| Похожие рефераты | Скачать .docx |
Дипломная работа: Модернизация системы видеонаблюдения центрального офиса коммерческого банка
Реферат
Дипломный проект 121 с., 2 рис., 29 табл., 26 источников, 2 приложения, 8 листов графического материала.
Цель работы – проектирование системы охранного телевидения для обнаружения преступных посягательств и ошибок в финансовых операциях на территории банка.
В процессе работы было произведено обследование объекта защиты, выявлены потенциальные угрозы безопасности объекта, оценены риски безопасности. По результатам анализа объекта защиты был произведен выбор технических средств видеонаблюдения.
Пояснительная записка к дипломному проекту выполнена в текстовом редакторе MicrosoftWord 2007 и представлена на диске CD-R.
Введение
Желание жить вне опасности следует в общепринятой иерархической системе потребностей, предложенной Маслоу, сразу после физиологических нужд. Это понятие не ограничивается личной безопасностью, также важна стабильность и сохранность материальных ценностей. Для обеспечения безопасности имущества от преступных посягательств используется три класса средств: средства обнаружения, физические барьеры и силы охраны.
Среди современных средств обнаружения видеонаблюдение в отличие от извещателей и радиолокации имеет ряд преимуществ. Основными из них являются возможность более полно оценить обстановку, отсутствие ложной тревоги и способность выявлять и более того регистрировать преступные посягательства при наличии постоянной санкционированной активности в зоне наблюдения.
Начало эры технических средств наблюдения связывают с появлением миниатюрных фотоаппаратов в первой половине ХХ века. Они использовались для скрытого получения визуальной информации. Основным недостатком фототехники является отсутствие возможности наблюдения объекта в реальном времени, фиксировать перемещение объекта съемки. Основой первых малогабаритных телевизионных камер, позволявших наблюдать за движением объектов, были электровакуумные элементы.
Существенным прорывом в развитии охранного телевидения явилось распространение в 80-х годах камер на основе ПЗС-матриц, которые позволили еще больше снизить габариты и повысить надежность работы телекамер. Помимо этого ПЗС-камеры обладают значительной чувствительностью в инфракрасном диапазоне, что делает возможной съемку в полной темноте.
Непрерывное совершенствование и массовое производство оборудования для охранного телевидения привело к широкому использованию систем видеонаблюдения в целях обеспечения безопасности организаций, предприятий, учреждений и даже объектов частной собственности.
Система видеонаблюдения в простейшем случае состоит из видеокамеры и монитора, на который поступает видеоинформация. Но так, как обычно для создания адекватной системы охранного телевидения нужно более одной камеры используются устройства позволяющие использовать один видеомонитор для приема сигнала от нескольких видеокамер. Также чаще всего существует необходимость записи принятых видеосигналов для дальнейшего воспроизведения и анализа. Поэтому регистрирующие устройства также являются неотъемлемой частью системы видеонаблюдения.
На данный момент на рынке современного цифрового оборудования существуют следующие виды камер видеонаблюдения:
Стандартные – Самый распространенный тип камер. Устанавливаются при помощи кронштейна на любую горизонтальную поверхность Для установки в уличных условиях, помещаются в защитный термокожух. Стандартные камеры кроме своей основной функции, также выполняют демонстративную, т.е. отпугивают злоумышленника.
Преимуществом стандартных камер является то, что на них можно «прикрутить» практически любой объектив с нужным вам углом обзора и приближением.
1. Купольные камеры – Устанавливаются исключительно на потолок. Большинство моделей достаточно компактны и не привлекают внимания.
2. Малогабаритные камеры – Могут иметь различную форму. По размерам обычно сравнимы со спичечным коробком. Часто применяются там, где нужно сохранить дизайн интерьера или не привлекать внимания.
3. Бескорпусные камеры – Представляют из себя «голую» плату небольших размеров, которую можно встроить в нужный корпус. Чаще всего используются для скрытой установки, либо установки в малогабаритные термокожухи. За счет отсутствия корпуса такие видеокамеры стоят дешевле стандартных.
4. Закамуфлированные камеры – Чаще всего выглядят как охранный или дымовой датчик. Используются для скрытого видеонаблюдения.
5. Уличные камеры – Предназначены для установки в уличных условиях. Такие камеры имеют герметичный корпус с подогревом, солнцезащитный козырек и чаще всего встроенную инфракрасную подсветку.
Стоимость уличной камеры всегда ниже, чем стоимость аналогичной стандартной камеры, размещенной в термокожух.
6. Поворотные камеры – Позволяют удаленно приближать горизонтали. Данный тип камер – самый дорогой.
Устройства обработки видеосигналов призваны обеспечить прием информации от нескольких видеокамер. Разные типы устройств обладают своими особенностями. Среди устройств обработки видеосигналов выделяют:
1. Специализированные устройства, выполняющие ограниченный набор функций и работающие, как правило, в реальном времени. К этой категории относятся всевозможные видеомикшеры, видеокоммутаторы, генераторы спецэффектов, синхронизаторы, транскодеры и т.д.
2. Устройства обработки видеосигналов на базе компьютеров PC, Amiga, Macintosh, Silicon Graphics, Alfa DEC и т.д. Обычно эти устройства выполняются в виде плат или внешних блоков активно взаимодействующих с компьютером при помощи программного обеспечения. Такие устройства редко работают в реальном времени, но имеют практически неограниченные возможности.
3. Управляющие и вспомогательные устройства, которые управляют видеоаппаратурой. Они могут быть как автономными, так и входить в состав компьютерного видеокомплекса. К этой категории относятся видеомонтажные контроллеры, платы линейного видеомонтажа, управляющие системы и т.д.
Среди оборудования предназначенного для регистрации событий посредством записи видеосигналов также существует определенная дифференциация. Современный рынок представляет потребителю следующие виды видеозаписывающего оборудования:
1. Специализированные видеомагнитофоны
2. Цифровые автономные видеорегистраторы
3. Видеосистемы на базе компьютеров и видеосерверы
Важно учитывать при выборе оборудования, чтобы система охранного телевидения и ее характеристики не рассматривались в отрыве от реальных условий ее эксплуатации. Только учет действия внешних факторов в дополнение к исследованию аппаратных параметров может привести к желаемому результату, а именно созданию системы, полностью отвечающей требованиям по обнаружению проникновения и прочих несанкционированных действий в зоне наблюдения.
Целью данного дипломного проекта является модернизация уже существующей системы видеонаблюдения конкретного коммерческого банка. Данная система имеет ряд недостатков, и в ходе проектирования предусматривается их анализ и разработка комплекса мероприятий по их ликвидации.
1. Требования к проектируемой системе
Перед началом любого проекта необходимо, определиться с тем, какие требования предъявляются к объекту проектирования. Проект системы видеонаблюдения – не исключение. Поэтому особую роль в планировании новых решений, призванных усовершенствовать существующую систему, является постановка целей использования системы, ее функциональных элементов, а также анализ формальных требований и ограничений в ее реализации.
При постановке требований к проектируемой системе видеонаблюдения следует руководствоваться нормативной базой и конкретными пожеланиями руководства коммерческого банка, которое является в данном случае заказчиком.
1.1 Анализ нормативных актов в сфере видеонаблюдения
Основными документами, которыми руководствуются при создании проекта системы видеонаблюдения:
– РД 78.36.003–2002 «Инженерно-техническая укрепленность. Технические средства охраны. Требования и нормы проектирования по защите объектов от преступных посягательств»
– Р 78.36.002–99 «Выбор и применение телевизионных систем видеоконтроля»
– Р 78.36.003–99 «Рекомендации по комплексному оборудованию банков, пунктов обмена валюты, оружейных и ювелирных магазинов, коммерческих и других фирм и организаций техническими средствами охраны, видеоконтроля и инженерной защиты. Типовые варианты»
– Р 78.36.008–99 «Рекомендации. Проектирование и монтаж систем охранного телевидения и домофонов»
– ГОСТ Р 51558–2000 «Системы охранные телевизионные. Общие технические требования и методы испытания»
Часть этих нормативных актов выдвигает требования к реализации систем видеонаблюдения, а часть носит рекомендательный характер. Но, несмотря на необязательность, рекомендации оказываются крайне полезны, так как они помогают определиться с техническими решениями, создать согласованную и правильно функционирующую систему охранного телевидения.
Государственный стандарт ГОСТ Р 51558–2000 распространяется на вновь разрабатываемые и модернизируемые охранные телевизионные системы, предназначенные для использования в целях защиты людей и имущества на охраняемых объектах от преступных посягательств, и устанавливает общие технические требования и методы испытаний. В отличии от ранее представленных документов Глава 4 стандарта содержит нормы, составляющие общие технические требования.
Системы должны разрабатываться в соответствии с требованиями настоящего стандарта, ГОСТ Р 50775 , ГОСТ Р 50776 , ГОСТ 15.001 , технических условий или другой технической документации на конкретные системы. Разрешение системы должно быть указано для каждого видеоканала системы в телевизионных линиях.
Значение времени реагирования системы на тревожное событие должно соответствовать для каждого видеоканала системы значению, указанному в ТУ и шум.
Технические характеристики устройств обнаружения движения и их значения должны соответствовать значениям, указанным в эксплуатационной документации на конкретные устройства:
– минимальный размер обнаруживаемой цели;
– минимальный контраст обнаруживаемой цели относительно фона;
– диапазон скоростей движения цели.
