| Похожие рефераты | Скачать .zip |
Реферат: Вексель и вексельное обращение в России
ИНСТИТУТ МОЛОДЕЖИ
Кафедра экономики и предпринимательства
Курсовая работа
Вексель и вексельное кредитование: содержание и российская практика применения в кредитных учреждениях.
Выполнила: студентка 3-го курса
факультета экономики и
управления группы М-302
Ярошенко Г.Л.
Научный руководитель: доцент
Семенов Н.Ф.
Москва 1998 г.
Глава I
Общие сведения о векселе.
1. Вексель как кредитно-расчетный инструмент.
Вексель, как инструмент кредитно-расчетных отношений явился результатом многовекового развития товарно-денежного хозяйства.
Его появление было связано с необходимостью перевода денег из одной местности в другую, а так же при обмене монет, имеющих хождение в одной местности, на валюту другого государства.
Это порождало множество затруднений: риск быть ограбленным, запрет на вывоз монет за пределы страны, где они чеканились, да и просто физические трудности перехода из-за громоздкости монет.
Как выход из создавшегося положения появилась сделка, связанная с переводом и обменом денег и состоявшая во внесении определенному лицу суммы денег в одном месте с обязательством последнего уплатить такую же сумму в другом месте монетой, имеющей хождение в том месте, т.е. вексельной сделки (от английского Wechel – обменивать, менять).
Толчком к развитию вексельных отношений послужила практика банкиров, менял средневековой Италии. Купец, отправляясь на ярмарку и не рискуя брать с собой большую сумму наличных денег, обращался к своему банкиру, вносил деньги и получал от него письмо банкиру в месте назначения с просьбой о выдаче эквивалентной суммы.
Так появляются три участника вексельных отношений:
1) ремитент (векселедержатель) – владелец векселя, имеющий право на платеж по векселю.
2) трассант (векселедатель) –лицо, выдавшее вексель.
3) трассат (плательщик).
Отношение этих трех сторон оформлялось документом (траттом), который служил, с одной стороны, удостоверением личности ремитента, как лица, которому в определенном месте должен быть произведен платеж, с другой же стороны - он имел доказательства его права требования.
Приняв вексель к платежу и превратившись в акцептанта, трассат становится главным должником по векселю.
В процессе обращения вексель передается от одного держателя к другому с помощью передаточной надписи (индоссамента). Каждый индоссант, так же, как и ремитент, несет ответственность за акцепт и платеж по векселю.
Вексельные обязательства платежника, векселедателя и индоссантов могут быть дополнительно гарантированы полностью или части суммы посредством аваля – вексельного поручительства (фр. – avail), в силу которого лицо (авалент), совершившее его, принимает часть ответственности за выполнение какого-либо из обязанных по векселю лиц.
Посредством векселя, как расчетно-кредитного инструмента можно гасить взаимные долги по цепочке дебиторов и кредиторов, спасать оборотные средства, обеспечивать целевое использование кредита и т.д.
Вексель, являясь средством оформления кредита в товарной форме, способствует увеличению скорости оборота, уменьшению потребности в кредитных ресурсах и денежных средствах в целом, позволяет хозяйственным субъектам использовать денежные средства в собственных целях.
2. Сущность векселя как финансового инструмента.
Вексель выполняет две главные функции: кредитную и расчетную.
Рассмотрим расчетную функцию векселя. В сущности, позволяя векселедателю рассчитываться, выпускать векселя в обращение, вексель выступает как средство расчетов, т.е. заменяет деньги, важнейшей функцией которых является то, что они могут быть средством обращения.
Мы наблюдаем эволюцию: деньги в части заменили бартер, натуральный обмен, отделив акт продажи от акта покупки, – вексель в части заменил деньги, отделив акт платежа от акта получения денег.
Второй функцией денег является выступление их мерой стоимости. Общество считает удобным использование денежной единицы в качестве масштаба для соизмерения относительной ценности благ и ресурсов.
Это имеет очевидные преимущества. Благодаря денежной системе нам надо выражать цену каждого продукта через другие продукты. И снова вексель являет собой следующую ступень: он аккумулирует в себе эту функцию денег, выражая собой стоимость того или иного товара в денежном выражении, но избавляя нас от процесса пересчета, перевода, хранения денег, являясь универсальным средством платежа.
Кроме того, в каждой стране обычно устанавливается своя мера стоимости. В США мерой стоимости является доллар, в Германии – марка, в России – рубль. Вексель помогает не только вести расчеты, но и обменивать деньги. Средство обмена – самая древняя функция векселя. Ради нее он собственно и был рожден в далекой средневековой Италии.
Векселем являлось письмо, с просьбой об обмене векселя (данного в одной стране и обеспеченного одной валютой) на деньги (в другой стране и в другой валюте).
Следующая функция денег – деньги как средство накопления, сохраняемый после продажи товаров и услуг, и обеспечивающий его владельцу покупательную способность в будущем1. Вексель полностью выполняет и эту функцию. Он сохраняет деньги векселедателю, позволяя вместо наличных денег выпускать вексель, а наличные деньги использовать в обороте, наращивая капитал, т.е. снова вексель более приемлем и выгоден – он является не только средством сохранения денег, но и способствует их приумножению.
Таким образом, получается, что вексель выполняет все функции денег, являясь к тому же средством платежа и обязательством.
Вексельное происхождение подтверждается вексельным происхождением английских банкнот: на пятифунтовой купюре рядом с портретом английской королевы содержится обещание от первого лица уплатить подателю этого требования (купюры) сумму (в золотом эквиваленте) в 5 фунтов стерлингов. В российской империи банки не выпускали векселей, а выпускали кредитные билеты (по сути, то же самое) с правом неограниченного "размена" банкнот на золото. По существу, во всех цивилизованных странах при первых выпусках бумажных денег и до наших дней они регулируются вексельными законами.
В английских фунтах видна классическая схема векселя:
- векселедатель (правящая английская королева);
- векселедержатель (владелец банкноты);
- платежник (английский банк);
такое обеспечение бумажных денег делает их надежным средством платежа, подтверждаемое авторитетом королевы и платежеспособностью (активами) английского банка.
Итак, вексель выступает как деньги, помогает отсрочить платеж, вместе с ним и уплату налогов. На базе вексельного оборота возникают кредитные деньги, выпускаемые банком – эмиссионером и поддерживаемые его авторитетом.
Деньги должны работать. А средством расчета, мерой стоимости и средством накопления с успехом выступает вексель.
3. Классификация векселей.
К
ласс
векселей достаточно
многообразен,
они отличаются
по эмитенту,
обслуживаемым
сделкам и субъекту,
получаемому
оплату.
По признаку эмитента различают:
- казначейские векселя – краткосрочные долговые обязательства, выпускаемые правительством страны обычно при посредничестве Центрального банка со сроком погашения, как правило, от 90 до 180 дней;
- частные векселя – эмитируются корпорациями, финансовыми группами, коммерческими банками.
Вексель может обслуживать чисто финансовые и товарные сделки. Финансовый вексель отражает отношение займа денег векселедателем у векселедержателя под определенные проценты. Посредством финансового векселя осуществляется выдача кредита, перечисление в бюджет налогов, получение бюджетного финансирования, заработной платы, обмен валюты и т.п.
