| Похожие рефераты | Скачать .docx | Скачать .pdf |
Курсовая работа: Проектирование лесовозной автомобильной дороги V категории в условиях Иланского лесничества
Министерство образования и науки Российской Федерации.
Федеральное агентство по образованию
Государственное образовательное учреждение высшего профессионального образования «Сибирский Государственый Технологический университет»
Факультет: Лесоинженерный
Кафедра: Геодезии
Курсовая работа
Проектирование лесовозной автомобильной дороги V категории в условиях Иланского лесничества.
Разработала:
Спиридонова Н.Д.
Студентка гр. 12-01
Красноярск 2008
СОДЕРЖАНИЕ
Введение
1. Полевые работы
2. Обработка журнала геометрического нивелирования
3. Построение профиля
4. Проектирование на профиле лесовозной дороги
4.1 Вычисление уклонов и проектных отметок по бровке полотна
4.2 Вычисление рабочих отметок
4.3 Расчёт расстояния до точек нулевых работ
4.4 Проектирование вертикальных кривых пикетажных обозначений
4.5 Разбивка главных точек кривой
4.6 Составление ведомости прямых и кривых плана трассы
4.7 Вычисление азимутов и румбов направлений участков автодороги
4.8 Указания к оформлению профиля
5. Детальная разбивка закруглений
Заключение
Литература
Введение
Геодезия – одна из древнейших наук. Слово «геодезия» образовано от двух слов – «земля» и «разделяю», а сама наука возникла как результат практической деятельности человека по установлению границ земельных участков, строительству оросительных каналов, осушению земель. Современная геодезия – многогранная наука, решающая сложные научные и практические задачи. Это наука об измерениях на земной поверхности, производимых для определения формы и размера Земли, изображения земной поверхности в виде планов, карт, профилей, а также для создания различных сооружений.
В процессе своего развития геодезия разделилась на ряд самостоятельных научных дисциплин: высшую геодезию, картографию, фонографию и космическую геодезию.
Геодезия при решении стоящих перед нею задач мирового значения использует достижения целого ряда наук: математики, физики, астрономии, географии, механики. В геодезии широко используют современные математические методы средства вычисления, в том числе различные счётные машины.
Геодезия имеет огромное значение в различных отраслях народного хозяйства. Особенно велика её роль при картографии страны и изучении её природных ресурсов. Широкое развитие землеустроительных работ, направленных на наиболее рациональное использование земли, учёт качества сельскохозяйственных работ, проведение оросительных и осушительных мероприятий – всё это невозможно без геодезических измерений. Развитие тяжёлой индустрии, всё возрастающее производство электроэнергии, металла, топлива и других отраслей промышленности ставят всё новые задачи перед инженерной геодезией. Топограф – геодезические работы являются неотъемлемой частью комплексных мероприятий, по изысканию, проектированию и строительству инженерных сооружений, в том числе объектов лесного транспорта.
При изыскании и строительстве автомобильных дорог необходимо определить высотные отметки ряда точек земной поверхности: пикетов, плюсовых точек и точек поперечников путём геометрического нивелирования. По этим отметкам вычерчивается профиль земной поверхности по оси дороги и на нём производится проектирование будущей магистрали.
Инженер лесной промышленности должен хорошо владеть не только методом полевых изысканий, но и методами обработки результатов этих работ, должен знать и уметь работать с традиционными методами, инженерно-геодезическими планами и картами.
Инженер лесного хозяйства и инженер лесной промышленности на совершенном этапе должен хорошо знать и владеть традиционными методами инженерно-геодезических работ.
Инженер должен знать и уметь работать с традиционными видами инженерно-геодезической информации и новыми её видами; цифровыми и математическими методами ситуации и рельефа местности.
1. Полевые работы
Полевое трассирование ведут на стадии рабочего проектирование для поиска местных улучшений трассы, ее окончательного перенесения на местности. Основой для полевого трассирования служат материалы камерального трассирования. Проект трассы, разработанный в камеральных условиях, выносят в натуру (на местность) по данным привязкам углов поворота к пунктам геодезической основы или ближайшим контурам местности. Предпочтение отдают выносу точек трассы от пунктов геодезической основы как более надежному и точному.
В поле начинают с нахождения необходимых геодезических или контурных точек, от которых производят соответствующие угловые и линейные построения для определения положения исходных точек трассы, в том числе и начальной. На точках трассы, найденных на местности, устанавливают вехи и обследуют намеченные направления, в частности, переходы через водотоки и овраги, пересечения существующих магистралей и другие сложные места. Иногда приходится несколько смещать провешенную линию и передвигать вершины углов поворота, чтобы удобнее разместить элементы плана и профиля трассы и обеспечить минимальный объем строительных работ.
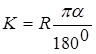
Окончательно выбранное положение вершин углов поворота закрепляют на местности деревянными или железобетонными столбами и составляют абрис привязки этих точек к местным предметам. Между закрепленными вершинами углов ВУ (рис.1) поворота трассы прокладывают теодолитных ход, измеряя по ходу углы β1 , β2 , и т.д. и длины сторон L1 , L2 , и т.д. Углы поворота φ1 трассы определяют как дополнение правого угла до 1800 . При повороте линии вправо φп =1800 - β; при повороте влево φл =β-1800 . углы измеряют одним приемом со средней квадратической погрешностью 0,5/ .