Технические характеристики видеонакопителей и их значения должны соответствовать значениям, указанным в эксплуатационной документации на конкретные устройства:
– разрешение;
– отношение сигнал-шум;
– вид входного сигнала извещения о тревоге: тревога путем замыкания или размыкания контактов;
– параметры сигнала оповещения о тревоге: максимальные коммутируемые напряжение и ток.
Технические характеристики видеомониторов и их значения должны соответствовать значениям, указанным в эксплуатационной документации на конкретные устройства:
– разрешение;
– максимальная яркость изображения;
– геометрические и нелинейные искажения изображения.
Технические характеристики линий связи в каналах изображений должны соответствовать ГОСТ Р 50725 .
ТС систем должны изготавливаться в исполнении, обеспечивающем защиту от прогнозируемых НСД, или другой технической документации на конкретные виды ТС в соответствии с требуемой группой условий эксплуатации по ГОСТ 17516 и степенью жесткости изделий по ГОСТ 16962.
Габаритные размеры ТС систем должны обеспечивать возможность транспортирования через типовые проемы зданий, а также сборку, установку и монтаж на месте эксплуатации.
Конструкция системы должна обеспечивать:
– взаимозаменяемость сменных однотипных составных частей;
– удобство технического обслуживания, эксплуатации и ремонтопригодность;
– защиту от несанкционированного доступа к элементам управления параметрами;
– санкционированный доступ ко всем элементам, узлам и блокам, требующим регулирования или замены в процессе эксплуатации.
Конструкционные, электроизоляционные материалы, покрытия и комплектующие изделия должны обеспечивать:
– механическую прочность;
– выполнение требований по устойчивости к несанкционированным действиям;
– безопасную работу в заданных условиях эксплуатации.
Руководящий документ 78.36.003–2002 «Инженерно-техническая укрепленность. Технические средства охраны. Требования и нормы проектирования по защите объектов от преступных посягательств» позволяет классифицировать объекты, которые подлежат защите.
В зависимости от значимости и концентрации материальных, художественных, исторических, культурных и культовых ценностей, размещенных на объекте, последствий от возможных преступных посягательств на них, все объекты, их помещения и территории подразделяются на две группы: А и Б. Ввиду большого разнообразия разнородных объектов в каждой группе, они дополнительно подразделяются на две подгруппы каждая: AI и AII, БI и БII.
Объекты подгрупп AI и AII– это объекты особо важные, повышенной опасности и жизнеобеспечения, противоправные действия на которых, в соответствии с уголовным законодательством Российской Федерации могут привести к крупному, особо крупному экономическому или социальному ущербу государству, обществу, предприятию, экологии или иному владельцу имущества.
Объекты подгрупп БI и БII– это объекты, хищения на которых в соответствии с уголовным законодательством Российской Федерации могут привести к ущербу в размере до 500 минимальных размеров оплаты труда и свыше 500 соответственно.
Согласно данному нормативному акту коммерческий банк относится к подгруппе AI. Это обусловлено тем, что в банке сосредоточены в больших количествах материальные ценности.
Охранному телевидению полностью посвящена 8 глава данного руководящего документа. В ней содержится следующая информация.
Системы охранного телевидения должны обеспечивать передачу визуальной информации о состоянии охраняемых зон, помещений, периметра и территории объекта в помещение охраны. Применение охранного телевидения позволяет в случае получения извещения о тревоге определить характер нарушения, место нарушения, направление движения нарушителя и определить оптимальные меры противодействия. Кроме того, система охранного телевидения позволяет проводить наблюдение охраняемых зон объекта.
В состав СОТ, согласно ГОСТ Р 51558–2000 входят:
Обязательные устройства для всех СОТ:
– телевизионная камера;
– видеомонитор;
– источник электропитания, в том числе резервный;
– линии связи.
Дополнительные устройства для конкретных СОТ:
– устройство управления и коммутации видеосигналов;
– обнаружитель движения;
– видеонакопитель.
На объекте ТК следует оборудовать:
– периметр территории;
– КПП;
– главный и служебные входы;
– помещения, коридоры, по которым производится перемещение денежных средств и материальных ценностей;
– помещения, в которых непосредственно сосредоточены материальные ценности, за исключением хранилищ ценностей;
– другие помещения по усмотрению руководства объекта или по рекомендации сотрудника подразделения вневедомственной охраны.
В охране объектов должны использоваться системы черно-белого и цветного изображения. Установка той или иной системы зависит от необходимой информативности СОТ, характеристик охраняемого объекта и возможных целей.
Работа аппаратных средств СОТ должна быть синхронизирована.
ТК, предназначенные для контроля территории объекта или ее периметра, должны размещаться в герметичных термокожухах, имеющих солнцезащитный козырек и должны быть ориентированы на местности под углом к линии горизонта. Размещение ТК должно препятствовать их умышленному повреждению.
В темное время суток, если освещенность охраняемой зоны ниже чувствительности ТК, объект должен оборудоваться охранным освещением видимого или инфракрасного диапазона. Зоны охранного освещения должны совпадать с зоной обзора ТК. При использовании СОТ цветного изображения применение инфракрасного освещения недопустимо.
Для наблюдения с помощью одной ТК больших территорий объекта рекомендуется применять объективы с переменным фокусным расстоянием и поворотные устройства с дистанционным управлением.
В помещениях объекта следует использовать ТК с электронным затвором, укомплектованные объективом с ручной регулировкой диафрагмы.
Вне помещений объекта следует комплектовать ТК объективом с автоматической регулировкой диафрагмы.
Для отображения поступающей с ТК информации должны применяться специальные мониторы, способные работать круглосуточно в течение длительного времени с неподвижным изображением.
В СОТ следует использовать обнаружители движения, которые превращают ТК в охранный извещатель, выдающий сигнал тревоги на внутренний пульт охраны объекта или ПЦО при появлении в ноле зрения ТК движущейся цели.
При необходимости записи телевизионных изображений должны применяться видеонакопители: специальные видеомагнитофоны с длительным временем записи или цифровые видеонакопители информации.
Время записи СВМ должно быть не более 24 часов на 3-х часовую видеокассету. Использование СВМ с большим временем записи допускается только при обеспечении автоматического перевода его, в случае поступлении извещения о тревоге, в режим записи в реальном времени. Извещение о тревоге может поступать на видеомагнитофон от обнаружителя движения или других систем безопасности объекта.
Для записи изображения от многих ТК на один видеонакопитель необходимо использовать мультиплексоры.
Время реагирования СОТ на сигнал извещения о тревоге должно быть не более времени, достаточного на преодоление нарушителем, двигающимся со скоростью 3 м 5 или 0,2, а если событие происходит 3 раза в год, то ARO равно 3. Как видим, эта величина отлична от математической вероятности, которая не может быть больше 1.
Сбои в работе финансовой системы банка, ошибки кассиров и другие рабочие нарушения происходят в описываемом коммерческом банке нечасто. Ограбления или пожар еще менее вероятное событие для Томска. Но в среднем раз в 3 месяца случаются непредвиденные расходы. Именно на устранение таких расходов направлено действие системы безопасности и системы видеонаблюдения в частности. То есть ARO=4
SLE рассчитывается как произведение количественного значения актива на фактор воздействия. Фактор воздействия – это размер ущерба или влияния на значение актива, т.е. часть значения, которую актив потеряет в результате события.
SLE=AVx ЕЕ
Примерная стоимость активов банка 1 000 000 000 рублей. Ущерб в зависимости от вида реализуемой угрозы может составить от 1 000 до 20000 рублей, то есть в среднем 10500 рублей, 0,00105% от стоимости активов.
SLE= 1000 000 000 х 0,000105 = 30 000 рублей
ALE= 10 500 х 4 = 42 000
Таким образом, если организация будет тратить до 42 000 рублей в год на предотвращение риска сбоев в финансовых операциях, то предпринимаемые меры будут эффективными с точки зрения управления рисками.
Вероятность такого нестандартного события, как ограбление центрального офиса банка гораздо меньше. Рассчитаем ожидаемый годовой ущерб, при условии, что такое событие произойдет раз в 30 лет и будет похищено 15 000 000 рублей. ALE=15 000 000x 0,03=450 000 рублей.
Таким образом, для эффективного управления рисками банк должен тратить на предотвращение риска ограбления 450 000 рублей в год.
2. Анализ действующей системы видеонаблюдения коммерческого банка
Система охранного телевидения банка реализована на базе двух видеосерверов. Они представляют собой стандартные IBMPC оборудованные платами видеозахвата KodicomKMC-8016d.
Видеосистемы на базе компьютеров представляют собой самостоятельное, активно развивающееся направление в области охранного видеонаблюдения. Включая в себя все достоинства цифровых видеорегистраторов, они имеют большой перечень неоспоримых преимуществ перед последними.
Вот лишь некоторые из них: многоканальная возможность реализации встроенных детекторов движения на большое число зон с обработкой изображения, таких как детектор оставленных вещей, детектор унесенных вещей, детектор прекращения движения, идентификация человека по его лицу, распознавание государственных номерных знаков автомобилей, регистрационных номеров вагонов и цистерн, видеоконтроль работы кассовых терминалов, банкоматов, компенсация дрожания видеокамеры и многое другое.
Отдельно выделим поиск важных мест записи в архивах большого объема – здесь кроме простейших решений используются интеллектуальные способы расширенного поиска, включающие в себя признаки контролируемого объекта.
Видеосистемы на базе компьютеров позволяют добиться значительной гибкости конфигурирования при реализации больших систем охранного видеонаблюдения произвольной структуры для территориально распределенных объектов. Так, они обеспечивают интегрирование охранных видеосистем с другими системами безопасности. Подобная интеграция может реализоваться не только на аппаратном, но и на программном уровне. Она предоставляет оператору графические планы объекта с размещенными на нем устройствами и отображением их состояния, с возможностью дистанционного управления функционированием контролируемого объекта и размещенного на нем оборудования по экрану монитора.