Разновидностями этого финансового векселя являются:
- дружеский вексель – выдается одним лицом другому без намерения векселедателя произвести по нему платеж, а лишь с целью изыскания денежных средств путем взаимного учета этих векселей в банке. Обычно дружескими векселями (на равные суммы, сроки) встречно обмениваются два реальных лица, находящиеся в доверительных отношениях, для того, чтобы потом учесть или отдать под залог в банке, получив под него реальные деньги, или совершить платеж за товары.
- бронзовый вексель – это вексель, за которым не стоит реальная сделка, нет никакого реального финансового обстоятельства, при этом хотя бы одно лицо, участвующее в сделке является вымышленным. Цель такого векселя – получить под него деньги в банке либо использовать для погашения долгов по реальным товарным сделкам или финансовым обязательствам.
Бронзовые и дружеские векселя возникают при затруднительном финансовом положении "кредитора" или при проведении им мошеннической операции. Такие векселя фальсифицируют денежный оборот, провоцируя налоговые неплатежи.
В основе товарного векселя лежит сделка по купле-продаже. В этом качестве может выступать, с одной стороны, как орудие кредита, а с другой стороны – выполнять функции расчетного средства, многократно переходя из рук в руки и обслуживая вместо денег многочисленные акты купли-продажи товаров.
Простой и переходной вексель.
В настоящее время страны-участники Женевской вексельной конвенции 1930 года (в том числе и Россия как правопреемница СССР) применяют на своих территориях "Единообразный вексельных закон". Этот закон предусматривает два вида векселя: простой и переводной.
Простой вексель представляет собой письменный документ, содержащий простое и ничем не обусловленное обязательство векселедателя уплатить определенную сумму денег в определенный срок и в определенном месте векселедержателю или по его приказу другому лицу. В простом векселе с самого начала участвуют два лица: 1) векселедатель, который сам обязуется уплатить по выданному векселю; 2) векселедержатель, которому принадлежит право на получение платежа по векселю.
Под переводимым векселем понимается письменный документ, содержащий безусловный приказ векселедателя платежнику уплатить определенную сумму денег в определенное время и в определенном месте векселедержателю или по его приказу другому лицу. Векселедатель обязует оплатить вексель некоторое лицо, а сам становится гарантом платежа. Векселедатель называется трассантом, а плательщик – трассатом. В переводном векселе изначально участвуют не два, как в простом, а три лица: 1) векселедержатель, переводящий платеж на трассата; 2) векселедержатель, имеющий право на получение платежа у трассата; 3) трассат, являющийся плательщиком по векселю.
На практике предпочтение отдается переводному векселю, т.к. при наличии на нем сразу двух подписей – векселедателя и трассата (акцептанта) – гарантии платежа по векселю повышаются, и последний кредитор может приобрести вексель при меньшей степени риска операции. Таким образом, чаще всего появление переводимого векселя связано с появлением товарной сделки.
Преимущества векселя заключаются в соединении двух функций – кредитной и расчетной.
Как расчетный инструмент, благодаря свойству индоссирования, вексель может служить платежным средством, заменяя наличные деньги при платежах.
Что касается кредитной функции, то обычным являлось оформление товарного кредита переходным векселем по следующей схеме: поставщик товара (векселедержатель кредитного векселя) одновременно с заключением сделки выставляет переводной на покупателя с указанием себя, как получателя платежа по векселю (приказу векселедержателя).
Покупатель после акцепта векселя становится основным должником по нему (акцептантом), векселедержатель в данном случае является кредитором и становится держателем векселя.
Таким образом, кредит оформляется с помощью "унифицированного кредитного договора" – векселя.
Векселедержатель может оставить вексель в своей собственности и, при наступлении срока платежа, предъявить его должнику к погашению, он может оплатить векселем новый товар, покупаемый им самим, или перепродать вексель, как ценную бумагу, следующему кредитору.
Обращение векселя имеет как общие черты, так и свои особенности, отличающие его от других ценных бумаг.
Общее – то, что так же, как и облигации, депозитные сертификаты и другие ценные бумаги на предъявителя, вексель на предъявителя обращается путем простого вручения новому владельцу (векселедателю).
Особенностью является то, что в отличие от акций и облигаций, которые передаются путем купли-продажи с последующим изменением с списке акционеров, или имеющих сертификатов, которые передаются путем совершения цессии - двусторонней уступки требований, векселя передаются путем совершения передаточной надписи – индоссамента, удостоверяющего переход прав по векселю от одного лица к другому.
Индоссамент должен быть непрерывным, простым и ничем не обусловленным. Он помещается на самом векселе или на аллонже (присоединенному к векселю листе).
Существует несколько видов индоссамента:
1) Полный индоссамент – переносит на нового держателя все права, связанные с векселем. Индоссамент должен быть только полным.
2) Частичный индоссамент – переносит на нового держателя векселя лишь часть прав, связанных с векселем. Частичный индоссамент не допускается.
3) Бланковый индоссамент – не содержащий указание лица, в пользу которого он сделан, или состоящий из подписи индоссанта. Превращает именной вексель в вексель на предъявителя.
4) Именной индоссамент – содержащий указание лица, в пользу которого он сделан.
5) Безоборотный индоссамент – совершаемый с оговоркой "без оборота на меня", снимающий ответственность с векселедателя по неоплаченному и опротестованному в неплатеже векселю.
6) Оборотный индоссамент – совершаемый без оговорки "без оборота на меня".
7) Индоссамент с оговорками – индоссамент может содержать оговорки "на инкассо", "как доверенному", "валюта к поручению", имеющий ввиду простое поручение провести операции по векселю, "валюта в обеспечение", "валюта в залог", имеющие ввиду залог векселя.
Индоссат может в этом случае индоссировать вексель только в порядке препоручения, т.е. с аналогичными оговорками.
8) Индоссамент без оговорок – не содержащий вышеуказанных оговорок, дающий право индоссировать вексель в обычном порядке.
9) Препоручительский индоссамент – совершаемый с целью передачи векселя лицу, которое по поручению индоссата проведет те или иные операции по векселю1.
4. Погашение векселя.
В обусловленный срок векселедержатель должен предъявить его к платежу. Платеж может быть совершен полностью или частично. Отказ в платеже (или даже в акцепте) должен быть удостоверен публично, путем совершения акта протеста в неплатеже (или в неакцепте). Протест должен быть совершен уполномоченным представителем государства по установленной форме.
5. Форма векселя.
Вексель является письменным документом. Чтобы иметь юридическую силу, он должен быть составлен в соответствии с определенными правилами.
Как письменный документ, вексель обладает рядом обязательных реквизитов.
Простой вексель имеет следующие реквизиты:
1) Наименование "Вексель", выраженное на том языке, на котором составлен документ.
_______________________________________________________________________
1Миркин Я. М. Ценные бумаги и фондовый рынок. М. 1995 г.
2) Простое и ничем не обусловленное обязательство уплатить определенную сумму.
3) Указание срока платежа.
4) Указание места платежа.
5) Наименование того, кому или по приказу кого платеж должен быть совершен.
6) Указание дат и места составления векселя.
7) Подпись векселедателя.
Схема, отражающая содержание и движение простого векселя следующая:

Переводной вексель имеет свои обязательные реквизиты:
1) Наименование "Вексель", включенное в текст документа, выраженное на том языке, на котором составлен документ.
2) Простое и ничем не обусловленное обязательство уплатить определенную сумму.
3) Наименование того, кто должен платить по векселю (платежника).
