом: у склянку з гарячою водою додають столову ложку сметани. При наявності фальсифікації жир спливає на поверхню, а казеїн сиру, кислого молока та інших домішок осідає на дно. Сметана не повинна мати осаду, лише як виняток може мати окремі його сліди. Осад слід дослідити сенсорно.
Виявлення домішок крохмалю в сирі
Прилади і реактиви: пробірки, розчин Люголя.
Хід визначення. У пробірку вносять 5 мл дрібно розтертого сиру, додають 2-3 краплі розчину Люголя. Вміст пробірки збовтують. Поява синього кольору вказує на наявність в продукті крохмалю.
Визначення фальсифікації сиру за вмістом вологи та жиру.
Розповсюдженим видом технологічної фальсифікації сирів є недотримання вимог НТД (збільшення вмісту вологи та зменшення вмісту жиру), за рахунок чого отримується додатковий прибуток, а якість продуктів значно погіршується.
Прилади і реактиви: фарфорова або алюмінієва чашечка місткістю 50 г, ваги, сушильна шафа.
Хід визначення. У суху фарфорову або алюмінієву чашечку насипають тонким шаром прожарений пісок. Чашечку з піском зважують на технохімічних вагах. Потім відважують в чашечку 5 г розтертого сиру і ставлять точно на 20 хв в сушильну шафу при температурі 160-165° (більш тривале нагрівання може викликати розкладання білків і жиру).
Після цього чашечку, не охолоджуючи, зважують, і за різницею ваги визначають вміст вологи. При зважуванні гарячу чашечку потрібно ставити на підставку, вміщену на чашечку ваги (можна пристосувати для цієї мети невеликий фарфоровий трикутник, відігнувши відповідним чином кінець дроту).
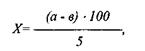
Вміст вологи в сирі, %, обчислюють за формулою:
де а – вага чашечки
з піском і наважкою сиру до висушування;
в – вага чашечки з тим же вмістом після 20-хвилинного висушування.
За результатами дослідження роблять висновок.
1.8 Пакування, маркування, транспортування та зберігання кисломолочних сирів. Гарантії виробника
Пакування
Творог випускається:
В споживчій упаковці прямокутної форми, загорнутим в пергамент за ГОСТом 1341, або поліетиленових мішечках з плівки, виготовленої з поліетилену марки 15803-020 за ГОСТом 16337, масою нетто 100, 125, 250, 500 і 1000г;
В транспортній тарі: в алюмінієвих бідонах за ГОСТом 1715, масою нетто не більше 10 кг, металічних флягах з внутрішнім діаметром горловини 220 мм за ГОСТом 5037, масою нетто не більше 30 кг, дерев’яних діжках за ГОСТом 8777, масою нетто не більше 50 кг.
Допускається пакування творогу в діжки і картонні ящики з мішками вкладеними з поліетилену марки 15803-020 за ГОСТом 16337 і ГОСТом 19360 або за ГОСТом 10354.
Творог, вироблений із не пастеризованого молока, випускається тільки в флягах і діжках.
Реалізація творогу в діжках через торгівельну мережу не допускається.
Бідони-фляги і діжки повинні бути заповнені творогом і щільно закриті кришкою.
Кришки фляг мають бути ущільнені резиновими кільцями.
Творог в споживчій тарі вкладають в ящики з картону за ГОСТом 13513, ГОСТом 13515, полімерні за ТУ 10-10-01-04, дерев’яні за ГОСТом 11354, алюмінієві (контейнери) за нормативно-технічною документацією, масою нетто не більше 20кг.
Бідони, фляги, діжки, дерев’яні ящики повинні бути опломбовані, картонні обклеєні клейкою стрічкою на паперовій основі за ГОСТом 18251.
Допускаються відхилення від встановленої маси нетто творогу в грамах, не більше:
При упаковці:
Від 10 до 50 кг не більше ![]()
Тара і пакувальні матеріали мають забезпечувати зберігання якості і форми продукту.
Маркування
На кожну одиницю споживчої упаковки творогу в пергаменті має бути нанесено компостером або тисненням фарбою, що не змивається і не має запаху маркування в якому вказано:
найменування або номеру, або товарного знаку підприємства-виробника;
виду творогу;
маси нетто в грамах;
дати або дня кінцевого терміну реалізації;
інформаційних даних про харчову і енергетичну цінність 100г продукту;
роздрібної ціни одиниці упаковки;
позначення діючого стандарту.
Творог в поліетиленових мішечках маркується у відповідності:
На кожну одиницю транспортної тари за допомогою трафарету або резинового штампу має бути нанесено маркування фарбою, що не змивається і не має запаху, або наклеєна етикетка, або повішений ярлик на якому вказано:
найменування або номеру, або товарного знаку підприємства-виробника;
повного найменування і виду продукту на якому вказано «з пастеризованого молока» або «не з пастеризованого молока (підлягає обов’язковій термічній обробці)»;
маси брутто, тари, нетто – для творогу в транспортній тарі в кілограмах;
кількості одиниць, покладених в ящик, - для творогу в споживчій тарі;
дати або дня кінцевого терміну реалізації;
номеру партії;
температури зберігання;
інформаційних даних про харчову і енергетичну цінність 100г продукту;
позначення справжнього стандарту.
Творог, упакований в транспортну тару, має супроводжуватись в торгівельну мережу ярликом, який при реалізації продукту має бути викладений на прилавок.
Транспортування.
Перевезення творогу із заводів на торговельні бази, холодильники, в магазини, а також із залізничних станцій на бази має здійснюватись в авторефрежераторах або в машинах із захисним кузовом, у відповідності з правилами транспортних організацій по перевезенню багажів, що швидко псуються.
Зберігання.
Творог повинен зберігатися партіями в охолоджених приміщеннях при температурі повітря не більше 60 С.
Заморожений творог зберігається у відповідності з вимогами технологічної інструкції по замороженню, зберіганню і розмороженню творогу, затвердженому в установленому порядку.
Гарантії виробника.
Виробник гарантує відповідність якості творогу, що випускається вимогам справжнього стандарту, при дотриманні умов зберігання і транспортування.
Гарантійний термін зберігання творогу – 36 год з часу закінчення технологічного процесу, в тому числі на підприємстві-виробнику – не більше 18 год.
Висновки до розділу 1
За статистичними даними відмічається падіння виробництва молочних продуктів. Порівняно з 2005 роком воно носить переважно економічний характер та пов’язано як зі скороченням поголів’я корів, так і з низькою продуктивністю молочного стада. Зниження рівня виробництва молока відмічено і в сільськогосподарських підприємствах, і в приватному секторі. Всього сільськогосподарськими підприємствами усіх форм власності у 2006 році було вироблено біля 13,3 млн. тон молока, що на 3,2 % поступається рівню 2005 року (13,7 млн. тон).
Виробництво основних видів молокопродуктів у 2006 році, за винятком кисломолочної продукції, зменшилася. Основні причини, що вплинули на це можна віднести дефіцит якісного сирого молока, введення Росією ембарго на продукцію українського виробництва. На даний момент вітчизняні виробники практично повністю забезпечують потреби внутрішнього ринку.
Стосовно об’ємів, поставок українського молочної продукції на територію Молдови відмітимо, що він достатньо високий і у 2006 році він зріс на 27 %.
Кисломолочний сир – продукт дієтичного харчування. Завдяки високому вмісту амінокислоти метіоніну він рекомендується для профілактики та захворювань печінки і атеросклерозу (метіонін нормалізує жировий обмін і обмін холестерину, порушення яких є причиною розвитку атеросклерозу і захворювань печінки). Високий вміст кальцію дозволяє рекомендувати кисломолочні сири для лікування та профілактики різних запальних процесів, а також для зміцнення кісткової тканини, зокрема після переломів. Особливого значення надається кисломолочним сирам в харчуванні людей (дорослих і дітей), які проживають в умовах хронічної дії малих доз радіації. Останнє зумовлено конкурентними взаємовідносинами між кальцієм і стронцієм. При нестачі кальцію в раціоні в кістковій тканині накопичується радіоактивний стронцій, який є причиною її поступового руйнування. Якщо ж раціон багатий кальцієм – стронцій організмом не засвоюється і виводиться з організму. Тому кисломолочні сири, сиркові вироби та різні їх вироби з них повинні входити до щоденного раціону людини, зокрема дітей дошкільного і шкільного віку, у яких є потреба в кальції особливо висока у зв’язку з їх зростанням.
Серед усіх показників якості для споживання кисломолочних продуктів найважливішими є їх смак і запах.
Специфічний кисломолочний смак і аромат кисломолочних сирів зумовлений утворенням ароматичних речовин при тепловій обробці молока, а також їх нагромадження у процесі життєдіяльності мікроорганізмів заквасок, формування типового смаку і запаху кисломолочних продуктів і заквасок, проходить, головним чином, в період сквашування, дозрівання і зберігання готових продуктів. Таким чином, вираженість їх запаху визначається складом і кількістю бактеріальних заквасок, режимом технологічного процесу і зберігання.
У кисломолочних продуктах і заквасках є наступні ароматичні речовини: карбонові кислоти (молочна, оцтова, пропіонова, масляна. Капронова, _рібно ро); карбонільні сполуки (ацетальдегід, ацетил, ацетоін, ацетон, метилетилкетон та інші), спирти та ефіри (етанол, _рібно р-2, бутанол-1, етилацетат) і вуглекислота.
З фізико-хімічних показників у кисломолочних продуктах визначають: температуру, масову частку жиру, сухих речовин, вологи, кислотність, фосфатазу.
За мікробіологічними і санітарно-гігієнічними показниками творог повинен відповідати вимогам, затвердженим у ГОСТі 248-90 «Сир із коров’ячого молока». З цього питання діючі стандарти на молоко і молочні продукти мають деякі недоліки, а саме в стандарті на питне молоко наводяться вимоги щодо мікробіологічних показників, а щодо вмісту токсичних елементів, афлотоксину М1 і пестицидів – дається посилання на відповідні норми безпечності (Сан Пін), затверджені Міністерством охорони здоров’я. Стандарт на кисломолочний сир нормує безпечність продукту і за мікробіологічними показниками, і за вмістом важких металів, однак ці норми не достатньо виражені, оскільки мікробіологічні показники нормуються без урахування виду сиру залежно від способу обробки молока.
Причиною дефектів смаку, запаху і консистенції кисломолочних продуктів поряд з недотриманням умов і термінів зберігання, може бути недоброякісна сировина (молоко, добавки), а також порушення технології виготовлення.
2 Товарознавча експертиза кисломолочних сирів
2.1 Організація проведення експертизи
2.1.1 Подання заявки та оформлення наряду на проведення експертизи
Товарознавча експертиза передбачає оцінку експертом основних характеристик товарів, а також оцінку основних змін, що відбуваються з ними в процесі товароруху для подальшого прийняття рішень, видання висновків. Проведення експертизи включає оцінку основоположних характеристик товару: асортиментної, якісної, кількісної, вартісної або їх частину. Експертній оцінці можуть підлягати не тільки одиничні екземпляри чи пакувальні одиниці, але й певні товарні партії, об'єднані спільністю ознак.
Оцінка якості товарів проводяться як органолептичним, так і лабораторним (вимірювальним) методом, а також шляхом опитувань.
Перш ніж будь-який товар випускається на ринок, а в даному випадку, вино, він проходить експертизу, у якій визначають його відповідність тій чи іншій нормативно-технічній документації.
Роботи, пов’язані з експертизою продукції, виконуються на підставі заявок замовників (додаток В). Заявка має містити відомості про назву замовника, його адресу та телефон, прізвище відповідальної особи, найменування та кількість товару, місце знаходження товару, завдання експертизи. Заявка може бути прийнята як у письмовій формі, так і по телефону.
Завдання експертизи має містити інформацію щодо предмета (об’єкту) експертизи та методу контролю (дослідження).
На підставі зареєстрованої заявки оформлюється наряд на проведення експертизи (додаток Г). У наряді слід вказати: номер, дату надходження заявки, дату початку експертизи, відомості про товар та замовника, згідно з заявкою, а також завдання експертизи.
Після отримання наряду експерт повинен вжити певних заходів.
Необхідно повідомити замовника по телефону про свій виїзд на експертизу згідно зареєстрованого замовлення і працювати відповідно до розпорядку робочого дня замовника експертизи.
Експертиза проводиться особисто експертом, виходячи з поставленої задачі. Формулювання задачі експертизи в заявці замовника, наряді та акті експертизи мають збігатися.
2.1.2 Порядок відбору проб
Для проведення експертизи якості кисломолочних сирів потрібно перш за все відібрати проби. Відбір проб проводиться відповідно до ГОСТ 26809.
Про відбір об’єднаної проби складається акт відбору проб. В акті повинно бути вказано:
- час і місце складання акту;
- прізвища та посади осіб, які приймали участь у відборі проби;
- підприємство-постачальник;
- підприємство-отримувач;
- найменування та кількість продукції, від якої відібрана проба;
- найменування та номер документу про якість;
- номер вагону, залізничної цистерни, автоцистерни;
- кількість та місткість пляшок з відібраною об’єднаною пробою;
- опис печатки чи пломби, якою опечатані пляшки з об’єднаною пробою;
- підписи осіб, які приймали участь в відборі проби.
Кожну пляшку з об’єднаною пробою обклеюють етикеткою з вказанням наступних реквізитів:
- найменування продукції;
- найменування підприємства-постачальника та підприємства-отримувача;
- дати відбору проби;
- найменування та номери документа про якість;
- номер вагону, залізничної цистерни, автоцистерни;
- кількість продукції, від якої відібрана проба;
- посади та підписи осіб, які відбирали пробу.
При отриманні незадовільних результатів аналізу хоча б по одному показнику проводять повторний аналіз об’єднаної проби чи вибірки у нейтральній лабораторії.
Результати повторного аналізу розповсюджують на продукцію, від якої відібрана об’єднана проба або вибірка.
2.1.3 Акт за результатами експертизи
Результати експертизи оформлюються відповідно записам, зробленим експертом у робочому зошиті. На підставі протоколу випробувань, у якому відображені результати проведення лабораторних випробувань, оформляється акт експертизи. Протокол випробувань є невід’ємною частиною акта експертизи.
Акт експертизи складається на бланках єдиної форми (додаток Д) з додатком або на бланках Палати у довільній формі з додатками. Бланки повинні мати захисну сітку-гільйош, яка зробить видимими будь-які виправлення або підробки та захистить документ від фальсифікації.
Оригінальний екземпляр акта експертизи (далі – "оригінал") має бути складеним експертом українською мовою власноруч або надрукований чітко, без помилок та скорочень слів (за винятком загальноприйнятих). При необхідності акт експертизи може бути перекладено на бажану для замовника мову.
Акт експертизи складається з трьох частин: протокольної, констатуючої та заключення. При складанні актів експертизи експерт заповнює відповідні пункти форми акта.
Протокольна частина акта експертизи. У заголовній частині акта вказується номер акта експертизи, який відповідає реєстраційному номеру наряду.