Для отображения видеоинформации в компьютерных видеосистемах используется многооконный интерфейс; представление информации может быть выполнено самым различным образом в соответствии с конфигурацией системы – по предпочтениям оператора.
Компьютерные системы охранного телевидения могут быть как локальными, так и сетевыми. В последнем случае видеокамеры подключают к компьютерам, которые определяются как серверы, а просмотр видеоинформации осуществляется на удаленных от них рабочих местах. Компьютерные системы охранного телевидения позволяют осуществлять удаленное видеонаблюдение, видеорегистрацию, просмотр видеозаписей, управление исполнительными устройствами.
Компьютерные видеосистемы поставляются либо в виде плат видеозахвата с соответствующим программным обеспечением, либо в виде видеосервера – под заказ собранного компьютера с установленным программным обеспечением, полностью готового к эксплуатации. Надежность и стабильность работы видеосистем на базе компьютера в первую очередь определяется качеством аппаратных ресурсов, типом используемой в них операционной системой. Поэтому, для серьезных, корпоративных систем, мы предлагаем видеосерверы, собранные на надежном оборудовании и прошедшие жесткий контроль качества и многофакторное тестирование.
Ведущий специалист по безопасности имеет в распоряжении видеорегистратор, на который также поступает видеоинформация, что позволяет в некоторых случаях дублировать и контролировать действия операторов.
Расположение камер полностью соответствует требованиям нормативных документов и целям видеонаблюдения данного объекта. Система позволяет полностью охватить все пути возможного проникновения и дальнейшего следования злоумышленника.
Большинство видеокамер в здании банка соответствует своему назначению. В банке успешно работают следующие камеры KPC-500, KPC-190, SK-1004.
Как видно система видеонаблюдения, модернизации которой посвящен данный проект, достаточно продумана и может справляться с рядом поставленных руководством задач. Но также существуют обстоятельства, которые встают преградой на пути к идеальному функционированию системы.
Важнейшей частью системы охранного телевидения являются приемные устройства, а именно камеры видеонаблюдения. Некоторые помещения в банке и часть периметра оснащены устаревшими камерами производителя MINITRON. Достаточно высок риск их выхода из строя. Они обладают достаточно большими габаритами, плохими техническими характеристиками.
В важнейших для банка кассовых помещениях проследить ход финансовых операций и идентифицировать клиента ее совершающего не представляется возможным. Использование в данной системе одной камеры на каждые 2 кассы не дает никаких результатов. Стол кассира еле различим, а лицо клиента не попадет в зону наблюдения.
Большинство уличных камер также не справляется со своей задачей. Невозможность различения номеров автомобилей и лиц посетителей является основным их недостатком. Также проблемой является недостаточная защищенность камер от воздействия внешних условий. На части уличных камер используются гермокожухи без нагревательных элементов, а на некоторых и они отсутствуют, что недопустимо в условиях суровой сибирской зимы.
Другой проблемой системы охранного телевидения является состояние кабеля передачи видеосигналов. Сращивание некоторых кабелей и видеокамер представляет собой скрутку проводов заизолированных изоляционной лентой или даже оголенные провода. Также имеются повреждение кабеля. Любая неоднородность кабеля приводит к потерям и искажениям видеосигнала.
Очень важен в системе охранного телевидения человеческий фактор. Ведь наблюдение в реальном времени ведется оператором и обеспечивает оперативное реагирование на различного рода несанкционированную активность в зоне наблюдения. Видеомониторами в данной системе являются компьютерные элт-мониторы. Работа оператора требует постоянного внимания и сосредоточенности, но данный вид мониторов ведет к утомляемости глаз операторов в связи с мерцанием изображения с определенной частотой. В таких условиях постоянное наблюдение невозможно.
3. Технические решения по модернизации системы видеонаблюдения
Существующая в рассматриваемом коммерческом система видеонаблюдения имеет ряд недоработок. В целях ее усовершенствования для полного соответствия целям банка в сфере видеонаблюдения разработан комплекс мер заключающийся в следующем:
1. Замена устаревших видеокамер.
2. Замена камер в кассовых помещений.
3. Выбор расположения и замена камер.
4. Выбор видеокамер для охраны периметра.
5. Замена мониторов видеооператоров.
6. Замена соединительного кабеля.
3.1 Замена камер наблюдения
Срок службы электронных компонентов системы охранного телевидения составляет порядка 7 лет. В кабинете директора, на входе в банк, в операционном зале, на лестнице перед кассовыми помещениями на данном объекте используются камеры производителя mintron. Документация о монтаже системы видеонаблюдения не сохранилась, но по внешнему виду, крупным размерам и низким техническим характеристикам можно сказать, что данная система используется более 5 лет.
В связи с этим принято решение заменить данные камеры на более современные уже использующиеся в других помещениях банка. В банке успешно работают следующие виды камер:
1.KPC-500
Видеокамеры серии KPC-500 обладают повышенной чувствительностью и разрешением. Эта модель видеокамеры зарекомендовала себя как очень надежная и неприхотливая, но самое главное дающая четкое и контрастное изображение при очень малых габаритах. Производитель фирма KT&C. Камера близка по своим характеристикам камерам серии KPC-400. Основное отличие – это меньшие размеры, но несколько более высокая цена. Между собой видеокамеры серии KPC-500 отличаются объективами и чувствительностью. В комплекте с камерой входит П-образный кронштейн.
Видеокамера KPC-500B имеет обычный объектив со стеклянной оптикой и самую высокую чувствительность из камер этой серии. С помощью камеры KPC-500B и специальной оптической насадки «СОН-170», «СОН-120» можно сделать простой, но качественный видеоглазок, предназначенный для установки внутри двери.
Видеокамера KPC-500PA1 имеет встроенный аудиоканал и точечный объектив «pin-hole» с диаметром наружной линзы около 2 мм, что наряду с маленькими габаритными размерами камеры позволяет использовать ее для скрытой установки. Объектив имеет форму усеченного конуса, что упрощает монтаж. Недостатком этих камер является низкая надежность и невысокое качество встроенного аудиоканала; декамуфляж самой камеры за счет необходимости организации еще одной дырочки для «аудио».
Таблица 3.1 – Технические характеристики видеокамеры KPC-500
| Краткие технические характеристики | |||
| KPC – 500B | KPC-500PA1 | KPC-500P4 | |
| Формат ПЗС-матрицы | 1/3 дюйма | ||
| Чувствительность | 0,1 Люкс | 0,5 Люкс | 0,5 Люкс |
| Выходной сигнал | 1В, 75 Ом, CCIR | ||
| Отношение сигнал/шум | 45 дБ | ||
| Электронный затвор | 1100000 | ||
| Разрешающая способность | 420 TB линий | ||
| Напряжение питания | 12В+ 10% | ||
| Ток потребления | 100 мА | ||
| Габаритные размеры | 25х25х26 мм | 25х25х18 мм | 25х25х16 мм |
| Диапазон рабочих температур | -10…+50 °С | ||
| Относительная влажность | до 95% | ||
Бескорпусные видеокамеры серии SК-1004 показывают высокую степень надежности и неприхотливости в использованиир. Они при достаточно малых габаритах обеспечивают хорошее разрешение и обладают достаточно высокой чувствительностью. Производитель – фирма SUN KWANG. Видеокамера SK-1004C имеет объектив с фокусным расстоянием 3,6 мм считающийся стандартным. Если нужен больший угол обзора, то используются камеры с короткофокусными объективами – SK-1004CT, меньший угол обзора – берутся камеры с длиннофокусными обьективами – SK-1004CW.
На базе камеры SK-1004С делаются бескорпусные видеоглазки. Главной отличительной особенностью видеокамер SK-1004CP, SK-1004CP5, SK-1004CP6, является наличие точечного объектива «pin-hole» с диаметром наружной линзы около 1 мм, что наряду с достаточно маленькими габаритными размерами камеры позволяет использовать ее для скрытой установки, например, в корпусе действующих часов, корпусе ИК – датчика и т.п. Можно конечно использовать в этом случае и корпусные камеры, но зачем, если предполагается, что их все равно не будет видно. В большинстве случаев камера без корпуса стоит дешевле и имеет меньшие габариты, чем камера в корпусе. Бескорпусные камеры даже замуровывают в холодные железобетонные и кирпичные стены.
В вызывных панелях видеодомофонов, например, в серии AVC, DVC также обычно ставят камеры SK-1004CP. Между собой видеокамеры SK-1004CP, SK-1004CP5, SK-1004CP6 отличаются формой объектива. SK-1004CP имеет «плоский» объектив, объективы камер SK-1004CP5, SK-1004CP6 имеют форму усеченного конуса и просто конуса, что значительно упрощает монтаж при скрытой установке. Объектив входит в комплект. Модификации камер SK-1004X отличаются повышенной чувствительностью, особенно в инфракрасном диапазоне.
Принято решение выбрать для замены KPC-190 по ряду причин. Данная камера обладает удобным цилиндрическим корпусом в отличие от бескорпусных SK-1004. Цилиндрический корпус наиболее удобен для скрытой установки, более того камера идет в комплекте с кронштейном, что дает гораздо больше степеней свободы, чем для KPC-500 с квадратным корпусом и стандартным креплением. Также важно, что корпус KPC-190 более герметичен, чем у KPC-500. Данная камера показывает высокие характеристики разрешения 420 ТВЛ, что совпадает с разрешением KPC-500 и больше, чем у камер SK. Среди данных камер стандартной комплектации KPC-190 обладает самой высокой чувствительностью, что делает ее оптимальной для темных участков здания.