Рисунок 1. Измерение горизонтальных углов на трассе
Для контроля угловых измерений одновременно по буссоли измеряют прямые и обратные магнитные азимуты сторон трассы. На длинных прямых участках в пределах непосредственной видимости через 500-800 метров устанавливают створные точки (дополнительные углы), которые дают отложением угла 1800 при двух кругах теодолита. Угол хода на створной точке также измеряют одним приемом. Он не должен отличаться от 1800 более чем 1/ . В противном случае створную точку перемещают на местности. Расстояние между вершинами углов поворота и створными точками измеряют мерной лентой, рулеткой или дальномерами с предельной относительной погрешностью 1/1000….1/2000. на участках трассы с наклоном более 20 непосредственно измеренные длины вводя поправки за наклон со знаком (+) . по результатам измерений углов и линий и данным плановым привязке трассы пунктам геодезической основы вычисляют координаты вершин углов поворота.
При полевом трассировании разбивают пикетаж трассы. Начальная точка трассы служит нулевым пикетом. Ее фиксируют, как все пикеты и плюсовые точки. С помощью кола диаметром 30мм, длиной 150мм, которые забивают почти вровень с землей. Рядом с колом на расстоянии 200 мм по направления хода забивают сторожок – кол длинной 300….500 мм. На сторожке пишут номер пикета, так чтобы надпись была обращена назад по ходу к точке пикета. Пикет окапывают канавкой.
Для разбивки пикетажа каждую линию трассы провешивают с помощью теодолита. Разбивку пикетажа ведут с применением стальной лентой или рулетки. Пикеты разбивают через 100 метров для более детального отражения профиля дополнительно фиксируют плюсовые точки. Для того, чтобы избежать измерения углов наклона и введение поправок за наклон, на наклонных участках ведут разбивку пикетажа, укладывая ленту горизонтально и проектируя отвесом на землю приподнятый конец мерного прибора.
Часто вместо измерения угла наклона и введения поправки горизонтальное проложение, равное 100.00 м, между пикетами определяют способом ватерпасовки (рисунок 2).
Рисунок 2. Ветерпасовка.
В этом случае при измерении отрезка линии ленту располагают горизонтально на глаз, а ее приподнятый конец над землей проектируют отвесом. Перед началом работы члены бригады распределяют между собой обязанности на пикетажиста, двух мерщиков и подносчика. Пикетажист ведет пикетажный журнал и отвечает за выполнение всех видов работ на данном участке. Два мерщика (передний и задний) производят измерение линий как по трассе, так и при съемке ситуации. Подносчик забивает и подписывает колышки со сторожками. Разбивку пикетажа начинают с ПК0. задний мерщик закрепляет шпилькой штрих начала ленты с ПК0 и устанавливает переднего мерщика в створе линии. Шпилька, вдетая в вырез конца ленты, когда она вытянута, должна закрывать собой вершину угла поворота. В таком положении конец ленты закрепляется. Если в пределах данной ленты надо обозначить промежуточную точку, то в этой точке забивают колышек со сторожком и делают соответствующую надпись. Съемку ситуации производят по обе стороны от оси трассы. Ширину полосы съемки устанавливает преподаватель. По завершению съемки, ленту перемещают вперед и укладывают в створе линии второй раз и т.д. при уложении в створе линии 5-й ленты задний мерщик передает переднему пять шпилек, а вместо закрепленной передним мерщиком шпильки забивают ПК1 с соответствующей надписью на сторожке. Пикетажист все данные по закреплению промежуточных точек, пикетов и съемки ситуации своевременно заносит в пикетажный журнал (рисунок 3). Уложив ленту, в пределах которой находится вершина угла поворота, и определив его пикетажное проложение, разбивку пикетажа приостанавливают и приступают к определению и закреплению на местности главных точек кривой.

Рисунок 3. Пикетажный журнал
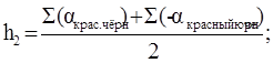
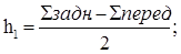
2. Обработка журнала геометрического нивелирования
Рассмотрим обработку журнала геометрического нивелирования трассы. Нивелирование выполнено нивелиром Н-3двухсторонними рейками.Во избежание ошибок в журнале, на каждой странице подсчитываются разности отчёта по обеим сторонам рейки. Все разности должны отличатся друг от друга не более чем на 5 мм. После проверки полевых данных вычисляют превышения между связующими точками.
Превышения между связующими точками определяются как разности между задними и передними отсчётами по красной и черной стороне рейки в отдельности. Если отсчёт по задней рейке больше, чем отсчёт по передней, то превышение будет положительным, и наоборот.
