| Похожие рефераты | Скачать .docx |
Реферат: Радиоактивность и ядерные излучения
Реферат
Тема: Радиоактивность и ядерные излучения
План
1. Общие сведения о радиоактивных излучениях
2. Строение атомного ядра
3. Радиоактивный распад
4. Взаимодействие излучений с веществом
4.1. Взаимодействие альфа-частиц с веществом
4.2.Взаимодействие бета-частиц с веществом
4.3.Взаимодействие гамма-излучения с веществом
4.4.Взаимодействие нейтронов с веществом
5. Дозиметрия
Литература
1. ОБЩИЕ СВЕДЕНИЯ О РАДИОАКТИВНЫХ ИЗЛУЧЕНИЯХ
Радиоактивность появились на земле со времени ее образования и человек за всю историю развития своей цивилизации находился под влиянием естественных источников радиации. Земля подвержена радиационному фону, источниками которого служат излучения Солнца, космическое излучение, излучение от залегающих в Земле радиоактивных элементов.
Термин радиоактивность, радиация по латыни звучит как излучение, с которым мы встречаемся каждый день, зажигая электрический свет (электромагнитное излучение), включая телевизор (излучение электронов) или загорая на солнце (ультрафиолетовое излучение). В дальнейшем под термином радиоактивность мы будем рассматривать ионизирующее излучение, т.е. излучение, действующее на вещество и изменяющее физическое состояние атомов в нем. Явление радиоактивности было открыто французским физиком А. Беккерелем 1 марта 1896 года при случайных обстоятельствах. Беккерель положил несколько фотографических пластинок в ящик своего стола и, чтобы на них не попал видимый свет, он придавил их куском соли урана. После проявления и исследования он заметил почернение пластинки, объяснив это излучением солью урана невидимых лучей. От солей урана Беккерель перешёл к чистому металлическому урану и отметил, что эффект испускания лучей усилился. Так произошло открытие радиоактивности.
Исследования показали, что эти лучи проникают сквозь тонкие металлические экраны и ионизируют газ, через который проходят. Их проникающая способность не зависит ни от температуры, ни от освещения, ни от давления. Их интенсивность не менялась со временем. Замечательной способностью обнаруженного излучения оказалась его самопроизвольность. Эти лучи, назвали позднее рентгеновскими.
Поисками веществ, способных к лучеиспусканию, по предложению Беккереля занялись молодой профессор Пьер Кюри и его супруга Мария Складовская-Кюри. Эти учёные обнаружили, что урановая смоляная руда обладает способностью давать излучение, в 4 раза превосходящее по интенсивности излучение урана. Это свидетельствовало о том, что в руде присутствовал источник излучения, более мощный, чем уран. В 1898 году супруги Кюри открыли два новых элемента — полоний, названный так в честь родины Марии Складовской-Кюри — Польши, и радий, что означает по латыни "испускающий лучи".
В честь супругов Кюри получил свое название искусственно полученный трансурановый элемент с номером 96 — Кюрий. Среди элементов содержащихся в земной коре, радиоактивными являются все начиная с висмута, т.е. с порядковым номером более 83 в таблице элементов Менделеева.
Вещества, испускающие новые излучения были названы радиоактивными, а новое свойство вещества, связанное с испусканием излучения, по предложению М. Кюри, было названо радиоактивностью.
Вскоре после открытия полония и радия Резерфордом было установлено, что радиоактивное излучение неоднородно по своему составу. Одна часть излучения поглощается тонкой алюминиевой фольгой, а другая проходила без изменения. Анализ состава излучения проводился по отклонению его в магнитном поле (рис. 1.1). Было обнаружено, что излучение содержит три вида лучей — альфа, бета, гамма.
Характер отклонения лучей в магнитном поле показывает, что альфа-лучи несут положительный заряд. Оказалось, что это атомы гелия, потерявшие два электрона, т.е. ядра атома гелия-4.
Ядро гелия-4 состоит из двух положительных протонов и двух нейтральных нейтронов. Все частицы в ядре связаны прочной связью и оно стабильно.
а-лучи — тяжелые частицы с малой проникающей способностью.
Бета-лучи — легкие частицы с большой проникающей способностью. Бета-лучи представляют собой поток быстро летящих электронов. Их скорость близка к скорости света.
у-лучи обладают максимальной проникающей способностью и представляют собою жесткое электромагнитное излучение. Гамма-лучи обладают относительно малой ионизирующей способностью, в тоже время они имеют большие частоты, чем рентгеновские лучи. Это свойство гамма-лучей привело к широкому использованию их в медицине, для лечения злокачественных опухолей, диагностике заболеваний и т.д.
2. СТРОЕНИЕ АТОМНОГО ЯДРА
Все тела независимо от их агрегатного состояния состоят из мельчайших "кирпичиков", которые назвали атомами. "Кирпичики" имеют различные типы связи в зависимости от того к какому химическому элементу таблицы Менделеева они принадлежат. Химический элемент — совокупность атомов одного типа. Древние греки считали атом неделимым, отсюда и произошел термин атом, "неделимый". Но, как показано выше, атом является источником радиоактивного излучения, поэтому рассмотрим его строение более подробно.
Английский учёный Джозеф Джон Томпсон, проводя исследование катодных лучей, возникающих при электрическом разряде в газах, впервые экспериментально обнаружил элементарные отрицательные заряды — электроны. Он же первый измерил удельный заряд электрона — е/т (отношение заряда электрона к его массе). Было установлено, что электроны вырываются из атомов. Атомы, представлявшиеся до этого неделимыми "кирпичиками мироздания", обнаружили тонкую структуру.