Одной из главных проблем действующей системы видеонаблюдения является невозможность контроля финансовых операций в кассах.
Так как купюры различного достоинства отличны по цвету, то использование цветной камеры несколько облегчило бы задачу распознания действий кассиров.
В видеонаблюдении чаще всего используются одноматричные цветные телекамеры. Они формируют композитный цветной видеосигнал, известный как CVBS. Три компоненты видеосигнала, входящие в состав CVBS: яркостной сигнал, красный цветоразностный и синий цветоразностный. Они квадратурно модулированы и вместе с яркостным образуют композитный цветной видеосигнал. Затем в цветном видеомониторе эти компоненты обрабатываются и получаются первичные сигналы R, G и В.
В одноматричных цветных ПЗС-телекамерах цветоделение может производиться одним из двух методов фильтрации:
– Фильтр полос RGB, где три вертикальные пиксельные колонки расположены рядом друг с другом: красная, зеленая, синяя.
– Комплементарный мозаичный цветовой фильтр, где пикселы ПЗС-матрицы не чувствительны к R, G и В цвету, а чувствительны к дополнительным цветам – голубому, пурпурному, желтому и зеленому, расположенным в виде мозаики.
Первый тип одноматричной цветной ПЗС-камеры дает очень хорошее цветовоспроизведение и требует более простых схем. Однако, такие матрицы «страдают» очень низкой разрешающей способностью по горизонтали, обычно порядка 50% от общего числа пикселов в горизонтальном направлении матрицы. Что касается разрешающей способности по вертикали, то она определяется полным числом пикселов по вертикали. Подобный тип телекамер формирует цветные сигналы RGB.
Мозаичная одноматричная цветная ПЗС-телекамера требует более сложной электроники и может отставать по качеству цветопередачи в сравнении с RGB моделями, но дает гораздо более высокую разрешающую способность по горизонтали.
Поскольку последние наиболее распространены в видеонаблюдении, мы уделим немного больше места этому вопросу и объясним, как цветовые компоненты преобразуются в композитный цветной видеосигнал.
Мозаичный фильтр, обычно называемый матрицей цветовых фильтров,разделяет свет на голубой, пурпурный, желтый и зеленый компоненты. Как уже упоминалось, эти цвета являются дополнительными. И на практике этот тип одноматричных ПЗС-телекамер использует цветовые компоненты Су, Ye, Mg и Gr для создания сигнала яркости Y и цветоразностных сигналов V=R-Yn U=B-Y
Новые разработки постоянно совершенствуют технологию получения изображения. Компания Foveon создала многослойный одноматричный фотоприемник, в котором разделение цветов происходит не фильтрами на разных ячейках матрицы, а за счет специальной многослойной технологии, где цвета разделяются по мере проникновения в одну и ту же ячейку. В результате достигается лучшая цветопередача и более высокая разрешающая способность. Сейчас уже есть цифровые фотоаппараты с матрицей Foveon X3, и не будет ничего удивительного в том, если в будущем появятся и телекамеры с подобной матрицей для систем видеонаблюдения.
Но цветные камеры стандартного и даже высокого разрешения уступают по своим техническим характеристикам, а, следовательно, и по качеству изображения аналогичным черно-белым. Стоимость же цветных видеокамер примерно в два раза выше.
Целью видеонаблюдения за действиями кассиров в данном коммерческом банке является выявление несоответствий в финансовых операциях и несанкционированных действий сотрудников, а не фиксация объема этих финансовых операций.
Поэтому принято решение выбрать черно-белые камеры повышенного разрешения.
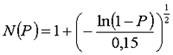
В специальных телевизионных следящих системах для определения вероятности распознавания объекта на телевизионном растре используется критерий Джонсона, который применительно к распознаванию изображения объекта выглядит следующим образом:
![]()
где N – количество ТВЛ по горизонтали или вертикали.
P – вероятность распознавания объекта.
Отсюда можно вывести обратную зависимость необходимого размера объекта в зависимости от требуемой вероятности его распознавания:

где P – заданная вероятность распознавания объекта на телевизионном растре.
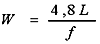
Высота и ширина реально наблюдаемого участка местности зависит от расстояния до него, фокусного расстояния объектива и размеров преобразователя свет-сигнал. Эта зависимость выглядит следующим образом:
Для 13» ПЗС матрицы фокусное расстояние объектива при заданной ширине наблюдаемого участка местности на заданном расстоянии:
![]()
где W – ширина наблюдаемого участка местности в метрах,
L – расстояние до наблюдаемого участка местности в метрах,
f – фокусное расстояние объектива в миллиметрах.
Исходя из вышеописанных закономерностей, очень легко вывести зависимость требуемого фокусного расстояния объектива для распознавания объекта заданного размера на заданном расстоянии при требуемой вероятности распознавания.
Если размер объекта на ТВ растре N ТВЛ, а его линейный размер по горизонтали Wo метров и разрешении ТВ камеры по горизонтали R ТВЛ, то ширина картинной плоскости Wk:
![]()
Отсюда следует

где
L – расстояние до объекта, метров.
P – требуемая вероятность распознавания.
W – ширина объекта, метров.
R – разрешающая способность ТВ камеры, ТВЛ.
f – фокусное расстояние объектива, миллиметров.
Определим минимальное требуемое фокусное расстояние для камер повышенного разрешения. Возьмем значение разрешения R= 600 ТВЛ. Камеры в кассовых комнатах будут крепиться к потолку над столом кассира, высота помещения L= 2,5 метра. Вероятность распознавания должна быть достаточно высока, условно присвоим ей величину P= 0,999.
Объективы современных камер имеют большее фокусное расстояние: стандартный диапазон лежит в пределах от 2,8 до 16 мм. Поэтому особых требований к камере повышенного разрешения для распознания объектов из-за фокусного расстояния не возникает.
Для определения дальней зоны идентификации деталей небольших предметов используется коэффициент 0,63. Поэтому минимальное фокусное расстояние, при котором возможна идентификация равно: 2,5/0,63=3,96 мм.
Камера видеонаблюдения должна охватывать рабочее место кассира. Исходя из этого, горизонтальное поле зрение составляет 2 м. Зная горизонтальное поле зрение и формат ПЗС-матрицы можно узнать максимальное фокусное расстояние по формуле:
![]()
![]()
где f – фокусное расстояние объектива, мм;
l – Расстояние до объекта наблюдения, м;
h – Ширина ПЗС-матрицы, мм;
H – Горизонтальное поле зрения, м.
![]()
Таким образом, максимальное фокусное расстояние объектива составляет 6 мм, что примерно соответствует углу обзора 45°. Данные технические характеристики поддерживают большинство камер видеонаблюдения представленных на современном рынке при правильном выборе объектива или его настроек.
Важную роль при выборе камеры играет освещенность помещения. Именно этим параметром определяется Выбор камеры с определенной чувствительностью. В таблице приведены примерные величины освещенности для разных объектов.
Таблица 3.4 – Примерные величины освещенности для разных объектов
| Дневное, естественное освещение на улице в солнечную погоду | 100000…5000 лк |
| Дневное, естественное освещение на улице в облачную погоду | порядка 5000 лк |
| Магазины, супермаркеты | порядка 1500…750 лк |
| Офис или магазин | 50–500 лк |
| Холлы гостиниц | 100…200 лк |
| Стоянки автотранспорта, товарные склады | 75…30 лк |
| Сумерки и хорошо освещенная автомагистраль ночью | 10,00 лк |
| Места зрителей в театре | 3…5 лк |
| Больница в ночное время, глубокие сумерки | 1 лк |
| Ночное естественное освещение на улице при полнолунии | 0,3…0,1 лк |
| лунная ночь | 0,05 лк |
| безлунная ночь | 0,01 лк |
| Ночное естественное освещение на улице при свете звезд | 0,003…0,1 лк |
Объект, описываемый в данном случае и все прочие помещения банка, представляют собой офис. В связи с этим уровень освещенности составляет от 50 до 500 люкс. Минимальная чувствительность камеры видеонаблюдения в данном случае будет равняться 50 лк. Современные камеры гораздо более чувствительны.
Принято решение выбрать телекамеру KPC-S20. Видеокамеры серии KPC-S20 обладают повышенной чувствительностью и разрешением. Эта модель видеокамеры зарекомендовала себя как очень надежная и неприхотливая. Она способна дать четкое и контрастное изображение и обладает очень малыми габаритами. Производитель фирма KT&C. Камера близка по своим характеристикам камерам серии KPC-400. Основное отличие – это меньшие размеры, но несколько более высокая цена. Между собой видеокамеры серии KPC-S20 отличаются объективами и чувствительностью. В комплекте с камерой входит П-образный кронштейн
Видеокамера KPC-S20B имеет обычный объектив со стеклянной оптикой и самую высокую чувствительность из камер этой серии. С помощью камеры KPC-S20B и специальной оптической насадки «СОН-170», «СОН-120» можно сделать простой, но качественный видеоглазок, предназначенный для установки внутри двери.
Видеокамеры KPC-S20PH4, KPC-S20P4 имеют точечный объектив «pin-hole» с диаметром наружной линзы около 1 мм, что наряду с маленькими габаритными размерами камер позволяет использовать их для скрытой установки.
