| Похожие рефераты | Скачать .docx | Скачать .pdf |
Курсовая работа: Проектирование комплексного гидроузла
Калининградский Государственный Технический Университет
Кафедра водных ресурсов и водопользования
Курсовой проект
по дисциплине «Гидротехнические сооружения»
на тему:
«Проектирование комплексного гидроузла»
Калининград
2007
Содержание
Исходные данные
Результаты компоновки сооружений на генеральном плане
Введение
1. Грунтовая плотина
1.1 Определение высоты грунтовой плотины
1.2 Конструирование тела плотины
1.3 Фильтрационный расчёт тела плотины. Депрессионная кривая
1.3.1 Фильтрация в теле плотины с ядром на водонепроницаемом основании
1.3.2 Фильтрация в теле плотины с экраном на водонепроницаемом основании
1.4. Расчёт устойчивости низового откоса грунтовой плотины методом
круглолиндрических поверхностей скольжения
1.5 Окончательное проектное решение
2. Водосбросные сооружения при грунтовой плотине
2.1 Выбор варианта водосброса
2.2 Гидравлический расчёт сооружения
2.2.1 Расчёт входного оголовка водослива
2.2.2 Расчёт водопропускной части водослива
2.2.3 Устройство нижнего бьефа в виде консольного сброса
2.3Окончательное проектное решение
3. Бетонная плотина
3.1 Проектирование тела бетонной плотины
3.2 Расчёт пропускной способности
3.3 Устройства нижнего бьефа водосливной плотины
3.4 Пространственный гидравлический прыжок за водосливной плотиной
3.5 Устойчивость бетонной плотины
3.6 Окончательное проектное решение
4. Конструирование плоского затвора
4.1 Описание конструкций затвора
4.2 Расчетно-графическая схема
4.3 Окончательное проектное решение
Заключение
Список используемой литературы
Исходные данные
Отметка НПУ = 13 м
Отметка ФПУ = 13.6 м
Грунты – супесь
Коэффициент фильтрации Кф = 0.3 м/сут
Расход воды Q= 16 м3 /с
Скоростной коэффициент φ = 0,95
Коэффициент бокового сжатия ε = 0,85
Коэффициент Кориолиса α = 1,1
Результаты компоновки сооружений на генеральном плане:
Длина быстротока L = 37,5 м.
Угол наклона водосброса к горизонтальной плоскости 230 .
Напор над оголовком Н = 0,4 м.
Высота входного оголовка Р = 1,5 м.
Разность бьефов z = НПУ-НБ = 13 – 0 = 13 м
Напор на гребне водослива бетонной плотины H = 1 м.
Введение
Основная задача гидротехники – приспособление (а в необходимых случаях и изменение) существующего естественного режима водного объекта – реки, озера, моря, подземных вод – к нуждам народного хозяйства при обеспечении минимума отрицательных экологических последствий.
Инженерные сооружения, позволяющие реализовать поставленную задачу, называются гидротехническими сооружениями.
Цель объектов гидротехнического строительства обеспечить перераспределение стока реки во времени, а также обеспечить его использование. Поэтому возводимые объекты включают не одно, а несколько гидротехнических сооружений разного назначения, решающих комплекс задач. Совокупность гидротехнических сооружений, объединённых общностью целей и расположенных на небольшой территории, называется гидроузлом.
Гидроузлы принято классифицировать по ряду признаков. По месторасположению их подразделяют на речные, морские, озёрные и прудовые.
По величине создаваемого напора они могут быть безнапорными (при заборе воды из рек в их естественном состоянии, портовые сооружения и др.), низконапорными (напоры менее 10 м), средненапорными (напор 10–50 м) и высоконапорными (напоры более 50 м).
По основному назначению гидроузлы подразделяются на водозаборные (для орошения, водоснабжения и др.), энергетические, воднотранспортные, водохранилищные (для перераспределения стока рек), а также рекреационные, служащие для организации отдыха населения.
Гидроузлы чаще всего перераспределяют сток реки во времени.
Территориальное перераспределение водных ресурсов реализуют с помощью гидросистем – комплекса гидроузлов и отдельных сооружений, объединённых общностью целей и расположенных на значительной территории. Гидросистемы, как и гидроузлы, могут быть специализированными и комплексными.
1. Грунтовая плотина
Основные сведения о плотине
Плотины, которые возводят из местного грунта как строительного материала, называются грунтовыми (земляные насыпные, земляные намывные, каменно-земляные и каменно-набросные). Они получили широкое распространение, т. к. являются самыми экономичными. Используя местный грунт, их можно возводить практически во всех географических зонах, строить любой высоты, возведение их высоко механизировано. Однако грунтовые плотины имеют и недостатки.
Через тело плотины осуществляется фильтрация, что потенциально создаёт условия для фильтрационных деформаций, ведёт к большим потерям воды. В процессе эксплуатации грунтовые плотины имеют неравномерную осадку по поперечному профилю. Ограничено и использование некоторых типов грунтов для тела плотины и её основания.
Плотины подразделяют по конструкции тела плотины, противофильтрационных устройств в теле и основании на следующие основные типы: из однородного грунта и неоднородного грунта; с экраном (из грунтовых и негрунтовых материалов), с ядром из грунта, диафрагмой из негрунтовых материалов; с зубом, замком, диафрагмой в основании, со шпунтовой стенкой, понуром. В зависимости от высоты плотины, характера грунтов основания плотины делят на 4 класса, которые принимаются согласно СНиП.
Обычно гребень плотины служит проезжей частью. Ширина его зависит от категории дороги и принимается согласно СНиП. Отметку гребня выбирают из условия недопущения перелива через него.
Тип грунта и его сдвиговые характеристики позволяют назначать заложение откосов. Откосы плотин по высоте могут иметь переменное заложение у высоких, что позволяет экономично использовать грунт, в низких плотинах заложение принимается постоянным.
Низовой откос закрепляется для защиты от выветривания или посевом трав, или одерновкой. Для крепления верхового откоса применяют: каменную наброску, бетонные и железобетонные плиты, биологическое крепление.
Противофильтрационные устройства в теле плотинприменяют, когда плотину отсыпают из сильно проницаемых грунтов для снижения фильтрационных потерь через плотину. Для создания противофильтрационных устройств используют грунты (суглинки, глины, глинобетон), а также битумные составы, асфальтобетон, бетон и полимерные плёнки.
В теле плотины конструируют одно из следующих противофильтрационные устройств: ядро, экран, диафрагму. Они необходимы, если плотины возводят на проницаемых основаниях для уменьшения фильтрационных потерь и снижения градиентов напора. Эти сооружения могут прорезать весь проницаемый слой до водоупора или быть висячими, не достигающими его.
Замок устраивают, если водонепроницаемое устройство прорезает водопроницаемый слой и входит в водоупор. Его выполняют, укладывая в траншею плотный суглинок, глину, глинобетон.
Зуб устраивают, если водопроницаемое устройство не доходит до водоупора. Его можно применять в комбинации со шпунтовой стенкой. Зуб, особенно при устройстве со шпунтом, делают из бетона.
Дренаж грунтовой плотины – это конструктивный элемент для сбора и отвода воды, фильтрующийся через тело плотины. Дренаж имеет повышенную проницаемость по сравнению с грунтами тела плотины и основания. Он понижает депрессионную кривую, предотвращает выклинивание фильтрационного потока на низовой откос и состоит из двух частей – приёмной и отводящей.
Тип дренажа и его местоположение выбирают из условия обеспечения устойчивости низового откоса. Основными типами дренажей являются: наслонный, дренажная призма, комбинированный (наслонный с дренажной призмой), плоский, плоский с вертикальной или наклонной приёмной частью, ленточный.
