| Скачать .docx |
Реферат: Социальная гигиена
ОМСКАЯ ГОСУДАРСТВЕННАЯ ОРДЕНА ТРУДОВОГО КРАСНОГО ЗНАМЕНИ МЕДИЦИНСКАЯ АКАДЕМИЯ
Кафедра социальной медицины, экономики и управления здравоохранением
КУРСОВАЯ РАБОТА
По теме _____________________________________________________
Вариант № 4
Студента 5 курса
513 группы
Преподаватель
К защите сдана
_____ месяца
_____ года
Население в Павловском районе Н-ской области в данном году 125.000 человек, в том числе женщин в возрасте от 15 до 49 лет – 39.000. В райцентре г.Светлогорске проживает 35.000 человек, остальное население района – сельское.
Район преимущественно сельскохозяйственный. Основные сельскохозяйственные и промышленные предприятия района – консервный завод по переработке фруктов и овощей в Заозерной, центральные мастерские по ремонту сельскохозяйственной техники в Романово, молокозавод в Теплине; в райцентре в промышленной зоне расположен гипсобетонный завод со среднегодовым числом работающих 850 (круглогодовых – 800). Завод пущен в эксплуатацию 2 года назад.
В данном году в районе родилось 2.000 детей, в прошлом – 2.300 (все у матерей в возрасте от 15 – 49 лет). Умерло в настоящем году 1.400 человек, в том числе детей до 1 года – 50.
Демографические показатели Павловского района за последние 5 лет и Н-ской области за предыдущий год.
| Показатели |
Предыдущие годы |
Настоящ. год 1994 |
Н-ская обл. 1993 |
|||
| 1990 |
1991 |
1992 |
1993 |
|||
| Рождаемость (на 1.000 населения) |
25,0 |
24,5 |
24,8 |
25,5 |
16 |
32,2 |
| Смертность (на 1.000 населения) |
12,7 |
12,4 |
11,6 |
11,6 |
11,2 |
9,2 |
| Детская смертность (на 1.000 живорожденных) |
29,0 |
30,0 |
30,1 |
30,4 |
25 |
24,0 |
| Естественный прирост (на 1.000 населения) |
12,3 |
12,1 |
13,1 |
13,7 |
4,8 |
13,0 |
| Плодовитость (на 1.000 женщин в возрасте от 15 до 49 лет) |
86,2 |
85,0 |
85,3 |
86,2 |
51,3 |
95,0 |
Таблица 1
1. Показатель рождаемости = число живорожденных за год
среднегодовая численность населения * 1.000
Показатель рождаемости = 2.000 * 1.000 = 16
125.000
2. Показатель смертности = число умерших за год
среднегодовая численность населения * 1.000
Показатель смертности = 1.400 * 1.000 = 11,2
125.000
3.
а) Показатель
детской смертности = число умерших в возрасте 0-1 г. жизни
число родившихся * 1.000
Показатель детской смертности = 50 * 1.000 = 25
2.000
б) Показатель детской
смертности по способу И.Ратса = число умерших в возрасте 0-1 г. жизни
1/3 род-ся в пред. году + 2/3 род-ся в отчетном году * 1.000
Число родившихся в предыдущем году
16 – 100%
25,5 – х %
х = 25,5 * 100 = 159
16
2.000 – 100%
х – 159 %
х = 2.000 * 159 = 3.180
100
1/3 от 3.180 составляет 1.060
2/3 от 2.000 составляет 1.334
Показатель детской
Смертности по способу И.Ратса = 50 = 21
1.060 + 1.334 * 1.000
в) Показатель детской смертности по способу
М.Х.Вахитова и В.Ю.Альбитского = число умерших в возрасте 0-1 г. жизни
1/5 родившихся в предыдущем году +
+ 4/5 родившихся в отчетном году * 1.000
Показатель детской смертности = 50 = 22,4
636 + 1.600 * 1.000
г) Показатель детской смертности при уменьшении детской смертности на 20%
(редуцированный показатель)
50 случаев – 100 %
х случаев – 80 %
х = 50 * 80 = 40 %
100
Показатель детской смертности = 21 = 21.000 = 8,8
1.060 + 1.334 * 1.000
4. Коэффициент
естественного прироста = число родившихся – число умерших
среднегодовое число населения * 1.000
Коэффициент естественного прироста = 2.000 – 1.4000
125.0 * 1.000 = 0,0048 * 1.0000 =
= 4,8
5. Коэффициент плодовитости = число живорожденных за год
число женщин от 15 до 49 лет * 1.000
Коэффициент плодовитости = 2.000
39. 000 * 1.000 = 51,3
ВЫВОД: Рождаемость в Павловском районе в 1991, 1992, 1994 годах имела тенденцию к снижению. В 1994 году рождаемость составила 16,0 на 1.000 населения, т.е. показатели можно охарактеризовать как низкие. Рождаемость в Павловском районе за 1993 г. ниже, чем по Н-ской области в целом за тот же год (соответственно 25,5 и 32,2 на 1.000 населения). Низкую рождаемость и тенденцию к снижению можно объяснить тем, что Павловский район преимущественно сельскохозяйственный, промышленное предприятие – гипсобетонный завод. Низкий уровень зарплаты также отрицательно влияет на благосостояние семей. По-видимому не решен и жилищный вопрос.
