| Похожие рефераты | Скачать .docx |
Реферат: Природные источники углеводородов
Оглавление: стр.
Глава 1. ГЕОХИМИЯ НЕФТИ И РАЗВЕДКА ГОРЮЧИХ ИСКОПАЕМЫХ.. 3
§ 1. Происхождение горючих ископаемых. 3
§ 2. Газонефтеродные горные породы. 4
Глава 2. ПРИРОДНЫЕ ИСТОЧНИКИ.. 5
Глава 3. ПРОМЫШЛЕННОЕ ПОЛУЧЕНИЕ УГЛЕВОДОРОДОВ.. 8
Глава 4. ПЕРЕРАБОТКА НЕФТИ.. 9
§ 1. Фракционная перегонка.. 9
§ 2. Крекинг. 12
§ 3. Риформинг. 13
§ 4. Очистка от серы.. 14
Глава 5. ПРИМЕНЕНИЯ УГЛЕВОДОРОДОВ.. 14
§ 1. Алканы.. 15
§ 2. Алкены.. 16
§ 3. Алкины.. 18
§ 4. Арены.. 19
Глава 6. Анализ состояния нефтяной промышленности . 20
Глава 7. Особенности и основные тенденции деятельности нефтяной промышленности. 27
Список использованной литературы... 33
Глава 1. ГЕОХИМИЯ НЕФТИ И РАЗВЕДКА ГОРЮЧИХ ИСКОПАЕМЫХ
§ 1. Происхождение горючих ископаемых.
Первые теории, в которых рассматривались принципы, определяющие залегание месторождений нефти, обычно ограничивались главным образом вопросом о местах ее скопления. Однако за последние 20 лет стало ясно, что для ответа на этот вопрос необходимо разобраться в том, почему, когда и в каких количествах произошло образование нефти в том или ином бассейне, а также понять и установить, в результате каких процессов она зарождалась, мигрировала и накапливалась. Эти сведения совершенно необходимы для повышения результативности разведки нефти.
Образование углеводородных ископаемых, согласно современным воззрениям, происходило в результате протекания сложной последовательности геохимических процессов (см. рис. 1) внутри исходных газонефтеродных горных пород. В этих процессах составные части различных биологических систем (веществ природного происхождения) превращались в углеводороды и в меньшей степени в полярные соединения с различной термодинамической устойчивостью - в результате осаждения веществ природного происхождения и последующего их перекрывания осадочными породами, под влиянием повышенной температуры и повышенного давления в поверхностных слоях земной коры. Первичная миграция жидких и газообразных продуктов из исходного газонефтеродного слоя и последующая их вторичная миграция (через несущие горизонты, сдвиги и т. п.) в пористые нефтенасыщенные горные породы приводит к образованию залежей углеводородных материалов, дальнейшая миграция которых предотвращается запиранием залежей между непористыми слоями горных пород.
В экстрактах органического вещества из осадочных горных пород биогенного происхождения обнаруживаются соединения с такой же химической структурой, какую имеют соединения, извлекаемые из нефти. Для геохимии имеют особо важное значение некоторые из таких соединений, которые считаются «биологическими метками» («химическими ископаемыми»). Подобные углеводороды имеют много общего с соединениями, встречающимися в биологических системах (например, с липидами, пигментами и метаболитами), из которых произошло образование нефти. Эти соединения не только демонстрируют биогенное происхождение природных углеводородов, но и позволяют получать очень важную информацию о газонефтеносных горных породах, а также о характере созревания и происхождения, миграции и биоразложения, приведших к образованию конкретных месторождений газа и нефти.

Рисунок 1 Геохимические процессы, приводящие к образованию ископаемых углеводородов.
§ 2. Газонефтеродные горные породы.
Газонефтеродной горной породой считается мелкодисперсная осадочная порода, которая при естественном осаждении привела или могла привести к образованию и выделению значительных количеств нефти и (или) газа. Классификация таких горных пород основана на учете содержания и типа органического вещества, состояния его метаморфической эволюции (химических превращений, происходящих при температурах приблизительно 50-180 °С), а также природы и количества углеводородов, которые могут быть получены из него. Органическое вещество кероген[1] в осадочных горных породах биогенного происхождения может обнаруживаться в самых разнообразных формах, но его можно подразделить на четыре основных типа.
1) Липтиниты – имеют очень высокое содержание водорода, но низкое содержание кислорода; их состав обусловлен наличием алифатических углеродных цепей. Предполагается, что липтиниты образовались в основном из водорослей (обычно подвергшихся бактериальному разложению). Они имеют высокую способность к превращению в нефть.
2) Экзтиты – имеют высокое содержание водорода (однако ниже, чем у липтинитов), богаты алифатическими цепями и насыщенными нафтенами (алицик-лическими углеводородами), а также ароматическими циклами и кислородсодержащими функциональными группами. Это органическое вещество образуется из таких растительных материалов, как споры, пыльца, кутикулы и другие структурные части растений. Экзиниты обладают хорошей способностью к превращению в нефть и газовый конденсат[2] , а на высших стадиях метаморфической эволюции и в газ.
3) Витршиты – имеют низкое содержание водорода, высокое содержание кислорода и состоят в основном из ароматических структур с короткими алифатическими цепями, связанными кислородсодержащими функциональными группами. Они образованы из структурированных древесных (лигноцеллюлозных) материалов и имеют ограниченную способность превращаться в нефть, но хорошую способность превращаться в газ.
4) Инертиниты – это черные непрозрачные обломочные породы (с высоким содержанием углерода и низким содержанием водорода), которые образовались из сильно изменившихся древесных предшественников. Они не обладают способностью превращаться в нефть и газ.
Главными факторами, по которым распознается газонефтеродная порода, являются содержание в ней керогена, тип органического вещества в керогене и стадия метаморфической эволюции этого органического вещества. Хорошими газонефте-родными породами считаются те, которые содержат 2-4% органического вещества такого типа, из которого могут образовываться и высвобождаться соответствующие углеводороды. При благоприятных геохимических условиях образование нефти может происходить из осадочных пород, содержащих органическое вещество типа липтинита и экзинита. Образование месторождений газа обычно происходит в горных породах, богатых витринитом или в результате термического крекинга первоначально образовавшейся нефти.
В результате последующего погребения осадков органического вещества под верхними слоями осадочных пород это вещество подвергается воздействию все более высоких температур, что приводит к термическому разложению керогена и образованию нефти и газа. Образование нефти в количествах, представляющих интерес для промышленной разработки месторождения, происходит в определенных условиях по времени и температуре (глубине залегания), причем время образования тем больше, чем ниже температура (это нетрудно понять, если предположить, что реакция протекает по уравнению первого порядка и имеет аррениусовскую зависимость от температуры). Например, то же количество нефти, которое образовалось при температуре 100°С приблизительно за 20 миллионов лет, должно образоваться при температуре 90 °С за 40 миллионов лет, а при температуре 80°С – за 80 миллионов лет. Скорость образования углеводородов из керогена приблизительно удваивается при повышении температуры на каждые 10°С. Однако химический состав керогена. может быть чрезвычайно разнообразным, и поэтому указанное соотношение между временем созревания нефти и температурой этого процесса может рассматриваться лишь как основа для приближенных оценок.
Современные геохимические исследования показывают, что в континентальном шельфе Северного моря увеличение глубины на каждые 100 м сопровождается повышением температуры приблизительно на 3°С, а это означает, что богатые органическим веществом осадочные породы образовывали жидкие углеводороды на глубине 2500-4000 м в течение 50-80 миллионов лет. Легкие нефти и конденсаты, по-видимому, образовывались на глубине 4000-5000 м, а метан (сухой газ) – на глубине более 5000 м.
Природными источниками углеводородов являются горючие ископаемые - нефть и газ, уголь и торф. Залежи сырой нефти и газа возникли 100-200 миллионов лет назад из микроскопических морских растений и животных, которые оказались включенными в осадочные породы, образовавшиеся на дне моря, В отличие от этого уголь и торф начали образовываться 340 миллионов лет назад из растений, произраставших на суше.
Природный газ и сырая нефть обычно обнаруживаются вместе с водой в нефтеносных слоях, расположенных между слоями горных пород (рис. 2). Термин «природный газ» применим также к газам, которые образуются в природных условиях в результате разложения угля. Природный газ и сырая нефть разрабатываются на всех континентах, за исключением Антарктиды. Крупнейшими производителями природного газа в мире являются Россия, Алжир, Иран и Соединенные Штаты. Крупнейшими производителями сырой нефти являются Венесуэла, Саудовская Аравия, Кувейт и Иран.
Природный газ состоит главным образом из метана (табл. 1).
Сырая нефть представляет собой маслянистую жидкость, окраска которой может быть самой разнообразной – от темно-коричневой или зеленой до почти бесцветной. В ней содержится большое число алканов. Среди них есть неразветвленные алканы, разветвленные алканы и циклоалканы с числом атомов углерода от пяти до 40. Промышленное название этих циклоалканов-начтены. В сырой нефти, кроме того, содержится приблизительно 10% ароматических углеводородов, а также небольшое количество других соединений, содержащих серу, кислород и азот.

Рисунок 2 Природный газ и сырая нефть обнаруживаются в ловушках между слоями горных пород.
Таблица 1 Состав природного газа
| Компоненты | Формула | Содержание,% |
| Метан | СН4 | 88-95 |
| Этан | С2 Н6 | 3-8 |
| Пропан | С3 Н8 | 0,7-2,0 |
| Бутан | С4 Н10 | 0,2-0,7 |
| Пентан | С5 Н12 | 0,03-0,5 |
| Диоксид углерода | СО2 | 0,6-2,0 |
| Азот | N2 | 0,3-3,0 |
| Гелий | Не | 0,01-0,5 |
Уголь является древнейшим источником энергии, с которым знакомо человечество. Он представляет собой минерал (рис. 3), который образовался из растительного вещества в процессе метаморфизма. Метаморфическими называются горные породы, состав которых подвергся изменениям в условиях высоких давлений, а также высоких температур. Продуктом первой стадии в процессе образования угля является торф, который представляет собой разложившееся органическое вещество. Уголь образуется из торфа после того, как он покрывается осадочными породами. Эти осадочные породы называются перегруженными. Перегруженные осадки уменьшают содержание влаги в торфе.
В классификации углей используются три критерия: чистота (определяется относительным содержанием углерода в процентах); тип (определяется составом исходного растительного вещества); сортность (зависит от степени метаморфизма).
Таблица 2Содержание углерода в некоторых видах топлива и их теплотворная способность
| Топливо | Содержание углерода, % | Теплотворная способность, кДж/кг |
| Дрова | 50,0 | 19 800 |
| Торф | 59,9 | 18 700 |
| Лигнит | 61,8 | 20 900-25 600 |
| Бурый уголь | 69,5 | 27 200 |
| Каменный уголь | 78,7 | 32 100 |
| Антрацит | 91,0 | 32 600 |
Самыми низкосортными видами ископаемых углей являются бурый уголь и лигнит (табл. 2). Они ближе всего к торфу и характеризуются сравнительно низким содержанием углерода и высоким содержанием влаги. Каменный уголь характеризуется меньшим содержанием влаги и широко используется в промышленности. Самый сухой и твердый сорт угля – это антрацит. Его используют для отопления жилищ и приготовления пищи.
В последнее время благодаря техническим достижениям становится все более экономичной газификация угля. Продукты газификации угля включают моноксид углерода, диоксид углерода, водород, метан и азот. Они используются в качестве газообразного горючего либо как сырье для получения различных химических продуктов и удобрений.
Уголь, как это изложено ниже, служит важным источником сырья для получения ароматических соединений.

