| Похожие рефераты | Скачать .docx |
Дипломная работа: Решение задач оптимизации бизнес-процессов с использованием прикладных программ
Аннотация
В данной дипломной работе решена задача оптимизации внутренних бизнес-процессов на промышленном предприятии с использованием пакета прикладных программ «КИС: Бюджетирование».
Объектом изучения является общество с ограниченной ответственностью «Брянскпромбетон» – предприятие промышленной отрасли, специализирующееся на производстве строительных конструкций и материалов.
Для обоснования выбора ПМК «КИС: бюджетирования» в дипломной работе подробно проанализированы шесть наиболее часто упоминающихся в современной литературе систем бюджетирования.
В процессе написания данной дипломной работы были использованы учебники и учебные пособия по теории управления финансами, статьи в ведущих бухгалтерских и финансовых изданиях, открытые публикации с различных Интернет – сайтов, а так же материалы, собранные в период прохождения преддипломной практики в ООО «Брянскпромбетон».
СОДЕРЖАНИЕ
ВВЕДЕНИЕ. 6
1. АНАЛИТИЧЕСКАЯ ЧАСТЬ. 8
1.1. Технико-экономическая характеристика ООО «Брянскпромбетон». 8
1.1.1.Общее описание предприятия. 8
1.1.2. Предмет деятельности предприятия. 9
1.1.3. Организационная структура управления предприятием. 9
1.1.4. Аппаратно-программные средства, используемые предприятием для решения экономических задач. 11
1.2. Анализ возможности и необходимости использования системы бюджетирования для решения комплекса задач. 13
1.2.1. Выявленные негативные факторы деятельности предприятия. 13
1.2.2 Цели внедрения системы бюджетирования. 16
1.2.3. Функции системы бюджетирования. 17
1.3. Предварительное технико-экономическое обоснование внедрение системы бюджетирования на ООО «Брянскпромбетон». 19
1.3.1.Обоснование использования специализированной системы бюджетирования 19
1.3.2. Предварительное экономическое обоснование. 21
1.3.3 Критерии оценки систем бюджетирования. 24
1.3.4. Обзор и сравнительный анализ программных продуктов для решения задач управления бюджетом организации. Выбор системы бюджетирования. 28
2. ПРОЕКТНАЯ ЧАСТЬ. 36
2.1. Логическая последовательность процесса бюджетирования. 36
2.2. Методология расчета сводного бюджета предприятия. 37
2.2.1. Формирование системы бизнес-прогнозов для расчета сводного бюджета предприятия. 39
2.2.1.1. Бизнес-прогнозы для расчета операционных бюджетов. 39
2.2.1.2. Бизнес-прогнозы для расчета финансового бюджета. 49
2.2.2. Формирование операционных бюджетов организации. 54
2.2.3. Формирование финансовых бюджетов организации. 60
2.3 Разработка обеспечивающих подсистем реализации комплекса задач. 70
2.4. Разработка технологических процессов решения комплекса задач. 76
2.4.1. Формирование нормативно-справочной информации. 76
2.4.2. Формирование регламента бюджета. 79
2.4.3. Формирование исходных бюджетных данных. 81
2.4.4. Выполнение расчета бюджета предприятия. 89
2.4.5. Аналитические формы.. 91
2.4.6. Ввод данных для контроля исполнения бюджета. 98
2.4.7. Аналитические формы для контроля исполнения бюджета. 100
2.4.8. Отчетные печатные формы.. 102
3.1. Определение факторов, влияющих на экономическую эффективность решения комплекса задач. 104
3.2. Расчет экономической эффективности. 106
3.3. Организационные аспекты внедрения проектных решений. 115
Заключение. 118
Литература.. 119
Приложение 1........................................................................................ 124
Приложение 2........................................................................................ 126
Приложение 3........................................................................................ 127
Приложение 4........................................................................................ 128
Приложение 5........................................................................................ 129
Приложение 6........................................................................................ 130
ВВЕДЕНИЕ
Уже на первом этапе трансформации российской экономики стало ясно, что при прочих равных условиях шансы предприятия на успех резко возрастают, если оно использует грамотную политику управления внутренними ресурсами. Каждое предприятие обладает определенным капиталом, за счет которого оно и получает основную долю прибыли. Ошибки, связанные с вложением капитала неизбежно приводят к потере финансовой устойчивости и даже банкротству.
Таким образом, система планирования и управления внутренними ресурсами и является ключевым фактором успеха предприятия в условиях рыночной экономики.
Финансовое планирование оказывает непосредственное влияние на уровень активизации деятельности руководства и аппарата управления. Высокое качество разработанных программ, особенно с помощью ЭВМ и экономико-математических методов, их строгая увязка по всем подразделениям организации и цехов, согласованность с располагаемыми материальными, финансовыми и трудовыми ресурсами позволяет наиболее эффективно управлять предприятием.
Постоянное стремление к разработке системы финансового планирования, адекватно отвечающей требованиям рыночной экономики, привело руководство многих хозяйствующих субъектов к внедрению системы бюджетирования деятельности предприятия.
Сегодня бюджетирование используется в российских компаниях крайне редко. Это объясняется нестабильностью инфляционных процессов, налогового законодательства, высокой степенью неопределенности на российском рынке и другими ограничивающими факторами, а также, как это не печально, нежеланием многих руководителей вкладывать денежные средства в малоэффективный по их мнению процесс. Однако, общепризнанно, что эффективное управление финансами предприятия возможно лишь при планировании всех финансовых потоков, процессов и отношений хозяйствующего субъекта.
Методология бюджетирования предназначена для организации системы анализа и планирования денежных потоков, основанной на разработке и контроле исполнения иерархической системы бюджетов предприятия, которая позволит установить жесткий текущий и оперативный контроль за поступлением и расходованием средств, создать реальные условия для выработки эффективной финансовой стратегии.
Эффективность процедуры бюджетирования значительно повышается при внедрении комплексной автоматизированной системы бюджетного планирования деятельности предприятия (на базе компьютерной локальной сети), что позволяет максимально оперативно получать информацию об исполнении бюджета и, соответственно, вносить необходимые коррективы в бюджеты в целях повышения эффективности оперативного управления финансовыми ресурсами предприятия.
Представленные на рынке системы бюджетирования как иностранного, так и отечественного производства, разнообразны по своему построению, применяемым информационным технологиям, глубине проработки функциональности и ориентации на сферу деятельности и размер предприятия. Неудивительно, что многим потенциальным пользователям сложно разобраться, какая именно система бюджетирования наиболее подходит им из всех систем, представленных на рынке.
Целью данного дипломного проекта является оптимизация внутренних бизнес-процессов ООО «Брянскпромбетон» с использованием программно-методического комплекса «КИС: Бюджетирование».
Объектом изучения в данной дипломной работе является ООО «Брянскпромбетон» – предприятие промышленной отрасли, специализирующееся на производстве строительных конструкций и материалов.
1. АНАЛИТИЧЕСКАЯ ЧАСТЬ
1.1. Технико-экономическая характеристика ООО «Брянскпромбетон»
1.1.1.Общее описание предприятия
Карточка предприятия ООО «Брянскпромбетон:
1. Организационно-правовая форма : Общество с ограниченной ответственностью;
2. Дата регистрации:15 апреля 2001 г.;
3. Основные направления деятельности : производство строительных конструкций и материалов;
4. Юридический адрес : г. Брянск, ул. Шоссейная, 1;
5. Численность промышленно-производственного персонала:410 чел.
В настоящее время в состав ООО «Брянскпромбетон» входят 3 территориально расположенные производственные базы:
· Головная база ООО «Брянскпромбетон», находящаяся в Бежицком районе г. Брянска.
· Цех №2 расположенный в Советском районе г. Брянска.
· Цех №8 , расположенный в г. Фокино на расстоянии 25км от основной базы.
На головной базе ООО «Брянскпромбетон» расположен:
1. Цех №1 - формовочный цех
2. Цех №7 – арматурный цех.
3. Цех №10, состоящий из бетоносмесительного узла, одной установки по выпуску асфальтобетона, склада цемента, и склада заполнителей.
4. Склад готовой продукции
5. Склад металла
6. Объекты инженерного обеспечения: котельная, компрессорная, три трансформаторных подстанции, электроцех, ремонтно-механический цех.
На производственной базе ООО «Брянскпромбетон» в г. Фокино расположен цех №8 состоящий:
- из бетоносмесительного участка
- формовочного участка
- полигона
- склада готовой продукции
- склада крупного и мелкого заполнителя
- склада цемента
- объектов инженерного обеспечения: котельной, трансформаторной подстанции.
На производственной базе ООО «Брянскпромбетон» цеха №2 расположены:
- растворносмесительное отделение
- арматурный участок
- отделение по подготовке известкового молока
- склад песка
- склад цемента
- полигон
- склад ГСМ
- объекты инженерного обеспечения: трансформаторная подстанция и слесарные мастерские.
1.1.2. Предмет деятельности предприятия
ООО «Брянскпромбетон» является многоотраслевым предприятием. Целями деятельности общества являются расширение рынка товаров и услуг, а также извлечение прибыли. Основными видами деятельности Общества являются:
1. производство строительных конструкций и материалов, в том числе, оказывающих влияние на несущую способность зданий и сооружений;
2. деятельность по проектированию и строительству зданий и сооружений;
3. работы по устройству и ремонту наружных инженерных сетей;
4. работы по устройству и ремонту автомобильных дорог;
5. работы по благоустройству и озеленению территорий;
6. инвестиционная деятельность;
7. организация и проведение научно-исследовательских, проектно-изыскательских, внедренческих, конструкторских и опытно-конструкторских, пусконаладочных работ;
8. оптовая и розничная торговля, торгово-закупочная деятельность;
9. внешнеэкономическая деятельность, включая посредническую;
10. оказание юридических, информационных, консалтинговых, маркетинговых, представительских, посреднических, дистрибьюторских, консигнационных, лизинговых, комиссионных, компенсационных, рекламных, агентских, дилерских, транспортных, экспедиторских и других услуг;
11. организация и проведение рекламной деятельности, как в собственных интересах, так и на договорных началах в интересах партнеров и заказчиков;
12. общество вправе учреждать обособленные подразделения для осуществления охранно-сыскной деятельности в интересах собственной безопасности.
1.1.3. Организационная структура управления предприятием
Организационная структура управления предприятием относится к линейно-функциональным, представлена на рис.1.
Центральным звеном структуры управления предприятием является заводоуправление, возглавляемое генеральным директором. Он назначается и освобождается от должности тайным голосованием на отчетно-выборном собрании учредителей. Генеральный директор организует всю работу предприятия и несет полную ответственность за его состояние и деятельность.
Сосредотачиваясь на решении основных вопросов деятельности предприятия, генеральный директор распределяет обязанности по выполнению отдельных функций управления и руководства управленческими и производственными подразделениями между своими заместителями и представляет им необходимые права. Те, в свою очередь, осуществляют управление и руководство соответствующими подразделениями предприятия (цехами, отделами, участками).

Рис.1. Организационная структура управления ООО «Брянскпромбетон»
Модель информационного взаимодействия между структурными подразделениями ООО «Брянскпромбетон», построенная с использованием CASE-средства Computer Associates BPwin, представлена в приложении 3.
1.1.4. Аппаратно-программные средства, используемые предприятием для решения экономических задач.
Перечень вычислительной техники ООО «Брянскпромбетон» представлен в таблице 1.
Таблица 1
Перечень вычислительной техники ООО «Брянскпромбетон»
| № п/п |
Системный блок |
Монитор |
Решаемые задачи |
| 1. |
P4/1,7GHz/ 512 ОЗУ/ 80Gb |
SVGA 15” LG Studioworks 520SI |
Сервер Novell NetWare 5.0 |
| 2. |
P3/ 800Mhz/ 512 Mb ОЗУ/ 20Gb |
SVGA 15” LG Studioworks 520SI |
Сервер |
| 3. |
P3/ 667Mhz/ 128Mb ОЗУ/ 20Gb |
SVGA 17” LG Flatron 775FT |
Программист: Разработка, внедрение, сопровождение ПО, администрирование |
| 4. |
P3/ 800Mhz/ 128Mb ОЗУ/ 14Gb |
SVGA 15” LG Studioworks 520SI |
ОТиЗ: СПС «Консультант +» |
| 5. |
Celeron/ 533Mhz/ 64Mb ОЗУ/ 8Gb |
SVGA 14” Samsung SyncMaster 3 |
Финансовый отдел: формирование БДиР |
| 6. |
Celeron/ 366Mhz/ 32Mb ОЗУ/ 4Gb |
SVGA 14” Samsung SyncMaster 3 |
Финансовый отдел: Оперативная финансовая справка. Подготовка договоров и др. фин докумен-в |
| 7. |
Celeron/ 533Mhz/ 64Mb ОЗУ/ 8Gb |
SVGA 14” Samsung SyncMaster 3 |
Бухгалтерия: Расчеты с поставщиками. Касса. лица. Подготовка бухгалтерских документов |
| 8. |
Celeron/ 366Mhz/ 64Mb ОЗУ/ 8Gb |
SVGA 14” Samsung SyncMaster 3 |
Плановый отдел: формирование производственного бюджета |
| 9. |
Celeron/ 366Mhz/ 64Mb ОЗУ/ 8Gb |
SVGA 14” Samsung Samtron |
Бухгалтерия: Калькуляция. Аналитика |
| 10. |
Celeron/ 533Mhz/ 64Mb ОЗУ/ 8Gb |
SVGA 15” Samsung Samtron |
Главный бухгалтер: Контроль бухгалтерских работ. Подготовка документов. Отчеты |
| 11. |
Celeron/ 366Mhz/ 64Mb ОЗУ/ 8Gb |
SVGA 14” Samsung Samtron |
ОТИЗ: Работы ОТиЗ |
| 12. |
Celeron/ 533Mhz/ 64Mb ОЗУ/ 8Gb |
SVGA 15” Samsung Samtron |
Плановый отдел: Планирование. Обработка документов по выпуску продукции. Отчеты |
| 13. |
Celeron/ 533Mhz/ 64Mb ОЗУ/ 8Gb |
SVGA 15” Samsung Samtron |
Начальник ПЭО |
| 14. |
Celeron/ 533Mhz/ 64Mb ОЗУ/ 8Gb |
SVGA 14” Samsung Samtron |
Отдел сбыта. Анализ рынка |
Информационное взаимодействие между структурными подразделениями осуществляется с помощью компьютерной сети с выделенным сервером. Общая архитектура сети представлена на рисунке 2.

