| Похожие рефераты | Скачать .docx |
Реферат: Перекладка двухниточного газопровода на переходе через реку Москва в районе города Жуковский методом наклонно-направленного бурения
МИНИСТЕРСТВО ТРАНСПОРТА РОССИЙСКОЙ ФЕДЕРАЦИИ
МОСКОВСКАЯ ГОСУДАРСТВЕННАЯ АКАДЕМИЯ ВОДНОГО ТРАНСПОРТА
Кафедра «Водные пути, порты и электрооборудование»
| «К защите» Заведующий кафедрой ____________________ В. Д. Костюков дата _______ |
ДИПЛОМНЫЙ ПРОЕКТ
ПЕРЕКЛАДКА ДВУХНИТОЧНОГО ГАЗОПРОВОДА НА ПЕРЕХОДЕ ЧЕРЕЗ р. МОСКВА В РАЙОНЕ г. ЖУКОВСКИЙ МЕТОДОМ НАКЛОННО-НАПРАВЛЕННОГО БУРЕНИЯ.
Пояснительная записка
| Дипломник |
Р. К. Муравьёв |
|
| Руководитель(и) дипломного проекта |
к. г. н. |
А.Р. Белоусов |
| Консультанты: |
доцент |
А. Ю. Володина |
| И. В. Костин |
||
| М. А. Цветков |
||
| Е.А.Корчагин |
||
| Нормоконтролер |
И. В. Костин |
|
2001
Содержание.
Стр.
1.Введение. 3
2.Технико экономическое обоснование 4
3 Геологические характеристики участка реки. 7
4 Гидрологические характеристики участка реки. 14
5 Технология и механизация строительных работ. 21
6 Расчётная часть. 29
7 Расчёт системы подачи воды к бурильной установке ,подбор оборудования. 75
8 Организация строительных работ. 77
9 Охрана труда. 83
10 Стоимость строительных работ. 84
11 Заключение . 85
12 Список литературы. 86
1.Введение.
КРАТКОЕ ОПИСАНИЕ УЧАСТКА ПОДВОДНОГО ПЕРЕХОДА.
Подводный переход газопроводов черев р.Москва расположен в Раменском районе Московской области, на 102,3 км судового мода по Лоцманской карте р.Москва от п.Рублево до устья (изд. 1991 г.), в 3 км ниже по течении? от устья р.Пехорка, северо-западнее Н.П.Кульково.
Подводный переход газопроводов расположен на участке реки, находящемся в подпоре от Софьинского гидроузла.
На участке перехода р.Москва протекает в естественных берегах. Ширина русла реки по зеркалу воды при НПУ верхнего бьеФа г/у Софьино составляет 115-125 м. При этом глубина воды достигает 6,0-6,5 м.
Ситуационный план показан на листе 1.
Характерные уровни воды для участка подводного перехода показаны в таблице 2.1.
Таблица 2.1.
| Наименование |
Отметка,м Б.С |
| 1. НПУ верхнего бьеФа г/у "Софьино" |
109,20 |
| 2. Максимальные уровни весеннего половодья |
|
| обеспеченностью 1% |
114,10 |
| 10% |
113,50 |
| 3. Минимальный навигационный уровень |
109,00 |
Русло реки и левый берег сложены в основном песчаными грунтами мощностью 5-10 м, подстилаемыми коренной глиной полутвердой. Правый берег сложен в основном суглинком мягкопластичным мощностью до 7 м, подстилаемым песчаными грунтами. Оба берега ровные с отметками поверхности земли 113,00—114,00 м, заняты под пашню.
На обоих берегах имеются подъездные грунтовые дороги.
Грунтовые воды имеют прямую гидравлическую связь с р.Москвой и отмечены на отметках от 109,20 м до 110,00 м.
Основные значения физико-механических характеристик показаны в таблице 2.2
2.ТЕХНИКО –ЭКОНОМИЧЕСКОЕ ОБОСНОВАНИЕ.
Рабочий проект перекладки 2-х ниточного стального газопровода Р=12 кг/см2, d = 219 мм через р. Москва в р-не г. Жуковский М. О .
При разработке проекта использованы материалы инженерных изысканий, выполненных ОАО "Гипроречтранс" в 2000 г. (apx.N 82491) и в 1973 г. (арх. N 49742). Рабочее давление в газопроводах 0,6 Мпа.
Данную работу можно выполнить 2-мя способами:
1.Способом прокладки трубы через реку в траншее.
2.Методом наклонно-направленного бурения.
Способы будем сравнивать по критериям:
1.Производство работ.
2.Стоимость работ.
3.Экология.
Рассмотрим первый способ.
1.Способ прокладки газопровода через реку производится по так:
Заготавливается труба нужного диаметра ,под неё разрабатывают траншею,
На берегу экскаватором ,под водой, землесосом и ближе к берегу гидромонитором с рыхлителем, это обусловлено наличием суглинка в грунтах. Далее монтируют анкерующее устройство для лебёдки и протаскивают заготовленную трубу по траншее с помощью лебёдки , монтируют с береговыми участками трубы, производят все испытания . Затем приступают к засыпке трубы как на берегу так и под водой. Под водой потом грунты укрепляются от дальнейшего размыва.
На берегу, после засыпки грунтом трубы, делают берегоукрепления для предотвращения дальнейшего размыва берегов.
2.Стоимость работ выполненных данным методом составляет 309.525$
в стоимость работ включено:
-строительные материалы;
-амортизация машин и механизмов;
-стоимость рабочей силы;
-проектные работы;
-косвенные затраты;
-мобилизация , демобилизация;
-страхование;
-налог на прибыль;
-НДС;
Так же необходимо учитывать:
- сроки проведения работ ,они составляют 1 год.
Во время провединия работ приходиться перекрывать русло реки,что приводит к потерям денег эксплуатационных служб,что естественно при невозможности навигации на данном участке реки.
-Со временем необходимо будет производить текущий ремонт и капитальный ремонт берегоукреплений и дна реки ,это так называемые эксплуатационные расходы.
В среднем ремонтные работы и колеблятся в интервале 20-40% от стоимости первоначального строительства.
3. При производстве работ траншейным способом очень сильно страдает экология. При проведении работ поднимется мутность в реке посредством работы землесосом, и как следствие ниже по реке образуются отложения наносов, что может затруднить навигацию на этом участке реки. Так же мутность отрицательно влияет на подводную флору и фауну и др.
Метод наклонно –направленного бурения:
1.Суть укладки трубопровода способом ННБ состоит в том, что в намеченном створе перехода с помощью специального бурового оборудования пробуривается скважина, через которую протаскивается смонтированная и испытанная плеть рабочего трубопровода. Далее
Труба стыкуется на берегу с трубами проложенными в траншею, испытывают на прочность и герметичность и засыпают их.
На данном участке газопровода потребное давление в трубе 6 Мпа,
Что допустимо для полиэтиленовой трубы.
2.Стоимость работ методом наклонно-направленного бурения
составляет 412 т.$.в стоимость работ включено:
-строительные материалы;
-амортизация машин и механизмов;
-cтоимость рабочей силы;
-проектные работы;
-косвенные затраты;
-мобилизация , демобилизация;
-страхование;
-налог на прибыль;
-НДС;
Так же необходимо учитывать:
-сроки строительства 45 дней.
-строительство производится без ограничения навигации.
-в дальнейшем крайне низкие эксплуатационные расходы .
3.При проведении работ методом наклонно направленным бурением
экологический ущерб аква системе не причиняется .
Из данного сравнения делаю вывод:
Что метод ННБ наиболее выгоден несмотря на кап. вложения так как метод дорог ещё потому что не имеет обширного применения и затраты на амортизацию буровых установок велики и ещё влияет на стоимость проекта высокая стоимость бентонита, так он иностранного производства.
Данный метод отвечает требованиям соблюдения экологической безопасности при производстве работ и соответствует прогрессу человечества. Так же хочется отметить низкие эксплуатационные расходы.
И можно с уверенностью сказать что данный переход прослужит все 50 лет на которые он запроектирован. Так как полиэтиленовая труба не боится агрессивной водной среды.
График сравнения стоимости строительных работ вариантов строительства представлен на листе 2.
Проектом предусматривается прокладка двух новых ниток газопровода (основные и резервные) из полиэтиленовых труб на переходе через р.Москва, предназначаемых для замены существующих двух стальных ниток газопровода d = 219 мм.
Прокладка новых газопроводов на русловом участке перехода предусматривается бестраншейным способом — способом наклонно-направленного бурения (ННБ).
Строительство новых газопроводов на переходе через р.Москва вызвано необходимостью замены существующих газопроводов, исчерпавших свои ресурсы (срок эксплуатации 33 года) и находящихся в размытом состоянии.
Рабочее давление в газопроводах 0,6 МПа. Проектная документация на строительство газопроводов из полиэтиленовых труб разработана в соответствии с требованиями СНиП 2.04.08-87* "Газоснабжение", СП 42-101-96 "Проектирование и строительство газопроводов из полиэтиленовых труб диаметром до 300 мм".
Для монтажа газопроводов разрешается использовать трубы ПЗ 100 SDR 9 по ТУ 2248-048-00203536-2000, имеющие сертификат качества завода-изготовителя.
Соединения полиэтиленовых труб <между собой выполняется сваркой нагретым инструментом "встык".
Сварку полиэтиленовых труб следует производить при температуре окружающего воздуха от –15 0 до +400 C.
Соединения полиэтиленовых труб со стальными предусматриваются неразъемными усиленного типа.
Для подземных газопроводов из полиэтиленовых труб на подводном переходе компенсирующих устройств и дополнительной балластировки не требуется.
Настоящий отчет составлен на основании результатов проведения комплекса инженерно-геодезических, инженерно-геологических и геофизических работ, состав и объемы которых приводятся в соответствующих разделах.
При написании отчета использованы архивные материалы изысканий ОАО "Гипроречтранс" (отчеты арх. №№ 49637, 56773).
3. ИНЖЕНЕРНО-ГЕОЛОГИЧЕСКИЕ ИЗЫСКАНИЯ.
3.1. Общие сведения
Инженерно-геологические изыскания на участке перехода 2-х ниточного стального газопровода через р. Москву в районе г. Жуковского выполнялись на основании особенности прокладки трубопровода методом наклонного бурения. В связи с чем максимальные глубины выработок на разбуриваемом профиле расположенном между 2-мя проектируемыми створами, составляет 15-20 м (в русловой и 200-250 метровой приурезной береговой полосе); скважины глубиной 5 м оконтуривают участок на расстоянии 300-350 м от уреза. Объем буровых работ составил 110 п.м., в том числе 30 п.м. - в пределах русла.
Лабораторные испытания образцов всех разновидностей грунтов проводились в соответствии с нормативными документами.
3.2. Геолого-геоморфологическое строение, гидрогеологические условия участка
Исследуемый участок в геоморфологическом отношении приурочен к долине р. Москвы, сформировавшейся в позднем плейстоцене-голоцене на поверхности флювиогляциальной равнины, отложения которой датированы средним плейстоценом. Из структур речной долины исследовались левобережная и правобережная высокие поймы и русловая часть. Поверхность поймы на обоих берегах участков относительно ровная, лишь местами осложнена микроформами рельефа техногенного генезиса - ямами, рытвинами.
Поверхность левобережной поймы, лишь вблизи берега поросшая кустарником (на общем фоне луговой растительности), относительно полого погружается к береговой линии. В отличие от противоположного берега, круто обрывающегося к воде: высота бровки над Урезом (при Г.В. 109,28-м на 7.09.2000) составляет порядка 3 м.
Ширина русла в "нижнем" и "верхнем" створах на момент изысканий составляла соответственно 250 и 235 м.
Профиль русловой части имеет асимметричное строение: максимальные глубины смещены в сторону подмываемого правобережья.
В геологическом отношении грунтовый массив имеет классический для Москвы и Подмосковья разрез речной долины: на размытой поверхности юрских отложений залегают ледниковые толщи, погребенные, в свою очередь, под аллювиальными напластованиями. Учитывая однородность литологического состава руслового аллювия и флювиогляциальных отложений, провести между ними четкую границу не представляется возможным, в связи с чем целесообразно объединение разногенезисных четвертичных образований в единый геолого-генетический комплекс.
Таким образом, в разрезе грунтового массива до глубины исследования 20,0 м выделяется 2 основных геолого-генетических комплекса :
- аллювиально-флювиогляциальный, мощностью 10-13 м на береговых участках, и 6-11 м - в пределах русла. Разрез отложений по литологическим особенностям имеет 2-х ярусное строение: верхний, глинистый горизонт мощностью 1,2-8,6 м, присутствующий лишь на пойменных участках и выклинивающийся на левобережье, представляет собой собственно аллювий, пойменную его фацию.
Нижележащие разнозернистые пески смешанного генезиса (а именно русловой фации аллювия и флювиогляциальные) образуют единый горизонт мощностью от 5-6 м в русловой части до 7,5-11 м на пойме. Закономерным для всего разреза является увеличение крупности песков с глубиной.
В русле песчаные толщи ожидаемо перекрыты слоем ила в пределах левобережной части склона. Мощность глинистых образований весьма мала - не превышает 0,2 м;
- юрский, представленный глинами с линзами песков. По данным гидрогеологической съемки, проведенной в Раменском районе в 1956 г., мощность юрских отложений, залегающих на верхнекаменноугольных карбонатных породах, составляет не менее 50 м, что подтверждается результатами современных геофизических работ (раздел 3 настоящего отчета).
Присутствие в разрезе мощной толщи глин в качестве буфера между вышележащими четвертичными песками и подстилающими их известняками исключает возможность возникновения и протекания такого нежелательного инженерно-геологического процесса как суффозионно-карстового.
В гидрогеологическом аспекте слабопроницаемые юрские глины создают благоприятные условия формирования грунтового водоносного горизонта, заключенного в разногенезисных песчаных пачках, и гидравлически связанного с поверхностным водотоком - р. Москвой: от метки установившегося уровня зафиксированы на отметках 109,3-110,0 м. На правобережье по причине наличия мощной глинистой "вскрыши", подошва которой имеет тенденцию к погружению в сторону уреза, грунтовый поток обладает напорным характером: пьезометрический уровень на этом участке устанавливается на 3-4 м выше подошвы слабопроницаемых аллювиальных глинистых образований.
По химическому составу (Приложение 13) вода поверхностная и грунтовая классифицируется как гидрокарбонатно-кальциевая (причем, содержание преобладающих анионов и катионов в пробах грунтовой воды почти вдвое превосходит содержание их в воде речной), и, как следствие - высокая сходимость результатов при оценке степени коррозионного воздействия всех типов воды на различные строительные материалы.
Так, вода речная и грунтовая обладают средней степенью агрессивности при взаимодействии со свинцовыми оболочками кабелей (причем, грунтовая вода на правобережье имеет максимальный показатель - высокую агрессивность) и с металлическими конструкциями и создают нейтральную среду для бетонных материалов и алюминиевых оболочек кабелей.
3.3. Инженерно-геологические условия
Неоднородность грунтового массива (по возрастным, генетическим признакам, литологическому составу, физическому состоянию)обусловила выделение инженерно-геологических элементов (ИГЭ), характеризующихся определенным набором геотехнических свойств. При выделении границ ИГЭ учтены также требований ГОСТ 20522-96 "Методы статистической обработки результатов испытаний".
Ниже следует краткое описание ИГЭ, сгруппированных по геолого-генетическим комплексам:
Разрез аллювиально-флювиогляциального четвертичного комплекса, наиболее пестрого по литологическому составу, имеет схематично 2-х ярусное строение. В пределах "верхнего" глинистого яруса собственно аллювиального, максимальной мощностью до 8,6 м выделено 3 ИГЭ:
ИГЭ-1 - ил черный текучий, образует маломощный - до 0,2 м - слой на выположенном аккумулятивном левобережном склоне грунтового массива в русле, что является косвенным доказательством подмыва правобережья.
ИГЭ-2 - глина мягко-текучепластичная, вскрыта единственной скв. № 7 на правобережной пойме в основании глинистой "вскрыши". Мощность слоя - 3,1 м.
ИГЭ-3 - суглинок преимущественно тугопластичный. Преобладает на правобережном участке, где образует мощность порядка 5,0-6,6 м. Согласно данным геофизических исследований максимальная мощность напластований приурочена к правобережной приурезной зоне. На левобережном участке, как уже отмечалось, происходит выклинивание суглинков: слой мощностью 1,2 м - вскрыт единственной "бровочной" скважиной N 3.
Ниже под слоем глинистого горизонта на правобережье (с абс. отм. 105-106 м) и практически с поверхности - на левобережье (не считая 1,2 м слоя суглинков в 120-метровой приурезной полосе) залегает песчаная пачка весьма пестрого литологического состава, что и легло в основу выделения нескольких ИГЭ:
ИГЭ-4 - песок пылеватый, средней плотности, водонасыщенный. Вскрыт на обоих берегах в виде 2,2-5,0-метрового слоя в кровле песчаной толщи;
ИГЭ-5 - песок средней крупности, преобладающий в разрезе, имеющий среднюю плотность сложения и водонасыщенное состояние.
Этим грунтом выполнен практически весь четвертичный разрез в 250-метровой приурезной полосе на левобережье, а также в русле;
ИГЭ-б - песок крупный, средней плотности, водонасыщенный, имеет ограниченное распространение: зафиксирован только в русле единственной скважиной в виде 5-метрового слоя, фациально переходящего в среднезернистый песок;
ИГЭ-7 - песок гравелистый средней плотности сложения, достаточно широко распространенный на правобережье и частично в русле в нижней части песчаного разреза. Образует слой мощностью порядка 4-5 м.
Ниже под песчаной толщей суммарной мощности 7-10 м, откартирована кровля коренных отложений, имеющая практически горизонтальное залегание на отм. 99-100 м, и лишь в районе скв. № 5 зафиксировано ее понижение до отметки 96 м. Дочетвертичные отложения представлены в разрезе классическими юрскими глинами (ИГЭ-8) ~ черными, с высокими значениями пределов пластичности, по консистенции твердыми и полутвердыми.
На участке, проецируемом на левобережную пойму, для глинис-^'ой толщи характерны линзы и прослои гравелистых темных песков (ИГЭ 9) по плотности сложения близких к плотным образованиям. Вскрытая мощность дочетвертичных отложений составляет 5-8 м. Согласно данным геофизических работ (раздел 3), глубина исследований которых определялась 30-метровой глубиной от дневной поверхности, подошва юрских напластований обнаружена не была.
Ниже в таблице приведены рекомендуемые расчетные значения физико-механических характеристик для грунтового массива, дифференцированного по ИГЭ, на основании прямых испытаний , а также рекомендаций СНиП 2.02.01-83* и 2.02.02-85.
Обработка частных значений сдвиговых характеристик (полученных по результатам одноплоскостного "быстрого" среза) проведена в соответствии с требованиями п.п. 6.6-6.12 ГОСТ 20522-96 "Методы статистической обработки результатов испытаний".
Данные о фильтрационной способности песков приведены с учетом результатов определения коэффициентов фильтрации в предельных состояниях
Грунты классифицированы по ГОСТ 25100-95.
Учитывая технологические особенности прокладки ниток трубопровода, в итоговой текстовой таблице приведены также сведения о категории грунтов по буримости для колонкового способа проходки.
Из дополнительных инженерно-геологических характеристик определена степень коррозионной активности грунтов при взаимодействии со стальными конструкциями. Согласно данным лабораторных исследований грунты ИГЭ-3 характеризуются преимущественно низкими показателями коррозионной активности, и лишь в единичных случаях - средней.
3.1.1. Геофизические работы
Перед геофизическими исследованиями стояли следующие задачи:
1. Литологическое расчленение рыхлых пород;
2. Оценка глубины до кровли карбонатных пород.