Таблица 3.5 – Технические характеристики видеокамеры KPC-S20
| Характеристики | Значения |
| ПЗС-матрица | 1/3» |
| Чувствительность | 0.05 лк |
| Выходной сигнал | 1 В, 75 Ом, CCIR |
| Соотношение сигнал/шум | 45 дБ |
| Электронный затвор | 1100000 |
| Разрешение | 600 ТВЛ |
| Питание | DC 12 В |
| Ток потребления | 100 мА |
| Габариты | 25 х 25 х 26 мм |
Также важно, чтобы камера повышенного разрешения была установлена в каждое кассовое помещение. Применяемое ранее решение использование одной камеры на два помещения не дает результатов. Из-за большого угла обзора теряется качество изображения.
Для идентификации клиентов в каждое кассовое окно целесообразно вмонтировать видеоглазок. Современные производители предлагают самые различные варианты. В данном проекте выбран видеоглазок KT&CKPC-190DV.
Видеоглазок KPC 190DV построен на базе хорошо себя зарекомендовавшей видеокамеры KPC-190. Благодаря своей цилиндрической форме видеоглазок легко устанавливается в стандартные деревянные и металлические двери.
- маленький диаметр цилиндрического корпуса
- высокая чувствительность и разрешение
- простота монтажа
- широкий диапазон толщин дверей, используемых для установки видеоглазка.
Таблица 3.6 – Технические характеристики видеоглазка KPC-190DV
| Характеристики | Значения |
| Угол обзора по горизонтали | 170° |
| Угол обзора по вертикали | 120° |
| Формат ПЗС-матрицы | 1/3 дюйма |
| Чувствительность | 0,1 Люкс |
| Выходной сигнал | 1 Вп-п / 75 Ом, CCIR |
| Разрешающая способность | 420 TB линий |
| Напряжение питания | 12В+ 10% |
| Ток потребления | 100 мА |
| Габариты | D 20х70 мм |
| Диапазон рабочих температур | -10…+50 °С |
| Относительная влажность | до 95% |
Данный видеоглазок позволяет непосредственно при совершении финансовых операций идентифицировать клиентов банка находящихся в непосредственной близости от кассы.
Так же, как и в кассовом помещении в комнате пересчета производится работа с деньгами. Но как было сказано ранее использование цветной камеры нецелесообразно. Поэтому для комнаты пересчета также выбрана камера повышенного разрешения KPC-S20. Но в данном помещении постоянно находится достаточно большое количество людей, которые постоянно в пределах него перемещаются. В такой ситуации многие важные детали могут быть скрыты от камеры видеонаблюдения.
В связи с этим принято решение использовать в данном помещении вместо одной камеры две расположенных в противоположных углах комнаты. Четкой идентификации, такой как в кассовых помещениях не требуется, поэтому угол обзора в 90° вполне соответствует целям видеонаблюдения в данном помещении. Схема расположения камер приведена на рисунке. Преимуществом такого расположения видеокамер, кроме дублирования является то, что с помощью противоположной камеры имеется возможность просмотра ближней зона данной видеокамеры, что еще более минимизирует потерю видеоданных.
При модернизации системы видеонаблюдения периметра нужно устранить две проблемы.
– Ненадлежащая защита камер от условий внешней среды.
– Повышение информативности изображения камер наблюдающих за въездом на территорию банка, заднего двора и черного входа.
Для защиты камеры от мороза, осадков и прочих неблагоприятных условий. Возможно использование кожухов для стандартных бескорпусных камер или использование готовых уличных камер уже укомплектованных термокожухом.
Тип кожуха и обогрева уличной камеры в значительной степени определяют надёжность ТВ камеры, а остальные параметры – качество передаваемого сигнала. Параметры ТВ камеры связаны между собой и часто выбор за основу одного из них влечёт за собой безусловное применение строго определённого компонента другого параметра.
Кожухи используются для защиты телекамер от воздействия внешней среды очиститель, то потребуется специальный кожух. Специальный – потому что потребуется согласование между механизмом очистителя и окном кожуха. Следует отметить, что в случае использования блока омыватель; 420 ТВЛ; 0,1 люкс; диапазон рабочих температур -50…+50°С, DC12V3»; 600 твл; 0,05 люкс; объектив f=от 2,9 мм до 16 мм; диапазон рабочих температур -50…+50°С, DC 12V шум магистральные видеоусилители желательно располагать как можно ближе к видеокамере.
Основными параметрами магистральных видеоусилителей являются:
· коэффициент усиления,
· входное и выходное сопротивление, равное 75 Ом,
· удобство монтажа,
· широкий диапазон рабочих температур,
· большой допуск на величину питающего напряжения,
· малое влияние пульсаций питающего напряжения на параметры выходного видеосигнала,
· защита от переполюсовки питающего напряжения,
· защита по видеовыходу от короткого замыкания.
Следует сказать, что кабель вносит не только активное затухание, но и завал амплитудно-частотной характеристики на высоких частотах, что отрицательно сказывается на результирующей разрешающей способности видеосистемы. Для корректировки АЧХ могут использоваться видеоусилители-эквалайзеры, но при этом следует помнить о возможности появления фазовых искажений в выходном видеосигнале. Одна из функций, реализуемых некоторыми магистральными усилителями – гальваническая развязка входа и выхода с целью устранения токовых петель от разных точек заземления оборудования.
Когда видеосигнал требуется подавать одновременно на 75-Омные входы нескольких устройств, удобно использовать видеоусилители-распределители.
2. Применение кабелей витой пары позволяет добиться результатов лучших, чем при использовании коаксиального кабеля. Материальные затраты при этом оказываются намного меньшими, чем при использовании оптоволоконных кабелей. На передающей стороне устанавливается передатчик, задачами которого являются:
· усиление видеосигнала,
· внесение в него высокочастотных предискажений,
· переход от несимметричного кабеля к симметричному.
· Отметим, что качественная высокочастотная коррекция требует широкого динамического диапазона используемых усилителей и сравнительно высокого номинала питающего напряжения. Без коррекции сигнала на передающей стороне добиться качественного выходного видеосигнала весьма трудно.
На приемной стороне осуществляется обратное преобразование – от симметричного сигнала к несимметричному, где также осуществляется коррекция и усиление видеосигнала. Подобные устройства выпускаются следующих модификаций:
· пассивные – без регулировки и без подключения источников питания,
· без регулировки,
· со ступенчатой регулировкой,
· с плавной регулировкой.
В последнем случае можно добиться практически идеальной передачи видеосигнала на расстояние до 2 км, однако выполнение регулировок на протяженных объектах оказывается не слишком технологичным. Для увеличения необходимого расстояния используют каскадное включение устройств. Важной регулировкой подобных устройств является балансировка сигналов. Это следствие того, что параметры кабелей витой пары, а тем более телефонных, далеки от идеальных. Практика показывает необходимость наличия в описанных устройствах защиты от электрических разрядов, а также от нерадивых монтажников.
3. Существуют системы передачи видеосигнала по телефонной линии, причем активизация передачи может осуществляться, например, по срабатыванию охранного датчика. По этому же кабелю с приемника на передающую сторону могут быть посланы сигналы дистанционного управления какими-либо приборами, поворотными устройствами и пр. Некоторые системы целиком занимают телефонный канал, другие осуществляют передачу видеосигналов параллельно с телефонными переговорами.
Выпускаются системы двух типов:
· box to box,
· box to PC.
· Подобные системы очень хорошо рассматривать на рекламных буклетах, но к нам это не относится. В этом смысле более перспективно использовать выделенные телефонные линии или обычные телефонные линии, но минуя оборудование АТС.
4. Радиоканал также широко используется для передачи видеосигналов. Существуют маломощные передатчики, но есть и мощные, со специальными антеннами. Маломощный передатчик нередко монтируется в одном корпусе с видеокамерой, а приемник в корпус видеомонитора. Для конфиденциальности передачи используется скремблирование видеосигналов. Одновременно по одному радиоканалу передают до 4 видеосигналов от разных видеокамер, а также аудиосигналы. Весьма перспективный диапазон частот – 2,4 ГГц, помехи практически не влияют. Для реализации подобных видеосистем нужна лицензия.
Радиомодуляторы, как правило, применяют там, где в качестве устройства отображения визуальной информации используется телевизор, например, в жилых домах. В этом случае имеется возможность использовать фидер антенны коллективного пользования для замешивания в нее транспонированного спектра сигнала видеокамеры. Задачу переноса спектра и выполняют радиомодуляторы.
Эти устройства экономически эффективны, при желании с помощью одного модулятора и одной видеокамеры можно обеспечить видеонаблюдением всех жильцов одного подъезда дома.
Так как электромагнитная обстановка в банке стабильная и передачи сигнала на большие расстояния не требуется. Принято решение использовать для передачи стандартный коаксиальный кабель. Главным условием монтажа видеокамер является качественное сращивание проводов и изоляция.
Во многих системах видеонаблюдения использующих для передачи коаксиальные кабели обнаруживается эффект «Земляной петли». Это явление вызвано разностью потенциалов между удаленными частями системы. При питании от разных источников сетевого напряжения образуются выравнивающие токи. Данные токи протекают по экранирующей оплетке коаксиального кабеля, что заметно проявляется при питании приборов от разных фаз. На изображении могут появляться волнообразные искажения. Небольшие земляные петли могут быть вообще незаметны, но в худшем случае они будут оказывать раздражающее воздействие на зрителя.
Еще одним фактором помехообразования в многокомпонентных видеосистемах, является сложение обратных токов видеосигналов камер и других источников видеосигнала. Растекаясь по оплеткам кабелей, по общим шинам питания и корпусам аппаратуры, они, образуя «токовые петли», складываются в различных пропорциях, делая заметным сигнал одних камер на изображении других.
