| Похожие рефераты | Скачать .docx |
Курсовая работа: Аберрации оптических систем
Министерство образования
РОССИЙСКОЙ ФЕДЕРАЦИИ
ТЮМЕНСКИЙ ГОСУДАРСТВЕННЫЙ УНИВЕРСИТЕТ
Курсовая работа
на тему;
«Аберрации оптических систем»
Выполнил: студент 2-го
курса гр. 473
…………….
Проверил:
Тюмень 2009г.
Содержание
Введение
1. Хроматическая аберрация
2. Волновые и лучевые аберрации; функции аберраций
3. Первичные аберрации (аберрации Зайделя)
3.1 Сферическая
3.2 Кома
3.3 Астигматизм и кривизна поля
3.4 Дисторсия
Список литературы
Введение
Аберрации оптических систем (от лат. Aberratio – уклонение), искажения, погрешности изображения, формулируемых оптическими системами. Аберрации оптических систем проявляются в том, что оптические изображения не вполне отчетливы, не точно соответствуют объектам, или оказываются окрашенными. Наиболее распространены следующие виды аберраций оптических систем: сферическая – недостаток изображения, при котором испущенные одной точкой объекта световые лучи, прошедшие вблизи оптической оси системы, и лучи, прошедшие через отдаленные от оси части системы, не собираются в одну точку: кома – аберрация, возникающая при косом прохождении световых лучей через оптическую систему. Если при прохождении оптической системы сферическая световая волна деформируется так, что пучки лучей, исходящих из одной точки объекта, не пересекаются в одной точке, а располагаются в двух взаимно перпендикулярных отрезках на некотором расстоянии друг от друга, то такие пучки называются астигматическими, а сама эта аберрация – астигматизмом . Аберрация называемая дисторсией , приводит к нарушению геометрического подобия между объектом и его изображением. К аберрациям оптических систем относится также кривизна поля изображения.
Оптические системы могут обладать одновременно несколькими видами аберраций. Их устранение производят в соответствии с назначением системы; часто оно представляет собой трудную задачу. Перечисленные выше аберрации оптических систем называются геометрическими. Существует еще хроматическая аберрация, связанная с зависимостью показателя преломления оптических сред от длины волны света.
1. Хроматическая аберрация
Если пучок немонохроматического света падает на преломляющую поверхность, то он расщепляется на несколько лучей, каждый из которых имеет определенную длину волны. Поэтому, пересекая оптическую систему, лучи света с различными длинами волн будут распространяться после первого преломления не вполне одинаковыми путями. В результате изображение окажется нерезким, и в этом случае говорят, что система обладает хроматической аберрацией.

Рис. 1. Продольная и поперечная хроматические аберрации.
Мы ограничимся рассмотрением точек и лучей, расположенных вблизи оси, т. е. предположим, что для каждой длины волны отображение подчиняется законам параксиальной оптики. В этом случае говорят о хроматической аберрации первого порядка, или о первичной аберрации. Пусть
и
— отображения точки Р
в различных длинах волн (рис. 1); тогда проекции ![]()
на направления, параллельное и перпендикулярное оси, определяют соответственно продольную и поперечную хроматические аберрации.
Рассмотрим изменение
фокусного расстояния тонкой линзы в зависимости от изменения показателя преломления
. Величина (n - 1)f
для такой линзы не зависит от длины волны. Следовательно
(1)
Величина
(2)

Рис.2. Типичные дисперсионные кривые для стекла различных сортов
I – тяжелый флинт; II – тяжелый бариевый крон;III – легкий флинт;IV – тяжелый крон; V – боросиликатный крон.
где
,
и
- показатели преломления, соответствующие линиям Фраунгофера F, D и C (
4861
, 5893
и 6563
), служит грубой мерой дисперсии стекла и называется относительной дисперсией. Из (1) видно, что эта величина Приблизительно равна расстоянию между красным и синим изображениями, деленному на фокусное расстояние линзы. На рис. 2 показано изменение величин показателей преломления с изменением длины волны для стекла нескольких сортов, обычно используемых в оптических системах. Соответствующие значения
лежат в пределах от 1/60 до 1/30.