В 1903 г. после открытия электрона Томсон предложил модель атома в виде положительной объемно заряженной сферы диаметром 10~10 м, внутри которого, подобно изюму в кексе, вкраплены электроны. Отрицательный заряд электронов равен положительному заряду сферы. Излучение атомом Томсон объяснял колебаниями электронов относительно центра сферы. Из модели Томсона следовало, что масса атома распределялась равномерно по всему объему, однако, как позднее в 1908 году показал Э. Резерфорд в опытах по рассеянию «-частиц (ядер гелия тонкой золотой фольгой), это являлось ошибочным.
В качестве "зондирующих" частиц были выбраны альфа-частицы, преимущество которых перед другими видами излучений — в их высокой монохроматичности (все альфа-частицы, вылетающие из атомов одного сорта имеют одинаковую скорость) и в их большой массе (масса альфа-частицы превышает массу электрона в 7296 раз). Из-за своей большой массы альфа-частицы не должны испытывать соударений с электронами, содержащимися в атоме, и по их рассеиванию в веществе можно судить о распределении положительно заряженной материи в атоме.
Схема опытов Резерфорда представлена на рис. 1.2. Альфа-частицы испускались источником 1, помещенным внутри свинцовой камеры с узким каналом 2 так, чтобы все частицы, кроме движущихся вдоль оси канала, поглощались стенками камеры. Узкий пучок альфа-частиц попадал на тонкую золотую фольгу 3, перпендикулярно к её поверхности. Альфа-частицы, прошедшие через фольгу и рассеянные ею, попадали на экран и вызывали вспышки (сцинтилляции) на нем. В промежутке между фольгой и экраном создавался вакуум, чтобы не происходило дополнительного рассеяния альфа-частиц в воздухе.
Опыты показали, что в большинстве своем частицы после прохождения фольги сохраняли своё прежнее направление или отклонялись на очень малые углы. И лишь одна из 2 х 104 частиц отклонялась на угол, больший 90°. Для объяснения результатов этих опытов Резерфорд предположил, что весь положительный заряд сосредоточен в весьма малом объеме атома — ядре. Остальной объем атома заполнен электронами, полный отрицательный заряд которых равен положительному заряду ядра. Так в 1911 году была создана ядерная модель атома.
Рассеяние альфа-частиц в этой модели атома получило простое объяснение. В самом деле, так как электроны имеют весьма малую массу, по сравнению с альфа-частицей и распределены по всему объему атома, то а-частицы не должны испытывать заметного отклонения из-за взаимодействия с электронами. Только те частицы, которые проходят вблизи ядра испытывают сильное отклонение из-за кулоновских сил отталкивания между положительно заряженной частицей и массивным ядром. Но из-за малых размеров ядра вероятность встречи альфа-частицы с ядром также мала, поэтому и число альфа-частиц, испытавших отклонения на большие углы, весьма невелико.
На основании опытов Резерфорда по рассеянию альфа-частиц тонкими металлическими фольгами и теоретических расчетов была сформулирована ядерная модель ядра. По этой модели в центре атома — ядре, имеющем линейные размеры 10~ -10 м, сосредоточен весь положительный заряд атома и практически вся его масса. Вокруг атома, в области размером примерно 10 м, по орбитам движутся электроны, масса которых составляет весьма незначительную часть массы атома. Ядерная модель атомов напоминает солнечную систему: в центре системы находится "солнце" — ядро, а по орбитам вокруг него движутся "планеты" — электроны. "Планетарная" модель атома, дополненная постулатами Бора, оказалась весьма плодотворной для объяснения линейчатых спектров водородоподобных атомов, позволила объяснить природу характеристических рентгеновских спектров и ряд других физических явлений. В дальнейшем эта модель атома претерпела изменения, сохранив при этом свои основные черты. Атом состоит из ядра и электронов, расположенных вокруг ядра на определенных энергетических оболочках. Важнейшими характеристиками ядра являются его заряд Z и масса М.
В 1911 г. в опытах Резерфорда по облучению альфа-частицами легких газов показано, что ядра расщепляются, с вылетом ядер водорода, которые впоследствии были названы протонами. Эти эксперименты показали, что протоны являются составной частью ядра.
В 1932 г. английский физик Дж. Чедвиг провел опыты по бомбардировке бериллиевой фольги альфа-частицами и открыл еще одну ядерную частицу — нейтрон, который по своей массе был близок к протону.
Заряд ядра определяется числом элементарных положительных зарядов, содержащихся в нем, и совпадает с порядковым номером химического элемента в таблице Менделеева. Носителем элементарного положительного заряда является протон. Заряд протона (р) q = +1,6021 х Ю~19 Кл, масса покоя протона М = 1,6726 хЮ"26 кг =1836Ме (Ме = 9,11хЮ~31 кг). В состав ядра, кроме протонов, входят нейтроны. Нейтрон (п) — нейтральная частица с массой покоя Мп = 1,6749 х 10~27 кг = 1839Ме .
В ядерной физике считается, что протон и нейтрон — два так называемых зарядовых состояния одной и той же частицы — нуклона (от латинского nucleus — ядро). Протон является протонным состоянием нуклона с зарядом +е , нейтрон — его нейтронным состоянием с нулевым зарядом. Нуклоны в ядре находятся в состояниях, отличных от их свободных состояний. Это связано с тем, что в ядре между нуклонами осуществляется особое ядерное взаимодействие. От электромагнитного взаимодействия оно отличается тем, что одинаково действует на заряженный протон и нейтральный в элементарном отношении нейтрон. Действие ядерного взаимодействия проявляется на очень близких ядерных расстояниях (около 10~13 м), величина очень велика, позволяющая сжать ядерное вещество до плотности сотни миллионов тонн в 1 см3 .