Но так как питание камер в данной системе видеонаблюдения не происходит от источников разных фаз и в ходе обследования системы эффектов вызванных земляными петлями не обнаружено, использовать устройства коррекции нецелесообразно.
4. Организация видеонаблюдения для банкоматов
Видеонаблюдение банкоматов весьма актуально и эффективно, так как играет свою положительную роль при разборе практически любых проблем, возникающих при эксплуатации банкоматов, и резко снижает затраты на их решение. Более того, в отдельных случаях только видеонаблюдение позволяет получить объективную информацию, необходимую для разбора спорных ситуаций. К примеру, был случай, когда клиент получал крупную сумму денег в банкомате и обратился в банк со стандартной претензией: банкомат не выдал наличные. По журнальным файлам банкомата операция завершена успешно, т.е. деньги выданы. Просмотр видеоинформации по данной транзакции показал, что в момент выдачи наличных клиент был отвлечен третьими лицами, которые и вытащили предоставленные банкоматом деньги.
Кто-то может сказать, что все вышеперечисленные проблемы успешно решают обычные видеорегистраторы. Однако для разбора любой из приведенных ситуаций в этом случае нужно заказывать инкассацию, что само по себе является затратной операцией с финансовой точки зрения и значительно увеличивает время разбора претензии. Кроме того, без привязки к событиям банкоматов для нахождения нужной видеоинформации придется просматривать весь видеоархив. А это снова приводит к увеличению времени работы по спорному случаю.
Для обеспечения постоянного контроля над ситуацией система защиты банкоматов должна позволять вести наблюдения за действиями пользователя, регистрировать их, самостоятельно выявлять тревожные ситуации и предотвращать их. Особенно важно, чтобы была возможность в онлайн-режиме передавать информацию о тревожных событиях в службу безопасности. Так эксперт Первого республиканского банка уверен, что наибольший ущерб банкоматам сейчас наносит вандализм. Причем это может быть как попытка ограбления, так и действия неуравновешенных держателей карт. В 2003 году только за полгода в Японии было совершено 49 ограблений банкоматов при помощи экскаваторов. Ущерб составил несколько миллионов долларов. В другом случае, произошедшем в одном из банков, подвыпивший подросток пытался снять наличные с карты своего отца. Однако, не зная ПИН-кода, сделать этого не смог. Тогда он разозлился и пришел второй раз к банкомату, но уже с ломом. Стоимость ущерба составила несколько тысяч долларов. Найти хулигана не составило труда по номеру карты и видеоматериалу. Ущерб был возмещен.
Интеграция с датчиками тревожной сигнализации позволяет своевременно реагировать на такие случаи. Например, если сработает датчик удара, то включенная сирена или голосовое сообщение отпугнет вандала. Помимо этого могут быть настроены видеозапись и передача сигнала сотруднику службы безопасности. Следовательно, злоумышленник может быть задержан еще на месте преступления, а его противоправные действия будут зафиксированы. Особенно это актуально для платежных терминалов, количество краж которых в последнее время растет.
5. Экономическая часть
5.1 Обоснование целесообразности проекта
Уровень качества проектируемой системы определяется эксплуатационно-техническими показателями выбранной СУБД. Поэтому необходимо определить эксплуатационно-технический уровень для данного типа программного обеспечения. ЭТУ – это обобщающая характеристика его эксплуатационных свойств, возможностей, степени новизны, являющихся основой качества конечного продукта.
Для обобщающей характеристики ЭТУ продукта можно использовать обобщающий индекс эксплуатационно-технического уровня
, который рассчитывается как произведение частных индексов. Частный индекс определим как отношение каждого показателя используемого для проектирования информационной системы программного обеспечения СУБД Oracle к показателю аналога. Из таблицы 5.1 настоящей пояснительной записки выберем следующий аналог – СУБД Microsoft SQL Server.
Для учета значимости отдельных параметров используем балльно-индексный метод.
,
где
– комплексный показатель качества разрабатываемого научно-технического продукта по группе показателей:
– число рассматриваемых показателей;
– коэффициент весомости
-го показателя в долях единицы, устанавливаемый экспертным путем;
– относительный показатель качества, устанавливаемый экспертным путем по выбранной шкале оценивания. Для оценки
будем использовать 5-бальную шкалу оценивания.
Произведем оценку обобщающей характеристики ЭТУ, результаты сведем в таблицу 5.1.
Таблица 5.1 – Оценка обобщающей характеристики ЭТУ для применяемого программного обеспечения
| Показатели качества используемого программно-аппаратного комплекса | Коэффициент весомости
|
Microsoft SQL Server | Oracle | ||
| 1. Идентификация посетителей и автомобилей | 0,2 | 3 | 0,6 | 5 | 0,5 |
| 2. Возможность непрерывного ведения видеонаблюдения | 0,2 | 3 | 0,6 | 5 | 1,5 |
| 3. Результирующее качество изображения | 0,1 | 3 | 0,3 | 4 | 0,4 |
| 4. Устойчивость элементов к условиям окружающей среды | 0,1 | 3 | 0,3 | 4 | 0,4 |
| 5. Безопасность | 0,2 | 3 | 0,6 | 5 | 1 |
| 6. Надежность | 0,2 | 4 | 0,8 | 5 | 1 |
| Jэту=3,2 | Jэту=4,8 | ||||
Из таблицы 9.1 видно, что модернизированная система видеонаблюдения имеет более высокий показатель эксплуатационно-технического уровня по заявленным характеристикам по сравнению со старой.
Вычислим коэффициент технического уровня Ак по формуле:
Ак = JЭТУ 3,2=1,5
Отсюда следует, что создание проекта, с технической точки зрения, оправдано.
5.2 Организация и планирование работ
Планирование работ заключается в составлении перечня работ, необходимых для достижения поставленных задач; определении исполнителей каждой работы; установлении продолжительности работ в рабочих днях; построении ленточного графика проведения работ.
Для того, чтобы выполнить работу в срок при наименьших затратах средств, составляется план-график, в котором рассчитывается поэтапная трудоемкость всех работ. План-график выполняется в форме ленточного графика. При составлении ленточного графика необходимо охватить весь перечень работ по теме.
Для составления ленточного графика необходимо рассчитать трудоемкость отдельных видов проводимых работ. Для определения ожидаемой продолжительности работы t ож , применим следующий вариант вероятностной оценки длительности работы:

где t min – кратчайшая продолжительность работы;
t max – максимальная продолжительность работы;
Расчет производится для всего перечня работ. Результаты расчетов приведены в таблице 5.2.
Таблица 5.2 – Оценка трудоемкости отдельных видов работ
| Наименование этапа | Исполнители | Количество человек | Продолжительность работ, дней | |||
| t min | t max | t ож | T к | |||
| 1. Постановка задачи | Инженер Руководитель |
2 | 1 1 |
2 1 |
1,4 1 |
2 1,46 |
| 2. Разработка и утверждение ТЗ | Инженер Руководитель |
2 | 2 2 |
4 3 |
2,8 2,4 |
4 3,5 |
| 3. Ознакомление с нормативной базой и литературой | Инженер | 1 | 7 | 9 | 7,8 | 11,4 |
| 4. Изучение объекта защиты | Инженер | 1 | 6 | 8 | 6,8 | 9,9 |
| 5. Изучение модернизируемой системы | Инженер | 1 | 4 | 6 | 4,8 | 7 |
| 6. Разработка комплекса мер по ликвидации уязвимостей | Инженер Руководитель |
2 | 6 3 |
7 5 |
6,4 3,8 |
9,3 5,5 |
| 7. выбор конкретных технических средств | Инженер Руководитель |
2 | 5 2 |
6 3 |
5,4 2,4 |
7,9 3,5 |
| 9. Разработка вопросов безопасности и жизнедеятельности | Инженер | 1 | 3 | 3 | 3 | 4,4 |
| 10. Составление и оформление ПЗ | Инженер | 1 | 12 | 15 | 13,2 | 19,2 |
| 11. Разработка презентации дипломного проекта | Инженер | 1 | 3 | 5 | 3,6 | 5,2 |
| 12. Подготовка к защите, рецензирование | Инженер Руководитель |
2 | 5 1 |
7 3 |
5,8 1,8 |
8,5 |
| ИТОГО | Инженер Руководитель |
59 9 |
75 15 |
64 11 |
92 16 |
|
Ленточный график выполнения работ, составленный по данным таблицы 4.1, представлен на чертеже РТФ ДП.425412.001 Д1.
5.3 Расчет затрат на разработку проекта
При разработке проекта важны экономические показатели, которые наряду с техническими результатами будут определять эффективность системы. В состав затрат на разработку и исследование включаются затраты на проведение всех этапов работ.
Общая стоимость разработки дипломного проекта осуществляется по формуле:
С = СМ + СЗП + СА + ССО + СНР ,
где С – единовременные затраты на проведение исследований;
СМ – затраты на материалы;
СЗП – затраты на заработную плату исполнителей;
СА – затраты на амортизацию оборудования;
ССО – затраты на услуги сторонних организаций;
СНР – накладные расходы.
В данной статье учитываются материалы, непосредственно понадобившиеся для выполнения проекта. Расчет затрат на материалы, необходимые для обеспечения разработки, приведен в таблице 4.2.
