| Похожие рефераты | Скачать .docx |
Курсовая работа: Технология WiMax
СОДЕРЖАНИЕ
Введение
1. История развития проекта WIMAX
2. Задачи, цели, преимущества WIMAX
3. Принцип работы WIMAX
3.1 Физический уровень базового стандарта IEE 802.16
3.2 Стандарт IEE 802.16-2004
3.3 Режим WirelessMan- OFDM
3.4 Mesh- сеть
3.5 Стандарт IEE 802.16-2005
4. Режим работы WIMAX
5. Защита связи
6. Определение задания и цели работы
Список литературы
В ВЕДЕНИЕ
На сегодняшний момент три основных требования к сетевым соединениям: высокая пропускная способность, надёжность, мобильность. Соединить все три основных критерия может только поколение беспроводных технологий WiMAX (Worldwide Interoperability for Microwave Access ), стандарт IEEE 802.16.
Современный мир не может без информации. Информационные магистрали сегодня не уступают по важности транспортным, они повсюду – и на суше, и на дне океана, и в космосе. Передача байта по линии связи стала не менее значимой, чем передача барреля нефти или кубометра газа. Но планете становится тесно от проводных линий связи. Эти пути уже мешают и их надо отбросить. Поэтому неудивительно, что беспроводные технологии переживают сегодня подлинный бум. Пользователям требуются все большие объемы трафика и скорости передачи данных – причем срочно. Современные мультимедийные приложения этому весьма способствуют. Ведь еще десять лет назад беспроводные локальные сети казались достаточно специальным инструментом. Сегодня – это массовый продукт, а термины Wi-Fi и WiMAX знают даже неспециалисты в связи.
В августе 1998 года по инициативе Национальной испытательной лаборатории беспроводных электронных систем Национального института стандартов и технологии США (NationalWirelessElectronicsSystemsTestbedoftheU.S. NationalInstituteofStandardsandTechnology) встреча заинтересованных сторон, в результате которой комитет 802 IEEE организовал рабочую группу 802.16. С июля 1999 года группа приступила к регулярной работе. Изначально ее деятельность велась в трех направлениях: разработка стандарта для диапазона 10-66 ГГц (первоначально обозначался 802.16.1), для диапазона 2-11 ГГц (802.16.3), а также стандарта, регламентирующего совместную работу различных систем широкополосного беспроводного вещания (802.16.2).
Уже в декабре 2001 года стандарт IEEE 802.16 «AirInterfaceforFixedBroadbandWirelessAccessSystems» (воздушный интерфейс для фиксированных систем с широкополосным беспроводным доступом) был утвержден и 8 апреля 2002 года официально опубликован. Он описывал общие принципы построения систем широкополосного беспроводного доступа и сосредотачивался на диапазоне 10-66 ГГц. 10 сентября 2001 года увидел свет стандарт IEEE 802.16.2 «CoexistenceofFixedBroadbandWirelessAccessSystems» (сосуществование фиксированных систем широкополосного беспроводного доступа). Над более низкочастотным диапазоном работы продолжались чуть дольше – стандарт 802.16а «MediumAccessControlModificationsandAdditionalPhysicalLayerSpecificationsfor 2-11 GHz» (модификации управления доступа к среде передачи и дополнительные спецификации физического уровня для диапазона 2-11 ГГц), регламентирующий работу в диапазоне 2-11 ГГц, был утвержден 29 января 2003 года, а 1 апреля опубликован. На рисунке 1 показано место стандарта 802.16 в иерархии стандартов IEEE 802.[1].
Место стандарта 802.16 в иерархии стандартов IEEE 802

Рис. 1
Физический и канальный уровни IEEE 802.16
![]() |
Все стандарты группы 802.16 описывают два нижних уровня модели взаимодействия открытых систем (OSI) – физический и уровень контроля доступа к среде передачи (MAC – MediumAccessControl)[1] . Структура этих уровней представлена на рисунке 2. В стандартах этой группы идет речь о радиоинтерфейсах, методах модуляции и доступа к каналам, о системе управления потоками, о структурах передаваемых данных, о механизмах связи протоколов передачи данных верхних уровней (прежде всего ATM и IP) с протоколами физического уровня IEEE 802.16 и д.р. Будем рассматривать стандарт «снизу» – физического уровня.
1 ИСТОРИЯ РАЗВИТИЯ ПРОЕКТА WiMAX
Первая версия стандарта IEEE 802.16–2001 была принята в декабре 2001 года, в стандарте изначально была отведена рабочая полоса 10–66 ГГц. Стандарт IEEE 802.16 описывал архитектуру широкополосной беспроводной связи, организованной по топологии «точка-многоточка» и ориентировался на создание стационарных беспроводных сетей масштаба города (WirelessMAN). Так как в стандарте IEEE 802.16–2001 на физическом уровне предполагалось использование всего одной несущей частоты, назван он был — WirelessMAN-SC (Single Carrier).Для частот в диапазоне 10–66 ГГц характерно быстрое затухание сигнала и работа возможна только в зоне прямой видимости между передатчиком и приемником. Зато решается одна из главных проблем радиосвязи — многолучевое распространение сигнала. В Стандарте было рекомендовано использовать модуляцию типа QPSK, 16-QAM или 64-QAM. В радиоканалах шириной 20, 25 и 28 МГц скорость передачи данных достигала 32–134 Мбит/с и дальность передачи составляла 2.5 км. Позже, в 2002 году в стандарте 802.16–2001 были выявлены погрешности, и появилось приложение 802.16с-2002, которое расширяло профили и корректировало их.Из-за трудностей построения беспроводной сети в зоне прямой видимости устройства стандарта 802.16 так и не получили широкого распространения и уже в январе 2003 года выпустили расширение 802.16а-2003, которое описывало использование частотного диапазона от 2 до 11 ГГц. В этом стандарте предусматривалось создание фиксированных беспроводных сетей масштаба мегаполиса и планировалось, что в дальнейшем он станет альтернативой наземным решениям широкополосного доступа для организации «последней мили» взамен xDSL, кабельных модемов и каналов T1/E1. Кроме того, предполагалось, что для формирования глобальной сети беспроводного доступа в Интернет к базовой сети стандарта 802.16а смогут подключаться точки доступа стандарта 802.11a/b/g.
Основное отличие стандарта 802.16а — это работа в частотном диапазоне 2–11 ГГц, для которого не требуется наличие прямой видимости между приемником и передатчиком. В виду этого зона покрытия беспроводных сетей 802–16a значительно шире, чем у сетей стандарта 802.16. Использование частотного диапазона 2–11 ГГц потребовало и существенного пересмотра техники кодирования и модуляции сигнала на физическом уровне. Оборудование 802.16а должно было работать с модуляцией QPSK, 16QAM, 64QAM и 256QAM, поддерживать скорость передачи информации 1–75 Мбит/с на сектор одной базовой станции на расстоянии от где-то 6–9 км в радиоканалах с изменяемой полосой пропускания от 1.5 до 20 МГц. Типовая базовая станции имела от 4 до 6 секторов.
В стандарте 802.16a сохранили режим работы на одной несущей, который позволял работать как в условиях прямой видимости (LOS), так и вне ее (NLOS). Но основным здесь стала возможность работы с сигналом на основе технологии OFDM (Orthogonal Frequency Division Multiplexing)- ортогонального частотного мультиплексирования с 256-ю поднесущими и режим OFDMА (Orthogonal Frequency Division Multiple Access) — технология многостанционного доступа с ортогональным частотным разделением каналов с 2048 поднесущими сразу с несколькими абонентами в режиме OFDM. Таким образом, при стандартном количестве поднесущих в 256 обеспечивалась одновременная работа 8 абонентов.В июле 2004 года был принят стандарт IEEE 802.16–2004, известный также как 802.16d или фиксированный WiMAX, который и объединил все эти нововведения. Но говорить в то время о полной совместимости оборудования не представлялось возможным. Из-за наличия разных режимов мультиплексирования SC, OFDM и OFDMА с разной шириной радиоканалов, а также временного и частотного режима дуплексирования FDD и TDD и ряда других требований оборудование каждого производителя так и осталось уникальным, а стоимость абонентских устройств была очень высокой. В силу этих обстоятельств оборудование фиксированного доступа стандарта IEEE 802.16–2004 используется в нишевом применение, там, где традиционные методы построения сетей абонентского доступа не эффективны или попросту невозможны.
В конце 2005 года был принят стандарт IEEE 802.16е, известный так же как IEEE 802.16–2005 или мобильный WiMAX. Это был новый шаг в эволюции развития беспроводного широкополосного доступа в интернет Основное внимание здесь уделено вопросам поддержки мобильных абонентов, и в частности хендоверу, и роумингу между сетями, построенными на различных беспроводных стандартах. Роуминг позволяет при передвижении абонента на скорости до 120 км/ч «бесшовно» переключаться между базовыми станциями (точно так же как это происходит в сетях сотовой связи). В мобильном WiMAX применяется Scalable OFDMA — масштабируемый OFDM-доступ и возможна работа как в условиях прямой видимости так в ее отсутствие. Для сетей Mobile WiMAX выделяются частотные диапазоны: 2,3–2,5; 2,5–2,7; 3,4–3,8 ГГц.
На сегодняшний день в мире реализованы и успешно функционируют беспроводные широкополосные сети на основе Mobile WiMAX, в том числе первыми в России свои сети развернули компании «Скартел» — бренд Yota (сети построены в Москве, Санкт-Петербурге, Уфе, Краснодаре, Сочи, Никарагуа) и Комстар OTC (сеть в Москве). Конкурентами 802.16e являются все мобильные технологии третьего поколения 3G, например, EV-DO. И если стандарт IEEE 802.16d является протоколом операторского класса, то мобильный WiMAX ориентирован на конечных пользователей, и в данном случае он представляет собой альтернативу стандартам 802.11 a/b/g. Имея ноутбук или КПК со встроенным WiMAX модемом, и подключившись к сети, пользователь сможет постоянно оставаться на связи в любой точке города, где обеспечивается зона покрытия WiMAX сети. Базовая станция Mobile WiMAX способна поддерживать до 1000 абонентов одновременно!
Схема развития технологии WiMax