Рис. 2. Общая архитектура сети ООО «Брянскпромбетон»
1.2.1. Выявленные негативные факторы деятельности предприятия
Анализ бизнес-процессов, протекающих на предприятии, выявил ряд недостатков практически во всех сферах деятельности ООО «Брянскпромбетон». В общем случае их можно классифицировать по показателю недополучение прибыли от факторов прямого и косвенного действия. Более детализировано все недостатки представлены ниже:
Потери от факторов прямого действия.
1. Потери в сфере сбыта
· потери сбыта от срывов поставок продукции из-за сбоев и ошибок в планировании номенклатуры производства
· потери сбыта из-за низкой скорости прохождения заявки по службам
· потери сбыта из-за невысокой гибкости учета потребностей заказчика
2. Потери в сфере снабжения
· потери от неэффективного выбора поставщиков
· потери от закупок по невыгодным ценам связи с бартерными операциями
· потери от низкой скорости прохождения заявок по службам
· потери от ошибок в объемах закупок
3. Потери в сфере управления складскими запасами
· потери от искаженной информации по уровню складских запасов сырья и материалов
· потери от ошибок ведения учета перемещений МТЦ между подразделениями
4. Потери от несовершенного финансового учета.
· потери от несвоевременного отражения в учете в финансовых документах
· потери от низкой оперативности контроля финансовых обязательств
5. Потери в системе учета затрат.
· потери от невозможности соотнесения затрат с центрами ответственности
· потери от неточного определения действительной эффективности работы конкретных подразделений
· потери от неполного учета накладных и прочих расходов и мест их возникновения
Потери от факторов непрямого действия.
1. потери от ошибок в управленческих решениях
2. потери от утраты значимой информации
3. потери от неэффективного использования времени высшего руководства
4. потери от ошибок финансового планирования
Следствием вышеперечисленных недостатков являются низкие финансовые показатели деятельности предприятия (таблица 2), расчет которых был осуществлен посредством программного продукта МБП «Финансовый анализ».
Таблица 2
Финансовые показатели деятельности ООО «Брянскпромбетон»
| Финансовые показатели |
|||||||
| Наименование показателя |
4 кв. 2003 |
1 кв. 2004 |
2 кв. 2004 |
3 кв. 2004 |
4 кв. 2004 |
1 кв. 2005 |
|
| Коэффициенты ликвидности |
|||||||
| Коэффициент абсолютной ликвидности |
0,14 |
0,14 |
0,12 |
0,14 |
0,15 |
0,13 |
|
| Коэффициент быстрой ликвидности, QR |
0,85 |
1,27 |
1,33 |
1,62 |
2,42 |
2,24 |
|
| Коэффициент текущей ликвидности, CR |
1,81 |
2,81 |
2,92 |
3,68 |
5,04 |
4,48 |
|
| Чистый оборотный капитал, NWC |
14255 |
19945 |
21547 |
24006 |
26385 |
25382 |
|
| Период самофинансирования |
дн. |
2,76 |
1,96 |
1,85 |
2,46 |
1,93 |
1,10 |
| Показатели структуры капитала |
|||||||
| Коэффициент финансовой независимости (автономии) |
0,75 |
0,84 |
0,85 |
0,88 |
0,91 |
0,90 |
|
| Финансовый рычаг, TD/EQ |
0,33 |
0,19 |
0,18 |
0,14 |
0,10 |
0,11 |
|
| Коэффициент покрытия процентов, TIE |
1,76 |
2,86 |
3,75 |
3,50 |
-0,40 |
1,24 |
|
| Суммарные обязательства к суммарным активам |
0,25 |
0,16 |
0,15 |
0,12 |
0,09 |
0,10 |
|
| Долгосрочные обязательства к активам |
0,01 |
0,01 |
0,00 |
0,00 |
0,00 |
0,00 |
|
| Коэффициенты рентабельности |
|||||||
| Рентабельность продаж, ROS |
% |
0,2% |
3,2% |
4,1% |
7,6% |
-3,2% |
0,6% |
| Рентабельность собственного капитала, ROE |
% |
1,0% |
10,8% |
13,3% |
17,6% |
-7,4% |
2,1% |
| Рентабельность активов, ROA |
% |
0,8% |
9,1% |
11,3% |
15,5% |
-6,7% |
1,9% |
| Рентабельность оборотных средств |
% |
1,8% |
21,4% |
25,8% |
35,7% |
-15,0% |
4,1% |
| Рентабельность инвестицированного капитала, ROIC |
% |
1,0% |
10,7% |
13,2% |
17,6% |
-7,4% |
2,1% |
| Выручка на одного сотрудника (в год) |
672,28 |
501,23 |
501,63 |
386,55 |
382,75 |
533,61 |
|
| Коэффициенты деловой активности |
|||||||
| Период сбора дебиторской задолженности, CP |
дн. |
12,39 |
16,59 |
18,25 |
22,87 |
26,49 |
20,60 |
| Период сбора кредиторской задолженности, CP |
дн. |
13,50 |
12,31 |
11,16 |
11,24 |
7,89 |
6,45 |
| Период оборачиваемости запасов |
дн. |
22,74 |
31,74 |
33,74 |
46,98 |
39,37 |
30,73 |
| Период оборачиваемости активов |
дн. |
95,81 |
128,53 |
131,30 |
175,47 |
169,72 |
120,98 |
| Период оборачиваемости основных средств |
дн. |
54,20 |
74,02 |
73,95 |
99,25 |
93,67 |
66,00 |
1.2.2 Цели внедрения системы бюджетирования
Внедрение системы бюджетирования на предприятии преследует следующие цели:
· Рост эффективности использования имеющихся в распоряжении компании и ее отдельных структурных подразделений ресурсов, активов (материальных и нематериальных) и ответственности руководителей различного уровня управления за предоставленные в их распоряжение ресурсы и активы (за превышение лимитов товарных запасов, за просрочку оплаты товарных кредитов и т. п.).
· Создание возможности для оценки инвестиционной привлекательности отдельных бизнесов (сфер хозяйственной деятельности), которые реализует или которыми собирается заняться в будущем предприятие или фирма.
· Повышение обоснованности выделения финансовых (прежде всего инвестиций и кредитов) и нефинансовых ресурсов (товарных кредитов) по отдельным направлениям хозяйственной деятельности и видам бизнеса компании; более точное определение направлений инвестиционной политики, направлений реструктуризации предприятия.
· -Превращение компании в “финансово прозрачную”, понятную в финансовом отношении для тех, кто вложил в данный бизнес свои деньги.
· -Укрепление финансовой дисциплины и сочетание стимулирования более эффективной работы структурных подразделений в интересах всей организации.
· Проведение постоянного мониторинга финансовой эффективности отдельных видов хозяйственной деятельности и структурных подразделений.
· Контроль за изменением финансовой ситуации в компании; повышение финансовой устойчивости и улучшение финансового состояния компании в целом, отдельных структурных подразделений и видов бизнеса.
1.2.3. Функции системы бюджетирования
Будучи комплексным управленческим процессом, бюджетирование оказывает столь же комплексное влияние на деятельность аппарата управления. Среди основных функций системы бюджетирования можно выделить следующие:
1. Планирование и координация . Это - основные функции системы бюджетирования. С одной стороны, бюджет конкретизирует стратегические корпоративные планы, а с другой - консолидирует информацию тактического и оперативного характера. Таким образом, в бюджете как бы «связываются» между собой стратегическая и оперативно-тактическая плоскости планирования. Поэтому корпоративный бюджет, по сути, устанавливает определенные рамки, внутри которых принимаются все последующие управленческие решения. Развитие предприятия становится более планомерным и предсказуемым, поскольку вероятность неадекватных шагов и разного рода «перекосов» сводится к минимуму.
2. Принятие решений и делегирование полномочий . Корректно поставленная система бюджетирования подразумевает четкие процедуры принятия управленческих решений и соответствующее разграничение ответственности. При этом право (и обязанность) принятия решений делегируется именно тому менеджеру, который отвечает за соответствующую область деятельности. При этом снижается нагрузка на руководителей высшего уровня - им больше не приходится тратить время на принятие решений, находящихся в компетенции подчиненных. Что касается менеджеров среднего звена, то в условиях отсутствия излишнего вмешательства «сверху» они получают новые возможности для проявления инициативы и реализации своего потенциала.
3. Оценка деятельности . Показатели исполнения бюджета и могут служить одной из характеристик текущей позиции предприятия и качества бизнеса. Достижение запланированных показателей и отсутствие негативных отклонений факта от плана свидетельствуют о стабильности и устойчивости. Наоборот, существенные отклонения факта от плана говорят либо о несовершенстве системы планирования, либо о недостаточной предсказуемости самого бизнеса.
4. Оценка и переоценка тенденций . Как известно, построение бюджетов основывается на прогнозах, и прежде всего на прогнозе продаж. Поэтому корпоративный бюджет во многом отражает состояние «внешней среды», точнее - оценку ее динамики в будущем. Мониторинг исполнения бюджета и анализ отклонений может оказать неоценимую помощь в случаях, когда базовые ожидания, прогнозы и тренды требуют переосмысления. Это может произойти как из-за погрешностей в первоначальных прогнозах, так и при изменении внешних тенденций.
5. Взаимодействие и мотивация персонала . Деятельность по формированию, корректировке, контролю и анализу бюджета предусматривает тесное общение сотрудников практически всех служб организации. Кроме того, бюджет должен оказывать мобилизующее воздействие и обеспечивать заинтересованность персонала в достижении запланированных показателей.
6. Контроль и анализ . Регулярное сопоставление достигнутых результатов с запланированными дает возможность анализировать отклонения и своевременно принимать необходимые решения. Внешние условия могут изменяться, при этом в корпоративный бюджет также должны вноситься необходимые коррективы. Причем вариации внешней среды должны восприниматься системой бюджетирования отдельно от отклонений, возникших по причинам внутреннего характера.
1.3.1.Обоснование использования специализированной системы бюджетирования
Часто для целей бюджетирования используются обычные электронные таблицы. Это один из наиболее простых, доступных и популярных инструментов. Электронные таблицы незаменимы для малого бизнеса; они также могут принести пользу и на более крупных предприятиях, которые только начинают строить свою систему бюджетирования. Однако, по мере вовлечения в этот процесс все новых и новых подразделений, усложнения методологии и роста объема данных, электронные таблицы (как инструмент бюджетирования) быстро достигают предела своих функциональных возможностей. Кроме того, электронные таблицы не автоматизируют процесс взаимодействия различных подразделений при формировании бюджета, что увеличивает период подготовки планов.
Еще одна категория систем, используемых для бюджетирования - корпоративные системы управления (ERP-системы).
ERP (Enterprise Resource Planning) - автоматизация и оптимизация внутренних бизнес-процессов, планирование как материальных, так и финансовых ресурсов в масштабе предприятия; - используется для описания компонентов "производство", "логистика", "финансы". ERP-системы имеют в основе принцип создания единого хранилища данных, содержащего всю деловую информацию, накопленную организацией в процессе ведения бизнеса
Такие системы называют транзакционными, поскольку их основное назначение - планирование, учет и обработка операций. В то же время даже сами разработчики ERP-систем признают, что их системы не обеспечивают выполнение абсолютно всех функций управления, поэтому для отдельных, более детальных и специфических задач (в том числе и для бюджетирования) рекомендуется использование специализированных программных продуктов, в качестве «надстройки» над корпоративной системой управления.
Функциональность специализированного программного обеспечения позволяет полностью преодолеть ограниченность корпоративных систем, поскольку оно изначально разрабатывалось для задач бюджетирования. Такой программный продукт содержит всю необходимую для бюджетирования функциональность, в том числе специальную. К специальным функциям программных продуктов бюджетирования, в частности, относятся: ведение аналитических направлений и классификаторов, описание финансовой структуры и принципов взаимодействия, расчет показателей деятельности, анализ отклонений и другие. Причем реальная работоспособность всех этих функций подтверждается опытом многочисленных предприятий - пользователей такой системы. Используя специализированную систему бюджетирования, финансовый менеджер может не опасаться того, что рано или поздно он столкнется с проблемами, решение которых система не сможет обеспечить.
Кроме того, специализированная система бюджетирования довольно легко интегрируется с другими системами управления, в том числе с системами класса ERP. Ведь именно ERP-система оперирует внутренними данными отделов и департаментов и, таким образом, выполняет роль поставщика информации для системы бюджетирования. Для обеспечения такой интеграции существуют разные способы. Например, помимо «традиционных» способов (импорт/экспорт через текстовые файлы, электронные таблицы, встроенный ODBC-драйвер), можно организовать «бесшовную» интеграцию с ERP-системами при помощи специального пакета (через специальные адаптеры).
Как показывает опыт ведущих международных компаний, сочетание специализированной системы бюджетирования с корпоративной системой класса ERP, является наилучшим решением, обеспечивающим весь комплекс функций бюджетирования, столь необходимых для полноценного управления современным предприятием.
1.3.2. Предварительное экономическое обоснование
Внедрение современной системы бюджетного планирования является эффективным средством снижения отрицательного воздействия негативных факторов на деятельность предприятия. При этом источником дополнительного дохода можно рассматривать недопущение ущерба основной деятельности предприятия.
При оценке эффективности внедрения системы бюджетного планирования деятельности предприятия с точки зрения снижения потерь их необходимо разделить на потери от факторов прямого и непрямого действия.
Оценку потерь предприятия можно получить, если использовать экспертные оценки вероятностей наступления неблагоприятных событий (рисков) и масштаб воздействия этого события на соответствующий показатель деятельности предприятия.
Потери от факторов прямого действия (оперативные потери или упущенные выгоды) непосредственно связаны с деятельностью конкретного звена в определенном бизнес-процессе. Ожидаемая прибыль в этом случае продемонстрирована на рис. 3. Потери от факторов непрямого действия (стратегические потери) связаны с рисками потери существенной информации, управленческих решений, кадровыми рисками, неэффективного использования времени высших менеджеров и др. Ожидаемая прибыль в этом случае продемонстрирована на рис. 4.
Внедрение системы бюджетного планирования деятельности предприятия в части производственного планирования, управления складскими запасами, снабжения и сбыта позволяет проводить проверку возможностей удовлетворить каждую специфическую потребность клиента в конкретные сроки.
Работа по формированию заказа клиента может проводиться в присутствии и даже с непосредственным участием клиента, что практически исключает возможность его обращения в этот период к другим поставщикам.
Рис. 3. Прибыль от снижения потерь от факторов прямого действия
Процесс бюджетного планирования также позволяет проследить весь финансовый контур операции и определить ее конечную эффективность, что дает возможность применения соответствующих систем стимулирования к ответственным за осуществление данной операции.
Общий эффект снижения потерь после внедрения системы бюджетного планирования от несовершенства финансового учета составляет примерно 2–3 % от общего объема расчетов предприятия.
Система бюджетного планирования позволяет получать информацию об отклонениях от планового уровня затрат по каждой статье в разрезе как основных факторов, так и центров ответственности за действие или смягчение действия данных факторов.
Система бюджетного планирования позволяет отслеживать реальные места возникновения накладных расходов. В результате становится возможным создание системы отношений, при которой руководители подразделений вместо «выбивания» дополнительных ресурсов будут стремиться к освобождению от неэффективно используемых активов. Процесс бюджетного планирования дает возможность также рассчитать полную стоимость конкретных управленческих функций предприятия. В результате появляется база для сопоставления затрат на реализацию конкретных функций внутри предприятия с ценами подобных услуг специализированных фирм на внешнем рынке и поставить задачу соответствующим руководителям по сокращению затрат.
Система бюджетного планирования позволяет получить информацию о состоянии конкретного материального ресурса в любом месте хранения в соответствии со всеми имеющимися внешними и внутренними документами по его перемещению.
Внедрение системы бюджетного планирования позволяет практически полностью избавиться от избыточных производственных запасов, порождаемых ошибками традиционной системы планирования. Она дает возможность точно подсчитать потребность в каждом ресурсе на каждый период в соответствии с имеющимся планом производства и утвержденными заявками по смете.
Использование бюджетного планирования практически исключает случаи недостаточного заказа материальных ресурсов с соответствующими потерями вследствие их последующей закупки на срочных условиях по более высоким ценам.
Снижение потерь от факторов непрямого действия образуют резерв повышения эффективности в работе предприятия, значительно превышающий размер непосредственного эффекта от внедрения системы бюджетного планирования.
Первым направлением из данной группы является повышение эффективности использования времени высших менеджеров компании. При отсутствии интегрированной информационной системы руководители вынуждены получать большинство реальной информации в процессе проведения совещаний, в рамках которых производится взаимная проверка сведений, предоставляемых различными службами. Из опыта известно, что время данных совещаний составляет, по крайней мере, 25 % от общего фонда рабочего времени руководителя. В рамках использования системы бюджетного планирования деятельности предприятия руководители имеют возможность мгновенно получить информацию в любом интересующем разрезе, на сбор которой ранее пришлось бы затратить несколько дней группы сотрудников различных подразделений.
В сфере управления персоналом использование системы бюджетного планирования дает возможность систематического анализа эффективности работы каждого подразделения и сотрудника. Фактически формируется информация, необходимая как для принятия организационных решений, связанных с расстановкой кадров.
1.3.3 Критерии оценки систем бюджетирования
Рассмотрим критерии оценки систем бюджетирования и подходы в их автоматизации со следующих позиций:
Состав и свойства информационных объектов
1. Измерения бюджетных статей :
· Хранение значений во временных периодах - день, месяц, квартал, год - для обеспечения различных режимов планирования и учета.
· Неограниченная иерархия статей бюджета.
· Собственное и консолидированное состояние, план, факт, отклонение - абсолютное и процентное.
· Возможность учета значений статьи в разных валютах и натуральном измерении.
· Дополнительная аналитика статей, необходимая для реализации таких возможностей, как, например, учет остатка невыполнения плана в условиях его перевыполнения внеплановыми операциями.
· Проводки по бюджетным статьям, позволяющие документировать изменение значений статей.
2. Планы статей бюджета . Их должно быть как минимум три: бюджет доходов и расходов, бюджет движения денежных средств, а также бюджет активов и пассивов (баланс).
3. Первичная информация , используемая при расчете плановых и фактических значений бюджетных статей.
Функциональность и алгоритмы системы бюджетирования
1. Алгоритмы планирования :
· Расчет значений статей по временному горизонту планирования.
· Расчет значений статей по центрам финансовой ответственности.
· Применение статистических методов расчета для отражения в бюджете логики объемных операций, учет сезонных колебаний.
· Расчет значений статей на основании значений других статей.
· Расчет значений статей по бюджетным документам и другой первичной информации.
· Реализация технологии «скользящего бюджета».
2. Алгоритмы учета исполнения бюджета .
· Учет факта на основании данных бухучета.
· Расчет значений статей по данным внесистемного учета, по бюджетным документам и другой первичной информации.
3. Аллокации и трансферты . Эти алгоритмы призваны обеспечить перераспределение доходов и расходов по центрам финансовой ответственности в связи с учетом общекорпоративных затрат, а также при применении внутреннего ценообразования на ресурсы, материальные ценности, товары и т.д.
4. Алгоритмы расчета финансовых результатов . Эти алгоритмы одинаково важны как при планировании, так и при учете исполнения бюджета. Себестоимость, маржа, рентабельность продуктов, активов, капитала, прибыль, оборачиваемость активов - все это показатели технологии финансового управления, являющиеся итогами выполнения тех или иных этапов бюджетирования.
Организация работы пользователей с системой
1. Удобства в работе с системой .
· Утверждение статей и планов.
· Визуализация расхождений.
· Контроль ошибок.
· Версионность планов. Поддержка нескольких вариантов плана бюджета.
· Возможность одновременного планирования в произвольных временных периодах.
· Возможность изменять состав и структуру статей одновременно для плана и факта (исполнения) бюджета.
· Средства анализа бюджета: ранжирование, кластерный анализ, тренды, анализ отклонений, долей и т.д.
2. Типы пользователей и права доступа . Типы пользователей и ассоциированные с ними различные права доступа как к функциям (алгоритмам) системы, так и к данным системы должны максимальным образом удовлетворять требованиям к безопасности данных, принятым в конкретном предприятии.
Архитектура, платформа, средства интеграции
1. Архитектура. Самым важным вопросом при рассмотрении архитектуры системы является ее построение в виде файловой системы или системы с единой базой данных. Архитектура системы с единой базой данных подразумевает применение технологии «клиент-сервер». Эта архитектура может быть реализована как двухуровневая, так и многоуровневая (с выделенным сервером расчетов, сервером для организации взаимодействия с пользователями и т.д.)
2. Программно-аппаратная платформа - сервер базы данных и сервера приложений, платформа для организации рабочих мест, требования к сетевым коммуникациям.
3. Средства расширения функций системы :
· Наличие в системе генераторов отчетов. К ним могут относиться специализированные конструкторы отчетов, OLAP-средства, встроенные генераторы отчетов типа «одна кнопка» для конечных пользователей.
· Наличие в системе языка формул и/или скриптового языка - для реализации алгоритмов расчетов.
4. Средства интеграции с другими средствами автоматизации предприятия :
· Возможности по интеграции с офисными приложениями.
· Применение XML для интеграции с другими системами автоматизации предприятия.
Стоимость лицензий
Выделим три ценовых диапазона по стоимости системы: дешевые программные продукты (до 1 000 долл. США), продукты средней стоимости (от 1 до 10 тыс. долл. США) и дорогие системы (свыше 10 000 USD). Под стоимостью продукта при этом понимается средняя стоимость закупаемых лицензий системы типичной компанией-клиентом
2. ПРОЕКТНАЯ ЧАСТЬ
2.1. Логическая последовательность процесса бюджетирования
Последовательность формирования основного бюджета удобно представить в виде блок-схемы (рис. 5). Данная блок-схема не отражает всех возможных взаимосвязей между бюджетами, но описывает логическую последовательность процесса бюджетирования.