2. Смертность в Павловском районе с 1990 по 1994 год имела тенденцию к снижению и показателями оценивается как ниже «средней» ( на 1994 год смертность составляла 11,2 на 1.000 населения). Смертность в Павловском районе на 1993 год выше, чем по Н-ской области в целом на тот же год (соответственно 11,6 и 9,2 на 1.000 населения). Возрастание смертности в Павловском районе за 1993 год по сравнению с Н-ской областью объясняется, вероятно, слабой организацией здравоохранения и плохими условиями труда и быта.
Рис. 1
Рождаемость, смертность и естественный прирост населения в Павловском районе за 1990 – 1994 гг. на 1.000 населения.

3. Детская смертность в Павловском районе с 1990 по 1993 гг. имела тенденцию к незначительному повышению. В 1994 году она составила 25 на 1.000 родившихся, что является ниже «средней». Детская смертность в Павловском районе на 1993 г. выше, чем по Н-ской области в целом на тот же год (соответственно 30,4 и 24,0 на 1.000 родившихся). Снижение детской смертности в Павловском районе в 1994 году по сравнению с предыдущими годами (1990; 1991; 1992; 1993 гг) можно объяснить улучшением организации лечебно-профилактической помощи женщинам и детям, устранением недостатков и совершенствованием форм работы специализированных акушерско-гинекологических и педиатрических учреждений.
Рис. 2
Детская смертность в Павловском районе за 1990 – 1994 гг. на 1.000 родившихся .

4. Показатели естественного прироста в Павловском районе имеют тенденцию к снижению в 1991 и 1994 гг., и тенденцию к повышению в 1992 и 1993 гг. В 1994 г. естественный прирост в Павловском районе составил 4,8 на 1.000 населения, что можно оценить как очень низкий показатель. Естественный прирост в Павловском районе на 1993 г. был выше, чем по Н-ской области в целом на тот же год (соответственно 13,7 и 13,0 на 1.000 населения). Ситуацию можно охарактеризовать как демографический криз, что объясняется резким снижением рождаемости и ростом смертности в данном году.
5. Плодовитость в Павловском районе в 1991, 1992, 1994 гг имела тенденцию к снижению. На 1994 г. она составила 51, 2 на 1.000 населения. Плодовитость в Павловском районе за 1993 г. ниже, чем по Н-ской области в целом за тот же год (соответственно 86,2 и 95,0 на 1.000 населения). Снижение плодовитости в Павловском районе можно объяснить теми же причинами, что и рост рождаемости.
Рис.3
Плодовитость в Павловском районе за 1990 – 1994 гг. на 1.000 женщин фертильного возраста.
![]() |
Рис. 4

Смертность, рождаемость и детская смертность в Павловском районе и Н-ской области за 1993 г.
1. Смертность на 1000 населения
2. Рождаемость на 1000 населения
3. Детская смертность на 1000 родившихся
При медицинском осмотре, проведенном врачами ЦРБ в Заозерном районном сельском врачебном участке и охватившем 10.000 населения было впервые выявлено 20 ранее неизвестных неврологических больных.