Рис. 3. Ахроматический дуплет
Для получения изображения хорошего качества необходимо, чтобы как монохроматические, так и хроматические аберрации были малы. Обычно выбирают некоторое компромиссное решение, поскольку в общем случае невозможно устранить одновременно аберрации всех типов. Часто оказывается достаточным избавиться от хроматической аберрации для двух выбранных длин волн. Выбор этих длин волн зависит, естественно, от назначения той или иной оптической системы; например, фотообъективы, в отличие от приборов, служащих для визуальных наблюдений, обычно «ахроматизируют» для цветов, близких к синему концу спектра, так как обычная фотографическая пластинка более чувствительна к синей области спектра, чем человеческий глаз. Конечно, ахроматизация для двух длин волн не устраняет полностью цветовую ошибку. Остающаяся хроматическая аберрации называется вторичным спектром.
Рассмотрим теперь условия, при которых две тонкие линзы образуют комбинацию, свободную от хроматизма фокусного расстояния. Величина, обратная фокусному расстоянию комбинации двух тонких линз, расположенных на расстоянии l друг от друга, равна
(3)
Как мы видим,
, когда
(4)
Если ахроматизация производится для линий C и F, то, используя (1) и (2) получим
(5)
Где
и
- относительные дисперсии обеих линз.
Один из методов уменьшения хроматической аберрации состоит в использовании двух соприкасающихся тонких линз (рис.3), одна из которых сделана из крона, а вторая из флинта. В этом случае, поскольку l = 0, получим из (5)
(6)
или, используя(3),
,
(7)
соотношения (7) для данных сортов стекла и заданного фокусного расстояния
однозначно определяют
, и
. Но
, и
зависят от трех радиусов кривизны, следовательно, величину одного из них можно выбрать произвольно. Эта дополнительная степень свободы позволяет иногда уменьшить до минимума сферическую аберрацию.
Другой способ создании ахроматической системы состоит в использовании двух гонких линз, изготовленных из одинакового стекла (
), и расположенных друг от друга на расстоянии, равном полусумме их фокусных расстояний, т. е.
(8)
Ахроматичность такой комбинации линз следует непосредственно из (5).
В приборе, состоящем на нескольких частей, в общем случае нельзя одновременно устранить хроматизм положения и хроматизм увеличения, если это не сделано для каждой его части. Докажем последнее утверждение для случая двух центрированных тонких линз, разнесенных на расстояние l .
Отображение тонкой линзой является центральной проекцией из ее центра; следовательно (рис. 4),

Рис.4. Ахроматизация системы из двух тонких линз
,
(9)
Поскольку
, находим для увеличения
(10)
Если длина волны изменится, то величина
останется той же, величина
также будет прежней, если допустить отсутствие хроматизма положения. Следовательно, условие отсутствия хроматизма увеличения системы можно записать в виде
(11)
Так как
,
, то (11) удовлетворяется лишь при
, т.е. если каждая из этих линз ахроматизирована.
2. Волновые и лучевые аберрации, функции аберраций
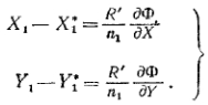
Рассмотрим вращательно-симметричную оптическую систему. Пусть
,
и
, - точки пересечения луча, выходящего из точки предмета
, соответственно с плоскостью входного зрачка, плоскостью выходного зрачка и плоскостью параксиального изображения. Если
-параксиальное изображение точки
то вектор
называется аберрацией луча или просто лучевой аберрацией (рис. 2.1).

Рис. 2.1. Лучевая аберрация
|
Пусть
и
— точки пересечения луча
с опорной сферой и волновым фронтом Wсоответственно.