1.1. Определение высоты тела плотины, отметки гребня плотины
Высоту плотины назначаем с превышением d над расчётным уровнем воды в водохранилище, гарантирующем отсутствие перелива воды через гребень и равным:
d = Δh + hн + a (1)
где:Δh – высота ветрового нагона волны;
hн – высота наката волн на откос плотины;
a – конструктивный запас, принимаемый как большее из значений 0,5 м и 0,1h0,1% ;
0,1h0,1% - высота волны 1%-ной вероятности превышения.
Расчёты по формуле (1) проводим для двух расчётных случаев:
1) уровень воды на отметке НПУ;
2) уровень воды на отметке ФПУ.
Расчётную скорость ветра в первом случае принимаем 1%-ной вероятности превышения, наблюдаемую в течение года, а во втором – 50%-ной вероятности превышения, наблюдаемую во время форсировки уровня. При определении элементов ветровых волн и ветрового нагона согласно СНиП 2.06.04–82 следует принимать вероятность превышения шторма для сооружения III класса 4%.
В качестве расчетной отметки гребня плотины принимают большую из отметок:
Zгр = Zнпу + dнпу; (2)
Zгр = Zфпу + dфпу, (3)
где Z нпу и Z фпу – отметки нормального и форсированного подпорных уровней.
Рассчитаем высоту ветрового нагона воды по следующей зависимости:
, (4)
где: W – расчётная скорость ветра на высоте 10 м над уровнем воды.
При НПУ: W = 20 м/с ; при ФПУ: W = 10 м/с .
– коэффициент, зависящий от скорости ветра.
;
– длина разгона ветровой волны. При НПУ: D = 4,5 км
; при ФПУ: D = 4,7 км
;
– ускорение свободного падения,
;
– условная расчётная глубина воды в водохранилище, Н = 13 м
;
- угол между продольной осью водоёма и направлением господствующих ветров,
.
Табл. 1.1.Значения расчётной скорости
| W, м/с | 20 | 30 | 40 | 50 |
| Кв |
Т. к. величина Δh , стоящая в знаменателе, мала по сравнению с величиной Н , то полагаем, что Δh = 0 .
Таким образом, высота ветрового нагона, вычисленная по формуле (4) при уровне воды в водохранилище на отметке НПУ, равна:
![]()
То же при отметке ФПУ:
м.
Высоту наката волны определяют по формуле:
, (5)
Высоту волны 1%-ной вероятности превышения определим в следующей последовательности:
1) Вычисляем безразмерные комплексы:
и
,
где t
– продолжительность действия ветра, принимаемая при отсутствии фактических данных
;
а) при НПУ:
; ![]()
б) при ФПУ:
; ![]()
2)
По графику /1/ для каждого найденного комплекса определяем значения параметров
и
,
где
- средний период волны;
- средняя высота волны;
при НПУ:
, ![]()
при ФПУ:
, ![]()
3)
Из найденных двух пар значений параметров выберем наименьшие и по ним установим параметры
и
:
при НПУ:
; ![]()
при ФПУ:
; ![]()
4) Вычисляем среднюю длину волны:
при НПУ:
![]()
при ФПУ:
![]()
5) Определяем высоту волны 1%-ной вероятности превышения:
(6)
где К1
- коэффициент, устанавливаемый по графику /2/ при 1%-ной вероятности превышения в зависимости от значения безразмерного комплекса ![]()
при НПУ:
![]()
при ФПУ:
![]()
Коэффициенты КΔ и КНП зависят от типа и относительной шероховатости крепления откоса и определяются по таблице 1.2.
Табл. 1.2.Значения коэффициентов КΔ и Кнп
| Конструкция крепления откоса | r/h1% | K | K нп |
| Бетонные или железобетонные плиты | - | 1.00 | 0.90 |
| Гравийно-галечниковые, каменные или бетонные (железобетонные) блоки | Менее 0.002 |
1.00 | 0.90 |
| 0.005…0.010 | 0.95 | 0.85 | |
| 0.02 | 0.90 | 0.80 | |
| 0.05 | 0.80 | 0.70 | |
| 0.10 | 0.75 | 0.60 | |
| Более 0.2 | 0.70 | 0.50 |
Из таблицы (1.2.) при креплении откоса железобетонными плитами коэффициенты К и Кнп принимаем равными: КΔ = 1.0; Кнп=0.9.
Коэффициент Кс зависит от скорости ветра и коэффициента заложения верхового откоса (m1 = 3). определяется по таблице 1.3.
Табл. 1.3.Значения коэффициента Кс
Скорость ветра, м/с |
Заложение откоса | |||
| 0.4 | 0.4…2 | 3…5 | 5 | |
| 20 | 1.3 | 1.4 | 1.5 | 1.6 |
| 10 | 1.1 | 1.1 | 1.1 | 1.2 |
а) так как при НПУ скорость ветра W=20 м/с., то по таблице находим Кс=1.5;
б) так как при ФПУ W=10 м/с, следовательно по таблице находим Кс=1.1
Значение коэффициента К принимается в зависимости от угла подхода фронта волны к плотине.
Табл. 1.4.Значения коэффициента К
| , град | 0 | 10 | 20 | 30 | 40 | 50 | 60 |
| К | 1 | 0.98 | 0.96 | 0.92 | 0.87 | 0.82 | 0.75 |
Примем его равным 0,84.
Коэффициент КНГ
определяется по графикам. Для того, чтобы его определить, рассчитаем величину
:
при НПУ:
;
, Кнг = 1.30;
при ФПУ:
, Кнг = 1.53.
Коэффициент КHJ учитывает вероятность превышения J (%) по накату. Как уже упоминалось ранее, по СНиП для третьего класса сооружений J принимается равным 4%. Соответственно, КHJ = 0,93.
Табл. 1.5. Значения коэффициента КHJ
| j , % | 0.1 | 1 | 2 | 5 | 10 | 30 | 50 |
| КHJ | 1.1 | 1.0 | 0.96 | 0.91 | 0.86 | 0.76 | 0.68 |
Подставим все найденные коэффициенты в формулу (5) и определим высоту наката волны 4%-ной вероятности превышения:
при НПУ:
![]()
при отметке ФПУ:
![]()
По зависимости (1) вычисляем требуемое превышение гребня плотины над расчётным уровнем:
при НПУ:
![]()
при ФПУ:
![]()
Отметка гребня плотины соответственно должна быть равна:
при НПУ:
![]()
при ФПУ:
![]()
В качестве расчетного значения отметка гребня плотины принимаем Zгр ср = 15,0 м.
Т.к. отметка берега равна 0 м относительно Балтийской системы, можно определить расчётную высоту плотины:
Нпл = 0 + 15,0 = 15,0 м.
В конструктивном отношении гребень выполняют, как дорогу в насыпи, которая состоит из проезжей части, обочины, ограждения и дренажных устройств. Проезжая часть имеет основание и покрытие. На песчаную подушку укладывают покрытие в зависимости от категории дороги. Покрытие имеет двусторонний поперечный уклон. С обеих сторон дороги на расстоянии
м от бровки ставят ограждения: столбики через 4…6 м, низкие стенки.
1.2 Конструирование тела плотины
Грунтовая плотина представляет собой насыпь трапецеидального сечения. Общий вид плотины показан на рис. 1.
Один из основных вопросов проектирования грунтовой плотины – определение устойчивого и экономически выгодного её профиля. Размеры поперечного профиля зависят от типа плотины, её высоты, характеристик грунта тела плотины и её основания, а также условий строительства и эксплуатации.
При конструировании гребня плотины руководствуются условиями производства работ и эксплуатации плотины. Т.к. необходимо обеспечить проезд транспорта и сельскохозяйственной техники, то назначаем его ширину в соответствии с нормами на проектирование дорог. По СНиП 2.06.05–84 ширина гребня плотины должна быть не менее 4,5 м. Принимаем её равной 7,0 м по таблице (в зависимости от категории дороги) /1/.
Так как в нашем случае гребень плотины состоит из глинистого грунта, то во избежание его пучения при морозах необходимо предусматривать защитный слой из песчаного грунта или щебня.
Отметку гребня плотины мы определили в разделе 1.1.