Глубинность исследований составляет 30 м.
Для решения поставленных задач применялся метод ВЭЗ, что предопределено как физическими предпосылками (удельное электрическое сопротивление пород тесно связано с их литологическим составом), так и экономическими соображениями (из применяющихся в настоящее время геофизических методов ВЭЗ является наиболее экономичным).
Работы выполнялись по профилю, расположенному по линии геологического створа, пересекающего р. Москва. Исходя из требуемой глубины исследований, максимальный разнос питающих электродов составлял 250м. Расстояние между точками измерений составляло от 30м до 50м (в среднем 40 м). При измерениях использовался прибор АЭ-72. Перед началом работ были выполнены опытные работы по оценке возможных искажений трубами газопровода с размоткой вдоль и поперек труб. Установлено, что трубы практически не влияют на результаты измерений, что может объясняться наличием гидроизоляции, являющейся одновременно и электроизоляцией. Последнее обстоятельство позволило выполнить работы непосредственно по геологическому створу, проходящему на отдельных участках между двумя линиями газопровода. Топопривязка выполнялась по топоплану участка м-ба 1:2000, а также с привязкой к пробуренным скважинам с использованием буссоли и мерной ленты.
Интерпретация полученных результатов выполнялась как с использованием палеток, так и с компьютерным решением обратной задачи с применением программы 1P1-99 (Шевнин В.А., МГУ), в рамках горизонтально- слоистой одномерной модели.
Геологический анализ полученных материалов выполнялся с учетом материалов, полученных в ходе бурения, а также на основе опыта работ на участках со сходными геологическими условиями.
По результатам выполненных работ составлен геоэлектрический разрез, приведенный на рис. 3.1. Описание разреза приводится сверху вниз.
1. Непосредственно с поверхности залегает горизонт с УЭС (удельное электросопротивление) = 25-60 Омм, представленных породами от плотных суглинков до глинистых песков.
Мощность этого горизонта не превышает 1.5 - 2 м.
2. Следующий от поверхности горизонт существенно различается по УЭС для правого и левого берега.
На правом берегу этот горизонт может быть представлен преимущественно глинистыми отложениями с подчиненными песчаными прослоями. УЭС этого горизонта составляет 18-27 Омм при мощности от 4-х до 7-ми метров с увеличением к реке. На левом берегу этот горизонт характеризуется высокой изменчивостью УЭС от 50-80 Омм до200-500 Омм, что характерно для разнозернистых песков (от глинистых до гравелистых), возможно, с маломощными глинистыми прослоями. Мощность этого горизонта относительно выдержана и составляет 7-8 м. Альтитуда подошвы составляет от 100-102 м на берегах, несколько погружаясь в пределах русла до отметок 99-97 м.
3. Следующий от поверхности горизонт характеризуется УЭС 30-45 Омм, что переслаиванию песчано-глинистых прослоев с различным соотношением их мощностей. По данным бурения этот слой мощностью 10-20м относится к верхнеюрским образованиям.
4. Следующий от поверхности горизонт отличается наиболее низкими для участка работ УЭС = 20-25 Омм и менее. Опыт работ позволяет предположить, что этот горизонт представлен относительно мощными (не менее 10 м) глинами предположительно юрского возраста, часто являющимися уверенным геоэлектрическим репером при производстве работ в Московской и Владимирской областях. Альтитуды кровли этого горизонта составляют 88-93м. Отметим, что наиболее уверенно этот горизонт картируется на правом берегу реки. На левобережье эта граница проведена предположительно.
5. Горизонт, который мог бы соответствовать карбонатным породам, по результатам наших работ не вскрыт, поскольку на кривых ВЭЗ высокоомный горизонт, отождествляемый с этими породами, не проявился. Полученные материалы свидетельствуют, что этот горизонт залегает на глубине, превышающей глубинность исследований. Для оценки возможной глубины этого горизонта мы рассчитали теоретическую кривую ВЭЗ, где верхнюю часть разреза задавали соответствующей участку исследований и изменяли глубину до кровли высокоомного горизонта, отождествляемого с карбонатами. УЭС карбонатов задавали от 80 Омм (разрушенные карбонаты с глинистым заполнителем) до 400 Омм (слаботрещиноватые известняки). В результате расчетов установлено, что глубина до кровли высокоомного горизонта должна быть не менее 30-40м.
Таким образом, результаты работ по профилю сводятся к следующему:
- Геологический разрез на глубину не менее, чем 30 м, представлен песчано-глинистыми отложениями.
- На левом берегу в верхней части разреза до глубин 10-12 м вскрыты отложения, которые могут отождествляться с отложениями русловой фации. Наименьшие альтитуды подошвы этого горизонта зафиксированы непосредственно под рекой (а.о.= 98 м и менее).
- Горизонт, отождествляемый с карбонатными породами, не вскрыт. Глубина его составляет, учитывая глубинность исследований, не менее чем 30 м.
3.2.1.Заключение
1. Участок перехода 2-х ниточного стального газопровода через Р. Москву в районе г. Жуковского в геоморфологическом отношении приурочен к долине р.Москва, сформировавшейся в пределах ледниковой среднеплейстоценовой равнины, образовавшейся, в свою очередь, на размытой поверхности юрских напластований.
2. Геологический разрез, таким образом, выполнен разновозрастными разногенезисными отложениями, объединенными в 2 геолого-генетических комплекса: аллювиально-флювиогляциальный четвертичный, и юрский, по данным геофизических исследований имеющий мощность не менее 30 м.
3. Характер гидрогеологических условий обусловлен особенностями геологического строения. Залегание слабопроницаемых юрских глин в основании хорошофильтрующих разногенезисных песков, перекрытых на правобережье суглинистой "вскрышей", создает благоприятные условия формирования напорно-безнапорного грунтового водоносного горизонта, гидравлически связанного с поверхностным водотоком.
По химическому составу вода и грунтовая и речная относятся к гидрокарбонатно-кальциевому типу, среднеагрессивному к металлическим конструкциям.
4. В инженерно-геологическом аспекте грунтовый массив дифференцирован на инженерно-геологические элементы (ИГЭ), однородные по генетическим признакам, литологическому составу, физическому состоянию, свойствам.
Рекомендуемые нормативные и расчетные значения физико-механических характеристик приведены на основании результатов прямых лабораторных определений, статистически обработанных в соответствии с ГОСТ 20522-96.
5. Геологическое строение исследуемого участка иллюстрируется геолого-литологическими разрезами, построенными по 2-м проектируемым створам лист 3,4,5.
4.ГИДРОЛОГИЧЕСКИЕ ХАРАКТЕРИСТИКИ УЧАСТКА РЕКИ .
Приложения графические
| №№ пп |
Наименование чертежа |
арх. номер |
К-во |
стр. |
| I |
График колебания уровней воды р. Москвы в верхнем бъефе г/у Андреевка за 1980-89гг |
2390251/1 |
I |
14 |
| 2 |
График колебания уровней воды р. Москвы у п. Заозерье за1980-89гг. |
2390251/2 |
I |
15 |
Для получения характеристик гидрологического режима были использованы данные многолетних наблюдений Госкомгидромета и Управления канала им. Москвы в исследуемом районе на р. Москве, а также положения правил эксплуатации Москворецкий гидроузлов.
4.I. ОБЩИЕ СВЕДЕНИЯ.
Характеристика гидрологического режима р. Москвы приведена для условий современного регулирования стока реки водохранилищами, созданными в верховьях бассейна р. Москвы и осуществляющими сезонное регулирование стока.
Для обеспечения гарантированных судоходных глубин на р. Москве функционируют еще семь гидроузлов: два - в черте города (Карамышевский и Перервинский) и пять ниже его (Трудкоммуна, Андреевка, Софьино, Фаустово и Северка). Все они входят в состав Москворецкой водной системы и эксплуатируются Управлением канала им. Москвы. Исследуемые участки р. Москвы расположены в бьефах между гидроузлами Трудкоммуна, Андреевка и Софьино.
Данные о расположении исследуемых участков и сопряженных с ними гидроузлов приведены в табл. 1 по "Карте р. Москвы от поселка Рублево до устья" 1983г.
Таблица I
| №№пп Наименование объекта |
Километраж |
|
| 1 |
2 |
3 |
| 1. г/у Трудкоммуна 2. Створ месторождения "Остров" 3. г/у Андреевка 4. Водпост Заозерье |
136 126 121 112 |
|
| 5. |
Верхний створ месторожд. "Кудаковские излучины" |
112 |
| 6. |
Нижний створ -"- |
101 |
| 7. |
г/у Софьино |
85 |
Основные параметры водохранилищ, образованных указанными выше гидроузлами, приведены в табл. 2 по "Основным положениям правил использования водных ресурсов водохранилищ Москворецкой водной система" ( Минводхоз, 1968г.)
Таблица 2
| Наименование характеристик |
Гидроузлы |
||
| Андреевка |
Софьино |
||
| Нормальный подпорный уровень, м |
111,76 |
109,20 |
|
| Минимальный допустимый уровень, м |
111,50 |
109,00 |
|
| Уровень нижнего бьефа, м |
109,60 |
106,32 |
|
| Допустимые суточные колебания НПУ, см |
±10 |
±10 |
|
В качестве исходных данных для характеристики уровенного режима использования наблюдения за уровнями воду в Нижнем бьефе г/у Трудкоммуна, в верхнем и нижнем бьефах г/у Андреевна и верхнем бьефе г/у Софьино за период 1968-89гг.,а также наблюдения на водомерном посту Заозерье за тот же период.
При переносе отметок от опорных до расчетных створов использовался метод прямой интерполяции, а максимальные уровни были приняты по кривым свободной поверхности р. Москвы гидроузлами Трудкоммуна -Софьино по данным Мосинжпроекта для условий зарегулированности стока р, Москвы - 4-мя водохранилищами.
4.2. РЕЖИМ СТОКА
Река Москва относится к типу рек с преимущественно снеговым питанием. Большая часть стока проходит в период весеннего половодья.
Весенний сток р. Москвы зарегулирован водохранилищами, расположению в верховьях бассейна, что сказывается в виде уменьшения максимальных расходов воды.
В период летне-осенней в зимней межени режим стока определяется условиями водообеспечения г. Москвы и судоходными условиями, где. поддержанием горизонтов воды в бьефах гидроузлов на отметках НПУ.
Сток р. Москвы в исследуемом районе образуется ив попусков в нижний бьеф выше расположенного гидроузла Перерва, естественной боковой приточности и сбросов с очистных сооружений Люблинской, Курьяновской и Люберецкой станций аэрации.
Весеннее половодье начинается в среднем в третьей декаде марта. Пик половодья приходит во второй половине апреля. В середине мая начинается летне-осенняя межень, нарушаемая в отдельные годы дождевыми паводками, которые пропускаются по реке транзитом, т.е. почти не регулируются верхними водохранилищами.
Зимняя межень начинается в конце ноября и характеризуется устойчивым и относительно низким стоком.
Естественная боковая приточность на участке реки ниже Трудкоммуны до Софьино представлена небольшими притоками: типа p.p. Городня, Пахра и Пехорка, дающими прибавку к стоку в межень около 5%.
Сток со станций аэрации имеет внутрисуточный ход и колеблется в интервале 25-60 м3 /с, составляя в среднем 35-40 м3 /с за сутки с Люблинской и Курьяновской и 15-20 м3 /с с Люберецкой.
Весеннее половодье пропускается при полной согласованности работ всех сооружений Москворецкой система по схеме, которая устанавливается в зависимости от прогнозируемой водности половодья.
Высокие половодья пропускаются при полностью уложенных плотинах гидроузлов. В маловодные половодья плотины укладываются не полностью, а в отдельные годы укладываются не все плотины.
Гидропроект считает возможным на р. в черте города при проектировании сооружений высокой классности принимать для половодий вероятностью превышения 1% и менее бытовые максимальные расходы, т.к. расположенные в верховьях р. Москвы гидроузлы указанных выше водохранилищ обладают пропускной способностью, достаточной для пропуска бытового расхода воды 1% вероятности превышения. Эти расходы воды к створам исследуемых участков составят, соответственно, 2980 и 3510 см3 /с.
4.3. УРОВНИ ВОДЫ
Режим уровней воды в исследуемых районах определяется водностью р. Москвы, режимом и величиной сбрасываемых через гидроузел Перерва расходов и условиями эксплуатации прилегающих гидроузлов Трудокоммуна, Андреевка и Софьино.
Годовой ход уровней воды р. Москва характеризуется наличием ярко выраженного весеннего половодья с резким подъемом и спадом уровней и сравнительно устойчивыми уровнями в период летне-осенней и зимней межени.
Пропуск весеннего половодья на р. Москве производится как правило при полностью открытых плотинах Москворецких гидроузлов ниже Перервы. После пропуска половодья на его спаде (в среднем в середине апреля) плотины гидроузлов поднимаются в затем в период всей навигационной уровни воды поддерживаются на отметках, близких к НПУ верхних бьефов.
При прохождении значительных дождевых паводков также производят укладку плотин для пропуска максимальных расходов.
Осенью после окончания навигации (в среднем - в последних числах ноября) судоходные плотины укладываются и на р. Москве ниже Перервы устанавливается естественная зимняя межень.
Максимальные уровни воды р. Москвы наблюдаются, как правило, во время прохождения весеннего половодья. Весенний, подъем начинается в конце марта - начале апреля. Средняя интенсивность подъем составляет 0,4-0,6 м в сутки, максимальная - до 1,0 м в сутки
Пик весеннего половодья приходится в среднем на середину апреля при крайних датах конец марта - конец апреля.
В отдельные годы (например, 1973,1980гг.) максимальный годовой уровень отмечался в период прохождения дождевых паводков. Уровни воды, близкие к максимальному держатся 1-2 дня, далее следует интенсивный (0,3-0,5 м/сутки) спад. Общая продолжительность половодья в бытовых условиях составляет около месяца; в условиях подъема плотин - около двух недель,
Расчетные отметки максимальных уровней воды приведены в табл. 5.
Таблица 5
| Вероятность превышения, % |
Уровень воды, м, в створах |
||
| 112 км |
101 км |
||
| 1 |
115,3 |
114,4 |
|
| 5 |
114,8 |
113,9 |
|
| 10 |
114,4 |
113,5 |
|
| 25 |
11,7 |
112,9 |
|
За период эксплуатации Москворецкой системы в условиях зарегулированноети 4-мя водохранилищами ( 1968- 1983 гг.) наивысший уровень отмечался в 1970 г., отметка его в указанных выше створах составила, соответственно, 115,4м; 114,1 м и 113,2 м.
Для характеристики продолжительности стояния уровней воды в период прохождения весеннего половодья в табл. 6 приведены отметки уровней воды различной обеспеченности по данным ежедневных наблюдений в период весеннего половодья за 1963-89гг . на в/б Софьино и перенесенные в расчетные створы.
Таблица 6
| Обеспеченность, % |
Уровень воды, м, в створах |
||
| 112 км |
101 км |
||
| 1 |
113,7 |
113,0 |
|
| 5 |
111,6 |
111,2 |
|
| 10 |
111,0 |
110,3 |
|
| 25 |
110,1 |
109,5 |
|
| 50 |
109,6 |
109,0 |
|
Средняя продолжительность половодья для бьефа Андреевка-Софьино -17 дней*
При прохождении летне-осенних дождевых паводков максимальные расчетные уровни воды в расчетных створах даны в табл. 7.
Таблица 7
| Вероятность превышения, % |
Уровень воды, м, в створах |
||
| 112 км |
101 км |
||
| 1 |
114,1 |
113,1 |
|
| 5 |
113,0 |
112,3 |
|
| 10 |
112,4 |
111,6 |
|
| 25 |
111,3 |
110,5 |
|
Наиболее значительный дождевой паводок за последние 30 лет отмечался в 1962г., отметки его в расчетных створах составили, соответственно, 113,8 м; 112,0 м; и 111,1 м.
Продолжительность дождевых паводков как правило не бывает более I-3-x дней, максимальная (1962г.) - 6 дней.
В период навигационной межени уровни воды в исследуемых районах поддерживаются на отметках, близких к НПУ нижерасположенных гидроузлов с колебаниями в пределах ±10 см.
Ниже, в табл. 8 даны отметки уровней воды в период навигационной межени (с момента установки весной до укладки плотины осенью) по данным ежедневных наблюдения за период 1964-89гг. для исследуемых участков.
Таблица 8
| Обеспеченность, % |
Уровень воды, м, в створах |
||
| 112 км |
101 км |
||
| 1 |
109,4 |
109,3 |
|
| 5 |
109,3 |
109,2 |
|
| 10 |
109,3 |
109,2 |
|
| 25 |
109,2 |
109,2 |
|
| 50 |
109,2 |
109,2 |
|
Среднемноголетняя продолжительность периода для Андреевка -Софьино -231 день.
Минимальный наблюденный уровень в верхнем бьефе г/у Андреевка составил 110,86 (август 1980г), в створе водности Заозерье - 109 м (1975, 76 гг).
В конце ноября по окончании навигации плотины должны разбираться и укладываться. Однако в последние годы плотины Трудкоммуна и Андреевка полностью практически не укладываются в течение всей зимы. Софьино укладывается ежегодно. Поэтому уровни воды на участке месторождения "Остров" и в межнавигационный период находятся в подпорных условиях, а на участке "Кулаковские излучины" река в свободном состоянии.
Продолжительность стояния уровней воды в этот период приведена в табл. 9 в виде отметок различной обеспеченности для расчетных створов по данным ежедневных наблюдении за 1968-89гг. за время от укладки плотин (или сработки бьефа) до начала весеннего подъема уровней.
Таблица 9.
| Обеспеченность, % |
Уровень воды, м, в створах |
||
| 112 км |
101 км |
||
| 5 |
108,6 |
107,9 |
|
| 10 |
108,5 |
107,8 |
|
| 25 |
108,4 |
107,7 |
|
| 50 |
108,1 |
107,4 |
|
| 75 |
108,0 |
107,2 |
|
| 95 |
107,5 |
106,8 |
|
Для бьефа Андреевка-Софьино наиболее низкие уровни за тот же период наблюдений отмечены зимой 1987-88гг. и 1988-89гг. По наблюдениям на водпосту Заозерье (112 км) уровень воды в эти зимы в течение около 2-х месяцев стоял на отметках 107,4-107,5м
4.4. ЛЕВОВЫЕ УСЛОВИЯ
В связи со сбросами теплых промышленных вод и стоков со станций аэрации Курьяновской и Люберецкой, ледовый режим р. Москвы в исследуемом районе отличается крайней неустойчивостью; ледостав носит временный характер, продолжительность его незначительна.
Характерные даты ледовых фаз на р. Москве приведем в табл.10 по данным наблюдений у водпоста Заозерье за период 1950-80гг.
Начиная с 1981г. по 1989г. ледовые явления у п. Заозерье гидрометслужбой не отмечались, а УКиМом на гидроузлах отмечались явления ледообразования и установления ледоставов в подходных каналах и камерах шлюзов.
Таблица 10
| Ледовая фаза |
Дата и продолжительность в днях |
||
| Средн. |
Ран. (наиб.) |
Позд. (наим.) |
|
| Начало ледовых явлений |
13,12 |
11,1 |
03,02 |
| Окончание ледовых явлений |
5,03 |
3,12 |
22,04 |
| Продолжительность ледовых явлений (дни) |
48 |
161 |
0 (10%) |
| Продолжительность ледостава (дни) |
19 |
98 |
0 (5%) |
По наблюдениям у п. Заозерье с 1968г. из ледовых явлений на р. Москве отмечались забереги (от 2-Зх дней до 10-15 дней за всю зиму) , сало.
Ледостав, как уже говорилось, устанавливается в шлюзах, где толщина его колеблется от 20 до 40 см. На самой р. Москве лишь в наиболее суровые зиму образуются отдельные перемычки льда по всей ширине реки, которые с очередные потеплением быстро разрушаются из-за дополнительного влияния сбросных теплых вод.
Очищение реки ото льда происходит в начале марта. Весенний ледоход наблюдается крайне редко, т.к. местного льда здесь практически нет , а лед с верховьев бассейна р. Москвы сюда не доходит , задерживаясь и стаивая в бьефах Карамыршева и Перервы .
