| Скачать .docx |
Реферат: Управление электроснабжением потребителей электроэнергии на автомобилях и тракторах
УПРАВЛЕНИЕ ЭЛЕКТРОСНАБЖЕНИЕМ ПОТРЕБИТЕЛЕЙ ЭЛЕКТРОЭНЕРГИИ НА АВТОМОБИЛЯХ И ТРАКТОРАХ ГЕНЕРАТОРНЫЕ УСТАНОВКИ АВТОМОБИЛЕЙ И ТРАКТОРОВ
1.1. ОБЩИЕ ПОЛОЖЕНИЯ
Генераторные установки являются источником электрической энергии в системах электроснабжения автомобилей и тракторов (АиТ). Они состоят из электрогенератора, выпрямителя, регулятора напряжения и аккумуляторной батареи. Электрогенератор является энергетическим преобразователем механической энергии ДВС в электрическую. В основу работы электрогенератора положено двухпараметрическое физическое явление, определяемое законами электромагнитной индукции. В нем происходит преобразование механической энергии вращательного движения ротора в магнитном поле, создаваемом током возбуждения, в электрическую энергию электрического тока.
Напряжение на выходе электрогенератора определяется по формуле:
![]()
где Еr - ЭДС генератора; Uo - падение напряжения на выпрямительном элементе; Z - полное сопротивление обмотки статора; Ir - ток генератора (среднее значение выпрямленного тока); Се - конструктивный коэффициент электрической машины переменного тока; п - частота вращения ротора; Ф - магнитный поток.
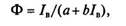
Без учета остаточного магнитного потока полюсов ротора магнитный поток генератора можно представить в виде линеаризованной зависимости
![]()
где Iв - ток возбуждения; а, b - постоянные коэффициенты аппроксимации кривой намагничивания, зависящие от конструкции генератора и применяемых магнитных материалов.
С учетом зависимости
На основании полученного выражения можно сделать вывод, что постоянства напряжения генератора при изменении частоты вращения ротора и тока нагрузки можно добиться изменением тока возбуждения. Повышение частоты вращения должно сопровождаться уменьшением тока возбуждения, а увеличение нагрузки - увеличением тока возбуждения.
Пренебрегая падением напряжения на выпрямительном элементе, можно с помощью уравнения (1.1) определить изменение силы тока возбуждения:
На основании выражения (1.2) можно создать программный регулятор напряжения.
Генераторная установка является системой автоматического регулирования (САР) напряжения и стабилизирует его на заданном уровне Uz = const и в заданной точке при всех режимах работы. Объектом управления является электрогенератор, управляющей подсистемой - регулятор. Возмущающими воздействиями на САР являются: частота вращения ротора генератора, сила тока нагрузки и температура окружающей среды Т. Все современные САР напряжения АиТ в качестве регулирующего воздействия используют ток возбуждения генератора, который определяет магнитный поток генератора, а следовательно, и выходное напряжение.
На рис.1.1. представлена структурная схема генератора как объекта управления, где Uo, Z, Ir, n, T - возмущающие воздействия; Iв - управляющее воздействие; Ur - регулируемая величина. Входной величиной генератора можно считать угловое перемещение Ga, а выходной - ток нагрузки Ir.
Регулятор стабилизирует напряжение при изменении возмущающих воздействий путем воздействия на ток в обмотке возбуждения, которая выполняет функции элемента устройства воздействия на электрогенератор. Ток возбуждения можно менять путем введения в цепь обмотки переменного сопротивления (дросселирующего регулирующего органа). Для электрических САР такими переменными сопротивлениями являются переменные резисторы (потенциометры) и угольные столбики, сопротивление которых изменяется в широких пределах под действием силы, сжимающей угольный порошок в столбике. Эти устройства относятся к аналоговым элементам и имеют низкую надежность из-за подвижных контактов и механического привода. Электрические непрерывные регулирующие органы не нашли применение в САР напряжения АиТ.