Например, превышение Rp 57 над ПК0:
hКРАСН. = 6049 - 5574= +472 (по красной стороне рейки); (2.1)
hЧЕРН. = 1365 – 0891 = +474 (по черной стороне рейки). (2.2)
Затем находят среднее превышение как среднеарифметическое значение из двух превышений:
Hc ред = 472+474 = 473 (2.3)
2
Положительные превышения записывают в графу превышений со знаком (+), отрицательные – со знаком (-). После вычисления средних превышений на странице осуществляют постраничный контроль. Внизу на каждой странице журнала записывают:
1) суммы задних и передних отсчётов;
2) суммы превышений по красным и черным сторонам рейки;
3) суммы средних превышений между связующими точками.
По этим суммам находят три одинаковых превышения для данной страницы:
(2.4)
(2.5)
; (2.6)
Для примера рассмотрим постраничный контроль 1ой страницы.
h1 = (43116+37234)/2 = 2941 ;
h2 = (9344+(-3462))/2 = 2941 ;
h3 = (4672+(-1731)=2941
Для правильного выполнения постраничного контроля каждая страница журнала должна начинаться задней связующей точкой и кончаться передней. Постраничный контроль не может служить полевым контролем нивелирования, он только подтверждает правильность арифметических вычислений.
Далее считают отметки связующих точек по формуле:
Hn =Hn -1 + Hисп ;
где Hn – вычисляемая отметка;
Hn -1 – отметка предыдущей точки;
hиспр – исправленное превышение между этими точками.
Вычислив отметки всех связующих точек, приступают к вычислению отметок промежуточных точек, для чего определяют горизонт прибора для тех станций, на которых находятся промежуточные точки и поперечники
Горизонт прибора вычисляют по формуле
ГП = НЗАД. + а2 , (2.7)
где ГП – горизонт прибора;
НЗАД. – отметка задней связующей точки;
а2 – черный отсчёт, прочитанный на задней рейке.
Пример: отметка горизонта прибора на 0-ой станции равна:
ГП = 49 506 + 1513 = 51 019
Для контроля ГП вычисляют второй раз по отметке передней связующей точки.
ГП = НПЕР. + В2; (2.8)
ГП=48643+2378=51 021,
Следовательно, ГПср =51 020.
Отметка промежуточной точки и точек поперечника рычага горизонту прибора минус отсчёт на промежуточную точку
НПРОМ. = ГП - аПРОМ. (2.9)
Отметка промежуточной точки ПК1
НПК1 = 51 020 – 1969 = 49 051.
Вычислением отметок всех точек трассы (пикетов, плюсовых точек и точек поперечников) заканчивается обработка журнала.

Рисунок 4. Уровенная поверхность.
3. Построение профиля
Нивелирование трассы, как и всякая съёмочная работа, завершается графическим оформлением – составлением продольного профиля.
Продольный профиль дороги – это проекция вертикального разреза пути по его оси на развёрнутую плоскость.
Продольный профиль является самой полной технической характеристикой дороги и как технический документ необходим при проектировании, строительстве и эксплуатации дорог.
Профиль трассы составляют по данным журнала нивелирования и пикетажной книжки на миллиметровой бумаге, на которой графически построения выполняют без измерителя и масштабной линейки. Для придания профилю лучшей наглядности вертикальные расстояния (отметки) наносят в более крупном масштабе, обычно в десять раз крупнее, чем горизонтальные.
Для автомобильных дорог приняты масштабы: горизонтальный 1:5000, вертикальный – 1:500.
В сложных условиях могут быть увеличены с сохранением их соотношения.
Профили, выполненные тушью или скопированные на кальку, обрезают так, чтобы высота их была равна 283 мм, длину листа обрезают в зависимости от длины трассы. Построение профиля начинают с проведения линии условного горизонта на миллиметровой бумаге, отступив снизу 16 – 17 см.
Под линией условного горизонта делают разграфку сетки профиля для записи необходимых данных (вычертить согласно рисунка 2). На нижней линии графы расстояний в принятом для горизонтальных расстояний масштабе слева направо наносят пикеты и плюсы. Номера пикетов записывают на 1 – 2 мм ниже этой линии против границ пикетов. Полные номера пикетов пишут на целых десятках, а между десятками – только последнюю цифру их номера.
В графе расстояний против пикетов и плюсовых точек проводят вертикальные линии (ориентиры). Между линиями плюсовых точек и пикетов записывают расстояния, сумма которых в пределах одного пикета составляет 100 м. Если между пикетами плюсовых точек нет, то расстояние между ними 100 м не записывают.
В графу «Отметка земли» из журнала нивелирования против каждой ординаты выписывают черной тушью отметки поверхности земли с округлением до сотых долей метра.
Графы «Тип покрытия», «Род грунта», «Тип поперечного профиля», «Левая и правая канавы» можно оставлять не заполненными, т.к. этот раздел рассматривается в специальной дисциплине «Сухопутный транспорт леса».
После вычерчивания и заполнения вышеперечисленных граф приступают к построению профиля. Для этого от линии условного горизонта против ординат графы расстояния восстанавливают перпендикуляры, на которых в вертикальном масштабе откладывают профильные отметки (разность между абсолютной отметкой точки и отметкой условного горизонта) пикетов и плюсовых точек. Ординаты точек профиля не должны выходить за пределы чертежа, для чего линии условного горизонта придают такую отметку, при которой ординаты профиля получились бы высотой 4 – 10 см. Концы вертикальных отрезков соединяют прямыми линиями.