За последние 10 лет весенний ледоход ниже Трудкоммуны отмечен в 1981г., продолжался он менее 2-х суток.
Укладку плотин осенью производят в среднее в последней декаде ноября (при крайних сроках середина ноября – середина декабря). В последние годы плотины гидроузлов Трудкоммуна и Андреевка укладывают или позже (в январе-феврале) или не укладывают до конца всю зиму. Плотина г/у Софьино укладывается ежегодно.
Подъем плотин весной производят на спаде половодья. Средние даты установки НПУ бьефов приходятся на период 15-20.04. В маловодные годы сборка плотин производится раньше - в конце марта и низкие половодья пропускаются вниз через собранные плотины (например, 1987-89гг).
Начало навигации на участке ниже Перервы приходится в среднем за последние 10 лет на 1.04. конец - навигации – на 26.11.
4.5. МУТНОСТЬ ВОДЫ
Измерений мутности воды р. Москвы Госкомгидрометом в черте города не производится.
По данным измерений у г. Звенигорода средняя годовая мутность р. Москвы выше гороа составляет около 40 г/м3 .
Наибольшая мутность в период весеннего половодья может достигать величины 600-700 г/м3 , составляя в среднем около 300 г/м3 . Число дней в году с мутностью более 50 г/м3 невелико - в среднем около 20.
Непосредственно в исследуемом районе (в 3 км выше водпоста Заозерье) Гипроречтрансом в мае 1983г. были сделаны определения мутности воды, которые составили в среднем около 20 г/м3 (изменяясь в интервале 13-33 г/м3 ).
5.Технология и механизация строительных работ.
5.1. СТРОИТЕЛЬНЫЕ РЕШЕНИЯ
В соответствии с заданием на проектирование проектом предусматривается укладка двум новых ниток газопровода на участке подводного перехода через р.Москву.
Газопроводы приняты из полиэтиленовых труб ПЭ 100 SDR9 с номинальным наружным диаметром 225 мм и толщиной стенки 25,2 мм по ТУ 2248-048-00203536-2000. Рабочее давление газа 0,6 МПа.
Створы проектируемых газопроводов приняты: верхняя нитка - в 15 м выше по течению от существующей верхней нитки газопровода, нижняя нитка - в 15 м ниже по течению от существующей верхней нитки газопровода.
Трассировка трубопроводов в плане принята в основном прямолинейной с кривыми упругого изгиба в вертикальной плоскости.
Траектория прохождения пилотной скважины строилась на основе геологических данных,с тем что бы по возможности обойти все неблагоприятные для бурения фильтрующие грунты.
Верхняя нитка.
| 0 |
Х |
У |
| 0 |
0 |
0 |
| 1 |
26.7 |
-6.7 |
| 2 |
64.5 |
-12.7 |
| 3 |
109.9 |
-14.2 |
| 4 |
168.7 |
-7.5 |
| 5 |
207.6 |
1.9 |
Нижняя нитка.
| 0 |
Х |
У |
| 0 |
0 |
0 |
| 1 |
23.3 |
-6 |
| 2 |
66.8 |
-12.2 |
| 3 |
102.6 |
-14.4 |
| 4 |
163.8 |
-9.8 |
| 5 |
200.8 |
2.2 |
План и профили подводного перехода трубопроводов показаны на чертеже N листы 3,4,5.
Рабочим проектом предусматривается осуществить строительство газопроводов на русловом участке перехода через р.Москва методом ННБ, на береговых участках перехода - укладкой трубопроводов в предварительно разработанные траншеи шириной по дну 0,8 м.
Длина проектируемых газопроводов составляет;
верхний створ - 273 м, в том числе укладываемого методом ННБ - 199м;
нижний створ —259 м, в том числе укладываемого методом ННБ -213 м.
На русловых участках перехода заглубление газопроводов принято в соответствии с п.2.1.5 ВН "Строительство подводных переходов газопроводов способом направленного бурения" не менее 2 м ниже линии возможного размыва русла и берегов и не менее 6 м ниже естественных отметок дна реки. Заглубление береговых участков газопроводов принято не менее 1,0 м с учетом Фактического заглубления действующих газопроводов.
Суть укладки трубопровода способом ННБ состоит в том, что в намеченном створе перехода с помощью специального бурового оборудования пробуривается скважина, через которую протаскивается смонтированная и испытанная плеть рабочего трубопровода.
За точки отсчета при разбивочных работах на строительных площадках (на обоих берегах) приняты точки входа и выхода оси трассы газопровода, расположенные за пределами линии возможного размыва русла и берегов, но не ближе 30 м от основания береговых откосов реки.
Нижняя нитка — точка входа Сно на правом берегу (ПК 0+22,5), точка выхода Сн1 на левом берегу (ГК 2+21,5);
верхняя нитка - точка входа Сво на правом берегу (ПКО+29,5), точка выхода Св1 на левом берегу (ГК 2+42,3).
Углы наклона буровых скважин на входе и на выходе приняты равными 150 .
Поэтапное расширение скважины показано на листе 7.
Проектом предусматривается сварка полиэтиленовых труб "встык" нагретым инструментом в соответствии с ГОСТ 50838—95 (с изменением 1) с последующим контролем качества сварных соединений Физическим методом в объеме 100% стыков и механическими испытаниями пяти стыков в соответствии с требованиями п.в.7 СНиП 3.05.02-88*.
В соответствии с разделом 9 СНиП 3.05.02—88* русловые участки газопроводов, укладываемые способом ННБ, испытываются воздухом в три стадии;
на прочность — после сварки труб до укладки в проектное положение давлением 0,75 Мпа;
на герметичность - после укладки в проектное положение давлением 0,6 МПа;
на герметичность - при окончательном испытании на герметичность всего газопровода в целом давлением 0,6 МПа.
Береговые участки газопроводов испытываются воздухом в две стадии:
на прочность — после их монтажа в траншее и присыпки на £0-£5 см выше верхней образующей труб давлением 0,75 МПа;
на герметичность - после полной засыпки траншей, совместно с русловыми участками газопроводов давлением 0,6 МПа.
До начала первой стадии испытаний производится продувка смонтированных плетей и секций трубопроводов.
Продувка и испытание трубопроводов производятся в соответствии со специальной (рабочей) инструкцией, разработанной совместно Заказчиком и строительной организацией.
На русловых участках перехода газопроводов черев р.Москва дополнительная балластировка трубопроводов не требуется.
Проектируемые газопроводы на участках примыкания к действующим газопроводам d = 219 мм выполняются из стальных труб d = 219х7 мм по ГОСТ 10704-91 из стали ВСт 4кп по ГОСТ 10705-8O. Стыковка полиэтиленовых труб- со стальными предусмотрена при помощи неразъемных соединений усиленного типа (переходников) "полиэтилен- сталь", изготавливаемых из тех же труб в базовых условиях по технической документации, утвержденной в установленном порядке.
Врезка проектируемых газопроводов в действующие в состав проекта не входит и выполняется силами Заказчика.
Сварочно-монтажная схема показана на чертеже 250101, лист 6.
Монтажные стыки стальных труб выполняются ручной электродуговой сваркой с контролем всех сварных стыков физическим методом.
Для защиты от почвенной коррозии в соответствии с п.4.33 СП 42-101-96 проектом предусматривается покрытие стальных труб усиленной изоляцией по ГОСТ 9.602-89; грунтовка типа ГТ-760 ин, два слоя ленты поливинилхлоридной типа ПВХ-БК, один слой защитной обертки типа ПЭКОМ.
В соответствии с п.2.9 СП 42-101-96 проектом предусматривается обозначение полиэтиленовых газопроводов на местности путем установки опознавательных знаков (приложение 15 СП 42—101—96) на поворотах трассы и в местах ответвлений.
Перекладка газопроводов начинается с середины октября после окончания сельскохозяйственных уборочных работ и заканчивается в конце ноября.
До начала производства работ Заказчик должен оформить и передать подрядной организации разрешение на производство строительно-монтажных работ, а со стороны строительной организации должны быть выполнены мероприятия и работы по подготовке строительного производства в объеме, обеспечивающем осуществление перекладки газопроводов запланированными темпами, включая проведение общей организационно-технической подготовки, подготовки к строительству объекта, подготовки к производству строительно-монтажных работ, составление проекта производства работ (ППР).
Строительно-монтажные работы начинаются с работ подготовительного периода продолжительностью 0,5 месяца (по 1 неделе на каждую нитку газопровода).
В подготовительный период выполняются следующие работы;
создается Заказчиком опорная геодезическая сеть (высотные реперы, главные оси сооружений), закрепляются в натуре границы строительной площадки;
осваивается строительная площадка: вырубка древесно-кустарниковой растительности с вывозкой ее и использованием Заказчиком на собственные нужды, срезка растительного слоя грунта, планировка территории строительства, устройство временных подъездных дорог;
устраивается временное ограждение территории строительства;
монтаж и установка основного оборудования, составляющего проходческий комплекс: буровая установка, кассеты буровым штанг, смесительная установка для приготовления бентонитового раствора, рукава для подачи бентонитового раствора, генератор, насос для забора речной воды, автокран, плеть рабочего трубопровода;
выполняются работы по устройству сварочно-монтажной площадки;
устанавливаются временные здания контейнерного типа, устраиваются временные внутрипостроечные проезды и площадки для складирования строительных материалов, устраивается временная площадка для стоянки строительных механизмов и автотранспорта, устраивается освещение мест производства работ;
завозятся основные строительные малины, изделия и материалы. Окончание подготовительных работ в объеме, обеспечивающем перекладку газопроводов запланированными темпами, должно быть подтверждено актом, составленным Заказчиком и Генподрядчиком.
После завершения работ подготовительного периода приступают в работам основного периода.
Основные строительно-монтажные работы по каждой нитке выполняются в следующей последовательности:
- подготовка к укладке рабочей плети (сварка труб в плеть, контроль сварных стыков, испытание плети на прочность);
- бурение пионерной скважины с последующим её расширением;
- протаскивание рабочей плети в подготовительную скважину и испытание газопровода на герметичность;
- разработка береговых траншей;
- сварка труб береговых участков с контролем сварных стыков и испытанием труб на прочность;
- укладка береговых участков газопровода в траншеи и пристыковка их к русловому участку;
- засыпка береговых траншей и испытание всей нитки на герметичность.
5.2. КОНТРОЛЬ БУРЕНИЯ ПИЛОТНОЙ СКВАЖИНЫ
Контроль пространственного положения пилотной скважины в процессе бурения осуществляется переносным прибором локации DIGITRftK с дублированием показаний прибора на дисплее у оператора буровой установки.
Контроль направления бурения скважины осуществляется через каждые 9 м проходки по сигналам системы ориентации. Контроль бурения под руслом реки осуществляется с помощью катера с оборудованием системы локации.
Схему контроля бурения над руслом смотри на лист 6.
5.6. КОНТРОЛЬ КАЧЕСТВА СТРОИТЕЛЬСТВА
Управление качеством строительно-монтажных работ должно осуществляться строительной организацией и включать совокупность мероприятий, методов и средств, направленных на обеспечение высокого качества строительно-монтажных работ и построенных объектов и их соответствия требованиям нормативных документов и указаниям проектной документации.
Производственный контроль качества строительно-монтажных работ должен включать входной контроль рабочей документации, конструкций, изделий, материалов и оборудования, оперативный контроль строительных процессов, производственных операций и приемный контроль строительно-монтажных работ.
При входном контроле проектно-сметной документации проверяется ее комплектность и достаточность в ней технической информации для производства работ.
Запрещается применение строительных материалов и изделий, не имеющих паспортов, сертификатов и т.п., подтверждающих их соответствие требованиям государственных стандартов или технических условий.
Операционный контроль осуществляется в ходе выполнения строительных процессов или производственных операций и обеспечивает своевременное выявление дефектов и принятие мер по их устранению. При операционном контроле проверяется соответствие технологии строительно-монтажных работ строительным чертежам, строительным нормам, правилам, стандартам.
Основными документами при операционном контроле являются СНиПы, часть 3, технологические карты, указания и инструкции по выполнении» отдельных видов строительно-монтажных работ.
Основные СНиПы по производству работ следующие:
СНиП 3.01.01—85* "Организация строительного производства";
СНиП 3.01.03-84 "Геодезические работы в строительстве";
СНиП 3.01.04-87 "Приемка в эксплуатацию законченных строительством объектов. Основные положения";
СНиП 3.02.01—87 "Земляные сооружения, основания и Фундаменты" ;
СНиП 3.05.02-88 "Газоснабжение";
СНиП 3.04.03.85 "Защита строительных зданий и сооружений от коррозии";
СП 42-101-96 "Проектирование и строительство газопроводов из полиэтиленовых труб диаметром до 300 мм";
"Правила безопасности в газовом хозяйстве".
Результаты операционного контроля фиксируются в журнале производства работ.
Скрытые работы подлежат освидетельствованию с составлением актов. Акт освидетельствования скрытых работ должен составляться на завершенный процесс, выполненный самостоятельным строительным подразделением (бригадой, звеном).
Во всех случаях запрещается выполнение последующих работ при отсутствии актов на предшествующие скрытые работы,
При приемочном контроле производится проверка и оценка качества выполненных строительно-монтажных работ по объекту в целом и наиболее ответственных конструкций.
На всех стадиях строительства с целью проверки эффективности производственного контроля должен выборочно осуществляться инспекционный контроль.
Машины и механизмы при производстве строительных работ.
ВЕДОМОСТЬ
потребности в основных строительных машинах и механизмах
Таблица 7.2
| NN |
Наименование |
Тип, марка |
Кол-во |
| 1 |
2 |
3 |
4 |
| 1. |
Буровой комплекс |
VERMEER-NAVIGATOR |
1 |
| 2. |
Экскаватор |
ЭО-3322 |
1 |
| 3. |
Бульдозер |
ДЗ-18 |
1 |
| 4. |
Тру6оукладчик |
ТО- |
2 |
| 5. |
Автокран |
КС2452 |
1 |
| 6. |
Сварочная установка |
СЕ-382 |
1 |
| 7. |
Передвижной компрессор |
ПР-10/8 |
1 |
| 8. |
-“- |
ЗИФ-55 |
1 |
| 9. |
Передвижная электростанция |
ПЭС-100 |
1 |
| 10. |
Катер |
1 |
|
| 11. |
Трубовоз |
на базе |
|
| КРАЗ |
1 |
||
| 12. |
Сварочный агрегат |
ПАУ-602 |
1 |
| 13. |
Вахтовый автомобиль |
1 |
|
| 14. |
Передвижная мастерская |
ПАРМ |
1 |
1.Установка горизонтального направленного бурения VERMEER NAVIGATOR D24х40a
Длина ,см 516
Ширина 201 см.
Высота 216 см.
Вес(со штангами) 7530 кг.
Двигатель:
Модель Cumminc 4 B 3.9
Мощность кВт л.с. 92 (125)
Дизельный бак 132 л.
Рабочие характеристики:
Макс. Крутящий момент 5415 н.м
Макс. Скорость вращения 260 об/мин.
Сила подачи 8119 кг.
Сила протяжки 10796 кг.
Гидр. Разъём штанг .
Гидр. Замена штанг.
Транспортная скорость 1.2 км/ч.
Параметры бурения:
Длина буровых штанг Firestick ,300см
Диаметр 60 мм
Радиус изгиба 33 м.
Вес штанги 34 кг.
Диаметр пилотного бурения 100 мм.
Макс. Расширение 600 мм.
Макс. длина бурения 320 м.
Система локации стандарт DIGI TRAK.
Глубина локации 23 м.
Система локации альтернативные все другие.
Объём подачи бурильной смеси 144л/мин.
Бурение скважины и протаскивание черев нее рабочей плети трубопровода выполняется с помощью буровой установки D 24x40a фирмы VERMEER NftVIGftTOR с двигателем Cummins 4ВТА 3,9 мощностью 92 кВт.Бурение выплоняется в три стадии сначала пилотная скважина диаметр 110 мм,затем 235 мм,затем 360мм. Третью скважину рекомендую бурить и одновременно протаскивать трубу.Схема поэтапного бурения и бурильная машина показана на листе 7.
2.Экскаватор Э0-3322
Ёмкость ковша 0.63 м2
Наибольшая глубина копания 4.3 м.
Наибольший радиус копания 7.6 м.
Высота выгрузки 4.7 м.
Мощность кВт(л.с.) 59(80)
Масса 14.5 т.
Разработка береговых траншей, приямков на входе и выходе скважин, амбаров для сбора шлама (276 мЗ ) производится экскаватором 30 3322 с ковшом вместимостью 0,4 мЗ и мощностью двигателя 55 кВт.
3.Бульдозер ДЗ-18
Тип отвала поворотный
Длинна отвала 3.97 м.
Высота отвала 1м.
Управление гидравлическое.
Мощность кВт (л.с.) 79(108)
Марка трактора Т100
Масса бульдозерного оборудования 1.88 т.
Бульдозер ДЗ-18 нужен для снятия плодородного слоя толщиной 0,4 м со всей территории, подпадающей под временный отвод земель (0,88 га), и перемещение почвы (3537 м3 ) во временные отвалы на расстояние 20 м.
Засыпка временных земляных сооружении- и возврат растительного слоя производятся бульдозером ДЗ-18 до черных отметок.
4.Трубоукладчик нужен для монтажа железных труб прокладываемых
раншейным способом.
5.Автокран нужен при подготовительных работах:
Монтаж огорождений терретории строительства.
Строительство подьездных дорог.
Возведение временных зданий контейнерного типа.
Погрузка –разгрузка строительных материалов.
6.Сварочный аппарат СЕ-382 (4.6 кВт) предназначен для сварки полиэтиленовых труб,и питается от передвижной электростанции ПЭС—100 мощностью (66 кВт).
7.Компрессор ПР10/8 предназначается для продувки труб после протаскивания,очищение буровых скважин от шлама.
9.Передвижная электростанция ПЭС –100,предназначается для подачи электричества для проведения сварочных работ.
10.Катер предназначается для осуществления контроля бурения при прохождения бурения под рекой.
11.Трубовоз предназначается для перевозки труб.
12.Сварочный аппарат ПАУ-602 предназначается для сварки железных труб прокладываемых траншейным способом.
13.Вахтовый автомобиль предназначается для перевозки рабочих на другой берег,и др.
14.Передвижная мастерская ПАРМ предназначена для производства вспомогательных работ.
6. РАСЧЁТНАЯ ЧАСТЬ.
6.1.РАСЧЕТ ГАЗОПРОВОДА ИЗ ПОЛИЭТИЛЕНОВЫХ ТРУБ НА ПОДВОДНОМ ПЕРЕХОДЕ ЧЕРЕЗ Р.МОСКВА В Г.ЖУКОВСКИЙ М.О.
ОБЩИЕ СВЕДЕНИЯ
Подводный переход через р. Москва запроектирован двухниточным из полиэтиленовых труб ПЭ 100ГАЗ SDR9-225x25,2 ТУ 2248-048-00203536-2000. Рабочее давление газа Р = 0,61 МПа.
На участке подводного перехода через р. Москва прокладка газопроводов предусматривается двумя способами:
русловые участки - способом наклонно-направленного бурения (ННБ),
береговые участки - в предварительно разработанные траншеи с последующей их засыпкой.
План перехода и продольные профили газопроводов показаны на листах 3,4,5 (арх. №-82545).
Расчет газопроводов выполнен в соответствии с требованиями СП 42-101 - «Общие положения по проектированию и строительству газораспределительных систем из стальных и полиэтиленовых труб».
Расчеты выполнены для верхней нитки газопровода, имеющей большую протяженность бурения и находящейся в более сложных геологических условиях.
ХАРАКТЕРИСТИКИ МАТЕРИАЛА ГАЗОПРОВОДА И ГРУНТОВ НА УЧАСТКЕ ПЕРЕХОДА
6.2.1. MRS = 10,0 МПа
6.2.2. Модуль ползучести материала труб Е (te ) принимается по графику в зависимости от температуры эксплуатации газопровода te и напряжения в стенке трубы σ. Так как температура проведения строительных работ нам не известна зарание , проводим расчёт в интервале температур 0-10 с в момент строительства , т.к. строительство прогнозировалось вести осенью , и по технологии ННБ ведётся при положительных температурах и так как газ по трубе проходит в интервале рабочих температур 0-30 с ,принимаем фактическую температуру в интервале 0-30. с и проводим расчёт.
Tэ-tф=0-30=30 O C