При выборе коэффициентов заложения откосов руководствуются тем, что они должны быть устойчивыми при воздействии статических и динамических нагрузок, фильтрации, капиллярного давления, волн и прочих нагрузок.
Верховой откос устраивают более пологим, чем низовой, так как он больше насыщен водой.
Заложение откосов назначают в зависимости от рода грунта, высоты плотины и свойств основания. В соответствии с таблицей 1.6. для однородных плотин из глинистого грунта при высоте менее 15 м коэффициент заложения верхового откоса m1 = 3, коэффициент заложения низового откоса m2 = 2,5.
Табл.1.6.Среднее заложение откосов земляных плотин
| Высота | |||||
| 5 | 5…10 | 10…15 | 15…50 | 50 | |
| Верховой откос m1 | 2.0…2.5 | 2.25…2.75 | 2.5…3.0 | 3.0…4.0 | 4.0…5.0 |
| Низовой откос m2 | 1.75…2.0 | 1.75…2.25 | 2.0…2.5 | 2.5…4.0 | 4.0…4.5 |
Следует отметить, что в данном курсовом проекте используются средние по высоте заложения откосов. Реальные откосы, особенно у плотин значительной высоты, обычно имеют ломаное очертание с постепенным увеличением пологости к подошве, что позволяет запроектировать более экономичный профиль сооружения.
Для предохранения низового откоса от размыва сосредоточенным потоком дождевых и талых вод через 10 – 15 м по высоте устраивают горизонтальные площадки – бермы шириной 2 – 3 м , а при необходимости проезда по ним – шириной до 6 м . У внутреннего края бермы устраивают кювет для перехвата дождевых и талых вод и отводу их в общую систему дренажа плотины.
Однако в данном курсовом проекте мы не будем предусматривать устройство берм.
Противофильтрационные устройства проектируют из грунтовых и негрунтовых материалов. Конструктивно их выполняют в виде экрана, понура, ядра, диафрагмы, зубьев, шпунтовых стенок и др.
При проектировании противофильтрационных устройств необходимо обеспечить их сопряжение друг с другом, с основанием по подошве и в береговых примыканиях, то есть создать противофильтрационную завесу, конструкцию которой принимают на основе технико-экономического сравнения различных вариантов /1/.
1.3 Фильтрационный расчет тела плотины
В соответствии со СНиП 2.06.05–84 фильтрационные расчёты следует выполнять для определения фильтрационной прочности тела плотины; расчёта устойчивости низового откоса плотины; обоснования необходимости противофильтрационных устройств.
В ходе выполнения расчётов определяют положение депрессионной кривой, фильтрационный расход воды через тело плотины и её основание, место выхода фильтрационного потока в дренаж, в нижний бьеф.
Способы и схемы фильтрационных расчётов с большой надёжностью разработаны для плотин, расположенных на водонепроницаемом основании. Под водонепроницаемым понимают такое основание, коэффициент фильтрации которого по сравнению с коэффициентом фильтрации плотины настолько мал, что может быть приравнен к нулю.
Рассчитаем фильтрацию через тело плотины методом эквивалентного профиля для основных типов плотин. В этом методе реальный поперечный профиль плотины заменяют эквивалентным в фильтрационном отношении профилем. В соответствии со СНиП предполагают два допуска:
1) фильтрация в теле плотины не зависит от вида грунта, а только от геометрических размеров;
2) трапецеидальный профиль плотины условно превращают в призму.
Строим кривую депрессии по уравнению:
(7)
где: у – ордината кривой депрессии;
Н – глубина воды в верхнем бьефе;
q – расход фильтрационного потока через тело плотины:
(8)
где: Кф - коэффициент фильтрации тела плотины. Кф = 0,3 м/сут .
Lp – ширина эквивалентного профиля плотины по основанию:
(9)
Величину ΔL определяем по формуле:
(10)
где β – коэффициент, учитывающий крутизну верхового откоса, определяемый по формуле Г.К. Михайлова:
(11)
где: m1 - коэффициент заложения верхового откоса. m1 = 3
; ![]()
Величину L определяем по следующей зависимости:
, (12)
где: m2 - коэффициент заложения низового откоса. m2 = 2,5
bгр – ширина гребня плотины. bгр = 7 м
d – превышение над расчётным уровнем воды. d = 2,96 м
;
.
Рассчитаем высоту выхода депрессионной кривой на низовой откос над уровнем основания плотины в нижнем бьефе:
, (13)
Рассчитаем расход фильтрационного потока через тело плотины:
![]()
В формуле (7) х – абсцисса кривой депрессии. Задаём величину х в пределах от 5 м до 55 м .
Для каждого значения хп определяем величину уп по формуле (7). Расчёт ведём в табличной форме (табл. 1.7).
Табл. 1.7.Координаты кривой депрессии
| 5 | 10 | 15 | 20 | 25 | 30 | 35 | 40 | 45 | 50 | |
| 9,52 | 9,02 | 8,49 | 7,92 | 7,31 | 6,64 | 5,90 | 5,05 | 4,03 | 2,64 |
По полученным координатам на поперечном профиле плотины строим кривую депрессии (рис. 2).
1.3.1 Фильтрация в теле плотины с ядром на водонепроницаемом основании
Для расчёта такой плотины можно применять виртуальный метод, в котором ядро с заданными размерами и коэффициентом фильтрации Кя заменяют приведённым ядром призматической формы с коэффициентом фильтрации КТ . Плотина тем самым приводится к эквивалентной по фильтрационным свойствам однородной плотине.
Порядок расчёта:
1). Находим среднюю толщину ядра:
δср. = ( δ1 + δ2 ) / 2 , (14)
где δ1 иδ2 – толщина ядра поверху и понизу.
δср. = (6 + 3) / 2 = 4,5 м
2). Определяем приведённую толщину эквивалентного ядра:
Lпр.я. = δср. * Кт / Кя , (15)
Lпр.я. = 4,5 * 0,3 / 0,1 = 13,5 м.
3). Вычисляем приведённую ширину гребня плотины:
bпр.гр = bгр + Lпр.я – δср. (16)
bпр.гр = 7 + 13,5 – 4,5 = 16 м.
4). Величину L определяем по следующей зависимости:
L = m1 * d + bпр.гр + m2 * (H + d) , (17)
гдеm1 и m2 - коэффициенты заложения верхового и низового откосов:
m1 = 3, m2 = 2,5;
bпр.гр - ширина гребня плотины:bгр = 7 м;
d– превышение над расчётным уровнем воды:d = 2,96 м.
L = 3 * 2,96 + 16 + 2,5 * (13 + 2,96) = 57,28 м.
Lp – ширина эквивалентного профиля плотины по основанию:
(18)
![]()
м
Рассчитаем высоту выхода депрессионной кривой на низовой откос над уровнем основания плотины в нижнем бьефе:
м (19)
Кривую депрессии строим только на участках плотины до и после ядра, задавая значения x от x = ∆L до x = ∆L + xв и от x = ∆L + xв + Lпр.я. до x = Lр .
Строим кривую депрессии по уравнению, полученному с учётом эмпирических параметровﮈ h и q :
(20)
где: Н – напор воды в верхнем бьефе, м;
kт - коэффициент фильтрации тела плотины, м/сут;
ﮈ h - потери напора фильтрационного потока, м;
q – удельный расход фильтрационного потока, м3 /сут.
Табл. 1.8.Значения произведения параметра ξ и удельного расхода q
| kт | 1.0 | 0.5 | 0.3 | 0.08 |
| q | 1.0 | 1.0 | 0.9 | 0.4 |
При kф = 0.3 м/сут., q = 0.9
Для определения пути фильтрации используется фактическая длина подошвы плотины с учетом рельефа местности и уклона русла реки. Расположение осей координат: ось Y принимаем перпендикулярно линии поверхности воды при отметке НПУ таким образом, чтобы ось Y проходила через точку пересечения поверхности воды при отметке НПУ с верховым откосом плотины; ось Х принимаем по основанию плотины перпендикулярно оси Y. Разбиваем ось Х на интервалы 10 м и для каждого значения Хn определяем Yn по формуле. Расчет производим в табличной форме, кривая депрессии представлена на (рис. 3).