Рис. 2.2.Волновая и лучевая аберрации
Оптическую длину пути Ф =
можно назвать аберрацией волнового элемента в точке Qили просто волновой аберрацией и считать положительной, если
и
, расположены по разные стороны от Q. В обычных приборах волновые аберрации достигают 40—50 длин волн, однако в приборах, используемых для более точных исследований (например, в астрономических телескопах или микроскопах), они должны быть значительно меньше, порядка долей длины волны.
Выражения для волновой аберрации легко получить с помощью точечной характеристической функции Гамильтона системы.
Если пользоваться для обозначения оптической длины пути квадратными скобками
, то
(1)
Здесь было использовано то обстоятельство, что точки
и
лежат на одном волновом фронте, т.е.
.
Введем две прямоугольные системы координат со взаимно параллельными осями, начала которых находятся в осевых точках
и
плоскостей предмета и изображения, а оси Zсовпадают с осью системы. Точки в пространстве предмета будут рассматриваться в первой системе, а в пространстве изображения — во второй. Z
-координаты плоскостей, в которых лежат зрачки, обозначены через
и
, (на рис 2.1
)
.
Согласно (1) волновая аберрация выражается через точечную характеристику V следующим образом:
(2)
где (
) — координаты точки
, и (X,Y,Z) — координаты точки Q. Координаты (X,Y,Z) уже не являются независимыми; они связаны соотношением, учитывающим, что точка Qлежит на опорной сфере, т. е,
(3)
Здесь
(4)
— координаты точки
параксиального изображения, М — гауссово поперечное увеличение и R — радиус опорной сферы Гаусса
. (5)
Величину Z в выражении (2) можно исключить с помощыо (3), в результате чего Ф стонет функцией только
,
,
и
, т. е,
![]()
Лучевые аберрации связаны с функцией аберраций Ф (
,
; X,
Y
) простыми соотношениями. Из (2) имеем
(6)
Если
,
и
— углы, которые образуют луч
, с осями, а (X, Y, Z) и (
) — координаты точек
и
то, на рис. 2.2, получим
(7)
где
(8)
есть расстояние от
до
, и
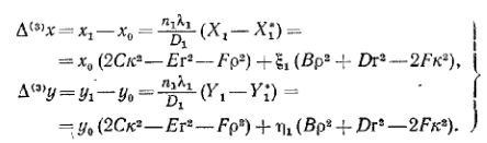
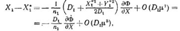
— показатель преломления среды в пространстве изображения. Далее из (3) имеем
(9)
Подставляя (7) и (9) в соотношение (6), находим для компонент лучевой аберрации
(10)
Последние соотношения являются точными, но стоящая справа величина
сама зависит от координат точки
, т. е. от лучевых аберраций. Тем не менее для большинства практических целей
можно заменять на радиус опорной сферы R
или на другое приближенное выражение (см. ниже, уравнение (15)). Легко показать, что в силу симметрии задачи величина Ф зависит от четырех переменных, входящих только в трех комбинациях, а именно:
,
и
.
В самом деле, если ввести в плоскостях XY полярные координаты, т. е. положить
(11)
то окажется, что Ф зависит только от
,
,
и
, или, что то же самое, Ф зависит от
,
,
и 0. Предположим теперь, что оси X и Y систем с началами в
и
поворачивается на один и тот же угол и в одном и том же направлении относительно оси системы.
При этом
,
,
не изменяются, а угол 0 увеличивается на угол поворота. Поскольку функции Ф инвариантна относительно таких поворотов, она не должна зависеть от последней переменной, т. е. зависит только от
,
, и
. Следовательно, функции аберраций Ф является функцией трех скалярных произведений
(12)
двух векторов
и
.
Отсюда вытекает, что при разложении Ф
в ряд по степеням четырех координат нечетные степени будут отсутствовать. Поскольку Ф
(0, 0; 0, 0) = 0, то членов нулевой степени тоже не будет. Более того, не будет и членов второй степени, так как, согласно (10), они соответствуют лучевым аберрациям, линейно зависящим от координат, а это противоречит тому, что