Результати експертизи декількох партій товару, проведених за одним нарядом у одного замовника, експерт оформляє окремими актами, що мають реєстраційні номери у вигляді дробу, в чисельнику якого вказується реєстраційний номер наряду, а в знаменнику – порядковий номер акта.
У пунктах протокольної частини акта експертизи експерт вказує відомості, що відповідають найменуванням пункту. При відсутності даних для заповнення будь-якого пункту, зазначений пункт не заповнюється, про що у констатуючій частині акта робиться відповідний запис.
Можливе оформлення одного акта на декілька партій, за умови єдиного постачальника, виробника, замовника.
Констатуюча частина акта експертизи. Констатуюча частина акта експертизи має містити: описаний хід вивчення пред’явлених документів; аргументовано викладені методи та фактично встановлені відповідно до поставленого завдання результати експертизи (огляду та (або) дослідження предмету експертизи, зроблених розрахунків та ін.), проставлені дати початку та закінчення перевірки товару.
Констатуюча частина претензійного акта експертизи підписується експертом та представниками організації, які брали участь у проведенні експертизи. При незгоді представників організацій зі змістом акта останні повинні підписати його з посиланням на окрему думку, яка є невід’ємною частиною акта експертизи. У випадку відмови представників замовника від підпису і вираження окремої думки в письмовій формі експерт має право оформити акт експертизи без їхніх підписів, роблячи про це в акті експертизи відповідний запис.
Висновок експерта. У висновку експерт повинен відповісти на поставлене завдання, сформулювати висновки. Висновок має бути складений експертом стисло, конкретно та обґрунтовано, виходячи з явних і об’єктивних даних, і настільки чітко, щоб не треба було додаткових пояснень експерта; висновок має кореспондуватися з констатуючою частиною акта. Висновок підписує тільки експерт.
Акти експертизи друкуються (на машинці під копіювальний папір або на комп’ютері); кількість екземплярів узгоджується із замовником; всі екземпляри акта мають читатися. Оформлений акт експертизи і додатки до нього засвідчуються печаткою (круглим штампом) Палати.
Виправлення в протокольній або констатуючій частині:
- претензійного акта експертизи – мають бути засвідчені підписом експерта та підписом представників замовника;
- інших актів експертизи – мають бути засвідчені підписом експерта.
Виправлення, які вносяться у висновок акта експертизи, мають бути погоджені та засвідчені підписом тільки експерта.
2.2 Методи визначення органолептичних показників
Органолептичні показники – це зовнішній вигляд, колір, смак, запах, консистенція – визначаються за допомогою зору, нюху та смаку. Оцінку смаку та запаху проводять спеціально вивчені та атестовані експерти.
Смак та запах кисломолочних сирів проводять як безпосередньо після відбору проб , так і після їх зберігання та транспортування на протязі не більше 4 г. при температурі 4 ± 20 С.
Аналізовані проби порівнюють з пробою кисломолочного сиру без дефектів смаку та запаху.
При визначенні смаку та запаху кисломолочного сиру оцінюється його чистота (відсутність сторонніх присмаків), відповідність згідно стандартів. Органолептично визначається колір та консистенція.
2.3 Методи визначення фізико-хімічних показників
2.3.1 Визначення вмісту жиру у кисломолочному сирі
Кислотний метод визначення жиру в кисломолочному сирі (ГОСТ 5867-90).
Метод заснований на виділенні жиру із молока та молочних продуктів під дією концентрованої сірчаної кислоти та ізоамілового спирту з наступним центруванням та визначенні об’єму жиру, що виділився в градуйованій частині жироміру.
Проведення вимірювань
1. В два молочних жироміра, стараючись не намочити горло, наливають дозатором по 10см3 сірчаної кислоти та обережно. Щоб рідини не змішувались, додають піпеткою по 10,77см3 молока, приклавши кінчик піпетки до горла жироміра під кутом. Рівень молока в піпетці встановлюють по нижній точці меніску.
Молоко із піпетки повинно витікати повільно. Після вивільнення піпетку віднімають від горловини жироміру не раніше ніж через 3с. Видування молока із піпетки не допускається. Дозатором додають в жироміри по 1см3 ізоамілового спирту.
Рівень суміші в жиромірі встановлюють на 1- 2мм нижче основи горловини жироміра, для чого дозволяється додавати декілька крапель дистильованої води.
Рекомендується для підвищення точності вимірювання застосовувати зважування при дозуванні проби. В цьому випадку спочатку зважують 11,00г творогу з підрахунком 0,005г, потім доливають сірчану кислоту та ізоаміловий спирт.
2. Жироміри закривають сухими пробками, вводячи їх більш ніж на половину в горловину жиромірів. Жироміри струшують до повного розбавлення білкових речовин, перевертаючи їх 5 разів так, щоб рідини у них повністю перемішалися.
3. Встановлюють жироміри пробкою донизу на 5хв у водяну баню при температурі (65±2)0 С.
4. Вийнявши із бані жироміри, встановлюють у стакан центрифуги градуйованою частиною до центру. Жироміри встановлюють симетрично, один навпроти одного.
Жироміри центрифугують 5 хв. Кожний жиромір виймають із центрифуги та рухом резинової пробки регулюють стовпчик жиру так, щоб він знаходився в градуйованій частині жироміру.
5. Жироміри занурюють пробками донизу на 5 хв у водяну баню при температурі (65±2)0 С, при цьому рівень води в бані повинен бути трохи вище рівня жиру в жиромірі.
6. Жироміри вий мають по одному із водяної бані і швидко проводять підрахунок жиру. При підрахунку жиромір тримають вертикально, межа жиру повинна знаходитися на рівні очей. Рухом пробки встановлюють нижню частину стовпчика жиру на нульовій поділці шкали жироміру. Від нього відраховують число поділок до нижньої точки меніску стовпчика жиру з точністю до найменшої поділки шкали жироміра.
Границя поділу жиру на кислоти повинна бути різкою, а стовпчик жиру прозорим. При наявності «кільця» (пробки) бурого або темно-жовтого кольору, різних домішок в стопці жиру або розмитої нижньої границі виміри проводять додатково.
Визначення жиру проводять у відповідності з вимогами, вказаними у таблиці 2.3.1.
Таблиця 2.3.1 - Визначення жиру у кисломолочних продуктах
| Найменування продукту | Тип жиро- міру |
Об’єм, маса зразка для аналізу | Об’єм добав- леної води, см3 |
Щільність сірчаної кислоти, кг/ см3 | Об’єм сірча- ної кис- лоти, см3 |
К-ть цент- рифу- гу- вань |
Східність, % масової частки жиру, не більше |
| Кисломолочні продукти із негомонізова-ного молока | 1-6; 1-7 |
11,0г |
- |
Від 1810 до 1820 |
10 |
1 |
0,1 |
| Кисломолочні продукти із гомогенізова-ного молока, в т.ч. для дитячого харчування | 1-6; 1-7 |
11,0г |
- |
Від 1810 до 1820 |
10 |
3 |
0,1 |
| Творожні вироби з цукром | 1-40 |
5,00г |
5 |
Від 1800 до 1810 |
10 |
1 |
0,5 |
Перевірка результатів
1. За результатами вимірювань приймають середньоарифметичне значення 2х паралельних спостережень, відмінність між якими не перевищує значень, вказаних в таблиці 2.3.1.
2. Показники жироміра при вимірах в творові відповідають масовій частці жиру у відсотках.
Межі допустимої похибки результатів вимірювань при ймовірності 0,90 відповідають даним таблиці 2.3.2
Таблиця 2.3.2 - Межі допустимої похибки результатів вимірювань
Вид продукту |
Межа допустимої похибки, % масової частки жиру ( |
||||||
| При вимірюванні об’єму піпеткою | При вимірюванні маси проби вагою | Розра- хунко- вий метод |
|||||
| Тип жироміру | Тип жироміру | ||||||
| 1-6 | 1-7 | 2-0,5 | 1-6 | 1-7 | 1-40 | ||
| Молоко, молочні продукти без цукру | 0,08 |
0,08 |
- |
0,065 |
0,065 |
0,30 |
- |
| Молочні продукти з цукром | 0,09 |
0,09 |
- |
0,075 |
0,075 |
0,40 |
- |
2.3.2 Визначення кислотності у кисломолочних сирах
2.3.2.1 Потенціометричний метод
Потенціометричний метод застосовується при виникненні суперечок.
Метод заснований на нейтралізації кислоти, що міститься в продукті, розчином гідроокису натрію до раніше заданого значення рН=8.0 за допомогою блоку автоматичного тестування та індикації точки еквівалентності за допомогою потенціометричного аналізатора.
Проведення вимірювань
У фарфорову ступку вносять 5г продукту (творог або творожний виріб). Ретельно перемішують та розтирають продукт пестиком. Потім кількісно переносять продукт в стакан місткістю 100 см3 , змиваючи його невеликими порціями води, нагрітої до 35-400 С. Загальний об’єм води дорівнює 50 см3 . Потім суміш перемішують і проводять такі виміри: у стакан вміщають стержень магнітного змішувача та встановлюють стакан на магнітний змішувач. Вмикають двигун змішувача та занурюють електроди потенціометричного аналізатора та зливну трубку дозатора блоку автоматичного титрування у стакан з продуктом. Вмикають кнопку «Пуск» блоку автоматичного титрування, а через 2-3с кнопку «Витримка». Розчин гідроокису натрію при цьому починає поступати із дозатора блоку у стакан з продуктом, нейтралізуючи останній. При досягненні точки еквівалентності (рН=8,9) та закінченні часу витримки (30с) процес нейтралізації автоматично завершується, а на панелі блоку автоматичного титрування вмикається сигнал «Кінець». Після цього вимикають всі кнопки. Проводять підрахунок кількості розчину гідроокису натрію, затраченого на нейтралізацію.
Обробка результатів
1. Кисломолочність в градусах Тернера знаходять множенням об’єму, см3 , розчину гідроокису натрію затраченого на нейтралізацію визначеного об’єму продукту, на коефіцієнт 20 для творогу та творожних виробів.
2. Межа допустимої похибки результату вимірювань при прйнятій вірогідності р=0,95 складає
3,20
Т – для творогу та творожних виробів.
Відмінність між двома паралельними вимірами не повинна перевищувати 4,30 Т.
За остаточний результат приймають середнє арифметичне значення результатів двох паралельних визначень, заокруглюючи результат до другого десяткового знаку.
2.3.2.2 Метод із застосуванням індикатора фенолфталеїну.
Метод заснований на нейтралізації кислот, що містяться в продукті, розчином гідроокису натрію в присутності індикатора фенолфталеїну.
Проведення аналізу
У фарфорову ступку вносять 5г продукту. Ретельно перемішують та розтирають продукт пестиком. Потім додають невеликими порціями 50см3 води, підігрітої до температури 35-400 С та три краплі фенолфталеїну. Суміш перемішують та титрують розчином щелочі до появи слабо-рожевого забарвлення, незникаючого на протязі 1хв.
Обробка результатів
1. Кислотність, в 0 Т, знаходять множенням об’єму, см3 , розчину гідроокису натрію, витраченого на нейтралізацію кислот, що містяться у визначеному об’ємі продукту, на коефіцієнт 20.
2. Межа допустимої похибки результату аналізу при ймовірності р=0,95, складає ± 3,60 Т.
Відмінність між двома паралельними визначеннями не повинна перевищувати 5,00 Т.
За кінцевий результат приймають середнє арифметичне значення 2х паралельних визначень.
2.3.3 Методи визначення вологи та сухих речовин у кисломолочних сирах.
Проведення аналізу
Скляну бюксу з 20-30г добре промитого та пропаленого піску та скляною паличкою, не виступаючої за краї бюкси, містять у сушильну шафу та витримують при 102 ± 20 С на протязі 30-40хв. Після чого бюксу виймають із сушильної шафи, закривають кришкою, охолоджують в ексикаторі 40хв та зважують з похибкою не більше 0,001г., закривають кришкою і негайно зважують.
Потім вміст ретельно перемішують скляною паличкою та відкриту бюксу нагрівають на водяній бані, при частому перемішуванні вмісту до отримання розсипчастої маси. Потім відкриту бюксу та кришку містять у сушильну шафу з температурою 102 ± 20 С. По закінченні двох годин бюксу виймають із сушильної шафи, закривають кришкою, охолоджують в ексикаторі 40хв та зважують.
Наступні зважування проводять після сушіння на протязі 1год до тих пір, доки різниця між двома послідовними зважуваннями буде менше або рівна 0,001г. якщо при одному із зважувань після висушування буде виявлено збільшення маси, для розрахунку приймають результати попереднього зважування.
Обробка результатів
1. Масову частку сухої речовини (С) у відсотках визначають за формулою:
, де
Мо – маса бюкси з піском та скляною паличкою, г;
М - маса бюкси з піском, скляною паличкою і наважкою випробуваного продукту до висушування, г;
М1 - маса бюкси з піском, скляною паличкою і наважкою випробуваного продукту після висушування, г.
Розбіжність між паралельними визначеннями повинна бути не більше 0,2% для творогу і творожних виробів. За кінцевий результат приймають середнє арифметичне двох паралельних визначень.
2. Масову частку вологи в продуктах (W) у відсотках визначають за формулою:
Со = С-а, де
С – масова частка сухої речовини, %;
а – масова частка жиру, %.
2.3.4 Визначення вмісту фосфатази
Ефективність термічної обробки молока визначають за наявністю у молоці ферментів пероксидази і фосфатази, які інактивуються при температурі пастеризації не нижче 80°С з витримуванням 20-30 сек. і при температурі не нижче 63°С з витримуванням ЗО хв.
Виявлення фосфатази за реакцією з 4-аміноантипірином.
Метод ґрунтується на гідролізі динатрієвої солі фенілфосфорної кислоти ферментом фосфатазою з утворенням вільного фенолу, який при наявності окиснювача дає рожеве забарвлення з 4-аміноантипірином.
Прилади і реактиви: ваги лабораторні; пробірки скляні розміром 16x150мм; піпетки на 5 мл; колба конічна на 100 мл; циліндр скляний на 25 мл; водяна баня; амоній хлорний, х.ч.; аміак водний 25%-й ч.д.а.; динатрієва сіль фенілфосфорної кислоти - за діючою технічною документацією; 4-аміноантипірин ч.; цинк сірчанокислий х.ч.; мідь сірчанокисла х.ч.; ефір етиловий; гідрооксид натрію х.ч. або ч.д.а., розчин концентрацією 1 моль/дм3 ; дистильована вода; лійки скляні В 56-80 ХУ-1; колба мірна місткістю 1000 мл; паперові фільтри діаметром 11 см; папір індикаторний універсальний рН 1-10, вугілля активоване.
Для приготування основного буферного розчину (рН 10±0,2) беруть 40±0,1 г амонію хлористого і розчиняють у 100-200 мл дистильованої води, потім додають 348 мл 25%-го водного аміаку і доводять до об'єму 1 л дистильованою водою.