Табл. 1.9.Координаты кривой депрессии
| Xn | 5 | 10 | 20 | 30 | 40 | 45 | 50 |
| Yn | 6,12 | 4,52 | 2,25 | 0,51 | -0,95 | -1,16 | -2,24 |
По полученным координатам на поперечном профиле плотины строимкривую депрессии (рис. 3).
1.3.2 Фильтрация в теле плотины с экраном на водонепроницаемом основании
При расчёте виртуальным методом экран заданных размеров, выполненный из грунта с коэффициентом фильтрации Кэ , заменяют на эквивалентную в фильтрационном отношении призму с коэффициентом фильтрации Кт .
Порядок расчёта:
1). По формуле (14) находим среднюю толщину экрана δср . :
δср. = (6 + 3) / 2 = 4,5 м
2). Определяем приведённую (виртуальную) толщину эквивалентного экрана:
Lпр.э. = δср. * Кт / (Кэ * sinΘ ) , (21)
где Θ – угол наклона средней линии экрана к основанию плотины.
Кэ = 0,1 м/сут.
Lпр.э. = 4,5 * 0,3 / (0,1 * sin45˚) = 19,0 м
3). Вычисляем приведённую ширину гребня плотины:
b пр.гр = b гр + L пр.э. – δ ср, (22)
bпр.гр = 7 + 19,0 – 4,5 = 21,5 м.
4). Величину L определяем по следующей зависимости:
L = m1 * d + b пр . гр + m2 * (H + d) , (23)
гдеm1 и m2 - коэффициенты заложения верхового и низового откосов:
m1 = ctgΘ, m2 = 2,5;
bпр.гр - ширина гребня плотины:bгр = 7 м;
d – превышение над расчётным уровнем воды:d = 2,96 м.
L = ctg45˚ * 2,96 + 21,5 + 2,5 * (13+ 2,96) = 51,36 м
- ширина эквивалентного профиля плотины по основанию:
, (24)
;
м
Рассчитаем высоту выхода депрессионной кривой на низовой откос над уровнем основания плотины в нижнем бьефе:
м (25)
Строим кривую депрессии по уравнению:
(26)
где: у – ордината кривой депрессии;
Н – глубина воды в верхнем бьефе;
q – расход фильтрационного потока через тело плотины:
(27)
где Кф - коэффициент фильтрации тела плотины. Кф = 0,3 м/сут
![]()
Табл. 2.10.Координаты кривой депрессии
| 5 | 10 | 15 | 20 | 25 | 30 | 35 | 40 | 45 | 50 | |
| 9,52 | 9,02 | 8,49 | 7,92 | 7,31 | 6,64 | 5,90 | 5,05 | 4,03 | 2,64 |
По полученным координатам на поперечном профиле плотины строимкривую депрессии (рис. 4).
1.4 Расчет устойчивости низового откоса
Проверка устойчивости низового откоса плотины осуществляется согласно СНиП 2.06.05–84.
Расчеты устойчивости откосов грунтовых плотин всех классов следует выполнять для круглоцилиндрических поверхностей скольжения. При использовании метода круглоцилиндрических поверхностей скольжения выполняют следующее:
1). Строят область нахождения центров поверхностей скольжения;
2). Проводят круглоцилиндрические поверхности сдвига;
3) . Вычисляют значения коэффициентов устойчивости откоса для множества поверхностей сдвига по формуле:
Куст = R удер. / F сдвиг , (28)
где R удер , F сдвиг - равнодействующие моментов удерживающих сил и сдвигающих сил.
4) .Делают вывод об устойчивости откоса и правильности принятого его заложения. Откос считается устойчивым, если:
Куст Кн * Кс / Км , (29)
где Кн – коэффициент надёжности по классу сооружения, для плотин 3-го класса Кн = 1.15 ;
Кс - коэффициент сочетания нагрузок, для основного сочетания равен 1 ;
Км - коэффициент равный 0.95 .
Для построения области нахождения центра поверхности сдвига предложено несколько методов. Один из наиболее простых метод В.В. Фандеева, в котором рекомендуется центры круглоцилиндрических поверхностей сдвига располагать в криволинейном четырёхугольнике. Этот четырёхугольник образуется следующими линиями, проведёнными из середины откоса: вертикалью и прямой под углом 85˚ к откосу, а также двумя дугами радиусов:
и
, (30)
где К1 и К2 - коэффициенты внутреннего и внешнего радиусов, которые определяются в зависимости от заложения откоса.
При коэффициенте заложения низового откоса m2 = 2.5, К1 = 0,875 и К2 = 2,025
Т. о.: R1 = 0,875 * 15,0 = 13,1 м;R2 = 2,025 * 15,0 = 30,3 м.
Поверхность сдвига на поперечном профиле плотины представляет собой дугу окружности радиуса
, проведённую таким образом, чтобы она пересекала гребень плотины и захватывала часть основания. Проведём окружность радиусом R = 30 м
.
Значение коэффициента устойчивости откоса для кривой сдвига вычисляем для 1 м длины плотины в такой последовательности:
(1) Область, ограниченную кривой сдвига и внешним очертанием плотины (массив обрушения), разбиваем вертикальными прямыми на отсеки. Ширина отсеков равна b . При расчёте «вручную» удобно величину b принимать равной 0,1R , центр нулевого отсека размещать под центром кривой сдвига, а остальные отсеки нумеровать с положительными знаками при расположении их вверх по откосу и с отрицательными – вниз к подошве плотины, считая от нулевого отсека.
(2)
Для каждого отсека вычисляем siną
и cos
ą
, где ą
– угол наклона подошвы отсека к горизонту. При b = 0,1*R
значение siną = 0,1*N
, где N
– порядковый номер отсека с учётом его знака;
.
Рассчитаем величину b :
![]()
Далее считаем величины siną , cos ą и вносим в таблицу 2.2. Порядковый номер N определяем по чертежу (рис. 5).
(3)
Определяем средние высоты составных частей каждого отсека, имеющих различные плотности (рис. 5):
– слоя грунта тела плотины при естественной влажности;
- слоя грунта тела плотины при насыщении водой;
- слоя грунта основания при насыщении водой;
- слоя воды (на рисунке не показан). В качестве средних высот принимаем высоты частей, замеренные по чертежу в середине отсека. При наличии по краям массива обрушения неполных отсеков их эквивалентная средняя высота:![]()
где
- площадь неполного отсека, определяемая графически. (31)
Определим площади неполных отсеков 10 и –7:
ω 10 = 3,75 м2 ; ω -7 = 0,5 м2 .
Отсюда определяем средние высоты отсеков:
h 10 = ω 10 / b = 3,75 / 3,0 = 1,25 м; h -7 = ω -7 / b = 0,5 / 3 = 0,16 м.
(4) Вычисляем плотность грунта каждого слоя по формулам:
;
;
, (32)
где
- плотность грунта тела плотины при естественной влажности;
- плотность грунта тела плотины при насыщении его водой;
- плотность грунта основания при насыщении водой;
- пористость грунта;
- коэффициент, зависящий от влажности грунта – при влажности, равной 12…18%, ![]()
- плотность воды;
- удельная плотность частиц грунта тела плотины;
- удельная плотность частиц грунта основания плотины.
Физико-механические характеристики грунта следует устанавливать по данным натурных исследований, но так как они отсутствуют, то для предварительных расчётов используем данные таблицы 2.1.