Частота выявления заболевания = число выявленных заболеваний
число осмотренных * 1.000 = 2
По данным отчета о временной нетрудоспособности (форма № 16 ВН) на гипсобетонном заводе в текущем году было зарегистрировано 1.200 случаев заболеваний с временной утратой нетрудоспособности. Число дней временной нетрудоспособности составило 9.000, в том числе по поводу респираторных заболеваний – 3.000, производственных травм – 500, кишечных инфекций – 600.
По данным разработки персональных карт регистрации заболеваний работающих, число больных лиц составило 690, число случаев утраты трудоспособности у которых составило 1.173 (в предыдущем году на 100 круглогодовых рабочих число больных лиц составило 86,0, m = +/- 1% ).
Таблица 2.
Динамика заболеваний с временной утратой нетрудоспособности на Павловском гипсовом заводе за 3 года.
| Показатели |
Предыдущие годы |
Настоящий год |
|
| 1992 |
1993 |
||
| Число случаев нетрудоспособности на 100 работающих |
130 |
135 |
141 |
| Число дней нетрудоспособности на 100 работающих |
940 |
1.000 |
1.059 |
| Средняя длительности одного случая |
7,2 |
7,4 |
7,5 |
| Процент болевших лиц |
85,0 |
86,0 |
86,25 |
| Кратность заболеваний |
1,5 |
1,57 |
1,7 |
1. Показатель случаев = число случаев нетрудоспособности
среднегодовое число работающих * 100
Показатель случаев = 1.200 * 100 = 141
850
2. Показатель дней нетрудоспособности = число дней нетрудоспособности
среднегодовое число работающих * 100
Показатель дней нетрудоспособности = 9.000 * 100 = 1.059
850
3. Показатель средней длительности
случаев нетрудоспособности = число дней нетрудоспособности
число случаев нетрудоспособности
Показатель средней длительности
случаев нетрудоспособности = 9.000 = 7,5
1.200
4. Процент больных лиц = число больных лиц
число круглогодичных рабочих * 100
Процент больных лиц = 690 * 100 = 86,25
800
5. Кратность заболевания = число случаев нетрудоспособности
число больных лиц
Кратность заболевания = 1.173 = 1,7
690
6. «Индекс здоровья» = число неболевших лиц
число болевших * 100 %
«Индекс здоровья» = 800 – 690
690 * 100% = 16 %
7. Показатель удельного веса отдельных групп
болезней по дням = число дней по данной строке ф 16 – ВН
число дней по итоговой строке * 100 %
1) Показатель удельного веса ОРЗ по дням = 3.000
9.000 * 100% = 33,3%
2) Показатель удельного веса производственных травм = 500
900 * 100% = 5, 61 %
3) Показатель удельного веса кишечных инфекций = 600
9.000 * 100% = 6,6%
Прочие около 5,5 %
Рис. 5
Удельный вес отдельных групп болезней по дням на Павловском гипсовом заводе
ВЫВОД:
1. Наблюдается тенденция к увеличению случаев нетрудоспособности, число дней нетрудоспособности, средней длительности одного случая, процента больных лиц и кратности заболеваний. Все эти данные свидетельствуют об улучшении условий труда на данном предприятии.
2. Определение числа больных лиц на Павловском гипсобетонном заводе показало, что на 100 работающих приходится 86,0 больных (m =/- 1%). Обращает на себя внимание соотношение показателей: в цехе ! 1 более высокий уровень заболеваемости чем во 2 цехе, что объясняется возрастным составом рабочих: в цехе № 1 больше рабочих пожилого возраста, в цехе № 2 преобладают рабочие в возрасте до 40 лет.
| Показатели заболеваемости |
Цех № 1 |
Цех № 2 |
| Фактические |
130 |
110 |
| Стандартизированные |
105 |
106 |
Определить экономический ущерб в связи с временной утратой трудоспособности, если размер дневного пособия составляет в среднем 4 руб. 50 коп., а величина национального дохода, произведенного одним работающим в день составляет 13 руб. 54 коп.
Экономический ущерб на 1994 г. в связи с временной нетрудоспособностью = 9.000 * * (4,5 + 13, 54) = 162.360 руб.
