| Скачать .docx |
Реферат: Лабораторная работа: Целесообразность внедрения нового вида услуги на АТП
ЧАСТЬ I . Расчет затрат на производство проектируемого варианта
1.1 Калькуляция базового изделия составляется на основе Таблицы 53
Таблица 46 - Калькуляция базового изделия
| № |
Статьи затрат |
Обозначение |
Сумма, руб. |
Процент косвенных расходов |
| 1 |
2 |
3 |
4 |
5 |
| 1 |
Сырье и материалы |
М |
645 |
|
| 2 |
Покупные изделия и полуфабрикаты |
Пи |
1506 |
|
| 3 |
Зарплата основная |
Зо |
139 |
|
| 4 |
Зарплата дополнительная |
Зд |
13,9 |
|
| 5 |
Единый социальный налог |
Ос |
39,754 |
|
| 6 |
Расходы на содержание и эксплуатацию оборудования |
Роб |
277,6 |
|
| 7 |
Общепроизводственные расходы |
Ропр |
242,9 |
|
| ЦЕХОВАЯ СЕБЕСТОИМОСТЬ |
Сц |
2864,154 |
||
| 8 |
Общехозяйственные расходы |
Рохр |
173,5 |
|
| ПРОИЗВОДСТВЕННАЯ СЕБЕСТОИМОСТЬ |
Спр |
3037,654 |
||
| 9 |
Внепроизводственные расходы |
Рвп |
121,506 |
КВП = 4 % |
| ПОЛНАЯ СЕБЕСТОИМОСТЬ |
ТС |
3159,16 |
Расчет себестоимости проектного варианта
Расчет статьи затрат "Сырье и материалы"
,
где Цм - оптовая цена материала, ден.ед.;
Qм - норма расхода материала, кг, м;
Ктз - коэффициент транспортно-заготовительных расходов, %
Квот - коэффициент возвратных отходов, %.
Расчет рекомендуется выполнять в табличной форме
Таблица 47 - Расчет затрат на сырье и материалы
| № |
Наименование материалов |
Норма расхода |
Средняя цена за ед. изм., ден.ед. |
Сумма, ден.ед. |
| 1 |
2 |
3 |
4 |
5 |
| 1. |
Литьё горячего металла, кг |
280 |
0,05 |
14 |
| 2. |
Горячекатный прокат, кг |
1225 |
0,20 |
245 |
| 3. |
Прочие чёрные металлы, кг |
435 |
0,40 |
174 |
| 4. |
Литьё цветного металла, кг |
68 |
0,60 |
40,8 |
| 5. |
Прокат цветного металла, кг |
11 |
1,40 |
15,4 |
| 6. |
Сырьё цветного металла, кг |
4 |
2,00 |
8 |
| 7. |
Лесоматериалы, мЗ |
0,1 |
14,00 |
1,4 |
| 8. |
Химикаты, кг |
27 |
0,90 |
24,3 |
| 9. |
Лакокрасочные материалы, кг |
30 |
0,90 |
27 |
| 10. |
Текстильные материалы, м |
6 |
1,00 |
6 |
| 11. |
Прочие материалы, в ден.ед. |
66 |
— |
|
| ИТОГО: Транспортно-заготовительные расходы Возвратные отходы |
555,9 555,9*0,03=16,677 555,9*0,02=11,118 |
|||
| ВСЕГО: |
555,9+16,677-11,118=561,459 |
|||
1.2. Расчет статьи затрат «Покупные изделия и полуфабрикаты»
,
где Цi - оптовая цена покупных изделий и полуфабрикатов, ден.ед.;
ni - количество покупных изделий и полуфабрикатов, 1-го вида, шт.;
i – i – ый вид покупного изделия (полуфабриката).