При приготуванні розчину А беруть 1,25±0,0002 г динатрієвої солі фенілфосфорної кислоти і розчиняють у 100 мл основного буферного розчину. При приготуванні розчину В беруть 0,8±0,0002 г 4-аміноантипірину і розчиняють у 900 мл дистильованої води.
Розчини А і В повинні бути безбарвними і зберігатися у посуді із темного скла у холодильнику не більше місяця. Пожовтілі розчини для роботи непридатні.
Робочий розчин субстрату готують напередодні проведення реакції, змішуючи розчини А і В у співвідношенні 1:9. Робочий розчин придатний упродовж 8 год при зберіганні його в посуді з темного скла.
У разі необхідності динатрієву сіль фенілфосфорної кислоти очищають від вільного фенолу промиванням етиловим ефіром до повного видалення фенолу. Реактив просушують при кімнатній температурі під витяжною шафою.
Для приготування осаджувача системи цинк-мідь беруть ЗО г сульфату цинку і 6 г сульфату міді, зважених з точністю 0,01 г і розчиняють у 1 л дистильованої води.
При приготуванні розчину натрію гідрооксиду концентрацією 1 моль/дм3 беруть 40 г кристалічного натрію гідрооксиду і розчиняють у дистильованій воді в мірній колбі на 1 л, доводячи об 'єм до мітки.
Хід аналізу. До 3 мл молока в пробірці додають 2 мл робочого розчину субстрату, вміст перемішують і ставлять на водяну баню на 10 хв, при температурі 40—45°С. Потім додають 5 мл осаджувача системи цинк-мідь, вміст старанно перемішують і знову ставлять на 10 хв на водяну баню при температурі 40-45°С. Витягнувши пробірку з водяної бані, проводять візуальне порівняння вмісту пробірки досліджуваного молока з контрольною пробою. Контрольною пробою є реакція з кип'яченим молоком.
Якщо контрольна проба дає світло-рожеве забарвлення, то динатрійфенілфосфат підлягає додатковому очищенню.
При відсутності ферменту фосфатази молоко безбарвне і аналогічне за кольором молоку контрольної проби. Отже, молоко пастеризували при температурі не нижче 60°С. При наявності фосфатази в молоці вміст пробірки має забарвлення від рожевого до темно-червоного. Отже, молоко не пастеризували чи пастеризувалипри температурі нижче 53°С, або воно було змішане з не пастеризованим.
Чутливість методу дає змогу виявити домішку 0,3% не пастеризованого молока до пастеризованого.
Виявлення фосфатази за реакцією з натрію фенолфталеїнфосфатом.
Метод ґрунтується на гідролізі натрію фенолфталеїнфосфату фосфатазою з утворенням фенолфталеїну, який дає рожеве забарвлення в лужному середовищі.
Прилади і реактив й: прилади такі ж, як і при виявленні фосфатази за реакцією з 4-аміноантипірином; аміак водний ч.д.а, розчин концентрацією 1 моль/дм3 ; амоній хлористий х.ч. або ч.д.а., розчин концентрацією 1 моль/дм3 ; суміш буферна аміачна; натрію фенолфталеїнфосфат порошкоподібний, 0,1%-й розчин; пробірки з безбарвного скла з нанесеними поділками на 2 мл; піпетки на 1 і 2мл; пробки гумові; дистильована вода.
При приготуванні аміачної буферної суміші беруть 80 мл розчину аміаку 1 моль/дм3 і змішують з 20 мл розчину амонію хлористого 1 моль/дм3 (рН 9,8).
Для приготування 0,1%-го розчину натрію фенолфталеїнфосфату беруть 0,1г порошкоподібного натрію фенолфталеїнфосфату, зваженого з похибкою не більше 0,0002 г, розчиняють у мірній колбі місткістю 100 мл з невеликою кількістю буферної суміші, а потім доливають буферну суміш до мітки і перемішують.
Хід аналізу. У пробірку відміряють 2 мл молока і 1 мл розчину натрію фенолфталеїнфосфату, закривають пробкою і перемішують. Потім пробірку вміщують на водяну баню з температурою води 40-45°С і визначають забарвлення молока в пробірці через 10 хв і через годину.
При відсутності ферменту фосфатази забарвлення молока в пробірці не змінюється. Отже, його пастеризували при температурі не нижче 63°С. При наявності фосфатази молоко в пробірці набуває забарвлення від світло-рожевого до яскраво-рожевого. Отже, молоко не пастеризували чи пастеризували при температурі нижче 63°С, або воно було змішане з не пастеризованим. Чутливість методу дає можливість виявити домішку не менше 2% не пастеризованого молока до пастеризованого.
2.4 Приймання кисломолочних сирів
Здача-приймання творогу відбувається партіями.
Визначення партії і об’єм виробітки – за ГОСТом 26809.
Для визначення відповідності якості творогу вимогам справжнього стандарту підприємство-виробник проводить приймальний і періодичний контроль.
Приймальному контролю піддається кожна партія творогу за органолептичним і фізико-хімічним показниками, якості упаковки та маркування і оформляється посвідчення якості, в якому вказано:
номер посвідчення;
дата видачі посвідчення;
найменування або номер підприємства-виробника;
повна назва продукту на якому вказано «з пастеризованого молока» або «з не пастеризованого молока»;
кількість місць і маса нетто в кілограмах;
дані результатів аналізу по масовій частці жиру, вологи, кислотності, температурі і фосфатазі продукту;
дата і час виробітки продукту з часом закінчення технологічного процесу;
дата кінцевого терміну реалізації;
позначення справжнього стандарту.
Оригінал посвідчення якості зберігається на підприємстві-виробнику, а в документі, що супроводжує продукцію в реалізацію, проставляються показники якості, номер посвідчення якості, дата і час виробітки продукту з часом закінчення технологічного процесу і дата кінцевого терміну його реалізації.
При періодичному контролі, не рідше одного разу, перевіряють бактерії групи кишкових паличок.
Аналіз на патогенні мікроорганізми і залишкову кількість шкідливих речовин проводять в порядку Державного санітарного нагляду санітарно-епідеміологічними станціями за методами, затвердженими Міністерством охорони здоров’я СССР.
Періодичність визначення масової частки важких металів і миш’яку встановлюється у відповідності з «Рекомендованим порядком контролю на вміст токсичних елементів (важких металів) у виробничій сировині і харчових продуктах», затвердженим 18.04.89р.
2.5 Результати експериментальних досліджень
Для експериментальних досліджень нами було обрано три види кисломолочних сирів 23% жирності – сирок кисломолочний "Простоквашино" (зразок №1), сирок дитячий «Слов’яночка» (зразок №2) та сирок солодкий з ваніліном "Щодня" (зразок № 3) .
Крім органолептичних показників продукту оцінювалась упаковка та маркування.
Упаковка. У наших дослідженнях приймали участь кисломолочні сири у двох видах упаковки. А саме: у фользі та підпергаменті – сирок «Простоквашино», а також пергаменті – сирки "Слов’яночка" та "Щодня".
Кожен вид упаковки має свої переваги. За упаковку оцінку "відмінно" одержав тільки сирок "Простоквашино" у фольговій упаковці та підпергаменті. Упаковка інших кетчупів оцінена на "добре" з наступними зауваженнями: упаковка стає липкою та не зберігає форму сиру.
Маркування.
Яскраво і гарно оформлена етикетка, безумовно, привертає увагу покупця, але, насамперед вона є носієм інформації про продукт. Тому основною вимогою при оцінюванні маркування продукції в наших дослідженнях є наявність повної інформації, причому викладеної в доступній для звичайного споживача формі.
Результати перевірки маркування наведені у таблиці 2.5.1.
Таблиця 2.5.1 - Перевірка маркування
| №№ з/п | Дані, що зазначаються у маркуванні | Сирок кисломолочний «Простоквашино» | Сирок дитячий «Слов’яночка» | Сирок солодкий з ваніліном «Щодня» | |||
| 1 | 2 | 3 | 4 | 5 | |||
| 1 | Найменування продукту | Найменування продукту вказано чітко | На упаковці зазначено «Сирок», що не вказує на приналежність продукту до кисломолочного сиру | На упаковці зазначено «Сирок», що не вказує на приналежність продукту до кисломолочного сиру | |||
| 2 | Найменування підприємства-виробника та його адреса | ВАТ "Галактон", Україна, 02660 м.Київ, вул. М. Раскової,4 |
«ВАТ Вімм – Біль –Дан Україна» м. Вишневе, київської обл., вул. Промислова,7 |
ДП «Молочний завод» ТОВ «Молочна фабрика « Рейнфорд» Україна, 10031, м. Житомир , вул. Ватутіна,45 |
|||
| 3 | Склад продукту | Сир кисломолочний, масло вершкове, цукор – пісок, ванілін | Сир кисломолочний, цукор – пісок, масло вершкове, харчовий ароматизатор «ванілін» | Сир кисломолочний, масло вершкове, цукор – пісок, ванілін | |||
| 4 | Місткість упаковки | 100 г | 100 г | 100 г | |||
| 5 | Номер стандарту, відповідно до якого виготовлено товар | ТУ У 25027034-015-99 | ТУ У 25027034-015-99 | ||||
| 6 | Термін і умови зберігання | При температурі (4±2)0 С не більше 7 діб. не зазначено оптимальну вологість для зберігання. |
При температурі зберігання (4±2)0 С – не більше 4 діб. Не зазначено оптимальну вологість для зберігання. | Строк придатності 7 діб при температурі (4±2)0 С. |
|||
| 7 | Інформація про харчову та енергетичну цінність | Поживна цінність 100 г продукту: білки –9,0, вуглеводи –17,0г, жири -23,0 г Калорійність –311ккал/100 г. Відсутня інформація про вміст вітамінів, макро- та мікроелементів. Маркування українською мовою не відповідає маркуванню російською |
Харчова цінність на 100 г продукту: жири – 23,0 г, білки – 9,0 г, вуглеводи –14,2, калорійність –304,6ккал/100 г. Відсутня інформація про вміст вітамінів, макро- та мікроелементів. Маркування українською мовою не відповідає маркуванню російською. | Поживна цінність 100 г продукту: вуглеводи – 17,0г, білки -9,0, жири -23,0г Калорійність –311 ккал/100г. Відсутня інформація про вміст вітамінів, макро- та мікроелементів. Маркування українською мовою не відповідає маркуванню російською |
|||
| 8 | Мова, якою нанесене маркування | Українська | Українська | Українська | |||
| ОЦІНКА: | відмінно | добре | добре | ||||
Таким чином, сирок кисломолочний «Простоквашино» отримав оцінку «Відмінно» за маркування, сирки кисломолочні «Щодня» та «Слов’яночка» отримали оцінки "добре" за маркування, у них на упаковці зазначено "сирок", що не вказує на приналежність продукту до кисломолочних сирів, а також відсутня інформація про вміст вітамінів, білків, жирів.
Органолептична оцінка.
Якщо продукт має яскраву, багатообіцяючу етикетку, є шанс, що споживач купить його. Але якщо продукт виявиться несмачним, то другий раз його точно не придбають. Тому органолептична оцінка є важливим і найчастіше визначальним показником для харчових продуктів.
Органолептична оцінка включала оцінювання за зовнішнім виглядом і консистенцією продукту, кольором, смаком і запахом. Кисломолочний сир повинен представляти собою м’яку, мазку масу з незначним виділенням сироватки.
Колір кисломолочного сиру повинен бути білий з кремуватим відтінком. Рівномірний по всій масі. Запах та смак кисломолочного сиру - кисломолочні, без сторонніх запахів та присмаків.
Результати органолептичних досліджень кисломолочних сирів наведено у таблиці 2.5.2.
Таблиця 2.5.2 – Результати органолептичних досліджень
| № з/п | Найменування показника якості | Вимоги до якості | Сирок кисломолочний Простоквашино» | Сирок дитячий «Слов’яночка» | Сирок солодкий з ваніліном «Щодня» | |||
| 1 | 2 | 3 | 4 | 5 | 6 | |||
| 1 | Консистенція | М’яка, така, що мажеться | М’яка, така, що мажеться | М’яка, така, що мажеться | М’яка, така, що мажеться | |||
| 2 | Смак і запах | Кисломолоч-ні, без сторонніх смаків та запахів | Кисломолочні без сторонніх смаків та запахів | Кисломолочні без сторонніх смаків та запахів | Смак дещо кислу-ватий | |||
| 3 | Колір | Білий з кремовим відтінком, рівномірний по всій масі | Білий з кремовим відтінком, рівномірний по всій масі | Білий з кремовим відтінком, рівномірний по всій масі | Білий з кремовим відтінком, рівномірний по всій масі | |||
| Оцінка | Відмінно | Відмінно | Добре | |||||
Зведена таблиця експериментальних досліджень кисломолочних сирів наведена нижче.
Таблиця 2.5.3 – Результати досліджень кисломолочних сирів
Марка Показник |
Сирок кисломолочний « Простоквашино» | Сирок дитячий «Слов’яночка» | Сирок солодкий з ваніліном «Щодня»" |
| Виробник | ВАТ "Галактон", Україна, 02660 м.Київ, вул. М. Раскової, 4 |
«ВАТ Вімм – Біль –Дан Україна» м. Вишневе, київської обл., вул. Промислова, 7 |
ДП «Молочний завод» ТОВ «Молочна фабрика « Рейнфорд» Україна, 10031, м. Житомир , вул. Ватутіна, 45 |
| Маса, г | 100 г | 100 г | 100 г |
| Тип упаковки | Фольга з підпергаментом | Пергамент | Пергамент |
| Термін і умови зберігання | При температурі(4+_2*)С не більше7 діб. не зазначено оптимальну вологість для зберігання. |
При температурі зберігання (4+-2*)С – не більше 4 діб. | Строк придатності 7 діб при температурі (4+_ 2*)С. |
| Енергетична цінність 100 г, ккал | 311 | 304 | 311 |
| Вуглеводи, г в 100 г | 17,0 | 14,2 | 17,0 |
| Білки, г в 100 г | 9,0 | 9,0 | 9,0 |
| Загальна оцінка, 100% | 5,0 Відмінно |
4,8 Відмінно |
4,0 Добре |
| Маркування, 10% | Відмінно | Добре | Добре |
| Упаковка, 10% | Відмінно | Добре | Добре |
| Органолептика, 80% | Відмінно | Відмінно | Добре |
Отже, отримали оцінку «відмінно» сирки кисломолочні «Простоквашино»" та «Слов’яночка» , а зразок сирку кисломолочного «Щодня» – "добре".
Висновки до розділу
У розділі №2 "Товарна експертиза" проводилися дослідження трьох видів кисломолочних сирів, де оцінювались органолептичні показники продукту, упаковка та маркування. З чого можна зробити висновок, що смак та запах, консистенція та колір у всіх зразках відповідає вимогам стандарту. Упаковка краща із фольги ніж із пергаменту як з естетичної сторони, так і на дотик (пергамент – не утримує форму сиру і стає липким). Маркування відповідає стандарту. Наведення методів визначення органолептичних та фізико-хімічних показників якості.