Масса атомного ядра совпадает практически с массой всего атома, т.к. масса электронов мала. Ядро, как и нейтральный атом, символически обозначаются так Аг Х , где X — символ химического элемента, Z — атомный номер (число протонов в ядре), А — массовое число (число нуклонов в ядре). Массы атомов принято выражать в атомных единицах массы (а. е. м.). За атомную единицу массы принята 1/16 массы атома кислорода:
![]()
Кроме того применяется "унифицированная атомная единица массы" (у. а. е. м.), равная 1/12 массы атома углерода:
![]()
В природе существуют множество радиоактивных веществ, в соответствии со своими свойствами они объединены в ряды тория и урана. Однако и среди них встречаются вещества с одинаковыми химическими свойствами но с различными массами. Эти вещества были названы изотопами
(от греческих слов "одинаковый" и "место"), т.е. ядра с одинаковыми Z
,
но разными А
(т.е. с разными числами нейтронов N = А
- Z
). Например, водород (
Z
= 1) имеет три изотопа:
— протий (
Z
= 1, N =
0),
— дейтерий (
Z
= 1, N
= 1),
— тритий (
Z
= 1, N
= 2). Ядра с одинаковыми А,
но разными Z
называются изобарами.
Примером ядер-изобар могут служить
.
3. РАДИОАКТИВНЫЙ РАСПАД
В 1911 году Резерфорд и Содди показали, что атомы некоторых веществ испытывают последовательные превращения, образуя радиоактивные ряды, где каждый член этого ряда возникает из предыдущего, причем никакими внешними физическими воздействиями (температура, электрические и магнитные поля, давление) нельзя повлиять на характеристики распада.
Позже, способность некоторых ядер самопроизвольно (спонтанно) превращаться в другие ядра с испусканием различных видов излучения и элементарных частиц называли радиоактивностью. При этом различают два вида радиоактивности — естественную, наблюдающуюся у нестабильных изотопов атома, существующих в природе, и искусственную, наблюдающуюся у изотопов, образующихся в результате ядерных реакций. Оба вида радиоактивности ничем принципиально не отличаются друг от друга и описываются одними и теми же законами радиоактивных превращений.
Процесс естественного, самопроизвольно происходящего радиоактивного превращения называется радиоактивным распадом, или просто распадом. Ядра, испытывающие распад, называются радионуклидами. Исходное атомное ядро называется материнским, а ядро, образовавшееся в результате распада, называется дочерним.
Радиоактивный распад происходит со строго определённой скоростью, характерной для каждого данного элемента. Время, за которое исходное число радиоактивных ядер в среднем
уменьшается вдвое, называется периодом полураспада Т.
Периоды полураспада различных ядер колеблются в очень широких пределах. Так, например, период полураспада урана
составляет 4,5 млрд. лет, радия
— 1620 лет, радона—
3,8 суток. Более того, периоды полураспада у изотопов одного и того элемента могут сильно различаться — у
Ra
Т = 1630 лет, а у
Т
=0,001с.
Поскольку отдельные радиоактивные ядра распадаются независимо друг от друга, то закон радиоактивного распада носит статистический характер. Можно показать, что закон убывания во времени числа радиоактивных ядер данного вещества (закон радиоактивного распада)
имеет вид ![]()
Здесь
— число радиоактивных ядер в момент времени, принятый за начало отсчёта, т.е. при t
= 0 . N
— число радиоактивных ядер в момент времени t
. Я
— постоянная для данного радиоактивного вещества величина, носящая название постоянной радиоактивного распада.
Между постоянной радиоактивного распада и периодом полураспада существует простая связь:
![]()
Среднее время жизни радиоактивного ядра г есть величина, обратная постоянной радиоактивного распада, т.е. радионуклиды, из которых 37000 распадается каждую 5 секунду.
Радиоактивный распад происходит в соответствии с правилами смещения, установленными опытным путём. Правила смещения: => для альфа-распада (превращения ядер, сопровождающиеся испусканием альфа-частиц)
:=>
для бета распада (превращения ядер, сопровождающиеся, испусканием бета-частиц)
![]()
Активностью А нуклида в радиоактивном источнике называется число распадов, происходящих с ядрами образца в единицу времени:
![]()
где
— число ядер, распавшихся в среднем за интервал времени от t
до t
+
dt
.
Единица активности в системе СИ — беккерелъ (Бк): 1 Бк — активность нуклида, при которой за 1 с происходит один распад. Внесистемная единица активности — кюри (Ки):
Бк.
1 кюри равен числу распавшихся ядер содержащихся в 1 г радия за 1 с (3,7 х
рас/сек).
Милликюри —
Ки.
Микрокюри —
Ки.
На всех картах радиационного загрязнения, явившегося результатом Чернобыльской катастрофы, приводится радиационная плотность загрязнения, т.е. радиоактивность на единицу площади.
Например, если вы проживаете на территории с плотностью загрязнения почвы 1 Ки/кв. км или 37000 Бк/кв. м (37 кБк/кв. м), то это означает, что на одном квадратном метре этой почвы находятся
![]()
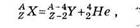
где X
— химический символ материнского ядра,
— ядро атома гелия,
— символическое обозначение электрона (заряд его равен —1, массовое число равно 0).