Таблица 48 - Расчет затрат на покупные изделия
| № |
Наименование полуфабрикатов |
Сумма, ден.ед. |
| 1 |
2 |
3 |
| 1. |
Автообувь, ден ед. |
240 |
| 2. |
Подшипники, ден ед. |
90 |
| 3. |
Электрооборудование, ден ед. |
448 |
| 4. |
Готовые узлы и детали, ден ед. |
662 |
| 5. |
Изделия из пластмассы, ден ед. |
135 |
| 6. |
Прочие готовые изделия, ден ед. |
31 |
| ИТОГО |
1609 |
|
| Транспортно-заготовительные расходы |
1609*0,03=48,27 |
|
| ВСЕГО |
1609*1,03=1657,27 |
1.3. Расчет статьи затрат "Зарплата основная":
,
,
где Ср - часовая тарифная ставка, ден.ед;
Т - трудоемкость выполнения операции, час;
Зт - тарифная з/п, ден.ед.;
Кпд - коэффициент премиальных доплат, Кпд =35 %.
Таблица 49 - Расчет основной заработной платы
| № |
Виды операций |
Разряд работы |
Трудоемкость, час. |
Часовая тарифная ставка, ден.ед. |
Тарифная зарплата, ден.ед. |
| 1 |
2 |
3 |
4 |
5 |
6 |
| 1 |
Заготовительные |
2 |
25 |
20,4 |
510 |
| 2 |
Обрабатывающие |
3 |
26,5 |
82,3 |
2180,95 |
| 3 |
Сборочные |
4 |
30 |
41 |
1230 |
| 4 |
Испытательные |
5 |
35 |
4,3 |
150,5 |
| 5 |
ИТОГО: |
4071,45 |
|||
| 6 |
Премиальные доплаты |
1425,008 |
|||
| 7 |
Основная з/п |
5496,458 |
1.4. Расчет статьи затрат "Зарплата дополнительная"
,
где Кд - коэффициент отчислений на дополнительную з/п, Кд =10%.
1.5. Расчет статьи затрат «Отчисления на социальные нужды»
,
где Кс – норма отчислений на социальные нужды, 26 %.
1.6. Расчет статьи «Расходы на содержание и эксплуатацию оборудования»
,
где Коб – коэффициент расходов на содержание и эксплуатацию оборудования.
1.7. Расчет статьи "Общепроизводственные расходы"
,
где Копр - коэффициент общепроизводственных расходов.
Цеховая себестоимость включает в себя затраты цеха на производство продукции и определяется по формуле:
![]()
1.8 Расчет статьи "Общехозяйственные расходы" производится по формуле:
,
где Кохр – коэффициент общехозяйственных расходов.
Производственная себестоимость включает затраты на производство продукции и определяется по формуле:
.
1.9 Расчет статьи «Внепроизводственные расходы»
, (162)
где Квп = 4% – коэффициент внепроизводственных расходов.
Полная себестоимость включает производственные и внепроизводственные затраты на производство продукции и внепроизводственные расходы.
Таблица 50 - Сравнительная калькуляция базового и проектного объектов»
| № |
Показатели |
Калькуляция базового изделия |
Калькуляция нового изделия |
||
| Руб. |
% |
Руб. |
% |
||
| 1 |
2 |
3 |
4 |
5 |
6 |
| 1 |
Материалы М |
645 |
20,42 |
561,46 |
1,45 |
| 2 |
Покупные изделия Пи |
1506 |
47,67 |
1657,27 |
4,28 |
| 3 |
Зарплата основная Зо |
139 |
4,40 |
5496,46 |
4,18 |
| 4 |
Зарплата дополнительная Зд |
13,9 |
0,44 |
549,65 |
1,42 |
| 5 |
ЕСН |
39,754 |
1,26 |
1571,99 |
4,06 |
| 6 |
Расходы на содержание и эксплуатацию оборудования Роб |
277,6 |
8,79 |
10976,42 |
28,31 |
| 7 |
Общепроизводственные расходы Ропр |
242,9 |
7,69 |
9602,31 |
24,77 |
| 8 |
Цеховая себестоимость ТСц |
2864,154 |
90,66 |
30415,55 |
78,46 |
| 9 |
Общехозяйственные расходы Рохр |
173,5 |
5,49 |
6859,58 |
17,69 |
| 10 |
Производственная себестоимость ТСпр |
3037,654 |
96,15 |
37275,13 |
96,15 |
| 11 |
Внепроизводственные расходы Рвп |
121,506 |
3,85 |
1491 |
3,85 |
| 12 |
Полная себестоимость TC |
3159,16 |
100 |
38766,13 |
100 |
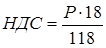
Оптовая цена базовых и новых "объектов" с учетом НДС рассчитывается по формуле:
,
где Ур - уровень рентабельности, % (для всех вариантов Ур =25%)
![]()
![]()
Оптовая цена без НДС:
![]()
Налог на добавленную стоимость:
;
;
;
;
.