Товарознавча експертиза передбачає оцінку експертом основних характеристик товарів, а також оцінку основних змін, що відбуваються з ними в процесі товароруху для подальшого прийняття рішень, видання висновків. Проведення експертизи включає оцінку основоположних характеристик товару: асортиментної, якісної, кількісної, вартісної або їх частину. Експертній оцінці можуть підлягати не тільки одиничні екземпляри чи пакувальні одиниці, але й певні товарні партії, об'єднані спільністю ознак.
Оцінка якості товарів проводяться як органолептичним, так і лабораторним (вимірювальним) методом, а також шляхом опитувань.
Перш ніж будь-який товар випускається на ринок, а в даному випадку, вино, він проходить експертизу, у якій визначають його відповідність тій чи іншій нормативно-технічній документації.
Для проведення експертизи якості кисломолочних сирів потрібно перш за все відібрати проби. Відбір проб проводиться відповідно до ГОСТ 26809.
Про відбір об’єднаної проби складається акт відбору проб. В акті повинно бути вказано:
- час і місце складання акту;
- прізвища та посади осіб, які приймали участь у відборі проби;
- підприємство-постачальник;
- підприємство-отримувач;
- найменування та кількість продукції, від якої відібрана проба;
- найменування та номер документу про якість;
- номер вагону, залізничної цистерни, автоцистерни;
- кількість та місткість пляшок з відібраною об’єднаною пробою;
- опис печатки чи пломби, якою опечатані пляшки з об’єднаною пробою;
- підписи осіб, які приймали участь в відборі проби.
Органолептичні показники – це зовнішній вигляд, колір, смак, запах, консистенція – визначаються за допомогою зору, нюху та смаку. Оцінку смаку та запаху проводять спеціально вивчені та атестовані експерти.
3 Митне оформлення кисломолочного сиру
3.1 Обґрунтування доцільності експортування кисломолочного сиру
Розділ дипломної роботи "Митне оформлення" присвячений опису експортної операції кисломолочного сиру магазином "Вибір" у Білорусь.
Розділ носить рекомендаційний характер, оскільки досліджуване підприємство зовнішньоекономічною діяльністю не займається.
Доцільність експорту зумовлюється, перш за все, розширенням ринків збуту підприємства, і, по-друге, відшкодуванням державою ПДВ.
Дослідження проводилось на основі типової процедури експорту за наступними параметрами відповідно до зовнішньоекономічного договору:
- тип операції – експорт;
- експортер – магазин "Вибір", імпортер – ТОВ "Продукти" (Білорусь);
- товар - кисломолочний сир у вигляді брикетів масою 200 г, жирність 9%;
- кількість товару – 120 кг (4 ящики по 150 брикетів у кожному);
- вартість 1 брикета кисломолочного сиру – 0,5 доларів США;
- умови поставки - автотранспортом DAF-Городище;
- курс валюти на день митного оформлення – 5,05 грн. за 1 долар США, 6,874565 за 1 євро.
3.2 Порядок митного оформлення кисломолочного сиру
Порядок митного оформлення визначається розділом 3 Митного кодексу України. Усі товари та інші предмети, що переміщуються через митний кордон України підлягають обов'язковому митному.
Метою здійснення митного оформлення є:
- забезпечення митного контролю, який здійснюється з метою дотримання державними органами, підприємствами та їх службовими особами, а також громадянами порядку переміщення через митний кордон України товарів та, інших предметів. Митний контроль здійснюється службовими особами митниці шляхом перевірки документів, необхідних для такого контролю, митного огляду транспортних засобів, товарів та інших предметів, особистого огляду, переогляду, обліку предметів, які переміщуються через митний, а також в інших формах;
- застосування засобів державного регулювання переміщенням через митний кордон України товарів та інших предметів, основною метою яких є стягнення у Державний бюджет податків при переміщенні товарів через митний кордон України, а також захист національного ринку від неякісних імпортних товарів і забезпечення підтримки національного виробника шляхом надання йому можливості конкурувати з іноземними суб'єктами підприємницької діяльності.
Порядок виконання операцій з митного оформлення визначається Державною митною службою України у відповідності з Митним кодексом України. Митне оформлення суб'єктів зовнішньоекономічної діяльності здійснюється службовими особами митниці у місцях розташування митниць - зонах митного контролю, спільно із зацікавленими державними органами впродовж часу, визначеного митницею.
Митне оформлення має проводитися митницею, у зоні діяльності якої розташовані власники товарів та інших предметів, за винятком випадків, урегульованих чинним законодавством України. Так, наприклад, оформлення товару в іншій митниці узгоджується його власником із обома митницями (тією, де розташований власник, і тією, де він має намір проводити оформлення) листом відповідної форми.
Проведення митного контролю повинно забезпечувати:
- створення умов, що сприяють прискоренню зовнішньоторговельного обороту;
- дозвільний порядок переміщення через митний кордон товарів і транспортних засобів;
- ведення боротьби з контрабандою, порушеннями митних правил і податкового законодавства;
- вчасне і повне стягування мита, податків та митних платежів;
- ведення статистики зовнішньої торгівлі;
- здійснення у межах компетенції митних органів валютного контролю;
- ведення УКТ ЗЕД тощо.
Митне оформлення переміщуваних через кордон товарів та інших предметів, що належать суб'єктам підприємницької діяльності, здійснюється із застосуванням уніфікованого адміністративного документа форми МД - 2 (за необхідності - додаткових аркушів форми МД - 3 і МД - 8) - вантажної митної декларації (ВМД). Порядок використання і заповнення ВМД регламентується "Положенням про вантажну митну декларацію", затвердженим постановою Кабінету Міністрів України, а також інструкціями про порядок заповнення ВМД, затвердженими наказами Державної митної служби України. Процес митного оформлення товарів та інших предметів складається з двох частин, черговість здійснення яких залежить від напрямку переміщення через кордон - експорт чи імпорт:
- представлення ВМД до внутрішньої митниці та її оформлення. ВМД подається до митниці підприємствами, які здійснюють декларування товарів на підставі договору і діють за дорученням суб'єкта підприємницької діяльності або безпосередньо представником суб'єкта підприємницької діяльності;
- пропуск прикордонною митницею товарів через митний кордон України з використанням ВМД (при імпорті - попередньої ВМД). Остаточне митне оформлення вантажу здійснюється у внутрішній митниці. При цьому перевірка проходить декілька етапів контролю, які проводяться працівниками відповідних підрозділів митниць. При необхідності додаткових досліджень товарів або більш поглибленого вивчення наданих декларантом документів співробітниками митниці, які перевіряють ВМД, може бути направлений запит, наприклад, до митної лабораторії для уточнення хімічного складу товару, відділу тарифів і вартості для перевірки заявленої вартості та експертизи сертифікатів, які засвідчують країну походження товарів, тощо. Завершення митного оформлення кожним із співробітників фіксується поставленням відтисків, штампів контрольних відміток на зворотному боці ВМД.
3.3 Документи для митного оформлення кисломолочного сиру
Митне оформлення розпочинається після подання митному органу декларації, а також усіх необхідних для здійснення митного контролю та митного оформлення документів, відомостей про товар і транспортних засобів, які підлягають митному оформленню (таблиця 3.1):
Таблиця 3.1 – Документи при митному оформленні кисломолочного сиру
| №№ з/п | Група документів | Дозвільні документи | Код документа у ВМД |
| 1 | 2 | 3 | |
| 1 | Дозвільні документи | Санітарний сертифікат | 6852 |
| Ветеринарний сертифікат | 6853 | ||
| Радіологічний дозвіл | 6854 | ||
| 2 | Транспортні документи | Carnet TIR | 2950 |
| Накладна СМR | 2730 | ||
| 3 | Комерційні документи | Рахунок-фактура (invoice) | 3105 |
| Договір-купівлі-продажу, що передбачає розрахунки у ВКВ (додаток) | 4010 | ||
| 4 | Загальні документи | Довідка про декларування валютних цінностей | 6001 |
3.4 Методи нетарифного регулювання, що застосовуються до кисломолочного сиру
Одним з основних інструментів митних органів у процесі здійснення митного контролю є використання засобів митно-тарифного і нетарифного регулювання з метою захисту національного ринку, національного виробника, а також сприяння виконанню міжнародних зобов’язань держави.
Відомо, що всі держави світу різноманітними способами регулюють свою зовнішньоекономічну діяльність. Існує велика кількість таких засобів. Це пояснюється розширенням кола країн-учасниць світового ринку та необхідністю для кожної країни мати інструменти оптимізації її участі у міжнародній торгівлі.
Нетарифні методи регулювання ЗЕД – методи адміністративного характеру, що полягають у необхідності надання визначених дозвільних документів державних органів для здійснення ввезення (вивезення) товарів та інших предметів.
Ставлення до використання нетарифних засобів регулювання у світовій практиці досить суперечливе. З одного боку, Генеральна угода з тарифів і торгівлі і Світова організація торгівлі, що почала функціонувати з 1995 року, офіційно ставлять завдання максимально скасувати такі заходи, здійснювати перехід до регулювання зовнішньої торгівлі виключно тарифними методами. З іншого боку, всі країни світу, які входили у ГААТ з дня його створення і котрі стали членами СОТ з моменту початку її діяльності, використовують різноманітні форми нетарифного регулювання зовнішньої торгівлі.
До кисломолочного сиру застосовуються методи нетарифного регулювання такі, як радіологічний, ветеринарний та санітарно-епідеміологічний контроль.
Радіологічний контроль.
Під час вивезення вантажів і транспортних засобів за межі митної території України радіологічний контроль здійснюється на митній території України. Проведення радіологічного контролю підтверджується проставленням відміток та штампів у товаросупровідних документах. Штамп "Радіологічний контроль" застосовується для вантажів, що не підлягають екологічному контролю.
У ВМД радіологічний дозвіл зазначається у графі 44 під кодом 6.1.6854. Цей контроль здійснює Державна екологічна інспекція Міністерства екології та природних ресурсів України.
Ветеринарний контроль. Пропуск через митний кордон України тварин, продуктів тваринного походження, готових харчових продуктів, сировини тваринного походження, кормів тваринного та рослинного походження, кормових добавок, штамів мікроорганізмів, засобів захисту тварин, засобів ветеринарної медицини, а також предметів і матеріалів, які можуть бути носіями збудників інфекційних захворювань тварин, та інших вантажів, підконтрольних службі державної ветеринарної медицини, дозволяється тільки після проходження обов'язкового ветеринарного контролю.
Митне оформлення вантажів може бути завершено лише після проходження зазначеного контролю спеціалістами регіональних служб державного ветеринарного контролю.
Підставою для пропуску через митний кордон України вантажів, підконтрольних державному ветеринарному контролю, є ветеринарне свідоцтво чи сертифікат. У ВМД даний документ зазначається під кодом 6-6853.
Санітарно-епідеміологічний контроль.
Висновок санітарно-епідеміологічної служби видається з метою гарантії безпеки товару для здоров’я населення. Зазначений висновок складається органами, установами, закладами державної санітарно-епідеміологічної служби. Він призначений для кожної партії харчових продуктів, продовольчої сировини та супутніх матеріалів (для експорту, якщо це передбачено умовами контракту чи міжнародною угодою, в якій бере участь Україна). У ВМД зазначається під кодом 6-6852.
3.5 Визначення коду товару за УКТ ЗЕД
Різні країни виробляють, імпортують та експортують широкий асортимент товарів. Для регулювання виробництва та ведення міжнародної торгівлі необхідно відрізняти одні товари від інших. Тому й було вирішено створити систематизований перелік товарів і присвоїти товарам цифрові коди.
Якщо б національні промисловості виробляли та імпортували (експортували) обмежену кількість товарів (наприклад тільки картоплю та автомобілі), то не було б необхідності у створенні будь-якої спеціальної номенклатури товарів.
Для того, щоб відрізняти одні товари від інших, їх необхідно систематизувати і мати можливість класифікувати. Такий систематизований перелік товарів являє собою Українську класифікацію товарів зовнішньоекономічної діяльності (далі - УКТ ЗЕД), у якій кожен товар має своє певне місце. У товарній номенклатурі товари систематизовано за розділами, розділи поділено на групи, а групи - на товари.
УКТ ЗЕД, розроблений на базі Гармонізованої системи описання і кодування товарів (ГС) і Комбінованої тарифно-статистичної номенклатури Європейської економічної співдружності (КН ЄЕС), представляє собою основу системи мір державного регулювання зовнішньоекономічною діяльністю держави.
Важливе при декларуванні товарів для проведення їх митного оформлення заповнення граф 31 та 33 ВМД. У графі 31 вказується комерційна і фірмова назва товару, його характеристики, що включають у себе асортимент, розміри, номери моделей, стандарти, типи, комплектність та інші відомості про товар, які дають можливість однозначно класифікувати його кодом, вказаним у графі 33.
Ставки мита у Митному тарифі України наведено відповідно до кодів товарів. Нетарифні обмеження (тобто ліцензування, квотування та ін.) також в основному застосовуються до товарів, указаних у вигляді кодів товарів чи товарних позицій.
Структура УКТ ЗЕД включає найменування розділу, код та найменування групи, код та найменування товарної позиції, кодове позначення товару, найменування товару, преференційна, пільгова, повна ставка мита та скорочене позначення додаткових одиниць його виміру.
Елементами структури УКТ ЗЕД є система кодування та система класифікації.
Кодування товару - це представлення товару у вигляді цифрового знака.
Код товару в УКТ ЗЕД десятизначний і складається таким чином:
- код групи - 2 знаки;
- код позиції - 4 знаки;
- код підпозиції – 6 знаків;
- код категорії – 8 знаків;
- код підкатегорії – 10 знаків.
Визначення коду кисломолочного сиру проходить поетапно.
Перший рівень, визначення розділу, до якого можна віднести товар. На даному етапі товари групуються за галузями промисловості. Відповідно, кисломолочний сир відноситься до розділу I "Живі тварини; продукти тваринного походження".
Наступний, другий рівень - визначення групи. Загальна кількість груп у товарній номенклатурі - 97. У них товари зібрані відповідно до таких ознак:
- за матеріалом виготовлення;
- за функціональним призначенням;
- за ступенем обробки.
Оскільки кисломолочний сир є молочним продуктом, то його відносять до групи 04 "Молоко та молочні продукти; яйця птахів; натуральний мед; харчові продукти тваринного походження, в іншому місці непойменовані".
Третій рівень, визначення товарної позиції, яка деталізує товар за більш специфічним ознаками. Кисломолочний сир відносять до товарної позиції 0406 "Сири всіх видів та кисломолочний сир".
Четвертий рівень передбачає визначення підпозиції товару. Для кисломолочного сиру товарною підпозицією буде – 040610 "Свіжий сир (без визрівання), включаючи сир з молочної сироватки та кисломолочний сир".
Визначення товарної категорії – п’ятий рівень. Для вказаного товару класифікація на рівні товарної категорії не проводиться.