Ниже линии условного плана дороги точно на каждом десятом пикете наносят километровые знаки, которые на профиле проводят от линии пикетов в виде прямой линии длиной 1.5 см с кружком на конце (диаметр 0.5 см), правую половину которого заливают тушью.
В графе «Ситуация» проводят условную ось дороги, и по обе стороны от неё показывают ситуацию местности по данным пикетажной книжки с соблюдением масштаба.
Вверху трассы показывают привязку к реперам, отметки реперов, их номера и положение относительно оси трассы.
Поперечные профили чертят для тех точек трассы, от которых они построены на местности. Масштабы одинаковы для горизонтальных и вертикальных расстояний и равны вертикальному масштабу продольного профиля (рис.5 ).

Рис.5 поперечный профиль.
4. Проектирование на профиле лесовозной дороги
Проектирование и строительство автомобильных лесовозных дорог выполняют по нормативам проектирования, разработанным Гидролестрансом, приведённым в инструкции по проектированию лесозаготовительных предприятий (ИПЗЛП-82). Проектирование плана и продольного профиля производят из условия наименьшего ограничения скорости, обеспечения безопасности движения, удобства водоотвода, и наилучшей защиты дороги от снежных заносов.
При проектировании на профиле лесовозной дороги II категории в соответствии с техническими указаниями по проектированию лесовозной дороги лесозаготовительной промышленности и её предприятий соблюдают следующие условия:
1.Минимум земельных работ.
2.Для уменьшения лишних заносов дороги проектируют преимущественно в невысокой насыпи (0,3 – 1.0 м).
3.Величина наибольшего подъёма в грузовом направлении должно быть не более 20%. Уклоны проектной линии не могут быть больше значений, установленных техническими условиями проектирования; направлении на магистралях V категории при рельефе равнинном и пересеченном, соответственно равными 40 и 60 %;
Переломы проектной линии продольного профиля при алгебраической разнице уклонов 20 % и более сопрягают вертикальными кривыми на магистралях IV, А, IV, Б и V категорий.
4.Проектирование горизонтальных площадок в выемках не рекомендуется, так как они затрудняют водоотвод.
5.Высота земляных работ (высота насыпи и глубина выемки) допускается не более 3м (в вертикальном масштабе не более 6м).
6.На переломах проектных линий профиля, если алгебраическая разность уклонов более 15 см, вставляют вертикальные кривые.
После получения продольного профиля естественной поверхности земли на оси дороги на него наносят проектную линию, представляющую собой новую профильную линию, соответствующую положению будущей лесовозной дороги.
Различают два основных вида проектной линии: обёртывающую и секущую. Обёртывающая линия назначается по возможности параллельно поверхности земли и ближе к ней и широко применяется в равнинной местности, так как обеспечивает небольшие объёмы земляных работ при возведении земляного полотна. В пересечённом рельефе местности обёртывающая проектная линия будет иметь большое количество переломов при наличии крутых подъёмов и спусков, что вызовет снижение скорости автопоездов, перерасход. В этом случае может быть использована секущая проектная линия, при которой предусматривается срезка холмов или гряд (с устройством выемок) с использованием полученного грунта для отсыпки насыпей в прилежащих понижениях местности.
Нанесение проектной линии начинают с установления фиксированных высотных отметок (заданных отметок на контрольных точках) в местах пересечения существующих дорог, линий электропередач, отметок, проезжей части моментов и полотна дорог над горизонтами высоких вод в затапливаемых районах и т.п. После этого, пользуясь нормами проектирования (ИПЛЗП-82), в зависимости от почвенно-грунтовых и гидрологических условий местности, устанавливают для различных участков дороги минимально-необходимое возвышение земляного полотна относительно поверхности земли, оптимальная высота полотна 0.7 – 0.9 м. В местах, заносимых снегом, проектную линию наносят с отметками насыпи не меньше 0.5 м. Выемок по возможности избегают, проектируя их лишь при пересечении резко выраженных водоразделов, на спусках в пойму водотоков и в горной местности.
Назначая проектную линию, избегают частых и резких её переломов со сменой подъёмов и спусков, однако, нецелесообразно и искусственное введение очень длинных элементов, что приводит к излишним земляным работам. Наименьшее расстояние между двумя переломами профиля, называемое шагом проектирования, не должно быть менее 50 м.
Проектируемая лесовозная дорога располагается в равнинной местности, поэтому преимущественно используют обёртывающую проектную линию, полотно автодороги устраивают в невысокой насыпи (0.3 – 1.0 м). Исходя из этого, проектная отметка начальной точки (ПК0) линии первого уклона принимается больше отметки земли этой точки не менее чем на 0.3 м. При построении проектной линии для упрощения последующих расчётов совмещают её точки перелома с пикетами или плюсовыми точками.
От начальной точки проектной линии находят и отмечают пунктиром положение её первого участка, т.е. линии одного уклона, проходящей выше поверхности земли на 0.3 – 1.0 м. При этом уклон намечаемой проектной линии должен быть не более руководящего. Для этого определяют проектную отметку конечной точки линии первого уклона, которая равна отметке земли этой точки плюс высота насыпи.