В районе имеется ЦРБ на 320 коек и 6 участковых больниц Павловского района.
| Наименование больницы |
Всего коек |
терап. |
хир. |
род. |
пед. |
инф. |
среднегодовая занятость койки |
| Романовская |
90 |
40 |
10 |
20 |
10 |
10 |
330 |
| Заозерная |
100 |
30 |
30 |
10 |
20 |
10 |
315 |
| Зимковская |
65 |
25 |
10 |
10 |
15 |
5 |
280 |
| Развилковская |
75 |
30 |
20 |
5 |
10 |
10 |
340 |
| Теплинская |
80 |
30 |
25 |
10 |
5 |
10 |
400 |
| Солнечная |
28 |
10 |
--- |
8 |
5 |
5 |
300 |
| Всего |
438 |
165 |
95 |
63 |
65 |
50 |
В ЦРБ 320 коек, помещение ЦРБ требует ремонта. После капитального ремонта и реконструкции, заканчивающихся в этом году, можно будет развернуть дополнительно 30 коек. Всего в Павловском районе имеется 728 коек. Потребность населения района в койках по специальностям:
1. Взрослое сельское население = 90.000 – ¼ * 90.000 = 67.500
2. Потребное количество
коек для сельского населения = колич-во коек в норме на 10.000 человек
10.000 населения * взрослое сельское население
Потребное количество коек для сельского населения
(терапев. коек) = 34,2 * 67.500 = 231
10.000
Потребное количество хирургических коек = 22,6 * 67. 500 = 153
10.000
Потребное количество родильных коек = 9 * 67.500 = 61
10.000
Потребное количество гинекологических коек = 10 * 67.500 = 67,5
10.000
Потребное количество инфекционных коек = 5,7 * 67.500 = 38
10.000
ВЫВОД:
1. В участковых больницах Павловского района не достает 66 терапевтических коек, 58 хирургических коек. Количество инфекционных коек можно сократить.
2. В целом по району не хватает 30 коек, этот дефицит мог бы быть покрыт помощью ремонта и реконструкции больниц Павловского района.
Потребность населения района в койках по специальностям необходимо определить исходя из нормативов.
Таблица 4.
Расчетная потребность в койках по специальностям
| Специальности |
Количество коек |
| Терапия |
277 |
| Хирургия |
183 |
| Акушерство |
73 |
| Гинекология |
81 |
| Неврология |
62 |
| Инфекционные болезни |
46 |
| Фтизиатрия |
72 |
| Офтальмология |
30 |
| Отоларингология |
17 |
| дерматология |
25 |
1. Потребное кол-во коек = кол-во коек в N на 10.000 чел-к * взрослое население р-на
10.000 населения
2. Потребность в терапевтических койках = 34,2 * 81.000 = 277
10.000
3. Потребность в хирургических койках = 22,6 * 81.000 = 183
10.000
4. Потребность в акушерских койках = 9 * 81.000 = 73
10.000
5. Потребность в гинекологических койках = 10 * 81.000 = 81
10.000
6. Потребность в неврологических койках = 7,7 * 81.000 = 62
10.000
7. Потребность в инфекционных койках = 5,7 * 81.000 = 46
10.000
8. Потребность во фтизиатрических койках = 8,9 * 81.000 = 72
10.000
9. Потребность в офтальмологических койках = 3,8 * 81.000 = 30
10.000
10. Потребность в отоларингологических койках = 2,1 * 81.000 = 17
10.000
11. Потребность в дерматологических койках = 3,1 * 81.000 = 25
10.000
Таблица 5
План центральной районной больницы в целом и отделениями на следующий год
| Название отделения |
Число больнич- ных коек |
Среднегодо – вая занятость коек |
Число койкодней |
Средн. длит-ть пребыв. больного на койке |
Число госпит. больных |
| Терапевтическое |
84 |
343 |
28.812 |
19 |
1.516 |
| Хирургическое |
45 |
335 |
15.075 |
13 |
1.159 |
| Родильное |
40 |
300 |
12.000 |
10 |
1.200 |
| Гинекологичес-кое |
49 |
340 |
16.600 |
8 |
2.083 |
| Детское |
46 |
300 |
13.800 |
15 |
920 |
| Инфекционное |
28 |
310 |
8.680 |
13 |
668 |
| Неврологическое |
28 |
340 |
9.520 |
22 |
433 |
| Всего |
320 |
2.268 |
104.487 |
100 |
7.979 |
1. Число койкодней = (среднегодовая занятость койки) * ( среднегодовое число коек)
2. Число койко-дней в терапевтическом отделении = 343 * 84 – 28.812
3. Число койко-дней в хирургическом отделении = 335 * 45 = 15.075
4. Число койко-дней в родильном отделении = 300 * 40 = 12.000
5. Число койко-дней в гинекологическом отделении = 340 * 49 = 16.660
6. Число койко-дней в детском отделении = 300 * 46 = 13.800
7. Число койко-дней в инфекционном отделении = 310 * 28 = 8.680
8. Число койко-дней в неврологическом отделении = 340 * 28 = 9.520
II. Число госпитализированных больных = число койко-дней
средняя продолжительность
пребывания больного на койке
Для терапии = 28 * 812 = 1.516
19
Для хирургии = 15.075 = 1.159
13
Для родильного отделения = 12.000 = 1.200
10
Для гинекологического отделения = 16.660 = 2.083
8
Для детского отделения = 13.800 = 920
15
Для инфекционного отделения = 8.680 = 668
13
Для неврологического отделения = 9.520 = 433
22
Поликлиника ЦРБ.