Визначення підкатегорії – завершальний етап визначення коду за УКТ ЗЕД. Для кисломолочного сиру підкатегорією є 0406102000 "З вмістом жирів не більш як 40 мас. %".
Отже код товару за УКТ ЗЕД 0406102000.
Класифікацію товару можна представити у вигляді таблиці 3.5.1.
Таблиця 3.5.1 - Код кисломолочного сиру за УКТ ЗЕД
| Код групи | 04 | Молоко та молочні продукти; яйця птахів; натуральний мед; харчові продукти тваринного походження, в іншому місці непойменовані | ||||
Товарна позиція |
04 | 06 | Сири всіх видів та кисломолочний сир | |||
| Товарна підпозиція | 04 | 06 | 10 | Свіжий сир (без визрівання), включаючи сир з молочної сироватки та кисломолочний сир | ||
| Товарна категорія | 04 | 06 | 10 | 20 | - | |
| Товарна підкатегорія | 04 | 06 | 10 | 20 | 00 | З вмістом жирів не більш як 40 мас. %". |
3.6 Визначення країни-походження товару
Країна походження товару визначається з метою застосування тарифних та нетарифних заходів регулювання зовнішньоекономічної діяльності, а також забезпечення обліку товарів у статистиці зовнішньої торгівлі.
Країна походження товару визначається на основі принципів міжнародної практики.
Питання визначення країни походження товару, що переміщується через митний кордон України, на законодавчому рівні регламентується нормами Митного кодексу України та міжнародних договорів, укладених в установленому законом порядку. У Кодексі питання визначення країни походження товарів викладені у ст. 276-285 (розділ XII "Країна походження товару") та ст. 315-316 (розділ XVI "Верифікація сертифікатів про походження товарів з України").
Порядок визначення країни походження товару встановлюється Кабінетом Міністрів України на підставі положень Митного кодексу України. З цього питання Кабінет Міністрів України прийняв постанову "Про затвердження Порядку визначення країни походження товару, що переміщується через митний кордон України" від 12.12.2002 № 1864. Особливості визначення країни походження товару, що ввозиться з територій спеціальних (вільних) зон, розташованих на території України, встановлюються законом.
Країною походження товару вважається країна, в якій товар був повністю вироблений або підданий достатній переробці відповідно до критеріїв. При цьому під країною походження товару можуть розумітися група країн, митні союзи країн, регіон чи частина країни, якщо є необхідність їх виділення з метою визначення походження товару.
До товарів, повністю вироблених у країні, належать:
1) корисні копалини, видобуті на її території або в її територіальних водах, або на її континентальному шельфі та в морських надрах, якщо країна має виключне право на розробку цих надр;
2) рослинна продукція, вирощена та зібрана на її території;
3) живі тварини, що народилися і вирощені в цій країні;
4) продукція, одержана від тварин, вирощених у цій країні;
5) продукція мисливського, рибальського та морського промислів;
6) продукція морського промислу, видобута та (або) вироблена у Світовому океані суднами цієї країни, а також суднами, орендованими (зафрахтованими) нею;
7) вторинна сировина та відходи, які є результатом виробничих та інших операцій, здійснених у країні;
8) продукція високих технологій, одержана у відкритому космосі на космічних кораблях, що належать цій країні чи орендуються нею;
9) товари, вироблені у цій країні виключно з продукції, зазначеної у пунктах 1-8 цієї статті. Якщо у виробництві товару беруть участь дві або більше країн, походження товару визначається згідно з критерієм достатньої переробки.
Критерій достатньої переробки визначається:
1) правилом, яке потребує в результаті переробки товару зміни класифікаційного коду товару за Гармонізованою системою опису та кодування товарів на рівні будь-якого з перших чотирьох знаків;
2) або правилом адвалерної частки, яке полягає в зміні вартості товару в результаті його переробки, якщо при цьому додана вартість становить не менш як 50 % від вартості товару, одержаного в результаті переробки, або частка використаних матеріалів з іншої країни чи невідомого походження становить менш як 50 % від вартості товару, одержаного в результаті переробки;
3) або переліком виробничих та технологічних операцій, які хоч і не ведуть у результаті переробки товару до зміни його коду чи його вартості відповідно до правила адвалерної частки, але з дотриманням певних умов визнаються достатніми.
Перелік таких виробничих та технологічних операцій визначається Кабінетом Міністрів України. З цього питання Кабінетом Міністрів України прийнято постанову "Про перелік виробничих та технологічних операцій для визначення критерію достатньої переробки товару та порядок його встановлення та застосування при визначені країни походження товару" від 27.12.2002 № 2030.
Якщо стосовно конкретного товару або конкретної країни (країн) критерій достатньої переробки окремо не обумовлено, то застосовується правило зміни товарної позиції. Згідно з цим правилом товар вважається підданим достатній переробці, якщо в результаті його переробки змінено класифікаційний код товару за Гармонізованою системою опису та кодування товарів на рівні будь-якого з перших чотирьох знаків.
Не визнаються такими, що відповідають критерію достатньої переробки:
1) операції, пов'язані із забезпеченням збереження товарів під час зберігання чи транспортування;
2) операції щодо підготовки товарів до продажу та транспортування (подрібнення партії, формування відправлень, сортування, перепакування);
3) прості складальні операції;
4) змішування товарів (компонентів) без надання одержаній продукції характеристик, що істотно відрізняють її від вихідних складових;
5) комбінація двох чи більшої кількості зазначених вище операцій;
6) забій тварин.
У визначенні країни походження товару не береться до уваги походження енергії, машин, обладнання та інструментів, що використовуються для його виробництва.
Для підтвердження походження товару може застосовуватися сертифікат про походження товару.
Сертифікат про походження товару подається разом з митною декларацією, декларацією митної вартості та іншими документами, що подаються для митного оформлення. У разі втрати сертифікат приймається його офіційно завірений дублікат.
Згідно із Законом України "Про торгово-промислові палати в Україні" від 02.12.97 № 671/97-ВР сертифікати походження на товари з України видають Торгово-промислова палата України та регіональні торгово-промислові палати.
Для підтвердження походження товарів з України торгово-промислові палати видають такі сертифікати.
1. Сертифікат походження загальної форми (англійською мовою) - звичайна форма сертифіката - видається на всі товари, які мають українське походження відповідно до національного законодавства України, при експорті в країни, з якими не обумовлені правила визначення країни походження товарів; також видається у разі, коли товар не має преференційного доступу на ринок країни імпорту та у випадках відсутності або тимчасового припинення пільг на українські товари.
2. Сертифікат походження загальної форми (російською мовою) - звичайна форма сертифіката - видається при експорті у країни СНД в тих випадках, коли товар отримує українське походження згідно з національним законодавством України, проте не виконується якась з умов Правил визначення країни походження товарів, затверджених рішенням Ради глав урядів СНД від 30 листопада 2000 р.
3. Преференційний (пільговий) сертифікат походження форми СТ-1 (російською мовою) - на товари, що експортуються до країн СНД та задовольняють умовам Правил визначення країни походження товарів, затверджених рішенням Ради глав урядів СНД від 30 листопада 2000 р. Для країн, які не підписали згадане Рішення, діють положення двосторонніх угод, що передбачають застосування Правил визначення країни походження товарів, затверджених рішенням Ради глав урядів СНД від 24 вересня 1993 р.
4. Преференційний (пільговий) сертифікат походження форми "А" (англійською мовою) в рамках Генеральної системи преференцій - для товарів, які підпадають під преференційний режим при експорті на ринки країн-донорів (ЄС, Чехія, Словаччина, Японія, США).
5. Сертифікат походження на текстильні товари (TEXTILE PRODUCTS) (англійською мовою) , які експортуються тільки в країни ЄС (Австрія, Бельгія, Великобританія, Данія, Греція, Ірландія, Іспанія, Італія, Люксембург, Нідерланди, Німеччина, Португалія, Франція, Фінляндія, Швеція) відповідно до положень Угоди про торгівлю текстильною продукцією між Україною і ЄС.
6. Сертифікат походження на металопродукцію (англійською мовою) , яка експортується тільки до країн ЄС відповідно до положень двосторонньої Угоди між Кабінетом Міністрів України та Європейським Співтовариством вугілля і сталі про торгівлю деякими сталеливарними виробами.
7. Преференційний (пільговий) сертифікат походження форми EUR-1 (англійською мовою) для експорту в країни Балтії. Для товарів, що експортуються в Латвію, Литву та Естонію згідно з положеннями відповідних угод, укладених між Україною та цими країнами.
8. Преференційний (пільговий) сертифікат походження форми EUR-1, серія М (англійською мовою) - для експорту в Республіку Македонія згідно з положеннями Угоди про вільну торгівлю між Республікою Македонія та Україною.
9. Сертифікат походження форми У-1 (українською мовою) - видається згідно з чинним законодавством України і застосовується в межах митної території України у випадках, коли необхідно підтвердити українське походження товарів, які перебувають в обігу в межах митної території України під час здійснення підприємницької діяльності іноземними суб'єктами господарської діяльності.
Перевірка достовірності (верифікація) сертифікатів про походження товарів з України здійснюється митними органами. Така перевірка здійснюється у порядку, встановленому постановою Кабінету Міністрів України "Про затвердження Порядку верифікації сертифікатів про походження товарів з України" від 12.12.2002 № 1861.
Кисломолочний сир виготовлений повністю з української сировини українським підприємством. Інші країни у виробництві кисломолочного сиру участі не приймали. Тому країною-походження товару є Україна. Для підтвердження країни-походження видається відповідний сертифікат.
3.7 Нарахування митних платежів
3.7.1 Визначення митної вартості
Більшість країн світу вирішили стягувати митні платежі як відсоток від вартості товару. Але для вартості товару суттєве значення мають різні чинники, в тому числі й умови поставки товару. Без сумніву, вартість товару, який продавець передає покупцю безпосередньо на складі у своїй країні, буде меншою за вартість цього ж товару за умови, що продавець доставить свій товар у країну покупця за свій рахунок, тобто товар - той самий, а вартість може дуже відрізнятися залежно від умов його передачі продавцем покупцю. Тому необхідність урівняти у правах покупця та продавця щодо визначення митної вартості незалежно від умов поставки вимагає єдиного підходу різних країн до оцінки товарів саме для митних цілей.
Зазначений підхід повинен забезпечувати єдину митну оцінку для товарів, які постачаються на різних умовах поставки, незважаючи на те, хто насправді несе витрати (продавець чи покупець).
Розумний підхід держави до питання визначення митної вартості предметів, що переміщуються через її кордони, як до одного з основних елементів тарифного регулювання зовнішньоекономічної діяльності забезпечує захист інтересів національних товаровиробників. Мито та інші митні платежі, що одночасно стягуються митними органами при митному оформленні, нараховуються на базі митної вартості.
Зрозуміло, що для кожного бізнесмена дуже важливо, яким методом буде визначена митна вартість або проведена митна оцінка, тому що прямим наслідком її є сплата митних платежів та висновок про економічну доцільність угоди, розрахунок прибутку від зовнішньоекономічної операції та ін. Митна оцінка - це питання розвитку зовнішньої торгівлі між країнами.
Виходячи з викладеного, на Конференції ООН прийнято рішення про загальні правила митної оцінки.
Для забезпечення справедливої, рівноцінної та прозорої (простої) митної оцінки товару за різних умов поставки введено розрахункову величину - митну вартість .
Для визначення митної вартості встановлено єдині критерії: момент перетину митного кордону та ціна угоди (вартість, зазначена у рахунку-фактурі).
За такого підходу значення митної вартості для однакових товарів буде однаковим навіть у випадках, коли вони постачаються за різними умовами поставки.
Митна вартість обчислюється насамперед на основі ціни угоди, тобто фактурної вартості товару.
Фактурна (контрактна) вартість - це ціна товару, обумовлена в контракті та відповідно у рахунку-фактурі.
Подальший розрахунок митної вартості здійснюється з урахуванням умов поставки товару згідно з інтерпретацією Міжнародних комерційних термінів ІНКОТЕРМС, виходячи з того, які витрати включені продавцем до рахунка-фактури та коли вони здійснені - до перетину митного кордону чи після.
Тому знання ІНКОТЕРМС є необхідною умовою для вирішення питань визначення митної вартості, а саме знання того, які витрати поставки включаються продавцем до рахунка-фактури за різних умов поставки.
При обчисленні митної вартості товарів витрати, зроблені до перетину митного кордону (якщо вони не включені до рахунка-фактури), додаються до фактурної вартості: за навантаження товару на транспортний засіб, за страхування, сплачене вивізне мито та ін.
Відповідно витрати, зроблені після перетину митного кордону, віднімаються (якщо вони включені до рахунка-фактури).
Поняття митної вартості викладене у ст. 259 Митного кодексу: "Митна вартість товарів - це заявлена декларантом або визначена митним органом вартість товарів, що переміщуються через митний кордон України, яка обчислюється на момент перетинання товарами митного кордону України відповідно до положень цього Кодексу".
Визначення митної вартості товарів, що ввозяться на митну територію України, здійснюється шляхом застосування таких методів (рисунок 3.7.1).
Рисунок 3.7.1 – Методи визначення митної вартості
Основним методом визначення митної вартості товарів є метод за ціною угоди щодо товарів, які імпортуються.
Якщо основний метод не можна використати, застосовується послідовно кожен із перелічених методів. При цьому кожен наступний метод застосовується, якщо митну вартість товарів не можна визначити шляхом застосування попереднього методу (за винятком методів віднімання та додавання вартості, які можуть застосовуватися у будь-якій послідовності).
У нашому випадку доцільно використати метод оцінки за ціною угоди щодо товарів, які імпортуються.
При визначенні митної вартості за цим методом повинні бути включені витрати:
1) витрати на доставку товарів до аеропорту, порту чи іншого місця ввезення товарів на митну територію України:
2) витрати, понесені покупцем:
3) відповідна частина вартості таких товарів та послуг, які прямо чи побічно надаються покупцю безоплатно або за зниженою ціною для використання у зв'язку з виробництвом або продажем (відчуженням) на вивезення товарів, що оцінюються, якщо відповідна частина не була включена до заявленої ціни:
4) ліцензійні та інші платежі за використання об’єктів права інтелектуальної власності, які покупець (імпортер) прямо чи побічно повинен вплатити як умову продажу (відчуження) товарів, що оцінюються;
5) відповідна частина прибутку від будь-якого подальшого перепродажу, передачі чи використання товарів, що оцінюються, на митній території України, яка прямо чи побічно йде на користь продавця.
Кисломолочний сир експортуються на підставі договору купівлі-продажу на умовах поставки DAF-Городище. Митна вартість визначається на основі ціни, яку буде сплачено або яка підлягає сплаті за товар на момент перетину митного кордону України. Оскільки поставка здійснюється на умовах DAF (доставка до кордону), то митна вартість дорівнює фактурній (3.7.2).
У нашому випадку до фактурної вартості включено транспортування до кордону (100 доларів США) та брокерські витрати (120 доларів США) (3.7.1):
ФВ = РВ+ТВ + Б (3.7.1)
де РВ – реалізаційна вартість, РВ = 300 доларів США;
ТВ – транспортні витрати, ТВ = 100 доларів США;
Б – брокерські витрати, Б = 120 доларів США.