, является параксиальным изображением точки
. Таким образом, наше разложение имеет вид
(13)
где с - константа, а
— полином степени 2k по координатам и содержит их только в виде трех скалярных инвариантов (12). Говорят, что член степени 2k описывает волновую аберрацию порядка 2k. Аберрации наинизшего порядка (2k = - 4) обычно называются первичными аберрациями или аберрациями Зайделя.
Для оценки порядка величин некоторых выражений и точности наших вычислений удобно ввести параметр
. Этим параметром может служить любая величина первого порядка, скажем, угловая апертура системы. Тогда можно допустить, что все лучи, проходящие через систему, составляют с оптической осью углы О(
), где символ О(
) означает, что величина угла порядка
.
Оценим погрешность, возникающую при замене
в основном уравнении (10) на величины, не зависящие от
и
. Из (3) и (5) имеем
(14)
тогда вместо (8) можем написать
(15)
Соотношения (10) для компонент лучевой аберрации принимают вид
(16)
(17)
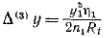
3. Первичные аберрации (аберрации Зайделя)
Используя рассуждения, совершенно аналогичные тем, которые относились к функции аберраций, можно показать, что разложение в степенной ряд возмущенного эйконала Шварцшильда имеет в силу симметрии задачи следующий вид:
(1)
Где
— полином степени 2
k
по четырем переменным; более того, эти переменные входят только в трех комбинациях:
(2)
В соотношении (1) отсутствует член второй степени, так как в противном случае это противоречило бы тому, что,
,
,
и
в приближении параксиальной оптики.
Поскольку переменные входят только в комбинациях (2), член
должен иметь вид
, (3)
где А, В,... — постоянные. Знаки и числовые множители в (3) общепринятые; выражения для лучевых аберраций в этом случае принимают простой вид.
Конечно, разложение в степенной ряд функции
имеет такой же вид, как и (1), но оно не содержит члена нулевого порядка (
), и главный член
отличается от
тем, что в нем отсутствует слагаемое
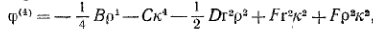
. Таким образом, общее выражение для волновой аберрации наинизшего (четвертого) порядка записывается следующим образом:
. (4)
где В, С,. — те же коэффициенты, что и в (3).
Общее выражение для компонент лучевой аберрации наинизшего (третьего) порядка в виде
(5)
Коэффициент А не входит в выражения (4) и (5), т. е. существуют только пять типов аберрации наинизшего порядка, характеризуемых пятью коэффициентами В, С, D, E и F. Как указывалось выше, эти аберрации называются первичными аберрациями или аберрациями Зайделя.
При исследовании аберраций Зайделя удобно выбрать оси таким образом, чтобы плоскость yz
проходила через точку предмета; тогда
. Если затем ввести полярные координаты
, (6)
то (4) примет вид
, (7)
а (5) — вид
(8)
В частном случае равенства нулю всех коэффициентов в (7) волновой фронт, проходящий через выходной зрачок совпадает (в рассматриваемом приближении) с опорной сферой Гаусса (см. рис. 2.2). В общем случае эти коэффициенты отличны от нуля. Тогда каждый член в (7) описывает определенный тип отклонения мы нового фронта от правильной сферической формы; на рис. 3.1 показаны пять различных типов аберраций.
Важность лучевых аберраций, связанных с определенной точкой предмета, можно проиллюстрировать графически с помощью так называемых аберрационных (или характеристических) кривых. Эти кривые являются геометрическим местом точек пересечения лучей, выходящих из фиксированной зоны
=const выходного зрачка, с плоскостью изображения. Тогда поверхность, образованная аберрационными кривыми. соответствующими всем возможным значениям
, представляет собой неидеальное изображение.