Рисунок 3 Вариант молекулярной модели низкосортного угля. Уголь представляет собой сложную смесь химических веществ, в состав которых входят углерод, водород и кислород, а также небольшие количества азота, серы и примеси других элементов. Кроме того, в состав угля в зависимости от его сорта входит различное количество влаги и различных минералов.

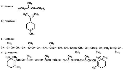
Рисунок 4 Углеводороды, встречающиеся в биологических системах.
Углеводороды встречаются в природе не только в горючих ископаемых, но также и в некоторых материалах биологического происхождения. Натуральный каучук является примером природного углеводородного полимера. Молекула каучука состоит из тысяч структурных единиц, представляющих собой метилбута-1,3-диен (изопрен); ее строение схематически показано на рис. 4. Метилбута- 1,3-диен имеет следующую структуру:

Натуральный каучук. Приблизительно 90% натурального каучука, который добывается в настоящее время во всем мире, получают из бразильского каучуконосного дерева Hevea brasiliensis, культивируемого главным образом в экваториальных странах Азии. Сок этого дерева, представляющий собой латекс (коллоидный водный раствор полимера), собирают из надрезов, сделанных ножом на коре. Латекс содержит приблизительно 30% каучука. Его крохотные частички взвешены в воде. Сок сливают в алюминиевые емкости, куда добавляют кислоту, заставляющую каучук коагулировать.
Многие другие природные соединения тоже содержат изопреновые структурные фрагменты. Например, лимонен содержит два изопреновых фрагмента. Лимонен является главной составной частью масел, извлекаемых из кожуры цитрусовых, например лимонов и апельсинов. Это соединение принадлежит к классу соединений, называемых терпенами. Терпены содержат в своих молекулах 10 атомов углерода (С10 -соединения) и включают два изопреновых фрагмента, соединенных друг с другом последовательно («голова к хвосту»). Соединения с четырьмя изопреновыми фрагментами (С20 -соединения) называются дитерпенами, а с шестью изопреновыми фрагментами -тритерпенами (С30 -соединения). Сквален, который содержится в масле из печени акулы, представляет собой тритерпен. Тетратерпены (С40 -соединения) содержат восемь изопреновых фрагментов. Тетратерпены содержатся в пигментах жиров растительного и животного происхождения. Их окраска обусловлена наличием длинной сопряженной системы двойных связей. Например, β-каротин ответствен за характерную оранжевую окраску моркови.
Глава 3. ПРОМЫШЛЕННОЕ ПОЛУЧЕНИЕ УГЛЕВОДОРОДОВ
Алканы, алкены, алкины и арены получают путем переработки нефти (см. ниже). Уголь тоже является важным источником сырья для получения углеводородов. С этой целью каменный уголь нагревают без доступа воздуха в ретортной печи. В результате получается кокс, каменноугольный деготь, аммиак, сероводород и каменноугольный газ. Этот процесс называется деструктивной перегонкой угля. Путем дальнейшей фракционной перегонки каменноугольного дегтя получают различные арены (табл. 3). При взаимодействии кокса с паром получают водяной газ:
![]()
Таблица 3 Некоторые ароматические соединения, получаемые при фракционной перегонке каменноугольного дегтя (смолы)
| Фракция | Диапазон температур кипения, °С | Главные компоненты |
| Легкое масло | 80-170 | Бензол, метилбензол (толуол) |
| Среднее масло | 170-230 | Фенол, нафталин |
| Тяжелое масло (креозот) | 230-270 | Фенол, нафталин, антрацен |
| Зеленое масло | 270-400 | Антрацен |
| Остаток | >400 | Пек |
Из водяного газа с помощью процесса Фишера-Тропша можно получать алканы и алкены. Для этого водяной газ смешивают с водородом и пропускают над поверхностью железного, кобальтового или никелевого катализатора при повышенной температуре и под давлением 200-300 атм.
![]()
Процесс Фишера - Тропша позволяет также получать из водяного газа метанол и другие органические соединения, содержащие кислород:
![]()
Эта реакция проводится в присутствии катализатора из оксида хрома(III) при температуре 300°С и под давлением 300 атм.
В промышленно слаборазвитых странах такие углеводороды, как метан и этилен, все больше получают из биомассы. Биогаз состоит главным образом из метана. Этилен можно получать путем дегидратации этанола, который образуется в процессах ферментации.
Дикарбид кальция тоже получают из кокса, нагревая его смесь с оксидом кальция при температурах выше 2000°С в электрической печи:
![]()
При взаимодействии дикарбида кальция с водой происходит образование ацетилена. Такой процесс открывает еще одну возможность для синтеза ненасыщенных углеводородов из кокса.
Сырая нефть представляет собой сложную смесь углеводородов и других соединений. В таком виде она мало используется. Сначала ее перерабатывают в другие продукты, которые имеют практическое применение. Поэтому сырую нефть транспортируют танкерами или с помощью трубопроводов к нефтеперерабатывающим заводам.
Переработка нефти включает целый ряд физических и химических процессов: фракционную перегонку, крекинг, риформинг и очистку от серы.
Сырую нефть разделяют на множество составных частей, подвергая ее простой, фракционной и вакуумной перегонке. Характер этих процессов, а также число и состав получаемых фракций нефти зависят от состава сырой нефти и от требований, предъявляемых к различным ее фракциям.
Из сырой нефти прежде всего удаляют растворенные в ней примеси газов, подвергая ее простой перегонке. Затем нефть подвергают первичной перегонке , в результате чего ее разделяют на газовую, легкую и среднюю фракции и мазут. Дальнейшая фракционная перегонка легкой и средней фракций, а также вакуумная перегонка мазута приводит к образованию большого числа фракций. В табл. 4 указаны диапазоны температур кипения и состав различных фракций нефти, а на рис. 5 изображена схема устройства первичной дистилляционной (ректификационной) колонны для перегонки нефти. Перейдем теперь к описанию свойств отдельных фракций нефти.
Таблица 4 Типичные фракции перегонки нефти
Фракция |
Температура кипения, °С | Число атомов углерода в молекуле | Содержание, масс. % |
| Газы | <40 | 1-4 | 3 |
| Бензин | 40-100 | 4-8 | 7 |
| Лигроин (нафта) | 80-180 | 5-12 | 7 |
| Керосин | 160-250 | 10-16 | 13 |
Мазут: Смазочное масло и воск |
350-500 | 20-35 | 25 |
| Битум | >500 | >35 | 25 |