ФВ = (300 + 100 + 120) . 5,05 = 2626,00 грн.
МВ=ФВ, (3.7.2)
де МВ – митна вартість;
ФВ – фактурна вартість, ФВ = 2626,00 грн.;
Отже, митна вартість становить 2626,00 грн.
3.7.2 Нарахування мита
Концепція нарахування та сплати мита викладена у ст. 17 Закону України "Про Єдиний митний тариф". Порядок нарахування та стягнення мита затверджується нормативними документами Держмитслужби, а також спільними документами Держмитслужби, НБУ, Міністерства фінансів.
Відповідно до ст. 6 – мито – це податок на товари та інші предмети, які переміщуються через митний кордон України. Мито повністю вноситься до Державного бюджету України. Воно сплачується митним органам України.
При експортних операціях мито не нараховується.
3.7.3 Нарахування ПДВ
Об'єктом оподаткування ПДВ є операції по ввезенню (пересиланню) товарів на митну територію України і отриманню робіт (послуг), які надаються нерезидентами для їх використання (споживання) на митній території України, в тому числі операції по ввезенню (пересиланні) майна за договорами оренди (лізингу), застави та іпотеки. Від оподаткування ПДВ звільняються товари, які не підлягають оподаткуванню ПДВ.
Товари, які експортуються з України, податком на додану вартість не обкладаються. Навпаки, фірма-експортер отримує відшкодування суми ПДВ (20% від фактурної вартості) при здійсненні зовнішньоекономічної операції. Це проводиться з метою заохочення українських виробників на зовнішній ринок.
У нашому випадку експортером виступає не виробник (посередник – магазин "Вибір"), тому відшкодування ПДВ не проводиться.
3.7.4 Нарахування митного збору
Митні збори – це додаткові збори, які стягуються з товарів, що ввозяться (вивозяться), за специфічні умови поставок та інші послуги, які надаються митницею (оформлення транспортних засобів, зберігання товарів під відповідальністю митниці).
Розміри ставок митних зборів встановлюються Кабінетом Міністрів України. Звільнення від сплати митних зборів можливо лише на підставі відповідного рішення Кабінету Міністрів України.
Нарахування митних зборів проводиться у графі 47 ВМД у національній валюті.
У нашому випадку ставка митних зборів за митне оформлення товарів та інших предметів при митній вартості менше 1000 доларів США становить 5 доларів США за оформлення однієї ВМД. Тому митний збір за митне оформлення складе 25,25 грн.
3.7.5 Визначення загальної суми митних платежів
Загальна сума митних платежів у даному випадку розраховується за формулою 3.7.5.
МП = М + ПДВ + МЗ (3.7.5)
де МП – сума митних платежів, грн.;
М – сума мита, грн., М = 0 (грн.);
ПДВ – сума податку на додану вартість, грн., ПДВ = 0 (грн.);
МЗ – сума митних зборів, Мз = 25,25 (грн.).
М П = Мз = 25,25 (грн.)
Таким чином, на момент перетину митного кордону України сума митних платежів складає 25,25 (грн.), що становить 0,96% від митної вартості - рисунок 3.7.1.

Рисунок 3.7.1 – Частка митних платежів при митному оформленні кисломолочного сиру
3.8 Використання ВМД при митному оформленні кисломолочного
сиру
Основним етапом митного оформлення є декларування товарів і транспортних засобів митному органу.
У міжнародній практиці використовуються різноманітні форми митних декларацій, наприклад, при митному оформленні речей, валюти та валютних цінностей фізичних осіб, при митному оформленні поштових відправлень тощо.
У торговому обороті застосовується декларування в письмовій формі і шляхом електронної передачі даних.
Основний документ, за яким декларуються товари суб'єктами ЗЕД - юридичними і фізичними особами, є вантажна митна декларація (ВМД).
Вантажна митна декларація (ВМД) – уніфікований документ, який містить відомості про товари та майно, які переміщуються через митний кордон України, про відправника, одержувача та особу, яка здійснювала декларування вантажів через кордон, умови поставки, способи розрахунків та інші дані, необхідні для митного оформлення, у тому числі дані про стягнення митних та інших зборів мита, ПДВ з товарів і майна, які переміщуються через митний кордон України.
ВМД застосовується під час декларування суб’єктами зовнішньоекономічної діяльності (юридичними або фізичними особами) товарів та інших предметів, що переміщуються через митний кордон України, у порядку, встановленому Митним кодексом України, Положенням про ВМД та іншими актами законодавства України.
Орган Державної митної служби не приймає ВМД для оформлення, якщо вона подається без повного комплекту документів, необхідних для здійснення митного оформлення товарів; якщо вона заповнена декларантом з порушенням Положення, Інструкції про порядок заповнення ВМД; в інших випадках, передбачених законодавством України.
У разі відмови у прийнятті ВМД для оформлення обов’язково заповнюється картка відмови у митному оформленні згідно з порядком, установленим Державною митною службою.
Достовірність зазначених декларантом відомостей у ВМД, яка заповнена згідно з діючими правилами та засвідчена ним у встановленому порядку, закріплюється одним з видів митного забезпечення (штамп "Під митним контролем") на всіх аркушах ВМД та реєстраційним номером, а також реєстрацію ВМД у журналі обліку вантажних митних декларацій. Після завершення цієї процедури декларант несе юридичну відповідальність за відомості, зазначені у ВМД. Ця декларація не може бути відкликана декларантом. У разі прийняття ВМД для оформлення їй присвоюється реєстраційний номер та проводиться реєстрація в журналі обліку ВМД.
ВМД оформляється на єдиних стандартних самокопіюючих бланках формату А, що виготовляється друкарським способом. Оформлення ВМД з використанням інших бланків не допускається.
До ВМД може бути додано не більше 33 додаткових аркушів, що дозволить задекларувати не більше 100 найменувань товарів. У ВМД і додаткових аркушах не повинно бути підчисток, виправлень. Кожне виправлення завіряється підписом і печаткою митного брокера.
ВМД заповнюється державною мовою за допомогою комп’ютера. Під час заповнення ВМД може застосовуватися іноземна мова, якщо переклад державною мовою назв суб’єктів або фірмового (комерційного) найменування товару є недоцільним та істотно не впливає на принцип здійснення заходів тарифного або нетарифного регулювання.
Вантажна митна декларація складається з граф, поділених на підрозділи, де зазначаються реквізити, кожен з яких починається з нового рядка та перед кожним з них проставляється порядковий номер.
ВМД вважається оформленою за наявності на всіх її аркушах особистої номерної печатки інспектора митниці, що здійснив митне оформлення товару.
Зразок заповнення ВМД при експорті кисломолочного сиру наведено у додатку.
Графи заповнюються так:
Графа А – у графі зазначається: 1 – номер розрахункового рахунку у валюті України, найменування та код МФО банківської установи, в якій відкрито розрахунковий рахунок декларанта; 2 – номер валютного рахунку, найменування та код МФО банківської установи, в якій відкрито валютний рахунок декларанта.
У нашому випадку у графі А зазначено:
- р/р 20060000000022, Рівненське головне відділення ПІБ, МФО 333335;
- в/р 20060000000022, Рівненське головне відділення ПІБ, МФО 333335.
Графа В "Подробиці розрахунків". Графа призначена для зазначення заявником платіжних документів, які свідчать про внесення митних платежів. У графі зазначаються:
- шифр платежу відповідно до класифікатора видів митних платежів;
- загальна сума платежів по цьому шифру;
- платіжні реквізити митного органу на розрахунковий рахунок якого сплачуються митні платежі.
У ВМД на оформлення кисломолочного сиру зазначено – вид платежу: 010 – 25,25 грн. Платежі сплачуються на р/р 253856987 в АППБ "Аваль" м. Рівне, МФО 333335.
Графа С заповнюється інспектором митної служби.
Графа D – заповнюється інспектором митної служби;
Графа 1 "Тип декларації" – ЕК 10 (вивезення товарів з України).
Графа 2 "Відправник" – зазначаються відомості про відправника – нерезидента України, відповідно до умов зовнішньоекономічного договору - Магазин "Вибір", м. Рівне, вул. Відінська, 56. Обліковий номер платника податків – 3254125546, ідентифікаційний номер одержувача – 10118 – 56/6587452136.
Графа 3 "Додатковий аркуш" – заповнюється коли є додаткові аркуші. У першому розділі графи зазначається порядковий номер аркуша, у другому – загальна кількість аркушів, включаючи додаткові. У разі, коли додаткові аркуші не використовуються, у графі зазначається 1/1.
Графа 4 "Відвантажувальні специфікації". Заповнюється при використанні специфікацій. У нашому випадку специфікації відсутні.
Графа 5 "Всього найменувань товарів". У графі зазначається цифрами загальна кількість найменувань товарів, наведених у графі 31 "Опис товару" декларації та додаткових аркушів – найменувань товарів - 1 .
Графа 6 "Кількість місць". У графі зазначається цифрами загальна кількість місць у декларованій партії товарів – кількість місць – 4.
Графа 7 "Довідковий номер". У графі проставляється номер та дата прийняття декларації – 204000000/7/000000 (де 204000000 – дев’ятизначний цифровий код митного органу згідно з класифікатором митних органів України (Рівненська митниця); 7 – остання цифра поточного року; 000000 – шестизначний порядковий номер декларації, оформленої зазначеним митним органом).
Графа 8 "Одержувач/імпортер". У графі проставляються відомості про одержувача товару – ТОВ "Продукти", м. Мінськ, вул. Московська, 67, Білорусь.
Графа 9 "Особа, відповідальна за фінансове врегулювання" – у графі наводяться відомості про вітчизняну особу, що уклала зовнішньоекономічний договір на відшкодувальній основі – повіреного агента.
Відомості зазначаються в такому порядку:
- у правому верхньому куті - індивідуальний податковий номер платника податків (у разі наявності) – 246714320307 ;
- назва та місцезнаходження юридичної особи або П.І.Б. фізичної особи, її місце проживання та відомості про документ, що посвідчує особу – Рівненський інститут слов’янознавства КСУ, 33000, м. Рівне, вул. П.Могили, 29 ;
- у нижній частині графи проставляється ідентифікаційний номер, який формується за схемою, наведеною в Додатку № 1 до наказу Державної митної служби України від 09.07.97 № 307 у редакції наказу Державної митної служби України від 18.04.2002 №207 – 1012200 – 56/0004574875.
Ці відомості повинні відповідати відомостям, зазначеним у зовнішньоекономічному контракті, згідно з яким експортується товар.
Графа 10 "Країна першого призначення" – не заповнюється.
Графа 11 "Торговельна країна" – проставляється цифровий код торговельної країни відповідно до загальнодержавного Класифікатора країн світу – 112 (Білорусь).
Графа 12 "Загальна митна вартість – зазначається загальна митна вартість декларованих товарів у валюті України – 2626,00 грн.
Графа 13 – товар не підлягає експортному контролю і тому не заповнюється.
Графа 14 "Декларант/Представник".
У графі наводяться відомості про декларанта товарів. Відомості зазначаються в такому порядку:
- у правому верхньому куті - індивідуальний податковий номер платника податків (у разі наявності) – 246714320307 ;
- назва та місцезнаходження юридичної особи або П.І.Б. фізичної особи, її місце проживання та відомості про документ, що посвідчує особу – Рівненський інститут слов’янознавства КСУ, 33000, м. Рівне, вул. П.Могили, 29 ;
- у нижній частині графи проставляється ідентифікаційний номер, який формується за схемою, наведеною в Додатку № 1 до наказу Державної митної служби України від 09.07.97 № 307 у редакції наказу Державної митної служби України від 18.04.2002 №207 – 1012200 – 56/0004574875.
Ці відомості повинні відповідати відомостям, зазначеним у зовнішньоекономічному контракті, згідно з яким експортується товар.
Графа 15 "Країна відправлення" – У графі вказується скорочена назва країни, з якої товари були відправлені в Україну згідно з класифікатором країн світу – не заповнюється.
Графа 15а "Код країни відправлення" – у графі вказується цифровий код країни, з якої товари були відправлені, згідно з класифікатором країн світу – не заповнюється.
Графа 16 "Країна походження" – графа не заповнюється.
Графа 17 "Країна призначення" – у графі вказується скорочена назва країни призначення згідно з Класифікатором країн світу – Білорусь.
Графа 17а "Код країни призначення" - у графі вказується цифровий код країни призначення згідно з класифікатором країн світу – 112.
Графа 18 "Транспортний засіб при відправленні" – 1 – 45362 - 804, де 1 – кількість автомобілів; 45362 - номери автомобілів; 804 – українські авто.
Графа 19 – проставляється 0, оскільки у нашому випадку товар не прямує в контейнері .
Графа 20 "Умови поставки" – у першому підрозділі проставляється цифровий код умови поставки відповідно до Класифікатора умов поставки, у другому підрозділі наводиться скорочене літерне найменування умов поставки (згідно з класифікатором умов поставки) з обов’язковим зазначенням географічного пункту – 09 DAF-Городище.
Графа 21 "Транспортний засіб на кордоні" – 1 – 45362 - 804, де 1 – кількість автомобілів; 45362 - номери автомобілів; 804 – українські авто.
Графа 22 "Валюта та загальна фактурна вартість". У лівому підрозділі графи наводиться цифровий код валюти договору згідно із загальнодержавним класифікатором валют – 840 (долари США). У правому підрозділі вказується загальна фактурна вартість товарів у валюті України – 2626,00 (грн.).
Графа 23 "Курс валюти" – у графі наводиться курс одиниці валюти, зазначеної в лівому підрозділі графи 22, встановлений НБУ для зовнішньоторговельних операцій на дату прийняття митницею декларації для оформлення – 5,05.
Графа 24 "Характер угоди". У графі вказується код характеру угоди згідно з Класифікатором характерів угод – 21 (переміщення товарів з розрахунком у ВКВ).
Графа 25 "Вид транспорту на кордоні". У графі проставляється код транспортного засобу згідно з Класифікатором видів транспорту – 30 (автотранспорт).
Графа 26 "Вид транспорту в межах країни". У графі проставляється код транспортного засобу згідно з Класифікатором видів транспорту – 30 (автотранспорт).
Графа 27 "Місце завантаження/розвантаження" – вказується код та найменування митного органу, в зоні діяльності якого передбачається перевантаження товарів з одного транспортного засобу в інший – перевантаження не передбачено.
Графа 28 "Фінансові та банківські відомості". У графі наводяться фінансові та банківські відомості про особу, що здійснює розрахунки за зовнішньоекономічним договором (контрактом). Кожний з реквізитів починається з нового рядка, й перед кожним із них проставляється порядковий номер:
1 - код за ЄДРПОУ уповноваженого банку - 09333335;
2 - найменування банку – Рівненське головне відділення ПІБ ;
3 - адреса банку – м. Рівне, вул. С.Бандери, 41 ;
4 - номер розрахункового рахунка в національній валюті України (при здійсненні розрахунків у цій валюті) або в іноземній валюті (при розрахунку в іноземній валюті), код МФО банку – в/р – 20060000000022, МФО 333335 .