Правила смещения являются следствиями двух законов сохранения, выполняющихся при радиоактивных распадах — сохранения электрического заряда и массового числа: сумма зарядов (массовых чисел) возникающих ядер и частиц равна заряду (массовому числу) исходного ядра.
Получившееся в результате распада дочернее ядро тоже может быть радиоактивным. В результате возникает цепочка
или ряд
радиоактивных превращений, заканчивающихся стабильным изотопом. Совокупность элементов, образующих цепочку, называется радиоактивным семейством.
Семейство называется по наиболее долгоживущему элементу (с наибольшим периодом полураспада) "родоначальнику" семейства: тория
урана
и актиния. Конечными
нуклидами являются соответственно
![]()
В таблице 1 представлена цепочка семейства урана.
Таблица 1. Семейство урана.
| Вид излучения | Нуклид | Период полураспада |
| α | Уран-238 | 4,47 млрд.лет |
| β | Торий-234 | 24,1 суток |
| β | Протактиний-234 | 1,17 минут |
| α | Уран-234 | 245000 лет |
| α | Торий-230 | 8000 лет |
| α | Радий-226 | 1600 лет |
| α | Радон-222 | 3,823 суток |
| α | Полоний-218 | 3,05 минут |
| β | Свинец-214 | 26,8 минут |
| β | Висмут-214 | 19,7 минут |
| α | Полоний-214 | 0,000164 секунды |
| β | Свинец-210 | 22,3 лет |
| β | Висмут-210 | 5,01 суток |
| β | Полоний-210 | 138,4 суток |
| Свинец-206 | стабильный |
4. ВЗАИМОДЕЙСТВИЕ ИЗЛУЧЕНИЙ С ВЕЩЕСТВОМ
Для регистрации радиоактивности и мер защиты от ядерных излучений, необходимо знать за счет каких процессов теряется энергия излучения, проходя через вещество; какова ионизирующая способность различных видов излучения.
В основном заряженные частицы, проходя через вещество, теряют свою энергию за счет столкновений с атомами этого вещества. Так как масса ядра вещества на много больше по сравнению с массой электронов атома, то наблюдаются существенные различия между столкновениями "электронными" (падающая частица сталкивается с электроном) и "ядерными" столкновениями (падающая частица сталкивается с ядром атома). В первом случае происходит возбуждение или ионизация атома (неупругое столкновение), во втором — частица и атом приходят в движение как единая система (упругое столкновение). Ядерные столкновения происходят в веществе многократно, что приводит к рассеянию частиц. Если в результате взаимодействия появляются новые частицы или исчезают первоначальные, то этот процесс называют реакцией. В частности, если возникают при взаимодействии ядра с новыми свойствами, то реакция называется ядерной.
Процесс радиоактивного превращения элементов всегда сопровождаются выбросом элементарных частиц. Это могут быть заряженные частицы такие, как альфа-, бета-частицы, протоны и другие, нейтральные — нейтроны, нейтрино, так и гамма кванты различных энергий.
Пучки заряженных элементарных частиц, ядра лёгких элементов, ионов оказывают ионизирующее воздействие на вещество, через которые они проходят. Опосредствованное ионизирующее воздействие оказывают и нейтральные частицы, прежде всего нейтроны: в результате взаимодействия этих частиц с ядрами веществ испускаются ядром протон и гамма квант, которые и вызывают ионизацию среды.
Рассмотрим процессы, сопровождающие прохождение ионизирующего излучения через вещество.
4.1 ВЗАИМОДЕЙСТВИЕ АЛЬФА-ЧАСТИЦ С ВЕЩЕСТВОМ
История открытия и изучения альфа-частиц связана с именем Резерфорда. При помощи альфа-частиц Резерфорд проводил исследования большинства атомных ядер.
Альфа-частицы это атомы гелия, потерявшие два электрона, т.е. ядра атома гелия
![]()
Ядро гелия, состоящее из двух протонов и двух нейтронов устойчиво, частицы связаны в нем прочно.
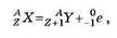
В настоящее время известно более 200 альфа активных ядер, главным образом тяжёлых (А > 200, Z > 82 ), исключение составляют редкоземельные элементы (А=140-160). Примером альфа распада может служить распад изотопов урана:
![]()
Скорости, с которыми альфа-частицы ,, вылетают из распавшегося ядра, очень велики и колеблются для разных ядер в пределах от 1,4 х 107 до 2,0x10' м/с, что соответствует кинетическим энергиям этих частиц 4—8,8 МэВ. Альфа-частицы в состав ядра не входят, и, по современным представлениям, они образуются в момент радиоактивного распада при встрече движущихся внутри ядра 2-х протонов и 2-х нейтронов.
Пролетая через вещество, альфа-частицы постепенно теряют свою энергию, затрачивая ее на ионизацию газов. Причём в начале пути, когда энергия альфа-частиц велика, удельная ионизация меньше, чем в конце пути.
Под пробегом частицы в веществе понимается толщина слоя этого вещества, которую может пройти эта частица до полной остановки. Пробег частиц в основном определен для тяжелых частиц, т.к. их путь представляет прямую линию с наименьшим рассеянием. Пробег альфа-частиц зависит как от энергии частиц, так и от плотности вещества, в котором они движутся.
По пробегу альфа частицы можно определить ее энергию.