![]() |
В настоящее время в генераторных установках используются исключительно двухпозиционные системы автоматического регулирования напряжения. Первоначально применялись системы автоматического регулирования с использованием квантованных двухпозиционных сигналов непрерывного действия. В настоящее время начинают распространяться системы регулирования напряжениях использованием широтно-импульсных сигналов дискретного действия/
1.2. ДВУХПОЗИЦИОННЫЕ РЕГУЛЯТОРЫ НАПРЯЖЕНИЯ
Формирование управляющего воздействия
Низкие требования к качеству напряжения потребителей, интегрирующие свойства индукционного энергетического преобразователя и большая электрическая емкость аккумуляторной батареи позволили использовать двухпозиционное регулирование в САР напряжения в электрической сети АиТ. В таких САР ток возбуждения имеет два значения, которые определяются значениями коммутируемых сопротивлений R{ и R2 в цепи обмотки возбуждения:
![]()
где RB - сопротивление обмотки возбуждения; Rk(o) - сопротивление ключа, подключающего обмотку к источнику питания в открытом состоянии; Rk(з) - сопротивление ключа, подключающего обмотку к источнику питания в закрытом состоянии.
При использовании электромеханических коммутирующих элементов (контактов реле) сопротивление ключа можно не учитывать, так как при разомкнутом контакте оно стремится к бесконечности, а при замкнутом - близко к нулю. Но полупроводниковые (транзисторные) ключи из-за конечных значений сопротивлений в открытом и закрытом состояниях оказывают существенное влияние на работу регуляторов напряжения.
Такие регуляторы не обеспечивают высокого качества напряжения, поэтому при использовании в АиТ современных микроэлектронных устройств приходится применять вторую, дополнительную, ступень регулирования напряжения с использованием электронных САР напряжения.
Широкое распространение в свое время получили двухпозиционные регуляторы с амплитудной модуляцией, выполненные с использованием электромеханических элементов. В них частота переключения сопротивлений в цепи обмотки возбуждения зависит от отклонения тока возбуждения от требуемого значения. Для релейно-контактных систем частота переключений и число срабатываний контактов имеют первостепенное значение. Чтобы уменьшить число переключений, необходимо ток возбуждения поддерживать в определенном интервале значений, близких к требуемому значению тока для данного режима работы генератора. Процесс автоматического регулирования напряжения в таких САР осуществляется включением последовательно с обмоткой возбуждения добавочного резистора /? доб. В обмотке возбуждения при этом устанавливаются автоколебания тока с амплитудой 1т, периодом следования переключений Tn = t0+tBn скважностью импульса включения i = Tn/tB, где t0 - время отключения /? доб, tB - время включения Rao6. Амплитуда тока, время включения и время отключения добавочного сопротивления зависят от режима работы генератора, статической характеристики регулятора (зоны нечувствительности), которая на практике несимметрична, и электротехнических характеристик используемых материалов.
Чем больше мощность подводимой или отводимой энергии (производительность генератора) при увеличении или уменьшении напряжения, тем быстрее изменяется ток возбуждения. В таком регуляторе в дополнение к амплитудной модуляции появляется побочная широтно-импульсная модуляция. Действительный ток возбуждения в этом случае определяется средним значением за период регулирования с учетом изменения амплитуды и скважности процесса регулирования. При этом сила тока возбуждения увеличивается, если время отключения добавочного резистора увеличивается по сравнению со временем его включения.
Скорость нарастания напряжения при отсутствии в цепи возбуждения добавочного резистора, а также скорость убывания напряжения при подключении добавочного резистора зависят от частоты вращения ротора генератора.
При подключении добавочного резистора с увеличением частоты вращения ротора понижается скорость убывания напряжения.
При отключенном резисторе сопротивление цепи возбуждения равно сопротивлению обмотки возбуждения RB, а при включенном резисторе оно равно Rs+Ruoq. В процессе регулирования сопротивление цепи возбуждения изменяется скачкообразно от Яв до Дв+Ддоб.
Чем больше частота вращения и сила тока возбуждения, тем больше напряжение генератора; чем больше сила тока его нагрузки - тем меньше это напряжение.
Скоростная характеристика генератора при работе с регулятором напряжения представлена на рис.1.2, а. При увеличении частоты вращения от 0 до п„ т.е. пока регулятор напряжения не работает, ток возбуждения /в = и/Я* возрастает до максимального значения.

При дальнейшем возрастании частоты вращения регулятор напряжения начинает поддерживать заданное напряжение. При этом коэффициент заполнения ут= 1Д возрастает от 0 до 1, а ток возбуждения уменьшается до значения, соответствующего постоянному включению резистора: /в = U/(RB+ Ruo6).