4) Указание срока платежа.
5) Указание места платежа.
6) Наименование того, кому или по приказу кого должен быть совершен платеж.
7) Указание даты и места составления векселя.
8) Подпись векселедателя.
Схема, отражающая содержание и движение переводного векселя следующая:

6. Платеж по векселю.
В силу того, что одной из самых привлекательных сторон векселя является его платежеобеспеченность, особенно хочется сказать о платеже по векселю.
Платеж по векселю имеет существенные отличия, которые обуславливаются самой природой векселя. Платеж должен быть сделан не первоначальному кредитору, а векселедержателю, т.к. при возможности индоссирования векселя, только это последнее лицо является полноправным владельцем ценности, представляемой векселем.
Для платежа вексель должен быть предъявлен должнику кредитором в установленный срок, таким образом, видоизменяется общее предписание о платеже, требующее, чтобы должник доставил кредитору нужную сумму.
В случае отсутствия должника в месте платежа, а так же в случае несостоятельности должника в данный момент времени, платеж может быть сделан за него простым лицом.
Неуплата по предъявленному векселю ведет к протесту: не предъявление и отсутствие протеста ведет к потере векселем его силы.
Векселедатель не имеет права отказаться и от частичной оплаты по векселю в интересах вторично ответственных по векселю сторон, хотя, в принципе, вексель должен быть оплачен полной суммой.
Нормальный процесс вексельного обращения завершается оплатой векселя в срок и, оплачивая вексель, плательщик освобождает себя от вексельного обязательства.
В условиях взаимной ответственности по вексельному платежу можно быть уверенным, что именно вексель – то, что нужно предприятиям для обеспечения непрерывного процесса производства и оплаты за поставленные товары и оказанные услуги.
Инкассирование векселей.
Банки часто выполняют поручения векселедержателей по получению платежей по векселям в срок. Банки берут на себя ответственность по предъявлению векселей в срок плательщику и получению причитающихся по ним платежей. Если платеж поступит, вексель возвратиться должнику. Если нет, вексель возвращается кредитору, но с протестом в неплатеже. Следовательно, банк отвечает за последствия, возникшие вследствие упущения протеста.
Путем этих операций банки могут сосредоточить на своих счетах значительные средства и получают их в бесплатное пользование. Вместе с тем, они довольно прибыльны, т.к. за инкассо взимается определенная плата.
Они выгодны и для клиента, поскольку банки благодаря тесным взаимоотношениям между собой могут исполнять поручения клиента быстрее и дешевле, клиент так же освобождается от необходимости следить за сроками предъявления векселей к платежу, что требовало затрат значительно больших, чем комиссионные банка.
Домициляция векселей.
Банки могут по поручению клиента производить платежи по векселям в установленный срок. Эта операция противоположна инкассированию.
Домицилируя вексель, банк не несет никакой ответственности, т.к. клиент вносит сумму платежа заранее. В противном случае банк отказывает в платеже, и вексель протестуется обычным порядком против векселедателя.
Глава II
Российская практика применения векселя и вексельного кредита.
Вексельные операции.
Операция учета векселей.
Учет векселей состоит в том, что векселедержатель передает (продает) вексель банку по индоссаменту до наступления срока платежа и получает за это вексельную сумму за вычетом (за досрочное получение) определенного процента от этой суммы, т.е учетного процента или дисконта. Таким образом, с позиции банка это покупка любого несобственного векселя. Коммерческий банк может быть заинтересован в учете векселей крупных акционеров банка, а так же клиентов, которым ранее были выданы ссуды, для возврата которых банку необходимо улучшить финансовое состояние клиента. Вполне возможно, что банк будет учитывать векселя тех клиентов, с которыми планирует расширение сотрудничества. Поэтому этой операции банки придают особое значение. Как правило, условие ее выполнения определяют управляющие и директора банков на основе той информации, которая содержится в представленном к учету в банк векселе. Он отражает сложившиеся отношения между участниками вексельной сделки, а так же между индоссантами, финансовое положение и кредитоспособность которых анализируется прежде, чем вексель принимается к учету. Особенно тщательно рассматривается вопросы платежеспособности основных должников по векселю (векселедателя – по простому векселю и акцептанта или трассанта – по переводному векселю).
Можно рассматривать операцию учета векселя, как одну из форм платежного или расчетного кредита. И в том, и в другом случае банк осуществляет операцию учета векселя, однако платежный кредит предоставляется векселедателю, вексель которого представляется к учету. Расчетный же кредит, предоставленный путем учета векселя его держателем, будет погашать не то лицо, которое его получало, т.е. не ссудозаемщик, а лицо, обязанное по векселю – векселедатель или акцептант.
П
латежный
кредит оформляется
векселем тогда,
когда у клиента
банка нет средств
для оплаты
задолженности.
В этом случае
предприятие
выписывает
от своего имени
вексель и передает
его в коммерческий
банк, а тот, в
свою очередь,
перечисляет
ему деньги за
вычетом дисконта.
Расчетный кредит оформляется векселем тогда, когда предприятие продает банку вексель третьего лица, например, полученный им в оплату поставки товара.

Эффективность операции учета векселей обуславливается высокой доходностью для банка. Доходность устанавливается банком путем деления номинала векселя на две части: сумма, выплачиваемая клиенту, и дисконта в пользу банка.
Р
азмер
дисконта (при
временной базе
в 360 дней) в абсолютной
величине можно
устанавливать
по формуле:
где t – срок до погашения векселя, d – учетная (дисконтная) ставка, Н – номинал векселя, D – дисконт в пользу банка1.
С развитием вексельного рынка и совершенствованием техники проведения операции учета векселей возможно осуществление предъявительского кредитования. Если предприятию нельзя осуществить поставку своей продукции по предоплате или с оплатой немедленно после поставки, и оно вынуждено предоставлять кредит своим покупателям и заказчикам, то, естественно, его необходимо сделать срочным и платным, потребовав в оплату векселя. Имея вексель вместо просроченной задолженности покупателя, предприятие может индоссировать его оплатив им собственные финансовые обязательства, либо учесть его в банке, получив взамен дисконтированную вексельную сумму, либо хранить и предъявить к оплате в вексельный срок, получить и вексельную сумму, и проценты по векселю. Имея портфель векселей, предприятие может управлять своей ликвидностью и по мере возникновения необходимости в денежных средствах предъявлять векселя банкам к учету. Однако для этого необходимо иметь предъявительский кредит в банке, который может быть единовременным или постоянным. Операция учета векселей банком лежит и в основе векселедержательского кредита.
_________________________________________________________________________
1 Сименкова Е.В. Операции с ценными бумагами. М. 1997 г.
При векселедержательском кредите учитываются полученные векселя, а при предъявительском кредите предприятие оформляет свою дебиторскую задолженность векселями, а потом получает с помощью учета векселя в своем банке денежные средства. Иначе говоря, в обеспечении собственной кредиторской задолженности поступают векселя, для погашения которых открыт лимит кредитования в банке векселедержателя.
Расчет вексельной суммы.
Отдел ценных бумаг производит расчет вексельной суммы на дату принятия векселя к учету.
За учет векселя банк взимает учетный процент, ставка которого устанавливается самим банком. При инкассировании иногородних векселей взимается порто (почтовые расходы) и дорто (комиссия иногородним банкам за инкассирование векселей). Следует отметить, что каждый банк устанавливает учетный процент самостоятельно и вправе дифференцировать в зависимости от кредитоспособности заемщика.