1.10. Определение приведённых затрат (
) на производство базовой и новой техники производится по формуле:
,
где
- нормативный коэффициент сравнительной экономической эффективности (по народному хозяйству для новой техники - 0.33);
- капитальные затраты на производство базовой и новой техники, ден.ед;
- полная себестоимость базовой и новой техники, ден.ед.
;
.
ЧАСТЬ 2. Расчёт затрат в эксплуатации базовой и новой техники
I . Расчет показателей объёма транспортной работы (годовой производительности):
2.1. Годовой пробег автомобиля определяется по формуле:
,
где
- средняя эксплуатационная скорость, км /час;
- количество календарных дней в году, дней;
- среднее время пребывания в наряде за сутки, часы;
- коэффициент использования парка.
км
км
2.2 Объём транспортной работы определяется по формуле:
,
где
- паспортная грузоподъёмность, тонн;
- коэффициент использования пробега;
- коэффициент использования грузоподъёмности.
![]()
![]()
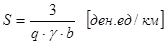
2.3 Расчёт статьи "Затраты на 1 км пробега" производится по формуле
,
где
- затраты на топливо, ден.ед. / км;
- затраты на смазочные и обтирочные материалы, ден.ед.. / км;
- затраты на тех. обслуживание и текущий ремонт, ден.ед. /км;
- затраты на амортизацию, ден.ед. /км;
- затраты на ремонт и восстановление шин, ден.ед. / км;
- затраты на зарплату водителей, ден.ед. / км;
- затраты на накладные расходы, ден.ед. / км.
![]()
2.4. Расчет статьи "Затраты топлива" производится по формуле:
,
где
- оптовая цена топлива;
- норма расхода топлива, л / 100 км;
- коэффициент, учитывающий повышенный расход топлива в зимний период.
![]()
![]()
2.5 Расчёт статьи "Затраты на смазочные и обтирочные материалы" производится по формуле:
,
где
, - нормы расхода машинного, трансмиссионного масел и пластической смазки на 100 км пробега.
- оптовые цены соответственно на применяемые масла, ден.ед.
![]()
![]()
2.6 Расчёт статьи " Затраты на техническое обслуживание и эксплуатационный ремонт" производится по формуле:
,
где
- стоимость по нормам затрат на ТО-1,ТО-2, ЕО, ден.ед.;
- средняя стоимость текущих ремонтов на 1000 км пробега;
- нормативный пробег автомобиля до ТО-1,ТО-2, ЕО, км;
,
![]()
![]()
где
- коэффициент, учитывающий снижение затрат на эксплуатационный ремонт для нового автомобиля.
![]()
![]()
2.7 Расчёт статьи "Затраты на амортизацию" производится по формуле:
,
где
- оптовая цена, ден.ед.;
- годовой пробег автомобиля, км;
- годовая норма амортизационных отчислений на полное восстановление автомобиля, %,
- годовая норма амортизационных отчислений на капитальный ремонт автомобиля, %.
![]()
![]()
2.8 Расчет статьи "Затраты на восстановление и ремонт шин" производится по формуле:
,
где
- оптовая (розничная) цена на одну шину, ден.ед.;
- количество ходовых шин, шт.;
- амортизационный пробег шин, т.е. ходимость шин, км;
- коэффициент, учитывающий затраты на ремонт шин.
![]()
![]()
2.9 Расчёт статьи "Затраты на зарплату водителей" производится по формуле:
,
где
- тарифный заработок водителя, ден.ед.;
- коэффициент, учитывающий доплаты и премии;
12 - количество месяцев в году.
![]()
![]()
2.10. Расчёт статьи "Затраты на накладные расходы" производится по формуле:
,
где
- норматив годовых накладных расходов на один автомобиль, ден.ед.