Пользуясь таблицей, указанной в исходных данных, вычислим плотность грунта каждого слоя:
![]()
![]()
поскольку в основании залегают те же грунты, из которых состоит тело плотины.Табл. 2.1.Характеристики грунта тела плотины
| Грунт | Удельная плотность частиц, т/м3 |
Пористость |
Удельное сцепление грунта, кПа. |
Угол внутреннего трения грунта, град. |
||
естествен- ной влажности |
насыщен- ного водой |
естествен- ной влажности |
насыщен- ного водой |
|||
| Глина | 2,74 | 0,35…0,50 | 3,0…6,0 | 2,0…3,5 | 20…26 | 12…16 |
| Супесь | 2,70 | 0,3…0,45 | 0,5…1,3 | 0,3…0,5 | 25…30 | 20…23 |
| Суглинок | 2,71 | 0,35…0,45 | 2,0…4,0 | 1,5…3,0 | 21…27 | 15…20 |
(5) Определяем приведённые высоты отсеков:
(33)
где
- глубина слоя воды над отсеком.
Т. к.
и
, то уравнение можно представить в следующем виде:
(34)
Величины
и
определяем графически по рисунку и вносим в таблицу 2.2. В этой же таблице рассчитываем величину ![]()
Табл. 2.2. Определение действующих сил
| Номер отсека |
|
м |
м |
|||||
10 9 8 7 6 5 4 3 2 1 0 -1 -2 -3 -4 -5 -6 -7 |
1,00 0,90 0,80 0,70 0,60 0,50 0,40 0,30 0,20 0,10 0 -0,10 -0,20 -0,30 -0,40 -0,50 -0,60 -0,70 |
0 0,44 0,50 0,71 0,80 0,86 0,92 0,95 0,98 0,99 1,00 0,99 0,98 0,95 0,92 0,86 0,80 0,71 |
3,0 5,0 6,5 7,5 6,6 5,4 4,3 3,1 2,9 2,2 2,0 1,5 1,3 0,8 0,0 0,0 0,0 0,0 |
0,0 5,0 6,5 7,5 8,0 8,3 8,6 9,5 9,7 10,5 10,0 9,5 9,0 8,4 7,0 5,5 3,2 2,5 |
3,0 5,0 7,3 9,5 10,5 11,3 11,0 10,9 9,6 9,2 9,0 8,4 7,5 6,2 4,2 2,9 1,7 1,3 |
2,4 3,5 5,8 7,5 7,8 8,6 8,1 7,3 7,0 6,9 0,0 -0,8 -0,7 -0,8 -0,9 -0,9 -0,7 -0,3 |
30 30 30 25 25 25 22 22 22 22 22 20 20 20 19 18 17 15 |
0,1 1,7 2,7 5,3 5,8 6,1 5,7 5,2 5,1 4,8 4,3 2,4 2,9 2,6 1,8 1,7 0,6 0,7 |
| | 128,7 | 59,8 | 43,9 |
(6) Устанавливаем силу трения, возникающую на подошве всего массива обрушения, по следующей формуле:
(35)
Угол внутреннего трения
зависит от вида грунта и его влажности в зоне кривой сдвига, при отсутствии фактических данных его принимают по таблице 2.1. Значения угла
указаны в таблице 2.2.
Величина
рассчитана для каждого отсека также в таблице 2.2.
Рассчитаем силу трения
:
.
(7) Подобным образом вычислим касательную составляющую веса массива обрушения:
. (36)
Величина
рассчитана в табл. 2.2 (для каждого отсека).
Рассчитываем силу
:
![]()
(8) Определим силу сцепления, возникающую на подошве массива обрушения по следующей зависимости:
(37)
где: с1 - удельное сцепление грунта тела плотины при естественной влажности;
с2 - удельное сцепление грунта тела плотины при насыщении водой;
с3 - удельное сцепление грунта основания, насыщенного водой;
l1 – длина дуги AB;
l2 - длина дуги BC;
l3 - длина дуги CD.
Длины дуг кривой сдвига вычисляются по общей формуле:
(38)
где
– центральный угол круглоцилиндрической поверхности сдвига, опирающийся на дугу l
.
Углы
измеряются по чертежу (рис. 5):
,
,
.
Подставляем измеренные углы в формулу:
;
;
.
Рассчитаем силу сцепления
:
.
(9) Рассчитываем фильтрационную силу:
, (39)
где
- площадь фигуры KBCDE:
. (40)
- средний градиент фильтрационного потока
, (41)
где
- падение депрессионной кривой в пределах массива обрушения;
- расстояние, на котором произошло падение депрессионной кривой на
.
Определяем эти величины по рисунку 5.
,
.
.
Подставим найденные величины в формулу
.
(10) Вычисляем значение коэффициента устойчивости откоса:
, (42)
где
- плечо фильтрационной силы, равное расстоянию от центра кривой сдвига до центра тяжести площади
, которое измеряют по чертежу.
(рис. 5).
Вывод об устойчивости откоса:окончательно можно сделать вывод, что значение, найденное по формуле превышает нормативное, а, значит, обрушение откоса по рассматриваемой поверхности сдвига невозможно.
1.5 Окончательное проектное решение
При проектировании тела плотины в курсовом проекте были выполнены следующие расчёты: определение параметров плотины, фильтрационный расчёт, а также расчёт устойчивости низового откоса методом круглоцилиндрических поверхностей скольжения.
На основании проведённых расчётов окончательно принимаем следующие размеры плотины:
,
,
,
. Кроме того, в основании плотины устраиваем зуб.
В ходе выполнения фильтрационного расчёта было определено положение депрессионной кривой, фильтрационный расход воды через тело плотины, высота выхода фильтрационного потока на низовой откос. По результатам этого расчёта проектируем наслонный дренаж. Эта конструкция наиболее проста, доступна для осмотра и ремонта. Наслонный дренаж выполняют после возведения плотины из 2–3 слоёв обратного фильтра, пригруженного слоем каменной наброски. Он не понижает депрессионную кривую, но, являясь пригрузкой, увеличивает устойчивость низового откоса против обрушения и оплывания.
Для того, чтобы защитить верховой откос земляной плотины от воздействия ветра, льда, течения воды, осадков и других факторов СНиП 2.06.05–84 рекомендует следующие крепления: каменное, бетонное, железобетонное, асфальтобетонное и биологическое.
Выполним крепление верхового откоса железобетонными плитами размером 1,51,5 м и толщиной 0,1 м. В нижней части крепления устраиваем упор в виде бетонного массива.
Низовой откос покрываем слоем растительного грунта толщиной 0,2 м с посевом трав.
2. Водосбросные сооружения при грунтовой плотине
Водосбросслужит для пропуска в нижний бьеф паводковых расходов. Для гидроузлов с глухими плотинами можно привести основные типы водосбросов: открытые (с быстротоком или перепадом); закрытые (трубчатые, туннельные); комбинированные.
По конструкции входной части открытые водосбросы различают на фронтальные, траншейные, полигональные и др. Закрытые водосбросы бывают шахтные, трубчато-ковшовые, туннельные, башенные и др.
По условиям управления водосбросы подразделяются на регулируемые и нерегулируемые.
2.1. Выбор варианта водосброса
Выбор варианта водосброса – это один из наиболее ответственных вопросов проектирования. Тип и конструкция водосброса должны основываться на учёте природных, гидрологических и инженерно-геологических условий района строительства, а также эксплуатации проектируемых сооружений.
На практике оптимальный вариант принимают на основе технико-экономического сравнения различных вариантов. Около 75% построенных сооружений для наиболее вероятных условий низконапорных водохранилищных гидроузлов запроектированы по типовым проектам.
Однако целью данного курсового проекта является самостоятельный выбор типа и конструкции водосброса, а также расчёт его оптимальных размеров.
Исходя из особенностей рельефа (рис. 1), наиболее выгодно конструировать открытый береговой водосброс.
В расчёт берегового водосброса входит определение размеров входного оголовка на пропуск максимального расхода, а также определение размеров водопропускного тракта сооружения и устройств нижнего бьефа сооружения.
Этот расчёт мы будем рассматривать далее.
2.2 Гидравлический расчёт сооружения
2.2.1 Расчёт входного оголовка водослива
Проектируем береговой водосброс с полигональным входным оголовком.