Т
аким
образом, в формуле
подсчета дисконта,
взимаемого
в пользу банка:
где В – сумма векселя; t – срок платежа; С – учетная ставка процента1.
1.2. Вексельное кредитование.
Отсутствие у клиента банка достаточных средств для расчета с поставщиками, и в связи с этим, возникновение временного недостатка оборотных средств, может быть восполнено получением вексельного кредита, благодаря которому:
осуществляется кредитование при отсутствии денежных средств, выполняется классическая функция кредитования. Банк осуществляет ее, не затрачивая собственные кредитные ресурсы, т.к. предоставляет юридическому лицу кредит в виде набора векселей на общую сумму кредита.
Кредит может быть получен векселями с разными сроками платежа под конкретные потоки платежей, при этом изменение срока векселей влечет за собой изменение процентной ставки по вексельному кредиту.
Таким образом, операция может производиться при отсутствии свободных кредитных ресурсов банка.
получается прибыль, обеспечивающая высокую доходность данной операции. Прибыль достигает от 200 до 300 процентов годовых с учетом резервирования, несмотря на то, что отличительной чертой вексельного кредита является невысокая процентная ставка по нему (в 4-5 и более раз ниже ставки обычного рублевого кредита). В среднем ставка кредитования устанавливается в диапазоне от 20 до 60 % годовых в зависимости, в основном, от срока кредита и взаимоотношений банка с клиентом.
Высокая рентабельность данной операции предопределяется низким уровнем затрат на ее проведение. По существу, они сводятся к затратам на оформление векселей и отвлечение средств на создание обязательных резервов, подлежащих депонированию в банке России.
При кредитовании срочными векселями, дата, по которым совпадает со сроком окончания кредита, установлена процентная ставка порядка 35 % годовых. В случае, когда общий срок кредита превышает срок векселя, размер процентной ставки увеличивается, оставаясь меньше ставки обычного кредита. В обратной ситуации, когда срок векселя превышает срок кредита, размер процентной ставки уменьшается, приближаясь с увеличением срока векселя к нулю, т.е. беспроцентному кредиту.
При кредитовании неопределенно-срочными векселями проценты смогут определяться , например, следующим образом: 35 % годовых за время до погашения векселя плюс проценты по ставке, близкой к ставке рефинансирования ЦБ России, с момента погашения векселя до окончания кредита. В результате, суммарная ставка по кредиту превышает 35 % и зависит от срока обращения векселя, но, тем не менее, меньше ставки обычного рублевого кредита. Для первого держателя векселя стоимость такого кредита состоит из процента, удерживаемого банком, например, как было сказано выше, 35 % годовых и суммы дисконта, которая приемлема для поставщика, согласного получить вексель. Если вексель принимается по номиналу, т.е. постановка ведется в размере вексельной суммы, то такое кредитование приемлемо для клиента.
1.3. Кредитование под залог векселей.
Кредитование под залог векселей имеет определенную специфику. Выдача ссуд производится под залог векселей:
кредитование под соло-вексель
открытие клиенту специального ссудного счета, который обеспечивается векселями
При векселедержательском кредите собственная кредиторская задолженность оформляется векселями. При этом получатель векселя – поставщик товаров, производитель услуг или иное лицо, являющееся кредитором, имеет возможность получить средства в банке векселедателя-должника за счет открытого ему кредита. Как правило, кредит по векселям, переданного в залог, предоставляется лишь в размере 60 – 90 % от их стоимости. Поэтому, взыскание вексельной суммы в случае невыполнения условий кредитного договора может принести определенный эффект.
2. Риски при операциях с векселями.
Операции по учету векселей являются для банков в значительной степени рискованными. Риск потерь связан не только с финансовым положением векселедателя, но определяется помимо этого рядом других факторов.
В частности, наблюдается информационная закрытость рынка. Эта проблема наиболее остра и связана с труднодоступностью информации о находящихся в обращении векселях, процедуре выпуска, погашении, фактах утери или хищении векселей, сводных данных, финансовой отчетности векселедателя.
Участники рынка пока не могут пользоваться общепринятой технологией совершения операций. Это связано с тем, что отсутствует унифицированный порядок выпуска и погашения векселей, проверки их на подлинность, устоявшегося документа оборота и порядка расчетов по совершаемым сделкам на вторичном рынке.
Сегодня отсутствует и торговая система или общепризнанная торговая площадка по операциям с векселями. Сделки с ними осуществляются на неорганизованном не биржевом рынке. Процедуры из заключения, совершение расчетов, передача долговых обязательств определяются индивидуально. Поэтому участники вексельного обращения практикуют различные способы исполнения сделок: на условиях предоплаты или предпоставки бумаг, закрытым или открытым индоссаментом.
Высок и риск мошенничества. Он связан с документарной формой векселя как долгового инструмента и усугубляется возможностью передачи векселей по бланковому индоссаменту, что усиливает риск злоупотребления.
При работе с векселями возникают различные коллизии по отдельным вопросам уголовного, гражданского и вексельного права. Например, существующая в рамках уголовного и гражданского прав процедура "ареста" денежных средств в обеспечении платежа или долговых обязательств, являющихся предметом спора, выступает в противоречии с нормами вексельного права. Такая ситуация делает рискованными не только активные операции банка по учету, но и пассивные – по привлечению ресурсов.
Определенный вклад в снижение степени риска по операциям с векселями могут внести принятые в рамках ассоциации участников вексельного рынка (АУВЕР) единые стандарты раскрытия информации, выпуска и погашения а также обращения векселей, обязательных для исполнения участниками ассоциации.
Следующим шагом, видимо, должна быть организация вексельной торговой площадки в раках ассоциации. Ее создание повысит ликвидность обращающихся векселей, ускорят торговые операции, снизят риск совершаемых сделок, сократит издержки для конечных участников, это приведет к повышению "прозрачности" вексельного рынка.
Возможно, существование торговой системы без обеспечения депозитарного учета совершаемых сделок с векселями и гарантированной системы их исполнения. В этом случае, допуск к участию в торгах не может быть свободным, а должен строиться в зависимости от опыта работы компании на вексельном рынке и собственной платежеспособности.
Одной из операций, получающих развитие, является авалирование коммерческими банками векселей сторонних векселедателей. При этом банк становится солидарно обязанным по векселям и в виде компенсации за риск получает комиссионный вознаграждения. Такая операция не влечет за собой отвлечение ресурсов, но требует тщательной проработки обеспечения сделки. Чаще всего в его роли выступает залог ликвидных материальных ценностей. Тогда уровень риска по сделке для банка определяется найденным механизмом перехода права собственности или реализации залога.
Вексельный рынок в России очень подвижен, поэтому и операции банков с векселями отличаются высокой динамичностью. Представляется, что чисто портфельные операции на вексельном рынке теряют значимость в силу снижения объемов вексельного кредитования и выравнивания доходности по региону.
Перспективным направлением становится ориентация банков на корпоративную клиентуру, разработка и внедрение различных расчетных схем с использованием как собственных векселей, так и обращающихся на рынке других долговых обязательств.