Рис.3.1 Первичные волновые аберрации.
А) сферическая. Б) кома. В) астигматизм. Г) кривизна поля. Д) дисторсия
Рассмотрим отдельно каждую из аберраций Зайделя
3.1 Сферическая аберрация (
)
Если все коэффициенты, за исключением В, равны нулю, то (8) принимает вид
. (9)
Аберрационные кривые в этом случае имеют форму концентрических окружностей, центры которых расположены в точке параксиального изображения, а радиусы пропорциональны третьей степени радиуса зоны
, но не зависят от положения (
) предмета в зоне зрения. Такой дефект изображения называется сферической аберрацией.
|

Сферическая аберрация, будучи независимой от
искажает как осевые, так и внеосевые точки изображения. Лучи, выходящие из осевой точки предмета и составляющие существенные углы с осью, пересекут её в точках, лежащих перед параксиальным фокусом или за ним (рис. 5.4). Точка, в которой пересекаются с осью лучи от края диафрагмы, назывался краевым фокусом. Если экран в области изображения помещен под прямым углом к оси, то существует такое положение экрана, при котором круглое пятно изображения на нем минимально; это минимальное «изображение» называется наименьшим кружком рассеяния.
3.2 Кома (
)
Аберрация, характеризующаяся отличным от нуля коэффициентом F, называется комой. Компоненты лучевой аберрации в этом случае имеют, согласно (8). вид
(10)
|

Как мы видим, при фиксированных
и радиусе зоны
точка
, (см. рис. 2.1) при изменении
от 0 до
дважды описывает в плоскости изображения окружность. Радиус окружности равен
, а её центр находится на расстоянии
от параксиального фокуса в сторону отрицательных значений у
. Следовательно, эта окружность касается двух прямых, проходящих через параксиальное изображение
, и составляющих с осью у
углы в 30°. Если
прибегает все возможные значения, то совокупность подобных окружностей образует область, ограниченную отрезками этих прямых и дугой наибольшей аберрационной окружности (рис. 3.3). Размеры получающейся области линейно возрастают с увеличением расстояния точки предмета от оси системы. При выполнении условия синусов Аббе система дает резкое изображение элемента плоскости предмета, расположенного в непосредственной близости от оси. Следовательно, в этом случае разложение функции аберрации не может содержать члены, линейно зависящие от
. Отсюда вытекает, что если условие синусов выполняется, первичная кома отсутствует.
3.3 Астигматизм (
) и кривизна поля (
)
Аберрации, характеризующиеся коэффициентами С и D, удобнее рассматривать совместно. Если все остальные коэффициенты в (8) равны нулю, то
. (11)
Чтобы продемонстрировать важность таких аберраций, предположим вначале, что пучок, формирующий изображение, очень узок. Согласно § 4.6 лучи такого пучка пересекают два коротких отрезка кривых, одна из которых (тангенциальная фокальная линия) ортогональна меридиональной плоскости, а другая (сагиттальная фокальная линия) лежит в этой плоскости. Рассмотрим теперь свет, исходящий от всех точек конечной области плоскости предмета. Фокальные линии в пространстве изображения перейдут в тангенциальную и сагиттальную фокальные поверхности. В первом приближении эти поверхности можно считать сферами. Пусть
и
— их радиусы, которые считаются положительными, если соответствующие центры кривизны расположены по ту сторону от плоскости изображения, откуда распространяется свет (в случае, изображенном на рис. 3.4.
и
).
Радиусы кривизны можно выразить через коэффициенты С и D . Для этого при вычислении лучевых аберраций с учетом кривизны удобнее использовать обычные координаты, а не переменные Зайделя. Имеем (рис. 3.5)
(12)
где u - малое по величине расстояние между сагиттальной фокальной линией и плоскостью изображении. Если v - расстояние от этой фокальной линии до оси, то