Рисунок 5 Первичная перегонка сырой нефти.
Газовая фракция. Газы, получаемые при переработке нефти, представляют собой простейшие неразветвленные алканы: этан, пропан и бутаны. Эта фракция имеет промышленное название нефтезаводской (нефтяной) газ. Ее удаляют из сырой нефти до того, как подвергнуть ее первичной перегонке, или же выделяют из бензиновой фракции после первичной перегонки. Нефтезаводской газ используют в качестве газообразного горючего или же подвергают его сжижению под давлением, чтобы получить сжиженный нефтяной газ. Последний поступает в продажу в качестве жидкого топлива или используется как сырье для получения этилена на крекинг-установках.
Бензиновая фракция. Эта фракция используется для получения различных сортов моторного топлива. Она представляет собой смесь различных углеводородов, в том числе неразветвленных и разветвленных алканов. Особенности горения неразветвленных алканов не идеально соответствуют двигателям внутреннего сгорания. Поэтому бензиновую фракцию нередко подвергают термическому риформингу, чтобы превратить неразветвленные молекулы в разветвленные. Перед употреблением эту фракцию обычно смешивают с разветвленными алканами, циклоалканами и ароматическими соединениями, получаемыми из других фракций путем каталитического крекинга либо риформинга.
Качество бензина как моторного топлива определяется его октановым числом. Оно указывает процентное объемное содержание 2,2,4-триметилпентана (изооктана) в смеси 2,2,4-триметилпентана и гептана (алкан с неразветвленной цепью), которая обладает такими же детонационными характеристиками горения, как и испытуемый бензин.
Плохое моторное топливо имеет нулевое октановое число, а хорошее топливо-октановое число 100. Октановое число бензиновой фракции, получаемой из сырой нефти, обычно не превышает 60. Характеристики горения бензина улучшаются при добавлении в него антидетонаторной присадки, в качестве которой используется тетраэтилсвинец(IV), Рb(С2 Н5 )4 . Тетраэтилсвинец представляет собой бесцветную жидкость, которую получают при нагревании хлороэтана со сплавом натрия и свинца:
![]()
При горении бензина, содержащего эту присадку, образуются частицы свинца и оксида свинца(II). Они замедляют определенные стадии горения бензинового топлива и тем самым препятствуют его детонации. Вместе с тетраэтилсвинцом в бензин добавляют еще 1,2-дибромоэтан. Он реагирует со свинцом и свинцом(II), образуя бромид свинца(II). Поскольку бромид свинца(II) представляет собой летучее соединение, он удаляется из автомобильного двигателя с выхлопными газами.
Лигроин (нафта). Эту фракцию перегонки нефти получают в промежутке между бензиновой и керосиновой фракциями. Она состоит преимущественно из алканов (табл. 5).
Лигроин получают также при фракционной перегонке легкой масляной фракции, получаемой из каменноугольной смолы (табл. 3). Лигроин из каменноугольной смолы имеет высокое содержание ароматических углеводородов.
Бльшую часть лигроина, получаемого при перегонке нефти, подвергают риформингу для превращения в бензин. Однако значительная его часть используется как сырье для получения других химических веществ.
Таблица 5 Углеводородный состав лигроиновой фракции типичной ближневосточной нефти
Углеводороды |
Число атомов углерода | Содержание, % |
||||
| 5 | 6 | 7 | 8 | 9 | ||
| Неразветвленные алканы | 13 | 7 | 7 | 8 | 5 | 40 |
| Разветвленные алканы | 7 | 6 | 6 | 9 | 10 | 38 |
| Циклоалканы | 1 | 2 | 4 | 5 | 3 | 15 |
| Ароматические соединения | – | – | 2 | 4 | 1 | 7 |
| 100 | ||||||
Керосин . Керосиновая фракция перегонки нефти состоит из алифатических алканов, нафталинов и ароматических углеводородов. Часть ее подвергается очистке для использования в качестве источника насыщенных углеводородов-парафинов, а другая часть подвергается крекингу с целью превращения в бензин. Однако основная часть керосина используется в качестве горючего для реактивных самолетов.
Газойль . Эта фракция переработки нефти известна под названием дизельного топлива. Часть ее подвергают крекингу для получения нефтезаводского газа и бензина. Однако главным образом газойль используют в качестве горючего для дизельных двигателей. В дизельном двигателе зажигание топлива производится в результате повышения давления. Поэтому они обходятся без свечей зажигания. Газойль используется также как топливо для промышленных печей.
Мазут . Эта фракция остается после удаления из нефти всех остальных фракций. Большая его часть используется в качестве жидкого топлива для нагревания котлов и получения пара на промышленных предприятиях, электростанциях и в корабельных двигателях. Однако некоторую часть мазута подвергают вакуумной перегонке для получения смазочных масел и парафинового воска. Смазочные масла подвергают дальнейшей очистке путем экстракции растворителя. Темный вязкий материал, остающийся после вакуумной перегонки мазута, называется «битум», или «асфальт». Он используется для изготовления дорожных покрытий.
Мы рассказали о том, как фракционная и вакуумная перегонка наряду с экстракцией растворителями позволяет разделить сырую нефть на различные практически важные фракции. Все эти процессы являются физическими. Но для переработки нефти используются еще и химические процессы. Эти процессы можно подразделить на два типа: крекинг и риформинг.
В этом процессе крупные молекулы высококипящих фракций сырой нефти расщепляются на меньшие молекулы, из которых состоят низкокипящие фракции. Крекинг необходим потому, что потребности в низкокипящих фракциях нефти – особенно в бензине – часто опережают возможности их получения путем фракционной перегонки сырой нефти.
В результате крекинга кроме бензина получают также алкены, необходимые как сырье для химической промышленности. Крекинг в свою очередь подразделяется на три важнейших типа: гидрокрекинг, каталитический крекинг и термический крекинг.
Гидрокрекинг . Эта разновидность крекинга позволяет превращать высококипящие фракции нефти (воски и тяжелые масла) в низкокипящие фракции. Процесс гидрокрекинга заключается в том, что подвергаемую крекингу фракцию нагревают под очень высоким давлением в атмосфере водорода. Это приводит к разрыву крупных молекул и присоединению водорода к их фрагментам. В результате образуются насыщенные молекулы небольших размеров. Гидрокрекинг используется для получения газойля и бензинов из более тяжелых фракций.
Каталитический крекинг. Этот метод приводит к образованию смеси насыщенных и ненасыщенных продуктов. Каталитический крекинг проводится при сравнительно невысоких температурах, а в качестве катализатора используется смесь кремнезема и глинозема. Таким путем получают высококачественный бензин и ненасыщенные углеводороды из тяжелых фракций нефти.
Термический крекинг. Крупные молекулы углеводородов, содержащихся в тяжелых фракциях нефти, могут быть расщеплены на меньшие молекулы путем нагревания этих фракций до температур, превышающих их температуру кипения. Как и при каталитическом крекинге, в этом случае получают смесь насыщенных и ненасыщенных продуктов. Например,
![]()
Термический крекинг имеет особенно важное значение для получения ненасыщенных углеводородов, например этилена и пропена. Для термического крекинга используются паровые крекинг-установки. В этих установках углеводородное сырье сначала нагревают в печи до 800°С, а затем разбавляют его паром. Это увеличивает выход алкенов. После того как крупные молекулы исходных углеводородов расщепятся на более мелкие молекулы, горячие газы охлаждают приблизительно до 400СС водой, которая превращается в сжатый пар. Затем охлажденные газы поступают в ректификационную (фракционную) колонну, где они охлаждаются до 40°С. Конденсация более крупных молекул приводит к образованию бензина и газойля. Несконденсировавшиеся газы сжимают в компрессоре, который приводится в действие сжатым паром, полученным на стадии охлаждения газов. Окончательное разделение продуктов производится в колоннах фракционной перегонки.
Таблица 6 Выход продуктов крекинга с паром из различного углеводородного сырья (масс. %)
| Продукты | Углеводородное сырье | |
| Этан | Лигроин | |
| Водород | 10 | 1 |
| Метан | 6 | 15 |
| Этилен | 76 | 30 |
| Пропен | 3 | 16 |
| Бутен | 1 | 5 |
| Бута- 1,3 -диен | 2 | 5 |
| Бензин | 2 | 23 |
| Жидкое топливо | — | 4 |
В европейских странах главным сырьем для получения ненасыщенных углеводородов с помощью каталитического крекинга является лигроин. В Соединенных Штатах главным сырьем для этой цели служит этан. Его легко получают на нефтеперерабатывающих заводах как один из компонентов сжиженного нефтяного газа или же из природного газа, а также из нефтяных скважин как один из компонентов природных сопутствующих газов. В качестве сырья для крекинга с паром используются также пропан, бутан и газойль. Продукты крекинга этана и лигроина указаны в табл. 6.
Реакции крекинга протекают по радикальному механизму.
В отличие от процессов крекинга, которые заключаются в расщеплении более крупных молекул на менее крупные, процессы риформинга приводят к изменению структуры молекул или к их объединению в более крупные молекулы. Риформинг используется в переработке сырой нефти для превращения низкокачественных бензиновых фракций в высококачественные фракции. Кроме того, он используется с целью получения сырья для нефтехимической промышленности. Процессы риформинга могут быть подразделены на три типа: изомеризация, алкилирование, а также циклизация и ароматизация.
Изомеризация . В этом процессе молекулы одного изомера подвергаются перегруппировке с образованием другого изомера. Процесс изомеризации имеет очень важное значение для повышения качества бензиновой фракции, получаемой после первичной перегонки сырой нефти. Мы уже указывали, что эта фракция содержит слишком много неразветвленных алканов. Их можно превратить в разветвленные алканы, нагревая данную фракцию до 500-600°С под давлением 20-50 атм. Этот процесс носит название термического риформинга.
Для изомеризации неразветвленных алканов может также применяться каталитический риформинг . Например, бутан можно изомеризовать, превращая его в 2-метил-пропан, с помощью катализатора из хлорида алюминия при температуре 100°С или выше:
![]()
Эта реакция имеет ионный механизм, который осуществляется с участием карбка-тионов.
Алкилирование . В этом процессе алканы и алкены, которые образовались в результате крекинга, воссоединяются с образованием высокосортных бензинов. Такие алканы и алкены обычно имеют от двух до четырех атомов углерода. Процесс проводится при низкой температуре с использованием сильнокислотного катализатора, например серной кислоты:

Эта реакция протекает по ионному механизму с участием карбкатиона (СН3 )3 С+ .
Циклизация и ароматизация. При пропускании бензиновой и лигроиновой фракций, полученных в результате первичной перегонки сырой нефти, над поверхностью таких катализаторов, как платина или оксид молибдена(VI), на подложке из оксида алюминия, при температуре 500°С и под давлением 10-20 атм происходит циклизация с последующей ароматизацией гексана и других алканов с более длинными неразветвленными цепями:

Отщепление водорода от гексана, а затем от циклогексана называется дегидрированием . Риформинг этого типа в сущности представляет собой один из процессов крекинга. Его называют платформингом, каталитическим риформингом или просто риформингом. В некоторых случаях в реакционную систему вводят водород, чтобы предотвратить полное разложение алкана до углерода и поддержать активность катализатора. В этом случае процесс называется гидроформингом.
Сырая нефть содержит сероводород и другие соединения, содержащие серу. Содержание серы в нефти зависит от месторождения. Нефть, которую получают из континентального шельфа Северного моря, имеет низкое содержание серы. При перегонке сырой нефти органические соединения, содержащие серу, расщепляются, и в результате образуется дополнительное количество сероводорода. Сероводород попадает в нефтезаводской газ или во фракцию сжиженного нефтяного газа. Поскольку сероводород обладает свойствами слабой кислоты, его можно удалить, обрабатывая нефтепродукты каким-либо слабым основанием. Из полученного таким образом сероводорода можно извлекать серу, сжигая сероводород в воздухе и пропуская продукты сгорания над поверхностью катализатора из оксида алюминия при температуре 400°С. Суммарная реакция этого процесса описывается уравнением
![]()
Приблизительно 75% всей элементной серы, используемой в настоящее время промышленностью несоциалистических стран, извлекают из сырой нефти и природного газа.
Глава 5. ПРИМЕНЕНИЯ УГЛЕВОДОРОДОВ
Приблизительно 90% всей добываемой нефти используют в качестве топлива. Несмотря на то, что та часть нефти, которая используется для получения нефтехимических продуктов, мала, эти продукты имеют очень большое значение. Из продуктов перегонки нефти получают много тысяч органических соединений (табл. 7). Они в свою очередь используются для получения тысяч продуктов, которые удовлетворяют не только насущные потребности современного общества, но и потребности в комфорте (рис. 6).
Таблица 7 Углеводородное сырье для химической промышленности
| Сырье | Химические продукты |
| Алканы | |
| Метан | Метанол, уксусная кислота, хлорометан, этилен |
| Этан | Этилхлорид, тетраэтилсвинец(IV) |
| Пропан | Метаналь, этаналь |
| Алкены | |
| Этилен | Полиэтилен, полихлороэтилен (поливинилхлорид), полиэфиры, этанол, этаналь (ацетальдегид) |
| Пропен | Полипропилен, пропанон (ацетон), пропеналь, пропан- 1,2,3-триол (глицерин), пропеннитрил (акрилонитрил), эпоксипропан |
| Бутены | Синтетический каучук |
| Алкины | |
| Ацетилен | Хлороэтилен (винилхлорид), 1,1,2,2-тетрахлороэтан |
| Арены | |
| Бензол | (1-Метил)бензол, фенол, полифенилэтилен |
Хотя различные группы химических продуктов, указанные на рис. 6, в широком смысле обозначены как нефтехимические продукты, поскольку их получают из нефти, следует отметить, что многие органические продукты, в особенности ароматические соединения, в промышленности получают из каменноугольной смолы и других источников сырья. И все же приблизительно 90% всего сырья для органической промышленности получают из нефти.
Ниже будут рассмотрены некоторые типичные примеры, показывающие использование углеводородов в качестве сырья для химической промышленности.

Рисунок 6 Применения продуктов нефтехимической промышленности.
§ 1. Алканы
Метан является не только одним из важнейших видов топлива, но имеет еще и множество других применений. Он используется для получения так называемого синтез-газа , или сингаза. Подобно водяному газу, который получают из кокса и пара, синтез-газ представляет собой смесь моноксида углерода и водорода. Синтез-газ получают, нагревая метан или лигроин приблизительно до 750°С под давлением порядка 30 атм в присутствии никелевого катализатора:
![]()
Синтез-газ используется для получения водорода в процессе Габера (синтез аммиака).
Синтез-газ используется также для получения метанола и других органических соединений. В процессе получения метанола синтез-газ пропускают над поверхностью катализатора из оксида цинка и меди при температуре 250°С и давлении 50-100 атм, что приводит к реакции
![]()
Синтез-газ, используемый для проведения этого процесса, должен быть тщательно очищен от примесей.
Метанол нетрудно подвергнуть каталитическому разложению, при котором из него снова получается синтез-газ. Это очень удобно использовать для транспортировки синтез-газа. Метанол является одним из важнейших видов сырья для нефтехимической промышленности. Он используется, например, для получения уксусной кислоты:
![]()
Катализатором для этого процесса является растворимый анионный комплекс родия [Rh(CO)2 I2 ]. Этот способ используется для промышленного получения уксусной кислоты, потребности в которой превосходят масштабы ее получения в результате процесса ферментации.
Растворимые соединения родия, возможно, станут использоваться в будущем в качестве гомогенных катализаторов процесса получения этан-1,2-диола из синтез-газа:
![]()
Эта реакция протекает при температуре 300°С и давлении порядка 500-1000 атм. В настоящее время такой процесс экономически невыгоден. Продукт этой реакции (его тривиальное название - этиленгликоль) используется в качестве антифриза и для получения различных полиэфиров, например терилена.
Метан используется также для получения хлорометанов, например трихлоро-метана (хлороформа). Хлорометаны имеют разнообразные применения. Например, хлорометан используется в процессе получения силиконов.
Наконец, метан все больше используется для получения ацетилена
![]()
Эта реакция протекает приблизительно при 1500°С. Чтобы нагреть метан до такой температуры, его сжигают в условиях ограниченного доступа воздуха.
Этан тоже имеет ряд важных применений. Его используют в процессе получения хлороэтана (этилхлорида). Как было указано выше, этилхлорид используется для получения тетраэтилсвинца(IV). В Соединенных Штатах этан является важным сырьем для получения этилена (табл. 6).
Пропан играет важную роль в промышленном получении альдегидов, например метаналя (муравьиного альдегида) и этаналя (уксусного альдегида). Эти вещества имеют особенно важное значение в производстве пластмасс. Бутан используется для получения бута-1,3-диена, который, как будет описано ниже, используется для получения синтетического каучука.
§ 2. Алкены
Этилен . Одним из важнейших алкенов и вообще одним из самых важных продуктов нефтехимической промышленности является этилен. Он представляет собой сырье для получения многих пластмасс. Перечислим их.
Полиэтилен . Полиэтилен представляет собой продукт полимеризации этилена:
![]()
Полихлороэтилен . Этот полимер имеет еще название поливинилхлорид (ПВХ). Его получают из хлороэтилена (винилхлорида), который в свою очередь получают из этилена. Суммарная реакция:
![]()
1,2-Дихлороэтан получают в виде жидкости либо газа, используя в качестве катализатора хлорид цинка либо хлорид железа(III).
При нагревании 1,2-дихлороэтана до температуры 500°С под давлением 3 атм в присутствии пемзы образуется хлороэтилен (винилхлорид)
![]()
Другой способ получения хлороэтилена основан на нагревании смеси этилена, хлоро-водорода и кислорода до 250°С в присутствии хлорида меди(II) (катализатор):
![]()
Полиэфирное волокно. Примером такого волокна является терилен. Его получают из этан-1,2-диола, который в свою очередь синтезируют из эпоксиэтана (этиленоксида) следующим образом:

Этан-1,2-диол (этиленгликоль) используется также в качестве антифриза и для получения синтетических моющих средств.
Этанол получают гидратацией этилена, используя в качестве катализатора фосфорную кислоту на носителе из кремнезема:
![]()
Этанол используется для получения этаналя (ацетальдегида). Кроме того, его используют в качестве растворителя для лаков и политур, а также в косметической промышленности.
Наконец, этилен используется еще для получения хлороэтана, который, как было указано выше, применяется для изготовления тетраэтилсвинца(IV) - антидетонаторной присадки к бензинам.
Пропен . Пропен (пропилен), как и этилен, используется для синтеза разнообразных химических продуктов. Многие из них используются в производстве пластмасс и каучуков.
Полипропен . Полипропен представляет собой продукт полимеризации пропена:
![]()
Пропанон и пропеналь. Пропанон (ацетон) широко используется в качестве растворителя, а кроме того, применяется в производстве пластмассы, известной под названием плексигласа (полиметилметакрилат). Пропанон получают из (1-метилэтил) бензола или из пропан-2-ола. Последний получают из пропена следующим образом:

Окисление пропена в присутствии катализатора из оксида меди(II) при температуре 350°С приводит к получению пропеналя (акрилового альдегида):
![]()
Пропан-1,2,3-триол. Пропан-2-ол, пероксид водорода и пропеналь, получаемые в описанном выше процессе, могут использоваться для получения пропан-1,2,3-триола (глицерина):


Глицерин применяется в производстве целлофановой пленки.
Пропеннитрил (акрилонитрил). Это соединение используется для получения синтетических волокон, каучуков и пластмасс. Его получают, пропуская смесь пропена, аммиака и воздуха над поверхностью молибдатного катализатора при температуре 450°С:
![]()
Метилбута-1,3-диен (изопрен). Его полимеризацией получают синтетические каучуки. Изопрен получают с помощью следующего многостадийного процесса:

Эпоксипропан используется для получения полиуретановых пенопластов, полиэфиров и синтетических моющих средств. Его синтезируют следующим образом:

Бут-1-ен, бут-2-ен и бута-1,2-диен используются для получения синтетических каучуков. Если в качестве сырья для этого процесса используются бутены, их сначала превращают в бута-1,3-диен путем дегидрирования в присутствии катализатора - смеси оксида хрома(Ш) с оксидом алюминия:
![]()
§ 3. Алкины
Важнейшим представителем ряда алкинов является этин (ацетилен). Ацетилен имеет многочисленные применения, например:
– в качестве горючего в кислородно-ацетиленовых горелках для резки и сварки металлов. При горении ацетилена в чистом кислороде в его пламени развивается температура до 3000°С;
– для получения хлороэтилена (винилхлорида), хотя в настоящее время важнейшим сырьем для синтеза хлороэтилена становится этилен (см. выше).
– для получения растворителя 1,1,2,2-тетрахлороэтана.
§ 4. Арены
Бензол и метилбензол (толуол) получают в больших количествах при переработке сырой нефти. Поскольку метилбензол получают при этом даже в бльших количествах, чем необходимо, часть его превращают в бензол. С этой целью смесь метилбензола с водородом пропускают над поверхностью платинового катализатора на носителе из оксида алюминия при температуре 600°С под давлением:

Этот процесс называется гидроалкилированием .
Бензол используется в качестве исходного сырья для получения ряда пластмасс.
(1-Метилэтил)бензол (кумол или 2-фенилпропан). Его используют для получения фенола и пропанона (ацетона). Фенол применяется для синтеза различных каучуков и пластмасс. Ниже указаны три стадии процесса получения фенола.

Поли(фенилэтилен) (полистирол). Мономером этого полимера является фенил-этилен (стирол). Его получают из бензола:

Глава 6. Анализ состояния нефтяной промышленности .
Доля России в мировой добыче минерального сырья остается высокой и составляет по нефти 11.6%, по газу — 28.1, углю — 12-14%. По объему разведанных запасов минерального сырья Россия занимает ведущее положение в мире. При занимаемой территории в 10% в недрах России сосредоточено 12-13% мировых запасов нефти, 35% — газа, 12% — угля. В структуре минерально-сырьевой базы страны более 70% запасов приходится на ресурсы топливно-энергетического комплекса (нефть, газ, уголь). Общая стоимость разведанного и оцененного минерального сырья составляет сумму 28.5 трлн долларов, что на порядок превосходит стоимость всей приватизируемой недвижимости России.
Таблица 8 Топливно-энергетический комплекс Российской Федерации
| Показатели | 1990 | 1991 | 1992 | 1993 | 1994 | 1995 | 1996 | 1997 | 1998 |
| Добыча нефти и газоконденсата, млн. т. | 518 | 461,1 | 399 | 354 | 318 | 307 | 301,7 | 305,6 | 303,2 |
| Добыча природного газа, млрд. м3 | 640,2 | 640,3 | 640 | 617 | 607 | 595 | 601,5 | 571 | 591 |
| Добыча угля, млн. т. | 396,2 | 354,4 | 337 | 305 | 271 | 262 | 255 | 244 | 232,2 |
Топливно-энергетический комплекс является опорой отечественной экономики: доля ТЭК в общем объеме экспорта в 1996 г. составит почти 40% (25 млрд долл.). Около 35% всех доходов федерального бюджета на 1996 г. (121 из 347 трлн руб.) планируется получить за счет деятельности предприятий комплекса. Ощутима доля ТЭК в общем объеме товарной продукции, которую российские предприятия планируют выпустить в 1996 г. Из 968 трлн руб. товарной продукции (в действующих ценах) доля предприятий ТЭК составит почти 270 трлн руб., или более 27% (табл. 8). ТЭК остается крупнейшим промышленным комплексом, осуществляющим капитальные вложения (более 71 трлн руб. в 1995 г.) и привлекающим инвестиции (1.2 млрд долл. только от Всемирного банка за два последних года) в предприятия всех своих отраслей.
Нефтяная промышленность Российской Федерации на протяжении длительного периода развивалась экстен сивно. Это достигалось за счет открытия и ввода в эксплуатацию в 50-70-х годах крупных высокопродуктивных месторождений в Урало-Поволжье и Западной Сибири, а также строительством новых и расширением действующих нефтеперерабатывающих заводов. Высокая продуктивность месторождений позволила с минимальными удельными капитальными вложениями и сравнительно небольшими затратами материально-технических ресурсов наращивать добычу нефти по 20-25 млн т в год. Однако при этом разработка месторождений велась недопустимо высокими темпами (от 6 до 12% отбора от начальных запасов), и все эти годы в нефтедобывающих районах серьезно отставали инфраструктура и жилищно-бытовое строительство. В 1988 г. в России было добыто максимальное количество нефти и газового конденсата — 568.3 млн т, или 91% общесоюзной добычи нефти. Недра территории России и прилегающих акваторий морей содержат около 90% разведанных запасов нефти всех республик, входивших ранее в СССР. Во всем мире минерально-сырьевая база развивается по схеме расширения воспроизводства. То есть ежегодно необходимо передавать промысловикам новых месторождений на 10-15% больше, чем они вырабатывают. Это необходимо для поддержания сбалансированности структуры производства, чтобы промышленность не испытывала сырьевого голода. В годы реформ остро встал вопрос инвестиций в геологоразведку. На освоение одного миллиона тонн нефти необходимы вложения в размере от двух до пяти миллионов долларов США. Причем эти средства дадут отдачу только через 3-5 лет. Между тем для восполнения падения добычи необходимо ежегодно осваивать 250-300 млн т нефти. За минувшие пять лет разведано 324 месторождения нефти и газа, введено в эксплуатацию 70-80 месторождений. На геологию в 1995 г. было истрачено лишь 0.35% ВВП (в бывшем СССР эти затраты были в три раза выше). На продукцию геологов — разведанные месторождения — существует отложенный спрос. Однако в 1995 г. геологической службе все же удалось остановить падение производства в своей отрасли. Объемы глубокого разведочного бурения в 1995 г. возросли на 9% по сравнению с 1994 г. Из 5.6 трлн рублей финансирования 1.5 трлн рублей геологи получали централизованно. На 1996 г. бюджет Роскомнедра составляет 14 трлн рублей, из них 3 трлн — централизованные инвестиции. Это лишь четверть вложений бывшего СССР в геологию России.
Сырьевая база России при условии формирования соответствующих экономических условий развития геологоразведочных работ может обеспечить на сравнительно длительный период уровни добычи, необходимые для удовлетворения потребностей страны в нефти. Следует учитывать, что в Российской Федерации после семидесятых годов не было открыто ни одного крупного высокопродуктивного месторождения, а вновь приращиваемые запасы по своим кондициям резко ухудшаются. Так, например, по геологическим условиям средний дебит одной новой скважины в Тюменской области упал с 138 т в 1975 г. до 10-12т в 1994 г., т. е. более чем в 10 раз. Значительно возросли затраты финансовых и материально-технических ресурсов на создание 1 т новой мощности. Состояние разработки крупных высокопродуктивных месторождений характеризуется выработкой запасов в объемах 60-90% от начальных извлекаемых запасов, что предопределило естественное падение добычи нефти.
В связи с высокой выработанностью крупных высокопродуктивных месторождений качество запасов изменилось в худшую сторону, что требует привлечения значительно больших финансовых и материально-технических ресурсов для их освоения. Из-за сокращения финансирования недопустимо уменьшились объемы геологоразведочных работ, и как следствие снизились приросты запасов нефти. Если в 1986-1990 гг. по Западной Сибири прирост запасов составлял 4.88 млрд т, то в 1991-1995 гг. из-за снижения объемов разведочного бурения этот прирост снизился почти вдвое и составил 2.8 млрд т. В создавшихся условиях для обеспечения потребностей страны даже на ближайшую перспективу требуется принятие государственных мер по наращиванию сырьевой оазы.
Переход к рыночным отношениям диктует необходимость изменения подходов к установлению экономических условий для функционирования предприятий, относя щихся к горнодобывающим отраслям промышленности. В нефтяной отрасли, характеризующейся невозобновляющимися ресурсами ценного минерального сырья — нефти, существующие экономические подходы исключают из разработки значительную часть запасов из-за неэффективности их освоения по действующим экономическим критериям. Оценки показывают, что по отдельным нефтяным компаниям по экономическим причинам не могут быть вовлечены в хозяйственный оборот от 160 до 1057 млн. т запасов нефти.
Нефтяная промышленность, имея значительную обеспеченность балансовыми запасами, в последние годы ухудшает свою работу. В среднем падение добычи нефти в год по дей ствующему фонду оценивается в 20%. По этой причине, чтобы сохранить достигнутый уровень добычи нефти в России, необходимо ввдить новые мощности на 115-120 млн. т в год, для чего требуется пробурить 62 млн. м эксплуатационных скважин, а фактически в 1991 г. пробурено 27.5 млн м, а в 1995 – 9.9 млн. м.
Отсутствие средств привело к резкому сокращению объемов промышленного и гражданскоого строительства, особенно в Западной Сибири. Вследствие этого произошло уменьшение работ по обустройству нефтяных месторождений, строительству и реконструкции систем сбора и транспорта нефти, строительству жилья, школ, больниц и других объектов, что явилось одной из причин напряженной социальной обстановки в нефтедобывающих регионах. Программа строительства объектов утилизации попутного газа была сорвана. В результате в факелах сжигается ежегодно более 10 млрд. м3 нефтяного газа. Из-за невозможности реконструкции нефтепроводных систем на промыслах постоянно происходят многочисленные порывы трубопроводов. Только в 1991 г. по этой причине потеряно более 1 млн т нефти и нанесен большой урон окружающей среде. Сокращение заказов на строительство привело к распаду в Западной Сибири мощных строительных организаций.
Одной из основных причин кризисного состояния нефтяной промышленности является также отсутствие необходимого промыслового оборудования и труб. В среднем дефицит в обеспечении отрасли материально-техническими ресурсами превышает 30%. За последние годы не создано ни одной новой крупной производственной единицы по выпуску нефтепромыслового оборудования, более того, многие заводы этого профиля сократили производство, а выделяемых средств для валютных закупок оказалось недостаточно.
Из-за плохого материально-технического обеспечения число простаивающих эксплуатационных скважин превысило 25 тыс. ед., в том числе сверхнормативно простаивающих — 12 тыс. ед. По скважинам, простаивающим сверхнормативно, ежесуточно теряется около 100 тыс. т нефти.
Острой проблемой для дальнейшего развития нефтяной промышленности остается ее слабая оснащенность высокопроизводительной техникой и оборудованием для добычи нефти и газа. К 1990 г. в отрасли половина технических средств имела износ более 50%, только 14% машин и оборудования соответствовало мировому уровню, потребность по основным видам продукции удовлетворялась в среднем на 40-80%. Такое положение с обеспечением отрасли оборудованием явилось следствием слабого развития нефтяного машиностроения страны. Импортные поставки в общем объеме оборудования достигли 20%, а по отдельным видам доходят и до 40%. Закупка труб достигает 40 - 50%.
С распадом Союза усугубилось положение с поставками нефтепромыслового оборудования из республик СНГ: Азербайджана, Украины, Грузии и Казахстана. Являясь монопольными производителями многих видов продукции, заводы этих республик взвинчивали цены и сокращали поставки оборудования. Только на долю Азербайджана в 1991 г. приходилось порядка 37% выпускаемой для нефтяников продукции.
В результате разрушения системы материально-технического обеспечения, сокращения бюджетного финансирования и невозможности самофинансирования буровых работ нефтедобывающими объединениями из-за низкой цены на нефть и безудержно растущих ц ен на материально-технические ресурсы началось сокращение объемов буровых работ. Из года в год сокращается создание новых нефтедобывающих мощностей и происходит резкое падение добычи нефти.
Значительный резерв сокращения объема буровых работ — повышение дебита новых скважин за счет совершенствования вскрытия нефтяных пластов. В этих целях необходимо кратное увеличение бурения горизонтальных скважин, дающих увеличение дебита против стандартных скважин до 10 и более раз. Решение вопросов качественного вскрытия пластов позволит повысить первоначальный дебит скважин на 15-25%.
В связи с систематической недопоставкой в последние годы нефтегазодобывающим предприятиям материально-технических ресурсов для поддержания фонда в работоспособном состоянии использование его резко ухудшилось. Косвенной причиной роста неработающего фонда скважин является также низкое качество оборудования, поставляемого отечественными заводам и, что ведет к неоправданному росту объемов ремонтных работ.
Таким образом, нефтяная промышленность России к 1992 г. уже вступила в кризисное состояние несмотря на то, что она располагала достаточными промышленными запасами нефти и большими потенциальными ресурсами. Однако за период с 1988 по 1995 гг. уровень добычи нефти снизился на 46.3%. Переработка нефти в Российской Федерации сосредоточена в основном на 28 нефтеперерабатывающих заводах (НПЗ): на 14 предприятиях объем переработки нефти превышал 10 млн т в год и на них перерабатывалось 74.5% всего объема поступающей нефти, на 6 предприятиях объем переработки составлял от 6 до 10 млн тв год и на остальных 8 заводах — менее 6 млн т в год (минимальный объем переработки 3.6 млн т в год, максимальный — около 25 млн т в год).
Мощности отдельных НПЗ РФ по объемам перерабатываемого сырья, структура их производственных фондов существенно отличаются от зарубежных нефтеперерабатывающих предприятий. Так, основная доля нефти в США перерабатывается на НПЗ мощностью 4-12 млн т/год, в Западной Европе — 3-7 млн т в год. В табл. 9 приведены показатели производства основных нефтепродуктов в РФ и развитых капиталистических странах.
Таблица 9 Показатели производства основных нефтепродуктов в РФ и развитых капиталистических странах.
| Страна вскрытия нефтяных пластов. | Объем производства | |||||
| Бензин | Дизельное топливо | Мазут | С мазочные масла | Битумы | Кокс | |
| Россия | 45.5 | 71.4 | 96.8 | 4.7 | 8.1 | 0.99 |
| США | 300.2 | 145.4 | 58.4 | 9.0 | 26.2 | 36.2 |
| Япония | 28.7 | 44.6 | 38.8 | 2.0 | 5.8 | 0.4 |
| Германия | 20.2 | 33.7 | 9.0 | 1.4 | 2.7 | 1.4 |
| Франция | 15.6 | 27.7 | 12.5 | 1.7 | 2.8 | 0.9 |
| Великобритания | 27.2 | 25.4 | 16.5 | 0.9 | 2.1 | 1.5 |
| Италия | 15.9 | 26.2 | 24.8 | 1.1 | 2.4 | 0.8 |