У разі переміщення товарів за договорами (контрактами), які не передбачають грошових розрахунків, графа не заповнюється.
Графа 29 "Митниця на кордоні". У графі вказується назва митного органу, в зоні діяльності якого розташовано пункт пропуску на митному кордоні, у правому верхньому кутку – його код згідно з Класифікатором митних органів України – 204010300 Рівненська митниця.
Графа 30 "Місце огляду товару" – не заповнюється.
Графа 31 "Вантажні місця та опис товару". "Маркування та кількість – номери контейнерів – опис товару". Вказується лише комерційна і фірмова назва товару, характеристики товару, що включають в себе асортимент, розміри, номери моделей, стандарти, типи, комплектність та інші відомості про товар, які дають однозначно класифікувати його за задекларованою у графі 33 субпозицією УКТ ЗЕД – Кисломолочний сир у вигляді брикетів масою 200 г, жирність 9%. Місць - 50.
Графа 32 "Товар №". У графі проставляється порядковий номер товару, що декларується у графі 31 – 1.
Графа 33 "Код товару". У першому підрозділі вказується дев’ятизначний код товару згідно з УКТ ЗЕД – 0406102000.
Графа 34 "Код країни походження". Заповнюється згідно з класифікатором країн світу. У графі вказується код країни походження товару, описаного у графі 31 і класифікованого за УКТ ЗЕД у графі 33 – 804.
Графа 35 "Вага брутто". У графі вказується вага брутто (у кілограмах) товару, описаного у графі 31 – 130 кг .
Графа 36 "Преференція". У графі вказуються цифрові коди тарифних преференцій, передбачених чинним законодавством: 00/00/00, оскільки тарифні преференції відсутні.
Графа 37 "Процедура" . У графі проставляється 6-значний код процедури переміщення товарів відповідно до заявленого митного режиму згідно з класифікатором процедур переміщення товарів через митний кордон України: перші дві цифри – код митного режиму – 10 (експорт); наступні дві – код попереднього митного режиму – 00 ; останні дві – особливість переміщення товарів – 50 (інше) .
Графа 38 "Вага нетто". Проставляється вага нетто товару у кг – 120 кг .
Графа 39 "Квота". Заповнюється для товарів, на які є кількісні обмеження.
Графа 40 "Загальна декларація/попередній документ". Заповнюється, якщо теперішньому митному режиму передував інший митний режим, або подавалась попередня, періодична чи загальна декларація, або якщо декларація оформлялась замість анульованої.
Графа 41 "Додаткова одиниця виміру". У графі вказується код додаткової одиниці виміру згідно з загальнодержавним Класифікатором одиниць виміру, якщо така одиниця виміру передбачена для цього товару – відсутні.
Графа 42 "Фактурна вартість товару". У графі наводиться у валюті України фактурна вартість товарів, задекларованих у графі 31 ВМД – 2626,00 грн.
Графа 43 – порядок використання графи встановлюється ДМСУ.
Графа 44 "Додаткова інформація/подані документи". У графі вказуються реквізити документів: номер розділу; код документа згідно з Класифікатором документів; номер документа, дата і, при необхідності, назва та кінцевий термін дії.
2730 – товарна транспортна накладна;
2950 – книжка МДП;
3105 – рахунок-фактура (INVOICE);
4010 – договір купівлі-продажу, що передбачає розрахунки у ВКВ;
6001 – довідка про декларування валютних цінностей;
6852 – санітарний сертифікат;
6853 – ветеринарний сертифікат;
6854 – радіологічний дозвіл.
Графа 45 "Митна вартість" – вказується митна вартість товару у валюті України, заявленого у графі 31 – 2626,00 (грн.).
Графа 46 "Статистична вартість". У графі вказується митна вартість товару у тисячах гривень, що округлюється за правилами округлення – 3.
Графа 47 "Нарахування мита та митних зборів". У графі зазначається вид платежу (код), основа нарахування, ставка, сума, спосіб платежу:
- 010 (митний збір за митне оформлення), --- (оскільки митна вартість менше 1000 доларів США), 5 USD (ставка), 25,25 грн. (сума), 01 (спосіб платежу – переказ).
Графа 48 "Відстрочення платежів". Заповнюється у випадку відстрочення платежів.
Графа 49 "Найменування складу". Порядок використання графи встановлюється ДМСУ.
Графа 50 "Довіритель". Зазначаються дані підприємства-перевізника - ТОВ "Камазтранссервіс", м. Рівне, вул. Відінська, 56.
Графа 51 "Митниця країни транзиту". Графа заповнюється митним органом.
Графа 52 "Гарантія не дійсна для...". Порядок використання графи встановлюється ДМСУ.
Графа 53 "Митниця в країні призначення". Порядок використання графи встановлюється ДМСУ.
Графа 54 "Місце та дата". У графі вказуються місце та дата заповнення декларації; прізвище та ініціали особи, уповноваженої на декларування товарів організацією, що зазначена у графі 14; займана ним посада; ставиться його особистий підпис; номер телефону або телетайпу; номер посвідчення особи декларанта: Рівне, РІС КСУ, Малько О., свд. 6541, 14/05/2007.
Висновки до розділу 3
Зовнішньоекономічні зв’язки України постійно зростають і тому постає необхідність у регулюванні зовнішньоекономічної діяльності окремих суб’єктів ЗЕД. У цій діяльності особлива роль належить митній службі, діяльність якої регулюється законодавством України і, зокрема, Митним Кодексом України.
Особливу роль у процесі міжнародної торгівлі відіграє контроль за проведенням операцій – тарифні і нетарифні методи регулювання.
Завданням розділу "Митне оформлення" було визначити, які нетарифні методи застосовуються до кисломолочного сиру при експорті, а також підрахунок тарифних елементів.
Нетарифними методами при експорті кисломолочного сиру виступають радіологічний, ветеринарний та санітарно-епідеміологічний контроль. Тарифні методи до вітчизняних товарів (зокрема, кисломолочного сиру) не застосовуються.
Дослідження проводилось на основі зовнішньоекономічного контракту, у якому зазначено:
- тип операції – експорт;
- експортер – магазин "Вибір", імпортер – ТОВ "Продукти" (Білорусь);
- товар - кисломолочний сир у вигляді брикетів масою 200 г, жирність 9%;
- кількість товару – 120 кг (4 ящики по 150 брикетів у кожному);
- вартість 1 брикета кисломолочного сиру – 0,5 доларів США;
- умови поставки - автотранспортом DAF-Городище.
У даному випадку, при експорті кисломолочного сиру до Білорусі на умовах поставки DAF-Городище, необхідно оформити ВМД форми ЕК 10 (для декларування залучено декларанта – Рівненський інститут слов’янознавства), сплативши митний збір за митне оформлення у сумі 25,25 грн., тобто 0,96% від митної вартості товару.
Підприємству ПДВ не відшкодовується, оскільки експортером є посередник між виробником та покупцем, а відшкодування проводиться виробникам з метою заохочення їх виходу на зовнішній ринок.
Таким чином, здійснення експортних поставок буде вигідним для магазину "Вибір", оскільки митні збори становлять незначну частку – 0,96% від митної вартості.
Висновки
Кисломолочний сир (творог) – концентрований молочно-білковий продукт, що отримують із цільного , нормалізованого або знежиреного пастеризованого молока шляхом сквашування закваскою, приготованої на чистих культурах молочнокислих бактерій, та відділенням сироватки від згустку, один із найцінніших молочних продуктів і продуктів харчування взагалі.
Кисломолочний сир є концентрованим продуктом переробки молока. В ньому великий вміст жиру (9-18%) , білків (14-16%). Завдяки наявності амінокислот - метіоніну та лізину – кисломолочний сир використовується для дієтичного та лікувального харчування. Він багатий також набором мінеральних речовин та їх співвідношенням (кальцій , фосфор , залізо, магній та ін.).
Класифікація кисломолочних сирів:
1 залежно від вмісту жиру:
· нежирний;
· напівжирний(9%);
· жирний (18%).
2 залежно від термічної обробки молока:
· виготовлений з пастеризованого молока;
· виготовлений з не пастеризованого молока.
3 залежно від рецептури:
· без смакових добавок;
· з смаковими добавками:
· для солодких сирків і сиркової маси – з ізюмом, горіхами, плодово – ягідними добавками, згущеним молоком та ін.
· для солоних сирків та сиркової маси – з кмином, томатом і перцем та ін.
· глазуровані ;
· неглазуровані.
4 залежно від виду фасування:
· фасовані в пергамент;
· фасовані в картонні стакани з полімерним покриттям масою 100, 250, 500 г.
· фасовані в полістирольні стаканчики з кришками;
5 залежно від застосування:
· використовується безпосередньо в їжу;
· використовується для отримання творожних виробів та кулінарних страв.
Виготовляють кисломолочний сир із пастеризованого і непастиризованого молока.
При виробництві кисломолочних сирів кислотно – сичужним методом молоко пастеризують, охолоджують та вносять закваску із чистих культур молочнокислих бактерій та сичужного фермента ( отримують із шлунку теляти –сичуга ), отриманий фермент розрізають на кубики та пресують.
При виробництві кисломолочних сирів кислотним методом молоко звертають молочнокислою закваскою, згусток розрізають, а для прискорення виділення сироватки нагрівають. Цим способом отримують нежирний творог.
Виробляють кисломолочні сири згідно технологічних процесів , наведених на рисунку 2:
Приймання та підготовка молока
Сепарування молока
Складання суміші нормалізованого молока
Пастеризація
Сквашування
Розрізання згустку
Відділення сироватки та розлив згустку
Самопресування та пресування згустку
Охолодження творогу
Фасування та пакування
Рисунок 2– Технологічний процес виготовлення кисломолочних
сирів
Показники якості у кисломолочних сирах визначаються : органолептичні, фізико – хімічні ,мікробіологічні та санітарно – гігієнічні (рисунок 1)
Рисунок 1 – Показники якості кисломолочних сирів
1.Органолептичні :
· запах і смак –кисломолочні без сторонніх присмаків та запахів, допускається сторонній кормовий присмак
· консистенція – мазка,для нежирного – з незначним виділенням сироватки, розсипчаста
· колір – білий з кремуватим відтінком, рівномірний по всій масі
2.Фізико – хімічні :
· масова частка жиру,%
· масова часка вологи ,%
· кислотність
· температура при випуску з підприємства
· фосфатаза
3. Мікробіологічні та санітарно – гігієнічні:
· титр бактерій групи кишкової палички
· патогенні мікроорганізми, в тому числі бактерії групи Сальмонела
· масова частка важких металів: свинцю, кадмію, ртуті, міді, цинку
· масова частка мишьяку
У дипломній роботі проводились дослідження трьох видів кисломолочних сирів 23% жирності різних виробників, де були отримані наступні результати:
Таблиця1 – Результати досліджень кисломолочних сирів
Марка Показник |
Сирок кисломолочний « Простоквашино» | Сирок дитячий «Слов’яночка» | Сирок солодкий з ваніліном «Щодня»" |
| Виробник | ВАТ "Галактон", Україна, 02660 м.Київ, вул. М. Раскової, 4 |
«ВАТ Вімм – Біль –Дан Україна» м. Вишневе, київської обл., вул. Промислова, 7 |
ДП «Молочний завод» ТОВ «Молочна фабрика « Рейнфорд» Україна, 10031, м. Житомир , вул. Ватутіна, 45 |
| Маса, г | 100 г | 100 г | 100 г |
| Тип упаковки | Фольга з підпергаментом | Пергамент | Пергамент |
| Термін і умови зберігання | При температурі(4+_2*)С не більше7 діб. не зазначено оптимальну вологість для зберігання. |
При температурі зберігання (4+-2*)С – не більше 4 діб. | Строк придатності 7 діб при температурі (4+_ 2*)С. |
| Енергетична цінність 100 г, ккал | 311 | 304 | 311 |
| Вуглеводи, г в 100 г | 17,0 | 14,2 | 17,0 |
| Білки, г в 100 г | 9,0 | 9,0 | 9,0 |
| Загальна оцінка, 100% | 5,0 Відмінно |
4,8 Відмінно |
4,0 Добре |
| Маркування, 10% | Відмінно | Добре | Добре |
| Упаковка, 10% | Відмінно | Добре | Добре |
| Органолептика, 80% | Відмінно | Відмінно | Добре |
Отже, отримали оцінку «відмінно» сирки кисломолочні «Простоквашино»" та «Слов’яночка» , а зразок сирку кисломолочного «Щодня» – "добре".
У третьму розділі дипломної роботи описано особливості митного оформлення кисломолочних сирів. Дослідження проводились на основі типової процедури експорту за наступними параметрами відповідно до зовнішньоекономічного договору (таблиця 2).
Таблиця 2 – Умови зовнішньоекономічного контракту при експорті кисломолочних сирів
| №№ З/П | Найменування умови | Умова |
| 1 | 2 | 3 |
| 1 | Тип операції | Експорт |
| 2 | Експортер | Магазин «Вибір» |
| 3 | Імпортер | ТОВ «Продукти» , Білорусь |
| 4 | Декларант | Рівненський інститут слов ’ янознавства КСУ |
| 5 | Товар | Кисломолочні сири |
| 6 | Вартість партії ( без врахування витрат на доставку) | 2626,00 |
| 7 | Кількість товару | 130 кг |
| 8 | Умови поставки | DAF- Городище |
Ставки мита в Митному тарифі України наведено відповідно до кодів товарів. Нетарифні обмеження (тобто ліцензування , квотування та ін.) також в основному застосовуються до товарів , указаних у вигляді кодів товарів чи товарних позицій. Тому важливим є визначення коду товару за УКТ ЗЕД. Визначення коду кисломолочного сиру проходить поетапно.
Перший рівень, визначення розділу, до якого можна віднести товар. На даному етапі товари групуються за галузями промисловості. Відповідно, кисломолочний сир відноситься до розділу I "Живі тварини; продукти тваринного походження".
Наступний, другий рівень - визначення групи. Загальна кількість груп у товарній номенклатурі - 97. У них товари зібрані відповідно до таких ознак:
- за матеріалом виготовлення;
- за функціональним призначенням;
- за ступенем обробки.
Оскільки кисломолочний сир є молочним продуктом, то його відносять до групи 04 "Молоко та молочні продукти; яйця птахів; натуральний мед; харчові продукти тваринного походження, в іншому місці непойменовані".
Третій рівень, визначення товарної позиції, яка деталізує товар за більш специфічним ознаками. Кисломолочний сир відносять до товарної позиції 0406 "Сири всіх видів та кисломолочний сир".
Четвертий рівень передбачає визначення підпозиції товару. Для кисломолочного сиру товарною підпозицією буде – 040610 "Свіжий сир (без визрівання), включаючи сир з молочної сироватки та кисломолочний сир".