Рис. 5. Блок-схема процесса бюджетирования организации.
2.2. Методология расчета сводного бюджета предприятия
Общий бюджет представляет собой скоординированный по всем подразделениям или функциям план работы для организации в целом. Он состоит из двух основных бюджетов – операционного и финансового бюджетов.
Бюджет следует рассматривать как систему организационного взаимодействия центров планирования (ЦП), центров финансовой ответственности (ЦФО) и центров затрат (ЦЗ), направленную на составление обоснованных бизнес - прогнозов по функциональным областям деятельности предприятия и дальнейшего получения на их основе бизнес - заданий посредством финансово-хозяйственного моделирования.
Методология формирования общего бюджета организации представлена на рисунке 6.
Рис. 6. Методология формирования общего бюджета организации
2.2.1. Формирование системы бизнес-прогнозов для расчета сводного бюджета предприятия
Бюджетное планирование на предприятиях во многом зависит от качества прогнозов основных показателей их производственной деятельности, рыночной конъюнктуры, состояния денежного обращения, курса рубля и т.д.
Бизнес-прогнозы представляют собой совокупность плановых данных, отражающих особенности внешней и внутренней среды предприятия на плановый период. Бизнес-прогнозы дифференцируются по направлениям прогнозирования: спрос, нормируемые затраты, налогообложение, инфляция и т.д. Каждый центр планирования отвечает за строго определенный бизнес-прогноз
2.2.1.1. Бизнес-прогнозы для расчета операционных бюджетов
Для того чтобы выполнить расчет операционных бюджетов предприятия необходимо подготовить следующие бизнес прогнозы:
1. Курсы валют и инфляция
Методический инструментарий прогнозирования годового темпа и индекса инфляции основывается на ожидаемых среднемесячных ее темпах. Такая информация содержится в публикуемых прогнозах экономического и социального развития страны на предстоящий период. Результаты прогнозирования служат основой последующего фактора инфляции финансовой деятельности предприятия.
При прогнозировании годового темпа инфляции используется следующая формула:
ТИг = (1+ ТИм )12 -1, где
ТИг –прогнозируемый годовой темп инфляции, выраженный десятичной дробью;
ТИм – ожидаемый среднемесячный темп инфляции в предстоящем периоде, выраженный десятичной дробью.
По указанной формуле может быть рассчитан не только прогнозируемый годовой темп инфляции, но и значение этого показателя на конец любого месяца предстоящего года.
При прогнозировании годового индекса инфляции используются следующие формулы:
ИИг = 1+ ТИг ;
или
ИИг = (1+ ТИм )12 , где
ИИг – прогнозируемый годовой индекс инфляции, выраженный десятичной дробью;
ТИг – прогнозируемый годовой темп инфляции, выраженный десятичной дробью (рассчитанный по ранее приведенной формуле);
ТИм – ожидаемый среднемесячный темп инфляции, выраженный десятичной дробью.
При планировании расчетов в иностранной валюте российские компании используют прогнозный курс на предстоящий период для формирования сводных бюджетных форм.
Валютные курсы формируются на мировом валютном рынке в зависимости от спроса и предложения, которые определяются многими факторами. Непосредственно на курс валюты влияют состояние ее платежного баланса, разницы процентных ставок на международных денежных рынках, степень использования валюты данной страны на еврорынке и в международных расчетах, доверие к валюте страны и другие факторы.
2. Индексы изменения цен
На данном этапе необходимо составить перечень цен по основным статьям бюджета предприятия: готовая продукция; сырье и материалы; энергетика и т.д., а также охарактеризовать прогнозные колебания стоимости вышеуказанных бюджетных статей. Наиболее важная задача этапа – определение ценовой политики предприятия
В современных условиях российские предприятия, осуществляя планирование реализации товара с наибольшей выгодой, могут применять нормативно-параметрические методы ценообразования:
· сравнение удельных показателей товара - отношение цены товара к главному параметру, определяющему полезность потребительской ценности замещаемых товаров, относится к предварительной ("грубой") оценки товара;
· метод регрессивного анализа позволяющий найти эмпирическую формулу зависимости цены от технико-экономических параметров изделий с помощью построение системы нормальных уравнений и расчета коэффициентов регрессии. Цена выступает как функция параметров.
· агрегатный метод сравнения и формирования цены заключается в суммировании цен отдельных конструктивных частей параметрического ряда продукции с добавлением стоимости узлов и комплектующих;
· балльный способ сопоставления цен устанавливает число баллов по значимости параметров изделий для потребителей на основе экспертных оценок, суммирование которых определяет интегральную оценку технико-экономического уровня изделия. Умножением суммы баллов по новому виду продукции на стоимостную оценку одного балла определяется общая ориентировочная оценка нового изделия;
· методы экспертной оценки потребительских достоинств и предложения на этой основе уровня его цены основаны на результатах опроса или коллективного суждения экспертов о возможной рыночной ценности товара, размерах спроса на него и выработке предложений о цене товара.
Индекс цен - показатель динамики, увеличения или уменьшения цен, характеризующий относительное изменение цен на планируемый период.
Для расчета операционных бюджетов, установления прогнозных цен, необходимо:
1. сформировать группы по доходным и расходным статьям бюджета - реализуемая продукция, сырье, энергоресурсы и др.;
2. определить уровень и неоднородность инфляции - различие темпов роста цен по видам продукции и ресурсов.
Для учета неоднородности инфляции удобно ввести базисные коэффициенты неоднородности и коэффициенты неоднородности темпов роста цен для каждого бюджетного элемента в конкретном планируемом периоде. На основании прогнозного уровня инфляции и коэффициентов неоднородности определить индексы цен на продукцию и материальные ресурсы для расчета прогнозных цен.
3. Расчеты с покупателями.
Данный этап предназначен для определения состава потенциальных покупателей продукции, а также основных направлений политики предприятия в области коммерческой деятельности. В этих целях необходимо определить положение предприятия на рынке, проработать положения снабженческо-сбытовой политики, а также обеспечить должную организацию и функционирование сбытовой службы организации. Определяется стратегия выхода предприятия на рынок, варианты выхода на различные сектора и сегменты рынка, емкость рынка сбыта, портфель заказов, доля предприятия на рынке и ее динамика, ценовая стратегия, рост производства. Определяются основные потребности потребителей, пути выхода на них, вероятность появления новых потребителей, платежеспособность потребителей и их обязательность в платежах, расположение потребителей, способы доставки продукции до них.
Прогноз сбыта – важнейший элемент планирования деятельности предприятия. Используются две группы методов прогноза сбыта:
1. анализ тренда, анализ доли на рынке, коллективные оценки специалистов или экспертов, опрос потребителей и др.;
2. метод последовательных соотношений, метод наращивания рынка, методы статистического анализа.
Прогноз рекомендуется составлять на год с разбивкой по месяцам или даже неделям. Во внимание принимаются возможные сезонные колебания объемов продаж (в натуральном и стоимостном выражениях). В связи с этим прогноз систематически корректируется в зависимости от реальных результатов продаж.
Прогнозируемая структура продаж разбивается по отдельным ассортиментным группам, потребителям, временным периодам и т.д. При этом определяется доля рынка, которую держит предприятие на рынке определенного вида продукции. Рыночные доли могут устанавливаться по числу покупателей, по объемам продаж, по обороту.
4. Складские запасы и незавершенное производство.
Планирование складских запасов в рамках общей процедуры бюджетирования имеет немаловажное значение. Для промышленного предприятия прогнозирование складских запасов следует вести в двух направлениях:
· по запасам сырья и материалов;
· по запасам готовой продукции
1. Прогноз запасов сырья и материалов необходим для корректного формирования бюджета закупок, рассчитываемого с учетом потребности на производственную программу, имеющихся остатков на складе и нормативного страхового запаса:
Планируемая величина закупки компонента = Плановая потребность в компоненте по нормам на производственную программу -
-Остаток компонента на начало периода + Количество компонента, необходимое для формирования нормативного страхового запаса на складе
2. Прогноз запасов готовой продукции влияет на правильное формирование производственной программы, рассчитываемой с учетом спроса на продукцию, имеющихся остатков на складе и производственных возможностей предприятия
План производства продукта = Спрос на продукт - Остаток продукта на начало периода - Количество продукта, ограничиваемое производственными возможностями + Количество продукта, необходимое для формирования нормативного страхового запаса на складе для обеспечения ритмичности отгрузки
В свою очередь, каждое из направлений прогнозирования необходимо разделять на две составляющие:
- Прогнозирование остатков на начало планового периода;
- Расчет нормативных величин страховых запасов.
Прогнозирование остатков на начало планового периода.
Если проведенный анализ динамики складских запасов по фактическим данным показывает, что на начало каждого месяца они находятся примерно на одном и том же уровне (такая ситуация может возникать либо при ритмичной работе предприятия и поддержании на складе нормативных страховых запасов, либо при наличии на складе "мертвых запасов"), то в качестве остатков на начало планируемого года можно взять имеющиеся сведения об остатках, например, на 1 ноября или 1 декабря текущего года. Если уровень запасов не стабилен, а политика управления производством прогнозируемо приведет к изменению складских запасов к началу планового года, то для расчета остатков целесообразно воспользоваться следующими формулами:
Для расчета остатков сырья и материалов на начало планируемого года:
Остаток компонента на начало планируемого года = Остаток компонента на текущий момент + Величина закупки компонента в соответствии с планом текущего года - Плановый расход компонента на производственную программу
Для расчета остатков готовой продукции на начало планируемого года:
Остаток продукта на начало планируемого года = Остаток продукта на текущий момент + Планируемая величина производства продукта - Планируемая отгрузка продукта
Расчет нормативных величин страховых запасов
Целью создания страхового запаса является обеспечение производства в случае каких-либо сбоев в процессе поставки. Расчет нормативного страхового запаса осуществляется по формуле:
Зстр = Мп (То + Ттр + Тпр + Тпод), где
Мп – среднемесячное потребление материала;
То – время на отгрузку материала поставщиком;
Ттр – время транспортировки;
Тпр – время на приемку материала потребителем;
Тпод – время на подготовку материала к производству.
Страховой запас готовой продукции формируется для компенсации колебаний между спросом и предложением. Его величину можно задать в процентах от месячного объема продаж, либо в днях запаса.
Прогнозирование незавершенного производства.
Размер незавершённого производства в стоимостном выражении, планируемый при разработке производственной программы, может рассчитываться по формуле:
НЗП = Тц х Стп х Кн.з./ Дп, где
Тц - длительность производственного цикла, дней;
Стп - себестоимость выпуска товарной продукции;
Кн.з. - коэффициент нарастания затрат;
Дп - количество дней в плановом периоде.
Коэффициент нарастания затрат определяется по формуле:
Кн.з. = (Ум + 1) / 2 , где
Ум - удельный вес материальных затрат в себестоимости продукции.
5. Производственные мощности предприятия.
Производственная мощность предприятия (цеха или производственного участка) характеризуется максимальным количеством продукции соответствующего качества и ассортимента, которое может быть произведено им в единицу времени при полном использовании основных производственных фондов в оптимальных условиях их эксплуатации.
Производственная мощность – величина динамичная, изменяющаяся под влиянием различных факторов. Поэтому она рассчитывается применительно к определенному периоду времени и даже календарной дате. Мощность определяется на начало планового периода – входная мощность и на конец планового периода – выходная мощность. Последняя рассчитывается по формуле:
Мк = Мн + Мс + Mр + Мо + Мнз – Мв , где
Мк – мощность на конец планового периода; Мн – производственная мощность на начало планового периода; Мс – ввод мощностей в результате строительства новых, расширения действующих мощностей; Мр – прирост мощности вследствие реконструкции; Mо – увеличение мощности в результате технического переоснащения и проведения других организаионно-технических мероприятий; Мнз – увеличение (уменьшение) мощностей вследствие изменения номенклатуры продукции; Мв – уменьшение мощности вследствие ее выбытия. Кроме входной и выходной мощностей определяется также величина среднегодовой мощности (Мср ) по формуле:
Мср = Мн + ((Мс * Тс + Мр * Тр + Мо * То + Мнз * Тнз - Мв * Тв ) / 12), (3.13.), где
Тс , Тр , То , Тнз , Тв – сроки действия соответствующих мощностей с момента их введения и до конца планового года.
В целях определения производственных мощностей предприятия для расчета бюджета каждый продукт закрепляется за соответствующей установкой, по которой определяется суточная мощность выпуска и запланированные остановки, когда производство изделия прекращается.
После внесения суточной мощности происходит расчет месячных мощностей выпуска каждого продукта по следующей формуле:
Мм = Мс * N, где
Мс – суточная мощность установки по продукту;
N – количество рабочих дней месяца.
6. Нормируемые затраты.
Функцию нормирования следует рассматривать как процесс разработки научно обоснованных расчетных величин, устанавливающих количественную и качественную оценку различных элементов, используемых в процессе производства и управления. Эта функция оказывает воздействие на поведение объекта, четкими и строгими нормами дисциплинирует разработку и реализацию производственных заданий, обеспечивая равномерный и ритмичный ход производства, его высокую эффективность. Рассчитываемые по этой функции календарно-плановые нормативы (производственные циклы, размеры партий, заделов деталей и др.) служат основой планирования, определяют продолжительность и порядок движения предметов труда в процессе производства.
Существуют следующие виды нормируемых затрат:
· нормы оплаты труда
· нормы расхода сырья и материалов
· нормы потребления энергоресурсов.
Нормируемые затраты планируются для каждого продукта отдельно по соответствующим статьям затрат и участвуют в расчете общей потребности предприятия на производственную программу и расчете себестоимости продукции.
7. Условно-постоянные затраты.
Бизнес-прогноз «Условно-постоянные затраты» предназначен для планирования косвенных расходов, связанных с производством и реализацией продукции, работ, услуг и внереализационных расходов предприятия и взаимоувязан с дополнительными прогнозами «Распределение косвенных затрат» и «Генерация потребностей».
К условно-постоянным затратам относятся общепроизводственные и общезаводские расходы.
Прогноз общепроизводственных расходов представляет собой детализированный план предполагаемых производственных затрат, отличных от прямых затрат материалов и прямых затрат труда, которые должны быть понесены для выполнения производственного плана в будущем периоде.
Этот прогноз имеет две цели:
· интегрировать все прогнозы общепроизводственных расходов, разработанные менеджерами по производству и его обслуживанию;
· аккумулируя эту информацию, предоставить данные для вычисления нормативов этих расходов на предстоящий учетный период.
Прогноз общих административных расходов представляет собой детализированный план текущих операционных расходов, отличных от расходов, непосредственно связанных с производством и сбытом, но необходимых для поддержания деятельности в целом в будущем периоде. Разработка такого прогноза нужна для обеспечения информации, для оценки объема необходимых средств, а также для целей контроля этих расходов.
8. Расчеты с поставщиками
Этап сбора информации о контрагентах в рамках бюджетного планирования имеет цель определения состава потенциальных поставщиков сырья и материалов, а также основных направлений политики предприятия в области снабжения. С каждым поставщиком предприятие может иметь один или более контрактов на покупку сырья и материалов, содержащих индивидуальные параметры: базовую цену; жестко заданное изменение цен по месяцам (в случае если оно отлично от индекса изменения цен по данной статье); объем предложения поставщика или снятие ограничений по объему, если предложение поставщика не ограничено или достаточно для предприятия; отсрочку платежа или требуемую предоплату; вероятность совершения сделки по данному контракту (определяет приоритетность покупок при формировании бюджета закупок предприятия); процент оплаты деньгами и т.д. Если по контракту с поставщиком требуется производить предоплаты, то необходимо указать авансы на конец периода, чтобы получить правильный расчет выплат последнего месяца.
Для составления прогноза можно выбрать один из следующих способов планирования расчетов с поставщиками:
- проранжировать поставщиков по объему поставок за прошлые периоды, выбрать по каждой позиции закупаемого материала 1-3х поставщиков, на долю которых приходится большая часть поставок, и внести их в систему для участия в расчете бюджета.
- объединить поставщиков в условные группы по ценовому признаку, условиям оплаты и поставки, т.к., как правило, в одной отрасли под влиянием конкуренции складываются схожие параметры предложения.
При этом необходимо как можно точнее представить и заложить в бюджет ценовую политику взаиморасчетов с поставщиками либо на основе сложившихся тенденций по данным анализа изменения цен прошлых лет, либо на основе условий контракта или проведенных переговоров.
2.2.1.2. Бизнес-прогнозы для расчета финансового бюджета
Для того чтобы выполнить расчет финансового бюджета предприятия необходимо подготовить следующие бизнес прогнозы:
1. Дебиторская и кредиторская задолженность прошлых лет
Формирование политики управления дебиторской задолженностью предприятия осуществляется по следующим основным этапам.
1. Анализ дебиторской задолженности предприятия в предшествующем периоде. На первом этапе анализа оценивается уровень дебиторской задолженности предприятия и его динамика в предшествующем периоде.
На втором этапе анализа определяются средний период инкассации дебиторской задолженности и количество ее оборотов в рассматриваемом периоде.
На третьем этапе анализа подробно рассматривается состав просроченной дебиторской задолженности, выделяются сомнительная и безнадежная задолженность. В процессе этого анализа используются следующие показатели: коэффициент просроченности дебиторской задолженности и средний «возраст» просроченной (сомнительной безнадежной) дебиторской задолженности.
На четвертом этапе анализа определяют сумму эффекта, полученного от инвестирования средств в дебиторскую задолженность.
2. Формирование принципов кредитной политики по отношению к покупателям продукции. Тип кредитной политики характеризует принципиальные подходы к ее осуществлению с позиции соотношения уровней доходности и риска кредитной деятельности предприятия. Различают три принципиальных типа кредитной политики предприятия : консервативный, умеренный и агрессивный.
3. Определение возможной суммы финансовых средств, инвестируемых в дебиторскую задолженность по товарному (коммерческому) и потребительскому кредиту. Расчет необходимой суммы финансовых средств, инвестируемых в дебиторскую задолженность, осуществляется по следующей формуле:
Идз = (ОРк * Кс/ц * (ППКср + ПРс ) / 360), где
Идз – необходимая сумма финансовых средств, инвестируемых в дебиторскую задолженность;
ОРк – планируемый объем реализации продукции в кредит;
Кс/ц – коэффициент соотношения себестоимости и цены продукции, выраженный десятичной дробью;
ППКср – средний период предоставления кредита покупателям, в днях;
ПРср – средний период просрочки платежей по предоставленному кредиту, дни.
4. Формирование системы кредитных условий. В состав этих условий входят следующие элементы: срок предоставления кредита, размер предоставляемого кредита (кредитный лимит), стоимость предоставления кредита, система штрафных санкции за просрочку исполнения обязательств
5. Формирование стандартов оценки покупателей и дифференциация условий предоставления кредита. Включает следующие основные элементы:
· определение системы характеристик, оценивающих кредитоспособность отдельных групп покупателей;
· формирование и экспертизу информационной базы проведения оценки кредитоспособности покупателей;
· выбор методов оценки отдельных характеристик кредитоспособности покупателей;
· группировку покупателей продукции по уровню кредитоспособности;
· дифференциацию кредитных условий в соответствии с уровнем кредитоспособности покупателей.
6. Формирование процедуры инкассации дебиторской задолженности. В составе этой процедуры должны быть предусмотрены: сроки и формы предварительного и последующего напоминаний покупателям о дате платежей; возможности и условия пролонгирования долга по предоставленному кредиту; условия возбуждения дела о банкротстве несостоятельных дебиторов.
7. Построение эффективных систем контроля за движением и своевременной инкассацией дебиторской задолженности . Такой контроль организуется в рамках построения общей системы финансового контроля на предприятии как самостоятельный его блок.
Кредиторская задолженность может быть внутренней и внешней по отношению к предприятию. В рамках подготовки данных для бюджетного планирования необходимо оценить размер кредиторской задолженности на начало планируемого периода и определить период ее предполагаемого погашения.
2. Прочая деятельность
Прочая деятельность предприятия определяется реализацией основных средств, реализацией прочих активов, а также различными внереализационными доходами и расходами предприятия, такими как: штрафы, пени и неустойки и другие экономические санкции; проценты, полученные по суммам средств, числящихся на счетах предприятия и т.д.
Необходимость прогноза этих видов деятельности вызвана тем, что на некоторых предприятиях удельный вес доходов (расходов) от данных операций достаточно велик и значительно влияет на формирование прибыли предприятия.
Детализация доходов и расходов от прочих видов деятельности зависит от их специфики на конкретном предприятии.
3. Прогноз инвестиций.
Для того чтобы определить целесообразность вложения средств предприятия необходимо проработать различные варианты инвестиционных проектов. Работа по определению экономической эффективности инвестиционного проекта является одним из наиболее ответственных этапов, включающий детальный анализ и интегральную оценку всей технико-экономической и финансовой информации.
Для оценки инвестиционной деятельности могут применяться следующие показатели:
· соотношение капиталовложений в объекты производственного и непроизводственного назначения характеризует отвлечение средств на непроизводственное развитие;
· соотношение заемных и собственных средств в инвестиционной деятельности, характеризует привлекательность компании для инвесторов и зависимость от заемного капитала в инвестиционной деятельности;
· внутренняя норма доходности по каждому новому инвестиционному проекту, определяющая предельную эффективность капиталовложений. Норма дисконта, при которой дисконтированная стоимость притока реальных денег (поступлений от проекта) равна дисконтированной стоимости оттоков (инвестиций);
· соотношение освоения капиталовложений и финансирования приоритетных проектов (по основным проектам) характеризует степень использования средств, выделенных на приоритетные проекты;
· удельные капиталовложения определяю капиталоемкость вводимых мощностей.
4. Привлечение заемных средств.
Процесс формирования политики привлечения предприятием заемных средств включает следующие основные этапы.
1. Анализ привлечения и использования заемных средств в предшествующем периоде. Целью такого анализа является выявление объема, состава и форм привлечения заемных средств предприятием, а также оценка эффективности их использования.
2. Определение целей привлечения заемных средств в предстоящем периоде. Основными целями привлечения заемных средств предприятиями являются:
а) пополнение необходимого объема постоянной части оборотных активов.
б) обеспечение формирования переменной части оборотных активов.
в) формирование недостающего объема инвестиционных ресурсов.
г) другие временные нужды.
3. Определение предельного объема привлечения заемных средств . Максимальный объем этого привлечения диктуется двумя основными условиями;
а) предельным эффектом финансового левериджа.
б) обеспечением достаточной финансовой устойчивости предприятия.
4. Оценка стоимости привлечения заемного капитала из различных источников. Результаты такой оценки служат основой разработки управленческих решений относительно выбора альтернативных источников привлечения заемных средств, обеспечивающих удовлетворение потребностей предприятия в заемном капитале.
5. Определение соотношения объема заемных средств, привлекаемых на кратко- и долгосрочной основе. Расчет потребности в объемах кратко- и долгосрочных заемных средств основывается на целях их использования в предстоящем периоде.
6. Определение форм привлечения заемных средств: в разрезе финансового кредита, товарного (коммерческого) кредита, прочих форм.
7. Определение состава основных кредиторов. Определяется формами привлечения заемных средств.
8. Формирование эффективных условий привлечения кредитов:
срок предоставления кредита, ставка процента за кредит, условия выплаты суммы процента, условия выплаты суммы основного долга, прочие условия.
9. Обеспечение эффективного использования кредитов. Критерием такой эффективности выступают показатели оборачиваемости и рентабельности заемного капитала.
10. Обеспечение своевременных расчетов по полученным кредитам . С целью этого обеспечения по наиболее крупным кредитам может заранее резервироваться специальный возвратный фонд.
5. Основные фонды и нематериальные активы.
Для планирования амортизационных отчислений, расчета балансовой стоимости основных средств и нематериальных активов в бизнес-прогнозе «Амортизация» осуществляется:
· определение основных средств по группам однородных объектов;
· разнесение основных средств по центрам затрат;
· расчет амортизационных отчислений в соответствии с налоговым и бухгалтерским учетом;
· прогнозные поступления (ввод) и выбытие основных средств;
· определение первоначальной стоимости и суммы износа на начало планового периода;
· установление годовой нормы амортизации.
Амортизационные отчисления производятся по нормам амортизации. Норма амортизации – процент переноса стоимости фондов на стоимость продукции за период времени:
, где
Фо – первоначальная стоимость основных фондов
Л – ликвидац стоимость ОПФ,
Тсм - срок службы.
2.2.2. Формирование операционных бюджетов организации
Расчет бюджета продаж предприятия
Бюджет продаж формируется в натуральных и стоимостных показателях на год с месячной разбивкой и, как правило, определяет план отгрузки продукции. Данный бюджет формируется на основании бизнес – прогнозов расчеты с покупателями, прочая реализация на стадии расчета производственной программы предприятия посредством полного или частичного удовлетворения спроса клиентов.
Порядок составления бюджета продаж:
1. Определение объема продаж каждого продукта на первый месяц бюджетного периода в натуральном выражении;
2. Определение цены каждого продукта на первый месяц бюджетного периода;
3. Расчет месячного объема продаж для каждого продукта путем умножения значения в натуральных единицах на цену;
4. Определение возможную динамику цен (среднемесячный темп инфляции) и/или динамику сбыта (темп среднемесячного роста объемов продаж) на бюджетный период;
5. Расчет динамики продаж каждого продукта по месяцам путем умножения объема продаж за первый месяц бюджетного периода на соответствующий темп роста. Необходимо учитывать сезонные колебания;
6. Расчет объема продаж по каждому продукту за весь год путем суммирования за все месяцы бюджетного периода значения в каждом месяце;
7. Расчет объема продаж по всем продуктам по месяцам бюджетного периода путем суммирования по каждому продукту значения планируемые продажи;
Расчет производственной программы
Расчет производственной программы предприятия состоит из следующих этапов:
1. Анализируется возможность выпуска продуктов, находящихся на начало года в незавершенном производстве. Такие продукты считаются предопределенной производственной программой.
2. Увеличиваются производственные мощности предприятия на величину сверхнормативных запасов продукции предприятия.
3. Формируется производственная программа для удовлетворения потребностей структурных подразделений предприятия и обеспечения заданной величины нормируемых остатков. Для этих целей определяется программа выпуска требуемых продуктов, необходимых полуфабрикатов и сопутствующих продуктов.
4. Анализируется возможность удовлетворения спроса клиентов предприятия. Расчет производится последовательно в зависимости от ранжирования контрактов: контракты удовлетворяются по мере уменьшения ранга. Для каждого контракта определяется программа выпуска продуктов, необходимых полуфабрикатов и сопутствующих продуктов и происходит соответствующее уменьшение мощности. Следующий контракт рассчитывается уже по уменьшенным мощностям.
5. Анализируется ограничения отгрузки:
· Недостаток мощностей по конкретной продукции предприятия в каком либо месяце периода, то производится анализ недоиспользованных мощностей предшествующих месяцев, и в случае определения резерва предлагается создать остатки продукции для удовлетворения будущего спроса. Если такого резерва не обнаружено, то происходит отказ от отгрузки по контракту.
· Недостаток мощностей по полуфабрикатам, то первоначально анализируется возможность закупки полуфабриката (если это покупной полуфабрикат), затем – возможность его производства в предшествующие периоды. Если при анализе не обнаружено дополнительных альтернатив, то рассматриваются доступные на данный период рецептуры продукта, устраняющие возникший дефицит. Если такой возможности не найдено происходит отказ от отгрузки.
· Невозможность закупки необходимого количества компонентов у поставщиков предприятия. Проблема решается анализом возможности закупки в предшествующие периоды в пределах срока хранения компонента и емкости складов, а также проверкой доступных рецептур производства продукта. В случае отрицательного результата поиска происходит отказ от отгрузки.
6. Проверка выпуска сопутствующих продуктов. Если сопутствующий продукт не востребован, не может быть утилизирован (или слишком дорог для утилизации), не может быть положен на склад, если емкость складов недостаточна или предприятие не может себе позволить отвлекать оборотные средства в сверхнормативные запасы (данный критерий задается перед началом расчета), то происходит отказ от отгрузки основного продукта, чтобы уменьшить выпуск сопутствующего.
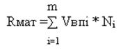
Расчет бюджета закупки сырья и материалов
Бюджет закупки формируется как план службы материально-технического снабжения и определяет потребность в приобретении сырья, материалов, комплектующих в натуральном и стоимостном выражении в планируемом периоде
Для формирования бюджета закупки сырья и материалов рассчитывается потребность в материалах для выполнения производственной программы:
, где
R мат - потребность в материалах для выполнения программы;
V вп - объем валового выпуска конкретного продукта,
Ni - норма расхода материала на единицу продукции,
m - количество продуктов.
В бюджете закупок потребность в материалах корректируется на величину складских запасов и увеличивается на объем опережающих закупок, обусловленных ограничениями поставки. Учитывая специфику производства, при согласовании планов объема выпускаемой продукции и времени, определяется потребность в расходовании материальных ресурсов с учетом срока обеспечения и незавершенного производства.
Общий объем закупок рассчитывается по формуле:
, где
∆Vскл - прирост складских запасов материалов,
∆ Vнзп -прирост материалов для изменения незавершенного производства,
Vупз - потребность в материалах для условно-постоянных затрат предприятия,
Vбуд - объем опережающих закупок для удовлетворения будущих потребностей.
Расчет бюджета закупки энергоресурсов
Бюджет закупки энергоресурсов рассчитывается в натуральном и стоимостном выражении аналогично бюджету закупки сырья и материалов и корректируется на величину возможного собственного производства энергоресурсов.
Объем приобретения энергоресурсов рассчитывается по следующей формуле:

Vвп - объем валового выпуска j-продукта
m - количество продуктов,
Ni - норма расходования энергии на единицу продукции
Vупзi - постоянная потребность в i-энергоресурсе для хозяйственных нужд
Vтрi - транзитная потребность суббабонентов в i-энергоресурсе
Vпотi - планируемые потери i-энергоресурса
Vпрi - объем производства i-энергоресурса
Бюджет закупок энергоресурсов в стоимостном выражении рассчитывается аналогично бюджету закупок материалов, согласно тарифной политике, установленной с поставщиком энергии.
Расчет бюджета оплаты труда
При расчете бюджета заработной платы учитываются суммы, исчисленные по тарифным ставкам, окладам, основным расценкам, а также все виды доплат. Предприятие само вправе выбирать системы и формы оплаты труда. Планирование фонда заработной платы производится на весь списочный состав предприятия.
При расчете бюджетного процесса фонд заработной платы формируется на основе прогноза производственной программы и условно-постоянных затрат в бизнес - прогнозе «Условно-постоянные затраты».
Общий фонд годовой заработной платы формируется следующим образом:
Заработная плата, выплачиваемая сдельщикам по расценкам и повременщикам по тарифным ставкам, составляет тарифный фонд.
Доплаты к тарифному фонду – премии за выполнение и перевыполнение плана, надбавки за работу в ночное время, за руководство бригадой, обучение учеников, доплаты подросткам – вместе с тарифным фондом составляют фонд часовой заработной платы.
Доплаты за работу в сверхурочное время, оплата сокращенных часов кормящим матерям, оплата простоев внутри рабочего дня вместе с часовым фондом образуют фонд дневной заработной платы.
Доплаты, установленные законом за не полностью отработанное время – невыходов, вызванных выполнением общественных и государственных обязанностей, отпусков и выходных пособий, целодневных простоев, составляют в сумме с фондом дневной заработной платы общий фонд годовой заработной платы.
Расчет бюджета коммерческих расходов
При составлении бюджета коммерческих расходов определяются затраты, обеспечивающие своевременность и полноту отгрузки продукции и продвижение ее на рынке в прогнозном периоде.
В зависимости от организации процесса бюджетирования и детализации системы планирования, расходы на продажу могут планироваться как в натуральных и стоимостных величинах, так и в процентном отношении от объема отгрузки.
Коммерческие расходы подразделяются на:
· переменные издержки, зависимые от объема продаж;
· условно-постоянные издержки, связанные с осуществлением коммерческой деятельности.
конкретного продукта, региона, или в целом отгрузки товаров по предприятию, и рассчитанные на основании установленного процента в прогнозе "Коммерческие нормируемые затраты";
Переменные коммерческие расходы рассчитываются только после формирования бюджета продаж, определяющего ассортимент и количество реализуемой продукции на основании установленного процента в прогнозе "Коммерческие нормируемые затраты".
Условно-постоянные коммерческие расходы распределяются на продукты согласно установленной учетной политики.
2.2.3. Формирование финансовых бюджетов организации
Расчет себестоимости продукции
На первом этапе определяются прямые переменные затраты на выпуск продукции по всем статьям производственной себестоимости путем произведения расходной нормы на единицу продукции, объема выпуска и средней цены единицы компонента. Отходы, полученные при производстве, приходуются на склад и вычитаются из прямых затрат по базовым ценам.
На втором этапе определяются общецеховые и общезаводские расходы, относящиеся на себестоимость продукции. Цеховые и общезаводские расходы рассчитываются на основании бизнес - прогнозов Амортизация, Условно-постоянные расходы и Налоги. К цеховым расходам относятся затраты на продукт или цех, производящий продукцию. Общезаводские расходы – это затраты на непроизводственные подразделения предприятия.
Дополнительно, себестоимость продукции корректируется расходами будущих периодов и уменьшается на себестоимость собственных услуг, планируемых в бизнес - прогнозе прочая реализация, с прогнозируемой нормой прибыли. Для элементов собственных услуг, определенных в структуре производства к конкретной установке цеха, уменьшаются цеховые затраты по цеху, иначе общезаводские.
Если продукт присутствует в структуре производства в нескольких цехах, то затраты распределятся равномерно по всем цехам. Затраты цеха, который ничего не производил, переходят на общезаводские.
На третьем этапе происходит распределение цеховых и общезаводских затрат по продуктам.
Цеховые расходы будут распределяться между продуктами, производимыми в цехе, относительно базовых статей:
· по цеху определяется общая сумма затрат по выбранным статьям, как сумма затрат на выпуск каждого продукта цеха;
· рассчитывается доля выбранных статей по каждому продукту в базовой цеховой сумме;
· определяется сумма цеховых затрат, распределяемых на каждый конкретный продукт, как произведение рассчитанной доли по каждому продукту и величины цеховых расходов.
Прямые постоянные затраты на продукт увеличивают сумму распределенных цеховых расходов на конкретный продукт.
После распределения цеховых расходов, подсчитываются заводские затраты, которые распределяются на все продукты, выпущенные в течение месяца, аналогично распределению цеховых.
После распределения общезаводских, рассчитывается себестоимость продукции, как сумма прямых, цеховых и заводских затрат на продукт. Если общая себестоимость продуктов изменилась, то начинается новая итерация.
Завершающим этапом расчета себестоимости является распределение коммерческих расходов, запланированных в бизнес - прогнозе «Коммерческие расходы» на отгруженную продукцию, базой распределения является положительная прибыль продукта. В случае получения убытков, коммерческие распределяются равномерно на все продукты.
Расчет бюджета инвестиций
На основании прогноза инвестиций формируется инвестиционный бюджет предприятия и выбираются источники финансирования: собственные или заемные. Если на период вложения средств предприятие располагает достаточной величиной прибыли, то вложения осуществляются за счет внутренних источников, в противном случае выбираются внешние источники финансирования, указанные в прогнозе привлечения заемных средств. Расчет происходит отдельно по каждому месяцу.
Осуществление эффективных проектов увеличивает поступающие в распоряжение предприятия доходы, которые затем служат источниками финансирования новых задач. На различных стадиях разработки и осуществления проекта (обоснование инвестиций, ТЭО, выбор схемы финансирования, экономический мониторинг) его эффективность определяется заново, с различной глубиной проработки.
Расчет бюджета доходов и расходов предприятия
Бюджет доходов и расходов (БДР) формируется в структуре бюджета.
Формат бюджета доходов и расходов является произвольной формой, утвержденной в системе бюджетирования предприятия и показывающий соотношение доходов от реализации и расходов, необходимых для осуществления деятельности в планируемый период. Одним из форматов бюджета доходов и расходов может выступать форма №2.
Группировка статей бюджета доходов и расходов строится на основе единого бюджетного классификатора, отражает задачи управления и основывается на существующих бизнес-процессах и их актуальности.
Каждая доходная и расходная статья бюджета может детализироваться до различных уровней (товарно-материальной ценности, услуги, договора, проекта и других бюджетных элементов) с учетом специфики производственно-сбытовой деятельности и на основе экономической обоснованности и целесообразности.
Доходная часть бюджета формируется с учетом:
· бюджета продаж основной продукции;
· доходов от прочей деятельности;
· прогноза внереализационных доходов и рассчитанной курсовой разницы, полученной в результате предполагаемого изменения курса валюты на период получения денежных средств за отгруженную продукцию;
· прогноза полученных процентов за предоставленные кредиты и займы.
Расходная часть бюджета формируется из показателей:
· прямые переменные затраты, рассчитанные на производимую продукцию;
· условно-постоянные затраты на основании соответствующего бизнес - прогноза;
· коммерческие расходы на основании бизнес-прогноза «Коммерческие расходы»;
· рассчитанные и введенные налоги в бизнес - прогнозе «Налоги»;
· амортизация основных средств и нематериальных активов по бизнес - прогнозу «Амортизация»;
· затраты на реализацию – расходы на закупку товаров для перепродажи, планируемых в бизнес - прогнозе «Прочая реализация», Сопутствующие доходы и Расчеты с покупателями;
· проценты по полученным кредитам и займам из соответствующего бизнес - прогноза;
Для расчета прибыли отгруженной продукции при формировании бюджета доходов и расходов расходная часть дополнительно корректируется на показатели:
· прирост готовой продукции рассчитывается как разница между стоимостью прихода на склад продукции в результате производства или закупки и стоимостью расхода - отгрузка готовой продукции покупателям;
· прирост полуфабрикатов, используемых на внутреннее потребление;
· прирост незавершенного производства.
Расчет движения денежных средств
Бюджет движения денежных средств (БДДС) формируется в структуре бюджета. Расчет производится для определения объема поступлений средств в каждом месяце и потребности в финансовых ресурсов на покрытие расходов.
Принципы группировки, состав и степень их детализации зависят от специфики деятельности конкретной организации. Это позволяет устанавливать статьи, влияющие на платежеспособность компании, и контролировать отклонения
Объем поступления денежных средств определяется:
1. За отгруженную продукцию, товары и услуги – по контрактам с покупателями посредством определения стоимостного объема отгрузки по контракту в данном месяце и смещения части оплаты за пределы месяца (позже или ранее) на основании равномерного распределения отгрузки по месяцу и выделению части соответствующей отсрочке платежа с учетом ставки НДС. При планировании получения суммы авансов по контрактам в предыдущем периоде, объем поступлений за отгруженную продукцию уменьшается до момента погашения кредиторской задолженности и увеличивается от поступлений предоплаты на конец года;
2. От внереализационной деятельности – поступления средств планируются в бизнес - прогнозе «Внереализационной деятельности»;
3. Поступления от дебиторской задолженности прошлых лет – по бизнес - прогнозу «Дебиторская задолженность» указывается месяц предполагаемого возврата средств;
4. От возмещения НДС – в случае превышения фактически уплаченного НДС над суммой НДС, причитающегося к уплате. Период возмещения определяется по бизнес - прогнозу «Налоги», где указывается период платежей;
Объем расходования средств определяется:
1. на закупки прямых переменных, условно-постоянных затрат – по контрактам с поставщиками посредством определения стоимостного объема закупки по контракту в данном месяце и смещения части оплаты за пределы месяца (позже или ранее) на основании равномерного распределения закупки по месяцу и выделению части соответствующей отсрочке платежа с учетом ставки НДС. При планировании суммы авансов по контрактам с поставщиками в предыдущем периоде, объем выплат уменьшается до момента погашения дебиторской задолженности и увеличивается от запланированных авансов на конец года;
2. для налоговых выплат – оплата рассчитанных и запланированных налогов и отчислений указывается в месяце по бизнес - прогнозу «Налоги»;
3. на погашение кредиторской задолженности прошлых лет – по бизнес - прогнозу «Кредиторская задолженность прошлых лет», указывается месяц предполагаемого возврата средств;
4. выплаты по инвестициям – планируются по бизнес - прогнозу «Инвестиции»;
Как правило, прогнозный баланс строится в агрегированном виде. Он непосредственно зависит от совокупности показателей, определяемых для оценки хозяйственной деятельности и финансового анализа, и состоит из 2 разделов: активов и пассивов, которые должны в итоге быть равны.
Укрупненные статьи активов и пассивов формируются на основе рассчитанных операционных бюджетов, бюджета доходов и расходов, бюджета движения денежных средств и установленных (предполагаемых) данных на начало бюджетного периода.
В первом разделе активов прогнозного баланса отражаются показатели, характеризующие наличие и величину внеоборотных активов предприятия. Это нематериальные активы, основные средства, незавершенное строительство и прочие внеоборотные активы.
По статьям "Основные средства" и "Нематериальные активы" на начало года формируется остаточная стоимость на основании первоначальной стоимости и суммы накопленной амортизации за предшествующие периоды. С учетом нормы амортизации и планируемых поступлений и выбытий этих активов, определяемых в прогнозах амортизационных отчислениях, рассчитывается остаточная стоимость по каждому периоду.
В статье "Незавершенное строительство" отражается сумма капитальных затрат организации, по которым еще не завершено строительство, не закончен процесс их создания или ввода в эксплуатацию, а также расходы на научно-исследовательские и опытно-конструкторские работы. Сальдо по статье увеличивается на величину средств, планируемых в инвестиционном бюджете, и уменьшается на сумму введенных в эксплуатацию и списанных на счета основные средства и нематериальные активы.
"Прочие внеоборотные активы" включают планируемые доходные вложения в материальные ценности, долгосрочные финансовые вложения, отложенные налоговые активы.
По второму разделу "Оборотные активы" отражается стоимость запасов, дебиторская задолженность, налог на добавленную стоимость по приобретенным ценностям, денежные средства и краткосрочные финансовые вложения.
В расшифровочных статьях "Запасы" показывается стоимость материально-производственных запасов - остатков сырья, материалов, готовой продукции, полуфабрикатов, товарных запасов на складе, стоимость незавершенного производства и расходов будущих периодов. Планируемые складские запасы рассчитываются с учетом стоимости на начало периода, величины нормативных значений расходных элементов, а также прироста складских запасов (поступление и расходование средств в прогнозном периоде по каждой группе: произведенная, но неотгруженная продукция: произведенные, но не использованные полуфабрикаты; приобретенные, но неиспользованные запасы).
Затраты в незавершенном производстве рассчитываются на основании планируемой стоимости на начало года и прироста незавершенного производства, определяемого как продукция, которая не прошла всех стадий технологического процесса.
К расходам будущих периодов относится суммарная стоимость расходов, которые предполагается оплачивать и осуществлять в одном периоде, но реально использовать - в последующих периодах. Это могут быть также расходы, доходы от которых организация получит позже.
Налог на добавленную стоимость по приобретенным ценностям - это сумма "входного" налога, который еще не принят к вычету. По статье отражается сумма налога на добавленную стоимость по приобретенным материально-производственным запасам, объектам основных средств, осуществленным капитальным вложением, работам и услугам, подлежащая отнесению в последующих периодах в уменьшение сумм налога для перечисления в бюджет или на списание на счет 91 "Прочие доходы и расходы".
Статья "Дебиторская задолженность" формируется по данным прогноза, определяющего величину задолженности прошлых периодов и текущей задолженности сторонних организаций перед предприятием по обязательствам, возникающим по оплате отгруженной готовой продукции, товаров, выполненных работ, и по прочим сделкам.
По статье "Краткосрочные финансовые вложения" отражаются суммы предполагаемых краткосрочных финансовых вложений организации.
Денежные средства складываются из расчета предполагаемого остатка денежных средств на начало года, находящегося в наличии у предприятия в кассе и на расчетных счетах и прироста денежных средств. Статья "Денежные средства" определяется как сальдо на начало месяца по бюджету движения денежных средств.
По статье "Прочие оборотные активы" отражаются суммы, не нашедшие отражения по другим группам статей "Оборотные активы" баланса.
В пассиве прогнозного баланса формируется третий раздел "Капитал и резервы", включающий статью "Уставный капитал". По статье отражается определяемая в соответствии с учредительными документами величина уставного капитала организации. Следует отметить, что увеличение и уменьшение уставного капитала производится в соответствии с установленным порядком и отражается в бухгалтерском учете только после внесения соответствующих изменений в учредительные документы.
По статье "Добавочный капитал" отражаются остатки средств добавочного капитала организации, который может включать сумму в результате переоценки основных средств и быть увеличен в течение прогнозного периода за счет планирования продаж акций по цене, превышающей номинальную стоимость.
Планирование по статье "Резервный капитал" позволяет отразить величину резервного капитала организации и использование суммы образованных резервов на выплату доходов (дивидендов) участникам при отсутствии или недостаточности прибыли или на покрытие балансового убытка.
Нераспределенная прибыль (непокрытый убыток) рассчитывается с учетом величины нераспределенной прибыли или непокрытого убытка организации прошлых лет (остаток по счету 84) и суммы чистой прибыли (непокрытого убытка), планируемой на прогнозный период. Чистая прибыль формируется в бюджете доходов и расходов и складывается из финансового результата по основным видам деятельности, сальдо прочих доходов и расходов и уменьшается на величину налога на прибыль.
При формировании статьи "Нераспределенная прибыль" необходимо учитывать принятые предприятием решения по погашению сумм непокрытого убытка прошлых лет или распределению прибыли на увеличение сумм резервного капитала, выплату дивидендов.
При формировании прогнозного баланса можно выделить четвертый раздел "Долгосрочные обязательства", в котором показываются отложенные налоговые обязательства и непогашенные суммы полученных организацией долгосрочных кредитов и займов, отражаемых в бухгалтерском учете на счете 67.
В пятом разделе прогнозного баланса "Краткосрочные обязательства" выделяют статью "Займы и кредиты", в которой рассчитывается сумма на начало периода непогашенных краткосрочных кредитов и займов (на срок не более 12 месяцев) и прироста денежной массы, планируемой в результате операции привлечения средств с учетом причитающихся к уплате процентов и погашения.
В данном разделе также могут планироваться: величина доходов будущих периодов (полученные доходы, относящиеся к следующим периодам), резервы предстоящих расходов (состояние зарезервированных сумм для равномерного включения расходов в затраты на производство и продажу) и прочие краткосрочные обязательства.
Бюджеты подразделений
После завершения формирования бюджета по предприятию в целом, формируются бюджеты подразделений в виде прогнозов доходов и расходов, сгруппированных по статьям. Как правило, бюджет структурных подразделений состоит из доходной и расходной части, определяющих развитие конкретных направлений деятельности и затрат на их осуществление
Доходная часть состоит из себестоимости товарного выпуска - продуктов, которые выпускались подразделением для реализации по контрактам бизнес-прогноза «Расчеты с покупателями». Внутреннее потребление – это себестоимость продукции, выпускаемой цехами для потребностей других цехов, напрямую, без обработки по технологическим операциям. Раздел производственной кооперации формируется для цехов, обрабатывающих компоненты для продуктов по операциям, то стоимость таких компонентов пройдет в доходной части цеха по продуктам, на которые они использовались, с указание технологической операции и цеха – потребителя.
В расходной части подразделения собираются все затраты по компонентам для производства продукции данного подразделения. Нормируемые затраты на продукт, прямые постоянные на продукт и постоянные цеховые затраты. Отходы, которые образовались при производстве продукта, проходят в затратах цеха с минусом. Формируется раздел Внутренняя кооперация, для подразделения, у которого технологические операции выполнялись в других цехах, во внутренней кооперации будет указан цех и стоимость затрат, которые на него отнеслись. В бюджете подразделений отражаются общезаводские затраты, которые распределились на продукты данного цеха при расчете себестоимости.
2.3 Разработка обеспечивающих подсистем реализации комплекса задач
Информационное обеспечение
Информационное обеспечение включает в себя совокупность показателей, справочных данных, классификаторов информации, унифицированные системы документации, специально организованные для автоматического обслуживания, массивы информации, на соответствующих носителях.
Классификаторы:
Коды не должны быть длиннее 12 символов и могут включать любые латинские и русские буквы, цифры, и следующие символы: -+()[]_#@$*&|/\.
Примеры корректных кодов:
· 010101
· РЕАЛИЗАЦИЯ
· ЦЕХ-01
Справочные данные:
· Справочник единиц измерения
· Справочник валют
· Справочник контрагентов
· Справочник бюджетных элементов
· Справочник структурных подразделений
· Справочник продукции, работ, услуг
· Справочник ассортиментных групп
Организация импорта данных в систему
Модуль «Синхронизация данных» (рис. 7) предназначен для импорта данных из различных внешних источников (Microsoft Excel, Microsoft Access и др.) и приведения их в точное соответствие с данными, содержащимися в таблицах системы КИС: Бюджетирование, при помощи шлюзов – преобразователей данных. Существует возможность синхронизации следующих видов информации:
· Справочная информация
· Регламент бюджета
· Бизнес-прогнозы
· Бизнес-задания
· Исполнение бюджета