По разности проектных отметок конечной и начальной точек линии одного уклона вычисляют уклон
, (4.1)
где НК – проектная отметка конечной точки;
НН – проектная отметка начальной точки;
d – горизонтальное расстояние между этими точками.
Если окажется, что вычисленный уклон больше значения уклона, установленного нормами проектирования ИПЛЗП-82 (больше 40 %), то положение линии смещается в сторону уменьшения уклона, или увеличения расстояния между концами линии. (Когда по условиям местности нельзя или невыгодно применять обёртывающую проектировку, то намечают секущую проектную линию).
Вычисленный уклон заносят в графу «Уклоны» сетки профиля, в которой участки профиля с одинаковыми уклонами ограничиваются ординатами. В построенных прямоугольниках условно диагоналями показывают направление уклонов, а горизонтальные участки дороги изображают горизонтальными линиями посередине. Над линией пишут величину уклона в целых тысячных долях, под линией - горизонтальное расстояние.
4.1 Вычисление уклонов и проектных отметок по бровке полотна
Проектные отметки для каждой пикетной и плюсовой точки, кроме начальной, определяют теоретически по формуле:
Нn = Hn -1 + id, (4.2)
где i – проектный уклон;
d – расстояние между точками.
Отметка любой точки проектной линии уклона равна отметке предыдущей точки этой линии плюс произведение уклона на горизонтальное расстояние между этими точками.
Вычисление проектных отметок производят последовательно, начиная со второй точки, и заканчивают вычислением отметки конечной точки для линии одного уклона. Проектные отметки выписывают в соответствующую графу с точностью до сотых долей метра. Последняя точка линии первого уклона будет начальной для следующего.
Пример:
Угол проектируют от ПК0 до ПК 1. Проектная отметка исходной точки ПК0 известна, вычисляем проектную отметку ПК 1 конечной точки линии первого уклона, которая, как отмечалось, равна отметке земли этой точки плюс высота насыпи
НПР ПК 1 = НПК 1 + насыпь; (4.3)
НПР ПК 1 = 49 051 + 1,3 = 50 351.
Значение уклона вычисляют по формуле:
i = Нпр ПК 1 – Нпр ПК0 =50 351-50 000 = 0.002=2‰ (4.4)
d 200
По вычисленному уклону определяют проектные отметки всех пикетных и плюсовых пронивелированных точек на этом участке трассы и вписывают их в графу проектных отметок.
НПК0 = 49 506 + 0,002 • 100 = 49 706 м.
НПК1 = 49 506 +0.002 • 100 = 53,80 м.
Вычисление уклона последующей линии производят после расчёта проектных отметок предыдущей линии. При этом за начальную отметку принимают вычисленную аналитическим способом отметку конечной точки линии предыдущего уклона.
4.2 Вычисление рабочих отметок
Величина земляных работ при постройке автодороги характеризуется рабочими отметками. Они определяются разностью проектных и фактических отметок точек профиля.
hРАБ = НПР – НФАКТ. (4.5)
Положительная рабочая отметка выражает высоту насыпи, отрицательная – глубину выемки. Рабочие отметки выписывают около проектной линии: положительные – над проектной линией (насыпью); отрицательные – под проектной линией (выемка в разрывах ординат).
Пример:
hраб0 = 49 706-49 506 = 0,2;
hраб1 = 50 351-49 051 = 1,3;
hраб2 =50 391-48 643 = 1,74;
В такой последовательности высчитываются все рабочие отметки земли.
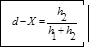
4.3 Расчёт расстояния до точек нулевых работ
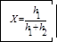
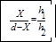
Точки пересечения проектной линии с линией земли называются точками нулевых работ, т.к. в этих точках заканчивается выемка и начинается насыпь, и наоборот. Чтобы обозначить точки нулевых работ на трассе, необходимо знать расстояние от ближайших точек профиля до точки нулевых работ (рис. 6), на котором представлена точка нулевых работ 0, расположенная между точками ПК2+46 и ПКЗ профиля; h1 и h2 – абсолютные значения рабочих отметок; d – горизонтальное расстояние между точками.

Рис.6 расстояние до точек нулевых работ.
На основании подобия треугольников с вершиной 0 имеем
, откуда
;
.
От точки нулевых работ к линии условного горизонта восстанавливают перпендикуляры, около которых справа и слева выписывают расстояния Х и (К – Х).Расстояние до нулевых точек вычисляют с точностью до десятых долей метра и выписывают в нижней части перпендикуляров. Контролем вычисления служит равенство суммы вычисленных расстояний фактическому расстоянию между точками.