Рис. 1.1
В дополнение к основным стандартам, рабочая группа IEEE 802.16 разработала ряд других документов, где рассматриваются другие весьма важные вопросы. Это такие дополнения, как:
- 802.16f-2005 — Информационная база управления (ManagementInformationBase);
- 802.16g-2007 — Процедурыисервисыуровняуправления (Management Plane Procedures and Services);
- 802.16k-2007 — Поправки к 802.16 (Bridging of 802.16).
В стадии разработки находятся:
- 802.16h — Улучшенный механизм сосуществования при безлицензионной работе (Improved Coexistence Mechanisms for License-Exempt Operation);
- 802.16i — Информационная база управления для мобильных сетей (Mobile Management Information Base);
- 802.16j — Спецификация многопролетных ретрансляционных систем (Mul-tihop Relay Specification);
- 802.16m — Улучшенный беспроводной интерфейс (Advanced Air Interface).
Часто, говоря о стандарте IEEE 802.16, подразумевают WiMAX. Аббревиатура WiMAX (Worldwide Interoperability for Microwave Access) расшифровывается как: протокол всемирной сети широкополосной радиосвязи. Название придумано в международной организации WiMAX-форум, в ряды которой входят ведущие телекоммуникационные компании и производители оборудования, такие как: Alvarion, Cisco, Intel, Airspan Networks, Fujitsu, Samsung, Huawei, Proxim Corporation и др.). Однако не следует забывать, что на самом деле WiMAX, рассматривает только часть режимов стандарта IEEE 802.16.
WiMAX-форум был основан 11 апреля 2003 года с целью содействия разработке беспроводного оборудования, используемого в широкополосных сетях и скорейшему развертыванию этих сетей во всем мире. WiMAX-форум отвечает за сертификацию оборудования стандарта IEEE 802.16, а также за подготовку и разработку спецификаций, призванных обеспечить совместимость оборудования разных производителей. Такие крупнейшие поставщики элементной полупроводниковой базы, как Intel, Fujitsu, и др. ведут ее разработку для всех производителей оборудования, а те в свою очередь концентрируют свои усилия на производстве оборудования со стандартной элементной базой. По данным аналитических изданий, сегодня члены WiMAX-форума представляют собой более 80% рынка среди производителей оборудования для ШБД.[2].
В июне 2008 года было объявлено о создании нового стратегического консорциума — Open Patent Alliance (ОРА), в который вошли такие гиганты широкополосной индустрии, как: Cisco, Alcatel-Lucent, Intel, Clearwire, Samsung и Sprint. Цель создания альянса – продвижение дальнейшей стандартизации в области технологий WiMAX, снижения стоимости на услуги и оборудование, а также расширение их многообразия. Немного позже к ним присоединились Alvarion и Huawei. За это время был создан так называемый патентный пул —соглашение о взаимном использовании межу участниками патентов, которыми сможет воспользоваться любой из членов альянса по предсказуемой цене.
Одним из наиболее активных членов альянса WiMAX Forum является компания Intel, которая участвует во всех его начинаниях – от постановки задачи, заканчивая ратификацией стандартов и разработкой конечного оборудования. Сейчас Intel сотрудничает с компаниями, уже развернувшими предварительно стандартизованные широкополосные беспроводные сети WiMAX более чем в 125 странах. Они обеспечивают широкий диапазон вариантов – от стационарных систем беспроводного доступа до двухточечных систем передачи масштаба предприятия.Сейчас Intel сотрудничает с компаниями, уже развернувшими предварительно стандартизованные широкополосные беспроводные сети WiMAX более чем в 125 странах. Они обеспечивают широкий диапазон вариантов – от стационарных систем беспроводного доступа до двухточечных систем передачи масштаба предприятия.
Сегодня WiMAX-форум насчитывает более 500 членов, 17 из них из России и стран СНГ.[4].
2 ЗАДАЧИ,ЦЕЛИ,ПРЕИМУЩЕСТВА WiMAX
Для продвижения и развития технологии WiMAX был сформирован WiMAX-форум на базе рабочей группы IEEE 802.16, созданной в 1999 году. Вфорумвошлитакиефирмы, как Nokia, Harris Corporation, Ensemble, Crosspan и Aperto. К маю 2005 года форум объединял уже более 230 участников. В том же году Всемирный съезд по вопросам информационного сообщества (World Summit on Information Society, WSIS) сформулировал следующие задачи, которые были возложены на технологию WiMAX.
Задачи технологий WiMAX:
1. Обеспечить при помощи WiMAX доступ к услугам информационных и коммуникационных технологий для небольших поселений, удалённых регионов, изолированных объектов, учитывая при этом, что в развивающихся странах 1,5 миллиона поселений с числом жителей более 100 человек не подключены к телефонным сетям и не имеют кабельного сообщения с крупными городами;
2. Обеспечить при помощи WiMAX доступ к услугам информационных и коммуникационных технологий более половины населения планеты в пределах своей досягаемости, учитывая при этом, что общее число пользователей Интернета в 2005 году составляло приблизительно 960 млн. человек, или около 14,5 процента всего населения Земли.
Цель технологии WiMAX заключается в том, чтобы предоставить универсальный беспроводный доступ для широкого спектра устройств (рабочих станций, бытовой техники "умного дома", портативных устройств и мобильных телефонов) и их логического объединения локальных сетей.
Надо отметить, что технология имеет ряд преимуществ:
1. По сравнению с проводными (xDSL, T1), беспроводными или спутниковыми системами сети WiMAX должны позволить операторам и сервис-провайдерам экономически эффективно охватить не только новых потенциальных пользователей, но и расширить спектр информационных и коммуникационных технологий для пользователей, уже имеющих фиксированный (стационарный) доступ;
2. Стандарт объединяет в себя технологии уровня оператора связи (для объединения многих подсетей и предоставления им доступа к Интернет), а также технологии "последней мили" (конечного отрезка от точки входа в сеть провайдера до компьютера пользователя), что создает универсальность и, как следствие, повышает надёжность системы;
3. Беспроводные технологии более гибки и, как следствие, более просты в развёртывании, так как по мере необходимости могут масштабироваться;
4. Простота установки как фактор уменьшения затрат на развертывание сетей в развивающихся странах, малонаселённых или удалённых районах;
5. Дальность охвата является существенным показателем системы радиосвязи. Не требует прямой видимости между объектами сет, благодаря использованию технологии OFDM создает зоны покрытия в условиях отсутствия прямой видимости от клиентского оборудования до базовой станции, при этом расстояния исчисляются километрами;
6. Технология WiMAX изначально содержит в себе протокол IP, что позволяет легко и прозрачно интегрировать её в локальные сети;
7. Технология WiMAX подходит для фиксированных, перемещаемых и подвижных объектов сетей на единой инфраструктуре.
3.1Физический уровень базового стандарта IEEE 802.16
Как уже отмечалось, стандарт IEEE 802.16 описывает работу в диапазоне 10-66 ГГц систем с архитектурой «точка-многоточка» (из центра – многим). Это – двунаправленная система, то есть предусмотрены нисходящий (downlink, от базовой станции к абонентам) и восходящий (uplink, к базовой станции) потоки. При этом каналы подразумеваются широкополосные (порядка 25 МГц), а скорости передачи – высокие (например, 120 Мбит/с).
Тракт обработки данных и формирования выходного сигнала для передачи через радиоканал в стандарте IEEE 802.16 достаточно обычен для современных телекоммуникационных протоколов (см. рис. 3) и практически одинаков для восходящих и нисходящих соединений. Входной поток данных скремблируется – подвергается рандомизации[2]
, то есть на него накладывается (XOR) псевдослучайная последовательность (ПСП), вырабатываемая с помощью линейного регистра сдвига длины 15 с характеристическим многочленом
и начальным заполнением
(см. рис. 3.1) Далее скремблированные данные кодируют с помощью помехоустойчивых кодов (FEC-кодирование[3]
). При этом используется одна из четырех схем: код Рида-Соломона (над
), код Рида-Соломона с дополнительным свёрточным кодом (скорость
) (схема свёрточного кодирования показана на рис. 3.2), код Рида-Соломона с дополнительным контролем четности (
) и блочный турбокод. Размер кодируемого информационного блока и число избыточных бит не фиксированы – эти параметры можно задавать в зависимости от условий среды и требований к качеству предоставления услуг (QoS). Первые две схемы кодирования обязательны для всех устройств стандарта, остальные два алгоритма – дополнительные.
Тракт формирования выходного сигнала в стандарте IEEE 802.16 (нисходящий канал)

Рис. 3.1
Генерация ПСП Схема кодирования сверточным кодом


Рис. 3.2 Рис. 3.3
В диапазоне 10-66 ГГц стандарт IEEE 802.16 предусматривает схему с модуляцией одной несущей (в каждом частотном канале). Стандарт допускает три типа квадратурной амплитудной модуляции: четырехпозиционную QPSK и 16-позиционную 16-QAM (обязательны для всех устройств), а также 64-QAM (опционально). Кодированные блоки преобразуются в модуляционные символы (каждые 2/4/6 бит определяют один символ QPSK/16-QAM/64-QAM) в соответствии с приведенными в стандарте таблицами – каждой группе из 2/4/6 бит ставится в соответствие синфазная (
) и квадратурная (
) координаты. Далее последовательность дискретных значений в каналах
и
преобразуется посредством так называемого синусквадратного фильтра (square-rootraisedcosinefilter)[4]
в непрерывные (сглаженные) сигналы. Фильтрованные потоки
и
поступают непосредственно в квадратурный модулятор, где формируется выходной сигнал как функция
,
- несущая частота. Далее сигнал усиливается и передается в эфир. На приемной стороне все происходит в обратном порядке.
Данные на физическом уровне передаются в виде непрерывной последовательности кадров. Каждый кадр имеет фиксированную длительность – 0,5; 1 и 2 мс, поэтому его информационная емкость зависит от символьной скорости и метода модуляции. Кадр состоит из преамбулы (синхропоследовательности длиной 32 QPSK-символа), управляющей секции и последовательности пакетов с данными (см рис. 3.3.). Поскольку определяемая стандартом IEEE 802.16 система двунаправленная, необходим дуплексный механизм. Он предусматривает как частотное (FDD[5] ), так и временное (TDD[6] ) разделение восходящего и нисходящего каналов.
При временном дуплексировании каналов кадр делится на нисходящий и восходящий субкадры (их соотношение в кадре может гибко меняться в процессе работы, в зависимости от потребной полосы пропускания для нисходящих и восходящих каналов), разделенные специальным интервалом (рис. 3.4а). При частотном дуплексировании восходящий и нисходящий каналы транслируются каждый на своей несущей (рис. 3.4б).
Структура кадра в стандарте IEEE 802.16 для систем с временным (а) и частотным (б) дуплексированием каналов

Рис. 3.4
В нисходящем канале информация от базовой станции передается в виде последовательности пакетов (метод временного мультиплексирования - TDM[7] ) (рис. 3.5). Для каждого пакета можно задавать метод модуляции и схему кодирования данных – то есть выбирать между скоростью и надежностью передачи. TDM-пакеты передаются одновременно для всех абонентских станций, каждая из них принимает весь информационный поток и выбирает «свои» пакеты (декодируя заголовки пакетов и определяя адрес назначения). В нисходящем субкадре пакеты выстраиваются в очередь так, что самые помехозащищенные передаются первыми (управляющая секция всегда передается посредством QPSK-модуляции). Если этого не сделать, абонентские станции с плохими условиями приема, которым предназначаются наиболее защищенные пакеты, могут потерять синхронизацию в ожидании своей порции информации.
Пакеты в нисходящем субкадре следуют друг за другом без интервалов и предваряющих их заголовков. Чтобы абонентские станции могли отличить один пакет от другого, в управляющей секции передаются карты нисходящего (DL-MAP) и восходящего (UL-MAP) каналов. В карте нисходящего канала указана длительность кадра, номер кадра, число пакетов в нисходящем субкадре, а также точка начала и тип профиля каждого пакета. Точка начала отсчитывается в так называемых физических слотах, каждый физический слот равен четырем модуляционным символам.
Профиль пакета – это список его параметров, включая метод модуляции, тип FEC-кодирования (с параметрами схем кодирования), а также диапазон значения отношения сигнал/шум в приемном канале конкретной станции, при котором данный профиль может применяться. Список профилей в виде специальных управляющих сообщений (дескрипторов нисходящего и восходящего каналов, DCD/UCD) транслируется базовой станцией с периодом в 10 с, присеем каждому профилю присваивается номер, который и используется в карте нисходящего канала.
Структура нисходящего канала

Рис. 3.5
Абонентские станции получают доступ к среде передачи посредством механизма временного разделения каналов (TDMA - Timedivisionmultipleaccess) (структура восходящего канала представлена на рис. 3.6). Для этого в восходящем канале субкадре для каждой передающей АС (абонентской станции) базовая станция резервирует специальные временные интервалы – слоты. Информация о распределении слотов между АС записывается в карте восходящего канала UL-MAP, транслируемой в каждом кадре. UL-MAP функционально аналогична DL-MAP – в ней сообщается сколько слотов в субкадре, точка начала и идентификатор соединения для каждого из них, а также типы профилей всех пакетов. Сообщение UL-MAP текущего кадра может относиться как к данному кадру, так и к последующему. Скорость модуляции (частота символов) в восходящем канале должна быть такой же, как и в нисходящем. Отметим, что, в отличие от нисходящих TDM-пакетов, каждый пакет в восходящем канале начинается с преамбулы – синхропоследовательности длиной 16 или 32 QPSK-символа.
В восходящем канале, кроме назначенных базовой станцией (БС) слотов для определенных АС, предусмотрены интервалы, в течение которых АС может передать сообщение для первичной регистрации в сети или для запроса канала/изменения полосы пропускания канала. Поскольку эти сообщения спонтанны, в данных интервалах возможны коллизии, вызванные одновременной работой передатчиков двух и более АС. Принцип борьбы с коллизиями аналогичен используемому в стандарте 802.11 – после того, как АС решила, что ей нужно зарегистрироваться/запросить канал, она не начинает трансляцию в первом же предназначенном для этого интервале. В АС есть генератор случайных чисел (ГСЧ), выбирающий значения из некоего диапазона от
до
. Так, если
, ГСЧ выбирает числа в диапазоне 0..15, например 11. Далее АС отсчитывает 11 интервалов, предназначенных для регистрации/запроса канала и только в 12-м выходит в эфир. Если передача прошла успешно и БС приняла запрос, она в определенный период ответит специальным сообщением. В противном случае АС считает попытку неудачной и повторяет процедуру, только интервал для ГСЧ удваивается.
Структура восходящего канала