4.2 ВЗАИМОДЕЙСТВИЕ БЕТА-ЧАСТИЦ С ВЕЩЕСТВОМ
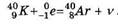
Бета-распад происходит, когда замена в атомном ядре ( нейтрона на протон энергетически выгодна, и образующееся новое ядро имеет большую энергию связи. Бета-излучение состоит из бета-частиц (электронов или позитронов), которые испускаются при бета-распаде радиоактивных изотопов. Электроны не входят в состав ядра и не выбрасываются из оболочки атома, при электроном бета- распаде происходит превращение нейтрона в протон с одновременным образованием электрона и вылетом антинейтрино. При этом заряд ядра и его порядковый номер увеличиваются на единицу. Электронный распад характерен для ядер с избыточным числом нейтронов. Примером электронного бета-распада может служить распад стронция:
![]()
При позитронном бета-распаде происходит превращение протона в нейтрон с образованием и выбросом из ядра позитрона. Заряд и порядковый номер ядра уменьшаются на единицу. Позитронный бета-распад наблюдается для неустойчивых ядер с избыточным числом протонов. Примером позитронного бета-распада может служить распад радионуклида натрия:
![]()
К бета-распаду относится также электронный захват (е-захват), т.е. захват атомным ядром одного из электронов своего атома. При этом один из протонов ядра превращается в нейтрон и испускается нейтрино. Возникшее ядро может оказаться в возбужденном состоянии.
Переходя в основное состояние оно испускает гамма-фотон. Место в электронной оболочке, освобожденное захваченным электроном, заполняется электронами из вышестоящих слоев, в результате возникает рентгеновское излучение.
Примером электронного захвата может служить следующая реакция:
![]()
Бета-частицы, испускаемые при бета-распаде, имеют различную энергию, поэтому и пробег их в веществе не одинаков. Путь, проходимый бета-частицей в веществе, представляет собою не прямую линию, как у альфа-частиц, а ломаную. Взаимодействуя с веществом среды, бета-частицы проходят вблизи ядра. В поле положительно заряженного ядра отрицательно заряженная бета-частица резко тормозится и теряет при этом часть своей энергии. Эта энергия излучается в виде тормозного рентгеновского излучения. С увеличением энергии бета-частиц и атомного номера вещества интенсивность рентгеновского излучения возрастает.
Ионизирующая способность бета-частиц много меньше, а длина пробега много больше, чем у альфа-частиц.

4.3 ВЗАИМОДЕЙСТВИЕ ГАММА-ИЗЛУЧЕНИЯ С ВЕЩЕСТВОМ
В литературе часто встречаются термины радиоактивных излучений: рентгеновские или гамма-лучи, или общее название — электромагнитные волны с короткими длинами волн, которые обладают большой проникающей способностью в веществе. Различные названия рентгеновские и гамма лучи — связаны не с различными физическими свойствами этих лучей, а со способом их получения. Наиболее часто употребляется гамма-излучение, которое не является самостоятельным видом радиоактивности, а только сопровождает альфа- и бета- распады. Оно возникает при ядерных реакциях, при торможении заряженных частиц и т.д.
Гамма-излучение испускается дочерним ядром. Дочернее ядро в момент своего образования оказывается возбуждённым, а затем за время
с оно переходит в основное состояние с испусканием гамма-излучения. Возвращаясь в основное состояние, ядро может пройти через ряд промежуточных состояний, поэтому гамма-излучение может содержать несколько групп гамма-квантов, отличающихся значениями энергии.
Гамма-кванты, обладая нулевой массой покоя, не могут замедляться в среде, они или поглощаются или рассеиваются. Гамма-излучение не имеет заряда и тем самым не испытывает влияния кулоновских сил. При прохождении пучка гамма-квантов через вещество их энергия не меняется, но уменьшается интенсивность, согласно закону
(
— интенсивности гамма-излучения на входе и выходе слоя поглощающего вещества толщиной X
,
— коэффициент поглощения); зависит от свойств вещества и энергии гамма-квантов.![]()
Основными процессами, сопровождающими прохождение гамма-излучения через вещество является фотоэффект, компто-новское рассеяние и образование электронно-позитронных пар (рис. 1.3).
Фотоэффектом называется процесс, при котором атом полностью поглощает гамма квант с энергией hv и испускает электрон с кинетической энергией Ek , равной
![]()
где I
— энергия ионизации соответствующей атомной оболочки. Если энергия hv
достаточна для вырывания электрона из любой атомной оболочки (
hv
>
), то наиболее вероятным будет испускание сильно связанных, т.е. глубинных атомных электронов. Увеличение порядкового номера z
поглотителя приводит к увеличению вероятности фотоэффекта, поскольку ослабляется связь электронов с атомным остатком и возрастает число электронов в атоме. С ростом энергии hv
вероятность фотоэффекта понижается.
Комптоновским рассеянием называется такой процесс, при котором гамма-квант, взаимодействуя со слабо связанным электроном, передает ему часть своей энергии hv и рассеивается под углом q к первоначальному направлению, а электрон покидает атом, обладая кинетической энергией.
Увеличение энергии гамма квантов
приводит к монотонному убыванию вероятности Комптон-эффекта.
Рождение электронно-позитронной пары — процесс, при котором гамма-квант превращается в пару частиц — электрон и позитрон, в результате взаимодействия с электрическим полем ядра или электрона. Процесс рождения пары частиц в поле ядра возможен при энергиях гамма-квантов превышающих 1,02 МэВ. Для возникновения такого же процесса в поле электрона энергия гамма квантов должна достичь порогового значения 2,04 МэВ.