В зависимости от конкретной ситуации банк может брать на себя выполнение ряда функций – от разработки схемы до совершения комиссионных операций по поручению клиента, выполнение функций платежного агента. При этом банк, как посредник имеет ряд преимуществ относительно других финансовых институтов, представляемых на вексельном рынке. Прежде всего, они заключаются в более жестком контроле за финансовым состоянием со стороны Центробанка России, опыте работы на вексельном рынке, широком круге контрагентов, информационной обеспеченности и наличии финансовых ресурсов1.
3.Вексель – решение проблемы неплатежей.
Обеспечение производства оборотными средствами и средствами для расчетов является одной из узловых проблем нынешней экономической ситуации. Нужно иметь ввиду, что отказ от старого расчетно-платежного механизма, просуществовавшего с некоторыми изменениями с начала 30-х годов и вплоть до 90-х произошел в условиях, когда новый расчетный механизм создан не был и не был даже намечен в общих чертах. Его нужно создавать заново, хотя бы и с большим опозданием.
Лишившись дешевого и доступного банковского кредита, хозяйство, вполне естественно, пошло по пути наращивания коммерческого кредита в форме дебиторской и кредиторской задолженности. Однако этот коммерческий кредит столкнулся с отсутствием в хозяйстве тех форм, которые придали бы ему подвижность, мобильность, позволили бы временно свободным оборотным капиталам быстро переходить от одного хозяйства к другому, обслуживать хозяйственный оборот. Вместо цепочки расчетов возникла инертная масса неплатежей.
Сам факт огромной инертной массы дебиторской и кредиторской задолженности позволяют сделать три кардинальных вывода. Во-первых, в народном хозяйстве имеются ресурсы, которые могут быть реализованы и при определенных условиях пополнить оборотные средства. Во-вторых, необходимо возродить цивилизованные формы такой мобилизации – вексель и вексельное обращение. В-третьих, необходимо провести соответствующую корректировку кредитной политики, с тем, чтобы банковские ресурсы притекали в экономику, в частности, по каналам учета и переучета векселей. Отсюда следует и четвертый вывод – о переориентации (хотя бы частичной) эмиссионной политики Центробанка и политики рефинансирования на переучет векселей.
Существует, хотя бы теоретически, несколько путей решения проблемы неплатежей, кроме внедрения коммерческого векселя и вексельного кредита. Это, прежде всего – прямой банковский кредит в оборотные средства. Однако банковский (необеспеченный) кредит не может принять массовый и систематический характер в условии отсутствия между контрагентами. Он рискован и может предоставляться под высокие проценты, не приемлемые для товаропроизводителей. Банковский кредит под обеспечение товарно-материальными ценностями извлекает из оборота эти ценности и тем самым замедляет хозяйственный оборот. Такая форма кредита приемлема в случае формирования больших сезонных запасов, но в других случаях она будет вызывать замедление оборота и еще большую потребность в оборотных средствах.
В отличие от прямого банковского кредита, вексельный кредит не нуждается в особом залоге и менее рискован, чем банковский кредит. В отличие от дебиторской задолженности, вексельный кредит не связывает оборотные средства кредиторов, ибо позволяет им расплачиваться векселями со своими поставщиками.
Другая альтернатива вексельному обращению основанному на оформлении векселями задолженности предприятий – широкое использование в обороте векселей банков. Векселя банков нужно отличать не только от векселей предприятий, оформляющих товарную сделку (коммерческих векселей), но и от известных вексельной практике, так называемых, финансовых векселей. Нынешние векселя банков - это форма частной эмиссии расчетных средств, не обеспеченных конкретной сделкой по продаже товара и услуги. По сути дела – это квази-деньги, частные банкноты, не обладающие силой законного платежного средства, но обеспеченные обязательством банка по обмену на банкноты Центробанка.
Векселя банков увеличивают общую денежную массу, восполняя недостаток денежной эмиссии Центробанка. Они не мобилизуют внутренние резервы хозяйства, а представляют собой суррогат денежной эмиссии и суррогат прямого банковского кредитования. При этом эмиссионный доход достается коммерческим банкам. Если векселя предприятий, уменьшают массу потребных экономике оборотных средств, то векселя банков расширяют оборотные средства хозяйства за счет внешних вливаний в экономику частных расчетных средств. Обращение векселей должно начинаться снизу с первичных хозяйственных звеньев. Вексель должен мобилизовать внутренние ресурсы хозяйства, придавать им мобильность, а не представлять собой дополнительную частную эмиссию банкнот и сертификатов в дополнение к денежной эмиссии Центробанка. Только в этом случае к обслуживанию вексельного обращения может быль подключена банковская система. Задача банков в этом случае – не эмиссия векселей банков, а учет векселей предприятий и соответствующее использование значительной части кредитных ресурсов.
В связи с обострением дефицита денег в экономике, достаточно большую роль в процессе кредитования реального сектора на современном этапе приобрело вексельное кредитование. Необходимо отметить, что вексель как финансовый инструмент играет двоякую роль для нынешнего состояния российской экономики. С одной стороны, он как и другие долговые обязательства, представляет собой все-таки квази-деньги, и вексельный оборот существенно повышает роль агрегата денежной массы М2 за счет повышения скорости денежного обращения и за счет того, что многие веселя фактически являются банковской эмиссией денег. В связи с этим, вполне естественно введение ЦБ РФ экономического норматива Н13, цель которого – ограничить объемы выпуска банковский векселей. С другой стороны, вексель способствует развитию новых форм денежного обращения, генерирует новые формы трансакций и трансфертов, частично решая, таким образом, проблему дефицита денег в экономике и проблему неплатежей. Поэтому неудивительно, что вексель сейчас остается одним из наиболее распространенных платежных инструментов на финансовом рынке России. А вексельное кредитование – одним из наиболее широко используемых видов кредитования корпоративных клиентов.
Схема вексельного кредитования достаточно проста. Когда предприятий нуждается в дополнительных оборотных средствах, но из-за высокой стоимости обычного банковского кредита не имеет возможности получить его "живыми" деньгами, оно может прибегнуть к вексельному кредитованию. В таком случае банк заключает с клиентом договор, по которому предприятие в качестве кредита получает пакте векселей на сумму, указанную в этом договоре. Кок правило, полученные векселя являются бездоходными. Ими предприятие рассчитывается с поставщиками и подрядчиками. По истечении срока кредитного договора предприятие – первых векселедержатель погашает полученные ранее "живыми" деньгами кредит, выплачивая проценты. Последний владелец векселя предъявляет его к оплате в указанный срок и получает вексельную сумму. Это лишь общая схема операций по кредитованию с векселями1. Возможны так же варианты досрочного предъявления векселей в банк и учета их с последующим дисконтом, последующего кредитования под залог банковских векселей, полученных от первого векселедержателя и т.д.
Досрочный учет собственных векселей является, пожалуй, наиболее интересной для банка активной операцией. Это связано не только с отсутствием риска при проведении сделок, но и существующим порядком отражения учетного дисконта непосредственно по счету доходов банка. Именно возможность последующего досрочного учета собственных векселей служит серьезным стимулом для выдачи коммерческими банками вексельных кредитов.
Предметом других учетных операций выступают прежде всего банковские векселя. Падение объемов вексельного кредитования вынудило коммерческие банки обратить внимание на отдельные корпоративные бумаги.
Из огромного перечня наводнивших российский рынок корпоративных векселей, только очень узкий круг их можно отнести к действительным векселям – безусловным долговым обязательствам.