Рис. 3.6
Такая последовательность действий продолжается до тех пор, пока не будет получен ответ от БС. Максимальный размер диапазона возможных значений ГСЧ ограничен – при его достижении он вновь принимает минимальное значение.
Примечательно, что в режиме FDD стандарт IEEE 802.16 допускает применение как дуплексных, так и полудуплексных абонентских станций. Последние не способны одновременно принимать и передавать информацию. Для полудуплексных АС, которые в силу конструктивных особенностей сначала принимают информацию и лишь затем передают свои данные, в нисходящем FDD кадре предусмотрена область с механизмом TDMA – для таких станций информация передается в определенных временных интервалах (рис. 3.7). Причем нисходящие пакеты, передаваемые в режиме TDMA, обязательно снабжают преамбулой – синхрпоследовательностью длиной 16 QPSK-символов, чтобы полудуплексные абонентские станции могли при необходимости восстановить синхронность. То есть фактически и в FDD-режиме частично используется принцип доступа к среде передачи в режиме разделения времени.
Важная особенность стандарта IEEE 802.16 – система контроля радиотракта, благодаря которой базовая станция способна контролировать синхронность, несущую частоту и мощность каждой АС и при необходимости изменять/корректировать эти параметры посредством служебных сообщений. Физический уровень стандарта IEEE 802.16 занимается непосредственной доставкой потоков данных между БС и абонентскими станциями. Все же задачи, связанные с формированием структур этих данных, а также управлением работой системы IEEE 802.16, решаются на канальном уровне.
Нисходящий канал в случае FDD при работе с полудуплексными абонентскими станциями

Рис. 3.7
Канальный уровень стандарта IEEE 802.16
Оборудование стандарта IEEE 802.16 призвано формировать транспортную среду для различных приложений (сервисов), поэтому первая задача, решаемая в IEEE 802.16, – это механизм поддержки разнообразных сервисов верхнего уровня. Разработчики стандарта стремились создать единый для всех протокол канального уровня, независимо от особенностей физического канала. Это существенно упрощает связь терминалов конечных пользователей с городской сетью передачи данных – физически среды передачи в разных фрагментах WMAN могут быть различны, но структура данных едина. В одном канале могут работать (не единовременно) сотни различных терминалов еще большего числа конечных пользователей. Этим пользователям необходимы самые разные сервисы (приложения) – потоки голоса и данных с временным разделением, соединения по протоколу IP, пакетная передача речи через IP (VoIP) и т.п. Более того, качество услуг (QoS) каждого отдельного сервиса не должно изменяться при работе через сети IEEE 802.16. Алгоритмы и механизмы доступа канального уровня должны уверенно решать все эти задачи.
Структурно канальный уровень IEEE 802.16 подразделяется на три подуровня (см. рис. 2) – подуровень преобразования сервиса CS[8] , основной подуровень CPS[9] и подуровень защиты PS[10] . На подуровне защиты реализуются функции, обеспечивающие криптографическую защиту данных и механизмы аутентификации (подробнее этот подуровень будет рассмотрен в дальнейшем).
На подуровне преобразования сервиса происходит трансформация потоков данных протоколов верхних уровней для передачи через сети IEEE 802.16. Для каждого типа приложений верхних уровней стандарт предусматривает свой механизм преобразования, но пока описаны и вошли в спецификацию IEEE 802.16 только два – для работы в режиме ATM и для пакетной передачи. Под пакетной передачей подразумевают достаточно широкий набор протоколов, включая IP. Цель работы на CS-подуровне – оптимизация передаваемых потоков данных каждого приложения верхнего уровня с учетом их специфики. Поэтому важнейшая задача, решаемая на данном подуровне, – классификация пакетов/ячеек. От результатов ее зависит и оптимизация передаваемых потоков, и выделение полосы пропускания для каждого из них.
Для оптимизации транслируемых потоков предусмотрен специальный механизм удаления повторяющихся фрагментов заголовков PHS[11] . Действительно, и в ATM, и в пакетном режиме данные передаются отдельными порциями – ячейками и пакетами, соответственно. Каждая такая порция данных состоит, в общем случае, из заголовка и поля данных – фиксированных размеров для ATM (5 и 48 байт, соответственно) и достаточно произвольных при пакетной передаче. Во многих случаях заголовки пакетов и ячеек содержат повторяющуюся информацию, излишнюю при трансляции посредством протокола IEEE 802.16. Механизм PHS позволяет избавиться от передачи избыточной информации: на передающем конце пакеты приложений в соответствии с определенными правилами преобразуются в структуры данных канального уровня IEEE 802.16, на приемном – восстанавливаются.
На основном подуровне канального уровня формируются пакеты данных (MACPDU[12] ), которые затем передаются на физический уровень и транслируются через канал связи. Пакет MACPDU (далее PDU) включает заголовок и поле данных (его может и не быть), за которым может следовать контрольная сумма CRC (рис. 3.8). Заголовок PDU занимает 6 байт и может быть двух типов – общий и заголовок запроса полосы пропускания. Общий заголовок используется в пакетах, у которых присутствует поле данных. В общем заголовке указывается идентификатор соединения CID, тип и контрольная сумма заголовка, а также приводится информация о поле данных (см. табл. 1).
Заголовок запроса полосы применяется, когда АС просит у БС выделить или увеличить ей полосу пропускания в нисходящем канале. При этом в заголовке указывается CID и размер требуемой полосы (в байтах, без учета заголовков физических пакетов). Поля данных после заголовков запроса полосы быть не может.
Пакет канального уровня IEEE 802.16