В поликлинике ЦРБ имеется должностей участковых терапевтов – 8, хирургов – 2. Определить необходимое количество врачей, указанных специальностей, исходя из функции врачебной должности.
Таблица 6.
Действующий график работы поликлиники ЦРБ
| Врачи-специалисты |
Количество часов работы |
|
| В поликлинике |
На дому |
|
| Терапевты (участковые) |
3 |
3,5 |
| Хирурги |
5,5 |
--- |
1. Расчет потребности во врачах участковых терапевтах:
Ф тер. = Б * С * Г, где
Ф – функция одной врачебной должности данной специальности
Б – нагрузка врача данной специальности на 1 час работы в поликлинике и на дому
С – число часов работы раздельно в поликлинике и на дому
Г – число рабочих дней в году
В тер. = Л * Н , где
Ф
В – необходимое количество врачебных должностей
Л – норма полик.помещений на одного жителя в год
Р – численность населения планируемой территории
В тер. = 2,2 * 125.000 = 44,3
(3 * 5 + 3,5 * 2) * 282
2. Расчет потребности во врачах хирургах
В хир. = Л * Н
Б * С * Г
В хир. = 1,4 * 125.000 = 12,5
5,5 * 9 * 282
ВЫВОД:
По данным расчетов необходимого количества врачебных должностей, получили, что ЦРБ необходимы еще 36,3 должностей терапевта и 10,5 должностей хирурга.
Таблица 7.
Число посещений, сделанных жителями центрального райцентра в поликлинику ЦРБ
| Специальности |
Число посещений |
|
| Предыдущий год |
Очередной год |
|
| Терапия |
45.000 |
57.750 |
| Хирургия |
27.100 |
36.750 |
Число посещений = (число поликлинических посещений на 1 жителя в год) * (численность взрослого населения райцентра)
Число посещений к терапевту = 2,2 * 26.250 = 57.750
Число посещений к хирургу = 1,4 * 26.250 = 36.750
Врачебные кадры.
В Павловском районе в прошлом году работало 120 врачей. Штатным расписанием центральной районной больницы предусмотрено 60 врачебных должностей; фактически занято – 57, число физических лиц – 52.
Таблица 9.
Распределение участковых врачей-терапевтов поликлиники ЦРБ по занимаемой должности и стажу работы.
| Наименование должностей |
Число должностей |
В том числе заняты врачами со стажем работы ( в годах) |
|||||
| штатных |
занятых |
До 5 |
5 - 10 |
10 - 15 |
15 - 30 |
30 и более |
|
| Участковые врачи-терапевты |
8 |
8 |
1 |
2 |
2 |
2 |
1 |
1. Укомплектованность штата врачей = кол-во занятых должностей
количество штатных должностей * 100%
Укомплектованность штата врачей = 57 * 100 = 95 %
60
2. Число должностей, приходящихся на 1 врача ЦРБ = кол-во занятых должностей
число физических лиц
Число должностей, приходящихся на 1 врача ЦРБ = 57 = 1,096 ≈ 1,1
52
Таким образом, в ЦРБ на 1 врача приходится 1,1 врачебной должности. Значит, в ЦРБ имеет место совмещение врачебных должностей.
Расчет расходов по основным статьям сметы ЦРБ
1 ст. – заработная плата (только для участковых терапевтов)
12 * (2474, 4 : 4 + 2474,4 ) = 37.116 руб.