Рис. 7. Модуль «Синхронизация данных»
Использование шлюзов позволяет произвести закачку и синхронизацию данных бесконечное число раз, при этом удаляя ранее закаченные при помощи шлюза данные, не повреждая данные, занесенные пользователем в программе КИС: Бюджетирование.
Для удобства использования шлюзы имеют русские наименования реквизитов, а именно:
· Поле – наименование поля внешнего источника данных
· Тип – тип данных:
o С (char) текстовый
o N (numeric) числовой
o B (bit) логический, 0 или 1
· Размерность – допустимое количество знаков в ячейке
· Шлюз – установленный флажок в данной ячейке указывает, содержится ли данное поле в запросе
· Описание – краткое обозначение поля
Организация экспорта данных из системы
Для удобства экспорта данных из системы КИС:Бюджетирование в базе данных существует набор представлений, позволяющих извлечь данные в удобном для последующего использования формате. Все представления имеют русское наименование и русские наименования полей.
Программное и техническое обеспечение
Система КИС:Бюджетирование представляет собой многопользовательское приложение, обладающее развитым пользовательским интерфейсом и выполненное с использованием 2-х уровневой архитектуры «клиент-сервер». Требования к программному и техническому обеспечению представлены в таблице. 4
Таблица 4
Требования к программному и техническому обеспечению
| Обеспечение |
Минимальные требования |
Рекомендуемый состав |
| Сервер баз данных |
||
| Процессор |
Intel® или совместимый Pentium 166 или выше |
Intel® или совместимый Pentium III 800 или выше |
| Оперативная память |
64 МБ |
512 МБ или больше |
| Пространство на жестком диске |
250 МБ для размещения SQL Server и от 50 МБ для размещения базы данных системы |
250 МБ для размещения SQL Server и от 400 МБ для размещения базы данных системы |
| Монитор |
VGA или выше |
|
| Привод CD-ROM |
Необходим |
|
| Сетевой адаптер |
Необходим при наличии ЛВС, 10 MBit |
Необходим при наличии ЛВС, 100 MBit |
| Операционная система |
Microsoft Windows 98/ME (только для версии SQL Server Personal Edition), Windows NT Server 4.0, Windows 2000 Server (любая версия), Windows XP Professional Edition |
|
| Прочее ПО |
Microsoft Internet Explorer 5.0 |
|
| СУБД |
Microsoft SQL Server 2000 (Enterprise Edition, Standard Edition, Personal Edition, Developer Edition, Desktop Engine) или Microsoft Desktop Engine (MSDE) – поставляется в составе КИС:Бюджетирование |
|
| Рабочее место (клиентская часть) |
||
| Процессор |
Intel® или совместимый Pentium 200 или выше |
Intel® или совместимый Pentium II 450 или выше |
| Оперативная память |
64 МБ |
128 МБ или больше |
| Пространство на жестком диске |
30 МБ для размещения системы и 20 МБ для размещения временных файлов и файлов отчетов |
|
| Монитор |
SVGA, разрешение 800х600 |
SVGA, разрешение 1024х768 или выше |
| Привод CD-ROM |
Необходим для установки программного обеспечения, если нет возможности обеспечить сетевой ресурс со свободным доступом |
|
| Сетевой адаптер |
Необходим при наличии ЛВС, 10 MBit |
Необходим при наличии ЛВС, 100 MBit |
| Операционная система |
Microsoft Windows 95/98/ME, Windows NT 4.0 Workstation, Windows 2000 Professional, Windows XP Professional Edition |
|
| Прочее ПО |
Microsoft Internet Explorer 5.0, Microsoft Office 98 или выше |
|
| Сервер расчетов |
||
| Процессор |
Intel® или совместимый Pentium 200 или выше |
Intel® или совместимый Pentium II 450 или выше |
| Оперативная память |
128 МБ |
256 МБ или больше |
| Пространство на жестком диске |
30 МБ для размещения системы и от 100 МБ для размещения временных файлов |
|
| Монитор |
SVGA, разрешение 800х600 |
|
| Привод CD-ROM |
Необходим для установки программного обеспечения, если нет возможности обеспечить сетевой ресурс со свободным доступом |
|
| Сетевой адаптер |
Необходим при наличии ЛВС, 10 MBit |
Необходим при наличии ЛВС, 100 MBit |
| Операционная система |
Microsoft Windows 95/98/ME, Windows NT 4.0 Workstation, Windows 2000 Professional, Windows XP Professional Edition, Windows NT Server 4.0, Windows 2000 Server (любая версия) |
|
Математическое обеспечение
План производства составляется на основании предполагаемого спроса и с учетом возможностей предприятия и служит базой для формирования плана отгрузки. Объем отгруженной продукции рассчитывается:
Vотг = Oнм + Vтп+Vзак – Окм,,
где:
Vот - объем отгруженной продукции рассчитывается
Онм - остатки готовой продукции на складе на начало месяца,
Vтп - объем товарной продукции,
Vзак - объем покупной продукции,
Окм - остатки готовой продукции на складе на конец месяца.
Потребность в материалах для выполнения производственной программы рассчитывается на основании предполагаемого объема производства и обоснованных норм расходования материальных ресурсов:
,
где:
Vвп - объем валового выпуска конкретного продукта,
Ni - норма расхода материала на единицу продукции,
m- количество продуктов.
В бюджете закупок потребность в материалах корректируется на величину складских запасов и увеличивается на объем опережающих закупок, обусловленных ограничениями поставки. Учитывая специфику производства, при согласовании планов объема выпускаемой продукции и времени, определяется потребность в расходовании материальных ресурсов с учетом срока обеспечения и незавершенного производства рассчитывается по формуле:
,
где:
дельта Vскл- прирост складских запасов материалов,
дельта Vнзп -прирост материалов для изменения незавершенного производства,
Vупз - потребность в материалах для условно-постоянных затрат предприятия,
Vбуд - объем опережающих закупок для удовлетворения будущих потребностей.
Рассчитывая бюджет предприятия, при наличии производственных возможностей, определяется выработка и отпуск собственных энергоресурсов:

Vвп - объем валового выпуска j-продукта;
m- количество продуктов;
Ni - норма расходования на единицу продукции;
Vупзi - постоянная потребность в i-энергоресурсе для хозяйственных нужд;
Vтрi - транзитная потребность суббабонентов в i-энергоресурсе;
Vпотi - планируемые потери i-энергоресурса;
Vпрi - объем производства i-энергоресурса.
Организационно-методическое обеспечение
Организационно-методическое обеспечение системы бюджетирования представлено «Положением о бюджетировании» (приложение 6) - документом, регламентирующим назначение системы бюджетирования, структуру бюджетов, принцыпы финансового планирования, бюджетный регламент, контроль за исполнением бюджета
2.4. Разработка технологических процессов решения комплекса
задач
Для реализации системы бюджетирования на предприятии с использованием ПМК «КИС:бюджетирование» необходимо проделать ряд операций, описанных ниже.
2.4.1. Формирование нормативно-справочной информации
Начинаем с формирования справочной системы - базы для всех модулей программы необходимой для ввода данных, не зависящих от вариантов бюджета. Для этого формируем следующие основные справочники:
· Справочник единиц измерения, предназначенный для обеспечения идентичности всех используемых единиц измерения бюджетных статей.
· Справочник валют, предназначеный для обеспечения идентичности валют бюджетных статей. Все валюты, используемые предприятием, должны быть внесены в справочник для последующего использования в бизнес-прогнозах.
· Справочник контрагентов (рис 8), предназначенный для определения контрагентов предприятия и разделения их по различным признакам. Список контрагентов необходим для формирования контрактов на продажу продукции и услуг, а также покупку различных компонентов.

Рис. 8. Справочник контрагентов
Экранная форма состоит из 2-х частей. В левой её части содержатся разделы справочника в виде четкой иерархии разделов. В правой части отображаются контрагенты, содержащиеся в данном разделе.
· Справочник бюджетных элементов (рис. 9), предназначенный для определения составляющих бюджетных статей. Элементы являются основой для составления бюджета: все плановые данные относятся непосредственно к элементам. В дальнейшем элементы группируются в статьи бюджета. Обычно для определения списка элементов первоначально необходимо укрупнено определить статьи бюджета. В справочник элементов вводится срок хранения элемента для расчета производственной программы и операционных бюджетов.
· Справочник структурных подразделений (рис ), предназначенный для описания организационной структуры, что необходимо для последующего распределения полномочий между структурными подразделениями предприятия.

Рис. 9. Справочник структурных подразделений
· Справочник продукции, работ и услуг (рис. 10), необходимый для описания производственной инфраструктуры предприятия, а также определения пересечения технологических маршрутов отдельных видов изделий (конкурирующих продуктов). Каждый продукт закрепляется за соответствующим цехом и оборудованием. В справочнике можно создавать желаемую иерархию производств, подразделений, добавлять в них оборудование и продукты, а также устанавливать кратность производства.

Рис. 10. Справочник продукции, работ, услуг
· Справочник ассортиментных групп, предназначенный для группировки однородных продуктов по разделам для последующего формирования укрупненных печатных форм.
2.4.2. Формирование регламента бюджета
Для описания специфики бюджетного процесса предприятия, а также распределения обязанностей между структурными подразделениями формируем регламент бюджетирования. Для этого осуществляем следующие действия:
· Распределяем полномочия в бюджетном процессе между структурными подразделениями предприятия путем заполнения соответствующей формы (рис 11). Для этого бюджет следует рассматривать как систему организационного взаимодействия центров планирования и центров финансовой ответственности, направленную на составление обоснованных бизнес-прогнозов по функциональным областям деятельности предприятия и дальнейшего получения на их основе бизнес-заданий посредством финансово-хозяйственного моделирования.
Рис. 11. Форма «Распределение полномочий в бюджетном процессе»
· Составляем структуру бюджета (рис. 12) предназначенную для составления бюджетного классификатора, включающего в себя статьи и элементы. Для этого выполняем следующие операции:
1. группируем элементы бюджета в статьи.
2. назначаем центры финансовой ответственности (ЦФО) по элементам.
3. Формируем иерархическую структуру статей и подстатей для формирования бюджета доходов и расходов (БДР) и бюджета движения денежных средств (БДДС).
4. назначаем статьям классификационных атрибутов, для последующей смысловой идентификации в процессе составления бюджета.

Рис. 12. Форма «Структура бюджета»
· Составляем структуру центров затрат . Центры затрат необходимы для планирования распределения условно-постоянных расходов.
· Составляем регламент ввода исходных данных (рис. 13). Регламент бюджетного процесса необходим для организации работ по бюджетному планированию. В регламенте жестко распределяется ответственность центров планирования за конкретные элементы, определяются сроки выполнения заданий. Данная программа позволит автоматически отслеживать эффективность выполнения поставленных в процессе бюджетирования задач посредством сопоставления фактических действий сотрудников предприятия с регламентом бюджетного процесса.