Рассчитаем ширину каждой грани оголовка. Для этого определим его периметр:
(43)
где m – коэффициент расхода водослива, который определяется по формуле Ребока:
, (44)
где Н – напор над оголовком. Н = 0,4 м.
Р – высота входного оголовка. Р = 1,5 м.
Подставим эти значения в формулу (44):
.
В формуле (43) σ – коэффициент сжатия потока, который определяется для водосбросов с фронтальным входным оголовком по формуле Базена:
, (45)
где z – перепад уровней. z = Н0
Однако в случае водосброса с полигональным входным оголовком значение σ принимается равным 1.
Н0 – напор над оголовком водослива с учётом скорости подхода:
, (46)
В данной формуле величину
для предварительных расчётов можно принять равной 2% от
, т.е.
.
.
Далее определяем периметр входного оголовка водослива:
.
Принимаем 5 граней: 4 шириной по 7 м, и одна – 3.5 м.
2.2.2 Расчёт водопропускной части водослива
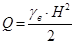
1) Начнём расчёт водопропускной части водослива с определения ширины водопропускного тракта на пропуск расхода, который вошёл в оголовок водослива.
Задаём предварительно
.
Перепад уровней во входном оголовке определяется по зависимости
, (47)
где
- критическая глубина потока во входном оголовке
, (48)
где
- коэффициент Кориолиса
.
.
Подставляя значения в формулу (47), определяем перепад уровней
.
2) Рассчитаем глубину воды на входе в водопропускной тракт водосбросного сооружения:
, (49)
где
- коэффициент бокового сжатия.
.
- коэффициент скорости.
.
.
3) Рассчитаем вероятную глубину воды на водопропускном тракте:
, (50)
![]()
где
- разность бьефов (51)
, (52)
– скорость движения воды на водопропускном тракте.
.
.
.
4) Т. к. мы не можем утверждать, что найденная глубина – это действительная глубина на водопропускном тракте, то необходимо её проверить, рассчитав кривую спада. Уравнение кривой свободной поверхности определяется по формуле Ларькова
, (53)
Величина A определяется по следующей формуле:
, (54)
где
- угол наклона водосброса к горизонтальной плоскости.
.
- приведённый коэффициент расхода:
, (55)
- приведённый напор:
. (56)
Подставляем найденные величины
и
в формулу:
![]()
Далее определяем значение
:
Таким образом, глубина воды в конце водопропускного тракта
. Отсюда следует, что к концу водоспуска глубина уменьшается и образуется кривая спада.
Назначаем высоту стенок водопропускного тракта с учётом сухого запаса
, т.е. глубина канала в начале
, а в конце -
. Или, округляя до стандартных величин, получим:
,
.
Определим среднюю глубину воды на водопропускном тракте:
.
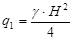
5) Рассчитаем расход, который может пропустить водопропускной тракт, по следующей зависимости
. (57)
.
Для проверки рассчитаем расход по формуле Шези:
, (58)
где
- коэффициент Шези, определяемый по формуле
, (59)
где
- коэффициент шероховатости бетона.
-гидравлический радиус:
![]()
Отсюда определяем коэффициент Шези:
![]()
ω – площадь поперечного сечения канала:
i – уклон дна водопропускного тракта
. (62)
Подставляем все найденные значения в формулу:
.
Рассчитанный расход превышает заданное значение, однако превышает на допустимую величину. Таким образом, окончательно принимаем ширину канала равной 2 м.
6) Рассчитаем скорость воды на водопропускном тракте:
, (63)
7)
Т. к. полученное значение скорости превышает
, то необходимо установить устойчивость потока. В случае если поток неустойчив, необходимо устраивать искусственную шероховатость для того, чтобы погасить энергию потока и стабилизировать его.
Поток устойчив в случае, когда
, где
- число Фруда:
, (64)
- критическое значение числа Фруда:
, (65)
Рассчитаем эти параметры для значения
:
;
.
, следовательно, поток неустойчив, и его необходимо стабилизировать с помощью искусственной шероховатости.
Теперь нужно рассчитать, в каком месте водопропускного тракта её устанавливать. Для этого определим
и
для разных глубин.
При ![]()
;
.
При![]()
;
.
При ![]()
;
.
Таким образом, искусственную шероховатость нужно начать устанавливать в том месте, где глубина воды превышает
.
8) Рассчитаем высоту выступов искусственной шероховатости по следующей зависимости:
, (66)
где
- глубина воды в том месте, где начинают устанавливать искусственную шероховатость.
.
- гидравлический радиус
.
- скорость потока
. (67)

2.3 Окончательное проектное решение
Наиболее оптимальным водосбросным сооружением для данного проекта является береговой открытый водосброс. Проектируем его с полигональным входным оголовком.
В расчётах, приведённых выше, были определены размеры водосброса. Так, 5 граней входного оголовка равны: 4 шириной по 7 м, и одна – 3.5 м, ширина водопропускного тракта составляет 2 м. На самом водопропускном тракте установлена искусственная шероховатость для того, чтобы погасить энергию потока и стабилизировать его.
В нижнем бьефе устанавливается водобойная плита для предотвращения его размыва. За водобоем устанавливаем рисберму, после которой вода попадает в канал, соединяющий её с рекой.
3. Бетонная плотина
Одним из наиболее распространенных типов водосливных плотин являются бетонные, как наиболее простые по конструкции.
Основной отличительной особенностью водосливных бетонных плотин, возводимых на не скальных основаниях, является геометрическая форма, в основу которой положен рациональный треугольный профиль с наклонными гранями.
Бетонные водосливные плотины относятся к гравитационным гидротехническим сооружениям, устойчивость которых обеспечивается за счет их массы и сил трения. Материалом для плотин служит в основном бетон и железобетон.
Достоинства бетонных плотин заключается в простоте конструкции; возможности широкой механизации строительных работ; надежности конструкции в различных климатических условиях; возможности применения невысоких по прочности и стоимости марок бетона; недостатки – относительно большие удельные объемы бетона, неполное использование прочностных его свойств, неравномерное распределение напряжений в основании сооружения, неблагоприятное влияние внешних температурных колебаний и термического режима.
Для снижения указанных недостатков на низконапорных гидроузлах применяют плотины облегченной конструкции – с консолью, ячеистые, контрфорсные, решетчатые с вакуумно-безвакуумным профилем, плотины из мягких материалов и др. [4]
3.1 Проектирование тела бетонной плотины
Профиль водосливной плотины принимают с учетом её конструкции и высоты порога (высота напора воды 1 м). Плотины с порогом средней высоты имеют криволинейный профиль, которому придают очертания траектории свободного падения струи. Профили таких плотин строят по координатам Кригера – Офицерова [3]. Значение координат безвакуумного профиля вычисляют путем умножения координат, предложенных Кригером – Офицеровым на проектный напор: X=XH; Y=YH, значения Х и Y даны в таблице (2.3.).
Табл. 2.3.Значение координат х и у
| х | у | х | У | х | У | х | у |
| 0,0 | 0,126 | 1,1 | 0,321 | 2,2 | 1,508 | 3,3 | 3,405 |
| 0,1 | 0,036 | 1,2 | 0,394 | 2,3 | 1,653 | 3,4 | 3,609 |
| 0,2 | 0,007 | 1,3 | 0,475 | 2,4 | 1,894 | 3,5 | 3,818 |
| 0,3 | 0,000 | 1,4 | 0,564 | 2,5 | 1,960 | 3,6 | 4,031 |
| 0,4 | 0,006 | 1,5 | 0,661 | 2,6 | 2,122 | 3,7 | 4,249 |
| 0,5 | 0,027 | 1,6 | 0,764 | 2,7 | 2,289 | 3,8 | 4,471 |
| 0,6 | 0,060 | 1,7 | 0,873 | 2,8 | 2,462 | 3,9 | 4,698 |
| 0,7 | 0,100 | 1,8 | 0,987 | 2,9 | 2,640 | 4,0 | 4,930 |
| 0,8 | 0,146 | 1,9 | 1,108 | 3,0 | 2,824 | 4,5 | 6,220 |
| 0,9 | 0,198 | 2,0 | 1,235 | 3,1 | 3,013 | ||
| 1,0 | 0,256 | 2,1 | 1,369 | 3,2 | 3,207 |
Сопряжение сливной грани с водобоем осуществляется при помощи криволинейной вставки радиусом R = 0.5 *(Н + z),
R = 0.5 * (1 + 13) = 7,0 м.
uде Н – высота напора, равная 1 м,
z = 13 м (отметка НПУ).