Рис. 3.8
Таблица 1
Структура заголовка MACPDU (от старшего к младшим битам)
| Поле | Длина, бит |
| Тип заголовка = 0 (признак общего заголовка) | 1 |
| Признак шифрования поля данных | 1 |
| Тип поля данных | 6 |
| Не используется | 1 |
| Признак наличия CRC | 1 |
| Индекс ключа шифрования | 2 |
| Не используется | 1 |
| Длина пакета, включая заголовок (в байтах) | 11 |
| Идентификатор соединения CID | 16 |
| Контрольная сумма заголовка (задающий многочлен |
8 |
Поле данных может содержать подзаголовки канального уровня, управляющие сообщения и собственно данные приложений верхних уровней, преобразованные на CS-подуровне. В стандарте описано три типа подзаголовков канального уровня – упаковки, фрагментации и управления предоставлением канала. Подзаголовок упаковки используется, если в поле данных одного PDU содержатся несколько пакетов верхних уровней; подзаголовок фрагментирования – если, напротив, один пакет верхнего уровня разбит на несколько PDU. Подзаголовок управления предоставлением канала предназначен, чтобы АС сообщала БС изменение своих потребностей в полосе пропускания (число байт в восходящем канале для определения соединения, сообщение о переполнении выходной очереди в АС, требование регулярного опроса со стороны БС для выяснения потребной полосы).
Управляющие сообщения – это основной механизм управления системой IEEE 802.16. Всего зарезервировано 256 типов управляющих сообщений, из них 30 описано в стандарте IEEE 802.16. Описание профилей пакетов, управление доступом, механизмы криптографической защиты, динамическое изменение работы системы и т.д. – все функции управления, запроса и подтверждения реализуются через управляющие сообщения. Рассмотренные выше карты входящего/нисходящего каналов (UL-/DL-MAP) также являются управляющими сообщениями. Формат управляющих сообщений прост -- поле типа сообщения (1 байт) и поле данных (параметров).
Управление соединениями в IEEE 802.16
Ключевой момент в стандарте IEEE 802.16 – это понятие «сервисного потока» и связанные с ним понятия «соединение» и «идентификатор соединения» (CID). Поскольку система IEEE 802.16 – лишь транспортная среда, ее инфраструктура фактически формирует коммуникационные каналы для потоков данных различных приложений верхних уровней (сервисов) – передача видеоданных, АТМ-потоки, IP-потоки, передача телефонных мультиплексированных пакетов типа E1 и т.д. Каждое из таких приложений обладает своими требованиями к скорости передачи, надежности (качеству обслуживания), криптозащите и т.д. Соответственно, и данные каждого приложения следует передавать через транспортную среду с учетом этой специфики. Сервисным потоком в стандарте IEEE 802.16 называется поток данных, связанный с определенным приложением. В этом контексте соединение – это установление логической связи на канальных уровнях на передающей и приемной стороне для передачи сервисного потока. Каждому соединению присваивается 16-ти разрядный идентификатор CID, с которым однозначно связаны тип и характеристики соединения. В частности, по запросу предоставления/изменения полосы пропускания со стороны АС базовая станция стазу понимает, с каким сервисным потоком имеет дело и какие условия передачи ему нужно обеспечить. Так при начальной инициализации в сети каждой АС назначается три CID для служебных сообщений трех уровней. Принципиально, что одна АС может устанавливать множество различных соединений с различными CID. Характерный пример – когда связь крупного офиса с телекоммуникационным узлом организована через систему IEEE 802.16. В этом случае одна АС в офисе может поддерживать совершенно разные приложения – телефонию, телевидение, доступ в Интернет и в распределенную корпоративную сеть и т.д. Каждое из этих приложений предъявляет свои требования к QoS и скорости передачи, которые нужно удовлетворить. Посредством CID базовая станция узнает, с чем имеет дело, и предоставляет необходимый ресурс.
Не менее важным для понимания идеологии IEEE 802.16 является принцип предоставления доступа к каналу по запросу (DAMA[13] ). Ни одна АС не может ничего передавать, кроме запросов на регистрацию и предоставление канала, пока БС не разрешит ей этого – т.е. отведет временной интервал в восходящем канале и укажет его расположение в карте UL-MAP. Абонентская станция может запрашивать как определенный размер полосы в канале, так и просить об изменении уже предоставленного ей канального ресурса.
Стандарт IEEE 802.16 предусматривает два режима предоставления доступа – для каждого отдельного соединения (GPC[14] ) и для всех соединений определенной АС (GPSS[15] ). Режим GPSS обязателен для всех устройств в диапазоне 10-66 ГГц. Очевидно, что первый механизм обеспечивает большую гибкость, однако второй существенно сокращает объем служебных сообщений и требует меньшей производительности от аппаратуры.
Запросы могут быть как спорадическими для БС, так и планированными. В первом случае запросы реализуются посредством пакетов, состоящих из заголовка запроса, передаваемых на конкурентной основе в специально выделенном для них интервале восходящего канала. Процедура плановых запросов полосы в восходящем канале называется опросом[16] – БС как бы опрашивает АС об их потребностях. Реально это означает, что базовая станция предоставляет конкретной АС интервал для передачи запроса о предоставлении/изменении полосы, т.е. никакой конкуренции уже нет.
Опрос может быть в «реальном времени» – интервалы для запроса предоставляются АС с тем же периодом, с каким у нее может возникнуть потребность в изменении условий доступа (например, в каждом кадре). Этот режим удобен для приложений, когда пакеты данных следуют с фиксированным периодом, но их размер не стабилен (например, видео-MPEG). Другой вариант опроса – вне «реального времени». В этом случае БС предоставляет АС интервал для запроса также периодически, но этот период существенно больше – например, 1 с. Характерное приложение, для которого эффективен этот механизм, – FTP-протокол.
Для приложений, у которых периодичность и размер пакетов фиксированы (например, в телефонии шина E1), предусмотрен механизм доступа к каналу без требования (UGS[17] ). В этом случае БС с заданным периодом предоставляет АС для передачи данных интервалы фиксированного размера, соответствующие скорости потока данных. Если в ходе работы АС нужно изменить условия доступа, она делает это посредством специального MAC-подзаголовка управления предоставлением канала. В этом подзаголовке есть специальный флаг «опроси меня», установив который, АС просит у БС интервал для запроса новой полосы. Существенно, что в упомянутом подзаголовке есть специальный бит индикации переполнения выходного буфера передатчика АС, что приводит к потере данных[18] . БС может отреагировать на появление этого сигнала, например, увеличив полосу для данной АС.
3.2Стандарт IEEE 802.16-2004
Стандарты группы IEEE 802.16 включали три основных документа – собственно стандарт IEEE 802.16-2001[19] , описывающий общие принципы сети и сосредотачивающийся на диапазоне 10-66 ГГц, и два дополнения – IEEE 802.16c-2002 (особенности работы в диапазоне 10-66 ГГц) и IEEE 802.16a-2003 – сети в диапазоне 2-11 ГГц. Все три документа – IEEE 802.16-2001, IEEE 802.16a и IEEE 802.16c – фактически представляли собой набор исправлений и дополнений к базовому стандарту IEEE 802.16. Разумеется, работать с тремя документами вместо одного неудобно. Кроме того, сразу же после публикации стандартов стали появляться многочисленные исправления и дополнения.
Труд учитывать поправки и дополнения взяла на себя рабочая группа IEEE 802.16d. Непосредственно к работе по созданию единого документа, с учетом всех поправок она приступила к 11 сентября 2003 года[20] . Не прошло и года, как 24 июня 2004 года был официально утвержден новый стандарт – IEEE 802.16-2004, заменяющий собой документы IEEE 802.16-2001, IEEE 802.16c-2002 и IEEE 802.16a-2003. Дата его публикации – 1 октября 2004 года.
Структура и особенности стандарта IEEE 802.16-2004
Новый документ – это компиляция уже существующих стандартов, однако с достаточно серьезными изменениями и уточнениями в отдельных главах. Главным образом они затронули главы, входившие ранее в IEEE 802.16a. Стандарт описывает принципы построения сетей регионального масштаба в диапазонах до 66 ГГц – точнее, их физический и канальный уровни. Для этого предусмотрено пять режимов (см табл. 2). Из них только WirelessMAN-SC предназначен для работы в диапазоне 10-66 ГГц. Он ориентирован на магистральные сети («точка-точка», «точка-многоточка»), работающие в режиме прямой видимости (так как затухание столь высокочастотных сигналов при отражении очень велико) с типичными скоростями потока данных 120 Мбит/с и шириной канала порядка 25 МГц. Это фактически описанный в документе IEEE 802.16-2001 радиоинтерфейс широкополосного доступа с модуляцией одной несущей на канал (SC[21] ), который рассматривался выше.
Таблица 2
Основные режимы в стандарте IEEE 802.16-2004
| Режим | Частотный диапазон, ГГц | Опции | Метод дуплексирования |
| WirelessMAN-SC | 10-66 | TDD/FDD | |
| WirelessMAN-SCa | <11 | AAS/ARQ/STC | TDD/FDD |
| WirelessMAN-OFDM | <11 | AAS/ARQ/STC/Mesh | TDD/FDD |
| WirelessMAN-OFDMA | <11 | AAS/ARQ/STC | TDD/FDD |
| WirelessHUMAN | <11 | DFS/AAS/ARQ/Mesh/STC | TDD |
Остальные режимы разработаны для диапазонов менее 11 ГГц. Один из них – WirelessMAN-SCa – это «низкочастотная» вариация WirelessMAN-SC (с рядом дополнительных механизмов, в частности допускается 256-позиционная квадратурная модуляция 256-QAM). Другой, WirelessHUMAN, предназначен для работы в безлицензионных диапазонах (США и Европа). Зато два оставшиеся режима – WirelessMAN-OFDM и WirelessMAN-OFDMA – это принципиально новые по отношению к IEEE 802.16-2001 методы, и на них-то мы обратим особое внимение.
Отметим, что все режимы диапазона ниже 11 ГГц отличают три характерных детали – это механизмы автоматического запроса повторной передачи (ARQ[22] ), поддержка работы с адаптивными антенными системами (AAS[23] ) и пространственно-временное кодирование (STC[24] ) при работе с AAS. Кроме того, помимо централизованной архитектуры «точка-многоточка», в диапазоне ниже 11 ГГц предусмотрена поддержка архитектуры Mesh-сети[25] . Фактически Mesh-сеть является аналогом ad-hoc-сетей стандарта IEEE 802.11. Примечательно, что если в документе IEEE 802.16a шла речь о диапазоне 2-11 ГГц, то в новом стандарте нижняя граница так четко не оговаривается[26] .
Еще одна особенность стандарта – режим WirelessHUMAN[27] . Основные отличия этого режима – это использование только временного дуплексирования, режим динамического распределения частот (DFS[28] ) и механизм сквозной нумерации частотных каналов. Однако поскольку в России (да и в Беларуси) безлицензионных диапазонов в гигагерцовой области нет, и ничего подобного нам не грозит, подробно останавливаться на данном режиме не будем.
Принципиально, что существенное внимание в стандарте IEEE 802.16-2004 уделено качеству обслуживания (QoS), а также механизмам защиты данных и соединений. Учитывая, что IEEE 802.16 принципиально ориентирован на работу в лицензируемых диапазонах, а также его фактическое общемировое признание (в Европе он принят ETSI под именем HiperMAN) и поддердку ведущих производителей оборудования (объединившихся в WiMAXForum), можно с большой уверенностью предположить, что в ближайшие годы нас ожидает новая волна «беспроводной революции»[29] .
Канальный уровень IEEE 802.16-2004
Стандарт IEEE 802.16 регламентирует работу на физическом и канальном уровнях. Для поддержки протоколов верхнего уровня (ATM, IP и т.д.) предусмотрен подуровень «преобразования сервиса», основная задача процедур которого – распознать и классифицировать тип данных для эффективной их передачи через сети IEEE 802.16. Для оптимизации транслируемых потоков предусмотрен специальный механизм удаления повторяющихся фрагментов заголовков PHS пакетов или ATM-ячеек верхних уровней. Механизм PHS позволяет избавиться от передачи избыточной информации: на передающем конце пакеты приложений в соответствии с определенными правилами преобразуются в структуры данных канального уровня IEEE 802.16, на приемном – восстанавливаются.
Весь поток данных в сетях IEEE 802.16 – это поток пакетов. На основном подуровне канального уровня формируются пакеты данных (MACPDU), которые затем передаются на физический уровень, инкапсулируются в физические пакеты и транслируются через канал связи. Пакет PDU включает заголовок и поле данных (его может и не быть), за которым может следовать контрольная сумма CRC. Заголовок PDU занимает 6 байт и может быть двух типов – общий и заголовок запроса полосы пропускания. Общий заголовок используется в пакетах, у которых присутствует поле данных. В этом заголовке указывается идентификатор соединения (CID), тип и контрольная сумма заголовка, а также приводится информация о наличии в поле данных подзаголовков и сообщений ARQ.
Заголовок запроса полосы (также 6 байт) применяется, когда АС просит у БС выделить или увеличить ей полосу пропускания в нисходящем канале. При этом в заголовке указывается CID и размер требуемой полосы (в байтах, без учета заголовков физических пакетов). Поля данных после заголовков запроса полосы нет.
Поле данных может содержать: подзаголовки MAC, управляющие сообщения и собственно данные приложений верхних уровней, преобразованные на CS-подуровне. МАС-подзаголовки могут быть пяти типов – упаковки, фрагментации, управления предоставлением канала, а также подзаголовки Mesh-сети и подзаголовок канала быстрой обратной связи[30] .
Управляющие сообщения – это основной механизм управления системой IEEE 802.16. Всего зарезервировано 256 типов управляющих сообщений, из них используются только 48. Формат управляющих сообщений прост – поле типа сообщения (1 байт) и поле данных (параметров) произвольной длины.
Доступ к каналу предоставляется исключительно базовой станцией по предварительному запросу. Начальная инициализация АС и запрос канала происходят на основе механизма конкурентного доступа в специально отведенных для этого временных интервалах. БС назначает АС время и длительность доступа к каналам в зависимости от типов данных и приоритетов. Канальный ресурс конкретной АС может изменяться посредством опроса (поллинга) со стороны БС или специальных управляющих сообщений со стороны АС при очередной передаче данных. Как видим различия в стандартах IEEE 802.16-2002 и IEEE 802.16 на канальных уровнях весьма несущественны.
3.3Режим WirelessMAN-OFDM
На физическом уровне стандарт IEEE 802.16 предусматривает три принципиально различных метода передачи данных: метод модуляции одной несущей (SC, а в диапазоне ниже 11 ГГц – SCa), метод модуляции посредством ортогональных несущих OFDM[31] и метод множественного доступа посредством ортогональных несущих OFDMA[32] .
Режим OFDM – это метод модуляции потока данных в одном частотном канале (шириной 1-2 МГц и более) с центральной частотой
. Деление же на каналы, как и в случае SC – частотное. Напомним, что при модуляции данных посредством ортогональных несущих в частотном канале выделяются
поднесущих так, что
, где
- целое число из диапазона
(в данном случае
). Расстояние между ортогональными несущими
, где
- длительность передачи данных в символе.
Помимо данных OFDM-символ включает защитный интервал длительностью
, так что общая длительность OFDM-символа
(см. рис. 3.9). Защитный
OFDM-символ

Рис. 3.9
интервал представляет собой копию оконечного фрагмента символа. Его длительность
может составлять
и
от
.
Каждая поднесущая модулируется независимо посредством квадратурной амплитудной модуляции. Общий сигнал вычисляется методом быстрого преобразования Фурье (ОБПФ) как

, где
- комплексное представление символа квадратурной модуляции (QAM-символа). Комплексное представление удобно, поскольку генерация радиосигнала происходит с помощью квадратурного модулятора в соответствии с выражением
, где
и
– синфазное и квадратурное (целое и мнимое) значения комплексного символа, соответственно.
Для работы алгоритмов БПФ/ОБПФ желательно, чтобы количество точек соответствовало
. Поэтому число несущих выбирают равным минимальному числу
, превосходящему
. В режиме OFDM стандарта IEEE 802.16
, соответственно
. Из них 55
образуют защитный интервал на границах частотного диапазона канала. Центральная частота канала (
) и частоты защитных интервалов не используются (т.е. амплитуды соответствующих им сигналов равны нулю).
Из остальных 200 несущих восемь частот – пилотные (с индексами
), остальные разбиты на 16 подканалов по 12 несущих в каждом, причем в одном подканале частоты расположены не подряд. Например, подканал 1 составляет несущие с индексами -100, -99, -98, -37, -36, 1, 2, 3, 64, 65, 66. Деление на подканалы необходимо, поскольку в режиме WirelessMAN-OFDM предусмотрена (опционально) возможность работы не во всех 16, а в одном, двух, четырех и восьми подканалах -- некий прообраз схемы множественного доступа OFDMA. Для этого каждый подканал и каждая группа подканалов имеют свой индекс (от 0 до 31).
Длительность полезной части
OFDM-символа зависит от ширины полосы канала BW и системной тактовой частоты (частоты дискретизации)
;
. Соотношение
нормируется и в зависимости от ширины полосы канала принимает значение 86/75 (BW кратно 1,5 МГц), 144/125 (BW кратно 1,25 МГц), 316/275 (BW кратно 2,75 МГц), 57/50 (BW кратно 2 МГц) и 8/7 (BW кратно 1,75 МГц и во всех остальных случаях).
Защитный интервал при OFDM-модуляции – мощное средство борьбы с межсимвольными помехами (межсимвольной интерференции, МСИ), возникающими вследствие неизбежных в городских условиях переотражений и многолучевого распространения сигнала. МСИ приводит к тому, что в приемнике на прямо распространяющийся сигнал накладывается переотраженный сигнал, содержащий предыдущий символ. При модуляции OFDM переотраженный сигнал попадает в защитный интервал и вреда не причиняет. Однако этот механизм не предотвращает внутрисимвольную интерференцию – наложение сигналов с одним и тем же символом, пришедших с фазовой задержкой. В результате информация может полностью исказиться или (например, при фазовом сдвиге 1800 ) просто исчезнуть. Для предотвращения потери информации при пропадании отдельных символов или их фрагментов стандарт IEEE 802.16-2004 предусматривает эффективные средства канального кодирования.
Кодирование данных на физическом уровне включает три стадии – рандомизацию, помехозащитное кодирование и перемеживание. Рандомизация происходит почти так же, как в предыдущем стандарте, то есть на блоки данных накладывается псевдослучайная последовательность, вырабатываемая регистром сдвига с характеристическим многочленом
.
В нисходящем потоке генератор ПСП инициализируется начальным заполнением
. Начиная со второго пакета кадра генератор ПСП инициализируется на основе идентификационного номера базовой станции BSID, идентификатора профиля пакета DIUC[33]
и номера кадра (см. рис. 3.10). В восходящем потоке все происходит аналогично, с той лишь разницей, что инициализация генератора ПСП по схеме, приведенной на
Формирование вектора инициализации ПСП для рандомизации нисходящего потока OFDM