Механизм поглощения гамма-излучения зависит от его энергии. Если энергия кванта меньше 100-200 кэВ, то наиболее вероятным механизмом поглощения является фотоэффект. Образовавшийся при фотоэффекте электрон способен вызвать ионизацию среды в которой он движется. При энергиях, больших 200 кэВ и вплоть до 100 МэВ, основным механизмом поглощения энергии гамма квантов является Комптон-эффект. Начиная с энергии гамма кванта 1,02 МэВ появляется вероятность образования электронно-позитронных пар. Энергия кванта, равная 1,02 МэВ, расходуется на образование пары, а избыток энергии кванта переходит в кинетическую энергию образующихся частиц, которые теряют эту энергию при столкновении с электронами. Наряду с процессом образования пар происходит их аннигиляция с образованием двух гамма квантов
4.4 ВЗАИМОДЕЙСТВИЕ НЕЙТРОНОВ С ВЕЩЕСТВОМ
Нейтроны, имеющие нулевой заряд, не взаимодействуют с электронной оболочкой встреченных атомов, а поэтому могут проникать вглубь их. Проникающая способность нейтронов весьма велика. При этом нейтроны могут либо поглощаться ядрами, либо рассеиваться на них. При упругом рассеивании на ядрах углерода, азота, кислорода и других элементов, входящих в состав тканей, нейтроны теряют лишь 10-15% энергии, а при столкновении с почти равными с ними по массе ядрами водорода — протонами — энергия нейтрона уменьшается в среднем вдвое. Поэтому, с одной стороны, вещества, содержащие большое количество атомов водорода (вода, парафин), используют для замедления нейтронов. С другой стороны, процесс упругого соударения нейтронов с протонами используется для регистрации быстрых нейтронов. В самом деле при упругом ударе нейтрона с неподвижным протоном последнему передаётся большая часть кинетической энергии нейтрона — нейтрон практически останавливается, а протон начинает двигаться в том направлении, в котором двигался нейтрон. Движущийся протон на своём пути производит интенсивную ионизацию, которая регистрируется счётчиком или камерой Вильсона.
Испытавшие столкновение нейтроны совершают хаотическое движение с тепловыми скоростями. Такие тепловые нейтроны могут быть зарегистрированы с помощью ядерных реакций, при которых нейтрон, проникая в ядро, способствует вылету из него высокоэнергетической альфа-частицы. По количеству ионизации, производимых этими альфа-частицами, можно судить о прохождении через камеру медленных нейтронов.
Кроме упругих взаимодействий нейтронов с ядрами, возможны и неупругие взаимодействия. При таком взаимодействии нейтрон поглощается ядром. В результате этого поглощения (радиационного захвата) образуется нестабильный тяжёлый изотоп, который испытывает бета-распад, сопровождающийся гамма-излучением. Процесс радиационного захвата нейтронов используется в технике для получения искусственных радиоактивных нуклидов, например, кобальта (радиоактивный распад
сопровождается испусканием бета-частиц с максимальной энергией 1,33 МэВ).
Представляет интерес реакция протекающая в атмосфере постоянно под действием нейтронов, содержащихся в космическом излучении. Возникающий при этом углерод
радиоактивен, его период полураспада составляет 5730 лет. Радиоуглерод усваивается растениями в результате фотосинтеза и участвует в круговороте веществ в природе. Установлено, что равновесная концентрация
в различных местах земного шара одинакова и соответствует примерно 14 распадам в минуту на каждый грамм углерода. Когда организм умирает, процесс усвоения углерода прекращается и концентрация
в организме начинает убывать по закону радиоактивного распада. Таким образом, измерив концентрацию
в останках организмов, тканей и т.д. можно определить их возраст.
Захватом нейтрона сопровождается также одна из важнейших реакций — реакция деления, в результате которой ядро делится на две примерно равные по массе части. При делении ядра образуются новые вторичные нейтроны: два-три на каждый акт деления, которые могут, в свою очередь, вызвать деление других ядер вещества, что в соответствующих условиях может вызвать цепную реакцию.
Реакции деления атомных ядер будут рассмотрены более подробно ниже.
В заключение заметим, что при попадании нейтронов на тело человека, так же как гамма квантов или альфа, бета-частиц, их воздействие сводится, в конечном счете, к ионизации биологической ткани. Напомним кратко свойства трех видов излучений.
Альфа излучение — проникающая способность невелика, задерживается листом бумаги, одеждой, неповрежденной кожей; оно не представляет опасности до тех пор, пока радиоактивные вещества не попадут внутрь организма с пищей или вдыхаемым воздухом. При попадании внутрь организма альфа-излучение приводит к серьезному повреждению близлежащих клеток.
Бета излучение — быстрые, движущиеся с огромной скоростью электроны, проходит в ткани организма на глубину 1-2 см, однако от него можно защититься тонким слоем металла — 1,25 см, слоем дерева или плотной одеждой.
Гамма излучение и рентгеновское излучение — электромагнитное излучение, обладает очень большой энергией и проникающей способностью, оно проходит сквозь биологические ткани человека и его можно задержать лишь свинцовыми или бетонными плитами.
Основную дозовую нагрузку на организм человека в результате Чернобыльской катастрофы на территории Гомельской и Могилевской областей определяют следующие радионуклиды и виды излучений:
цезий-137 — 90%- гамма-частиц, 10% бета-частиц,
стронций-90 — 100% альфа-частиц,
плутоний — 100% альфа-частиц,
калий-40 — (естественный радионуклид) 10% — гамма-частиц, 90% — бета-частиц.
Кроме вышеперечисленных радионуклидов в почвах и растениях гамма-излучения определяют также цезий-134, церий-144, рутений-106.