Если считать u
величиной первого порядка малости, то v
можно заменить на
, а в последнем уравнении отбросить
;
тогда
|

|
(13)
если еще пренебречь и
по сравнению с
, то из (12) находим
(14)
Аналогично
(15)
Запишем теперь эти соотношения через переменные Зайделя. Подставляя в них (2.6) и (2.8), получим
![]()
или
(16)
и аналогично
(17)
В последних двух соотношениях
можно заменить на
и тогда, используя (11) и (6), получим
(18)
Величину 2С + D обычно называют тангенциальной кривизной поля , величину D — сагиттальной кривизной поля , а их полусумму
(19)
которая пропорциональна их среднему арифметическому значению,— просто кривизной поля .
Из (13) и (18) следует, что на высоте
от оси расстояние между двумя фокальными поверхностями (т.е. астигматическая разность пучка, формирующего изображение) равно
(20)
Полуразность
(21)
называется астигматизмом
. В отсутствие астигматизма (С = 0) имеем
. Радиус R
общей, совпадающей, фокальной поверхности можно в этом случае вычислить с помощью простой формулы, в которую входят радиусы кривизны отдельных поверхностей системы и показатели преломления всех сред.
3.4 Дисторсия (
)
Если в соотношениях (8) отличен от нуля лишь коэффициент Е , то
(22)
Поскольку сюда не входят координаты
и
, отображение получится стигматическим и не будет зависеть от радиуса выходного зрачка; однако расстояния точек изображения до оси не будут пропорциональны соответствующим расстояниям для точек предмета. Эта аберрация называется дисторсией.
При наличии такой аберрации изображение любой прямой в плоскости предмета, проходящей через ось, будет прямой линией, но изображение любой другой прямой будет искривленным. На рис. 3.6, а показан предмет в виде сетки прямых, параллельных осям х и у и расположенных на одинаковом расстоянии друг от друга. Рис. 3.6. б иллюстрирует так называемую бочкообразную дисторсию (Е>0 ), а рис. 3.6. в - подушкообразную дисторсию (Е<0 ).

Рис. 3.6. Дисторсия А) предмет. Б) бочкообразная. В) подушкообразная
Ранее указывалось, что из пяти аберраций Зайделя три (сферическая, кома и астигматизм) нарушают резкость изображения. Две другие (кривизна поля и дисторсия) изменяют его положение и форму. В общем случае невозможно сконструировать систему, свободную как от всех первичных аберраций, так и от аберраций более высокого порядка; поэтому всегда приходится искать какое-то подходящее компромиссное решение, учитывающее их относительные величины. В некоторых случаях аберрации Зайделя можно существенно уменьшить за счет аберраций более высокого порядка. В других случаях необходимо полностью уничтожить некоторые аберрации, несмотря на то, что при этом появляются аберрации других типов. Например, в телескопах должна быть полностью устранена кома, потому что при наличии ее, изображение будет несимметричным и все прецизионные астрономические измерения положения потеряют смысл. С другой стороны, наличие некоторой кривизны поля идисторсии относительно безвредно, поскольку от них можно избавиться с помощью соответствующих вычислений.
оптический аберрация хроматический астигматизм дисторсия
Список литературы:
1. Савельев И.В. Курс общей физики, т.3, оптика, атомная физика.
2. Ландсберг Г. С. Оптика.
3. Сивухин Д. В. Общий курс физики, т.4, оптика.
4. Борн М., Вольф Э. Основы оптики
5. Физический энциклопедический словарь, под ред. А. М. Прохорова.
Похожие рефераты:
Ответы к экзаменационным билетам по физике 11 класс (ответы к 29 билетам)
Дискретизация и квантование изображений
Изучение обменных свойств мягких контактных линз по отношению к ципрофлоксацину
Анализ и моделирование методов когерентной оптики в медицине и биологии
Анализ погрешностей волоконно-оптического гироскопа
Реконструкция волоконно-оптической линии связи
Разработка систем передачи информации нового поколения
Проект высокоскоростной локальной вычислительной сети предприятия