Рис. 3.10
рис. 12, происходит с первого пакета (вместо DIUC используется UIUC[34]
). Кодирование данных сначала происходит с помощью кода Рида-Соломона над
, а потом данные кодируются сверточным кодом. В базовом виде код Рида-Соломона оперирует блоками исходных данных по 239 байт, формируя из них кодированный блок размером 255 байт (добавляя 16 проверочных байт). Такой код способен восстановить до 8 поврежденных байт. Поскольку реально используются блоки данных меньшей длины
, перед ними добавляются (
) нулевых байт. После кодирования эти байты удаляются. Если необходимо сократить число проверочных символов, так чтобы уменьшить число восстанавливаемых байт
, используются только первые
проверочных байтов. Обязательные для поддержки в IEEE 802.16-2004 варианты кодирования приведены в таблице 3.
Таблица 3
Основные режимы в стандарте IEEE 802.16-2004
| Модуляция | Блок данных до кодирования, байт | Код Рида-Соломона | Скорость сверточного кодирования | Суммарная скорость кодирования | Блок данных после кодирования, байт |
| BPSK | 12 | (12,12,0) | 1/2 | 1/2 | 24 |
| QPSK | 24 | (32,24,4) | 2/3 | 1/2 | 48 |
| QPSK | 36 | (40,36,2) | 5/6 | 3/4 | 48 |
| 16-QAM | 48 | (64,48,8) | 2/3 | 1/2 | 96 |
| 16-QAM | 72 | (80,72,4) | 5/6 | 3/4 | 96 |
| 64-QAM | 96 | (108,96,6) | 3/4 | 2/3 | 144 |
| 64-QAM | 108 | (120,108,6) | 5/6 | 3/4 | 144 |
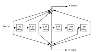
После кодера Рида-Соломона данные поступают в сверточный кодер (рис. 3.11) с порождающими последовательностями (генераторами кода)
(для выхода X) и
(для Y) – так называемый стандартный код NASA. Его базовая скорость кодирования – 1/2, т.е. из каждого входного бита он формирует пару кодированных бит X и Y. Упуская из последовательности пар элементы
или
, можно получать различные скорости кодирования. Так, скорости 2/3 соответствует последовательность
, скорости 3/4 –
, 5/6 –
.
Кодер Рида-Соломона не используется с двухпозиционной модуляцией BPSK (например, при начальной инициализации АС или запросе полосы). Он также
Схема сверточного кодера
Рис. 3.11
пропускается, когда используется часть субканалов OFDM. В этом случае скорость сверточного кодирования принимается равной общей скорости кодирования (соответственно, размер исходного блока данных умножается на число используемых субканалов, деленное на 16).
Помимо кодирования следует процедура перемежения – перемешивания битов в пределах блока кодирования данных, соответствующего OFDM-символу. Эта операция проводится в две стадии. Цель первой – сделать так, чтобы смежные биты оказались разнесенными в разные половины последовательности. Все это делается для того, чтобы при групповых ошибках в символе повреждались несмежные биты, которые легко восстановить при декодировании. Перемежение реализуется в соответствии с фомулами

где
и
– номер исходного
-го бита после первой и второй стадии перемежения, соответственно;
– число кодированных бит в ODFM-символе (при заданном числе субканалов),
– 1/2 числа бит на несущую (1/2/4/6 бит для BPSK/QPSK/16-QAM/64-QAM, соответственно, для BPSK
). Функция
– это наибольшее целое число, не превосходящее
.
После перемежения начинается стадия модуляции. Исходя из выбранной схемы модуляции (BPSK / QPSK / 16-QAM / 64-QAM), блок представляется в виде последовательности групп бит, соответствующих модуляционным символам (по 1 / 2 / 4 / 6 бит). Каждой группе ставится в соответствие значения
и
из векторных диаграмм Грея (рис. 3.12), которые затем используются при непосредственной модуляции несущей.
Векторные диаграммы Грея (представление модуляционных символов) для BPSK, QPSK, 16-QAM, 64-QAM.

Рис. 3.12.
Для усреднения амплитуд квадратурных символов используются нормализованные значения
и
, т.е. умноженные на коэффициенты
(для QPSK![]()
, для 16-QAM
, для 64-QAM
).
Пилотные несущие модулируются посредством BPSK. Значения сигналов на этих несущих определяются на основании двоичной ЛРП
с характеристическим многочленом
, причем в нисходящем субкадре
– номер символа относительно начала кадра, в восходящем – номер символа относительно начала пакета (см. рис. 3.13). Начальные состояния регистра сдвига, реализующего ЛРП, для нисходящего и восходящего потоков различны (
и
, соответственно). Собственно значения BPSK-символов вычисляются как
;
в нисходящем канале и
;
– в восходящем.
После определения модуляционных символов посредством ОБПФ вычисляется сам радиосигнал и передается в передатчик. При приеме все процедуры производят в обратном порядке.
В режиме ODFM на физическом уровне для сетей с архитектурой «точка-многоточка» кадровая структура передачи принципиально мало чем отличается от режима SC. Так же как и в высокочастотной области, информационный обмен происходит посредством последовательности кадров (фреймов). Каждый фрейм (рис. 3.14) делится на два субкадра – нисходящий (DL – от БС к АС) и восходящий (UL – от АС
Генерация модулирующей последовательности для пилотных несущих

Рис. 3.13
к БС). Разделение на восходящий и нисходящий каналы – как временное (TDD), так и частотное (FDD). В последнем случае DL и UL транслируются одновременно, в разных частотных диапазонах.
Нисходящий субкадр включает преамбулу, управляющий заголовок кадра (FCH[35] ) и последовательность пакетов данных. Преамбула в нисходящем канале – посылка из двух OFDM-символов (длинная преамбула), предназначенная для синхронизации.
Структура OFDM-кадров при временном дуплексировании

Рис. 3.14
Первый OFDM-символ использует несущие с индексами, кратными 4, второй – только честные несущие (модуляция QPSK).
За преамбулой следует управляющий заголовок кадра – один OFDM-символ с модуляцией BPSK и стандартной схемой кодирования (скорость кодирования – 1/2). Он содержит так называемый префикс кадра нисходящего канала (DLFP[36] ), который описывает профиль и дину первого (или нескольких начальных) пакета в DL-субкадре.
В первый пакет входят широковещательные сообщения (предназначенные всем АС) – карты расположения пакетов DL-MAP, UL-MAP, дескрипторы нисходящего/восходящего каналов DCU/UCD, другая служебная информация. Каждый пакет обладает своим профилем (схема кодирования, модуляция и т.д.) и передается посредством целого числа OFDM-символов. Точки начала и профили всех пакетов, помимо первого, содержатся в DL-MAP.
Нисходящий субкадр содержит интервал конкурентного доступа, включающий периоды для начальной инициализации АС (вхождение в сеть) и для запроса полосы передачи. Далее следуют временные интервалы, назначенные БС определенным АС для передачи. Распределение этих интервалов (точки начала) содержится в сообщении UL-MAP. АС в своем временном интервале начинает трансляцию с передачи короткой преамбулы (один OFDM-символ, использует только четные несущие). За ним следует собственно информационный пакет, сформированный на канальном уровне.
Длительность OFDM-кадров может составлять 2,5; 4; 5; 8; 10; 12,5; и 20 мс. Заданный базовой станцией, период построения кадров не может изменяться, поскольку в этом случае потребуется ресинхронизация всех АС.
Запрос на установление соединения не отличается от принятого в стандарте IEEE 802.16, за исключением дополнительного режима «концентрированного» запроса[37] . Он предназначен только для станций, способных работать с отдельными субканалами. В этом режиме в интервалах конкурентного доступа (заданных в UL-MAP) АС может передать короткий 4-разрядный код на одном из 48 субканалов, каждый из которых включает четыре несущих. Всего предусмотрено восемь кодов. Таблица кодов и подканалов приведена в тексте стандарта IEEE 802.16. Код и номера канала АС выбирает случайным образом.
Получив кодовое сообщение, БС предоставляет АС интервал для передачи «обычного» запроса на предоставление доступа (заголовки запроса канального уровня) – если это возможно. Однако в отличие от других механизмов, БС в UL-MAP не указывает идентификатор запросившей ее станции, а приводит номера кода запроса, подканала, а также порядковый номер интервала доступа, в течение которого был передан запрос. По этим параметрам АС и определяет, что интервал для запроса полосы передачи предназначен ей. Выбор момента для передачи 4-разрядного кода запроса доступа происходит случайным образом, по описанному выше алгоритму обращения к каналу конкурентного доступа.
Отметим, что в режиме OFDM канальный ресурс может предоставляться не только во временной области, но в отдельных подканалах (группах подканалов), если БС и абонентские станции поддерживают такую возможность. Одно из наиболее важных применений такой опции – Mesh-сеть.
3.4 Mesh-сеть
Формально Mesh-сеть – это вид топологии сети IEEE 802.16 в режиме OFDM, и ее физический уровень – это OFDM. Поэтому различия Mesh-сети с уже рассмотренными режимами проявляются не только, да и не столько на физическом уровне. Основное отличие Mesh-сети от рассматриваемой до сих пор архитектуры «точка-многоточка» – в том, что если в последнем случае АС может общаться только с БС, то в Mesh-сети возможно взаимодействие непосредственно между АС. Поскольку сети стандарта IEEE 802.16 ориентированы на работу с широкими частотными каналами, Mesh-сети вошли в стандарт вовсе не с целью создания одноранговых локальных сетей – для этого есть стандарты группы IEEE 802.11. Причина в ином – необходим инструмент построения широкополосной сети, в которой трафик может передаваться по цепочке из нескольких станций, ликвидируя тем самым проблемы передачи при отсутствии прямой видимости. Соответственно и все механизмы управления, в принципе позволяющие построить децентрализованную распределенную сеть, ориентированы все же на древовидную архитектуру, с выделенной базовой станцией (корневой узел) и доминирующими потоками БС-АС.
В Mesh-сети все станции (узлы) формально равноправны. Однако практически всегда обмен трафика Mesh-сети с внешним окружением происходит через один определенный узел (см. рис. 3.15). Такой узел называют базовой станцией Mesh-сети, именно на него возлагается часть необходимых для управления Mesh-сетью функций. При этом управление доступом может происходить либо на основе механизма распределенного управления, либо централизованным способом, под управлением БС. Возможна и комбинация этих методов.
Базовое понятие в Mesh-сети – соседи. Под соседями определенного узла понимают все узлы, которые могут устанавливать с ним непосредственное соединение. Все они образуют соседское окружение. Узлы, связанные с заданным узлом через соседские узлы, называют соседями второго порядка. Могут быть соседи третьего порядка и т.д.
В Mesh-сети нет понятия восходящих/нисходящих каналов. Весь обмен происходит посредством кадров. Станции передают сообщения либо в отведенные им временные интервалы (в соответствии с предшествующим значением каналов), либо получают доступ к каналам произвольным (случайным) образом. Каждый узел имеет уникальный 48-разрядный MAC-адрес. Кроме того, для идентификации внутри Mesh-сети станциям присваивается 16-разрядный сетевой идентификатор. Каждый узел постоянно хранит список данных обо всех своих соседях (с указанием удаленности, сектора для направленной антенны, примерной необходимой мощности передатчика для связи, задержки распространения сигнала и т.п.) и транслирует его в сеть с заданной периодичностью. На основании этих списков от каждого из узлов происходит управление сетью.
Кадр Mesh-сети делится на управляющий субкадр и субкадр данных (рис. 3.16). Длина управляющего субкадра – переменная величина, задаваемая БС. Управляющий
Пример Mesh-сети Структура кадра Mesh-сети