При прохождении ионизирующего излучения через вещество происходит потеря энергии излучения. Среднюю энергию частицы, теряемую на единице длины её пути в веществе называют линейной передачей энергии (ЛПЭ). Понятие ЛПЭ было введено в 1954 году. За единицу ЛПЭ принимают 1 кэВ на 1 км пути: 1 кэВ/мкм = 62 Дж/м. Все ионизирующие излучения в зависимости от значения ЛПЭ делятся на редко- и плотно ионизирующие. К редко ионизирующим излучениям принято относить все виды излучения, для которых ЛПЭ = 10 кэВ/мкм, а к плотно ионизирующим — те, для которых ЛПЭ > 10 кэВ/мкм. Для заряженных частиц ЛПЭ возрастает с уменьшением их скорости.
5. ДОЗИМЕТРИЯ
Повреждения, вызванные в живом организме излучением, будут тем больше, чем больше энергии излучения передается тканям. Количество такой переданной организму энергии называется дозой. Измеряемые физические величины связанные с радиационным эффектом называют дозиметрическими. Задачей дозиметрии является измерение некоторых физических величин для предсказания или оценки радиационного эффекта, в частности радиобиологического. Распространенными дозиметрическими величинами являются поглощенная доза, экспозиционная доза, эквивалентная доза, эффективная эквивалентная доза, ожидаемая доза и коллективная доза. Как определить эти дозы? Если человек подвергается воздействию ионизирующего излучения, то необходимо знать распределение интенсивности излучения в пространстве. Кроме того, поглощающая способность тканей различна. Поэтому для характеристики энергии ионизирующего излучения используют экспозиционную дозу.
Экспозиционная доза — мера ионизационного действия фотонного излучения, определяемая по ионизации воздуха в условиях электронного равновесия, т.е. если поглощенная энергия излучения в некотором объеме среды равна суммарной кинетической энергии ионизирующих частиц (электронов, протонов).
Экспозиционная доза является непосредственно измеряемой физической величиной.
В СИ единицей экспозиционной дозы является один Кулон на килограмм (Кл/кг). Внесистемная единица экспозиционной дозы — рентген
Кл/кг, а 1Кл/кг= 3,876 х 103
Р.
Рентген — единица экспозиционной дозы рентгеновского и гамма-излучения, при прохождении которого через 0,001239 г воздуха в результате завершения всех ионизационных процессов, вызванных этим излучением, образуется 2,08х109 пар ионов. Отметим, что 0,001293 г — масса 1 см3 сухого атмосферного воздуха при нормальных условиях. Экспозиционная доза характеризует радиационную обстановку независимо от свойств облучаемых объектов.
Поглощающая способность объекта может сильно меняться в зависимости от энергии излучения, её вида и интенсивности, а также от свойств самого поглощающего объекта. Для характеристики поглощенной энергии ионизирующего излучения вводят понятие поглощенной дозы, определяемой как энергия поглощения в единице массы облучаемого вещества. Единица поглощенной дозы выражается в греях (Гр), 1Гр = 1Дж/кг. Единица названа по имени Луи Гарольда Грея — лауреата премии имени Рентгена, радиобиолога. Внесистемной единицей поглощенной дозы является рад: 1 рад — 100 эрг/г = 0,01 Дж/кг; 1Гр = 1Дж/кг = 100 рад.
Часто используют понятие интегральной дозы, т.е. энергии, суммарно поглощенной во всем объеме объекта. Интегральная доза измеряется в Джоулях (1Гр х кг = 1 Дж)
Поглощенная доза не учитывает пространственного распределения поглощенной энергии. При одинаковой поглощенной дозе альфа-излучение гораздо опаснее бета- или гамма-излучения. Для учета этого явления вводят понятие эквивалентной дозы.
Эквивалентная доза излучения представляет собой поглощенную дозу, умноженную на коэффициент, отражающий способность излучения данного вида повреждать ткани организма; альфа-излучение считается при этом в 20 раз опаснее других видов излучений. В СИ для единицы эквивалентной дозы излучения используют зиверт (Зв). Эта единица названа по имени Зиверта — крупного исследователя в области дозиметрии и радиационной безопасности. По его инициативе создана сеть станций наблюдения за радиоактивным загрязнением внешней среды. Внесистемной единицей эквивалентной дозы излучения является бэр.
Эквивалентная доза излучения может быть найдена через поглощенную дозу D
,
умноженную на средний коэффициент Q
качества излучения биологической ткани стандартного состава и на модифицирующий фактор N
:
Если излучение смешанное, то формула будет иметь вид TV
![]()
где i — индекс вида энергии излучения.
Используемый в формулах коэффициент качества излучения представляет собой безразмерный коэффициент Q, который предназначен для учета влияния микрораспределения поглощенной энергии на степень проявления вредного биологического эффекта. Значения коэффициента качества для различных видов излучений даны в таблице 2
Таблица 2 Коэффициент качества для различных видов излучений.
| Вид излучения | Значение коэффициента качества |
| Рентгеновское и гамма-излучение | 1 |
| Бета-излучение | 1 |
| Протоны с энергией меньше 10 МэВ | 10 |
| Нейтроны с энергией меньше 20 КэВ | 3 |
| Нейтроны с энергией: 0,1-10 МэВ | 10 |
| Альфа-излучение с энергией меньше 10 МэВ | 20 |
| Тяжёлые ядра отдачи | 20 |
Следует также учитывать, что одни части тела (органы, ткани) более чувствительны, чем другие. Например, при одинаковой эквивалентной дозе облучения возникновение рака легких более вероятно, чем рака щитовидной железы. Поэтому дозы облучения органов и тканей, также следует учитывать с разными коэффициентами.