3.2 Расчет пропускной способности
Пропускная способность водосливного фронта плотины должна быть такова, чтобы максимальный расчётный расход воды в реке
прошёл через неё в другие сооружения при напоре
, соответствующем этому расходу
.
Чтобы определить пропускную способность плотины, рассчитаем ширину водосливного фронта:
,
где
– коэффициент, учитывающий форму водослива и скорость подхода.
Н – напор на гребне водослива равный 1 м.
Определяется по специальному графику в зависимости от коэффициентов
и
.
– коэффициент расхода. Величина
изменяется в широких пределах и зависит от величины напора на водосливе, а также от очертания оголовка водослива. Для принятого расчётного профиля водосливной плотины коэффициент расхода принимается равным 0,48.
– коэффициент бокового сжатия. Его величина определяется по формуле Замарина:
,
где
– коэффициент, зависящий от формы быков. Для кругового очертания оголовка быка
=0,7.
– число боковых сжатий;
– ширина одного пролёта.

При 4 пролётах b = 2,7 м:
![]()

Вакт. ср. = (10,8 + 8,4) / 2 = 9,6 м. При 4 пролётах b = 2,4 м.
Водосливные отверстия отделены друг от друга быками, служащими опорами для затворов, перекрывающих отверстия. Примем ширину быка равной 0,7 м.
Встроит. = 2,4 * 4 + 3 * 0,7 = 11,7 м.
3.3 Устройства нижнего бьефа водосливной плотины
Устройства нижнего бьефа водосливной плотины состоят из: водобоя с гасителями энергии; рисбермы, на которой происходит успокоение потока.
Водобой чаще всего устраивается в виде горизонтальной (а иногда и слегка наклонной) бетонной плиты – плоской или, как в данном проекте, в форме водобойного колодца. Водобойный колодец представляет собой углубление в грунте основания за плотиной. Бетон водобоя должен хорошо сопротивляться истирающему действию потока, движущемуся здесь с большими скоростями.
Определим глубину и длину водобойного колодца. Для этого расчитаем удельный расход
:
![]()
Определим глубину в сжатом сечении
по зависимости:
.
1,9 = 0,95
.
Решая это уравнение, определим сжатую глубину:
.
Определим раздельную глубину
по формуле:
.
Глубина воды в нижнем бьефе
. Назначаем
.
Зная, что
,
можем определить глубину колодца
:
,
где
– глубина воды на рисберме.
– перепад на выходе из колодца, который определяется по следующей зависимости:
.
.
Т.к. эта величина очень мала, то при расчёте ею можно пренебречь.
При глубине воды на рисберме t= 0,8 м:
.
Определим длину водобойного колодца по формуле:
.
![]()
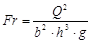
3.4 Пространственный гидравлический прыжок за водосливной плотиной
Для плотины с решётчатым водосливом и камерой гасителем характерен смешанный поверхностно-донный устойчивый режим сопряжения потока с нижним бьефом. При этом образуется пространственный гидравлический прыжок. Для затопления бурного потока в пространственных условиях необходимо обеспечить в нижнем бьефе определённую глубину, равную или большую рассчитанной по формуле:

где h0 – глубина воды на носке-трамплине водосливной плотины при выходе на водобой;
Fr – число Фруда:
![]()
β – относительная ширина русла на рисберме:
β = Вр / В,
где В- ширина водосливного фронта плотины;
Вр – ширина рисбермы: Вр = Q / qр ,
где qр – удельный расход на рисберме: qр = 1,7 * V * h1,2 р ,
V = 0,7 м/с – неразмывающая скорость,
hр – глубина потока на рисберме (1…2 м)
Вр = 16 / (1,7 * 0,7 * 11,2 ) = 13,4 м;
Fr = 162 / (13,42 * 0,43 * 9,81) = 2,27;
Fr > Frкр (Frкр = 12,71 ).

3.5 Устойчивость бетонной плотины
На практике расчёт устойчивости плотины ведут приближённым способом, предполагая, что грунт под плотиной перемещается вместе с ней, как бы сдвигаясь по некоторой криволинейной поверхности, принимаемой круговой.
Пусть на плотину и выделенный круговой сегмент грунта основания AОB действуют следующие силы.
1) Равнодействующая всех вертикальных сил
, переносимая по линии её действия до встречи с дугой сегмента и раскладываемая на составляющие: радиальную
и касательную ![]()
;
,
где
- вес плотины
,
- площадь поперечного сечения плотины, которая определяется по рис.
.
– объёмный вес бетона.
.
- угол между направлением силы
и вертикальной прямой, замеряемый по чертежу.
Рассчитаем составляющие равнодействующей вертикальных сил ![]()
;
.
2) Равнодействующая всех горизонтальных сил
, перенесённая в плоскость подошвы, с составляющими
;
,
где
- сила гидростатического давления
,
– объёмный вес воды.
.
– глубина воды перед плотиной.
.
– угол между направлением силы
и вертикальной прямой, замеряемый по чертежу.
Рассчитываем составляющие равнодействующей вертикальных сил ![]()
;
.
3) Вес сегмента грунта
,
где
– объёмный вес грунта (взвешенного в воде).
.
– угол АОВ, замеряемый по чертежу.
.
– радиус кругового сегмента грунта основания.
.
.
4) Фильтрационное давление в основании ![]()
,
где
- площадь сегмента AOB:
.
- градиент напора фильтрационного потока
,
где
- падение напора.
1
= 2,7 м;
.
2
= 1,5 м
- длина дуги.
1
= 4 м;
2
= 13 м
I1 = 2,7 / 4 = 0,67 м ; I2 = 1,5 / 13 = 0,11 м
I1 > I2
1
= 137,4 * 1 *0,67 = 92,05 т
;
2
= 137,4 * 1 * 0,11 = 15,11 т
5) Силы трения
в грунте, действующие нормально к направлениям сил
,
и
(по касательным к дуге сегмента) и равные соответственно:
,
,
.
где
- угол внутреннего трения грунта.
.
;
;
.
6) Сила сцепления между частицами грунта
,
где
- длина кривой АВ с радиусом R и центральным углом
.
.
– удельное сцепление грунта.
.
.
Далее рассчитываем коэффициент устойчивости
, представляющий собой отношение моментов относительно центра кривой сегмента АОВ сил, сопротивляющихся сдвигу, к моменту сил, сдвигающих массив грунта:
.
.
![]()
Отсюда можно сделать вывод, что сдвиг плотины по рассматриваемой поверхности сдвига невозможен, т. к. значение
превышает минимальное допустимое
.
3.6 Окончательное проектное решение
При проектировании тела бетонной плотины были определены следующие её параметры: высота плотины
, ширина каждого из четырёх пролётов водосливной грани
, толщина быков
.
Водосливная грань плотины сопрягается с нижним бьефом с помощью водобойного колодца, глубина которого
и длина
. За водобойным колодцем устанавливаем рисберму, после которой вода попадает в канал, соединяющий её с рекой.
Бетонная плотина смыкается с телом грунтовой плотины при помощи подпорных стенок. Для обеспечения устойчивости стенок на сдвиг устраиваем фундаментную подушку в сторону берега. Конструируем подпорные стенки из железобетона.