Дальнейшее увеличение частоты вращения приводит к возрастанию напряжения и тока возбуждения. Таким образом, сопротивление добавочного резистора определяет максимальную частоту вращения ротора генератора, при которой возможно регулирование напряжения. В регуляторах без дополнительного резистора диапазон регулирования увеличивается и ограничивается лишь значением тока возбуждения, при котором обеспечивается устойчивая работа электрогенератора.
Зависимости силы тока возбуждения и напряжения генератора от времени показаны на рис.1.2, б. Время t0, в течение которого резистор отключен, с ростом частоты вращения уменьшается, а время /в, в течение которого он включен, увеличивается.
В обмотке возбуждения происходит усреднение тока возбуждения до величины /в ср, которая определяется исходя из фактического сопротивления цепи возбуждения, эквивалентного некоторому постоянному значению R^, равному среднему значению изменяющегося сопротивления за период регулирования:
![]() |
где уф - относительное время включения добавочного резистора (коэффициент заполнения импульса включения).
Сила тока возбуждения
При этом среднее значение выходного напряжения генератора равно {7г. српри изменении текущего значения напряжения от /7срб до Um.
Для уменьшения частоты переключений необходимо, чтобы текущее значение тока возбуждения мало отличалось от значения, при котором обеспечивается стабилизация напряжения на данном режиме работы. Поэтому для ограничения значения тока возбуждения в цепи обмотки и обеспечения требуемого качества напряжения стали использовать трехпозиционные ("двуступенчатые") и даже четырехпозиционные регуляторы. В таких регуляторах сопротивление цепи возбуждения имеет три или четыре значения. На практике используют в различных сочетаниях отключение обмотки возбуждения (R{ = °°), включение Л2 = Д>+ RRo6i, включение i? 3 = ^в+ ^доб2> а в Ряде случаев - замыкание обмотки возбуждения.
Благодаря прогрессу в микроэлектронике была решена проблема числа переключений коммутирующего ключа, так как современные полупроводниковые элементы способны переключать цепи с большими частотами с неограниченным сроком работы.
В современных регуляторах силу тока возбуждения изменяют путем включения и отключения обмотки возбуждения от питающей сети без дополнительного резистора, при этом меняется скважность (относительная продолжительность времени включения обмотки). Если для стабилизации напряжения требуется снизить силу тока возбуждения, то время включения обмотки возбуждения уменьшается; если нужно повысить - время увеличивается.
Возникновение побочной широтно-импульсной модуляции (ШИМ) в процессе двухпозиционного регулирования обусловило разработку регуляторов, в которых на выходе используется только ШИМ. В зарубежных генераторах широко применяются регуляторы напряжения с ШИМ при управлении током обмотки возбуждения. В таких устройствах процесс регулирования становится дискретным, а частота переключений остается постоянной и определяется параметрами внутреннего генератора пилообразного напряжения. В генераторах с амплитудной модуляцией частота переключений меняется при изменении режима работы генератора. При этом нижний предел частоты переключений составляет 25...50 Гц.
Генераторные установки выпускаются с номинальными напряжениями 14 и 28 В. На автомобилях с дизельными двигателями могут применяться генераторные установки на два уровня напряжения: 14 и 28 В. Для получения второго уровня напряжения применяются электронные удвоители напряжения, трансформаторно-выпрямительные блоки и накопительные конденсаторы.
Структурная схема системы автоматического регулирования напряжения
Структурно-поточная схема генераторной установки представлена на рис.1.3.
В ней используется САР с принципом регулирования по отклонению. На схеме указаны функциональные элементы системы регулирования и характеристики входных и выходных потоков.
Генератор содержит трехфазные обмотки статора 7, ротор 6 с обмоткой возбуждения ОВ и трехфазный двухполупериодный выпрямитель 2. Управляющее устройство содержит датчик Д, устройство сравнения УСр, задающее устройство ЗдУ, устройство управления УУ, исполнительное устройство ИУ и регулирующий орган РО. Объектом регулирования является энергетический преобразователь генератора ЭП(С). Устройство сравнения является релейным элементом, в котором осуществляется квантование сигнала на два уровня U\ и U2 с функцией преобразования
При включении привода генератора на обмотку возбуждения ОВ через регулирующий орган подается напряжение аккумуляторной батареи и генератор самовозбуждается. При увеличении частоты вращения ротора генератора возрастает напряжение UT на выходе. Напряжение UT воспринимается датчиком Д. Сигнал Ux с датчика поступает на устройство сравнения УСр, где сравнивается с заданным значениемUz. Сигнал Uly2c УСр поступает на устройство управления УУ, являющееся релейным элементом с зоной нечувствительности и формирующее закон управления.