Порядок обращения остальных бумаг регулируется не вексельным правом, а внутренними положениями отдельных векселедателей, которые зачастую не только не предполагают погашение векселей в денежной форме, но даже не предусматривают прием векселей к погашению задолженности при отсутствии сопроводительных писем или при наличии отдельных индоссаментов.
С учетом подобных моментов банки приобретают для собственного инвестиционного портфеля очень ограниченный круг корпоративных векселей, в частности РАО "Газпром", АО "Алмазы-России-Саха", АО "Сиданко"1. Векселя других предприятий в силу имеющихся особенностей их использования только в схемах взаиморасчетов выступают для банков исключительно предметом сделок типа "рэпо" либо брокерских операций.
При использовании вексельного кредитования не происходит реального отвлечения денежных средств на период выдачи ссуды. Кроме того, находящиеся в обращении банковские векселя и как предмет высоко ликвидного обеспечения при предоставлении банком каких-либо кредитных продуктов – кредитов, гарантий, аккредитивов и т.п. Устанавливая достаточно низкие ставки по вексельным кредитам, банк дополнительно привлекает и новых клиентов. При определении процентной ставки по вексельному кредиту принимаются во внимание следующие факторы:
необходимость резервирования остатков по вексельным счетам в фонде обязательных резервов ЦБ РФ, что обуславливает дополнительное привлечение средств аналогичной срочности;
вероятность дополнительного привлечения денежных средств при разрыве сроков предоставления кредита и сроках обращения векселя (на разницу в сроках);
необходимость учета процентной ставки при определении риска, возникающего при операции кредитования1.
Выгода, извлекаемая предприятиями при использовании вексельного кредита.
преодоление необоснованного и неэффективного ограничения платежеспособного спроса и в целом ряде случаев добиться роста производственной активности;
банковская гарантия платежа путем предоставления векселя снимает необходимость для предприятий предоплаты в тех нередких случаях, когда она служит исключительно для защиты от риска неплатежей, тем самым появляется возможность ускорения материального оборота;
банковские векселя, предоставленные клиентам банка под депозиты, которые являются для банка гарантией оплаты векселей, как правило, по сумме в два раза и более, превосходят размер депозита и, таким образом величина, оборотных средств оперативного управления предприятия увеличивается;
в прямой экономии на налоговых выплатах, налог на доход, полученный по векселю для предприятия - 15 %, по сравнению с налогообложением аналогичного дохода на депозитном вкладе в банке, который составляет 35 %2;
ликвидность вложений; бурно развивающийся вексельный рынок предоставляет возможность продать вексель или учесть его в банке.
Решение проблемы дефицита денег в экономике, безусловно, облегчит доступ предприятий к получению кредитных "живых" денег, однако не приведет к полному отказу от векселей в качестве получения источника дополнительных оборотных средств, поскольку вексельное законодательство и унифицировано, а стоимость "вексельных" денег всегда будет оставаться ниже стоимости "живых". И поскольку ситуация, сложившаяся в финансовой системе страны, такова, что только кредитование реального сектора (речь идет о возвратных кредитах) может служить мощным источником улучшения положения промышленных предприятий и обслуживающий их коммерческих банков, вексельное кредитование будет с успехом использоваться между банками и их клиентами.
Самым существенным элементом инфраструктуры вексельного рынка является механизм ликвидности этой ценной бумаги в законодательном порядке. Если он не будет выработан и законодательно закреплен, то векселедержатели в России столкнуться в недалеком будущем с проблемой массовых неплатежей по векселям.
4. Анализ операций с векселями.
4.1. Анализ доходности финансовых векселей.
Вексель может быть выпущен как с дисконтом, так и с выплатой фиксированного процента к номиналу в момент погашения (процентный вексель).
С![]()
точки зрения
количественного
анализа в первом
случае вексель
представляет
собой дисконтную
бумагу, доход
по которой
представляет
разницу между
ценой покупки
и номиналом.
Поэтому доходность
такого векселя
определяется
аналогично
доходности
любого обязательства,
реализуемого
с дисконтом
и погашаемого
по номиналу:
где t –число дней до погашения;
Р – цена покупки;
N – номинал;
К – курсовая стоимость;
В – используемая временная база;
Как правило, в операциях с векселями используются обыкновенные проценты (360/360).
Абсолютный дисконт по дисконтному векселю S равен:
S=FV-PV=N-P=100-K. (2)
Е![]()
сли
вексель продается
(покупается)
до срока погашения,
доход будет
поделен между
продавцом и
покупателем
с учетом величины
рыночной ставки
процента и
числа дней,
оставшихся
до погашения:
где Y - рыночная ставка (норма доходности покупателя);
t - число дней от момента сделки до срока погашения;
Соответственно, доход продавца будет равен:
Sпрод = S - Sпок , (4)
Если вексель размещается по номиналу, его доход определяется объявленной процентной ставкой r. В этом случае вексель представляет собой ценную бумагу с выплатой фиксированного дохода в момент погашения.
_______________________________________________________
1 Лукасевич И.Я. Анализ финансовых операций. М. 1995 г.
С учетом введенного выше обозначения r абсолютный размер дохода по векселю может быть определен, как:
![]()
где r - ставка по векселю;
N - номинал;
t - срок погашения в днях;
B - временная база;
С![]()
оответственно,
годовая доходность
погашения
Y, исчисленная
по простым
процентам,
будет равна:
Из (5) и (6) следует, что если обязательства размещено по номиналу и держится до срока погашения его доходность будет равна указанной в контракте ставки процента (т.е. Y=r).
Е
сли
вексель продается
(покупается)
между датами
выпуска и погашения,
абсолютная
величина дохода
S будет
распределена
между продавцом
и покупателем
в соответствии
с рыночной
ставкой (нормой
доходности
покупателя)
Y на данный
момент времени
и пропорционально
сроку хранения
ценной бумаги
каждой из сторон.
Часть дохода,
причитающаяся
покупателю
за оставшийся
до погашения
срок t2,
будет равна:
где t2 - число дней от момента покупки до погашения векселя.
Соответственно, продавец получит величину:
Sпрод = S – Sпок (8)
Соотношение (7) и (8) отражают ситуацию равновесия на рынке (т.е. "справедливое" распределение доходов в соответствии с рыночной ставкой Y и пропорционально сроку хранения бумаги каждой из сторон). Любое отклонение в ту или иную сторону повлечет за собой перераспределение дохода в пользу одного из участников сделки.
П![]()
редельная
величина рыночной
ставки Y,
при которой
продавец бумаги
получит доход,
должна удовлетворять
неравенству:
где r - ставка по векселю;
Y - рыночная ставка;
t1 - число дней до погашения в момент покупки;
t2 - число дней до погашения в момент перепродажи;
П
ри
этом доходность
операции будет
равна:

где YTM - эффективная доходность
4.2. Оценка стоимости финансовых векселей.
Процесс оценки стоимости векселя, выпущенного с дисконтом, заключается в определении современной величины элементарного потока платежей по формуле простых процентов исходя из требуемой нормы доходности Y.
С![]()
учетом используемых
обозначений
формула текущей
стоимости
(цены) подобного
обязательства
будет иметь
вид:
П![]()
оскольку
номинал дисконтного
векселя принимается
за 100%, его курсовая
стоимость
равна:
О
пределение
современной
стоимости
процентных
векселей. С
учетом накопления
на момент проведения
операции дохода
стоимость
обязательства
(Р), соответствующая
требуемой норме
доходности
Y может быть
определена
из соотношения:
где – t число дней до погашения.