В структуре производства и потребления РФ значительно больший удельный вес занимают тяжелые остаточные нефтепродукты. Выход светлых близок к их потенциальному содержанию в нефти (48-49%), что указывает на низкое использование вторичных процессов глубокой переработки нефти в структуре отечественной нефтепереработки. Средняя глубина переработки нефти (отношение светлых нефтепродуктов к объему переработки нефти) составляет около 62- 63%. Для сравнения, глубина переработки на НПЗ промышленно развитых стран составляет 75-80% (в США — около 90%) С начала 90-х годов в условиях относительно стабильного спроса на светлые нефтепродукты наблюдалось понижение уровня загрузки по большинству процессов. Дальнейшее падение этого показателя и, как следствие, глубина переработки, достигшей минимума в 1994 г. (61.3%), вызвана снижением потребления моторного топлива в условиях углубляющегося спада промышленного производства по России в целом. На отечественных заводах недостаточно развиты процессы гидроочистки дистиллятов, отсутствует гидроочистка нефтяных остатков. НПЗ являются крупными источниками загрязнения окружающей среды: суммарные выбросы вредных веществ (диоксида серы, окиси углерода, окислов азота, сероводорода и др.) в 1990 г. составили 4.5 кг на тонну переработанной нефти.
Сравнивая мощности углубляющих и облагораживающих процессов на предприятиях Российской Федерации с аналогичными данными по зарубежным странам, можно отметить, что удельный вес мощностей каталитического крекинга в 3 раза меньше, чем в ФРГ, в 6 раз меньше, чем в Англии, и в 8 раз ниже по сравнению с США. До сих пор практически не используется один из прогрессивных процессов — гидрокрекинг вакуумного газойля. Такая структура все меньше соответствует потребностям национального рынка, поскольку приводит, как уже отмечалось, к избыточному производству мазута при дефиците высококачественных моторных топлив.
Упомянутый выше спад производительности головного и вторичных процессов лишь отчасти является следствием снижения поставок нефти на нефтеперерабатывающие предприятия и платежеспособного спроса потребителей, а также большой изношенности технологического оборудования. Из более 600 основных технологических установок отечественных НПЗ только 5.2% (в 1991 г.— 8.9%) имеют срок эксплуатации менее 10 лет. Подавляющее же большинство (67.8%) введено в строй более 25 лет назад и требует замены. Состояние установок первичной перегонки в Российской Федерации в целом наиболее неудовлетворительное.
Прямым следствием неудовлетворительного состояния основных фондов нефтеперерабатывающей промышленности является высокая себестоимость и низкое качество товарных нефтепродуктов. Так, не подвергающийся гидрообессе-риванию мазут имеет низкий спрос на мировом рынке и используется лишь в качестве сырья для производства светлых нефтепродуктов.
Ужесточение в 80-х годах в большинстве промышленно развитых стран правительственного контроля за состоянием окружающей среды привело к значительному изменению технико-технологической структуры зарубежных НПЗ. Новые стандарты качества моторных топлив (так называемых "реформулированных" моторных топлив) предусматривают:
— для бензинов — значительное снижение содержания ароматических (бензола до 1%) и олефиновых углеводородов, сернистых соединений, показателя летучести, обязательное добавление кислородсодержащих соединений (до 20%);
— для дизельных топлив — снижение содержания ароматических углеводородов до 20-10% и сернистых соединений до 0,1-0,02%.
В 1992 г. доля неэтилированных бензинов в общем производстве бензинов в США превысила 90%, в Германии — 70%. Япония производила только неэтилированные бензины.
На отечественных НПЗ продолжается производство этилированного бензина. Доля неэтилированных бензинов в общем объеме производства авто бензинов в 1991 г. составила 27.8%. Удельный вес их производства практически не увеличивался в течение последних лет и составил в настоящее время около 45%. Основная причина заключается в отсутствии финансовых средств на модернизацию и строительство установок, производящих высокооктановые компоненты, а также мощ ностей по производству катализаторов. На предприятиях России в основном вырабатывали автобензин А-76, не отвечающий современным требованиям развития двигателестроения. Несколько лучше состояние производства дизельного топлива как экспортно-способного продукта. Доля малосернистого топлива с содержанием серы до 0.2% в 1991 г. составила 63.8%, в 1995г. - до 76%.
В 1990-1994 гг. быстрыми темпами сокращались производство и ассортимент смазочных масел. Если в 1991 г. общий объем производства масел составил 4684.7 тыс. т, то в 1994 г. — 2127.6 тыс. т. Наибольшее сокращение производства масел имело место на грозненских (в настоящее время производство закрыто), Ярославском, Новокуйбышевском, Орском, Пермском и Омском НПЗ.
Особая роль в развитии нефтегазового комплекса принадлежит системе нефтепродуктообеспечения. Значимость трубопроводного транспорта для функционирования нефтяного комплекса определена Указом Президента РФ от 7 октября 1992 г., в соответствии с которым государство сохранило за собой контроль над акционерной компанией "Транснефть". На территории Российской Федерации эксплуатируются 49.6 тыс. км магистральных нефтепроводов, 13264 тыс. куб. м резервуарных емкостей, 404 нефтеперекачивающие станции. В настоящее время острой проблемой является поддержание действующей системы магистральных нефтепроводов в работоспособном состоянии.
Нефтепроводная система формировалась в основном в 1960-1970 гг. в соответствии с ростом объемов добычи нефти. Сроки эксплуатации их довольно значительны — 45% нефтепроводов имеют возраст до 20 лет, 29%— от 20 до 30 лет. Свыше 30 лет эксплуатируется 25.3% нефтепроводов. Дальнейшая их эксплуатация в условиях повышенного износа требует значительных усилий по поддержанию их в работоспособном состоянии. Ввиду резкого сокращения спроса на российском рынке и рынках стран СНГ потребности в транспортировке нефти и нефтепродуктов в пределах территории России и ближнего зарубежья за период 1991-1994 гг. резко снизились, вследствие чего загрузка отдельных трубопроводов уменьшилась в 1.12-2.8 раза. В результате значительная часть нефтепроводов, в том числе нефтепровод "Дружба", работают не в полном режиме, что вызывает повышенную коррозию внутренней поверхности, снижение К . ПД и надежной работы насосных агрегатов. В то же время заметно увеличилась нагрузка (на 15-28%) на транспортные артерии, по которым осуществляются поставки нефти и нефтепродуктов в дальнее зарубежье.
Сокращ ение платежеспособного спроса потребителей также приводит к затовариванию нефтью всей системы магистральных нефтепроводов и резервуаров, что ставит под угрозу ее управляемость. По оценкам специалистов, при накоплении в системе более 5.8 млн т нефти, как это было в первой половине 1994 г., рациональное регулирование потоков становится невозможным.
Одним из основных лимитирующих факторов, негативно влияющих на развитие экспорта российской нефти морским транспортом, является пропускная способность экспортных трубопроводов и явно недостаточная мощность морских нефтяных терминалов. Оставшиеся у России после распада СССР четыре порта с терминалами — Новороссийск, Туапсе, Находка и Владивосток способны отгрузить не более 40 млн т нефти в год. Еще около 20 млн т российской нефти экспортируется через украинский порт Одесса и латвийский Венте -пиле .
Другой проблемой является транспортировка высоко-сернистой нефти. В бывшем СССР эта нефть перерабатывалась в основном на Кременчугском НПЗ.
Сдерживает развитие нефтяного рынка отсутствие до настоящего времени единой системы взаимных расчетов за изменение качества нефти в процессе транспортировки. Это связано с тем, что основные нефтепроводы имели большие диаметры и предназначались для транспортировки значительных объемов нефти на дальние расстояния, что заведомо предопределяло перекачки нефтей в смеси. По некоторым оценкам, ежегодные, только по ОАО "ЛУКОИЛ", потери от ухудшения потребительских свойств нефти и неэквивалентного перераспределения стоимости нефти между производителями достигают минимум 60-80 млрд руб.
К началу 90-х годов система нефтепродуктообеспечения (НПрО) включала в себя 1224 нефтебазы, 496 филиалов нефтебаз, 9893 стационарных и передвижных автозаправочных станций, систему резервуаров суммарной емкостью порядка 28 миллионов кубометров. Потребительский товарооборот отрасли составлял около 320 млн т нефтепродуктов. Система нефтепродуктообеспечения входила в Госкомнеф-тепродукт и состояла из 52 территориальных управлений. Из общего количества нефтебаз 5.7% составляли перевалочные, 76.4% — железнодорожные, 14.2% — водные и 3.9% — глубинные распределительные нефтебазы. К числу наиболее крупных нефтебаз системы НПрО относятся Астраханская нефтебаза, Архангельская, Туапсинская, Находкинская, Волгоградская, Узбекская, Махачкалинская, Усть-Кутская, Ярославская. Суммарная емкость резервуарного парка каждой из этих нефтебаз превышает 100000 кубометров.
Этот же период характеризовался интенсивным ростом трубопроводного транспорта нефтепродуктов, протяженность которого в однониточном исчислении к началу девяностых годов составл яла 15472.9 км магистральных трубопроводов, и с отводами от них к нефтебазам обшей протяженностью 5051.9 км. Крупнейшими инженерными сооружениями системы НПрО являются магистральные трубопроводные коммуникации Юго-Западного и Уральского направлений, суммарный объем перекачки по которым составлял более 80% объема перекачки по трубопроводам.
НПрО страны включает в себя и нефтепродуктообеспечи-вающие структуры целого ряда отраслей, к числу которых относятся прежде всего транспортные системы: железнодорожного и автомобильного транспорта, сельского хозяйства.
К концу 80-х годов предприятия авиации обеспечивались нефтепродуктами специальным структурным подразделением — службами ГСМ (горюче смазочных материалов ). Служба между федеральными и региональными органами исполнительной власти в части развития конкурентоспособности предприятий и организаций ТЭК.
Основными объектами нефтепродуктораспределения на автомобильном транспорте являются АЗС (стационарные и передвижные) и раздаточные комплексы маслохозяйства автотранспортных предприятий.
Начиная с 1990 г. быстрыми темпами происходит трансформация системы НПрО. В этот период единая система Госкомнефтепродукта РСФСР была реорганизована сначала в концерн "Роснефтепродукт", структурные элементы которого, в свою очередь, преобразованы в подразделения государственного предприятия "Роснефть" (Главнефтепродукт), акционерных компаний "ЛУКОЙЛ", "ЮКОС", "Сургутнефтегаз", "СИДАНКО", "Транснефть" и "Транснефтепродукт" (всего 77 нефтесбытовых предприятий). Главнефтепродукт интегрирует деятельность остатков структуры концерна "Рос-нефтепродукт", из которой исключены все магистральные нефтепродуктопроводы, количество нефтебаз снижено до 864, а емкость резервуарного парка — на величину около 4.25 млн куб. м. Таким образом, роль централизованного снабжения нефтепродуктами неуклонно снижалась. В 1994 г. по сравнению с 1993 г. объемы поставок автомобильного бензина через централизованную систему сократились с 75 до 66%, дизельного топлива с 60 до 45%, мазута с 40 до 14%.
Складывающаяся система НПрО практически в полном объеме удовлетворяет платежеспособный спрос. Периодически возникающие сбои в поставках отдельных видов топлива вызваны такими причинами, как стремлением местных властей сдерживать рост цен, не считаясь с реальным положением на рынке нефтепродуктов, повышением заводских цен и др.
Все большее влияние на формирование рынка нефтепродуктов оказывают транспортные издержки. Повышение железнодорожных тарифов на перевозку наливных грузов по железной дороге на расстояние свыше 3 тыс. км сделало нерентабельной транспортировку нефтепродуктов даже при самых выгодных условиях их приобретения на НПЗ.
Управление нефтяной и газовой промышленностью в СССР осуществлялось через систему группы министерств — Министерства геологии СССР, Министерства нефтяной промышленности, Министерства газовой промышленности, Министерства нефтеперерабатывающей и нефтехимической промышленности СССР, а также Главного управления по транспорту, хранению и распределению нефти и нефтепродуктов
при Совете Министров РСФСР (Главнефтеснаб РСФСР) и Главнефтеснабов союзных республик. Большую роль в обеспечении развития отраслей играло Министерство строительства предприятий нефтяной и газовой промышленности.
Руководство нефтедобывающей промышленностью осуществляло общесоюзное Министерство нефтяной промышленности. Оно объединяло геологоразведочные, буровые, нефтегазодобывающие предприятия, предприятия по переработке попутного газа, организации по транспорту нефти по магистральным нефтепроводам, научно-исследовательские и проектные институты и располагало механоремонтны-ми заводами, транспортными предприятиями и другими подсобно-вспомогательными предприятиями и организациями.
В ведении Министерства нефтеперерабатывающей и нефтехимической промышленности СССР (Миннефтехимпром СССР) находились предприятия по переработке нефти и производству нефтепродуктов, продуктов основного органического синтеза (синтетические спирты, фенол, ацетон, моющие средства и др.), синтетического каучука, предприятия технического углерода и резиноасбестовых изделий, научно-исследовательские и проектные институты и вспомогательные предприятия и организации.