![]()
![]()
II . Составление сметы эксплуатационных затрат на 1 км пробега
Таблица 51. – СМЕТА ЭКСПЛУАТАЦИОННЫХ ЗАТРАТ
| № |
Статьи затрат |
Сумма, рублей |
Результат + удорожание - экономия |
|
| Базовый |
Новый |
|||
| 1 |
2 |
3 |
4 |
5 |
| 1 |
Затраты на топливо |
0,0754 |
0,0742 |
-0,0012 |
| 2 |
Затрата на смазку |
0,00605 |
0,00608 |
0,00003 |
| 3 |
Затрату на ТО |
1,035 |
1 |
-0,035 |
| 4 |
Затрату на амортизацию |
0,0256 |
0,3023 |
0,2767 |
| 5 |
Затраты на ремонт шин |
0,0075 |
0,0082 |
0,0007 |
| 6 |
Затраты на зарплату |
0,0425 |
0,0386 |
-0,0039 |
| 7 |
Затрату на накладные расходы |
0,026 |
0,0236 |
-0,0024 |
| 8 |
Итого: |
1,21805 |
1,45298 |
0,23493 |
III . Затраты на единицу транспортной работы (себестоимость1 т-км.), определяются по формуле:
;
![]()
![]()
IV . Годовые эксплуатационные затраты рассчитываются по объёму транспортной работы, выполняемой новым автомобилем для базового и нового автомобиля:
,
где
,
- затраты в эксплуатации на год соответственно по базовой и новой технике.
![]()
![]()
ЧАСТЬ 3. Расчёт показателей экономической эффективности новой техники.
I . Определение условно годовой экономии (удорожание) производится в трёх сферах:
3.1 в сфере производства:
,
где
- годовая программа выпуска новой техники.
.
3.2. в сфере эксплуатации:
,
![]()
3.3. в целом по народному хозяйству:
,
![]()
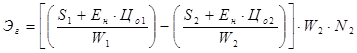
II. Определение годового экономического эффекта по народному хозяйству производится по одной из приведённых формул:
3.4. Если новая техника уменьшает затраты, как в сфере производства, так и в сфере эксплуатации, экономический эффект рассчитывается по формуле:
3.5 Если новая техника даёт экономический эффект только в сфере эксплуатации, а в производстве обходится дороже, то экономический эффект рассчитывают по формуле:

3.6. Если новая техника повышенного качества (с более высокой ценой), экономический эффект, рассчитывают по формуле:
,

где
,
- годовые эксплуатационные затраты без учета затрат на реновацию базовой и новой техники, ден.ед.
3.7 Годовые эксплуатационные затраты без учета затрат на реновацию базовой и новой техники:
.
.
.
![]()
- капитальные затраты в сфере эксплуатации в пересчёте на объём работы, выполненной с помощью новой техники, ден.ед.
.
![]()
3.8.
– доля амортизационных отчислений на реновацию базовой и новой техники
![]()
![]()
Р1
= 132,057
Р2
= 121,363
3.9. Определение сравнительного эффекта экономической эффективности капитальных затрат по одной из формул.
.
.
3.10 Определение срока окупаемости дополнительных капитальных затрат по одной из формул:
![]()
![]()

III . В конце работы составляется таблица технико-экономических показателей:
Таблица 52. – ТЕХНИКО-ЭКОНОМИЧЕСКИЕ ПОКАЗАТЕЛИ
| № |
Показатели |
Базовая техника |
Новая техника |
Отклонения |
| 1 |
2 |
3 |
4 |
5 |
| 1 |
Мощность |
|||
| 2 |
Грузоподъемность |
|||
| 3 |
Масса |
|||
| 4 |
Полная себестоимость |
|||
| 5 |
Оптовая цена с НДС |
|||
| 6 |
Себестоимость единицы транспортной работы |
|||
| 7 |
Годовые эксплутационные затраты |
|||
| 8 |
Условно-годовая экономия |
|||
| 9 |
Капитальные вложения: – в производстве – в эксплуатации |
|||
| 10 |
Коэффициент сравнительной экономической эффективности |
|||
| 11 |
Срок окупаемости |