Таблица 5.3 – Расчет затрат на материалы
| Наименование | Цена за 1 ед., руб. | Количество | Сумма, руб. |
| 1. Бумага формата А4 | 250 | 1 пачка | 250 |
| 2. Канцелярские принадлежности | 60 | 1 | 60 |
| 3. Диск CD-R | 15 | 1 | 15 |
| Итого: | 325 | ||
Таким образом, общие затраты на материалы составляют 325 рублей.
Затраты на заработную плату СЗП включают в себя основную, дополнительную заработные платы, а также отчисления на социальные нужды.
Размер Зосн устанавливается, исходя из численности работников, трудоемкости и средней заработной платы за один рабочий день. Зосн рассчитывается перемножением базовой ставки за один рабочий день на количество затраченных на работу дней. Здоп рассчитывается следующим образом:
Здоп =Зосн × Ко ,
где Ко – отпускной коэффициент, равный 0,1 .
Результаты расчетов заработной платы исполнителей приведены в таблице 4.3.
Таблица 5.4 – Затраты на заработную плату исполнителей
| Исполнитель | Трудоемкость, дней | Разряд | Тарифная ставка, руб. | Дневная ставка, руб. | Зосн , руб. | Здоп , руб. | Зарплата, руб. |
| Инженер | 64 | 10 | 8000 | 381 | 24380 | 2438 | 26818 |
| Руководитель | 11 | 15 | 15500 | 737 | 8107 | 1621 | 9728 |
| Итого: | 36546 | ||||||
Таким образом, затраты на основную и дополнительную заработные платы сотрудников составляют 36546 рубля.
Отчисления на социальные нужды производятся в процентах от основной и дополнительной заработной платы и представляют собой отчисления:
1. в пенсионный фонд;
2. в фонд медицинского страхования;
3. в фонд социального страхования.
Данные отчисления называются единым социальным налогом, ставка которого составляет 26%. Размер отчислений составит 36546 × 0,26 = 9501 рублей.
Таким образом, затраты на заработную плату исполнителей составят 46047 рублей.
Затраты на амортизацию оборудования представляют собой амортизационные отчисления за эксплуатацию ПЭВМ и рассчитываются по формуле:
СА = К × НА × Фвр. дейст. 366 = 1049 рубля.
Затраты на потребление электроэнергии рассчитываются по формуле:
СЭЛ = Wy × Tg × S эл,
где Wy – установленная мощность оборудования, Wy = 350 Вт;
Tg – время работы оборудования, Tg = 512 часов;
S эл – тариф на электроэнергию, S эл =2 руб. м.
- Следует ограничивать отраженную блесткость на рабочих поверхностях за счет правильного выбора типов светильников и расположения рабочих мест по отношению к источникам естественного и искусственного освещения, при этом яркость бликов на экране ПЭВМ не должна превышать 40 кд – 20 мм, ширину – не менее 380 мм;
- угол наклона спинки в вертикальной плоскости в пределах +-30 мм и внутреннего расстояния между подлокотниками в пределах 350 – 500 мм.
Клавиатуру следует располагать на поверхности стола на расстоянии 100–300 мм от края, обращенного к пользователю, или на специальной, регулируемой по высоте рабочей поверхности, отделенной от основной столешницы.
Согласно ГОСТ 27954–88 «Видеомониторы ЭВМ. Дозы излучения», требования безопасности к рабочему месту оператора следующие:
- электронно-лучевые трубки монитора должны быть взрывобезопасными, без дополнительной защиты;
- мощность дозы рентгеновского излучения в любой точке пространства на расстоянии 5 см от экрана видеомонитора не должна превышать 0,03 мкР/с при 41-часовой рабочей неделе.
Необходимо также оптимально подобрать цвета для окраски помещения. Информация на экране дисплея должны быть представлены в удобной для глаз форме. Для снижения напряжения при работе и последующего утомления зрительных анализаторов должен быть правильно организован режим работы, введены паузы и перерывы.
Выполняющий работу должен пройти инструктаж по правилам пожарной безопасности. Территория работы должна очищаться от горючих отходов и мусора. Курение в помещении запрещается. Электрическая сеть должна быть создана в соответствии с «Правилами ТЭ и ТБ потребителей», которые определяют выбор сечений проводов и их изоляции, защиту предохранительными устройствами от перегрузок сети. Все токоведущие части и предохранительные устройства должны монтироваться на несгораемых основаниях. Электропроводка должна выполняться скрытым способом, а светильники и электрощиты должны быть закрытого исполнения. На территории должен присутствовать огнетушитель, противопожарные детекторы и общий рубильник питания. В помещении необходимо иметь запасной выход, имеющий соответствующую маркировку, так же запасной выход должен быть отмечен на карте действия при пожаре, вывешенной на виду у персонала. Дверь должна легко открываться в сторону выхода из помещения и закрываться на легко поворачивающиеся запоры. Все противопожарные установки должны находиться в исправном состоянии и, по необходимости, снабжены инструкциями по использованию. Состояние системы противопожарной безопасности должно проверяться инспектором в установленные сроки.
Для защиты работников от поражения электрическим током ГОСТ 12.4.011–75 «Средства защиты работающих. Общие требования и классификация» регламентирует следующие средства защиты:
· устройства автоматического контроля и сигнализации;
· изолирующие устройства и покрытия;
· устройства защитного заземления и зануления;
· устройства автоматического отключения;
· предохранительные устройства.
В помещении необходимо установить ряд контролирующих устройств, таких, как общий рубильник, сетевые фильтры и т.п.
Электрические установки, к которым относится практически все оборудование ЭВМ, представляют для человека большую потенциальную опасность, так как в процессе эксплуатации или проведения профилактических работ человек может коснуться частей, находящихся под напряжением.
Исключительно важное значение для предотвращения электротравматизма имеет правильная организация обслуживания действующих электроустановок вычислительных центров, проведение ремонтных, монтажных и профилактических работ. При этом необходимо строгое выполнение организационных и технических мероприятий, установленных «Правилами технической эксплуатации электроустановок потребителей» и межотраслевыми правилами по охране труда.
Рабочие помещения операторов являются помещениями без повышенной опасности поражения электрическим током.
Безопасность эксплуатации электрооборудования обеспечиваются комплексом мер безопасности, применением электрозащитных средств и правильной организацией эксплуатации действующих электроустановок. Меры безопасности условно можно разделить на две группы:
- меры, обеспечивающие безопасность эксплуатации при нормальном состоянии электрооборудования;
- меры, обеспечивающие безопасность в аварийном режиме, – при появлении напряжения на нетоковедущих частях оборудования.
Мерами, обеспечивающими безопасность при нормальном состоянии электрооборудования, являются недоступность и рабочая изоляция токоведущих частей, защитное разделение сетей и малые напряжения. К дополнительным мерам, устраняющим опасность при появлении напряжения на нетоковедущих частях, относятся защитное заземление, зануление, защитное отключение, выравнивание потенциалов и двойная изоляция.
Согласно ГОСТ 12.2.007–75 ПЭВМ, на которых производится работа, относятся к классу электробезопасности 01. В соответствии с правилами электробезопасности в служебном помещении должен осуществляться постоянный контроль состояния электропроводки, предохранительных щитов, шнуров, с помощью которых включаются в электросеть компьютеры, осветительные приборы, другие электроприборы.
В соответствии с межотраслевыми правилами по охране труда к обслуживающему персоналу электроустановок предъявляются следующие требования:
- лица, не достигшие 18-летнего возраста, не допускаются к работам в электроустановках;
- лица не должны иметь увечий и болезней, мешающих производственной работе;
- лица должны после соответствующей теоретической и практической подготовки пройти проверку знаний и иметь удостоверение на допуск к работам в электроустановках.
Возможность работы в электроустановках определяется при поступлении на работу путем медицинского освидетельствования. Работники, допускаемые к обслуживанию или ремонту электроустановок, должны знать оборудование, схемы и особенности обслуживаемых устройств, иметь отчетливое представление о возможных опасностях, хорошо знать и выполнять требования межотраслевых правил по охране труда, а также иметь квалификационную группу по электробезопасности, соответствующую выполняемой работе.
В качестве мероприятий технического характера применяются следующие: недоступность токоведущих частей, защитное заземление, защитное зануление, защитное отключение.
Недоступность токоведущих частей для случайного прикосновенияобеспечивается следующими способами: ограждением и расположением токоведущих частей на недосягаемой высоте или в недоступном месте, рабочая изоляция. Ограждения в виде корпусов, кожухов, оград выполняются сплошными или сетчатыми. Для доступа непосредственно к электрооборудованию или токоведущим частям последнего в ограждениях предусматриваются открывающиеся части: крышки, дверцы, двери и т.д. Эти части закрываются специальными запорами или снабжаются блокировками.
Защитное заземление– это преднамеренное электрическое соединение с землей или ее эквивалентом металлических нетоковедущих частей, которые могут оказаться под напряжением. Защитное действие заземления основано на снижении напряжения прикосновения при переходе напряжения на нетоковедущие части, что достигается уменьшением потенциала корпуса относительно земли, как за счет малого сопротивления заземления, так и за счет повышения потенциала примыкающей к оборудованию поверхности земли.
Занулениемназывается преднамеренное электрическое соединение с нулевым защитным проводником металлических нетоковедущих частей, которые могут оказаться под напряжением. Нулевой защитный проводник – это проводник, соединяющий зануляемые части с глухозаземленной нейтральной точкой обмотки источника тока или ее эквивалентом.