Министерство газовой промышленности (Мингазпром, с 1989 г. государственный концерн "Газпром" ) объединяло предприятия по добыче газа и газового конденсата, переработке газа, поискам газовых месторождений, бурению газовых скважин, по производству газовой аппаратуры, научно-исследовательские и проектные институты, вспомогательные предприятия и организации.
Главнефтеснаб РСФСР и Главнефтеснабы союзных республик осуществляли планирование, оперативное руководство и развитие объектов системы нефтеснабжения (снабжение нефтепродуктами, экспортные поставки и т.п.).
Нефтяная и газовая промышленность сосредоточены в ряде экономических районов страны. Важнейшие предприятия этих отраслей действуют в Западной Сибири, Урало-По-волжье, на Северном Кавказе и Тимано-Печоре, а также в тех республиках бывшего союзного государства, которые в настоящее время стали суверенными — Украине, Закавказье, Казахстане и Средней Азии. Руководство предприятиями нефтедобывающей, нефтеперерабатывающей, нефтехимической и газовой промышленности в этих районах осуществлялось преимущественно производственно-территориальными объединениями.
Основными звеньями в нефтяной и газовой промышленности являлись геологопоисковая контора, нефтегазодо-бывающее управление, управление буровых работ, нефтеперерабатывающий завод и т.п.
Огромное значение для реализации хозяйственной самостоятельности предприятий имел Закон СССР о государственном предприятии (объединении), который был введен в действие с 1 января 1988 г., по которому они становились во многом самостоятельными и ответственными субъектами экономики.
В конце 80-х годов возникла ситуация, когда односторонняя зависимость отрасли от предприятий машиностроительного комплекса усиливалась, и решать проблемы технического перевооружения и материально-технического снабж ения нефтяной промышленности без развития собственной базы машиностроения стало невозможно. В 1999 г. нефтегазовой отрасли были переданы 1 1 машиностроительных заводов Минтяжмаша СССР. На базе 23 машиностроительных предприятий отрасли и 9 заводов бывшего Минхиммаша СССР был создан машиностроительный концерн "Нефтегазмаш" с объемом выпуска продукции свыше 600 млн руб. в год. Главной задачей концерна являлось обеспечение нефтегазодобы-вающих и буровых предприятий запасными частями, инструментом и важнейшими видами нефтепромыслового и бурового оборудования. Однако потребности отрасли в продукции машиностроения за счет собственного производства удовлетворялись только на 25%.
Кроме концерна "Нефтегазмаш", в 1 989 г. была создана ассоциация "Нефтегазгеофизика", призванная поднять эффективность геофизических работ.
К концу 80-х годов вся практика хозяйствования подводила к тому, что необходима радикальная перестройка добывающего комплекса, превращение монопродуктовой отрасли в конкурентоспособную отрасль по всему спектру продукции — от сырья до продуктов глубокой переработки и сбыта продукции.
Глава 7. Особенности и основные тенденции деятельности нефтяной промышленности.
Нефтяная промышленность России в настоящее время представляет собой противоречивое сочетание созданных огромных мощностей по добыче и несоответствующих им низких уровней отборов нефти. По общему объему производства отдельных видов топлива страна занимает первое или лидирующее место в мире. Однако реальность работы отраслей ТЭК России заключается в снижении добычи топливно-энергетических ресурсов (ТЭР) . Такая тенденция наблюдается с 1988 г. В 1995 г. темпы снижения объемов добычи несколько уменьшились, что может явиться началом этапа последующей стабилизации.
Производственный потенциал нефтяной промышленности в начале восьмидесятых годов был значительно подорван установкой на ускоренную разработку нефтяных месторождений и увеличение экспортных поставок. Экспорт нефти в то время в существенной мере предопределял возможности привлечения внешнеэкономических источников для поддержания инвестиционной активности, наращивания товарооборота и финансирования государственных расходов. Он стал одним из главных средств сглаживания последствий структурных диспропорций в народном хозяйстве.
Однако вложения в нефтедобычу направлялись в основном на экстенсивное развитие отрасли, поэтому увеличение инвестиций сочеталось с относительно невысокой отдачей пластов и большими потерями попутного газа. В результате нефтяная отрасль пережила ряд крупных спадов объемов производства (1985, 1989, 1990 годы), последний из них продолжается до настоящего времени.
Особенностью деятельности нефтяной промышленности является ее ориентация на приоритеты энергетической стратегии России. Энергетическая стратегия России — прогноз возможных решений энергетических проблем в стране в краткосрочном (2-3 года), средне- (до 2000 г.) и долгосрочном (до 2010 г.) плане, а также в сфере энергопроизводства, энергопотребления, энергоснабжения и взаимоотношений с мировым энергетическим хозяйством. В настоящее время высшим приоритетом энергетической стратегии России является повышение эффективного энергопотребления и энергосбережения. Энергоемкость товарной продукции в России в 2 раза выше, чем в США и в три раза выше, чем в Европе. Спад производства в 1992-1995 гг. не „ привел к снижению энергоемкости, а даже повысил ее.
Энергосбережение позволит предотвратить эту нежелательную тенденцию, а также снизить к 2000 г. вредные выбросы в атмосферу. Сэкономленные энергоресурсы могут стать основным источником стабилизации экспорта ТЭР.
Существующее состояние нефтяного комплекса оценивается как кризисное, прежде всего с точки зрения падения добычи нефти. Уровень добычи нефти в России в 1995 г. соответствует показателям середины семидесятых годов. Добыча нефти в 1995 г. сократилась на 3.4% по сравнению с 1994 г. Причинами спада являются ухудшение сырьевой базы, износ основных фондов, разрыв единого экономического пространства, жесткая финансовая политика правительства, снижение покупательной способности населения, инвестиционный кризис. Выбытие производственных мощностей в 3 раза превышает ввод новых. Растет число бездействующих скважин, к концу 1994 г. в среднем 30% эксплуатационного фонда скважин бездействовало. Только 10% нефти добывается передовыми технологиями.
На нефтеперерабатывающих заводах России износ основных фондов превышает 80%, а загрузка мощностей на НПЗ составляет менее 60%. При этом валютная выручка от экспорта нефти растет, что достигается опережающим ростом физических объемов экспорта.
Несмотря на меры, принимаемые правительством России, направленные на поддержку нефтеперерабатывающего сектора — разработка федеральной целевой программы "Топливо и энергия", постановление " О мерах по финансированию реконструкции и модернизации предприятий нефтеперерабатывающей промышленности России", текущее положение дел на всех нефтеперерабатывающих заводах сложное. Однако пессимизм переходного периода в ближайшем будущем должен смениться оптимизмом начала экономического подъема. После ожидаемого в 1997 г. окончания периода экономического спада следует ожидать постоянного наращивания темпов роста в течение нескольких последующих лет, которое сменится более умеренным ростом после 2000 г.
Основная цель программы модернизации отечественного нефтеперерабатывающего комплекса — приспособление продукции к требованиям рынка, уменьшение загрязнения окружающ ей среды, сокращение энергопотребления, уменьшение производства мазута, высвобождение нефти для экспорта и увеличение вывоза высококачественных нефтепродуктов.
Финансовые ресурсы для инвестирования проектов модернизац ии ограничены, поэтому важнейшей задачей является выделение приоритетных проектов из числа предлагаемых. При отборе проектов учитываются оценки возможных региональных рынков сбыта, потенциального регионального производства, баланса спроса и предложения на региональном уровне. Наиболее перспективными по областям считаются Центральный регион, Западная Сибирь, Дальний Восток и Калининград. К средне перспективным относят Северо-Запад, Волго-Вятский район, Центрально-Черноземную область, Северный Кавказ и Восточную Сибирь. К наименее перспективным относятся северные регионы, Волга и Урал.
Проекты модернизации нефтеперерабатывающих заводов в региональном разрезе анализируются с учетом определенных рисков. Риски связаны с объемами перерабатываемого сырья и продукции на продажу — наличие рынков сбыта. Коммерческие и трансакционные риски определяются наличием у завода транспортных средств для осуществления поставок сырья и отгрузки переработанной продукции, включая хранилища. Экономические риски просчитывались по влиянию проекта на увеличение экономической маржи. Финансо вые риски в целом связаны с объемом средств, требуемых для реализации проекта.
Для каждого из проектов модернизации до отбора конечной конфигурации необходимо выполнение подробных технико-экономических обоснований. Модернизация НПЗ будет способствовать удовлетворению возрастающего спроса на дизельное топливо, внедрение проектов позволит почти полностью удовлетворить спрос на высокооктановые моторные бензины, а также сократить вдвое излишки мазута с учетом сценария низкого на него спроса. Это станет возможным благодаря наращиванию замещения мазута природным газом для генерации энергии в связи с увеличением экспорта мазута в страны Западной Европы как сырья дл я переработки и экспорта в регионы, не поддерживаемые природным газом для генерации энергии.
Отрицательное влияние на снижение добычи нефти в 1994-1995 гг. оказало затоваривание НПЗ готовой продукцией, которую из-за высоких цен на нефтепродукты уже не в состоянии оплачивать массовый потребитель. Сокращают объемы перерабатываемого сырья. Государственное регулирование в виде привязки нефтедобывающих объединений к определенным Н ПЗ в этом случае становится не положительным, а отрицательным фактором, не отвечает современной ситуации в нефтяной отрасли и не решает накопившихся проблем. Ведет к перегрузкам в системах магистрального трубопроводного транспорта нефти, которые при отсутствии достаточной емкости хранилищ в нефтедобыче вынуждают останавливать действующие скважины. Так, поданным Центрального диспетчерского управления "Роснефти", в 1 994 г. из-за этого в нефтегазодобывающих объединениях было остановлено 11 тыс. скважин общей производительностью 69.8 тыс. т в сутки.
Преодоление спада добычи нефти является наиболее трудной задачей нефтяного комплекса. При ориентации только на существующие отечественные технологии и производственную базу снижение добычи нефти будет продолжаться вплоть до 1997 г. даже при сокращении фонда простаивающих скважин до нормативных величин и ежегодном наращивании объемов эксплуатационного бурения. Необходимо привлечение крупных инвестиций как иностранных, так и отечественных, внедрение прогрессивных технологий (горизонтальное и радиальное бурение, гидроразрыв пластов и т.д.) и оборудования особенно для разработки небольших и малодебитных месторождений. В этом случае спад добычи нефти можно будет преодолеть в 1997-1998 гг.
На наш взгляд, ситуация в ТЭК. может быть оценена и с других позиций. Добыча нефти и конденсата в 1993 г. составила 354 млн т. Собственное потребление России 220 млн т. Вывоз сырья в страны СНГ снизился в связи с сокращением спроса (из-за неплатежей) на 96 млн т усл. топлива, что позволило увеличить экспорт в дальнее зарубежье на 26 млн т усл. топлива. После разъединения союзного нефтяного комплекса Россия оказалась не в состоянии переработать всю нефть, добываемую на ее территории, из-за дефицита мощностей по переработке. Российские НПЗ способны переработать не более 300 млн т в год при добыче нефти с газовым конденсатом в 1995 г. 306.7 млн т.
Многие российские НПЗ не в состоянии покупать нефть по высоким ценам, из-за трудности реализации вырабатываемых нефтепродуктов. Сл едует учесть и то, что больше 100 млн т в год Россия через свои, а также бывших советских республик порты и трубопроводы, железнодорожные станции экспортировать не может.
Таким образом, не определен баланс: добыча — потребление— экспорт. Есть опасность и в декларируемой ориентации на энергосбережение заложить в развитие комплекса безадресное производство энергии. В этих условиях использование кредитов и расширение числа совместных предприятий с зарубежными партнерами потребуют дополнительного вывоза сырой нефти в качестве обеспечения кредитных и договорных обязательств.
По данным Минтопэнерго РФ, в 1993 г. добычу и экспорт нефти осуществляли 37 СП. Они вывезли нефти более чем на 1.2 млрд долл., а сумма инвестиций зарубежных партнеров не превысила 230 млн долл. В 1994 г. совокупная добыча СП составила 14.7 млн т, а в 1995 г — 17.8 млн т. Экспорт нефти СП в 1994 г. составил 9.7 млн т. В 45 СП нефтеперерабатывающей промышленности объемы капиталовложений составили 25 млн долл., а экспорт нефтепродуктов в 1994 г. превысит 500 млн долл.
Эффективное решение вопросов привлечения иностранного капитала в развитие нефтяного комплекса России требует государственного подхода [6, 19] и одновременного решения вопросов по предотвращению утечки капиталов за границу при экспорте нефти и восстановлению взаимовыгодного сотрудничества между предприятиями нефтяного комплекса стран СНГ. Основным источником стабилизации экспорта, как это и провозглашено в экономической стратегии России, должны стать сэкономленные энергоресурсы.