Визначення товарної категорії – п’ятий рівень. Для вказаного товару класифікація на рівні товарної категорії не проводиться.
Визначення підкатегорії – завершальний етап визначення коду за УКТ ЗЕД. Для кисломолочного сиру підкатегорією є 0406102000 "З вмістом жирів не більш як 40 мас. %".
Отже код товару за УКТ ЗЕД 0406102000.
Класифікацію товару можна представити у вигляді таблиці 3:
Таблиця 3- Код кисломолочного сиру за УКТ ЗЕД
| Код групи | 04 | Молоко та молочні продукти; яйця птахів; натуральний мед; харчові продукти тваринного походження, в іншому місці непойменовані | ||||
Товарна позиція |
04 | 06 | Сири всіх видів та кисломолочний сир | |||
| Товарна підпозиція | 04 | 06 | 10 | Свіжий сир (без визрівання), включаючи сир з молочної сироватки та кисломолочний сир | ||
| Товарна категорія | 04 | 06 | 10 | 20 | - | |
| Товарна підкатегорія | 04 | 06 | 10 | 20 | 00 | З вмістом жирів не більш як 40 мас. %". |
Для безперешкодного здійснення цієї зовнішньоекономічної операції при митному оформленні необхідно , крім ВМД, подати транспортні документи , загальні та дозвільні документи. Основним методом нетарифного регулювання , що застосовується до кисломолочних сирів є ветеринарний контроль.
1. Орлова Н.Я. Теоретичні основи товарознавства продовольчих товарів: Лабораторний практикум Київ, 1999.
2.Дубцов Г. Товароведение пищевых продуктов: Учебник Москва, 2001
3.Кириченко Л. Товарознавство продовольчих товарів: Опорний конспект : лекцій Київ, 2001
4.Кругляков Г.Н., Круглякова Товароведение продовольственных товаров:
Учебн. Ростов - на - Дону, 1999
5.Матюхина З.П., Королькова Э.П. Товароведение пищевых продуктов:
Учебник Москва, 2000
6.Рудавська Г., Сирохман І. Товарознавство молочних та яєчних товарів:
Підручник Київ, 2000
7.Рудавська Г.Б. Товарознавство молочних товарів: Навч.посібник Київ, 1998
8.Сирохман І.В. та ін. Товарознавство продовольчих товарів: Підручник Київ,
2000
9.Авт.-сост. А.Болотников Товароведение: Курс лекций Киев, 1999 41.Под ред. А.Новикова Товароведение и организация торговли продовольственными товарами: Учебник Москва, 2000
10.Шепелев А., Кожухова О. Товароведение и экспертиза молока и молочных
товаров: Учебн.пособие Ростов-на-Дону, 2001
11.Основи митної справи: Тези лекцій Хмельницький, 1996 124.Под ред. С.И.Долгова Предприятие на внешних рынках: Внешнеторговое
дело: Учебник Москва: БЕК, 1997
12.Дубініна А.А., Сорокіна С.В. Основи митної справи в Україні: навчальний посібник. – К.: ВД "Професіонал", 2004. – 360 с.
13.Дудчак В.І, Мартинюк О.В. Митна справа: Навч. Посібник. - К., 2002.
14.Закон України "Про єдиний збір, який справляється у пунктах пропуску через державний кордон України".
15.Закон України "Про Єдиний митний тариф".
16.Закон України "Про податок на додану вартість".
17.Закон України "Про торгово-промислові палати в Україні".
18.Інструкція про порядок визначення країни походження товарів, оформлення та засвідчення сертифікатів відповідних форм, затверджена рішенням Президії ТПП України.
19.Комп’ютерна програма "MD Office".
20.Митний кодекс України.
21.Пашко П.В. Основи митної справи: Навч. посібник. – К.: Знання, 2002.
22.Пашко П.В., Каленський М.М. Митний контроль та митне оформлення. – К.: Знання, 2002.
23.Порядок заповнення вантажної митної декларації / За ред. П.В.Пашка. – К.: Знання, 2005. – 399 с.
24.Постанова Кабінету Міністрів України "Про затвердження Порядку верифікації сертифікатів про походження товарів з України".
25.Постанова КМУ "Про перелік виробничих та технологічних операцій для визначення критерію достатньої переробки товару та порядок його встановлення та застосування при визначені країни походження товару".
26.Український класифікатор товарів зовнішньоекономічної діяльності.
Додат ок А
Заявка на проведення експертизи
Вих № 253/07 "10 " травня 2007 р. Реєстраційний № _____________ "____"_________________20___р. |
Президенту Рівненської Торгово-промислової палати Ярощуку М.Я. |
ЗАЯВКА
на проведення експертизи
Магазин "Вибір"
(повна назва замовника)
просить провести експертизу ____________кисломолочного сиру «Услада»
(назва продукції)
на відповідність вимогам/умовам: договору № 874/07 від 01.04.07 ________________
(НД на продукцію, договір, товаросупровідна документація)
Кількість партія у кількості 50 упаковок масою нетто 310 г кожна ___________________
Місцезнаходження продукції Магазин "Вибір", м. Рівне, вул. Відінська, 10 ______________
Країна походження продукції Росія договір № 874/07 від 01 квітня 2007 року
Завдання експертизи (вносять потрібне):
ð перевірка кількості вантажних місць/виробів, що надійшли у ТЗ/ТО;
ð перевірка кількості/комплектності виробів, що надійшли у вантажних місцях; ð перевірка якості продукції: ð - органолептичним методом; ð - вимірювальним методом; ð - лабораторним методом ________________________________________________________
(зазначити необхідні показники якості)
ð перевірка відповідності пакування/маркування продукції;
ð ідентифікація продукції;
ð визначення фактичної кількості продукції (за умови порушення пакування);
ð перевірка технічного стану обладнання;
ð відбір зразків (проб);
ð визначення втрати якості продукції (у відсотках) за наявності дефектів та можливі причини їх виникнення;
ð передвідвантажувальний огляд продукції;
ð ______________________________________________________________________________
Термін проведення експертизи: ð звичайний ; ð терміновий.
Замовник зобов'язується:
надати всю необхідну інформацію для проведення експертизи; гарантувати безпеку та необхідні умови для роботи експерта; сплатити всі витрати, пов'язані з проведенням експертизи, незалежно від її результатів.
З порядком та процедурами експертизи ознайомлений та згоден їх виконувати.
Реквізити замовника: м. Рівне, вул. Відінська, 10, тел. 64-21-64 _____________________
(юридична адреса, телефон, факс, е-mail)
Р/р 6523652141 у Промінвестбанку м. Рівне МФО 333335 , код ЄДРПОУ 6325412541 свідоцтво платника ПДВ №_______________________________________________________
Відповідальна особа директор Гонтарук О.В., тел./факс (0362) 64-21-64 __________________
(посада, прізвище, ім'я та по батькові, телефон, факс, е-mail)
Керівник організації ______________ Гонтарук О.В.
(дата і підпис) (ініціали, прізвище)
Головний бухгалтер ______________ Савіна А.В.
(дата і підпис) (ініціали, прізвище)
Додаток Б
Наряд на проведення експертизи
Рівненська торгово-промислова палата
Адреса: 33000, м . Рівне, вул. Г.Мазепи, 19 Тел.61-23-45
Дата надходження заявки "10 " травня 2007 року
Наряд № 322
Дата видачі "11 " травня 2007 року
Експерт: Малько О.В.
Замовник: магазин «Вибір»
Адреса: м. Рівне, вул. Відінська, 10 Телефон (0362) 64-21-64
Товар (країна, найменування, кількість): Російська Федерація, сир кисломолочний «Услада», 5 кг
Місцезнаходження товару: склад магазину "Вибір"
Завдання експертизи: перевірити відповідність маркування вимогам контракту 874/07 від 01.04.07.
Печатка Керівник ТПП______________________________
Акт експертизи
Рівненська торгово-промислова палата
Адреса: 33000, м . Рівне, вул. Г.Мазепи, 19 Тел.61-23-45
АКТ ЕКСПЕРТИЗИ № 322
1. Дата складання 11.05.2007 2. Місце складання м. Рівне
3. Акт складений експертом Малько О.В.
4. Наряд № 322 від 11 травня 2007 року
Експертиза проведена за участю представників:
| Організація | Посада | Прізвище, ініціали |
| Магазин "Вибір" | Директор | Гонтарук О.В. |
5. До експертизи пред’явлено:
Найменування товару сир кисломолочний «Услада» Кількість 5кг Кількість згідно документів 5 кг
6. Завдання експертизи перевірити відповідність маркування вимогам контракту № 874/07 від 01.04.07
7. Вантажоотримувач магазин "Вибір"
8. Постачальник (країна, інофірма) ТОВ «Транс СНГ», Російська Федерація
9. Вантажовідправник ТОВ "Транс СНГ", Російська Федерація
10. Виробник товару ТОВ "Транс СНГ", Російська Федерація
11. Надані документи копії автомобільних накладних
12. Контракт/договір № 874/07 від 01 квітня 2007 року
13. Експертизою встановлено:
У маркуванні сиру кисломолочного «Услада» не чітко вказана адреса виробництва, не зазначено оптимальну вологість для зберігання, відсутня інформація про вміст вітамінів, макро- та мікроелементів, маркування українською мовою відсутнє .
14. Висновок експерта:
Маркування, нанесене на сир кисломолочний «Услада» не відповідає умовам контракту № 874/07 від 01 квітня
Дата початку експертизи: 11 травня 2007 року
Дата закінчення експертизи: 11 травня 2007 року
|
Представники: _________________________________________
Акт зареєстровано у Рівненській торгово-промисловій палаті
Додаток г
Зразок зовнішньоекономічного контракту
Договір № 87/07
м. Рівне 01 квітня 2007 р.
Магазин "Вибір", м. Рівне, Україна, у подальшому "Продавець", в особі директора Бункова А.В., що діє на підставі статуту, з однієї сторони, та ТОВ "Продукти", м. Мінськ, Білорусь, у подальшому "Покупець", в особі директора Іванова В.В., що діє на підставі статуту іншої сторони уклали даний договір про наступне:
1 Предмет договору
1.1 Продавець зобов’язується надати у власність Покупця, а Покупець прийняти кисломолочний сир у вигляді брикетів масою 200 г у кількості 120 кг, у подальшому товар.
1.2 Товар поставляється у картонних ящиках по 150 брикетів у кожному.
1.3 Договір складений у 2-х примірниках: 1 – українською, 1 – російською мовами.
2 Ціна товару і сума договору
2.1 Ціна на товар складає 2,5 доларів /1 кг кисломолочного сиру.
2.2 Ціна на товар, який постачається є фіксованою і не може змінюватись.
2.3 Валюта оплати – долари США.
2.4 Ціна на товар, який постачається, встановлюється у доларах США.
2.5 Загальна сума договору – 300 доларів США.
3 Якість товару
3.1 Якість товару, який постачається за даним договором повинна повністю відповідати вимогам нормативних документів на даний товар.
3.2 При виявленні невідповідності якості товару, Покупець зобов’язаний повідомити Продавця у термін, не пізніше 10 днів після виявлення дефектів.
3.3 У випадку, коли дефекти виникли з вини Продавця і цю несправність неможливо усунути – Покупець має право повернути товар Продавцю у термін, не пізніше 1 місяця з дати підписання контракту (за умови, якщо товар перебуває у тому ж стані, що і на момент вивезення).
3.4 Витрати, пов’язані з експортом товару до кордону України, оплачує Продавець.
4 Умови і строки поставки (передачі) товару
4.1 Товар має бути наданий у розпорядження Покупця до 30 травня 2007 року.
4.2 Умови поставки: DAF - Городище (Інкотермс-2000).
4.3 Вантажовідправником товару виступає ТОВ "Камазтранссервіс", м. Рівне, вул. Відінська, 56.
4.4 Разом з товаром надаються такі документи:
- рахунок-фактура;
- ветеринарний сертифікат;
- радіологічний дозвіл;
- санітарний сертифікат;
- транспортні документи.
5 Умови і строки оплати
5.1 "Форма оплати" – 100% передоплата. Відвантаження товару Покупцю здійснюється Продавцем протягом 10 днів з дня надходження валютних коштів на розрахунковий рахунок Продавця.
5.2 Валютні кошти за товар перераховуються з розрахункового рахунку Покупця, а саме: Р/р 22248008401259, Національний банк, м. Мінськ, на розрахунковий рахунок Продавця, а саме: р/р 33348008401259 у Промінвестбанку, м. Рівне, МФО 3333335.
6 Відповідальність сторін
6.1 У випадку прострочення надання товару і оплати за надані послуги за виною Продавця, останній виплачує Покупцю пеню у розмірі 0.01% за кожен день прострочення від загальної суми контракту.
6.2 Сторони не несуть відповідальності за невиконані зобов’язання за даним договором, якщо неможливість їх виконання викликана в результаті форс-мажорних обставин, непереборної сили, підтверджених офіційними органами.
6.3 Якщо форс-мажорні обставини мали місце більше 4-х місяців, то дія даного договору може бути зупинена кожною зі сторін, поставивши до відома іншу сторону, не менше, ніж за 15 діб.
6.4 При порушенні умов договору, Сторони керуються Конвенцією ООН про міжнародні договори, іншими нормативними актами, обов’язковими для обох сторін, а також діючим законодавством. Всі спори, що виникають при виконанні даного договору, вирішуються самостійно, або у Арбітражному суді за місцем розташування відповідача.
7 Інші умови
7.1 При виконанні зобов’язань за даним договором Сторони керуються умовами поставок відповідно до правил тлумачення торгових термінів "Інкотермс-2000".
8 Термін дії договору
8.1 Даний договір діє з моменту підписання його обома сторонами і до 30 червня 2007 року.
8 Юридичні адреси сторін
| Продавець : | Покупець : |
Магазин "Вибір", м. Рівне, вул. Відінська, 56, Україна р/р 33348008401259 у Промінвестбанку, м. Рівне, МФО 3333335. |
ТОВ "Продукти", м. Мінськ, вул. Московська, 67, Білорусь, р/р 22248008401259, Національний банк, м. Мінськ |
Директор магазину "Вибір" _________________ Бунков А.В. |
Директор ТОВ "Продукти" _______________ Іванов В.В. |
Похожие рефераты:
Характеристика технології виробництва сиру кисломолочного
Організація міні-виробництва сиру
Обґрунтування організації торгівлі сирами на прикладі ТОВ "Улюблені сири"
Проект цеху з виробництва кисломолочного сиру зернистого типу "Коттедж"
Товарознавча експертиза шоколаду, що підлягає митному оформленню з метою випуску у вільний обіг
Вплив технології на споживну цінність сичугових сирів
Технологія сиру твердого "Углічеського", проект цеху та аналіз показників якості
Екологічні напрями виробництва кисломолочних напоїв на ВАТ "Віта" м. Біла Церква
Технологічні особливості приготування сметани різної жирності
Технологія виробництва біойогурту
Ефективність стратегії розвитку переробного підприємства молокопродуктового підкомплексу АПК України