При Y=r
рыночная стоимость
обязательства
на момент выпуска
будет равна
номиналу (т.е.
Р=N). Соответственно,
при Y>r будет
Р
Таким образом, рыночная стоимость векселя с учетом накопленного дохода, определяемая из (14), может отклоняться от номинала. Однако в биржевой практике принято котировать в процентах к номиналу, т.е. за 100 единиц на дату сделки. При этом ставка дохода по обязательствам r показывается отдельно.
К
урсовая
стоимость
обязательства
К, проводимая
в биржевых
сводках, определяется
как:
где t - число дней до погашения;
S1 – абсолютная величина дохода, накопленная к дате совершения сделки.
В![]()
свою очередь
величина S1
может быть
найдена из
следующего
соотношения:
где t1 - число дней от момента выпуска до даты сделки.
Таким образом, полная рыночная стоимость векселя Р может быть так же определена как:
P = K + S1
4.3. Анализ учета векселей.
При учете вексель выполняет две функции: коммерческого кредита и средства платежа.
А![]()
бсолютная
величина дисконта
определяется
как разность
между номиналом
векселя и его
современной
стоимостью
на момент проведения
операции. При
этом дисконтирование
осуществляется
по учетной
ставке d,
устанавливаемой
банком:
где t - число дней до погашения;
d - учетная ставка банка;
P - сумма, уплаченная владельцу при учете векселя;
N - номинал;
С![]()
овременная
стоимость PV
(ценные обязательства
Р) при учете
векселя по
формуле:
Суть данного метода заключается в том, что проценты начисляются на сумму, подлежащую уплате в конце срока операции. При этом применяется учетная ставка d.
При дисконтировании по учетной ставке чаще всего используют временную базу 360/360 или 360/365. Используемую при этом норму приведения называют антисипативной ставкой процентов1.
У
четная
ставка d
иногда применяется
и для наращивания
по простым
процентам.
Необходимость
в таком наращивании
возникает при
определении
будущей суммы
контракта,
например, общей
суммы векселя.
Формула определения
будущей величины
в этом случае
имеет вид:
Пример 1:
Простой вексель на сумму 100 000 с оплатой через 90 дней учитывается в банке за 60 дней до погашения. Учетная ставка банка 15 %. Определить величину дисконта в пользу банка и сумму, полученную владельцем векселя.
Disc = (100000 * 60 * 0.15) / 360 = 2500;
Соответственно, владелец векселя получит величину PV:
PV=100000 – 2500 = 97500;
Предположим, что в рассматриваемом примере владелец векселя решил учесть вексель немедленно после получения, тогда:
Disc = (100000 * 90 * 0.15) / 360 = 3750;
PV = 100000 – 3750 = 96250;
Как следует из полученного результата, при неизменном значении ставки d чем раньше производится учет векселя, тем больше будет величина дисконта в пользу банка и тем меньшую сумму получит владелец. Изменим условия примера 1 следующим образом.
На какую сумму должен быть выплачен вексель, чтобы поставщик, проведя операцию учета, получил стоимость товаров в полном объеме, если банковская учетная ставка равна 15 %?
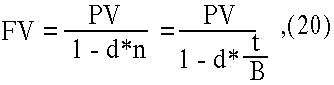
Нетрудно заметить, что здесь мы имеем дело с обратной задачей – наращиваем по учетной ставке d. При этом будущая величина FV (номинал векселя) определяется по формуле (20):
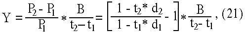
У
чтенный
(купленный)
банком вексель
в свою очередь
может быть
переучтен
(продан)в другом
банке. Доходность
купли-продажи
векселя в этом
случае зависит
от у
ровня
используемых
ставок:

где t1 - число дней до погашения в момент покупки ;
t2 – число дней до погашения в момент перепродажи;
P1 – цена покупки;
P2 – цена перепродажи;
d1 – учетная ставка при покупке;
d2 – учетная ставка при продаже.
К![]()
ак
следует из
приведенных
соотношений,
для продавца
операция переучета
будет доходной
в том случае,
если выполняется
следующее
неравенство:
В
некоторых
случаях товарные
векселя могут
выпускаться
в виде ценной
бумаги с фиксированным
доходом, выплачиваемым
по ставке r
в срок погашения.
Современная
стоимость
такого векселя
при учете будет
равна:
где r – ставка по векселю;
t – срок векселя;
t1 – число дней до погашения;
d – учетная ставка банка.
1 Долан Дж. Деньги, банковское дело и денежно-кредитная политика. С.-Пб. – 1994 г.
1 Сименкова Е.В. Операции с ценными бумагами. М. 1997 г.
1 Мешкова Е. Скромное "обаяние" векселя и управления рисками. Экономика и жизнь. №45, 1997 г.
1 Грицун Ю.Н. Проблемы дефицита денег и особенности вексельного кредитования.
Финансы №12, 1997 г.
1 Мешкова Е. Скромное "обаяние" векселя и управление рисками. Экономика и жизнь №45, 1997 г.
1 Маневич В.Е., Перламутров В.Л. Вексельное обращение и вексельный кредит. Финансы №5, 1996 г.
2 Сименкова Е.В. Операции с ценными бумагами. М. 1997 г.
1 Лукасевич И.Я. Анализ финансовых операций. М. 1998 г.
План:
Введение.
Глава I : Общие сведения о векселе.
Вексель как кредитно-расчетный инструмент.
Сущность векселя как финансового инструмента.
Классификация векселей.
Погашение векселя.
Форма векселей.
Платеж по векселю.
Глава II :Российская практика применения векселя и вексельного
кредитования.
Вексельные операции:
1.1. Учет векселей.
1.2. Вексельное кредитование.
1.3. Кредитование под залог векселей.
Риски при операциях с векселями.
Вексель – решение проблемы неплатежей.
Анализ операций с векселями.
4.1. Анализ доходности финансовых векселей.
4.2. Оценка стоимости финансовых векселей.
4.3. Анализ учета векселей.
Заключение.
Список используемой литературы.
Список используемой литературы:
Беляков М.М. Вексель как важнейшее платежное средство. М. 1992
Вексель и вексельное обращение в России. М. 1994
Грицун Ю.Н. Проблемы дефицита денег и особенности вексельного кредитования. Финансы №12, 1997
Дробышев Ю. Вексель в коммерческом обороте. ЭКО №11, 1995
Лукасевич И.Я. Анализ финансовых операций. М. 1998
Маневич В.Е., Перламутров В.Л. Вексельное обращение и вексельный кредит. Финансы №5, 1996
Мешкова Е. Скромное «обаяние» векселя и управление рисками. Экономика и жизнь №45, 1997
Миркин Я.М. Ценные бумаги и фондовый рынок. М. 1997
Семенкова Е.В. Операции с ценными бумагами. М.1997
Одесс В.И. Опыт вексельного обращения. Финансы №6, 1996
Тринц А.Г. Результаты внедрения системы вексельного обращения в России. Финансы №12, 1997
Финансы. Денежное обращение. Кредит. (под редакцией Дробозиной). М. 1997
Введение.
К нотариусу вы со мной пойдете
И напашите вексель; в виде шутки,
Когда вы не уплатите мне точно,
В такой-то день и там-то суммы долга
Указанной – назначим неустойку.