Таблица 8 – Уровни ионизации воздуха помещений при работе на ВДТ и ПЭВМ
| Уровни | Число ионов в 1 см куб. воздуха | |
| n+ | n- | |
| Минимально необходимые | 400 | 600 |
| Оптимальные | 1500–3000 | 3000–5000 |
| Максимально допустимые | 50000 | 50000 |
К методам защиты от электромагнитных излучений относятся:
· рациональное размещение излучающих и облучающих объектов, исключающее или ослабляющее воздействие излучения на персонал;
· ограничение места и времени нахождения работающих в электромагнитном поле;
· удаление рабочего места от источника электромагнитных излучений;
· уменьшение мощности источника излучений;
· использование поглощающих или отражающих экранов;
· применение средств индивидуальной защиты.
Статическое электричество возникает в результате сложных процессов, связанных с перераспределением электронов и ионов при соприкосновении двух поверхностей неоднородных жидких или твердых веществ, на которых образуется двойной электрический слой.
В помещениях разрядные токи статического электричества чаще всего возникают при прикосновении обслуживающего персонала к любому из элементов ЭВМ. Такие разряды опасности для человека не представляют, однако, кроме неприятных ощущений, они могут привести к выходу из строя ЭВМ.
Электростатические заряды должны подавляться при помощи заземляющих устройств, экранов или посредством соблюдения безопасных расстояний.
В качестве индивидуального средства защиты от статического электричества операторы ЭВМ используют спецодежду с антистатической пропиткой.
Обычно в рабочих помещениях используется смешанное освещение. Согласно СанПиН 23–05–95, освещенность рабочего места должна составлять 500 лк, а коэффициент естественного освещения при боковом освещении – 0.7%.
Таким образом, для обеспечения требований по освещенности, в помещении необходимо установить 5 светильников с двумя люминесцентными лампами типа ЛД-80 в каждом светильнике.
К работам с ПЭВМ и ВДТ допускаются лица:
- прошедшие обязательные предварительный при приеме на работу и ежегодные медицинские осмотры в сроки, установленные Минздравмедпромом России и Госкомсанэпиднадзором России, и не имеющие медицинских противопоказаний для работы с ПЭВМ и ВДТ;
- прошедшие курс обучения принципам работы с вычислительной техникой и специальное обучение работе на ПЭВМ с использованием конкретного программного обеспечения;
- прошедшие вводный инструктаж по электробезопасности;
- ознакомленные с инструкциями по эксплуатации на используемые на рабочем месте средства оргтехники.
· Соблюдение правил и инструкции по технике безопасности.
· Работать разрешается только на исправном оборудовании.
· Во время работы в помещении не должны находится посторонние лица.
· При возникновении пожара действовать согласно инструкции по пожарной безопасности.
· Обо всех неисправностях оборудования немедленно сообщать ремонтным службам.
· При несчастном случае уметь оказать первую помощь, вызвать врача, сообщить администрации, по возможности оставив место происшествия без изменения.
· За нарушение правил техники безопасности сотрудники привлекаются к ответственности согласно действующему законодательству.
Перед началом работы пользователи обязаны:
· осмотреть и привести в порядок рабочее место;
· отрегулировать освещенность на рабочем месте, убедиться в достаточности освещенности, отсутствии отражений на экране, отсутствии встречного светового потока;
· проверить правильность подключения оборудования в электросеть;
· проверить правильность установки стола, стула, положения оборудования, угла наклона экрана монитора, положение клавиатуры и, при необходимости произвести регулировку рабочего стола и кресла, а также расположение элементов компьютера в соответствии с требованиями эргономики и в целях исключения неудобных поз и длительных напряжений тела.
Пользователю запрещается приступать к работе при:
· обнаружении неисправности оборудования и электропроводки;
· обнаружении неисправности частей ПЭВМ или программного обеспечения.
Пользователь во время работы обязан:
· в течение всего рабочего дня содержать в порядке и чистоте рабочее место;
· держать открытыми все вентиляционные отверстия устройств;
· выполнять санитарные нормы и соблюдать режимы работы и отдыха:
· продолжительность непрерывной работы с ВДТ без регламентированного перерыва не должна превышать 2 часов,
· перерывы следует устанавливать через 1.5–2.0 часа работы продолжительностью 20 минут каждый или продолжительностью 15 минут через каждый час работы
· соблюдать правила эксплуатации ПЭВМ в соответствии с инструкциями по эксплуатации;
· соблюдать расстояние от глаз до экрана в пределах 60–80 см;
Пользователю во время работы запрещается:
· касаться одновременно экрана монитора и клавиатуры;
· прикасаться к задней панели системного блока при включенном питании;
· переключение разъемов интерфейсных кабелей периферийных устройств, при включенном питании;
· загромождать верхние панели устройств бумагами и посторонними предметами;
· допускать захламленность рабочего стола бумагами в целях недопущения накапливания органической пыли;
· производить отключение питания во время выполнения активной задачи; производить частые переключения питания;
· допускать попадания влаги на системный блок и клавиатуру, монитор, дисководы, принтеры и т.п.;
· превышать величину количества обрабатываемых символов свыше 30 тыс. за 4 часа работы.
По окончании работы необходимо:
· отключить питание всех устройств;
· убедиться, что оборудование обесточено.
По окончании работ оператор обязан осмотреть и привести в порядок рабочее место.
При аварийной ситуации пользователь обязан:
· во всех случаях обнаружения дефектов шнуров питания, неисправности электрических розеток, наличия дыма или появления запаха гари немедленно отключить питание и сообщить об аварийной ситуации своему непосредственному начальнику и лицу ответственному за электрохозяйство предприятия;
· при обнаружении человека, попавшего под напряжение, немедленно освободить его от действия тока путем отключения электропитания оборудования и до прибытия врача оказать потерпевшему первую доврачебную медицинскую помощь;
· при любых случаях сбоя в работе технического оборудования или программного обеспечения немедленно сообщить об этом своему непосредственному начальнику;
· в случае ухудшения самочувствия покинуть рабочее место, сообщить об этом своему непосредственному начальнику и обратиться к врачу;
· при возгорании оборудования, отключить питание и принять меры по тушению очага пожара при помощи углекислого или порошкового огнетушителя, вызвать пожарную команду.
Заключение
Стабильное существование и функционирование – главный залог прибыльности организации. Достижение этой цели невозможно без мер по обеспечению безопасности. Существуют различные методы и технические решения в области физической защиты объектов. Важную роль при этом играет комплекс мер по обнаружению преступных посягательств на защищаемый объект. Одним из видов средств обнаружения является охранное телевидение.
Целью данной работы была модернизация системы видеонаблюдения конкретного объекта – центрального офиса коммерческого банка.
В процессе проектирования было произведено обследование объекта защиты, анализ системы с целью выявления уязвимостей, определены угрозы и оценены риски безопасности банка.
Также в работе был проведен обзор технических решений в области видеонаблюдения и рассмотрены принципы оснащения объектов данными техническими средствами.
По результатам анализа объекта защиты и обзора технических средств разработаны проект модернизации существующей системы видеонаблюдения.
Модернизированная система обеспечивает надежную защиту объекта от несанкционированного проникновения и полностью отвечает требованиям банка в сфере видеонаблюдения.
При выборе технических средств особое внимание уделялось их функциональным характеристикам и технической совместимости устройств друг с другом.
Разработанная система полностью отвечает требованиям технического задания и готова к внедрению на данном объекте.
Список использованных источников
1. Деменьтев А.Н. Электронные системы безопасности личности и имущества. Ч. 2. Охранное телевидение: учебное пособие. – Томск: В-спектр, 2007 – 172 с.
2. Скрытое охранное видеонаблюдение. Статья. www.pro-oborudovanie.ru/video_nabludenie.shtml
3. Как выбрать камеру видеонаблюдения. Статья. http:www.dgsv.ruArticlesdigital_processing_1.html
5. ГОСТ Р 51558–2000 «Системы охранные телевизионные. Общие технические требования и методы испытания»
6. РД 78.36.003–2002 «Инженерно-техническая укрепленность. Технические средства охраны. Требования и нормы проектирования по защите объектов от преступных посягательств»
7. Р 78.36.002–99 «Выбор и применение телевизионных систем видеоконтроля»
8. Р 78.36.003–99 «Рекомендации по комплексному оборудованию банков, пунктов обмена валюты, оружейных и ювелирных магазинов, коммерческих и других фирм и организаций техническими средствами охраны, видеоконтроля и инженерной защиты. Типовые варианты»
9. Р 78.36.008–99 «Рекомендации. Проектирование и монтаж систем охранного телевидения и домофонов
10. Концепция безопасности коммерческого банка. http:www.bre.ru14277.html
11. Количественная модель рисков. Общие положения. www.microfinance.uz
12. Выбор устройства видеозаписи http:video.telvi.rucatalogkpc_500.htm
14. Голые короли видеорынка. Описание видеокамеры SK-1004. videoglazok.ru/vdkameracatalogkpc_190.htm
16. Дамьяновски Владо. CCTV. Библия охранного телевидения: Перевод с английского – Москва: Ай-Эс-Пресс, 2003. – 344 с.
Похожие рефераты:
Применение технических средств наблюдения для контроля территории
Проект защиты информации с разработкой системы видеонаблюдения
Проект структурированной кабельной системы
Язык современного телевидения: технологии или творчество
Проектирование круглосуточной оптико-телевизионной системы
Системы видеонаблюдения и контроля доступа на предприятие
Современные технические средства наблюдения
Системы цифрового видеонаблюдения при организации охранных структур на особо охраняемых объектах
Тактика применения и эксплуатация средств охраны
Ремонт системы управления видеокамер аналогового формата
Защита информации по виброакустическому каналу утечки информации