Необходим поворот стратегии от наращивания добычи углеводородного сырья к повышению эффективности использования энергоресурсов. Важно учитывать проблему конечности и невосполнимости ресурсов, в ряде старых добывающих районов страны с развитой инфраструктурой они близки к исчерпанию.
Оценка ресурсов всех категорий имеет расчетный характер и проверяется практикой. Так, например, в Северо-Кавказском добывающем районе России по мере его изучения меняется представление об оценке ресурсов. Если принять оценку ресурсов, запасов и накопленной добычи нефти и газа района на 1966 г. за 100%, то к 1988 г. несмотря на значительное увеличение объемов бурения пополнение запасов газа составило лишь 4%, а нефти 32%, что не компенсировало объема добычи за этот период. Поэтому оценка ресурсов снизилась практически наполовину. Такая же картина наблюдается в ряде районов Урало- Поволжья, Закавказья. В настоящее время начальные запасы месторождений нефти, находящихся в разработке, выработаны в среднем на 48%. Это означает переход к периоду снижающейся добычи и темпов отбора остаточных запасов. Степень выработанности крупнейших месторождений значительно выше средних показателей и составляет по месторождениям: Самотлорскому — 63%, Ромашкинскому — 85, Мамонтовскому — 74, Федоровскому — 58, Арланскому — 77,5, Покачевскому — 76.8, Мортымья-Те-теревскому — 95%. Ситуация усугубляется и тем, что наиболее выработанными оказываются запасы высокодебитных горизонтов (на Самотлорском месторождении самый высокоде-битный горизонт уже выработан на 92%, на Покачевском — на 90%).
Комплексность в использовании добытых из недр полезных ископаемых весьма низкая по отношению к мирово му уровню. Это приводит к их потерям в размере 30-50% от учтенных в недрах запасов (в частностиб попутного газа и других ценных компонентов нефтяных месторождений). Исчерпание запасов основных месторождений, слабая под-тверждаемость оц енки ресурсов в старых районах указывают, что кризис недропользования обусловлен торопливым и нерациональным истощением природных ресурсов.
Дальнейшие перспективы открытий связаны с малоизученными районами Сибири, Дальнего Востока и шельфов морей, оценка продуктивности которых базируется преимущественно на аналогиях, поэтому при переходе к рыночной экономике целесообразно обратиться к вопросу о кардинальном изменении стратегии недропользования России:
— в геологии — от обслуживания добывающ их отраслей путем расширения минерально-сырьевой базы к определению лимитов недр, регулированию темпов добычи и контролю за рациональностью использования сырья;
— в разработке — от наращивания добычи к ее квотированию, согласовываясь с лимитами недр,
— в производстве — от валового к рациональному потреблению сырья на базе ресурсосбережения.
Переход к рациональному использованию недр и ре-сурсосбережению по всей технологической цепочке от поиска полезных ископаемых до их переработки, а затем и вторичной утилизации полностью отвечает государственным интересам России. Вышеперечисленные задачи решаемы в условиях конкуренции субъектов регулируемого энергетического рынка.
За последние годы в нашей стране в области экспорта нефти происходил постепенный отход от государственной монополии и приближение к принятой в промышленно развитых странах практике частно-государственной олигополии, субъекты которой действуют по разработанным и принятым ими же цивилизованным правилам с учетом национальных традиций и особенностей. Так как при реформировании экономики с 1992 г. произошел слом государственной машины управления, становление нефтяной олигополии происходило не всегда цивилизованными способами.
Право продажи нефти и нефтепродуктов за рубежи страны получили более 120 организаций, частных компаний и совместных предприятий. Конкуренция обострилась между российскими продавцами нефти. Число демпинговых и неконтролируемых сделок постоянно увеличивалось. Цена на российскую нефть упала почти на 20%, а объем экспорта оставался на рекордно низком уровне 65 млн т в 1992 г.
Широко распространилась практика освобождения от уплаты экспортных пошлин как профессиональных торговых компаний, так и многих администраций регионов, государственных структур, различных общественных организаций. В целом в 1992 г., по данным Главного управления по экономическим преступлениям МВД России, от экспортных пошлин освобождалось 67% вывозимой нефти, что лишало бюджет поступлений на сумму около 2 млрд долл.
В 1993 г. в стране заработал институт спецэкспортеров, предполагающий выделение наиболее опытных торговых компаний (трейл еров) и предоставление им исключительного права на проведение внешнеторговых операций с нефтью и нефтепродуктами. Это позволило увеличить объем экспорта нефти до 80 млн т в 1 993 г., несколько поднять ее цену (которая продолжала оставаться на 10— 13% ниже мирового уровня), отработать механизм контроля за поступлениями валютных средств в страну. Однако число спецэкспортеров продолжало оставаться чрезмерным (50 субъектов). Они по-прежнему конкурировали не столько с зарубежными компаниями, но и между собой. Сохранился и механизм предоставления льгот по экспортным пошлинам, но размер недополученных бюджетом средств снизился до 1,3 млрд долл.
В 1994 г. сократилось число спецэкспортеров до 14 организаций. Экспорт нефти увеличивается до 91 млн т, цена на российскую нефть составила 99% от мировой. Улучшению дел в этой сфере способствовал процесс приватизации и реструктурирования нефтяной отрасли: ряд компаний сформировались как полностью вертикально интегрированные, способные осущ ествлять весь цикл операций от разведки и добычи нефти до реализации нефтепродуктов непосредственно потребителям. В конце 1994 г. основными российскими производителями и экспортерами при активном участии МВЭС РФ было создано отраслевое объединение Союз нефтеэкспортеров (СОНЭК), доступ в который открыт всем субъектам нефтяного сектора.
Таким образом, российские компании оказались в состоянии конкурировать на мировых рынках с ведущими монополиями промышленно развитых стран. Были созданы условия для упразднения института спецэкспортеров, что и было сделано решением правительства в начале 1995 г. Создание СОНЭК реализовало используемую во всем мире практику упорядочения экспорта стратегических товаров. Например, в Японии существует более 100 экспортных картелей, в Германии около 30, в США около 20.
Присутствие вертикально интегрированных нефтяных компаний на внутреннем российском рынке создает предпосылки для развития эффективной конкуренции между ними, имеющей положительные последствия для потребителей. Однако до настоящего времени эти предпосылки на региональном уровне не реализуются, так как пока фактически произошел раздел российского рынка нефтепродуктов на зоны влияния вновь образуемых нефтяных компаний. Из 22 обследованных ГКАП России в 1994 г. регионов только на рынках Астраханской и Псковской областей, Краснодарского и Ставропольского краев поставки нефтепродуктов (бензина, мазута, дизельного топлива) осуществляются двумя нефтяными компаниями, в остальных случаях присутствие одной нефтяной компании, как правило, превышает 80% -й рубеж.
Поставки по прямым связям, а также имеющие фрагментарный характер, осуществляются и другими компаниями, но их доля в объеме поставок на региональные рынки слишком мала, чтобы создавать конкуренцию монополистам. Например, в Орловской области при абсолютном доминировании компании "КЖОС" на региональном рынке (97%) компания "ЛУКОЙЛ" также поставляет нефтепродукты Агроснабу. Однако договор между ними носит разовый характер и был заключен на бартерной основе.
Создание в начале 1993 г. трех вертикально интегрированных нефтяных компаний (ВИНК) существенным образом повлияло на рынки нефтепродуктов. Добыча нефти по каждой из вертикально интегрированных компаний возросла в процентах по отношению к остальным нефтедобывающим предприятиям и составила суммарно в январе 1994 г. 56.4%, в то время как в первом полугодии 1993 г. эти три компании добывали 36% от общего объема добычи нефти по России. В целом при падении производства основных видов нефтепродуктов ВИНК стабилизировали и даже прирастили выпуск отдельных видов продукции.
Наряду с этим рост цен на нефть ВИНК в среднем ниже, чем по нефтедобывающим предприятиям, не сформированным в компании. Кроме того, нефтяные компании периодически объявляют о замораживании своих цен на нефтепродукты. Это позволяет нефтяным компаниям осваивать не только рынки нефтепродуктов областей, где находятся их дочерние АО нефтепродуктообеспечения, но и активно выходить в другие наиболее привлекательные регионы (приграничные, центральные, южные). Приостановка в 1994 г. создания новых нефтяных компаний предоставила существенные преимущества трем функционирующим НК в захвате рынков сбыта и укреплении своих позиций на них.
Экономические последствия деятельности нефтяных монополий на региональных рынках на сегодняшний день, в условиях тотального падения платежной способности потребителей нефтепродуктов, не носят ярко выраженного отрицательного характера. Более того, обеспечение нефтяными компаниями поставок по госнуждам практически на условиях безвозмездного кредитования (к числу безнадежных должников относится агропромышленный сектор) решает оперативные проблемы неплатежей в регионах. Однако нет гарантий, что при активизации спроса, в связи с растущей платежеспособностью потребителей, потенциальные возможности ценового диктата и иных злоупотреблений доминирующим положением не будут реализованы. Это необходимо учитывать при формировании конкурентной среды и разработке антимонопольных требований. При этом должны быть учтены специфические отраслевые особенности, важнейшими из которых являются следующие:
— повышенные требования к непрерывности технологических процессов и надежности обеспечения потребителей электрической и тепловой энергией, сырьем и топливом;
— технологическое единство одновременно протекающих процессов производства, транспортировки и потребления электрической и тепловой энергии, нефти и газа;
— необходимость централизованного диспетчерского управления созданными едиными системами энерго -, нефте- и газоснабжения, обеспечивающего повышение эффективности использования топливно-энергетических ресурсов и более надежные поставки их потребителям;
— естественная монополия энерго-, нефте- и газотранспортных систем по отношению к поставщикам и потребителям и необходимость государственного регулирования деятельности этих систем;
— зависимость экономических результатов деятельности нефте- и газодобывающих предприятий от изменения горно-геологических условий добычи топлива;
— жесткая технологическая взаимозависимость предприятий и подразделений основного и обслуживающего производств, обеспечивающих выпуск конечной продукции.
В настоящее время закладываются основы формирования конкурентной среды с учетом специфических особенностей отраслей ТЭК, что предусматривает:
— формирование перечня естественных и разрешенных монополий в отраслях ТЭК;
— обеспечение реализации антимонопольных мер при приватизации предприятий и организаций ТЭК;
— выявление предприятий и организаций ТЭК, конкурентоспособных или имеющих возможность стать конкурентоспособными на мировом рынке, и создание условий для их эффективного функционирования на мировом рынке;
— осуществление контроля со стороны органов государственного управления за предотвращением недобросовестной конкуренции предприятий и организаций ТЭК;
— формирование финансово-промышленных групп в отраслях ТЭК;
— разработку плана мероприятий по реализации в отраслях ТЭК комплекса первоочередных мер по развитию малого и среднего бизнеса;
— разработку предложений по разграничению функций управления
Список использованной литературы
1. Фримантл М. Химия в действии. В 2-х ч. Ч.1.: Пер. с англ. – М.: Мир, 1991. – 528с., ил.
2. Фримантл М. Химия в действии. В 2-х ч. Ч.2.: Пер. с англ. – М.: Мир, 1991. – 622с., ил.
3. В.Ю. Алекперов Вертикально интегрированные нефтяные компании России. – М.: 1996.
4. Ежемесячный аналитический журнал «Нефть и капитал», октябрь 1998, февраль 1999.
[1] Кероген (от греч. керос, что означает «воск», и ген, что означает «образующий») – рассеянное в горных породах органическое вещество, нерастворимое в органических ратворителях, неокисляющих минеральных кислотах и основаниях.
[2] Конденсат - углеводородная смесь, газообразная в месторождении, но конденсирующаяся в жидкость при извлечении на поверхность.
Похожие рефераты:
Проект реконструкции цеха первичной переработки нефти и получения битума на ОАО «Сургутнефтегаз»
Нефтеперерабатывающий завод "Уфанефтехим" как источник загрязнения среды обитания
Оценка конкурентной среды нефтехимической отрасли
Нефть: происхождение, состав, методы и способы переработки
Реструктуризация предприятия на примере НК НПЗ
Нефтедобывающая и нефтеперерабатывающая промышленность стран СНГ (кроме России)
Нефть и способы ее переработки
Пути улучшения использования основных фондов предприятий нефтегазовой отрасли Республики Казахстан
Топливо в структуре энергетических ресурсов
Процесс переработки нефти на ЗАО "Павлодарский НПЗ"
Методические особенности изучения темы "Природные источники углеводородов"
Использование альтернативных источников энергии и энергосберегающих технологий