где SDR - стандартное размерное отношение;
Р- рабочее давление , МПа;
2.3. Коэффициент линейного теплового расширения материала труб
(α =2,2.10-4 ,(O C)-1
2.4. Коэффициент Пуассона материала труб μ = 0,43
2.5. Предел текучести при растяжении σТ =21 МПа
2.6. Характеристики грунтов на переходе даны в таблице 2.1.
ТАБЛИЦА ЗНАЧЕНИЙ ФИЗИКО-МЕХАНИЧЕСКИХ ХАРАКТЕРИСТИК ГРУНТОВ.
Таблица 2.1.
| Номер слоя |
Гранулометрический состав, % |
Плотность частиц грунта, ρs, г/см3 |
Плотность грунта, ρ г/см3 |
Влажность природная W, доли единицы |
Степень влажности Sr , доли единицы |
Показатель текучести II , доли единицы |
Коэффициент пористости, е |
Угол внутреннего трения, градус |
Сцепление С, (кгс/см2 ) |
Модуль деформации Е, кгс/см2 |
Коэффициент фильтрации, м/сут |
Категория грунтов по буримости |
|||||||
| более 10 мм |
10-2 мм |
2-0,05 мм |
0,05-0,005 мм |
менее 0,005 мм |
|||||||||||||||
| нормативный φn |
Расчетный φI |
нормативное Сn |
Расчетное Сn |
||||||||||||||||
| 2 |
Глина текучепластичная |
2,64 |
1,73 |
0,47 |
1,0 |
0,8 |
1,25 |
7 |
6 |
0,25 |
0,17 |
50 |
|||||||
| 3 |
Суглинок мягко-тугопластичный |
2,72 |
1,95 |
0,29 |
0,96 |
0,42 |
0,79 |
15 |
14 |
0,28 |
0,26 |
90 |
|||||||
| 4 |
Песок пылеватый влажный ср. плотности водонас. |
1,2 |
89,7 |
5,4 |
3,7 |
2,68 |
1,84 1,96 |
0,20 0,28 |
0,7 1,0 |
0,75 |
26 |
24 |
0,02 |
0,01 |
110 |
4 |
II |
||
| 5 |
Песок средней кр влажный ср. плотности водонас. |
3,5 |
93,4 |
3,1 |
2,66 |
1,88 2,01 |
0,17 0,25 |
0,7 1,0 |
0,65 |
35 |
32 |
300 |
12 |
II |
|||||
| 6 |
Песок крупный, средней плотности, водонасыщен. |
17,2 |
80,1 |
2.7 |
2.64 |
2.01 |
0.24 |
1,0 |
0,63 |
38 |
35 |
300 |
14 |
II |
|||||
| 7 |
Песок гравелистый, средн. плотности, водонасыщен. |
9,8 |
2,6 |
84,1 |
2,7 |
0,8 |
2,65 |
2,03 |
0,23 |
1,0 |
6,60 |
39 |
35 |
350 |
15 |
IV |
|||
| 8 |
Глина полутвердая |
23,8 |
68,3 |
7,9 |
2,76 |
1,84 |
0, 8 |
0,98 |
0 |
1,08 |
6 |
5 |
1,03 |
0,89 |
130 |
IV |
|||
| 9 |
Песок гравелистый, средн. плотности, водонасыщен. |
12,4 |
20,5 |
62,2 |
4,9 |
2,68 |
2,07 |
0,22 |
1,0 |
0,58 |
39 |
35 |
350 |
16 |
IV |
||||
ПРОВЕРКА ПРОЧНОСТИ ПРИНЯТОГО КОНСТРУКТИВНОГО РЕШЕНИЯ.
Проверка прочности газопровода от действия всех нагрузок силового нагружения:

0,4 MRS =0,4 . 10,0 = 4Мпа где,MRS-минимальная длительная прочность
= 0,8 МПа m< 4MПa - условие соблюдено
3.2. Проверка прочности газопровода от совместного действия всех нагрузок силового и деформационного нагружения:
3.2.1.

Где: Е(t) – модуль ползучести материала труб при температуре эксплуатации , Мпа
d-наружный диаметр газопровода , м;.
ρ = 200 м – радиус упругого изгиба газопровода на русловом участке;
ρ = 40 м - радиус упругого изгиба газопровода на береговых участках;
σоу = 6,35 МПа — максимальные продольные напряжения в трубопроводе при его укладке методом ННБ на русловом участке (см. п.5.3) Определение σп ps для руслового участка перехода:

![]()
σпрs = 7,22 МПа < 0,9 MRS = 9 МПа - условие соблюдено
Определение σпps для береговых участков перехода:

σп ps = 0.89 МПа < 0,9 MRS = 9 МПа - условие соблюдено.
Прочность газопровода обеспечена.
РАСЧЕТ ДОПУСТИМОЙ ОВАЛИЗАЦИИ И УСТОЙЧИВОСТИ КРУГЛОЙ ФОРМЫ ПОПЕРЕЧНОГО СЕЧЕНИЯ ГАЗОПРОВОДА
Обеспечение допустимой овализации поперечного сечения газопровода определяется соблюдением условия:

где:
ζ = 1,3 - коэффициент, принимаемый при укладке на плоское основание;
(н/м) – полная погонная эквивалентная нагрузка,
где: βi – коэффициенты приведения нагрузок,
Qi - составляющие полной эквивалентной нагрузки.
(МПа) - параметр жесткости сечения газопровода;
Егр - модуль деформации грунта засыпки, (МПа);
Ре - внешнее радиальное давление принимается равным:
- для необводненных участков - нулю,
- для обводненных участков - гидростатическому давлению воды Pw , (МПа).

Составляющие нагрузки Q:
- от давления грунтов:
(н/м),
где: krp - принимается по таблице 8;
- от собственного веса газопровода:
Q2 = l,l . qq , (н/м);
- от выталкивающей силы воды на обводненных участках трассы:
О3 = l,2 . qwi , (н/м);
- от равномерно распределенной нагрузки на поверхности засыпки:
Q4 = l,4 . qy . de . kн , (н/м);
Где: qq -собственный вес единицы длинны газопровода ,н/м
qq = M * g = 15.8*9.81=155 н/м;
qwi = п/4*рw*g*de2=3.14/4*1000*9.81*0.05=389.85 н/м
qwi -выталкивающая сила на единицу длинны газопровода
qy -интенсивность равномерной распределённой нагрузки на поверхности грунта , н/м
qy= р*g*de*hw;

- от подвижных транспортных средств:
Qs = γт . qт . qe , (н/м);
где γт = 1,1 - коэффициент для нагрузки от гусеничного транспорта
qт - принимается по рисунку 5
При меженном уровне воды в реке для сечения на ГКО +38:

условие соблюдается.
При высоком уровне воды в реке для сечения на ГКО + 38:

При высоком уровне воды в реке для сечения на ГК1+20:

Расчётная схема ниток показана на листе 8.
Таким образом, допустимая овализация поперечного сечения трубы обеспечена.
Обеспечение устойчивости круглой формы поперечного сечения газопровода
Устойчивость круглой формы поперечного сечения газопровода проверяется условием:
В качестве критической величины внешнего давления принимается меньшее из двух значений:
|
|
При меженном уровне воды в реке:

При высоком уровне воды в реке:

Таким образом, устойчивость круглой формы сечения газопровода обеспечена.
2.1. MRS = 10,0 МПа
2.2. Модуль ползучести материала труб Е (te ) принимается по графику в зависимости от температуры эксплуатации газопровода te и напряжения в стенке трубы σ
tэ-tф=0-20=20 O C

2.3. Коэффициент линейного теплового расширения материала труб
(α =2,2.10-4 ,(O C)-1
2.4. Коэффициент Пуассона материала труб μ = 0,43
2.5. Предел текучести при растяжении σТ =21 МПа
2.6. Характеристики грунтов на переходе даны в таблице 2.1.
ПРОВЕРКА ПРОЧНОСТИ ПРИНЯТОГО КОНСТРУКТИВНОГОРЕШЕНИЯ.
3.1. Проверка прочности газопровода от действия всех нагрузок силового нагружения:

0,4 MRS =0,4 . 10,0 = 4Мпа
= 0,8 МПа m< 4MПa - условие соблюдено
3.2. Проверка прочности газопровода от совместного действия всех нагрузок силового и деформационного нагружения:
3.2.1.

где: ρ = 200 м – радиус упругого изгиба газопровода на русловом участке;
ρ = 40 м - радиус упругого изгиба газопровода на береговых участках;
σоу = 6,35 МПа — максимальные продольные напряжения в трубопроводе при его укладке методом ННБ на русловом участке (см. п.5.3) Определение σп ps для руслового участка перехода:

![]()
σпрs = 7,89 МПа < 0,9 MRS = 9 МПа - условие соблюдено
Определение σпps для береговых участков перехода:

σп ps = 1,86 МПа < 0,9 MRS = 9 МПа - условие соблюдено.
Прочность газопровода обеспечена.
РАСЧЕТ ДОПУСТИМОЙ ОВАЛИЗАЦИИ И УСТОЙЧИВОСТИ КРУГЛОЙ ФОРМЫ ПОПЕРЕЧНОГО СЕЧЕНИЯ ГАЗОПРОВОДА
Обеспечение допустимой овализации поперечного сечения газопровода определяется соблюдением условия:

где: ζ = 1,3 - коэффициент, принимаемый при укладке на плоское основание;
(н/м) – полная погонная эквивалентная нагрузка,
где: βi – коэффициенты приведения нагрузок,
Qi - составляющие полной эквивалентной нагрузки.
(МПа) - параметр жесткости сечения газопровода;
Егр - модуль деформации грунта засыпки, (МПа);
Ре - внешнее радиальное давление принимается равным:
- для необводненных участков - нулю,
- для обводненных участков - гидростатическому давлению воды Pw , (МПа).

Составляющие нагрузки Q:
- от давления грунтов:
(н/м),
где: krp - принимается по таблице 8;
- от собственного веса газопровода:
Q2 = l,l . qq , (н/м);
- от выталкивающей силы воды на обводненных участках трассы:
О3 = l,2 . qwi , (н/м);
- от равномерно распределенной нагрузки на поверхности засыпки:
Q4 = l,4 . qy . de . kн , (н/м);
где 
- от подвижных транспортных средств:
Qs = γт . qт . qe , (н/м);
где γт = 1,1 - коэффициент для нагрузки от гусеничного транспорта
qт - принимается по рисунку 5
При меженном уровне воды в реке для сечения на ГКО +38:

условие соблюдается.
При высоком уровне воды в реке для сечения на ГКО + 38:

При высоком уровне воды в реке для сечения на ГК1+20:

Таким образом, допустимая овализация поперечного сечения трубы обеспечена.
Обеспечение устойчивости круглой формы поперечного сечения газопровода
Устойчивость круглой формы поперечного сечения газопровода проверяется условием:
В качестве критической величины внешнего давления принимается меньшее из двух значений:

При меженном уровне воды в реке:

При высоком уровне воды в реке:

Таким образом, устойчивость круглой формы сечения газопровода обеспечена.
MRS = 10,0 МПа
Модуль ползучести материала труб Е (te ) принимается по графику в зависимости от температуры эксплуатации газопровода te и напряжения в стенке трубы σ
Tэ-tф=0-10=10 O C

где SDR - стандартное размерное отношение;
Р- рабочее давление , МПа;
Коэффициент линейного теплового расширения материала труб
(α =2,2.10-4 ,(O C)-1
Коэффициент Пуассона материала труб μ = 0,43
Предел текучести при растяжении σТ =21 МПа
Характеристики грунтов на переходе даны в таблице 2.1.
ПРОВЕРКА ПРОЧНОСТИ ПРИНЯТОГО КОНСТРУКТИВНОГО РЕШЕНИЯ.
Проверка прочности газопровода от действия всех нагрузок силового нагружения:

0,4 MRS =0,4 . 10,0 = 4Мпа где,MRS-минимальная длительная прочность
= 0,8 МПа m< 4MПa - условие соблюдено
Проверка прочности газопровода от совместного действия всех нагрузок силового и деформационного нагружения:

Где: Е(t) – модуль ползучести материала труб при температуре эксплуатации , Мпа
d-наружный диаметр газопровода , м;.
ρ = 200 м – радиус упругого изгиба газопровода на русловом участке;
ρ = 40 м - радиус упругого изгиба газопровода на береговых участках;
σоу = 6,35 МПа — максимальные продольные напряжения в трубопроводе при его укладке методом ННБ на русловом участке (см. п.5.3) Определение σп ps для руслового участка перехода:

![]()
σпрs = 7,81 МПа < 0,9 MRS = 9 МПа - условие соблюдено
Определение σпps для береговых участков перехода:

σп ps = 1.465 МПа < 0,9 MRS = 9 МПа - условие соблюдено.
Прочность газопровода обеспечена.
РАСЧЕТ ДОПУСТИМОЙ ОВАЛИЗАЦИИ И УСТОЙЧИВОСТИ КРУГЛОЙ ФОРМЫ ПОПЕРЕЧНОГО СЕЧЕНИЯ ГАЗОПРОВОДА
Обеспечение допустимой овализации поперечного сечения газопровода определяется соблюдением условия:

где:
ζ = 1,3 - коэффициент, принимаемый при укладке на плоское основание;
(н/м) – полная погонная эквивалентная нагрузка,
где: βi – коэффициенты приведения нагрузок,
Qi - составляющие полной эквивалентной нагрузки.
(МПа) - параметр жесткости сечения газопровода;
Егр - модуль деформации грунта засыпки, (МПа);
Ре - внешнее радиальное давление принимается равным:
- для необводненных участков - нулю,
- для обводненных участков - гидростатическому давлению воды Pw , (МПа).

Составляющие нагрузки Q:
- от давления грунтов:
(н/м),
где: krp - принимается по таблице 8;
- от собственного веса газопровода:
Q2 = l,l . qq , (н/м);
- от выталкивающей силы воды на обводненных участках трассы:
О3 = l,2 . qwi , (н/м);
- от равномерно распределенной нагрузки на поверхности засыпки:
Q4 = l,4 . qy . de . kн , (н/м);
Где: qq -собственный вес единицы длинны газопровода ,н/м
qq = M * g = 15.8*9.81=155 н/м;
qwi = п/4*рw*g*de2=3.14/4*1000*9.81*0.05=389.85 н/м
qwi -выталкивающая сила на единицу длинны газопровода
qy -интенсивность равномерной распределённой нагрузки на поверхности грунта , н/м
qy= р*g*de*hw;

- от подвижных транспортных средств:
Qs = γт . qт . qe , (н/м);
где γт = 1,1 - коэффициент для нагрузки от гусеничного транспорта
qт - принимается по рисунку 5
При меженном уровне воды в реке для сечения на ГКО +38:

условие соблюдается.
При высоком уровне воды в реке для сечения на ГКО + 38:

При высоком уровне воды в реке для сечения на ГК1+20:

Таким образом, допустимая овализация поперечного сечения трубы обеспечена.
Обеспечение устойчивости круглой формы поперечного сечения газопровода
Устойчивость круглой формы поперечного сечения газопровода проверяется условием:
В качестве критической величины внешнего давления принимается меньшее из двух значений:
|
|
При меженном уровне воды в реке:

При высоком уровне воды в реке:

Таким образом, устойчивость круглой формы сечения газопровода обеспечена.
MRS = 10,0 МПа
Модуль ползучести материала труб Е (te ) принимается по графику в зависимости от температуры эксплуатации газопровода te и напряжения в стенке трубы σ
Tэ-tф=0-0=0 O C

где SDR - стандартное размерное отношение;
Р- рабочее давление , МПа;
Коэффициент линейного теплового расширения материала труб
(α =2,2.10-4 ,(O C)-1
Коэффициент Пуассона материала труб μ = 0,43
Предел текучести при растяжении σТ =21 МПа
Характеристики грунтов на переходе даны в таблице 2.1.
ПРОВЕРКА ПРОЧНОСТИ ПРИНЯТОГО КОНСТРУКТИВНОГО РЕШЕНИЯ.
Проверка прочности газопровода от действия всех нагрузок силового нагружения:

0,4 MRS =0,4 . 10,0 = 4Мпа где,MRS-минимальная длительная прочность
= 0,8 МПа m< 4MПa - условие соблюдено
Проверка прочности газопровода от совместного действия всех нагрузок силового и деформационного нагружения:

Где: Е(t) – модуль ползучести материала труб при температуре эксплуатации , Мпа
d-наружный диаметр газопровода , м;.
ρ = 200 м – радиус упругого изгиба газопровода на русловом участке;
ρ = 40 м - радиус упругого изгиба газопровода на береговых участках;
σоу = 6,35 МПа — максимальные продольные напряжения в трубопроводе при его укладке методом ННБ на русловом участке (см. п.5.3) Определение σп ps для руслового участка перехода:

![]()
σпрs = 7,34 МПа < 0,9 MRS = 9 МПа - условие соблюдено
Определение σпps для береговых участков перехода:

σп ps = 0.995 МПа < 0,9 MRS = 9 МПа - условие соблюдено.
Прочность газопровода обеспечена.
РАСЧЕТ ДОПУСТИМОЙ ОВАЛИЗАЦИИ И УСТОЙЧИВОСТИ КРУГЛОЙ ФОРМЫ ПОПЕРЕЧНОГО СЕЧЕНИЯ ГАЗОПРОВОДА
Обеспечение допустимой овализации поперечного сечения газопровода определяется соблюдением условия:

где:
ζ = 1,3 - коэффициент, принимаемый при укладке на плоское основание;
(н/м) – полная погонная эквивалентная нагрузка,
где: βi – коэффициенты приведения нагрузок,
Qi - составляющие полной эквивалентной нагрузки.
(МПа) - параметр жесткости сечения газопровода;
Егр - модуль деформации грунта засыпки, (МПа);
Ре - внешнее радиальное давление принимается равным:
- для необводненных участков - нулю,
- для обводненных участков - гидростатическому давлению воды Pw , (МПа).