Рис. 3.15 Рис. 3.16
субкадр представляет собой набор пакетов МАС-уровня с тем отличием, что сразу после общего заголовка МАС-пакета следует подзаголовок Mesh-сети. Управляющий субкадр, в зависимости от реализуемых функций, может быть двух типов – управления сетью[38] и управления очередностью доступа к каналам связи[39] . В субкадрах всегда используется модуляция QPSK со скоростью кодирования 1/2.
Субкадры управления включают интервалы для подключения к сети новых устройств[40] и следующие за ними сообщения «конфигурация сети». Сообщения типа «конфигурация сети» содержат всю необходимую информацию о составе сети. Они же реализуют процедуры управления. Эти сообщения генерирует каждый узел и транслирует по сети через свое соседское окружение. Среди передаваемой информации – списки соседей каждого узла, идентификационный номер БС и число ее соседей, номер логического канала для передачи графика доступа к каналам, удаленность узла (ранг соседства) от БС и т.д. Посредством таких сообщений с заданной периодичностью транслируется дескриптор сети – таблица, полностью описывающая текущие параметры сети. Среди них – длительность кадров, длина управляющего субкадра, число интервалов для сообщений децентрализованного распределения ресурсов, периодичность следования субпакетов распределения ресурсов, профили пакетов, тип кодирования, соответствие логических каналов физическим и т.п. Дескриптор сети передается от БС ее соседскому окружению, от него узлам со следующим рангом соседства и т.д. Периодичность передачи дескриптора сети нормирована.
«Сетевой вход» -- это интервал, в течение которого новый узел может послать сообщение (NENT) о своем намерении подключиться к сети[41] . Перед этим он должен принять сообщение о конфигурации сети, выбрать узел для подключения, синхронизироваться с ним и лишь затем отправлять запрос. В ответ узел либо откажет в доступе, либо назначит новому узлу сетевой идентификатор, канал и временной интервал для проведения процедур аутентификации.
Распределение канальных ресурсов в Mesh-сети может быть централизованным и децентрализованным (распределенным). В свою очередь децентрализованное распределение бывает координированным с БС и не координированным.
Децентрализованное распределение ресурсов подразумевает, что распределение происходит в пределах одной группы соседей (т.е. между станциями, способными непосредственно связываться друг с другом). При координированном децентрализованном распределении узлы обмениваются между собой специальными сообщениями управления распределением (DSCH[42] ). Координированность заключается в том, что период выдачи таких сообщений каждой станцией определен и известен ее соседям. Координированные DSCH-сообщения передаются в субкадрах управления очередностью доступа в оговоренных в сетевом дескрипторе интервалах. Некоординированные DSCH-сообщения передаются в субкадре данных.
DSCH-сообщения – это запросы на получение канального ресурса и ответные сообщения с предоставлением (подтверждением) свободного ресурса (временного интервала в субкадре данных). Ресурс предоставляется соседом под конкретное соединение.
Централизованное распределение ресурсов подразумевает древовидную топологию сети с БС в вершине. Оно реализовано посредством двух типов сообщений – централизованного конфигурирования CSCF и централизованного планирования CSCH. Эти управляющие сообщения размещаются в начале субкадра управления графиком доступа. Используя сообщения централизованного планирования CSCH, каждый узел определяет потребность в трафике своих дочерних узлов (т.е. трафик от (к) БС проходит через данный узел) и сообщает свою потребность вышестоящему узлу – вплоть до БС. Проанализировав потребность, БС рассылает сообщение CSCH, информируя каждый узел о выделенной ему полосе пропускания (в бит/с) в восходящем и нисходящем направлениях. Исходя из этих данных, каждый узел уже сам запрашивает (или назначает) расположение пакетов в субкадре данных у (для) своих соседских узлов посредством сообщений децентрализованного планирования DSCH.
Сообщения централизованного конфигурирования CSCF формируются БС и транслируются по сети для информирования всех ее узлов о текущем состоянии. CSCF включает такую информацию, как число доступных логических каналов и их перечень, перечень узлов в сети с указанием числа дочерних узлов для каждого из них, а также профили восходящих/нисходящих пакетов для каждого дочернего узла.
3.5Стандарт IEEE 802.16e-2005
Стандарт IEEE 802.16e был утвержден в конце 2005 года и, по сути, является набором исправлений существующего стандарта 802.16-2004 с дополнением «Физический и канальный уровни для совместной мобильной и фиксированной работы в лицензируемых диапазонах». Именно эти дополнения (из-за которых стандарт IEEE 802.16e называют «мобильный WiMAX») и открывают путь стандарту 802.16 в мир мобильных приложений. В результате этого он становится конкурентом технологий сотовой связи третьего и последующих поколений, равно как и других перспективных технологий беспроводного доступа.
Понятие «мобильность» относят к двум категориям абонентов – к так называемым номадическим («кочующим») и к собственно подвижным. Номадические абоненты могут перемещаться в пределах действия сети, но в момент сеансов связи они локализованы (находятся в зоне одного и того же сегмента базовой станции) – например, пользователи ноутбуков, которые могут включить их дома, в офисе, на скамейке в парке и т.п. Подвижные абоненты должны иметь доступ к сети непосредственно в процессе движения (тот же пользователь с ноутбуком в движущемся автомобиле). Если для номадических абонентов важна быстрая регистрация в любой точке сети (в идеале – сети любого провайдера), то обеспечить подлинную подвижность гораздо сложнее. Прежде всего, необходимы процедуры передачи абонента от одной БС к другой (или между различными сегментами одной БС) так, чтобы сам абонент этого не ощущал. Это – функции так называемой эстафетной передачи (хэндовер).
Кроме того, мобильность абонентов диктует совершенно иные требования к управлению ресурсами сети и к возможности их оперативного перераспределения. Ужесточаются и требования к вторичному использованию частотного ресурса сети. Именно поэтому в новой редакции стандарта значительное внимание уделено возможности пропорционального уменьшения частотной полосы канала, а также технологиям многоканальных антенных систем (MIMO). Для мобильных устройств очень важно снизить энергопотребление, чему способствуют специальные режимы и процедуры нового стандарта.
Помимо собственно мобильности, особое внимание IEEE 802.16e уделяет проблемам качества предоставляемых услуг (QoS). Ведь IEEE 802.16 рассматривается как стандарт предоставления услуг операторского класса, в том числе – и для мобильных абонентов. Поэтому вопрос QoS для этой технологии играет первостепенную роль.
Кроме того, мобильность автоматически подразумевает усложнение сетевой архитектуры. Если при фиксированном доступе АС общается с единственной назначенной ей БС, то мобильная станция (МС) должна знать свое окружение, общаться одновременно с несколькими БС, переключаться с одной на другую и т.п. Эти требования обусловили появление в стандарте IEEE 802.16e понятий «сервисной БС» и «соседней БС». Сервисная БС для определенной МС – это базовая станция, на которой МС последний раз выполнила процедуру регистрации, при начальном вхождении в сеть и при хэндовере. С сервисной БС абонентская станция работает в обычном режиме. Соседняя БС – это базовая станция, отличная от сервисной, трансляцию с которой (нисходящий поток) способна принять МС.
На канальном уровне нововведения и изменения связаны с QoS. Понятие «соединение»[43] заменено на «транспортное соединение». Сервисный поток[44] (со всеми его свойствами) определяется не для всей сети, а только для обмена между конкретной парой БС-АС. Особо отмечено, что каждому сервисному потоку с идентификатором SFID ставится в соответствие единственное транспортное соединение с уникальным идентификатором CID.
Поскольку мобильность предполагает миграцию абонента между различными сетями, вводится понятие «глобальный сервисный класс». От существовавшего понятия сервисного класса[45] его отличает то, что имя глобального сервисного остается единым и постоянным для всех БС, и никакая отдельная БС не может его изменить. Таким образом, глобальный сервисный класс – это инструмент управления QoS в рамках глобальной сети и/или объединения нескольких сетей. Имя глобального сервисного класса представляет собой набор из восьми параметров (плюс один резервный) длиной 32 бита (см. таблицу 4).
Помимо сервисных классов новый стандарт вводит понятие типов служб доставки данных. В отличие от сервисных классов, тип службы доставки не подразумевает присвоения параметрам соединения каких-либо значений, а лишь обозначает список нормируемых для каждой службы параметров. Названия служб ассоциируются с типом планирования запросов на предоставление ресурсов, более того, у восходящих соединений их названия совпадают. Всего предусмотрено пять типов служб доставки:
- доставка без требования (UGS[46] );
- доставка в реальном времени с переменной скоростью (RT-VR);
-доставка вне реального времени с переменной скоростью и расширенными возможностями (ERT-VR);
- доставка вне реального времени с переменной скоростью (NRT-VR);
- доставка по мере возможности (BE[47] ).
Служба доставки без требования UGS предполагает, что оговоренные ресурсы предоставляются на периодической основе. Она предназначена для приложений реального времени, транслирующих данные с известной фиксированной скоростью. Причем размеры МАС-пакетов могут быть различными. Для UGS нормируются такие параметры, как толерантность к джиттеру, размер блоков данных (если они
Таблица 4
Формат имени глобального сервисного класса
| Позиция | Название | Размер, бит |
| I | Признак восходящего/нисходящего потока | 1 |
| S | Максимальная скорость непрерывного трафика (1200-1921000 бит/с) | 6 |
| T | Признак привилегированного трафика | 1 |
| B | Максимальный размер пакета (1200-1921000 бит/с) | 6 |
| R | Минимальная резервированная скорость | 6 |
| L | Максимальная задержка (1 мс – 10 с) | 6 |
| S | Признак фиксированной/переменной длины пакетов | 1 |
| P | Признак возможности передать МС пейджинговое сообщение в режиме ожидания | 1 |
| R | Резерв | 4 |
фиксированы), минимальная гарантированная скорость передачи, максимальная задержка и интервал между сеансами передачи.
Служба RT-VR рассчитана на приложения реального времени, которые требуют передачи данных с гарантированными скоростью и временем задержки. Эта служба предоставляется по запросу, для чего вводится параметр – период запросов. БС регулярно (в соответствии с периодом запросов) выделяет в восходящем канале специальный интервал для запроса дополнительного канального ресурса от конкретной МС. То есть приложению гарантируется не сам требуемый ресурс, а возможность его запросить.
Служба NRT-VR, как и следует из ее названия, необходима для передачи данных с заданной скоростью, но с произвольной задержкой. Для этой службы нормируется минимальная гарантированная скорость передачи данных. Вероятность предоставления запрошенного ресурса зависит от приоритета трафика – от 0 (низший) до 7 (высший). Причем, в отличие от службы реального времени, запрос производится на конкурентной основе.
Служба BE подразумевает остаточный принцип предоставления ресурса. В ней определяется только приоритет трафика.
Служба реального времени с расширенными возможностями ERT-VR – это комбинация служб UGS и RT-VR. Типичные ее задачи – высокоприоритетные приложения, требующие гарантированных значений скорости передачи и времени задержки, но характеризующиеся переменной скоростью – например, IP-телефония. Служба ERT-VR, как и UGS, предоставляется без запроса (по расписанию, через заданный интервал), но использует параметр «приоритет трафика».[3].
4 РЕЖИМЫ РАБОТЫ WiMAX
Стандарт 802.16e-2005 вобрал в себя все ранее выходившие версии и на данный момент предоставляет следующие режимы:
- Fixed WiMAX - фиксированный доступ;
- Nomadic WiMAX - сеансовый доступ;
- Portable WiMAX - доступ в режиме перемещения;
- Mobile WiMAX - мобильный доступ.
Fixed WiMAX. Фиксированный доступ представляет собой альтернативу широкополосным проводным технологиям. Стандарт использует диапазон частот 10-66 ГГц. Этот частотный диапазон из-за сильного затухания коротких волн требует прямой видимости между передатчиком и приёмником сигнала. С другой стороны, данный частотный диапазон позволяет избежать одной из главных проблем радиосвязи - многолучевого распространения сигнала. При этом ширина каналов связи в этом частотном диапазоне довольно велика (типичное значение - 25 или 28 МГц), что позволяет достигать скоростей передачи до 120 Мбит/с.
Fixed WiMAX

Рис. 4.1
Nomadic WiMAX. Сеансовый (кочующий) доступ добавил понятие сессий к уже существующему Fixed WiMAX. Наличие сессий позволяет свободно перемещать клиентское оборудование между сессиями и восстанавливать соединение уже с помощью других вышек WiMAX, нежели тех, что были использованы во время предыдущей сессии. Такой режим разработан в основном для портативных устройств, таких, как ноутбуки, КПК. Введение сессий позволяет также уменьшить расход энергии клиентского устройства, что тоже немаловажно для портативных устройств.
Portable WiMAX. Для режима Portable WiMAX добавлена возможность автоматического переключения клиента от одной базовой станции WiMAX к другой без потери соединения. Однако для данного режима всё ещё ограничена скорость передвижения клиентского оборудования - 40 км/ч. Впрочем, уже в таком виде можно использовать клиентские устройства в дороге (в автомобиле при движении по жилым районам города, где скорость ограничена, на велосипеде, двигаясь пешком, т.д.). Введение данного режима сделало целесообразным использование технологии WiMAX для смартфонов и КПК.
Mobile WiMAX был разработан в стандарте 802.16e-2005 и позволил увеличить скорость перемещения клиентского оборудования до более 120 км/ч.
Mobile WiMAX