Рис. 13. Форма «Регламент бюджета»
2.4.3. Формирование исходных бюджетных данных
Для формирования совокупности плановых данных, отражающих особенности внешней и внутренней среды предприятия на плановый период выполняем следующие действия:
· Составляем бизнес-прогноз «Курсы валют и инфляция ». Данный бизнес-прогноз предназначен для определения возможного изменения курсов валют, в которых предприятие осуществляет расчеты и инфляции рубля.
· Составляем бизнес-прогноз «Индексы изменения цен » (рис. 14), предназначенный для формирования предполагаемых индексов их изменения. Для установления прогнозных цен:
1. сформируем группы по доходным и расходным статьям бюджета;
2. определяем неоднородность инфляции;
3. На основании прогнозного уровня инфляции и коэффициентов неоднородности определить индексы цен.

Рис. 14. Бизнес-прогноз «Индексы изменения цен»
Если флажок Вкл стоит, то базовая цена будет изменяться на индекс инфляции из бизнес-прогноза Курсы валют и инфляция .
· Составляем бизнес-прогноз «Расчеты с покупателями » (рис. 15). Данный бизнес-прогноз предназначен для определения взаимоотношений с контрагентами, связанных с реализацией продукции.

Рис. 15. Бизнес-прогноз «Расчеты с покупателями»
Для составления бизнес-прогноза заполняем контракт расчета с покупателями (рис. 16):

Рис. 16. Контракт расчета с покупателями
· Составляем бизнес-прогноз «Прочая реализация », предназначенный для определения объема доходов предприятия от прочей деятельности. В бизнес-прогнозе необходимо указать следующие данные: клиент, товар, цена, ставка НДС, авансы, спрос, вероятность, отсрочка платежа, тип оплаты аналогично бизнес-прогнозу Расчеты с покупателями.
· Составляем бизнес-прогноз «Доходы от внереализационной деятельности » (рис. 17), предназначенный для планирования доходов от участия в деятельности других организаций, доходов от операций с ценными бумагами, от прочих финансовых вложений. Данные используются для расчета доходов предприятия и поступления денежных средств.

Рис. 17. Бизнес-прогноз «Доходы от внереализационной деятельности»
· Составляем бизнес-прогноз «Производственные мощности » (рис. 18), предназначенный для характеристики производственной специфики предприятия: определения максимальных возможностей по выпуску продукции в зависимости от мощностей используемого оборудования, откорректированных с учетом планируемых остановок. В бизнес-прогноз вводим суточную мощность каждой производственной установки с начала планового периода. В случае отсутствия изменения мощности, для ее описания достаточно одной даты. Если за установкой закреплено несколько продуктов, они считаются конкурирующими, т.е. не могут производиться одновременно. Мощность по конкурирующим продуктам указывается максимально возможная, без учета производства других изделий. В процессе расчета мощность автоматически перераспределяется между конкурирующими продуктами на основании приоритетности потребностей.
Рис. 18. Бизнес-прогноз «Производственные мощности»
· Составляем бизнес-прогноз «Складские запасы » (рис. 19), предназначенный для определения величины предполагаемых запасов на начало планового периода (по начальным запасам обязательно необходимо указать себестоимость), а также нормируемых запасов для обеспечения бесперебойной работы предприятия. При расчете будет анализироваться разница между предполагаемыми и нормируемыми запасами, и, по мере необходимости, будет производиться либо расход со склада, либо закупка или выработка на склад (нормируемые запасы являются обязательными для исполнения).

Рис. 19. Бизнес-прогноз «Складские запасы»
· Составляем бизнес-прогноз «Расчеты с поставщиками », предназначенный для определения взаимоотношений с контрагентами, связанных с покупкой сырья, материалов и т.д. В бизнес-прогнозе необходимо указать следующие данные: клиент, товар, цена, ставка НДС, авансы, отсрочка платежа, тип оплаты аналогично бизнес-прогнозу Расчеты с покупателями.
· Составляем бизнес-прогноз «Коммерческие условно-постоянные расходы », предназначенный для планирования расходов, связанных с коммерческой деятельностью предприятия. Коммерческие расходы распределяются на себестоимость всей товарной продукции пропорционально прибыли от каждого продукта.
· Составляем бизнес-прогноз «Условно-постоянные затраты » (рис. 20), предназначенный для планирования условно-постоянных затрат, к которым относятся общецеховые затраты и общезаводские затраты, а также внепроизводственные расходы.

Рис. 20. Бизнес-прогноз «Условно-постоянные расходы по зарплате»
· Составляем бизнес-прогноз «Нормируемые затраты » (рис. 21), предназначенный для планирования нормируемых затрат для каждого продукта отдельно по соответствующим статьям затрат в целях расчета общей потребности предприятия на производственную программу и расчета себестоимости продукции. При планировании нормируемых затрат предусмотрена возможность учитывать, что один и тот же продукт может производиться на разном оборудовании и иметь несколько различных рецептур (маршрутов) в зависимости от типа оборудования или используемых компонентов. Рецептуры (маршруты) имеют определенный срок действия и приоритетность использования. Отдельное внимание уделяем величине производственного цикла продукта, так как его производство должно быть обеспечено необходимыми компонентами к началу производственного цикла или на какой-либо его стадии.

Рис. 21. Бизнес-прогноз «Нормируемые затраты»
· Составляем бизнес-прогноз «Амортизация », предназначенный для формирования данных по основным средствам и нематериальным активам предприятия с целью расчета амортизационных отчислений. Расчет происходит на основании первоначальной стоимости, предполагаемого поступления или выбытия, износа по выбытию, среднегодовой нормы амортизации и накопленного износа внеоборотных активов.
· Составляем бизнес-прогноз «Налоги », предназначенный для формирования данных по налоговым платежам предприятия: налоговым ставкам, налоговым льготам, налоговым периодам.
· Составляем бизнес-прогноз «Дебиторская задолженность прошлых лет » (рис. 22), предназначенный для планирования поступлений и списаний денежных средств от дебиторской задолженности прошлых лет по конкретным клиентам. Данные формируем на начало планового периода, с указанием общей суммы задолженности (включая НДС) и ее планируемого погашения с учетом вида оплаты (деньги, взаимозачет, векселя).

Рис. 22. Бизнес-прогноз «Дебиторская задолженность прошлых лет»
· Составляем бизнес-прогноз «Кредиты » (рис. 23), предназначенный для планирования привлечения кредитных ресурсов и расходования финансовых средств на выплату кредитов и погашение процентов. Движение кредитных ресурсов рассчитываем на основании остатка невыплаченного (невозвращенного) кредита, планируемых сумм поступления (выдачи) и погашения кредита, а также планируемой процентной ставки по кредитам и займам.

Рис. 23. Бизнес-прогноз «Кредиты»
Составляем бизнес-прогноз «Распределение косвенных затрат » (рис. 24) Данный бизнес-прогноз представляет собой настройку отнесения косвенных затрат на себестоимость отдельных продуктов и состоит из двух частей.
Верхняя часть прогноза предназначена для определения статей затрат из общей структуры бюджета, относимых к прямым затратам в соответствии с 25-й главой налогового кодекса. Не отмеченные статьи затрат относятся к затратам периода ; они не включаются в затраты на продукты, а уменьшают маржинальную прибыль для целей налогообложения.
Нижняя часть предназначена для определения методики распределения косвенной части прямых затрат , т.е. общецеховых и общезаводских затрат на себестоимость продукции пропорционально статьям прямых переменных затрат или коэффициентам. Настройка позволяет выбрать индивидуальную методику для любого продукта в любом цехе.

Рис. 24. Распределение косвенных затрат
2.4.4. Выполнение расчета бюджета предприятия
Расчет сводного расчета бюджета и экспорт расчетных итоговых данных в базу данных, размещенную на сервере базы данных осуществляем самостоятельное приложение – сервер расчета.
Сервер расчета может выполняться на любом компьютере, как на клиентском рабочем месте, так и на компьютере где установлен сервер баз данных или на отдельном выделенном компьютере.
После запуска сервера расчета в раскрывающемся списке выбираем сервер баз данных и установливаем с ним соединение.
Затем, на закладке «Параметры расчета» настраиваем основные параметры расчета (рис. 25).

Рис. 25. Настройка параметров расчета
Сервер расчета может функционировать в двух режимах.
- Ожидание заданий от пользователей и расчет по запросу.
- Непосредственный запуск расчета из приложения сервера расчетов.
Первый вариант подходит, если сервер расчета выполняется на отдельном компьютере, и выполняются частые пересчеты бюджета. В этом случае пользователи из клиентской программы КИС:Бюджетирование могут вызывать выполнение расчета. Сервер расчета должен быть в этот момент запущен, подсоединен к соответствующему серверу баз данных, и находиться в режиме ожидания заданий.
Второй вариант предпочтительнее при отсутствии выделенного компьютера, когда расчеты выполняются нечасто. В этом случае сервер расчета может запускаться по мере надобности и закрываться по окончанию расчета.
Во время выполнения расчета информацию о процессе выполнения можно увидеть на закладке Мониторинг состояния расчета (рис. 26).

Рис. 26. Расчет сводного бюджета
По окончанию расчета сервером формируется ряд файлов, содержащих входные и промежуточные выходные расчетные данные. Эти данные сохраняются до следующего расчета. Они хранятся в папке, куда был установлен сервер расчета, во вложенных папках InputData и OutputData и могут быть при необходимости удалены
2.4.5. Аналитические формы
Бюджет доходов и расходов
Бюджет доходов и расходов может быть представлен в свернутом (по статьям, по разделам – для пользовательского представлния данных) или в развернутом (по элементам) виде (рис. 27).

Рис. 27. Бюджет доходов и расходов
Бюджет движения денежных средств
Расчет движения денежных средств производится на основании расчета доходов и расходов предприятия посредством начисления НДС по указанным ставкам, определения объема поступления средств в каждом месяце и потребности в финансовых ресурсах для покрытия расходов (рис. 28).

Рис. 28. Бюджет движения денежных средств
Бизнес-задание предназначено для определения общего количества и структуры активов компании, а также способа финансирования этих активов (рис. 29).

Рис. 29. Прогнозный баланс
Аналитическая форма «Отгрузка» (рис. 30) может быть представлена в следующих разрезах:
· отгрузка по экспорту, внутреннему рынку или сводная.
· отгрузка в различных единицах измерения (нат.ед. и тыс.руб.).
· отгрузка по покупателям или сводная.

Рис. 30. Отгрузка
В аналитическая форме «Производственная программа» (рис. 31) может отражаться производство: валовое, товарное, ограниченное или производство отходов. Производственная программа ограниченный выпуск показывает, сколько требовалось выпустить и сколько фактически было произведено, а также указывается причина отказа от выпуска по каждому продукту

Рис. 31. Производственная программа
Бюджет закупки сырья и материалов
Аналитическая форма «Бюджет закупки сырья и материалов» (рис. 32) может быть представлена в следующих разрезах:
· бюджет закупок в натуральном или стоимостном выражении
· бюджет закупок в разрезе поставщиков или сводный

Рис. 32. Бюджет закупки сырья и материалов
Данное бизнес-задание отражает запланированную заработную плату с отчислениями в соответствии со структурой бюджета как по предприятию в целом, так и по подразделениям (рис. 33).

Рис. 33. Бюджет заработной платы
Себестоимость продукции и услуг
Результаты расчета себестоимости (рис. 34) могут быть представлены в разрезе: себестоимость: коммерческая, производственная (валового, товарного выпуска и единицы продукции) и полная.

Рис. 34. Себестоимость продукции и услуг
После завершения формирования бюджета по предприятию в целом необходимо получить бюджеты до подразделений. Для этого в программе предусмотрен раздел Бюджеты подразделений (рис. 35) в виде прогнозов доходов и расходов, сгруппированных по статьям или с разбивкой по элементам.

Рис. 35. Бюджеты подразделений
Аналитическая форма «Динамика складских запасов» (рис. 36) может быть представлена в следующих разрезах:
· в натуральном или стоимостном выражении
· в разрезе групп: сырье и материалы, готовая продукция, отходы, полуфабрикаты, прочее.

Рис. 36. Динамика складских запасов
Аналитическая форма «Бюджет инвестиций» (рис. 37) может быть представлена в следующих разрезах:
· в разрезе статей или детализированным по элементам
· в разрезе центров затрат

Рис. 37. Бюджет инвестиций
2.4.6. Ввод данных для контроля исполнения бюджета
Контрольные данные по исполнению бюджета предназначены для характеристики фактических результатов деятельности предприятия.
Для организации работ по исполнению бюджета не обходимо составить регламент ввода фактических данных (рис. 38). В регламенте жестко определяются центры ввода данных (ЦВД), отвечающие за ввод показателей, характеризующих деятельность предприятия в отчетном периоде.

Рис. 38. Регламент ввода фактических данных
Основные формы для ввода данных представлены ниже.
Производственная программа
Задание предназначено для отражения данных о выполнении производственной программы предприятия (рис 39).

Рис. 39. Фактическая производственная программа
Производственная себестоимость
Задание предназначено для отражения данных о формировании производственной себестоимости предприятия (рис 40).

Рис. 40. Фактические данные по производственной себестоимости
Состояние дебиторской задолженности
Задание предназначено для отражения образовавшейся в отчетном периоде дебиторской задолженности по конкретным клиентам (рис. 41).

Рис. 41. Фактическая дебиторская задолженность
Задание предназначено для отражения фактических данных по совокупным доходам и расходам в отчетном периоде. Данные представлены в разрезе структуры бюджета (рис. 42)

Рис. 42. Фактические данные по совокупным доходам и расходам
2.4.7. Аналитические формы для контроля исполнения бюджета
Аналитические формы предназначены для выявления отклонений плановых и фактических показателей деятельности предприятия, расчета ожидаемых результатов и пересчета фактического выпуска по плановым нормам.
Основные формы исполнения бюджетов представлены ниже.
Исполнение бюджета доходов и расходов
Анализ исполнения БДР (рис. 43) формируется на основе фактические данные из следующих заданий: совокупные доходы и расходы, отгрузка продукции, производственная себестоимость, начисление налогов, начисление процентов по кредитам и займам.

Рис. 43. Исполнение бюджета доходов и расходов
Исполнение производственной программы
Форма «Исполнение производственной программы» (рис.44) может быть представлена в следующих разрезах:
· исполнение валовой либо товарной производственной программы
· значения суммы с разбиением по месяцам

Рис. 44. Исполнение производственной программы
Форма «Исполнение отгрузки продукции» представлена на рис 45.

Рис. 45. Исполнение отгрузки продукции
2.4.8. Отчетные печатные формы
Отчетные формы можно сформировать из двух разделов:
1. Непосредственно из раздела Отчеты (рис.46);
2. Из соответствующих бизнес-прогнозов.

Рис. 46. Отчетные формы по плановым показателям
Отчетные формы в системе представлены как в модуле Бюджет , так и в Исполнении .
3.1. Определение факторов, влияющих на экономическую эффективность решения комплекса задач
При оценке эффективности внедрения системы бюджетного планирования деятельности предприятия с точки зрения снижения потерь их необходимо разделить на потери от факторов прямого и непрямого действия. Потери от факторов прямого действия (оперативные потери или упущенные выгоды) непосредственно связаны с деятельностью конкретного звена в определенном бизнес-процессе (обработка заявок клиентов, выбор поставщиков, отслеживание графиков поставок и исполнение финансовых обязательств и т.д.). Потери от факторов непрямого действия (стратегические потери) связаны с рисками потери существенной информации, управленческих решений, кадровыми рисками, неэффективного использования времени высших менеджеров и др.
Система бюджетного планирования деятельности предприятия позволяет снизить ущерб от факторов как прямого, так и непрямого действия
Снижение потерь от факторов прямого действия.
1. Снижение потерь в сфере сбыта
· снижение потерь сбыта от срывов поставок продукции из-за сбоев и ошибок в планировании поставок, неполной или утерянной информации с учетом возможной потери заказчика
· снижение потерь сбыта из-за низкой скорости прохождения заявки по службам
· снижение потерь сбыта из-за невысокой гибкости учета потребностей заказчика
2. Снижение потерь в сфере управления складскими запасами
· снижение потерь от случайно или заведомо искаженной информации по уровню складских запасов МТЦ
· снижение потерь от хищений разных видов
· снижение потерь от случайных или сознательно совершенных ошибок ведения учета перемещений МТЦ
3. Снижение потерь в сфере снабжения
· снижение потерь от неэффективного выбора поставщиков
· снижение потерь закупок по невыгодным ценам
· снижение потерь из-за низкой гибкости учета поставщиков
· снижение потерь от низкой скорости прохождения заявок по службам
· снижение потерь от ошибок в объемах закупок
4. Снижение потерь от несовершенного финансового учета.
· снижение потерь от неточного, несвоевременного отражения изменений, дополнений, договоренностей в финансовых документах
· снижение потерь от операционных ошибок учета и расчетов по механизму взаимозачетных схем
· снижение потерь от нарушения финансовых обязательств из-за отсутствия надлежащего контроля
5. Снижения потерь в системе учета затрат.
· снижение потерь от неточного определения действительной эффективности работы конкретных подразделений
· снижение потерь от неполного учета накладных расходов и мест их возникновения
· снижение потерь за счет определения мест возникновения отклонений плановых затрат от фактических
· снижение потерь от ошибок планирования управлением производством
· снижение потерь от невозможности соотнесения затрат с центрами ответственности
Снижение потерь от факторов непрямого действия.
1. снижение потерь вследствие несовершенства организационной структуры предприятия
2. снижение потерь от ошибок в управленческих решениях
3. снижение потерь от потери значимой информации
4. снижение потерь от неэффективного использования времени высшего руководства
5. снижение потерь по кадровым рискам
6. снижение потерь от ошибок планирования и управления производством
7. снижение потерь от ошибок финансового планирования
3.2. Расчет экономической эффективности
Для оценки степени полезности внедрения системы бюджетирования на предприятии рассчитаем годовой эффект, коэффициент экономической эффективности и срок окупаемости затрат на решение задачи.
Исходные данные для расчета представлены в таблице 5.
Таблица 5
Исходные данные для расчета
| Показатель |
Значение |
| Стоимость 1 кВт/час электроэнергии, руб. |
1,8 |
| Максимальная потребляемая мощность ЭВМ, кВт |
0,3 |
| Коэффициент использования ЭВМ по мощности |
0,5 |
| Часовая амортизация средства вычислительной техники, руб. |
0,98 |
| Время работы оборудования при решении задачи в течение месяца до внедрения системы бюджетирования, маш./час |
20 |
| Среднемесячная заработная плата работника, участвующего в решении задачи до внедрения системы, руб. - начальник ПЭО - экономист ПЭО |
9000 6000 |
| Среднемесячная заработная сотрудников участвующих в решении задачи после внедрения системы, руб. - экономист - экономист - бухгалтер - экономист ОТиЗ - сотрудник финансового отдела - сотрудник отдела сбыта |
7500 7500 6000 6000 6000 6000 |
| Среднемесячные трудовые затраты работника до внедрения системы бюджетирования на предприятии, час |
20 |
| Время на выполнение работ по бюджетному управлению, час/мес. - формирование бюджетов (1,5 мес.) - исполнении бюджетов (12 мес.) - контроль и корректировка бюджетов (12 мес.) |
70,4 8 4 |
| Коэффициент накладных расходов |
1,8 |
| Единый социальный налог, %; |
26,2 |
| Среднее количество рабочих часов в месяце, час |
176 |
| Коэффициент настройки оборудования |
1,1 |
| Время работы оборудования на обучение персонала, адаптацию, настройку оборудования при внедрении системы, час |
32 |
| Коэффициент прочих расходов по обучению и настройке оборудования |
0,1 |
| Годовой объем продаж, руб. |
200000000 |
| Объем общих запасов на складе и в производстве, руб. |
150000000 |
| Годовой объем закупок сырья материалов, руб. |
110000000 |
| Годовой объем расчетов предприятия, руб. |
370000000 |
| Нормативный коэффициент эффективности затрат |
0,16 |
| Стоимость программно-методического комплекса "КИС: Бюджетирование", руб. |
30000 |
Годовой эффект Э от внедрения системы бюджетировния на предприятии определяется по формуле:
Э = СР 1 – СР 2 + Дпд +Днд , (1)
где СР 1 - годовые эксплуатационные расходы до внедрения системы, руб.;
СР 2 - годовые эксплуатационные расходы после внедрения системы, руб.;
Дпд - доход от снижения потерь от факторов прямого действия, руб.;
Днд - доход от снижения потерь от факторов непрямого действия, руб.;
Годовые эксплуатационные расходы до внедрения системы определяются по формуле:
СР 1 = С 1 + С 2 , (2)
где С 1 - годовые затраты машинного времени на решение задачи, руб.;
С 2 - годовые затраты на заполнение документов, анализ и корректировку данных, руб.
Годовые затраты машинного времени на решение задачи определяются по формуле:
, (3)
где Sg - себестоимость часа работы оборудования g при решении задачи, руб.;
Tg - время работы оборудования g при решении задачи в течение месяца до внедрения системы бюджетирования, маш./час.
n - количество месяцев в течение года, в которые выполнялись данные работы;
Себестоимость часа работы оборудования при решении задачи определяется по формуле:
Sg = Ам свт +Эн , (4)
где Ам свт – амортизация средства вычислительной техники, руб.;
Эн – стоимость потребляемой электроэнергии, руб.;
Эн = Мпотр ×Кисп ×Сэл , (5)
где Сэл - стоимость 1 кВт/час электроэнергии, руб.;
Мпотр - максимальная потребляемая мощность ЭВМ, кВт;
Кисп - коэффициент использования ЭВМ по мощности;
Годовые затраты на заполнение документов, анализ и корректировку данных определяются по формуле:
, (6)
где Зl - среднемесячная основная заработная плата работника l , руб.;
n - количество месяцев в течение года, в которые выполнялись данные работы;
Tl - среднемесячные трудовые затраты работника, чел./час;
α - коэффициент накладных расходов;
β – единый социальный налог, %;
Q - среднее количество рабочих часов в месяце, час.
В настоящее время в ООО «Брянскпромбетон» осуществляется формирование только производственного бюджета и бюджета доходов и расходов с помощью табличного редактора MS Excel. Данную работу осуществляют начальник ПЭО и экономист ПЭО на двух ЭВМ. Учитываю данный факт и сводя (5)®(4); (4)®(3); (3),(6)®(2) и подставляя исходные данные, получим годовые эксплуатационные расходы до внедрения системы равные:

Годовые эксплуатационные расходы после внедрения системы определяются по формуле:
СР 2 = С 1бюд + С 2бюд + С 3бюд , (7)
где С 1бюд - годовые затраты машинного времени на решение задачи после внедрения системы бюджетирования на предприятии, руб.;
С 2бюд - годовые затраты на ввод, анализ и корректировку данных после внедрения системы бюджетирования на предприятии, руб.
С 3бюд - годовые затраты на настройку оборудования, руб.
Годовые затраты машинного времени на решение задачи после внедрения системы бюджетирования на предприятии определяются по формуле:
, (8)
Исходя из формулы (4) и исходных данных о времени на выполнение работ по бюджетному управлению и количестве рабочих мест в бюджетном комитете получаем:

Годовые затраты на ввод, анализ и корректировку данных после внедрения системы бюджетирования на предприятии определяются по формуле (6):

Годовые затраты на настройку оборудования при решении задачи бюджетирования определяются по формуле:
, (9)
где К3 - единовременные затраты на обучение персонала, адаптацию, настройку оборудования при решении задачи, руб.;
- коэффициент настройки оборудования.
К3 = К31 + К32 + К33 , (10)
где К31 - единовременные затраты по заработной плате персонала на обучение, адаптацию, настройку оборудования на решение задачи, руб., определяются по формуле (6);
К32 - единовременные затраты машинного времени на обучение персонала, адаптацию, настройку оборудования при решении задачи, руб., определяются по формуле (3);
К33 - прочие единовременные расходы, тыс. руб.
К33 = (К31 + К32 ) h, (11)
где h - коэффициент прочих расходов по обучению и настройке оборудования.
Сводя (11)→(10)→(9) и подставляя исходные данные получим:
Таким образом получаем, годовые эксплуатационные расходы после внедрения системы равные:
СР 2 =1872руб. +122453,76руб. + 9884,4руб. = 134210,16руб.
Доход от снижения потерь от факторов прямого действия определяется по формуле:
Дпд = Дсбыт + Дсклад + Дснабж + Дфин.уп + Дуч.затр, (12)
где
Дсбыт - доход от снижения потерь в сфере сбыта, руб.
Дсклад - доход от снижения потерь в сфере управления складскими запасами руб.
Дснабж - доход от снижения потерь в сфере снабжения руб.
Дфин.уп - доход от снижения потерь от несовершенного финансового учета руб.
Дуч.затр - доход от снижения потерь в системе учета затрат руб.
,
(13)
где Сб1 - экспертная оценка снижения потерь сбыта от срывов поставок продукции из-за сбоев и ошибок в планировании номенклатуры производства, % (0,1%);
Сб2 - экспертная оценка снижения потерь сбыта из-за низкой скорости прохождения заявки по службам, % (0,05%);
Сб3 - экспертная оценка снижения потерь сбыта из-за невысокой гибкости учета потребностей заказчика, % (0,2);
Vпродаж – годовой объем продаж, руб.
,
(14)
где Ск1 - экспертная оценка снижения потерь от искаженной информации по уровню складских запасов сырья и материалов, % (0,1%);
Ск2 - экспертная оценка снижения потерь от ошибок ведения учета перемещений МТЦ между подразделениями, % (0,1%);
Vсклад – объем общих запасов на складе и в производстве, руб.
,
(15)
где Сн1 - экспертная оценка снижения потерь от неэффективного выбора поставщиков, % (0,1%);
Сн2 - оценка снижения потерь от закупок по невыгодным ценам связи с бартерными операциями, % (0,1%);
Сн3 - экспертная оценка снижения потерь от низкой скорости прохождения заявок по службам, % (0,1%);
Сн4 - оценка снижения потерь от ошибок в объемах закупок, % (0,1%);
Vснабж – годовой объем закупок сырья материалов, руб.
,
(16)
где Ф1 - экспертная оценка снижения потерь от несвоевременного отражения в учете в финансовых документах, % (0,05%);
Ф2 - экспертная оценка снижения потерь от низкой оперативности контроля финансовых обязательств, % (0,01%);
Vфин.уп - годовой объем расчетов предприятия, руб.
,
(17)
где З1 - экспертная оценка потерь от невозможности соотнесения затрат с центрами ответственности, % (0,05%);
З2 - экспертная оценка потерь от неточного определения действительной эффективности работы конкретных подразделений, % (0,05%);
З3 - экспертная оценка потерь от неполного учета накладных и прочих расходов и мест их возникновения, % (0,05%);
Vуч.затр - годовой объем затрат предприятия, руб.
Таким образом, сводя (17),(16),(15),(14),(13)→(12), и подставляя данные, получаем доход от снижения потерь от факторов прямого действия равный:
Доход от снижения потерь от факторов непрямого действия определяется по формуле:
,
(18)
где Н1 - снижение потерь от ошибок в управленческих решениях, % (0,15%);
Н2 - снижение потерь от утраты значимой информации, % (0,05%);
Н3 - снижение потерь от неэффективного использования времени высшего руководства, % (0,05%);
Н4 - снижение потерь от ошибок финансового планирования, % (0,15%);
Подставляя данные, получаем:

Таким образом, годовой эффект от внедрения системы бюджетировния на предприятии равен:
Э = 45 886,36руб. – 134 210,16руб. +2 017 000руб. +800 000руб. =2 728 676,14руб.
Расчетный коэффициент экономической эффективности определяется следующим образом:
, (19)
, (20)
где ЕН - нормативный коэффициент эффективности затрат;
К - единовременные капитальные затраты, руб.
К = К 1 + К 2 , (21)
где К 1 - стоимость программно-методического комплекса "КИС: Бюджетирование", руб.
К 2 - единовременные затраты на обучение персонала, адаптацию, настройку оборудования при решении задачи, руб. рассчитываются по формуле (10).
Таким образом, подставляя исходные данные, получаем единовременные капитальные затраты равные:

Получаем расчетный коэффициент экономической эффективности равный:

Коэффициент экономической эффективности больше нормативный коэффициент эффективности затрат, следовательно, капиталовложения экономически целесообразны.
Срок окупаемости затрат определяется по формуле:
, (22)
где T – срок окупаемости затрат, лет.