Составляющие нагрузки Q:
- от давления грунтов:
(н/м),
где: krp - принимается по таблице 8;
- от собственного веса газопровода:
Q2 = l,l . qq , (н/м);
- от выталкивающей силы воды на обводненных участках трассы:
О3 = l,2 . qwi , (н/м);
- от равномерно распределенной нагрузки на поверхности засыпки:
Q4 = l,4 . qy . de . kн , (н/м);
Где: qq -собственный вес единицы длинны газопровода ,н/м
qq = M * g = 15.8*9.81=155 н/м;
qwi = п/4*рw*g*de2=3.14/4*1000*9.81*0.05=389.85 н/м
qwi -выталкивающая сила на единицу длинны газопровода
qy -интенсивность равномерной распределённой нагрузки на поверхности грунта , н/м
qy= р*g*de*hw;

- от подвижных транспортных средств:
Qs = γт . qт . qe , (н/м);
где γт = 1,1 - коэффициент для нагрузки от гусеничного транспорта
qт - принимается по рисунку 5
При меженном уровне воды в реке для сечения на ГКО +38:

условие соблюдается.
При высоком уровне воды в реке для сечения на ГКО + 38:

При высоком уровне воды в реке для сечения на ГК1+20:

Таким образом, допустимая овализация поперечного сечения трубы обеспечена.
Обеспечение устойчивости круглой формы поперечного сечения газопровода
Устойчивость круглой формы поперечного сечения газопровода проверяется условием:
В качестве критической величины внешнего давления принимается меньшее из двух значений:
|
|
При меженном уровне воды в реке:

При высоком уровне воды в реке:

Таким образом, устойчивость круглой формы сечения газопровода обеспечена.
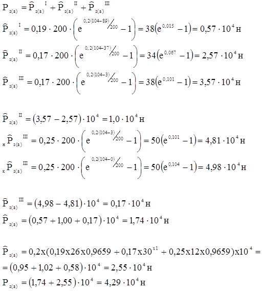
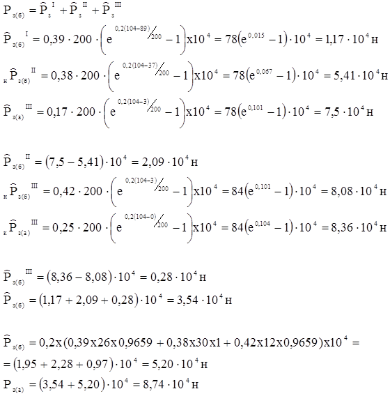
6.2. РАСЧЕТ УСИЛИЯ ПРОХОДКИ ПИЛОТНОЙ СКВАЖИНЫ
6.2.1. Исходя из закона равновесия сил взаимодействия – усилие проходки пилотной скважины определяют, как сумму всех видов сил сопротивления движению буровой головки и буровых штанг в пилотной скважине:
(27)
где:
- лобовое сопротивление бурению (сопротивление движению буровой головки в грунте) с учетом искривления пилотной скважины;
- сила трения от веса буровых штанг (в скважине);
- увеличение силы трения от силы тяжести грунта зоны естественного свода равновесия (по М.М. Протодьяконову);
- увеличение силы трения от наличия на буровых штангах выступов за пределы наружного диаметра;
- дополнительные силы трения от опорных реакций;
- сопротивление перемещению буровых штанг в зоне забуривания за счет смятия стенки скважины;
- сопротивление на выходе при переходе от криволинейного движения к прямолинейному.
Расчет усилия проходки пилотной скважины выполняется для двух пограничных состояний:
- при благоприятных условиях: при наличии качественного бурового раствора, отсутствие фильтрации раствора в грунт при хорошо сформированной и стабильной пилотной скважине;
- при неблагоприятных условиях: при обрушении грунта по длине пилотной скважины и фильтрации бурового раствора в грунт.
6.2.2. Лобовое сопротивление бурению
рассчитывается по формуле:
![]()
(28)
где:
- сила сопротивления бурению, Н;
Ii – текущая длина пилотной скважины при бурении от точки забуривания до выхода пилотной скважины из земли (от 0 до I), м;
R – радиус кривизны пилотной скважины, м;
- условный коэффициент трения вращающегося резца о грунт рассчитывается по формуле:
(29)
где: fp – коэффициент трения резца о грунт;
dr – диаметр буровой головки, м;
h – подача на оборот рассчитывается по формуле:
(30)
где: n- скорость бурения, м/мин;
w - угловая скорость бурения, об./мин.
Сила сопротивления бурению
при разрушении грунта вращающейся буровой головкой рассчитывается по формуле:
(31)
где: С0
– коэффициент сцепления грунта, Н/м2
(Па);
m – ширина резца, м;
ер
– глубина врезания (вылет резца), м;
r - угол внутреннего трения грунта, радиан.
6.2.3. Сила трения от веса буровых штанг в пилотной скважине
рассчитывают по формуле:
(32)
где: qш – погонный вес буровых штанг за вычетом выталкивающей силы бурового раствора, Н/м;
R – радиус кривизны бурового канала, м;
I – длина пилотной скважины, м;
Ii – текущая длина пилотной скважины, м.
- углы в радианах (1 радиан – 57,30
)
- условный коэффициент трения вращающихся буровых штанг о грунт, смоченный буровым раствором рассчитывается по формуле:
(33)
где: dш – наружный диаметр буровых штанг, м;
fш – коэффициент трения штанг о грунт, смоченный буровым раствором.
Погонный вес штанг qш (за вычетом выталкивающей силы бурового раствора) рассчитывается по формуле:
(34)
где: gш – удельный вес материала штанг, Н/м3 ;
gж – удельный вес бурового раствора, Н/м3 ;
dш – толщина стенки штанги, м.
6.2.4. Для наиболее точного расчёта разбиваем кривую на прямолинейные и криволинейные участки по прохождению участок газопровода на разных слоях грунта.
Расчет усилия
- увеличения силы трения от силы тяжести грунта зоны естественного свода равновесия (по М.М. Протодьяконову)
рассчитывается по формуле:
(35)
где: qг – погонный вес грунта зоны естественного свода равновесия (по М.М. Протодьяконову), который рассчитывается по формуле:
(36)
где: μ – коэффициент бокового давления;
k – коэффициент высоты свода равновесия (по М.М. Протодьяконову), который рассчитывается по формуле:
а)
- благоприятных условиях (37)
б)
- при неблагоприятных условиях (38)
где: ρ – угол внутреннего трения грунта, радиан;
- объемный вес грунта с учетом разрыхления при гео обрушении на буровые штанги, который рассчитывается по формуле:
(39)
ъ
где:
- удельный объемный вес грунта в естественном залегании, Н/м3
.
Расчет усилия
- увеличения силы трения от силы тяжести грунта зоны естественного свода равновесия (по М.М. Протодьяконову)
рассчитывается по формуле:
(35)
где: qг – погонный вес грунта зоны естественного свода равновесия (по М.М. Протодьяконову), который рассчитывается по формуле:
(36)
где: μ – коэффициент бокового давления;
k – коэффициент высоты свода равновесия (по М.М. Протодьяконову), который рассчитывается по формуле:
а)
- благоприятных условиях (37)
б)
- при неблагоприятных условиях (38)
где: ρ – угол внутреннего трения грунта, радиан;
- объемный вес грунта с учетом разрыхления при гео обрушении на буровые штанги, который рассчитывается по формуле:
(39)
где:
- удельный объемный вес грунта в естественном залегании, Н/м3
.
Расчет усилия
- увеличения силы трения от силы тяжести грунта зоны естественного свода равновесия (по М.М. Протодьяконову)
рассчитывается по формуле:
(35)
где: qг – погонный вес грунта зоны естественного свода равновесия (по М.М. Протодьяконову), который рассчитывается по формуле:
(36)
где: μ – коэффициент бокового давления;
k – коэффициент высоты свода равновесия (по М.М. Протодьяконову), который рассчитывается по формуле:
а)
- благоприятных условиях (37)
б)
- при неблагоприятных условиях (38)
где: ρ – угол внутреннего трения грунта, радиан;
- объемный вес грунта с учетом разрыхления при гео обрушении на буровые штанги, который рассчитывается по формуле:
(39)
где:
- удельный объемный вес грунта в естественном залегании, Н/м3
.
Расчет усилия
- увеличения силы трения от силы тяжести грунта зоны естественного свода равновесия (по М.М. Протодьяконову)
рассчитывается по формуле:
(35)
где: qг – погонный вес грунта зоны естественного свода равновесия (по М.М. Протодьяконову), который рассчитывается по формуле:
(36)
где: μ – коэффициент бокового давления;
k – коэффициент высоты свода равновесия (по М.М. Протодьяконову), который рассчитывается по формуле:
а)
- благоприятных условиях (37)
б)
- при неблагоприятных условиях (38)
где: ρ – угол внутреннего трения грунта, радиан;
- объемный вес грунта с учетом разрыхления при гео обрушении на буровые штанги, который рассчитывается по формуле:
(39)
где:
- удельный объемный вес грунта в естественном залегании, Н/м3
.
Расчет усилия
- увеличения силы трения от силы тяжести грунта зоны естественного свода равновесия (по М.М. Протодьяконову)
рассчитывается по формуле:
(35)
где: qг – погонный вес грунта зоны естественного свода равновесия (по М.М. Протодьяконову), который рассчитывается по формуле:
(36)
где: μ – коэффициент бокового давления;
k – коэффициент высоты свода равновесия (по М.М. Протодьяконову), который рассчитывается по формуле:
а)
- благоприятных условиях (37)
б)
- при неблагоприятных условиях (38)
где: ρ – угол внутреннего трения грунта, радиан;
- объемный вес грунта с учетом разрыхления при гео обрушении на буровые штанги, который рассчитывается по формуле:
(39)
где:
- удельный объемный вес грунта в естественном залегании, Н/м3
.
6.2.5. Дополнительные силы трения от опорных реакций при движении в криволинейной скважине
рассчитываются по формуле:
(48)
- силы трения от опорных реакций, определяющих изгиб буровых штанг рассчитываются по формуле:
(49)
где:
- модуль упругости материала штанг, Н/м2
(Па);
Вш – плечо опорных реакций буровых штанг рассчитывается по формуле:
(50)
6.2.6 Сопротивление движению при переходе от криволинейного движения к прямолинейному
рассчитывается по формуле:

6.2.7. Полное усилие прокладки пилотной скважины рассчитывается по формуле:
а) при благоприятных условиях усилие прокладки пилотной скважины рассчитывается по формуле:
![]()
б) при неблагоприятных условиях (обрушении грунта по всей длине пилотной скважины и полной фильтрации бурового раствора в грунт) усилие прокладки пилотной скважины рассчитывается по формуле:
![]()
Фактическое усилие прокладки пилотной скважины в реальных условиях будет находиться между пограничными величинами: Рп(а) и Рп(б) .
6.3. РАСЧЕТ ПРОДОЛЬНОГО УСИЛИЯ В ТРУБОПРОВОДЕ, ВОЗНИКАЮЩЕГО ПРИ ЕГО ПРОКЛАДКЕ МЕТОДОМ ННБ
3-Й этап расширения скважины с протаскиванием трубы.
6.3.1. Общие положения
Расчеты выполнены в соответствии с методикой, указанной в приложении А к СП42-101 - «Общие положения по проектированию и строительству газораспределительных систем из стальных и полиэтиленовых труб» (Метод наклонно-направленного бурения).
На русловом участке перехода через р.Москва проектом предусматривается прокладка бестраншейным способом буровым комплексом Навигатор D24x40a фирмы «Вермеер» газопровода из полиэтиленовых труб ПЭ100 ГАЗ SDR9-225x25,2 ТУ 2248-048-00203536-2000 через р.Москва с меженным горизонтом 115 м.
Технология строительства: бурение пилотной скважины dн = 110 мм, расширение бурового канала до d = 235 мм, протаскивание газопровода с одновременным расширением бурового канала до d = 360 мм.
Трассировка газопроводов в вертикальной плоскости показана на листах .4,5.
6.3.2. Исходные данные
| Радиус кривизны бурового канала R(м) |
200 |
| Диаметр трубопровода dн (м) |
0,225 |
| Толщина стенки трубы δ (м) |
0,0252 |
| Площадь сечения трубы F (м2) |
0,0158 |
| Погонный вес трубы на воздухе qтр (н/м) |
155 |
| Погонный вес трубы с учетом выталкивающей силы бурового раствора qw (н/м) |
-325 |
| Плотность бурового раствора γж = (н/м3 ) |
1,2. 104 |
| Средняя плотность грунтов γг = (н/м3 ) |
1,98. 104 |
| Коэффициенты трения: |
|
| полиэтилен по буровому раствору f |
0,2 |
| полиэтилен по песку fгпл |
0,3 |
| Предел текучести полиэтилена при растяжении σт (МПа) |
21 |
| Расчетные характеристики грунтов даны в таблице 2.1. расчетов |
6.3.3. Расчет газопровода при его протаскивании через буровой канал
Продольное усилие Ргп в трубопроводе, возникающее при его протаскивании через буровой канал, равно сумме сил трения и определяется по формуле:
![]()
Так как газопровод выполнен из длинномерных полиэтиленовых труб, то он не имеет выступов за пределы наружного диаметра и усилие Р4 (увеличение силы трения от наличия на трубе газопровода выступов за пределы наружного диаметра) и усилие Р6 (сопротивление перемещению трубопровода в зоне входа за счет смятия стенки бурового канала) равны нулю.
Участвующие в расчетных формулах величины ρ, μ, κ, γ* , qг для грунтов участка перехода, даны в таблице 5.1.
Таблица 5.1
| № слоя грунта |
5 |
8 |
9 |
7 |
4 |
3 |
| длина, м |
26+15=41 |
30+15+22=67 |
30 |
34 |
3+12=15 |
26 |
| ρ (рад.) |
0,56 |
0,09 |
0,61 |
0,61 |
0,42 |
0,24 |
| μ |
0,44 |
0,86 |
0,40 |
0,40 |
0,53 |
0,70 |
| К(а) |
1.44 |
6,14 |
1,37 |
1,37 |
1,73 |
2,61 |
| К(б) |
2,60 |
7,05 |
2,64 |
2,64 |
2,66 |
3,32 |
| γ* (а) . 104 н/м3 |
1,46 |
1,79 |
1,44 |
1,44 |
1,52 |
1,65 |
| γ* (б) . 104 н/м3 |
1,64 |
1,81 |
1,65 |
1,65 |
1,65 |
1,70 |
| qr (а) . 104 н/м3 |
0,19 |
1,28 |
0,17 |
0,17 |
0,25 |
0,46 |
| qr (б) . 104 н/м3 |
0,39 |
1,48 |
0,38 |
0,38 |
0,42 |
0,60 |
Сила трения Р2
от веса газопровода в буровом канале вычисляется по формуле: 
-
для прямолинейных участков газопровода.