Отметку нулевой точки вычисляют по формулам:
H0 =Hпр пред +h1 0 ; (4.6)
H0 =Hпр посл -h2 0 ; (4.7)
h0 1 = i·x; (4.8)
h0 2 = i· (d-x); (4.9)
где Hпр пред – проектная отметка предыдущей точки;
Hпр посл – проектная отметка последующей точки;
h0 1 = превышение между нулевой точкой и предыдущей точки;
h0 2 = превышение между нулевой точкой и последующей точкой;
i – проектный уклон;
4.4 Проектирование вертикальных кривых
На переломах проектной линии профиля в случае, если алгебраическая разность проектных уклонов более 15о /оо , в соответствии с ИПЛЗП-82, производят проектирование вертикальных кривых, обеспечивающих плавность движения транспорта и видимость дороги. Вертикальные кривые могут быть выпуклыми и вогнутыми (рисунок 7).

Рисунок 7 – Вертикальные кривые
Радиусы вертикальных кривых на магистралях всех категорий рекомендуется принимать не менее:
выпуклых – 5000 м;
вогнутых – 2000 м.
Допускаемые наименьшие радиусы выпуклых и вогнутых вертикальных кривых на трудных участках магистралей V категории в пересечённой местности принимаются равными 600 м.
Для построения вертикальной кривой достаточно знать только два её элемента: тангенс и биссектрису, которые определяют по алгебраической разности уклонов и выбранному радиусу. Для этого используют следующие таблицы:
А.Ф.Матвеев. Универсальные геодезические таблицы. – М.: Недра, 1979. – 142 с.;
Н.А.Митин. Таблицы для разбивки кривых на автомобильных дорогах. – М.: Недра, 1978. – 468 с..
Значения тангенсов округляют до целых метров.
Вертикальные кривые условно показывают над проектной линией в горизонтальном масштабе профиля над рабочими отметками, условно принятыми обозначением (рисунок 11). Около каждой вертикальной кривой выписывают три основных элемента кривой: R, Т, Б и расстояние от прежних на величину биссектрисы.
Так как при замене ломаных проектных линий вертикальными кривыми изменяются рабочие отметки, то вычисление рабочей отметки заключаются в скобки, а рядом с ними выписываются их новые значения, отличающиеся от принятых на величину биссектриса.
Пример: для вертикальной кривой, проектируемой на профиле, произведён следующий расчёт: i = 0.4 0 /00 – (-16 0 /00 ) – 20 0 /00 , радиус кривой R =5000.
Тогда из таблицы Н.А.Митина Т = 50 м, В = 0,25 м. Для построения этой кривой от точки перелома линии на профиле – ПК4 отложить в обе стороны значения Т в горизонтальном масштабе профиля и условно обозначить выпуклость кривой. У концов кривой подписывают расстояние от НК и КК до предыдущих пикетов (- 50 и + 50). Рабочая отметка изменится на величину биссектрисы, равную 0.25 м, и вместо 0.75 будет 0.50.
4.5 Разбивка главных точек кривой
Главные точки кривой: начало кривой (НК), конец кривой (КК) и середина кривой (СК) определяются элементами круговой кривой. Элементы круговой кривой – тангенс (Т), кривую (К), биссектрису (Б) и домер (Д) – вычисляют по специальным таблицам. Исходными данными для вычисления элементов круговой кривой является угол поворота трассы и радиус круговой кривой (R) (рисунок 8).

Рисунок 8 – План участка дороги:
а) развёрнутый, б) условный
Расстояние от вершин угла поворота до начала или конца кривой называется дорожным тангенсом, его величину определяют по формуле
. (4.10)
Расстояние от начала до конца кривой по дуге называется длиной этой кривой, которую определяют по формуле
. (4.11)
Расстояние от вершин угла поворота до середины кривой к центру поворота называется биссектрисой, определяют по формуле Б = (Sec/2-1).
Разница в длине хода по тангенсам и по кривой называется домером
Д = 2Т – К. (4.15)
Угол поворота вычисляют по измеренному горизонтальному углу теодолитного хода. Величину радиуса бригада принимает самостоятельно. При выборе величины радиуса надо помнить, что между концом данной кривой и началом следующей должна быть прямая вставка длиной не менее 20 метров.
Пример. Измеренный угол теодолитного хода = 1490 30’. Угол поворота трассы будет пр = 1800 - = 1800 00’ – 1490 = 300 30’. Радиус круговой кривой принимаем равным 300 м R = 300 м. По таблицам для разбивки кривых находим значения элементов кривой: Т = 71,79 м; К = 159,70 м; Б = 10,95 м; Д = 3,88 м.
В пикетажный журнал слева от угла поворота записывают величину угла и элементы кривой, а справа – вычисление пикетажного наименования главных точек кривой (рисунок 8).
На местности точки начала и конца кривой определяют рулеткой, откладывая от вершины угла поворота в створе предыдущего и последующего направления линии трассы значение тангенса. Эти точки закрепляют колышками со сторожками, на которых подписывают их пикетажное наименование. Середину кривой определяют при помощи теодолита, установленного в вершине угла поворота. На лимбе горизонтального круга откладывают отсчёт, равный ½ измеренного угла. Вращением лимба визируют на ПК0. Вращением алидады при закреплённом лимбе совмещают нуль лимба с нулём верньера. В створе нового направления, отложив рулеткой значение биссектрисы, находят точку середины кривой. Эту точку, как и предыдущие, закрепляют колышком со сторожком и подписывают её пикетажное наименование. Закрепив на местности главные точки кривой, приступают к разбивке пикетажа по новому направлению. Но так как на углах поворота измерение линий ведется по тангенсам, а действительная длина трассы считается по кривой, то при разбивке пикетажа необходимо учитывать домер. Для этого от вершины угла поворота в створе нового направления откладывают величину домера. В этой точке закрепляют шпильку. Разбивку пикетажа до следующего угла поворота производят от этой шпильки.