В. Шекспир "Венецианский купец"
Ни один из инструментов современного финансового риска, кроме, конечно, самих денег во всех многочисленных проявлениях их экономических функций, не может сравниться по своей истории и значению с векселем. Именно развитие вексельного обращения привело к обезналичиванию всех денежных расчетов: вытеснению из денежного обращения металлов – золота и серебра, замена эквивалентов менового оборота бумажными символами.
Безусловность векселя как долгового обязательства, строгость и быстрота взыскания по нему, послужили основой создания других видов платежей и расчетов – банкнот, чеков, аккредитивов. Развитие разнообразных инструментов рынка ценных бумаг – акций, облигаций, депозитных сертификатов и их производных, шло так же на базе векселя.
Векселя активно использовались и используются в международных расчетах и внутренних сделках стран. Промышленникам и коммерсантам векселя дают возможность оплачивать свои покупки с отсрочкой платежа – быть средством оформления и обеспечения кредитов как коммерческих, так и банковских.
В России развитие векселя, как и других финансовых инструментов прервалось в 1917 году. Но во время НЭПа вексель был восстановлен в своих правах, но лишь с тем, чтобы быть бесславно отмененным в 1930 году. Но переход экономики "развития социализма" привел к восстановлению векселя.
В 1993 –1994 г.г. многие коммерческие банки и финансовые инвестиционные организации объявили об эмиссии векселей. Векселя этих учреждений получили признание в качестве достаточно надежного и ликвидного средства кредитования и сохранения денег. Российские коммерческие банки сегодня – наиболее открытые и надежные участники вексельных операций, выступающие одновременно в качестве векселедателей и активных операторов вексельного рынка. Этому в значительной степени. Способствует усиление контроля и регулирование вексельных операций со стороны Центробанка РФ.
Банки налаживают не только вексельный кредит, но и организовывают взаимоучет векселей. При помощи вексельного обращения делаются попытки решения неплатежей предприятий.
В данной работе просматриваются преимущества применения вексельных операций, как выхода из кризиса неплатежей и недостатка оборотных средств. Целью данной работы является изложение особенностей векселя и вексельного кредита. Задача работы заключается в том, что вышеупомянутые проблемы можно решить с помощью вексельных операций.
В настоящее время существует достаточно много литературы на тему ознакомления с понятием векселя и вексельного кредита.
На счет книг, посвященных этой теме, можно сказать однозначно – почти во всех рассматривается правовая сторона векселя и не излагается в широком спектре экономическая сущность векселя. Как пример, можно привести следующие книги:
1). Вексель и вексельное обращение в России. М.1994 г.
2). Беляков М.М. Вексель как важнейшее платежное средство. М. 1992 г.
3). Лукасевич И.Я. Анализ финансовых операций. М. 1998 г.
4). Миркин Я. М. Ценные бумаги и фондовый рынок. М. 1997 г.
5). Сименкова Е. В. Операции с ценными бумагами. М. 1997 г.
6). Финансы. Денежное обращение. Кредит. (под редакцией Дробозиной) М. 1997 г.
Все публикации, посвященные данной теме, направлены на изыскание путей преодоления проблемы неплатежей. Они не рассматривают вексель как таковой, а лишь причины и следствия взаимных задолженностей и как выход называют вексельное кредитование. В качестве иллюстрации приводятся статьи:
Грицун Ю.Н. Проблемы дефицита денег и особенности вексельного кредитования (Финансы №12, 1997 г.)
Дробышев Ю. Вексель в коммерческом обороте (ЭКО №11, 1995 г.)
Маневич В.Е., Перламутров В.Л. Вексельное обращение и вексельный кредит. (Финансы №5, 1996 г.)
Мешкова Е. Скромное "обаяние" векселя и управление рисками. (Экономика и жизнь. №45, 1997 г.)
Одесс В.И. Опыт вексельного обращения. (Финансы №6, 1996 г.)
Тринц А.Г. Результаты внедрения системы вексельного обращения в России. (Финансы № 12 1997г.)
Все авторы согласны в одном – вексельное обращение получило размах в России, и стало выходом из кризисных ситуаций для многих предприятиях. Даются конкретные советы и примеры применения вексельных операций.
Актуальность данной темы бесспорна. Насколько много оказывается финансовых операций, которые придуманы давно, но не всегда используются и внедряются в практику для разрешения наболевших проблем в российской экономике.
Заключение.
Итак, вексель – составленное по установленной законом форме безусловное долговое обязательство, выданное одной стороной (векселедателем) другой стороне (векселедержателю); ценная бумага. Различают простой и переводной вексель. Они отличаются тем, что в переводном векселе плательщиком является тот, кто принял на себя обязательства платежа (акцептант). Передача от одного держателя другому регулируется посредством индоссамента. Вексель выполняет расчетную функцию, когда он выдается для того, чтобы погасить денежный долг по предыдущей сделке путем замены его на новый вексельный долг. И кредитную, т.к. в большинстве случаев отсрочка оплаты наличными деньгами покупки сопровождает выдачу векселя. Векселя подразделяются на финансовые, товарные, дружеские и бронзовые. Посредством векселя можно оплатить купленный товар или предоставить услуги на условиях коммерческого кредита, возвратить полученную ссуду. Обо всем этом подробно говорилось в первой главе данной работы.
Внедрение вексельного кредита дает возможность предприятиям расплатиться за приобретенные товары и услуги и в то же время максимально сократить расходы на обслуживание долга. Острая нехватка оборотных средств, вызванная ростом цен, неплатежей и т.п. подталкивает предприятие к обращению в банк за кредитами. Использование вексельного кредита позволяет получить предприятиям под приемлемую процентную ставку (от 20 до 60 % годовых) надежное платежное средство для расчета с партнерами.
Преимущества получения вексельных кредитов:
возможность ускоренной оплаты продукции или услуги – отсутствие затрат времени на межбанковский пробег;
возможность пополнения оборотных средств;
полное включение процентных выплат по обслуживанию вексельных кредитов в себестоимость – в абсолютном большинстве случаем процент по вексельному кредиту значительно ниже действующей ставки Центробанка России;
возможность выдачи кредита пакетом векселей.
Ряд российских банков активно практикуют вексельные операции, рассматривая их как эффективный способ привлечения и удержания клиента, что в условиях кризиса ликвидности и обострения межбанковской конкуренции является приоритетной задачей.
Таким образом, подведем итог данной работы. Вексель – тема интересная, имеющая большой потенциал для дальнейших исследований.
В силу обширности данной темы невозможно охватить все нюансы вексельного обращения и каждая из его сторон требует отдельной разработки, т.к. процесс вексельного обращения постоянно развивается, обогащается новизной способов и методов обращения.
Похожие рефераты:
Ценные бумаги и фондовый рынок Я.М.Миркин
БАНКОВСКИЕ ОПЕРАЦИИ С ИСПОЛЬЗОВАНИЕМ ВЕКСЕЛЕЙ
Операции банка с собственными векселями
Правовое регулирование вексельного обращения
Применение векселя в хозяйственном обороте
Управление вексельным обращением в коммерческом банке
Анализ операций коммерческих банков с векселями
Вексель. Специфика работы с векселями в России
Операции коммерческого банка с векселями
Специфика работы российских предприятий с векселями
Вексельное обращение и перспективы его развития в Российской Федерации