4. Конструирование плоского затвора
Из всего многообразия видов поверхностных затворов выбираем плоские затворы, которые представляют собой плоскую ригельную конструкцию, поступательно перемещающуюся в пазах на скользящих или колесных опорах и передающую давление воды на быки. Воду пропускают с одной стороны от подвижной конструкции – из – под затвора. Плоскими затворами перекрывают отверстия пролетом до 30 – 40 м при напоре до 12 –15 м.
4.1 Описание конструкций затвора
У небольших плоских затворов, устанавливаемых на сетевых сооружениях и в составе затворов мостовых и с поворотными фермами, пролетные строения выполняют по типовым проектам из стального 6‑мм листа с подкреплением уголками и полосами и из шпунтованных досок на шпонках. Специальных уплотнений и опорно-ходовых частей эти затворы не имеют. У крупных затворов пролетные строения содержат более или менее явно выраженные элементы: ригели, обшивку, балочную клетку, диафрагмы, опорно-концевые стойки, подъемно – весовые фермы.
Ригели работают как статически определимые двухопорные балки. Высота их определяется: 1) допустимым относительным прогибом в пролете (1/1000 для затворов с верхним горизонтальным уплотнением, 1/600 для прочих основных затворов, 1/500 для аварийных, 1/400 для ремонтных затворов); 2) допустимыми нормальными напряжениями от изгиба в поясах ригелей посередине пролета; 3) допустимыми касательными напряжениями от перерезывающих сил в стенках ригелей у опор. У большепролетных поверхностных затворов высота ригелей лимитируется чаще всего первым условием и составляет 1/7 – 1/9 пролета. У опор она может быть уменьшена на 40 – 60% с ориентацией на третье условие.
Ригели конструируют по общим правилам проектирования металлических конструкций. В последнее время предпочитают сплошноступенчатые ригели и ригели из прокатных профилей. Они технологичнее, обеспечивают высокую живучесть при случайных повреждениях, большую устойчивость и выносливость конструкции, их легче очищать и защищать от коррозии. Ригели – фермы применяют лишь для поверхностных затворов очень большого пролета (более 20 м). В сплошноступенчатых конструкциях обязательно устройство отверстий в стенках для стока воды.
Основное правило расположения ригелей по высоте – их равнонагруженность. В связи с этим у поверхностных затворов (имеющих обычно два ригеля) их располагают в нижней части на равном расстоянии от точки приложения равнодействующей сил давления воды. У низконапорных глубинных затворов неравномерность расстановки ригелей менее заметна. У средне- и высоконапорных глубинных затворов ригели расставляют равномерно. Расстояние между их растянутыми поясами принимают не менее 450 – 500 мм из условия возможности ведения сварки, очистки и окраски.
Обшивку поверхностных затворов выполняют из листовой стали толщиной 8 – 20 мм, глубинных – 10 – 60 мм. При шаге ригелей более 50 – 60 мм толщин обшивки ее подкрепляют балочной клеткой из стоек и обрешетин, передающих нагрузку на ригели и обеспечивающих устойчивость обшивки. Обычно необходимость в таком подкреплении возникает у поверхностных затворов. Стойки могут быть разрезными на ригелях или неразрезными.
4.2 Расчетно-графическая схема
Высота перекрываемого отверстия
м, тогда высота затвора принимается с учетом сухого запаса
м,
м, а ширина перекрываемого отверстия ℓ = 3,0 м. Расчетный пролет затвора определяется как L= ℓ + (0,2…0,25) = 3,0+ 0,2 = 3,2 м.
Принимаем двухригельный колесный металлический затвор как наиболее экономичный и широко распространенный из-за простоты конструкции, точности передачи давления воды на опорно-ходовые части и легкости изготовления. В двухригельных затворах ригели располагаем на равных расстояниях от направления равнодействующей гидростатического давления. При соблюдении этого условия ригели получаются одинакового сечения.
Расчет ригелей ведём на равномерно распределённую нагрузку на 1 м длины при учете силы гидростатического давления воды и силы собственного веса ригеля по формуле:
, т
где Н – напор воды, Н = 1 м ;
– удельный вес воды принимаем равной 1т;
q1 – равномерно распределенная нагрузка на 1 м длины.
![]()
Для ригелей используем прокатные профили двутаврового сечения. Принимаем предварительно двутавр №12. По таблице сортамента прокатных профилей определяем параметры двутавра: площадь поперечного сечения
; вес 1 п. м
; момент сопротивления
; момент инерции
; толщина стенки
.
Собственный вес 1 п. м ригеля
.
Отсюда можно определить суммарную нагрузку:
.
Максимальный изгибающий момент:
,
где
- расчётный пролёт затвора.
![]()
Высоту ригеля определим по формуле:
,
где
т/м2
– расчетное напряжение для стали.
Получаем высоту ригеля:
,
что соответствует предварительно принятой высоте ригеля из двутавра №12.
Далее подобранное сечение ригеля проверяем на прогиб. Прогиб ригеля определяем по формуле:
,
где
- сопротивление прогибу.
.
.
Рассчитаем относительный прогиб
:
.
Полученная величина не должна превышать нормативного значения:
.
Условие выполнено, т. к. рассчитанное значение не превышает нормативное.
Таким образом, окончательно можно принять прокатный профиль двутаврового сечения №12.
4.3 Окончательное проектное решение
На основании проведённых выше расчётов окончательно проектируем колёсный металлический затвор.
Ригели выполнены из прокатных профилей двутаврового сечения. Поперечные и опорные балки также запроектированы из проката двутаврового сечения, но на два порядка меньше профиля ригелей.
Нижняя и верхняя обвязки выполнены из швеллера, поперечные и продольные связи – из уголка, на порядок меньше швеллера.
Кроме этого, поверх каркаса затвора выполнена обшивка из металлических листов толщиной 6 мм.
В результате расчётов были вычислены размеры затвора:
,
.
Графическим способом определили положение ригелей в затворе (рис.).
Заключение
В данном проекте был последовательно решен комплекс вопросов по обоснованию необходимости, экономической и технической возможности сооружений. Разработано несколько вариантов конструкций и компоновок сооружений с последующей детальной разработкой.
При помощи справочно-методической литературы произведен расчет высоты гребня грунтовой плотины, устойчивости откоса грунтовой плотины, устойчивости бетонной плотины. Также выбран башенный водосброс для заданного рельефа и произведены соответствующие расчеты. Исходя из относительной дешевизны и простоты конструкции были выбраны плоские двухригельные затворы, произведены требуемые расчеты.
Список используемой литературы
1. Курсовое и дипломное проектирование по гидротехническим сооружениям. В.С. Лапшенков, М. Агропромиздат.: 1989 г.
2. Гидротехнические сооружения. Под ред. Н.П. Розанова, М. Стройиздат.: 1978 г.
3. Справочник по гидравлическим расчетам. П.Г. Киселев, М. – Л.: Госэнергоиздат.: 1961 г.
4. Гришин М.М. Гидротехнические сооружения. – М.: Энергия, 1968.-343 с.
5.Волков И.М., Кононенко П.Ф., Федичкин И.К. Гидротехнические сооружения. – М.: Колос, 1968. – 465 с.
Похожие рефераты:
Прогнозирование последствий чрезвычайных ситуаций на гидротехнических сооружениях Павловской ГЭС
Проектирование наливной плотины СПК "Новый рассвет" Бахчисарайского р-на АРК
Гидроузел с плотиной из грунтовых материалов
Восстановление гидросистемы "Польского сада" усадьбы Г.Р. Державина
Производство бетонных работ при строительстве гидротехниче-ских сооружений
Технология строительного производства
Водохранилищный гидроузел с грунтовой плотиной на реке Тура Свердловской области
Мелиорация лесосплавного пути и гидротехнических сооружений
Проект инженерно-геологических изысканий для застройки второй очереди МКР "Каштак"
Проектирование 9-этажного дома
Основные физико-механические свойства горных пород, необходимые для проектирования и строительства
Гидротехнические морские и речные транспортные сооружения
Разработка проекта производства работ (ППР) на возведение здания