Пикеты, находящиеся на тангенсах, выносятся на кривую способом прямоугольных координат. Для этого нужно знать радиус закругления R и Х – расстояние от выносимой точки (пикета или плюсовой точки) до начала кривой. Разбивку кривой ведут от начала и конца кривой к середине. Координаты X и Y берут по радиусу из таблицы кривых Н.Ф. Федорова, где место абсциссы X даётся как разность K-X. В этом случае по тангенсу откладывают длину кривой (K 2K 3K и т.д.) отмеряют назад соответствующие значения K-X. В найденных точках (концах абсцисс) восстанавливают перпендикуляры и откладывают по ним ординаты (Y1, Y2,… Yn), получая точки кривых.
Таким же способом выносят пикеты с линии тангенса на кривую. Длина K определяется как разность пикетажных значений выносимого пикета и начала или (конца) кривой. По таблицам для заданного радиуса по длине кривой определяют K-X и Y, по которым и выносят пикет на кривую, закрепляют «сторожком» с надписью, соответствующей выносимому пикету или плюсу (рисунок 9).

Рисунок 9 – Способ прямоугольных координат
4.6 Составление ведомости прямых и кривых. План трассы
Результаты измерений и вычислений, полученных при проложении на местности трассы, сводятся в ведомость прямых и кривых, которая служит для контроля вычислений, связанных с проектированием трассы (рисунок 10).

Рисунок 10 – План трассы по румбам и длинам
Из журнала нивелирования выписывают величины углов поворота трассы и их пикетажное положение (колонки 2, 3, 4), а также радиусы закруглений (колонка 5).
Элементы кривой (колонки 6, 7, 8, 9) заполняют, пользуясь таблицами для разбивки кривых, входами в которые являются величина угла поворота и радиус закругления (R).
Положение начала и конца кривой записывают в колонки 10, 11.
Длина прямой вставки равна расстоянию между началом второй кривой и концом первой (колонка12).
Расстояние между вершинами углов S (колонка 13) вычисляют как разность пикетажного положения последующей и предыдущей вершин углов поворота плюс домер предыдущей кривой (колонка 9).Азимуты и румбы, колонка 14, 15.
План трассы составляют по данным пикетажной книжки и ведомости прямых и кривых. Трассу наносят по румбам и длинам сторон в масштабе 1:10000 или 1:5000 – для равнинной и холмистой местности и 1:2000 – для горной местности.
Ведомость углов поворотов, прямых и кривых:
4.7 Вычисление азимутов и румбов направлений участков автодороги.
Азимуты последующих направлений вычисляют по формулам
А = Аn -1 + aПРАВ. (4.12)
А = Аn -1 - aЛЕВ. , (4.13)
где А – азимут определяемого направления;
Аn -1 – азимут предыдущего направления;
aПРАВ. – угол поворота вправо;
aЛЕВ. – угол поворота влево.
Для нашего примера измеренный азимут начального направления трассы нивелирного хода А1 = 1100 , измеренный угол поворота трассы aПРАВ. = 330 И αлев = 290
А2 =1100 +330 = 1430 или ЮВ 370 ;
А3 =1430 -290 = 1140 или СВ 1040 ;
4.8 Указания к оформлению профиля
Для вычерчивания профиля тушью все линии и надписи выполняют черным цветом. Толщина линии сетки – 0.5 мм; плана и осевой линии графы ситуации – 0.8 мм; ординат, соответствующих пикетам – 0.4 мм; плюсам – 0.2 мм; проектной линии профиля – 0.6 мм; линии земли по оси дороги – 0.2 мм.
Цифры на профиле пишут высотой: километровые знаки и пикеты, кратные десяти – 3 мм; отметки фактические, проектные и рабочие, соответствующие пикетам – 3 мм; соответствующие плюсам – 2 мм; элементы прямых и кривых, румбы – 2 мм; прочие – 1.5 мм.
Отметки реперов выписывают на профиль с точностью до тысячных долей метра. Все остальные отметки округляют до сотых долей метра. Величины прямых и кривых, начало и конец кривых подписывают с точностью до десятых долей.
Расстояние между плюсами, длину уклонов, привязку реперов к оси дороги выписывают в целых метрах.
5. Детальная разбивка закруглений
Для детальной разбивки закругления нужно получить на местности точки закругления столь часто, чтобы между двумя соседними точками можно было считать за прямую. В зависимости от величины радиуса круговой кривой при строительстве автомобильных дорог осуществляют детальную разбивку кривых с шагом 2, 5, 10 и 20 м. Величину дуги в зависимости от радиуса кривой можно определить из таблицы 2.