Увеличение силы трения_ от силы тяжести грунта зоны естественного свода равновесия
при благоприятных условиях:
- для криволинейных участков газопровода
- для прямолинейных участков газопровода

Увеличение силы трения_ от силы тяжести грунта зоны естественного свода равновесия
при неблагоприятных условиях:
- для криволинейных участков газопровода
- для прямолинейных участков газопровода

Дополнительные силы трения от опорных реакций на криволинейных участках Р5 (н):

В - плечо опорных реакций рассчитывается по формуле:
Примечание: усилием Р5
можно пренебречь из-за его незначительной величины.
Увеличением сопротивления при переходе от прямолинейного движения к криволинейному (Р7 ) можно пренебречь из-за его незначительной величины (Р7 < Р5 )
Сила трения от веса полиэтиленовой трубы P8 , находящейся вне бурового канала, определяется по формуле:
Р8 = fгп x qгр x 1 = 0,3х155х213=0,99. 104 н
Общее наибольшее продольное усилие в полиэтиленовой трубе при благоприятных условиях Р(а) (Н):
Р (а) = Р2 + Рз(а) = (1,29 + 4,29)104 = 5,58 . 104 н
Общее наибольшее продольное усилие в полиэтиленовой трубе при неблагоприятных условиях составит Р(б) (Н):
Р(б) = Р2 + Рз(б) = (1,29 + 8,74)104 = 10,03 . 104 н
Наибольшие продольные усилия в полиэтиленовой трубе составят:
при благоприятных условиях
в начале протаскивания:
Р (а) = Р8 = 0,99. 104 н
в конце протаскивания:
Р (а) = Р2 + Рз(а) = 1,29х104 + 4,29х104 = 5,58х104 н
при неблагоприятных условиях:
в начале протаскивания:
Р (б) = Р8 = 0,99. 104 н
в конце протаскивания:
Р (б) = Р2 + Рз(б) = 1,29х104 + 8,74х104 = 10,03х104 н
Фактическое максимальное продольное усилие в полиэтиленовой трубе находится между 5,5 8.104 ни 10,03.104 н и не превышает силы протяжки буровой установки, равной 10,8. 104 н.
Максимальное допускаемое усилие в полиэтиленовой трубе составляет:
[Р] = 0,5 . σт . F = 0,5 . 21. 106 . 0,0158= 16,59 . 104 н
Максимальное продольное напряжение в трубе находится между σ(а) = 3,53 МПа и σ(б) = 6,35 МПа.
6.3.4. Расчет усилия протаскивания газопровода по буровому каналу.
а) усилие протаскивания газопровода "Ргп(а) " при благоприятных условиях рассчитывается по формуле:
![]()
б) усилие протаскивания газопровода "Ргп(б) " при неблагоприятных условиях (обрушении грунта по всей длине бурового канала и при полной фильтрации бурового раствора в грунт) рассчитывается по формуле:
![]()
Фактическое усилие протаскивания газопровода Ргп.факт
будет находиться между
и
.
6.3.5. Усилие перемещения буровых штанг
представляет собой суммарное усилие, рассчитанное для проходки пилотной скважины за вычетом усилия "
" (лобового сопротивления бурению).
а) для благоприятных условий:
![]()
б) для неблагоприятных условий:
![]()
6.3.6. Расчет общего усилия протаскивания "Р".
а) при благоприятных условиях общее усилие протаскивания рассчитывается по формуле:
![]()
б) при неблагоприятных условиях (обрушении грунта по длине бурового канала и фильтрации бурового раствора в грунт) общее усилие протаскивания рассчитывается по формуле;
![]()
Фактическое общее усилье протаскивания "Рфакт ." в реальных условиях будет находиться между пограничными значениями "Р(а) " и "Р(б) ".
По максимальной величина усилия "Р(б) " уточняется правильность выбора бурильной установки. Максимальное значение "Р(б) " всегда должно быть меньше тягового усилия выбранной бурильной установки.
6.4. Суммарный крутящий момент для вращения буровой головки
Суммарный крутящий момент для вращения буровой головки и штанг при прокладке пилотной скважины рассчитывается по формуле:
Ш*=Мк * +Мкб*+Мкр*, (92)
где - крутящий момент на преодоление осевых сопротивлений;
- крутящий момент на проворачивание буртов;
- крутящий момент на разрушение забоя.
6.4.1. Крутящий момент на преодоление осевых сопротивлений
рассчитывается по формуле:
- при благоприятных условиях;
- при неблагоприятных условиях;
где - суммарное осевое усилие при благоприятных условиях, которое рассчитывается по формуле:
- суммарное осевое усилие при неблагоприятных условиях, которое
рассчитывается по формуле:
где:
условное обозначение величин см. п.З.2
б)
условное обозначение величин см. п.З.3
в) при благоприятных условиях
-при неблагоприятных условиях.
Условное обозначение величин см. п. 3.4
г) - при благоприятных условиях
- при неблагоприятных условиях
Условное обозначение величин см.. п. 3.5.
д) - условное обозначение величин см. п. 3.6.
е) условное обозначение см. п.3.7
4.15 Крутящий момент на проворачивание буртов рассчитывается по
формуле:
- при благоприятных условиях
- при неблагоприятных условиях.
В данном расчете применяется коэффициент «f».
Обозначение величин см. п. 3.2.
6.4.2. Крутящий момент на разрушение забоя Мкр * при механическом разрушении забоя вращающейся буровой головкой рассчитывается по формуле:
, где
Кр - удельное сопротивление резанию грунта при прямолинейном движении резца, которое принимается согласно таблице 3.
Таблица 3
| Песок, Н/м2 |
Суглинок, Н/м2 |
Глина, Н/м2 |
| (0,05-0,08)106 |
(0,1 -0,15)106 |
(0,13 - 0,25}106 |
Обозначение прочих величин см п. 5.1.1.
6.4.3. Суммарный крутящий момент для вращения расширителя и штанг при протаскивании газопровода по буровому каналу.
М = Мк + Мкб + Мкр ,
где: Мк - крутящий момент на преодоление осевых сопротивлений;
Мкб - крутящий момент на проворачивание буртов;
Мкр - крутящий момент на разрушение забоя.
6.4.4. Крутящий момент на преодоление осевых сопротивлений Мк * рассчитывается по формуле:
- при благоприятных условиях;
- при неблагоприятных условиях,
где: - суммарное осевое усилие при благоприятных условиях, которое рассчитывается по формуле:
- суммарное осевое усилие при неблагоприятных условиях, которое рассчитывается по формуле:
гдe: a)
условное обозначение величин см. п. 4.2
б)
- условное обозначение величин см.п. 3.3_
в) - при благоприятных условиях.
- при неблагоприятных условиях.
Условное обозначение величин см. п. 3.4.
г) - при благоприятных условиях.
- при неблагоприятных условиях.
Условное обозначение величин см. п. 3.5.
д)
Условное обозначение величин см. п.3.6
е)
Условное обозначение см. п.3.7.
6.4.5. Крутящий момент на проворачивание буртов Мкб рассчитывается по формуле:
- при благоприятных условиях.
- при неблагоприятных условиях.
В данном расчете применяется коэффициент «f».
Условное обозначение величин см. п. 4.5.
6.4.6. Крутящий момент на разрушение забоя Мкр (при механическом разрушении забоя вращающейся буровой головкой) рассчитывается по формуле:
где: Кр - удельное сопротивление резанию грунта при прямолинейном движении резца, которое принимается согласно таблицы 3.
Условное обозначение величин см. п. 4.2.
По максимальному значению уточняют выбор бурильной установки по крутящему моменту.
6.4.7. Перед протаскиванием газопроводов из полиэтиленовых труб по буровому каналу необходимо рассчитать эксплуатационные нагрузки на трубу газопровода по двум критериям:
- по предельной величине внешнего равномерного радиального давления;
- по условию предельной "овализации" поперечного сечения трубы.
6.4.8. Несущую способность подземного газопровода из полиэтиленовых труб по предельной величине внешнего равномерного радиального давления следует проверять соблюдением неравенства:
где; Ркр . - предельная величина внешнего равномерного радиального давления, при которой обеспечена устойчивости круглой формы стенки трубы, Н/м2 .
dн - наружный диаметр газопровода, м.
k2 - коэффициент условий работы трубопровода на устойчивость, принимаемый < 0,6.
Рг - давление грунта свода обрушения;
Ргв - гидростатическое давление грунтовых вод;
Ртп - давление от веса транспортных потоков.
- коэффициенты перегрузки, принимаемые согласно таблицы 4.
Таблица 4
| № п/п |
Характер нагрузки |
Наименование нагрузки. |
Коэффициент перегрузки |
| 1 |
Постоянная |
Масса трубопровода |
1,1 |
| 2 |
Постоянная |
Давление грунта |
1,2 |
| 3 |
Постоянная |
Гидростатическое давление грунтовых вод |
1,2 |
Примечания: 1. Нагрузкой создаваемой весом трубы газопровода пренебрегаем, из-за ее незначительности.
2. Давление газа в газопроводе не учитываем, так как оно разгружает стенку трубы.
6.4.8. За критическую величину "Ркр ." предельного внешнего радиального давления следует принимать меньшее из значений, вычисленных по формулам:
где: Рл - параметр, характеризующий жесткость трубопровода, Н/м2 , который вычисляется по формуле:
где: - толщина стенки, м
Е - модуль ползучести полиэтилена, Н/м2 , который вычисляется по формуле:
где: Е0 - модуль ползучести в зависимости от срока службы газопровода и напряжения в стенке трубы, выбираемый из таблицы 5.
Таблица 5
| Материал трубы |
Срок службы, лет |
НАПРЯЖЕНИЕ В СТЕНКЕ ТРУБЫ, МПА |
|||||||||
| 7 |
6 |
5 |
4 |
3 |
2,5 |
2 |
1,5 |
1 |
0,5 |
||
| ПНД |
50 |
- |
- |
100 |
120 |
140 |
150 |
160 |
180 |
200 |
220 |
| 25 |
- |
90 |
110 |
130 |
150 |
160 |
170 |
190 |
210 |
230 |
|
| 10 |
- |
100 |
120 |
140 |
160 |
170 |
190 |
210 |
230 |
250 |
|
| 5 |
- |
110 |
130 |
150 |
170 |
190 |
220 |
220 |
240 |
270 |
|
| 1 |
120 |
140 |
150 |
170 |
200 |
210 |
250 |
250 |
280 |
300 |
|
ke - коэффициент, учитывающий влияние свойства температуры на деформационные свойства материла, определяемый из таблицы 6.
Таблица 6
| Материал трубы |
ТЕМПЕРАТУРА, °С |
||||
| 20 |
30 |
40 |
50 |
60 |
|
| ПНД |
1 |
0,8 |
0,65 |
0,55 |
0,4 |
Ргр - параметр, характеризующий жесткость грунта, Н/м2 , который вычисляется по формуле:
Ргр = 0,125 Егр ,
где: Егр - модуль деформации грунта засыпки, Н/м2 , определяемый по таблице 7.
Таблица 7
| Наименование грунтов засыпки |
Егр , МПа |
| Пески крупные и средней крупности |
12-17 |
| Пески мелкие |
10-12 |
| Пески пылеватые |
8-10 |
| Супеси и суглинки |
2-6 |
| Глины |
1,2-4 |
6.5. РАСЧЕТ ВЕРТИКАЛЬНЫХ ВНЕШНИХ НАГРУЗОК НА ГАЗОПРОВОД.
6.5.1 Расчет вертикальной приведенной внешней нагрузки от давления грунта. При бестраншейной прокладке давление грунта на газопровод создает так называемый "свод обрушения" (рис. ). Очевидно, что максимальное давление грунта будет по вертикальной оси газопровода и будет равно:
где: - удельный вес грунта;
hс - высота свода обрушения;
d - диаметр бурового канала;
f - коэффициент "крепости грунта" (по М.М. Протодьяконову), принимаемый согласно таблице 8.
Таблица 8
| №№ п/п |
Грунт |
Коэффициент крепости грунта, f |
| 1. |
Песок, насыпной грунт |
0,5 |
| 2. |
Растительный грунт, торф, сырой песок, слабый глинистый грунт |
0,6 |
| 3. |
Глинистый грунт, лесс |
0,8 |
| 4. |
Плотный глинистый грунт |
1,0 |
| 5. |
Твердая глина |
1,5 |
| 6. |
Мягкий сланец, мягкий известняк, мерзлый грунт |
2,0 |
Примечание: расчет давления грунта согласно вышеуказанной формулы производится когда hс (высота свода обрушения) << Н (высоты заложения газопровода от поверхности грунта).
6.5.2 Расчет вертикальной приведенной внешней нагрузки от давления грунтовых вод.
Давление грунтовых вод рассчитывается по формуле:
где: - удельный вес воды с растворенными в ней солями.
S - площадь сечения трубы газопровода;
dн - наружный диаметр газопровода;
6.5.3 Вертикальную приведенную внешнюю нагрузку давления грунта от подвижного состава железных дорог следует определять с учетом распределения н4 .
7. Водоснабжение системы подачи воды к бурильной установке, подбор оборудования.
Подбор насоса для бурильной установки
![]()
Исходя из рассчитанной потребной производительности подбираем землесос марки ГНОМ с
..
7.1. Определение потерь напора во всасывающем и напорном трубопроводах.
Потери напора во всасывающем трубопроводе, характеризующие вакуум (разность между атмосферным давлением внутри трубопровода) перед входом в насос, при перекачивании водогрунтовой смеси равны :
,
где , r0 -соответственно плотность воды ;
Vвс - средняя скорость во всасывающем трубопроводе ;
, при rгс = r0 kг =1 ;
lвс - обобщенный коэффициент сопротивления, учитывающий трение и рассредоточенные по длине всасывающего трубопровода местные сопротивления ;
Lвс , м –полная длина всасывающего трубопровода , принимаемая в зависимости от глубины разработки прорези Tпр , равная:
Lвс
=![]()
Предельный угол наклона рамы aр принимают 45 °-50°, длину корпусного участка Lвс,к –от 5 до 25 м в зависимости от размеров землесоса и от расположения грунтового наноса в корпусе.
Dвс , м – диаметр всасывающего трубопровода ; обычно принимается равным диаметру напорного трубопровода (Dн ) или на 50 мм больше Dн ;
D1 , м – диаметр приемного отверстия рабочего колеса грунтового насоса ;
zнак = 0.5– коэффициент сопротивления всасывающего наконечника ;
Z0 , м- положение оси грунтового насоса по высоте относительно поверхности воды (ватерлинии земснаряда) . Величина Z0 имеет знак “+”при расположении оси выше и знак “-” ниже поверхности воды.
Значение обобщенного коэффициента сопротивления обычно принимают по данным измерений на земснарядах. При отсутствии экспериментальных данных коэффициент определяют расчетным путем:
lвс
=(1,5
1,6)lгл
=0.017
Коэффициент сопротивления гидравлически гладкого трубопровода можно найти по формуле:
lгл
=
.
Входящая в число Рейнольдса кинематическая вязкость воды при температуре 200
С равна n=
м2
/с.
Потери в напорном трубопроводе при перекачивании воды равны:
![]()
, м
где Vн , м/с – средняя скорость воды в напорном трубопроводе;
lн =1.4lгл - обобщенный коэффициент сопротивления напорного трубопровода ;
Dк , м –диаметр концевого патрубка напорного трубопровода ; при отсутствии конического насадка, успокоительного патрубка и т.п. Dк =Dн ;
Zн , м –возвышение конца напорного трубопровода над поверхностью воды.
Суммарные потери напора при работе на водогрунтовой смеси:
Нп.гс =Нвс.гс +Нн.гс ,=7.73+15=22.73 м
Насос ГНОМ обеспечивает заданную производительность.
8.ОРГАНИЗАЦИЯ СТРОИТЕЛЬНЫХ РАБОТ
8.1. Общие сведения
При составлении данного раздела использована следующая проектная и нормативно-техническая документация;
График производства строительных работ представлен на листе 9.
СНиП 3.01.01-85* - "Организация строительного производства";
СП 42-101-96 - "Проектирование и строительство газопроводов из полиэтиленовых труб диаметром до 300 мм";
ВН - "Строительство подводных переходов газопроводов способом направленного бурения", Москва, 1998 г.
Условия выполнения строительных работ и характеристика строительного объекта даны в разделах 2,3 данной записки.
Объемы и виды работ приведены в "Ведомости объемов основных строительно-монтажных работ" (табл. 4.1).
Доставка строительных материалов и техники на объект может осуществляться автомобильным и водным транспортом.
Переброска техники и строительных материалов с одного берега реки на другой предусматривается по автодорожному мосту через р.Москва в районе Н.П. Заозерье.
ВЕДОМОСТЬ
объемов основных строительных, монтажных и специальных работ
Таблица 4.1
| Наименование работ |
Всего по строительству |
| А. Береговые участии напорной канализации 1. Земляные работы: выемка, мЗ насыпь, мЗ 2. Монтаж полиэтиленовых трубопроводов, d == =225x25,2 мм, м 3. Монтаж стальных трубопроводов, d==219х17 мм, м 4. Бурение скважин, м |