Рис. 4.2
Основными достижениями мобильного режима можно считать нижеприведённые факторы:
1. Устойчивость к многолучевому распространению сигнала и собственным помехам;
2. Масштабируемая пропускная способность канала;
3. Технология Time Division Duplex (TDD), которая позволяет эффективно обрабатывать ассиметричный трафик и упрощает управление сложными системами антенн за счёт эстафетной передачи сессии между каналами;
4. Технология Hybrid-Automatic Repeat Request (H-ARQ), которая позволяет сохранять устойчивое соединение при резкой смене направления движения клиентского оборудования;
5. Распределение выделяемых частот и использование субканалов при высокой загрузке позволяет оптимизировать передачу данных с учётом силы сигнала клиентского оборудования;
6. Управление энергосбережением позволяет оптимизировать затраты энергии на поддержание связи портативных устройств в режиме ожидания или простоя;
7. Технология Network-Optimized Hard Handoff (HHO), которая позволяет до 50 миллисекунд и менее сократить время на переключение клиента между каналами;
8. Технология Multicast and Broadcast Service (MBS), которая объединяет функции DVB-H, MediaFLO и 3GPP E-UTRA для:
o достижения высокой скорости передачи данных с использованием одночастотной сети;
o гибкого распределения радиочастот;
o низкого потребления энергии портативными устройствами:
o быстрого переключения между каналами.
9. Технология Smart Antenna, поддерживающая субканалы и эстафетную передачу сессии между каналами, что позволяет использовать сложные системы антенн, включая формирование диаграммы направленности, простанственно-временное маркирование, пространственное мультиплексирование (уплотнение);
10. Технология Fractional Frequency Reuse, которая позволяет контролировать наложение/пересечение каналов для повторного задействования частот с минимальными потерями;
11. Размер фрейма в 5 миллисекунд создает оптимальный компромисс между надёжностью передачи данных за счёт использования малых пакетов и накладными расходами за счёт увеличения числа пакетов (и как следствие, заголовков). [4].
5 ЗАЩИТА СВЯЗИ
Защищенная связь (Security Association, SA) — одностороннее соединение для обеспечения защищенной передачи данных между устройствами сети. SA бывают двух типов:
· Data Security Association, защищенная связь для данных;
· Authorization Security Association, защищеннаясвязьдляавторизации.
Защищенная связь для данных
Защищенная связь для данных бывает трех типов:
· Первичная(основная) (Primary SA);
· Статическая (Static SA);
· Динамическая (Dynamic SA).
Первичная защищенная связь устанавливаются абонентской станцией на время процесса инициализации. Базовая станция затем предоставляет статическую защищенную связь. Что касается динамических защищенных связей, то они устанавливаются и ликвидируются по мере необходимости для сервисных потоков. Как статическая, так и динамическая защищенные связи могут быть одной для нескольких абонентских станций.
Защищенная связь для данных определяется:
· 16-битным идентификатором связи;
· Методом шифрования, применяемым для защиты данных в соединении;
· Двумя Traffic Encryption Key (TEK, ключ шифрования трафика), текущий и тот, который будет использоваться, когда у текущего TEK закончится срок жизни;
· Двумя двухбитными идентификаторами, по одному на каждый TEK;
· Временем жизни TEK. Может иметь значение от 30 минут до 7 дней. Значение по умолчанию 12 часов;
· Двумя 64-битными векторами инициализации, по одному на TEK (требуется для алгоритма шифрования DES);
· Индикатором типа связи (первичная, статическая или динамическая).
Абонентские станции обычно имеют одну защищенную связь для данных для вторичного частотного канала управления (secondary management channel); и либо одну защищенную связь
для данных для соединения в обе стороны (uplink и downlink), либо одну защищенную связь для данных для соединения от базовой станции до абонентской и одну — для обратного.
Защищенная связь для авторизации
Абонентская станция и базовая станция разделяют одну защищенную связь для авторизации. Базовая станция использует защищенную связь для авторизации для конфигурирования защищенной связи для данных.
Защищенная связь для авторизации определяется:
· сертификатом X.509, идентифицирующим абонентскую станцию, а также сертификатом X.509, идентифицирующим производителя абонентской станции.
· 160-битовым ключом авторизации (authorization key, AK). Используется для аутентификации во время обмена ключами TEK.
· 4-битовым идентификатором ключа авторизации.
· Временем жизни ключа авторизации. Может принимать значение от 1 дня до 70 дней. Значение по умолчанию 7 дней.
· 128-битовым ключом шифрования ключа (Key encryption key, KEK). Используется для шифрования и распределения ключей TEK.
· Ключом HMAC для нисходящих сообщений (downlink) при обмене ключами TEK.
· Ключом HMAC для восходящих сообщений (uplink) при обмене ключами TEK.
· Списком data SA, для которых данная абонентская станция авторизована.
Процедура аутентификации

Рис. 6.1
KEK вычисляется следующим образом:
1. Проводится конкатенация шестнадцатеричного числа 0x53 с самим собой 64 раза. Получаются 512 бит.
2. Справа приписывается ключ авторизации.
3. Вычисляется хэш-функция SHA-1 от этого числа. Получаются 160 бит на выходе.
4. Первые 128 бит берутся в качестве KEK, остальные отбрасываются.
Ключи HMAC вычисляются следующим образом:
1. Проводится конкатенация шестнадцатеричного числа 0x3A (uplink) или 0x5C (downlink) с самим собой 64 раза.
2. Справа приписывается ключ авторизации.
3. Вычисляется хэш-функция SHA-1 от этого числа. Получаются 160 бит на выходе. Это и есть ключ HMAC.
Для шифрования передаваемых данных необходим специальный ключ, который носит название TEK[48] . Этот ключ выбирается базовой стацией случайно, однако при его передаче на абонентскую станцию используется ключ AK, а также два дополнительно вырабатываемых ключа: ключ шифрования ключей – КЕК[49] и ключ аутентификации сообщений – HMACkey[50] . Ключ TEK шифруется одним из следующих способов:
с помощью алгоритма 3DES на ключе KEK, при этом длина ключа KEK равна 112 бит;
с помощью системы шифрования RSA, открытый ключ берется из цифрового сертификата Х.509;
при помощи алгоритма AES на ключе KEK, длина которого в этом случае равна 128 бит.
При обмене сообщениями хэш-функция HMAC-SHA1, которая помимо контроля целостности обеспечивает защиту от подмены (так как использует ключ АК, известный только АС и БС) (см. рис. 6.1Для шифрования сообщений стандарт предусматривает использование алгоритма DES в режиме CBC или алгоритм AES в режиме CCM. Сам процесс шифрования показан на рис.6.3для алгоритма DES).
Передача ключа шифрования данных

Рис. 6.2
Процесс шифрования данных при помощи алгоритма DES в режиме CBC

Рис. 6.3
Структура шифрованного сообщения при использовании алгоритма AESPN- номер пакета

Рис. 6.4
Недостатки.
Дефицит оборудования, полностью отвечающего всем требованиям и стандартам, которые разрабатываются и принимаются организацией WiMAX – Forum. Оборудование, которое выпускается для WiMAX разными производителями, не совместимо друг с другом и технические характеристики существенно отличаются от тех, что были заложены в стандарт.
Ограничения использования частот введенные Гос. Комиссией по распределению частот. После введения этих ограничений радиус действия и мощность базовых станций в диапазонах, в которых работает WiMAX, сильно ограничили, и в крупном городе, численность населения которого больше 1 млн. человек, радиус действия не должен превышать 3 км.Устройства с поддержкой WiMAX дороги Пока что очень ограниченное покрытие сети.
6 ОПРЕДЕЛЕНИЕ ЗАДАНИЯ И ЦЕЛИ РАБОТИ
Обеспечить быстроту развертывания, высокую скорость передачи данных, качественную защиту информации передаваемой по сети и мобильность передвижения абонентов. Обеспечить при помощи сети стандарта WiMAX 802.16е доступ к услугам информационных и коммуникационных технологий и сервисных приложений. Основным заданием беспроводной сети является обеспечить высокую пропускную способность, надёжность, мобильность.
Тема дипломной работы состоит в исследовании беспроводной сети стандарта WiMAX 802.16е. Исследованию установки связи между базовой и мобильной станциею, скоростью и надежностью передаваемых пакетов, их криптостойкостью и устойчивостью к внешним помехам. Изучение работы сети в условиях максимального покрытия территории.
Цель работы – изучить структуру, принципы работы и построения сети стандарта WiMAX 802.16е в пределах города. Исследовать качество передаваемой информации (видео, аудио и текстовой) в режиме мобильного передвижения клиента в пределах сети от одной базовой станции к другой. Проверить надежность и защиту передаваемых данных.
СПИСОК ЛИТЕРАТУРЫ
1. Вишневский В., Портной С., Шахнович И. «Энциклопедия WiMAX. Путь к 4G». "Техносфера" · 2009 г.
2. Шахнович И. Статья: «Стандарт широкополосного доступа IEEE 802.16»
3. В.М. Вишневский, А.И. Ляхов, С.Л. Портной, И.В. Шахнович «Широкополосные беспроводные сети передачи информации» М. Техносфера, 2005.
4. WiMAX Forum http://www.wimaxforum.org/.
Теоретичнийоглядрозрахункупокриття WiMax
Розрахунокпокриття WiMax – доситьнеоднозначнийпроцес, щозалежитьвідвеликоїкількостіпараметрівсередовищапередачітатих, щозакладенівбудовусистеми WiMax. Розрізняють дві стратегії побудови мережевої інфраструктури WIMAX.
Перша стратегія орієнтована на отримання максимальної щільності потоку даних на заданій території. Дана стратегія застосовується в великих містах з високою щільністю населення з розвиненою проводовою мережевою інфраструктурою. Основною метою є забезпечення конкурентності з проводовим широкосмуговим доступом DSL і надання мультимедійних послуг.
Друга стратегія, застосовна в умовах відсутності або низького рівня конкуренції з боку дротяних систем, припускає таке розміщення базових станцій, яке забезпечує отримання максимальної зони покриття із забезпеченням заданої щільності потоку даних. Дана стратегія застосовна в сільських районах, а також в містах і обласних центрах з низьким розвитком дротяної інфраструктури, що характерний для більшості регіонів України. Реалізація даної стратегії дозволяє отримувати щільність потоку даних 1-6 Mbps/кв.км. Мета реалізації даної стратегії полягає в забезпеченні потрібної для послуг швидкості, що надаються оператором, передачі на максимальних територіях.
Реалізація стратегії максимізації щільності потоку даних на дозволяє при обмеженому частотному ресурсі отримати конкурентну з DSL густину потоку даних (20-40 Mbps/ кв.км) при високій щільності розміщення базових станцій (БС) Base Spacing,що рівна 1-2 км. При цьому TDD БС мають можливість повторного використання частот на одній БС і можливості collocation БС - синхронізації роботи БС з метою виключення взаємних перешкод. В умовах обмеженості частотного ресурсу це дозволяє TDD БС досягати великих значень щільності потоку даних в порівнянні з продуктивнішим устаткуванням FDD, що вимагає для своєї роботи значного частотного ресурсу.
Реалізація стратегії максимізації площі територій, що покриваються послугою, ускладнюється відносно високими втратами потужності радіосигналу при розповсюдженні радіохвиль в діапазоні порядку частот 5 Ггц. Ці втрати на частоті 5 Ггц декілька вище за аналогічні втрати на нижчих частотах 2.5 Ггц і 3.5 Ггц. Проте, застосування стратегії максимізації території, що покривається, на частоті 5 Ггц для фіксованого безпровідного доступу достатньо ефективно. Річ у тому, що фіксований доступ припускає оснащення абонентських терміналів зовнішніми антенами. У мережах WIMAX це можуть бути антени для використання усередині приміщень, якими оснащуються (self-installable) абонентські термінали, що інсталюються абонентами самостійно, і зовнішні антени, що встановлюються поза приміщеннями, вимагають професійної інсталяції оператором зв'язку. По оцінках фахівців, більшість абонентських терміналів, що працюють в мережах WIMAX фіксованого доступу в діапазоні частот 5 Ггц, будуть оснащені зовнішніми антенами. При цьому зовнішні антени 5 Ггц мають в середньому на 5-7 dbi більше посилення в порівнянні з антенами аналогічних розмірів діапазону 2.5 і 3.5 Ггц. Вище посилення зовнішніх абонентських антен якраз і компенсує підвищені втрати при розповсюдженні радіосигналу.
Таким чином, застосування устаткування стандарту IEEE 802.16-2004 дозволяє покривати послугою широкосмугового доступу обширні території з мінімумом витрат, тобто ефективно реалізовувати стратегію максимізації території, що покривається. При цьому важливою особливістю WIMAX мереж є відносно невеликий радіус обслуговування self-installable абонентських терміналів. Втрати потужності при розповсюдженні радіосигналу в умовах міської забудови поза прямою видимістю в діапазоні 5 Ггц набагато більш значні чим, наприклад, в діапазоні частот 2.5 Ггц. Ці підвищені втрати неможливо компенсувати застосуванням в self-installable абонентських терміналах потужних антен. Тому максимальна дальність обслуговування таких абонентів поза прямою видимістю базової станції значно менша, ніж на нижчих частотах, і не перевищує 1 км. Таким чином, в мережах WIMAX діапазону частот 5 Ггц self-installable абонентські термінали практично застосовуватися не будуть. Установка абонентських outdoor терміналів із зовнішніми направленими антенами (зокрема з інтегрованими в корпус терміналу антенами) вимагає професійних навиків і зазвичай проводиться силами оператора зв'язку. Установка абонентського терміналу не вимагає наявності прямої видимості на базову станцію за умови дотримання двох умов:
1) наявність потрібного для використовуваної модуляції відношення SNR сигнал/шум;
2) необхідного перевищення (fade margin 6-12 db) рівнем корисного сигналу відповідного використовуваній модуляції порогу чутливості. Зазвичай дані умови виконуються для абонентських терміналів, оснащених зовнішньою антеною або інтегрованою антеною з високим посиленням, на дальності не більше 3-5 км. від базової станції. На вищих дальностях при установці абонентських терміналів потрібно забезпечити пряму видимість (без обмежень на ступінь закриття зони Френеля).
Принципы построения сети WiMAX
Построение сети WiMAX предполагает использование трёх типов оборудования – базовые станции (БС), абонентский комплект (абонентская станция – АС) и оборудование для организации связи между базовыми станциями – ретрансляционные станции (РС).