Таблица 2
| R, м | К, м |
| 20 – 100 | 2 – 5 |
| 100 – 300 | 5 – 10 |
| 300 - 1000 | 10 - 20 |
Закругления на автомобильных дорогах устраиваются с переходными кривыми и без них. По нормам технических указаний переходные кривые на лесовозных автодорогах V категории должны устраиваться при радиусах горизонтальных кривых 250 м и менее.
Переходные кривые проектируются между прямыми участками дороги и круговой кривой для того, чтобы улучшить условия движения транспорту.
Наиболее точным способом разбивки закруглений является способ прямоугольных координат, где за начало координат принимается начало и конец закруглений кривой. За положительное направление оси Х принимается направление по тангенсу от начала и конца кривой в сторону вершины угла поворота. За положительное направление оси Y принимается направление, перпендикулярное тангенсу угла, направленное внутрь угла поворота.
Прежде чем приступить к детальной разбивке кривой, необходимо по известному углу поворота a и радиусу кривой R определить основные элементы круговой кривой Т, К, Д, Б и пикетажное наименование главных точек круговой кривой: НК, К, С, К и КК. После этого приступают к детальной разбивке круговой кривой, если величина радиуса закругления больше 250 м, или к разбивке кривой со вспомогательными переходными, если радиус меньше 250 м.
Порядок работы лучше всего рассмотреть на примере.
Пример:
Дано: R = 250.00 м;
a = 33 0 ;
ВУП = ПК5.
По таблице 1 Н.А. Митина находим основные элементы круговой кривой:
Т = 74,05;
К = 143,92;
Д = 4,18;
Б = 10,74.
Затем определяем пикетажное положение главных точек кривой
ВУП пк 5 НКК пк 4+25,95
- Т +74,05 + К/2 +71,96
НКК пк 4+25,95 СКК пк 4+97,91
НКК пк 4+25,95
+К +143,92
ККК пк 5+69,87
Теперь можно приступить к детальной разбивке закругления. Из таблицы 1 находим, что расстояния между точками детальной разбивки при R = 250 м должны быть 10-20 м.
Допустим, К = 20 м. Тогда число точек детальной разбивки определится из формулы n = (T + t) м:
Для каждой из них найдём прямоугольные координаты X и Y из таблицы детальной разбивки закругления с переходными кривыми (таблица 2) и сведём их в новую таблицу 3.
Таблица 3 – Таблица детальной разбивки закругления с переходными кривыми
| К | Х | Y |
| R=250 | ||
| 0 | 0 | 0 |
| 10 | 10.00 | 0.01 |
| 20 | 20.00 | 0.07 |
| 30 | 30.00 | 0.23 |
| 40 | 39.99 | 0.53 |
| 50 | 49.98 | 1,04 |
| 60 | 59.95 | 1,80 |
| 70 | 69.90 | 2,86 |
| 80 | 79.80 | 4,27 |
| 90 | 89,64 | 6,05 |
Отступив от нижнего края листа миллиметровой бумаги 3 см, проводим карандашом тонкую линию, на левом краю которой выбираем точку НПК.
Отложив от неё в масштабе 1 : 500 длину (T + t), получаем точку ВУП. При ВУП строим транспортиром величину левого угла поворота трассы. На новом направлении также отмеряем (T + t), фиксируем третью главную точку закругления – КПК.
Для нахождения положения точки СКК прочерчиваем биссектрису угла между направлениями трассы и откладываем на ней (Б + ).
Затем, пользуясь таблицей 5, наносим на чертёж все точки детальной разбивки по их прямоугольным координатам X и Y.
Соединив главные точки закругления и точки детальной разбивки плавной кривой линией, получаем графическое изображение закругления.
Положение ПК8 на кривой также определяется прямоугольными координатами.
ЗАКЛЮЧЕНИЕ
В ходе проведения курсовой работы мы научились: обрабатывать журнал геометрического нивелирования. Так же на практике построили:
1) продольный профиль лесовозной дороги V категории,
2) детальную разбивку закруглений,
3) план трассы по румбам и длинам.
В целом был закреплён теоретический курс по предмету «Инженерная геодезия»
Список использованной литературы
1. Инструкция по проектированию лесозаготовительных предприятий – Ленинград 1984 – 186 с.
2. Митин Н.А. Таблица для разбивки кривых на автомобильных дорогах - М. Недра 1978 – 496 с.
3. Мачернис Н. А. Проектирование лесовозной автомобильной дороги и вертикальная планировка строй площади.
4. Методические указания для студентов специальности 2601 с. Красноярск СибГТУ 1980 – 36 с.
5. Основы инженерной геодезии: Учеб.-3-е изд., перераб. и доп. – М.: Высшая школа; Издательский центр «Академия», 1999.-300 с.: ил.
Похожие рефераты:
Проектирование автомобильных дорог
Технико-экономическое сравнение вариантов трассы
СНиП 3-42-80 магистральные трубопроводы
Строительство автомобильной дороги
Строительство автомобильных дорог
Техническое нивелирование железнодорожной трассы
Проектирование промежуточной станции
Рельеф и его использование для градостроительных нужд
Работа с геодезическими приборами