Учитывая, что экономический эффект от внедрения системы бюджетирования на предприятии возможен только при окончании бюджетного цикла (в данном случае 1 год), срок окупаемости затрат принимается 1 год.
3.3. Организационные аспекты внедрения проектных решений
Организация работ по внедрению системы бюджетного планирования является достаточно сложной управленческой процедурой, так как охватывает большое количество сотрудников и должна обеспечивать их эффективное взаимодействие.
Срок внедрения процедуры бюджетного планирования в зависимости от сложности бизнес-процессов предприятия составляет в среднем 1 месяц
В целях наиболее эффективной организации работ по внедрению автоматизированной системы бюджетного планирования необходимо предусмотреть выполнение следующих основных этапов:
1. Работы по внедрению системы бюджетного планирования на предприятии начинаются с определения отдела, ответственного за координацию процедуры бюджетирования. Для управления бюджетным процессом на предприятии, на базе планово-экономического создается рабочая группа по бюджетированию. В данном случае в состав рабочей группы будут входить:, экономист ПЭО, бухгалтер, сотрудник финансового отдела. Функциональная модель автоматизированного рабочего места рабочей группы по бюджетированию представлена в приложении 5.
2. Изучается существующая процедура планирования деятельности предприятия для последующей настройки автоматизированной системы.
3. Осуществляется разработка финансово-экономической модели предприятия (приложение 4). В этих целях бюджет следует рассматривать как систему организационного взаимодействия центров планирования (ЦП), центров финансовой ответственности (ЦФО) и центров затрат (ЦЗ), направленную на составление обоснованных бизнес-прогнозов по функциональным областям деятельности предприятия и дальнейшего получения на их основе бизнес-заданий посредством финансово-хозяйственного моделирования.
4. Разрабатывается регламент бюджетирования: определяются необходимые бизнес – прогнозы, их назначение и содержание; по каждому бизнес – прогнозу назначаются центры планирования;
5. Разрабатывается положение о системе бюджетного планирования деятельности предприятия, в котором должны содержаться:
· понятие и назначение бюджета предприятия;
· общая методология бюджетного планирования на предприятии;
· отчетные формы бюджета предприятия;
· общая методология исполнения бюджета на предприятии;
· отчетные формы по исполнению бюджета предприятия.
6. Согласовываются и утверждаются положение о системе бюджетного планирования деятельности предприятия, структура бюджета и регламент бюджетирования.
7. Совместно с программистом предприятия производится анализ компьютерной техники, действующего программного обеспечения и локальной сети предприятия. Определяется сервер для установки программы.
8. Производится первичный инструктаж сотрудников рабочей группы по работе с автоматизированной системой бюджетного планирования и назначению справочников, бизнес-прогнозов и бизнес-заданий.
9. Составляется распоряжение об ответственности сотрудников рабочей группы по бюджетированию за организацию работ структурных подразделений предприятия с конкретными бизнес-прогнозами и справочной информацией.
10. Совместно с программистом проводится анализ нормативно-справочной информации в существующих информационных системах предприятия и определяется возможность ее последующей синхронизации с программой «КИС: Бюджетирование» и периодичность её импорта в систему «КИС: Бюджетирование».
11. В систему вводится организационная структура предприятия (в справочник структурных подразделений). В настройке полномочий подразделения наделяются правами выступать в бюджете в качестве ЦП, ЦФО в соответствии с утвержденным регламентом. Настраиваются права доступа для сотрудников рабочей группы по бюджетированию. Создается вариант бюджета.
12. Подготавливается приказ и план-график проведения обучения специалистов предприятия работе с программой «КИС: Бюджетирование». Специалистами группы внедрения проводится обучение и аттестация специалистов предприятия.
13. Организуется процесс ввода данных для расчета бюджета.
14. Производится расчет бюджета предприятия.
15. Осуществляется анализ расчетных данных, организуется защита данных центрами планирования, и вносятся необходимые корректировки.
16. Утверждается окончательный вариант бюджета.
17. Разрабатывается механизм контроля исполнения бюджета:
· Определяется перечень бюджетов, по которым будет вестись исполнение бюджета в системе «КИС: Бюджетирование». Определяется формат представления данных.
· Создается вариант исполнения бюджета, связанный с соответствующим вариантом бюджета.
· Назначается регламент исполнения бюджета: определяются необходимые задания на ввод фактических данных, по каждому заданию назначается ЦФО, описываются назначение и необходимое содержание каждого задания.
· Формы по исполнению бюджета предприятия предоставляются для анализа руководству предприятия.
Таким образом, следует отметить, что для постановки бюджетирования необходимы не только грамотное решение методологических проблем, вдумчивое осмысление нужного инструментария финансового планирования, но и разработка соответствующих организационных процедур, регламентирующих все вопросы взаимоотношений отдельных структурных подразделений с руководством предприятия.
Заключение
За последние годы, специализированные системы бюджетирования получили широкое распространение и в настоящее время рассматриваются как отдельный класс автоматизированных информационных систем.
В результате проведенного в работе анализа из представленных на рынке систем бюджетирования для моделирования деятельности промышленного предприятия выбран программно-методический комплекс «КИС: Бюджетирование», успешно апробированный на ряде промышленных предприятий. Методология бюджетного планирования, реализованная в ПМК КИС:Бюджетирование , предусматривает:
- глубокое технико-экономическое обоснование экономических показателей на основе детального расчета производственной программы по каждой номенклатуре изделий с учетом объема заказов, требуемого производственного оборудования и мощностей, производственного цикла изделий, норм и нормативов для выпуска единицы продукции и т.д. Рассчитанные таким образом финансовые показатели ложатся в основу себестоимости, бюджета закупок, бюджета продаж, бюджета заработной платы, бюджетов подразделений и бюджета доходов и расходов
- расчет финансовых потоков на основе обоснованных экономических показателей с учетом условий оплаты и поставки, минимальных партий поставщиков; графика финансирования начисленных налоговых платежей, сырья и материалов, заработной платы и т.д. приводит к формированию бюджета движения денежных средств.
В третьей части дипломной работе проанализированы факторы, влияющие на экономическую эффективность внедрения системы бюджетирования. Рассчитан годовой экономический эффект от внедрения системы бюджетирования в ООО «Брянскпромбетон», составивший 2 728 676,14 руб. Рассмотрены организационные аспекты внедрения системы бюджетирования на предприятии.
Литература
1. Батрин Ю.Д. Бюджетное планирование деятельности промышленных предприятий. Монография. М.: Высшая школа, 2001
2. Белолипецкий В. Г. Финансы фирмы : Курс лекций/ Под ред. И. П. Мерзлякова. - М.: Инфра-М, 1999. - 298 с.
3. Бизнес фирмы и бюджетирование потока денежных средств. / Воронова Т.А., Ляпунов С.И., Попов В.М. - Финансы и статистика, 2003, с. – 256.
4. Бородина Е.И. , Голикова Ю.С. , Колчина Н.В. , Смирнова З.М. Финансы предприятий. – М.: Банки и биржи, 1995. - 208 с.
5. Бухалков М.И. “Внутрифирменное планирование: Учебник” , ИНФРА-М - 2002, с.400
6. Быкадаров В.Л., Алексеев П.Д. Финансово- экономическое состояние предприятия М.: “Изд. ПРИОР”, 2003.- 96с.
7. Веретенникова О.Б., Майданик В.И. Разработка финансовой стратегии предприятия. Методические указания. – Екатеринбург: Издательство Уральского государственного экономического университета, 2002. С. 7.
8. Годин А.М. Бюджет и бюджетная система Издательский дом Дашков и К - 2001, с.276
9. Ирвин Д. Финансовый контроль: Пер. с англ./ под ред. И.И. Елисеевой. – М.: Финансы и статистика, 2002. – 256 с.: ил
10. Карпов А.В. "100% практического бюджетирования". Книга 1. "Бюджетирование, как инструмент управления", Издательство «Бизнес», 2003г.,392с.
11. Коласс Б. Управление финансовой деятельностью предприятия. Проблемы, концепции и методы: Учеб. пособие для вузов/Пер. с франц. Под ред. Я.В. Соколова. - М.: Финансы, ЮНИТИ, 1997. - 576 с.
12. Колесников С.Н. Статья «Бюджетирование: теория, реальность и реализация «. С сайта Налоговое, управленческое и финансовое консультирование " - http://www.econ-profi.ru.
13. Куксов А. Планирование деятельности предприятия // Экономист - 1999 -№6.-С 61-67.
14. Романовский М. Н., Финансы предприятий, Учебник – М.: Финансы и статистика, 2002. – с.218.
15. Романовский М.В. и др. Бюджетная система, Юрайт - 2001, 621 стр.
16. Савчук В. П. Учебное пособие «Финансовое планирование и разработка бюджета предприятия», Издательство «Инфра-М», 2003г, 56с.
17. Савчук В.П., Винниченко М.Н. Учебное пособие. Система контроля выполнения бюджета предприятия. Издательство «Инфра -М».2002г. с.38-42.
18. Сайт «Business Intelligence & Performance Management Software Solutions – Cognos» http://www.adaytum.com/
19. Сайт «Geac Performance Management» http://www.comshare.ru/
20. Сайт «Hyperion - The Business Performance Management Software Leader» http://www.hyperion.com
21. Сайт «Intersoft Lab» http://www.iso.ru
22. Сайт «Компьютерные информационные системы» http://www.cis2000.ru
23. Сайт «Корпоративный Менеджмент» http://www.cfin.ru
24. Сайт «Финансовое планирование, бюджетирование и прогнозирование» http://www.Budgeting.ru
25. Скалозубова Н.А. , Штейнман М.Я. Финансовое планирование. – М.: Финансы, 1998. – 413 с.
26. Фомин П.А. КИС:Бюджетирование – теория и практика производственно-финансового планирования и анализа. Финансы и кредит, 1/2003.
27. Фомин П.А. Методология расчета бюджета движения денежных средств промышленного предприятия. Финансы и кредит, 4/2003.
28. Хруцкий В.Е., Сизова Т.В. «Внутрифирменное бюджетирование. Настольная книга по постановке финансового планирования», Издательство «Финансы и статистика»,2002г, 400с.
29. Чаусов В. Статья «Технология бюджетирования в управлении бизнесом кредитной организации», Аналитический банковский журнал, 2001г. №1 с.15-28.
30. Шим Д.К., Сигел Д.Г. “Основы коммерческого бюджетирования. Пошаговое руководство.”, Азбука - 2001, с.496
31. Щиборщ К.В. Бюджетирование деятельности промышленных предприятий России. . М.: Издательство «Дело и Сервис», 2001г . 544 с.
Приложения
|
Код стр. |
4 кв. 2003 |
1 кв. 2004 |
2 кв. 2004 |
3 кв. 2004 |
4 кв. 2004 |
1 кв. 2005 |
|||||||||
| 1 |
2 |
|||||||||||||||
| I. ВНЕОБОРОТНЫЕ АКТИВЫ |
||||||||||||||||
| Нематериальные активы |
110 |
1 032 |
1 021 |
1 047 |
1 058 |
1 034 |
1 065 |
|||||||||
| Основные средства |
120 |
37 345 |
37 923 |
38 112 |
38 823 |
37 455 |
37 120 |
|||||||||
| Незавершенное строительство |
130 |
3 123 |
3 103 |
3 087 |
3 067 |
2 045 |
1 042 |
|||||||||
| Доходные вложения в материальные ценности |
135 |
|||||||||||||||
| Долгосрочные финансовые вложения |
140 |
|||||||||||||||
| Отложенные налоговые активы |
145 |
|||||||||||||||
| Прочие внеоборотные активы |
150 |
|||||||||||||||
| ИТОГО по разделу I |
190 |
41 500 |
42 047 |
42 246 |
42 948 |
40 534 |
39 227 |
|||||||||
| II. ОБОРОТНЫЕ АКТИВЫ |
||||||||||||||||
| Запасы |
210 |
16 958 |
16 957 |
17 865 |
18 428 |
17 152 |
16 360 |
|||||||||
| в том числе: |
||||||||||||||||
| сырье, материалы и другие аналогичные ценности |
15 983 |
16 394 |
17 021 |
17 450 |
16 349 |
|
||||||||||
| животные на выращивании и откорме |
||||||||||||||||
| затраты в незавершенном производстве |
||||||||||||||||
| готовая продукция и товары для перепродажи |
||||||||||||||||
| товары отгруженные |
||||||||||||||||
| расходы будущих периодов |
975 |
563 |
844 |
978 |
803 |
963 |
||||||||||
| прочие запасы и затраты |
||||||||||||||||
| Налог на добавленную стоимость по приобретенным ценностям |
220 |
2 974 |
2 998 |
3 173 |
3 408 |
3 284 |
3 151 |
|||||||||
| Дебиторская задолженность (платежи по которой ожидаются более чем через 12 месяцев после отчетной даты) |
230 |
1 135 |
2 084 |
3 098 |
2 864 |
2 865 |
2 967 |
|||||||||
| в том числе покупатели и заказчики |
||||||||||||||||
| Дебиторская задолженность (платежи по которой ожидаются в течение 12 месяцев после отчетной даты) |
240 |
8 354 |
7 341 |
7 331 |
7 034 |
8 597 |
|
|||||||||
| в том числе покупатели и заказчики |
||||||||||||||||
| Краткосрочные финансовые вложения |
250 |
289 |
478 |
265 |
203 |
108 |
176 |
|||||||||
| Денежные средства |
260 |
2 145 |
1 110 |
1 034 |
1 043 |
903 |
750 |
|||||||||
| Прочие оборотные активы |
270 |
|||||||||||||||
| ИТОГО по разделу II |
290 |
31 855 |
30 968 |
32 766 |
32 980 |
32 909 |
32 680 |
|||||||||
| БАЛАНС |
300 |
73 355 |
73 015 |
75 012 |
75 928 |
73 443 |
71 907 |
|||||||||
|
Код стр. |
4 кв. 2003 |
1 кв. 2004 |
2 кв. 2004 |
3 кв. 2004 |
4 кв. 2004 |
1 кв. 2005 |
|||||||||
| 1 |
2 |
|||||||||||||||
| III. КАПИТАЛ И РЕЗЕРВЫ |
||||||||||||||||
| Уставный капитал |
410 |
19 364 |
25 300 |
26 687 |
29 010 |
30 200 |
27 453 |
|||||||||
| Собственные акции, выкупленные у акционеров |
||||||||||||||||
| Добавочный капитал |
420 |
30 731 |
30 800 |
31 366 |
32 141 |
32 160 |
32 180 |
|||||||||
| Резервный капитал |
430 |
|||||||||||||||
| Нераспределенная прибыль (непокрытый убыток) |
470 |
4 854 |
5 186 |
5 440 |
5 553 |
4 560 |
4 976 |
|||||||||
| ИТОГО по разделу III |
490 |
54 949 |
61 286 |
63 493 |
66 704 |
66 920 |
64 609 |
|||||||||
| IV. ДОЛГОСРОЧНЫЕ ОБЯЗАТЕЛЬСТВА |
||||||||||||||||
| Займы и кредиты |
510 |
807 |
706 |
300 |
250 |
|||||||||||
| Отложенные налоговые обязательства |
515 |
|||||||||||||||
| Прочие долгосрочные обязательства |
520 |
|||||||||||||||
| ИТОГО по разделу IV |
590 |
807 |
706 |
300 |
250 |
0 |
0 |
|||||||||
| V. КРАТКОСРОЧНЫЕ ОБЯЗАТЕЛЬСТВА |
|
|||||||||||||||
| Займы и кредиты |
610 |
7 531 |
4 445 |
5 311 |
4 567 |
3 087 |
3 864 |
|||||||||
| Кредиторская задолженность |
620 |
10 069 |
6 578 |
5 908 |
4 407 |
3 437 |
3 434 |
|||||||||
| в том числе: |
||||||||||||||||
| поставщики и подрядчики |
8 467 |
5 346 |
4 867 |
3 086 |
2 754 |
2 534 |
||||||||||
| задолженность перед персоналом организации |
12 |
34 |
42 |
56 |
21 |
44 |
||||||||||
| задолженность перед гос. внебюджетными фондами |
567 |
322 |
353 |
298 |
265 |
397 |
||||||||||
| задолженность по налогам и сборам |
||||||||||||||||
| прочие кредиторы |
1 023 |
876 |
646 |
967 |
397 |
459 |
||||||||||
| Задолженность перед участниками (учредителями) по выплате доходов |
630 |
|||||||||||||||
| Доходы будущих периодов |
640 |
|||||||||||||||
| Резервы предстоящих расходов |
650 |
|||||||||||||||
| Прочие краткосрочные обязательства |
660 |
|||||||||||||||
| ИТОГО по разделу V |
690 |
17 600 |
11 023 |
11 219 |
8 974 |
6 524 |
7 298 |
|||||||||
| БАЛАНС |
700 |
73 356 |
73 015 |
75 012 |
75 928 |
73 444 |
71 907 |
|||||||||
| Отчет о прибылях и убытках |
|
|||||||||||||||
| Наименование показателя |
Код стр. |
4 кв. 2003 |
1 кв. 2004 |
2 кв. 2004 |
3 кв. 2004 |
4 кв. 2004 |
1 кв. 2005 |
|||||||||
| 1 |
2 |
|||||||||||||||
| Доходы и расходы по обычным видам деятельности |
||||||||||||||||
| Выручка (нетто) от продажи товаров, продукции, работ, услуг (за минусом НДС, акцизов и аналогичных обязательных платежей) |
275 634 |
51 125 |
102 542 |
141 487 |
180 432 |
53 494 |
||||||||||
| Себестоимость проданных товаров, продукции, работ, услуг |
268 448 |
48 078 |
95 734 |
131 034 |
170 243 |
47 909 |
||||||||||
| Валовая прибыль |
7 186 |
3 047 |
6 808 |
10 453 |
10 189 |
5 585 |
||||||||||
| Коммерческие расходы |
2 976 |
763 |
1 400 |
2 162 |
2 875 |
2 897 |
||||||||||
| Управленческие расходы |
2 984 |
765 |
1 440 |
2 233 |
3 026 |
3 819 |
||||||||||
| Прибыль (убыток) от продаж |
1 227 |
1 519 |
3 968 |
6 058 |
4 288 |
|
||||||||||
| Прочие доходы и расходы |
||||||||||||||||
| Проценты к получению |
1 376 |
344 |
800 |
1 178 |
1 298 |
1 676 |
||||||||||
| Проценты к уплате |
4 380 |
1 095 |
2 171 |
3 227 |
4 283 |
5 339 |
||||||||||
| Доходы от участия в других организациях |
||||||||||||||||
| Прочие операционные доходы |
3 828 |
957 |
1 544 |
2 310 |
3 076 |
3 842 |
||||||||||
| Прочие операционные расходы |
||||||||||||||||
| Внереализационные доходы |
2 556 |
639 |
1 425 |
2 213 |
3 001 |
|
||||||||||
| Внереализационные расходы |
1 288 |
322 |
567 |
890 |
1 213 |
1 536 |
||||||||||
| Прибыль (убыток) до налогообложения |
3 319 |
2 042 |
4 999 |
7 642 |
6 167 |
1 301 |
||||||||||
| Отложенные налоговые активы |
||||||||||||||||
| Отложенные налоговые обязательства |
||||||||||||||||
| Текущий налог на прибыль |
2 754 |
389 |
1 233 |
934 |
693 |
962 |
||||||||||
| Чистая прибыль (убыток) отчетного периода |
565 |
1 653 |
3 766 |
6 708 |
5 474 |
339 |
||||||||||
| |
| |
Приложение 4
Рис. 48. Организационно-управленческая модель бюджетного процесса
| |
Приложение 6
Положение о бюджетировании
Общие положения
Бюджет — это финансовый план, охватывающий все стороны деятельности предприятия и (или) его структурного подразделения (ЦФО) на конкретный период, в котором определены вероятные доходы и расходы, порядок осуществления расчетов с поставщиками и клиентами (условия поступления денежных средств), расходования поступивших денежных средств по операциям, прирост стоимости (капитала) предприятия (вероятная динамика активов и обязательств).
Бюджет ЦФО — это план, в котором определены цели ЦФО, нормативы (задания) по их реализации, задания по объемам привлекаемых ресурсов и всем видам расходов, связанных с выполнением заданий (прямые и накладные), задания по нормам и массе получаемой прибыли (валовой, операционной, балансовой и чистой).
Бюджеты разрабатываются для организации в целом, для центров финансовой ответственности и отдельных проектов (бизнес-планов), характеризующих коммерческую оценку конкретных новых направлений хозяйственной деятельности.
Центром финансовой ответственности является любое структурное подразделение, которое имеет обособленный в финансовом, организационном (юридическом) или хозяйственном (по продукту или региону) отношении вид деятельности (бизнеса), в состоянии контролировать (влиять на) доходы и расходы этого бизнеса и чье руководство имеет право принимать решения по оперативным вопросам и несет ответственность за финансовые результаты их исполнения.
1. Назначение системы финансового планирования
Назначение системы финансового планирования состоит в:
· повышении финансовой устойчивости и улучшении финансового состояния ООО в целом;
· увеличении эффективности использования имеющихся в распоряжении ООО активов (материальных и нематериальных ресурсов), повышении производительности труда;
· повышении обоснованности выделения финансовых ресурсов, прежде всего кредитов, по отдельным направлениям хозяйственной деятельности ООО, видам контрактов (договоров);
· проведении мониторинга финансовой эффективности отдельных видов хозяйственной деятельности;
· прогнозировании, анализе и оценке различных сценариев изменения финансового состояния ООО, его структурных подразделений и видов деятельности для оперативного принятия соответствующих управленческих решений;
· определении наиболее эффективных (с учетом сложившейся конъюнктуры и других факторов) видов и направлений хозяйственной деятельности ООО;
· создании основы для проведения структурной перестройки ООО, определения тех программ и видов хозяйственной деятельности которые предстоит свернуть в обозримом будущем или, наоборот, расширить;
· усилении стимулирования руководителей и работников структурных подразделений ООО к повышению рентабельности осуществляемых ими видов деятельности, повышению ответственности за связанные с этим доходы и расходы, за конечные финансовые результаты;
· обучении руководителей и работников структурных подразделений ООО, чья деятельность связана с получением доходов, основам финансового планирования и финансового менеджмента, лучшему сопоставлению доходов и расходов, связанных с хозяйственной деятельностью их подразделений;
· повышении финансовой обоснованности принимаемых управленческих решений;
· обеспечении лучшей взаимосвязи между интересами отдельного подразделения ООО и интересами предприятия в целом.
2. Структура бюджетов
Система финансового планирования для ООО разрабатывается в двух уровнях:
Уровень 1. Сводные бюджеты (для ООО в целом) в составе основных бюджетов:
· доходов и расходов;
· движения денежных средств;
· расчетный баланс;
и вспомогательных:
· первоначальных (капитальных) затрат (инвестиционный бюджет);
· кредитный план.
Уровень 2. Бюджеты ЦФО в составе основных бюджетов:
· доходов и расходов;
· движения денежных средств;
· расчетный баланс;
и вспомогательных:
· первоначальных (капитальных) затрат;
· кредитный план.
Для ООО в целом разрабатываются сводные бюджеты доходов и расходов, бюджет движения денежных средств, бюджет первоначальных (капитальных) затрат и сводный расчетный баланс. Для ЦФО разрабатываются бюджеты доходов и расходов, движения денежных средств, бюджет первоначальных (капитальных) затрат и расчетные балансы.
Система финансового планирования базируется на следующих принципах:
· унификация (единообразие) всех бюджетных форм для всех ЦФО, независимо от специфики их хозяйственной деятельности;
· унификация (согласованность) бюджетных периодов для ООО, ЦФО и других структурных подразделений;
· унификация процедур разработки бюджетов различных уровней;
· совместимость бюджетных форм (форматов) с установленными формами государственной отчетности;
· совместимость вспомогательных бюджетных документов с основными бюджетными формами (форматами);
· обеспечение возможности составления сводного бюджета;
· стабильность (неизменность) процедур бюджетирования и установленных целевых нормативов (показателей) на протяжении всего первоначально установленного бюджетного периода;
· разделение накладных расходов на затраты ЦФО (общецеховые) и ООО в целом (общезаводские) по формуле, единой для всех подразделений;
· непрерывность процедуры составления бюджетов, предусматривающей регулярный пересмотр и корректировку ранее сделанных прогнозов на новый период, не ожидая завершения действующего;
· перед всеми подразделениями заранее формулируются финансовые цели в виде заданий определенных норм рентабельности (доли чистой (нераспределенной) прибыли в чистой - нетто выручке от реализации (в чистых продажах), операционной прибыли от реализации в чистой - нетто выручке от реализации (в чистых продажах), оказывающихся в распоряжении ЦФО в бюджетный период, лимитов отдельных видов затрат в виде процента от выручки от реализации (чистых продаж) или фиксированных сумм в абсолютных цифрах);
· учет доходов и расходов, поступлений и списаний денежных средств необходимо проводить в сопоставимых по времени (с поправкой на инфляцию) единицах учета;
· детальный учет преимущественно наиболее важных статей расходов, чья доля в чистых продажах достаточно велика в процентном отношении.
3. Бюджетный регламент
С учетом специфики ООО и нестабильности хозяйственной конъюнктуры бюджетный период вводится продолжительностью 12 месяцев с поквартальной и помесячной разбивкой.
По итогам первого месяца I квартала корректируются прогнозы и оценки на следующие месяцы того же (I) квартала, а также на II—IV кварталы.
По итогам второго месяца I квартала корректируются оценки на третий месяц того же квартала, составляются прогнозы на II квартал с помесячной (для БДиР и БДДС) и подекадной (для БДДС) разбивкой соответственно и корректируются оценки на II—IV кварталы.
По итогам I квартала корректируются данные на 1—3 месяцы П квартала и разрабатывается предварительный общий прогноз (проформа) на пятый (следующий за IV) квартал (т. е. I квартал следующего года). ,
Бюджетные наметки (прогнозы) на I—IV кварталы в целом нового года бюджетного периода составляются и представляются до 10-го числа месяца, предшествующего первому месяцу соответствующего квартала.
Бюджетные наметки на 1—3 месяцы I квартала бюджетного периода разрабатываются и представляются до 20-го числа месяца, предшествующего первому месяцу I квартала. Одновременно представляются отчеты о фактическом исполнении бюджетов за прошлые (истекшие) периоды.
Порядок разработки бюджетов внутри бюджетного периода.
1. До 20-го числа первого месяца I квартала представляются скорректированные бюджеты на второй и третий месяцы I квартала и на II—IV кварталы в целом.
2. Подведение итогов первого месяца I квартала осуществляется до 10-го числа второго месяца I квартала.
3. До 20-го числа второго месяца представляются скорректированные бюджеты на третий месяц I квартала, на II квартал с помесячной разбивкой и на III—IV кварталы в целом.
4. Подведение итогов второго месяца I квартала осуществляется до 10-го числа третьего месяца I квартала.
5. До 20-го числа третьего месяца представляются скорректированные бюджеты на II квартал с помесячной разбивкой и на III—IV кварталы в целом, а также составляется общий предварительный прогноз (проформа) на I квартал нового бюджетного периода (на новый календарный год), т. е. на I квартал, следующий за IV кварталом текущего бюджетного периода.
6. Подведение итогов I квартала осуществляется до 10-го числа первого месяца II квартала.
Разработка соответствующих бюджетов внутри II и III кварталов осуществляется согласно пп. 1 - 6 бюджетного регламента.
При подведении итогов за II квартал корректируются прогнозы на Ш и IV кварталы, проформа на I квартал следующего года и составляются проформы (предварительные варианты) на II квартал следующего года. Утверждение бюджета на новый год осуществляется с учетом ранее подготовленных поквартальных проформ.
При корректировке бюджетов представляются данные о фактическом исполнении бюджетов (до 10-го числа месяца, следующего за отчетным).
4. Организация бюджетного управления
4.1. Организация финансового планирования
При отсутствии в ЦФО специального подразделения, занимающегося финансовым планированием и анализом, эти функции выполняет специально выделенная группа работников планово-экономического отдела во взаимодействии с другими службами, которые должны предоставлять информацию, необходимую для составления бюджетов. Рабочая группа по бюджетированию (плановики ЦФО) составляют бюджеты и корректирует их внутри бюджетного периода. Бюджеты капитальных (первоначальных) затрат, кредитный план и бюджет движения денежных средств в целом согласовываются с отделом платежей (финансовым отделом). Бухгалтерская служба (бухгалтеры ЦФО) отвечают за подготовку отчетов о выполнении бюджетов и (или) предоставляют необходимые данные.
4.2. Бюджетный контроль
Бюджетный контроль за правильностью заполнения бюджетных форм и достоверностью включенной в них информации осуществляется бюджетным комитетом.
Результаты исполнения бюджетов ЦФО ежемесячно докладываются бюджетному комитету, который принимает решения о мерах по исправлению негативных тенденций и поощрению тех ЦФО, которые превысили бизнес-задания.
Похожие рефераты:
Бюджетирование - как способ управления предприятием
Анализ системы бюджетирования на ООО "Тольяттикаучук"
Составление сводного бюджета промышленного предприятия на примере УЗТИ
Анализ и оценка основных тенденций развития бюджетирования на предприятиях Российской Федерации
Система внутрифирменного планирования на предприятии
Сметное планирование (бюджетирование)
Планирование численности персонала
Система бюджетирования рекламной деятельности предприятия
Совершенствование финансового планирования в ООО "Племзавод Северо-Любинский" Омской области
Краткосрочное финансовое планирование организации
Бюджеты и их роль в управленческом учете
Стратегия социально-экономического развития города Ханты-Мансийска до 2020 года
Управление финансами предприятия на основе бюджетного метода