Рассмотрим в качестве примера топологию сети SkyMAN (рисунок 2.13).Сеть ШБД SkyMAN может включать одну или несколько базовых станций (БС), объединенных беспроводными магистралями SkyMAN или другими каналами связи. Каждая БС содержит от одного до шести секторов.

Рисунок 2.13 - Топология сети SkyMAN
В состав сети могут быть включены ретрансляционные станции (РС), обеспечивающие увеличение дальности и позволяющие обходить крупные препятствия, закрывающие БС от отдельных АС. АС подключаются по радио к БС или РС. АС, находящаяся в зоне радиовидимости более чем одной БС, может быть зарегистрирована на каждой из них, при этом поддерживается адаптивный выбор БС, обеспечивающей лучшее качество обслуживания. Такое свойство системы позволяет обеспечить горячее резервирование канала АС-БС, повышая надежность сети в целом.
Базовая станция (БС)
БС системы SkyMAN Access предназначена для беспроводного подключения абонентов к Интернет и ТФОП, а также объединения территориально - разнесенных корпоративных сетей в единую сеть.
БС строится по модульному принципу (рисунок 2.14, 2.15) и может включать от одного до 6 модулей, в зависимости от требований к пропускной способности, дальности передачи, используемого частотного диапазона и наличия свободных частот. Каждый из модулей (или радиоинтерфейсов в двухмодульных моделях) обеспечивает обслуживание одного пространственного сектора в пределах диаграммы направленности используемой антенны. Типичные значения зоны охвата каждого сектора 360º (один сектор), 120º (три сектора), и 60º (шесть секторов). Оборудование БС не накладывает определенных требований к ширине сектора, которая в конкретных случаях может быть произвольной, определяемой конкретной топологией сети, наличием частотного ресурса и размещением абонентов.
В состав БС входят:
- Беспроводные маршрутизаторы R5000 - от 1 до 6, по одному на сектор. Для маломощных БС могут использоваться двухмодульные беспроводные маршрутизаторы – по одному на два сектора. Односекторные БС обеспечивают скорость передачи до 54 Мбит/с. Многосекторные БС обеспечивают работу со скоростью до 48 Мбит/с на сектор.
- Антенно-фидерные устройства - по количеству секторов базовой станции.
- Лицензии для подключения специализированных абонентских станций, на каждый сектор базовой станции.
- Программное обеспечение для управления сетью SkyMAN
-Коммутатор Ethernet (опционально).
- Шкаф для монтажа оборудования (опционально).
- Источники бесперебойного питания (опционально).

Рис. 2.14 - Типовая схема односекторной БС

Рисунок 2.15 - Типовая схема 6-секторной БС
Рекомендации по построению БС
Рекомендации по построению БС вытекают из анализа условий работы систем фиксированного беспроводного доступа:
· Обычно поток от БС к АС (нисходящий) значительно превышает поток восходящий.
· Ширина диаграммы направленности секторной антенны БС примерно в 10 раз больше ширины диаграммы направленности антенны АС.
· Многосекторная БС работает одновременно с АС разных секторов.
· БС размещаются на высоких строениях или антенных опорах, на которые устанавливают и другие радиосистемы, что приводит к повышению общего уровня помех. Кроме того, высокое расположение антенн БС само по себе приводит к увеличению уровня и количества помех. Как следствие, отношение сигнал/шум на БС существенно хуже чем на АС.
· Повышение скорости передачи практически не ухудшает условий работы соседних систем.
· Повышение скорости приема приводит к существенному снижению помехоустойчивости. Учет специфики работы систем фиксированного беспроводного доступа позволил выработать следующие рекомендациии:
· На многосекторных БС скорость в направлении БС-АС не должна превышать 48 Мбит/с, в обратном направлении - 24 Мбит/с.
· Необходимо ограничивать диапазон регулирования скорости передачи АС снизу, либо отслеживать деградацию скорости каждого клиента.
· Использовать механизм автоматического выбора скорости.
· В холодных регионах все оборудование БС и все устройства с опцией Р300 должно выбираться модификации ОТ, т.е. с расширенным температурным диапазоном.
Ретрансляционная станция (РС)
РС (рисунок 2.16 ) предназначена для повышения дальности действия БС, обхода крупных препятствий, а также для создания протяженных магистральных каналов точка-точка. Количество последовательно подключаемых РС не ограничено. К каждой РС может быть подключена одна или несколько РС и/или АС
В состав РС входят:
- Двухмодульный беспроводный маршрутизатор R5000.
- Направленная антенна для связи с БС (в случае РС без интегрированной антенны).
- Всенаправленная, секторная или направленная антенна для подключения АС и/или РС.
- Кабели для подключения антенн.
- Лицензия для подключения специализированных АС к РС.
Для беспроводного объединения сетей диапазонов 2,4 и 5/6 ГГц выпускаются двухмодульные двух диапазонные беспроводные маршрутизаторы.
Ретрансляционная станция

Рисунок 2.16 - Типовая схема ретрансляционной станции
Абонентская станция (АС)
АС (Рисунок 2.17 )предназначена для беспроводного подключения абонентов к БС или РС, а также для создания магистральных каналов "точка-точка".
Состав АС:
- Абонентский беспроводный маршрутизатор с интегрированной антенной или разъемом для подключения внешней антенны.
- Направленная антенна и антенный кабель для моделей без интегрированной антенны.


Рисунок 2.17 - Типовые схемы АС
Система управления сетью
Система управления сетью (Рисунок 2.18 ) (Network Monitoring/Management System – NMS) предназначена для мониторинга сети в реальном времени с целью оперативного управления. Система базируется на программных средствах управления и мониторинга сетей типа HP OpenView, WhatsUp и т.п. и обеспечивает графическое представление карты сети и параметров БС, АС и РС. Помимо этого NMS позволяет вести системный журнал и планировать события с помощью планировщика. В состав системы также включен IWR Manager для настройки оборудования, реализующий в простой и интуитивно понятной форме основные настройки активных устройств сети. Для тонкой настройки используется командный язык системы SkyMAN. Основа серии – новая аппаратная платформа, основанная на мощном процессоре IBM PowerPC с тактовой частотой 200-400 МГц.
Рисунок 2.18 - Диалоговое окно системы управления сетью
Особенности и преимущества
- Скорость передачи шестисекторной базовой станции до 288 Мбит/с
- Максимальная скорость передачи односекторной БС и в канале "точка-точка" – 54 Мбит/с.
- Диапазоны частот 2,4-2,4835 ГГц (DSSS и 64OFDM), 5,15-5,35, 5,65-6,07 ГГц (64OFDM).
- Протокол доступа к среде на основе адаптивного поллинга.
- Встроенный маршрутизатор, IP роуминг.
- Мощные возможности QoS и приоритезации трафика, поддержка VoIP.
- Встроенные средства поддержки офисной VoIP телефонии.
- Поддержка средств обеспечения безопасности, услуг VPN и брандмауэр.
- Развитые инструменты управления сетью и средства диагностики.
- Топология "точка-многоточка" и "точка-точка", возможность ретрансляции.
- Наличие моделей с расширенным температурным диапазоном (от -55оС до +60оС).
- Сохранение работоспособности в условиях конденсации влаги.
- Встроенные средства грозозащиты тракта ODU-IDU.
[1] На языке эталонной модели взаимодействия открытых систем MAC-уровень является нижним подуровнем канального уровня в модели OSI. Верхним подуровнем данного уровня выступает LogicalLinkControl (LLC) – управление логическим соединением. Основная задача, решаемая на канальном уровне – сформировать двунаправленный логический канал между двумя точками и обеспечить качество услуг (уровень ошибок) независимо от качества передачи на физическом уровне. Однако терминологические понятия толкуются достаточно произвольно, и в стандарте IEEE 802.16 под термином MAC следует понимать канальный уровень со всеми присущими ему задачами.
[2] «Рандомизация» применяется для того, чтобы избежать длинных последовательностей повторяющихся нулей или единиц.
[3] ForwardErrorCorrection – прямая защита от ошибок.
[4]
Передаточная функция идеального синусквадратного фильтра
записывается как
при
;
при
;
, где
- коэффициент избирательности (по стандарту IEEE 802.16
),
- частота Найквиста, равная половине частоты дискретизации.
[5] Frequency division duplex
[6] Time division duplex
[7] Time division multiplex
[8] Convergence Sublayer
[9] Common Part Sublayer
[10] Privacy Sublayer
[11] Payload Header Suppression
[12] MAC Protocol Data Unit – блокиданныхканальногоуровня
[13] Demand Assigned Multiple Access
[14] Grants per Connection
[15] Grants per subscriber station
[16] polling
[17] Unsolicited Grant Service
[18] slip
[19] Air Interface for Fixed Broadband Wireless Access Systems
[20] рабочее название draft-версии того периода – IEEE 802.16REVd
[21] Single Carrier
[22] Automatic Repeat Request
[23] Adaptive Antenna System
[24] SpaceTimeCoding
[25] «сетки» – децентрализованной сети взаимодействующих друг с другом систем.
[26] упоминается «как правило не ниже 1 ГГц».
[27] High-speed Unlicensed Metropolitan Area Network
[28] DynamicFrequencySelection
[29] Европейский стандарт HiperMAN, равно как и WiMAXForum, рассматривает лишь один из режимов стандарта IEEE 802.16-2004, а именно OFDM в диапазоне менее 11 ГГц.
[30] Fast Feedback
[31] Orthogonal frequency division multiplexing
[32] Orthogonal frequency division multiple access
[33] Downlink interval usage code
[34] uplink interval usage code
[35] Frame control header
[36] Downlink Frame Prefix
[37] Region-Focuced
[38] network control
[39] schedule control
[40] network entry – «сетевойвход»
[41] аналог интервала конкурентного доступа в сети «точка-многоточка»
[42] distributedscheduling
[43] логическая связь на канальном уровне между передающей и приемной станцией для передачи сервисного потока.
[44] поток данных, связанный с определенным приложением. Характеризуется набором требований к каналу связи.
[45] устойчивый набор параметров канала связи.
[46] Unsolicited Grant Service
[47] Best Efforts
[48] Transport Encryption Key
[49] Key Encryption Key
[50] Message Authentication Key
Похожие рефераты:
Архитектура сотовых сетей связи и сети абонентского доступа
Разработка системы оперативно-диспетчерского контроля и управления канала
Беспроводные телекоммуникационные системы
Разработка системы маршрутизации в глобальных сетях(протокол RIP для IP)
Разработка автоматизированной информационной системы учёта товародвижения в торговле
Анализ систем безопасности, использующих GSM каналы связи
Разработка автоматизированной системы управления электроснабжением КС "Ухтинская"
Проектирование беспроводной сети Wi-Fi
Электромагнитная совместимость сотовых сетей связи
Локальная сеть Ethernet в жилом микрорайоне
Разработка локальной сети и защита передачи данных на основе перспективных технологий
Системы телекоммуникации и связи
Реорганизация схемы управления и оптимизация сегмента сети передачи данных