Коэффициенты радиационного риска для разных тканей (органов) человека при равномерном облучении всего тела, рекомендованные для вычисления эффективной эквивалентной дозы приведены в таблице 3.
Таблица 3. Коэффициенты радиационного риска
| Органы или ткани | Коэффициент радиационного риска |
| Красный костный мозг | 0,12 |
| Костная ткань | 0,03 |
| Щитовидная железа | 0,03 |
| Лёгкие | 0,12 |
| Другие ткани | 0,3 |
| Яичники или семенники | 0,25 |
| Организм в целом | 1 |
Умножив эквивалентную дозу на соответствующие коэффициенты и просуммировав по всем органам и тканям, получим эффективно-эквивалентную дозу, отражающую суммарный эффект облучения для организма. Она также измеряется в зивертах.
Рассмотренные понятия описывают только индивидуально получаемые дозы. Просуммировав индивидуальные эквивалентные дозы, полученные группой людей мы придем к коллективной эффективной дозе, которая измеряется в человеко-зивертах (чел.-Зв).
Кроме того, вводят еще одно определение, поскольку многие радионуклиды распадаются очень медленно и останутся радиоактивными и в определенном будущем. Коллективную эффективную эквивалентную дозу, которую получают многие поколения людей называют ожидаемой (полной) коллективной эффективной эквивалентной дозой.
Одна и та же доза, но полученная за минуту или за десятилетия, может оказать различное влияние на организм. Поэтому сказать, что кто-то получил такую-то дозу, будет недостаточно, так как на основании этой информации не всегда можно сделать заключение об опасности последствий. При хроническом облучении надо иметь в виду две его особенности. Первая заключается в том, что радиационная доза облучения накапливается в организме со временем, а вторая — чем меньше ежедневная доза и чем больше промежутки между облучениями, тем больше суммарная доза, приводящая к тем же последствиям, что и в предыдущих случаях. Таким образом, доза, полученная за более длительный срок, менее вредна, чем такая же доза, полученная за более короткий срок.
В настоящее время после Чернобыля принята международная норма радиационной безопасности, которая допускает дозу облучения в 0,1 Бэр в год, что равно 1 мЗв в год. Таким образом, за жизнь человека предельная доза накопления составляет 7 Бэр или 70 мЗв.
При расчетах дозиметрических показателей в результате Чернобыльской катастрофы необходимо использовать все возможные пути воздействия ионизирующих излучений на организм человека, а также радиационные факторы не только непосредственно после аварии, но и в процессе жизнедеятельности в последующем. Один из ведущих американских радиологов Джон Гофман в своей книге "Чернобыльская авария: радиационные последствия для настоящего и будущего поколений" приходит, к следующему.
Данные о связи между повреждениями в генетическом аппарате и целым рядом тяжелейших болезней (раковые заболевания, уродства, нарушения функции ЦНС, болезни класса ДНКЭ и т.д.), а также имеющиеся эпидемиологические данные позволяют сделать вывод, что не существует безопасной дозы облучения и что при любой, даже самой малой дозе, риск возникновения целого ряда тяжелейших заболеваний пропорционален дозе облучения.
Полученные на животных данные, согласно которым кривая "доза-эффект" зависит от фракционирования дозы и риск заболевания может быть уменьшен за счет фракционирования, неприемлемы к человеку. При низких дозах облучения риск ракового заболевания пропорционален величине поглощенной дозы и не зависит от ее фракционирования.
При низких дозах облучения вероятность ракового заболевания на единицу поглощенной дозы выше, чем при средних и высоких дозах.
Для смешанной по полу и возрасту популяции коллективная доза в 10000 человеко-бэр приводит к появлению 27 избыточных смертей от индуцированного радиацией рака.
Относительная биологическая эффективность рентгеновского излучения примерно в 2 раза выше, чем а-лучей.
Концепция гормезиса, т.е. наличия положительного эффекта от воздействия низких доз радиации, не имеет под собой научной базы.
Во избежание опасных последствий для здоровья людей необходимо учредить институт независимых международных экспертов для оценки безопасности всех крупных проектов, связанных с использованием ядерной энергии и ядерных технологий.
Литература
1. Савенко В.С. Радиоэкология. — Мн.: Дизайн ПРО, 1997.
2. М.М. Ткаченко, “Радіологія (променева діагностика та променева терапія)”
3. А.В.Шумаков Краткое пособие по радиационной медицине. Луганск -2006
4. Бекман И.Н. Лекции по ядерной медицине
5. Л.Д. Линденбратен, Л.Б. Наумов Медицинская рентгенология. М. Медицина 1984
6. П.Д.Хазов, М.Ю.Петрова. Основы медицинской радиологии. Рязань,2005
7. П.Д. Хазов. Лучевая диагностика. Цикл лекций. Рязань. 2006
Похожие рефераты:
Радиационная безопасность при эксплуатации и ремонте оборудования Курской АЭС
Ответы к экзаменационным билетам по физике 11 класс (ответы к 29 билетам)
Билеты по физике за весь школьный курс
Особенности работы счетчиков излучения
Гигиенические и экологические проблемы
Анализ методики проведения санитарно-экологического состояния объекта
Ядерная опасность. Семипалатинский полигон
Охрана труда - основные термины, понятия, определения
Ядерное оружие и его поражающее действие
Физика в МГУ (билеты-вопросы-ответы) по лекциям Ремезовой Н.И. и лекторов из МГУ
Глобальная история Вселенной от океана «чистой» энергии до Третьей Мировой Ядерной войны