3920 3920 495,1 43,5 415 |
8.2. Сроки строительства. Строительная организация.
Директивный срок перекладки газопроводов 1,5 месяца (после окончания уборочных работ на колхозных полях до наступления холодного периода с отрицательной температурой воздуха), в т.ч. подготовительный период 0,5 месяца.
Обеспечение строительства Финансированием осуществляется в течение 1 года.
Перекладку подводных газопроводов поручено выполнить 000 "Облгазстрой".
герметичность.
8.3. Земляные работы
Земляные работы должны выполняться в соответствии с требованиями СНиП 3.02.01-87 "Земляные сооружения, основания и Фундаменты".
Снятие плодородного слоя толщиной 0,4 м со всей территории, подпадающей под временный отвод земель (0,88 га), и перемещение почвы (3537 м3 ) во временные отвалы на расстояние до 20 м производятся бульдозером ДЗ-18 мощностью 80 кВт.
Характеристики бульдозера смотри в пункте
Производительность:
Пэ=3600*Vгр* Ку*Кн*Кв/Тц =3600*1.77*0.7*0.99*0.8/20=176м3/ч
Где:Vгр-геометрический обьём призмы волочения грунта впереди отвала ,м3
Vгр=ВН2*Кп/(2tgКр) =3.97*1*0.9/(2*tg45*1.2)=1.77м3
Где В,Н-соответственно длинна и высота отвала,м
Кн-коэфициент наполнения геометрического обьёма призмы волочения грунтом (Кн=0.85….1.05)
Ку-коэфициент учитывающий влияние наклона местности на производительность (0.4…0.67)
Кп-коэфициент учитывающий потери грунта при транспортеровке.
Кп=0.9
Кр-коэфициент разрыхления грунта (1.1…1.3)
Кв- коэфициент использования бульдозера по времени (0.8…0.9)
Тц-продолжительность цикла , с
Тц=lр/vp+lп/vп+lo/vo+tп =0.8/3.23+0.56/5.2+1.36/5+17 =20 cек.
Где : lp,lп, и lo=lp+lп-длины соответственно участков резания ,перемещения грунта и обратного хода бульдозера,м
Lo=Vгр/А
А=B*h- площадь срезаемого слоя грунта,м2 А=0.31*3.97=1.23 м
h- толщина срезаемого слоя ,м
v0,vp,vп-скорости трактора при резании перемещении грунта и обратном ходе, м/с
tп – время на переключение передач в течении цикла ,с (15…20)
Твр=Vcн/Пэ=3520/136=25.8 ч.
Тс=Твр/8=25.8/8=3.22 суток
Разработка береговых траншей, приямков на входе и выходе скважин, амбаров для сбора шлама (276 мЗ ) производится экскаватором 30 3322 с ковшом вместимостью 0,4 мЗ и мощностью двигателя 55 кВт.
Производительность экскаватора :
Пэ=60*Vк*пк*Кн*Квр/Кр=60*0.63*0.7*3/0.8=99м3/ч
Где:
Vк-обьём ковша
Пк-число ковшей загружаемых в мин.Пк=3
Кн-коэфициент наполнения ковша плотным грунтом
Квр- коэфициент использования рабочего времени
Кр=коэфициент рыхления грунта
Твр=Vcн/Пэ=376 /99 =3.8 ч
3.8/2=1.9 ч, =0.25 дня.
т.к. по технологии работ экскаватор использу6ется в разные интервалы времени строительства для каждой нитки трубы ,время работы экскаватора 2 суток.
Засыпка временных земляных сооружении- и возврат растительного слоя производятся бульдозером ДЗ-18 до черных отметок.
С учётом всех сложностей,принято 3 дня.
Разработка и засыпка участков траншей длиной по 2 м от точек врезки проектируемых газопроводов в действующие выполняется вручную.
8.4. Сварочно—монтажные работы
Монтаж рабочих плетей газопроводов для участков ННБ, разложенных на инвентарных опорах, выполняется на сварочно-монтажных площадках <15x220 м), расположенных на левом берегу реки в створах подводного перехода.
Для береговых участков перехода стыковка одиночных труб в секции и с соединительными деталями выполняются на бровке траншеи ручной злектродуговой сваркой.
Сварка полиэтиленовых труб встык нагретым инструментом производится установкой типа СБ-382 (4,6 кВт), питающейся от передвижной электростанции ПЭС—100 мощностью 66 кВт.
Сварка труб занимает 4 дня.
Сварочно-монтажные работы должны выполняться в соответствии с требованиями разделов 10, 11, 15 СП 42-101-96, СНиП 3.05.02-88*, ГОСТ 50838-95 (с изменением 1), ТУ 2248-048-00203536-2000.
8.5. Продувка и испытание газопроводов
Продувка газопроводов и испытание их на прочность и герметичность должны выполняться в соответствии с требованиями СНиП II1-4-80*, раздела 18 СП 42-101-96, СНиП 3.05.02-88*.
Продувка смонтированных газопроводов воздухом осуществляется компрессорной установкой типа ПР-10/8 мощностью 96 кВт.
Продувка и испытание производятся 3 дня.
Испытания газопроводов на прочность и герметичность выполняются по специальной инструкции, разработанной совместно Заказчиком и строительно-монтажной организацией и составляет 1 день.
8.6. Буровые работы и укладка газопроводов
Перед началом бурения пилотной скважины необходимо выполнить следующие подготовительные работы:
- смонтировать на технологической площадке (15 х 40 м) и опробовать буровое оборудование в соответствии с инструкцией предприятия – изготовителя;
- на буровой установке установить заданный угол входа буровой головки;
- выполнить калибровку прибора ориентации с целью получения исходных показателей и для последующей корректировки направления бурения скважины;
- проверить надежность и устойчивость радиосвязи между берегами реки (пунктами входа и выхода скважины).
Бурение скважины и протаскивание черев нее рабочей плети трубопровода выполняется с помощью буровой установки D 24x40a фирмы VERMEER NftVIGftTOR с двигателем Cummins 4ВТА 3,9 мощностью 92 кВт.
Площадь поперечного сечения скважины должна превышать площадь поперечного сечения протаскиваемого трубопровода не менее, чем на £5%. Поэтому бурение скважины выполняется в несколько этапов. Сначала бурится пилотная скважина диаметром 100—110 мм, затем проиББОдится расширение (в несколько этапов) пилотной скважины расширителями, до необходимого диаметра.(110-235,235-360).
Выбор диаметров бурения и режимов расширения скважины уточняется в ППР в зависимости от грунтовых условий, диаметра рабочего трубопровода, комплекта расширителей, а также в соответствии с инструкцией предприятия - изготовителя по эксплуатации буровой установки.
По рекомендации Фирмы VERMEER рабочая плеть протаскивается с одновременным расширением скважины на последнем этапе до диаметра 360 мм.
Скорость проходки одной скважины составляет 58 мин
Тбур=58*3 =2.9 часа
Бурение в графике принимаем 1 день.
При бурении наклонно-направленных скважин применяется бентонитовый раствор для выполнения следующих основных функций:
- очищать забой от выбуренной породы и выноса ее на дневную поверхность;
- удерживать частицы разрушенных пород во взвешенном состоянии при прекращении промывки и предотвращать осаждения шлама;
- препятствовать проявлениям неустойчивости пород стенок скважины;
- кольматировать поры и трещины в стенках скважины, создавать в них непроницаемую корку;;
- сохранять стабильность свойств в процессе бурения.
Бетонитовый раствор приготовляется из экологически чистых бентонита (глинопорошка), воды и реагентов, в смесительной установке, смонтированной на базе МАЗ—530 и входящей б состав бурового комплекса.
По рекомендации фирмы VERMEER NftVIGftTOR для данных геологических условий бурения используются бентониты Фирмы "Baroid" типа "BORE - GEL" и “QUIK-GEL" со средним расходом 30-50 кг на 1000 л воды и полимерные добавки для глины - ЕZ-МИД, для песка с гравием - N—VISHI, для легкого песка — FILTER-CHEK со средним расходом 2-3 кг на 1000 л воды.
Для подачи воды в смесительную установку из реки Москвы используется погружной насос типа "Гном" мощностью 2,2 кВт, питающийся электроэнергией от генератора "Хонда" мощностью 4 кВт (водозаборник насоса должен быть оборудован рыбозащитной сеткой).
Применяемые бентонит и добавки должны быть подтверждены экологическими сертификатами.
Ориентировочные средние показатели бурения одной скважины приведены в таблице 4.2.
Таблица 4.2
Наименование |
Количество |
| 1. Диаметр скважины, мм |
360 |
| 2. Длина бурения, м |
210 |
| 3. Объем разбуриваемого грунта, мЗ |
22 |
| 4. Состав пульпы |
1:3,5 |
| 5. Объем воды, мЗ |
80 |
| 6. Количество бентонита, кг |
3200 |
| 7. Количество добавок, кг |
240 |
Указанные в табл. 4.2 данные уточняются в ППР, разрабатываемом строительной организацией с учетом рекомендаций Фирмы — изготовителем бурового комплекса.
8.7. Рекультивация земель
Рекультивацией нарушенных участков территории предусматривается восстановление ранее срезанного растительного слоя грунта общей площадью 0,88 га, в том числе, на правом берегу 0,17 га, на левом берегу 0,71 га.
Растительный грунт разрабатывается во временных отвалах бульдозером с перемещением к месту укладки и разравниванием.
На всех рекультивируемых площадках, кроме сварочно-монтажных площадок, производится боронование и посев многолетних трав.
На сварочно-монтажных площадках производится боронование.
Рекультивационные работы должны выполняться в теплое время года (при нормальной влажности и достаточной несущей способности грунта для прохода машин).
9.МЕРОПРИЯТИЯ ПО ОХРАНЕ ТРУДА
При производстве строительно-монтажных работ необходимо строго соблюдать правила техники безопасности и охраны труда изложенные в следующих нормативных документах;
"Правила безопасности в газовом хозяйстве";
СНиП III-4-80* "Техника безопасности в строительстве";
Правила пожарной безопасности в Российской Федерации (ППБ-01-93) (Утверждены Главным управлением Государственной противопожарной службы МВД России 16.10.1993 г.) ;
Правила устройства и безопасной эксплуатации грузоподъемных кранов (ПБ 10—14—92) (Утверждены Госгортехнадзором России 30.12.1992 г. N 41);
Правила техники безопасности при эксплуатации электроустановок потребителей (Утверждены Главгосзнергонадзором СССР 21.12.1984 г.);
Правила плавания по внутренним водным путям РФ;
Правила техники безопасности при производстве подводно-технических работ на реках и водохранилища;
На строительной площадке охрана труда рабочих должна обеспечиваться выполнением следующих мероприятий:
соблюдением требований по коллективной защите рабочих (ограждение, освещение, вентиляция, защитные и предохранительные устройства, организация проездов и пешеходных проходов и т. п.);
обеспечение работающих санитарно-бытовыми устройствами и помещениями.
Выдача администрацией необходимым средств индивидуальной защиты производится в соответствии с типовыми отраслевыми нормами бесплатной выдачи работникам специальной одежды, специальной обуви и других средств индивидуальной защиты. (Утверждены Постановлениями Минтруда России от O8.12.1997 г. N 61, от 16.12.1997 г. N 63, от 25.12.1997 г. N 66, от 26.12.1997 г. N 67, от 29.12.1997 г. N 68, от 30.12.1997 г. N 69, от 31.12.1997 г. N 70) и Инструкцией о порядке обеспечения рабочих и служащих специальной одеждой, специальной обувью и другими средствами индивидуальной защиты. (Утверждены Госкомтрудом СССР и ВЦСПС 24.05.1983 г.).
На участке строительства необходимо иметь лодку со спасательными принадлежностями и комплект спасательных средств на берегу.
На период контроля за бурением пилотных скважин проектом предусматривается организация двух наблюдательных постов, оснащенных ранней и расположенных в 1,5 км выше и ниже по течению от участка подводного перехода. Наблюдатели должны по рации предупреждать судоводителей приближающихся судов о проведении работ на переходе и одновременно подать команду производителям работ к укладке троса на дно реки.
10. C тоимость строительных работ.
Стоимость строительства в данном проекте принимается укрупнёнными показателями.
Стоимость рассчитывается из расчёта 1.т$ на 1 погонный метр прокладки газопровода методом Наклонно-направленного бурения.
L1=213 м.
L2=199 м.
Где:L1иL2- длинна ниток газопровода верхнего и нижнего.
L=L1+L2=213+199=412 м
Стоимость проекта B=412*1т$=412 т.$
В эту стоимость входят все основные затратные части строительства:
-строительные материалы;
-амортизация машин и механизмов;
-cтоимость рабочей силы;
-проектные работы;
-косвенные затраты;
-мобилизация , демобилизация;
-страхование;
-налог на прибыль;
-НДС;
Стоимость проекта представлена на листе 10.
11.Заключение.
Рабочий проект перекладки 2-х ниточного стального газопровода Р=12 кг/см2, d = 219 мм через р. Москва в р-не г. Жуковский М. О .
Данный переход выполнен способом наклонно направленного бурения, т. к. он является наиболее выгоден с точки зрения экологии , технологии.
Были произведены следущие расчёты:
-Проведена проверка возможной несущей способности трубы зависящей от модуля ползучести материала ,которая зависит от перепада температур,перепад от 0 до 30 градусов.
-Расчёт допустимой овализации и устойчивости круглой формы поперечного сечения газопровода.
-Расчёт усилия проходки пилотной скважины.
-Расчёт продольного усилия в трубопроводе ,возникающего при его прокладке методом наклонно направленного бурения.
- Расчёт вертикальных внешних нагрузок на газопровод.
-Крутящий момент на преодоление осевых сопротивлений .
- Расчёт насоса для бурильной установки.
Расчёты показали что выбранная труба ПЭ 100 SDR9 с номинальным наружным диаметром 225 мм и толщиной стенки 25,2 мм по ТУ 2248-048-00203536-2000 удовлетворяет требованиям СНиП, и нормативных расчётов.
12.Список литературы .
1.СНиП 3.01.01—85* "Организация строительного производства";
2.СНиП 3.01.03-84 "Геодезические работы в строительстве";
3.СНиП 3.01.04-87 "Приемка в эксплуатацию законченных строительством объектов. Основные положения";
4.СНиП 3.02.01—87 "Земляные сооружения, основания и Фундаменты" ;
5.СНиП 3.05.02-88 "Газоснабжение";
6.СНиП 3.04.03.85 "Защита строительных зданий и сооружений от коррозии";
7.СП 42-101-96 "Проектирование и строительство газопроводов из полиэтиленовых труб диаметром до 300 мм.
8.СНиП III-4-80* "Техника безопасности в строительстве
ППБ-01-93 Правила пожарной безопасности в Российской Федерации.
9.Правила устройства и безопасной эксплуатации грузоподъемных кранов (ПБ 10—14—92) (Утверждены Госгортехнадзором России 30.12.1992 г. N 41);
10.Правила техники безопасности при эксплуатации электроустановок потребителей (Утверждены Главгосзнергонадзором СССР 21.12.1984 г.);
11.Правила плавания по внутренним водным путям РФ;
12..СП42-101 - «Общие положения по проектированию и строительству газораспределительных систем из стальных и полиэтиленовых труб» (Метод наклонно-направленного бурения).
Похожие рефераты:
Южно-Ягунское нефтяное месторождение
Отчет о практике специальности Разработка и эксплуатация нефтегазовых месторождений
Строительство газопроводов из полиэтиленовых труб
Закрепление магистральных трубопроводов анкерными устройствами
Расчет и конструирование фундамента под промежуточную опору моста
Эксплуатационные скважины для освоения месторождений Западной Сибири
Бурение и оборудование скважин при подземном выщелачивании полезных ископаемых
Ремонт и обслуживание скважин и оборудования для бурения
Проектирование техологии бурения наклонно-направленной скважины глубиной 1773 м
Применение колтюбинговой технологии в бурении
Проектное решение по разработке месторождения
Проект бурения нефтяной скважины
Бурение эксплуатационной наклонно-направленной скважины на Озерной площади
Проект инженерно-геологических изысканий для застройки второй очереди МКР "Каштак"
Анализ режима работы скважин оборудованных УЭЦН на примере ОАО "Сибнефть"