2 ст. – начисления на заработную плату (38, 5%)
37.116 * 38,5 = 14.289,6 руб.
100
9 ст. – расходы на питание (терапевтическое отделение)
Число коек в отделении * планируемая среднегодовая занятость койки * расходы на одного больного в день
84 * 343 * 10 = 288 * 120
10 ст. – приобретение медикаментов и перевязочного материала
Число коек в отделении * планируемая среднегодовая занятость койки * расходы на медикаменты по стационару
83 * 343 * 20 = 576.240 руб.
В результате выборочного изучения материалов о временной нетрудоспособности больных, с острыми вирусными респираторными заболеваниями, своевременно обратившихся к врачу ( в 1 день) заболевания, были получены следующие данные.
Распределение больных ОРВИ по длительности заболевания
| Число дней временной нетрудоспособности |
Число больных |
| 6 |
10 |
| 8 |
55 |
| 11 |
20 |
| 14 |
5 |
В группе больных этими же заболеваниями, несвоевременно обратившихся, средняя длительность временной нетрудоспособности составила 15,8 дней + / - 0,5 дня.
| V |
P |
pV |
a |
aP |
a 2 P |
| 6 |
10 |
60 |
- 3,75 |
- 37,5 |
140, 62 |
| 8 |
55 |
440 |
- 1,75 |
- 96,25 |
96,25 |
| 11 |
20 |
220 |
1,25 |
25 |
31,25 |
| 14 |
5 |
70 |
4,25 |
21,25 |
90,31 |
| ∑ = 39 |
∑ = 90 |
∑ = 720 |
∑ = 0 |
∑ = - 87,5 |
∑ = 358, 43 |
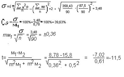
М = (6 + 8 + 11 + 14) : 4 = 9,75 а = V – М
М1 = М + ∑ а Р = 9,75 – 87,5 = 9,75 – 0,97 = 8,78 i = 14 - 6 = 2
n 90 4

![]()
ВЫВОД:
Доверительный критерий (t) < 2, значит модно с вероятностью безошибочного прогноза (выше 95 %) утверждать, что низкая средняя длительность одного случая нетрудоспособности (8,78) в связи с ОРВИ обусловлено тем, что основное содержание санитарно-просветительной работы направлено на профилактику возникновения заболеваний и формирование правильного поведения населения – своевременно при заболевании обращаться к врачу.
Из общего числа населения Павловского района 125.00 чел., взрослое население 81.000 человек.
На предприятиях, в организациях и других небюджетных учреждениях работает 46.000 человек, остальные 35.000 составляют пенсионеры, инвалиды, работники бюджетных организаций непроизводственной сферы.
Фонд оплаты труда предприятий и учреждений района за базовый период 2.627.800 тыс. рублей.
Рентабельность медицинских учреждений Н-ской области принята в размере 20 %.
Удельный вес средств обязательного страхования на содержание страховых компаний составляет в среднем 4 %.
| Работающие небюджетных учреждениий 46.000 чел. |
Неработающие и работники бюджетных учреждений 35.000 чел. |
|
| Стоимость территориальной программы |
427.667.260, 8 |
|
| Сумма средств на содержание страх. организаций |
237.480.172, 8 |
190.187.088 |
| Рентабельность |
228.346.320 |
182.872.200 |
| Себестоимость мед. помощи |
190.288.600 |
152.393. 500 |
Себестоимость медицинской помощи = себестоимость мед.помощи на 1 человека * численность населения
Себестоимость медицинской помощи работающим небюджетных учреждений =
= 4354, 10 * 46.000 = 190.288.600
Себестоимость мед.помощи неработающим и работающим бюджетных учреждений = = 4354, 10 * 35.000 = 152.393.500
Рентабельность небюджетных учреждений = 190.288.600 * 1,2 – 228.346.320
Рентабельность бюджетных работающих = 152.393.500 * 1,2 = 182.872.200
Сумма средств на содержание страховых компаний бюджетных работающих =
= 182.872.200 * 1,04 = 190.187.088
Сумма средств на содержание страховых компаний небюджетных работающих =
= 228.346.320 * 1,04 = 237.480.172,8
Стоимость территориальной программы = 190.187.088 + 237.480.172,8 = 427.667.260,8