![]() |
Напряжение на выходе УУ определяется функцией преобразования
где Uсрб. р - напряжение срабатывания релейного элемента (см. рис.1.2, б); Uвоз. р - напряжение возврата.
Разность ∆U= Ucp6. p - Uвоз. р является зоной нечувствительности релейного элемента и определяет пульсацию выходного напряжения генератора. Отношение Ucp6. p/Uвоз. р называется коэффициентом возврата реле р.
При равенстве напряжения генератора напряжению срабатывания Ucp6 в цепи возбуждения исполнительное устройство изменяет скачкообразно сопротивление коммутации RK. Сила тока возбуждения через регулирующий орган, а следовательно, и через обмотку возбуждения ограничивается. В результате сила тока возбуждения и напряжение UT уменьшаются. Когда напряжение генератора становится равным U, срабатывает УУ и в цепи возбуждения восстанавливается прежнее значение сопротивления. Сила тока возбуждения и напряжение генератора возрастают, а при напряжении, равном Ucp6, снова срабатывает реле.
Далее процесс регулирования периодически повторяется. При этом средние значения напряжения, равного номинальному значению UH, и тока возбуждения остаются постоянными при данной частоте вращения якоря. Процесс регулирования напряжения происходит следующим образом: при увеличении или уменьшении напряжения регулятор САР соответственно уменьшает или увеличивает силу тока возбуждения и стабилизирует напряжение в заданных пределах.
Рассмотрим процессы преобразования, происходящие в элементах системы. Энергия и информация в любой системе могут передаваться от элемента к элементу только с материальным потоком (потоком вещества), поступающим на вход элемента. Поток вещества характеризуется тремя параметрами: видом энергии, носителем информативного параметра (физической величиной процесса) и формой информативного параметра (видом модуляции).
Энергетический преобразователь ЭП преобразует механическую энергию М углового перемещения ротора генератора Ga, представляемого аналоговым носителем процесса преобразования AM, в электрическую энергию Е переменного напряжения Ј4 с носителем AM с дальнейшим преобразованием носителя в напряжение постоянного тока UT. Процесс преобразования осуществляется под воздействием второго параметра физического явления, которое заключается в преобразовании электрической величины Е (тока возбуждения /„) с амплитудно-кодовой модуляцией АКМ в магнитную величину Mg (магнитный поток Ф) с амплитудной модуляцией AM.
Процесс преобразования можно записать в символической форме в виде выражения
Датчик Д преобразует поступивший на него с выхода генератора электрический сигнал Е в виде напряжения Ј7Г(АМ) в напряжение Ux с непрерывным по форме носителем информационного сигнала и амплитудной модуляцией AM: UX(AM) E. В устройстве сравнения УСр происходит сравнение (вычитание) величин Ux и Uz и квантование носителя информативного параметра. УСр является релейным элементом. Амплитудно-модули-рованный с квантованным на два уровня носителем информативного параметра АКМ сигнал (двоичный сигнал) на выходе УСр имеет вид U{> 2(AKM) Ј. Он преобразуется в УУ в сигнал иу(АКМ) Е, амплитуда и фаза которого определяют алгоритм управления.
Исполнительное устройство ИУ осуществляет преобразование Uy(AKM) E ^ Rk(AKM) E. В регулирующем органе РО происходит следующее преобразование: ЛК(АКМ) Ј'-* 1В(АКМ) Е.
В генераторе также происходит и побочная широтно-импульс-ная модуляция носителя информативного параметра - тока возбуждения: /В(ШИМ) ЈГ.
Тепловая энергия, которая является продуктом побочного преобразования механической и электрической энергий в тепло, отводится с помощью потока теплоносителя, создаваемого вентилятором 4.
Параметры теплоносителя на входе FX(TX) и выходе F2(T2) указаны на рис.1.3.
Двухпозиционные регуляторы с амплитудной модуляцией
Принципиальная схема САР напряжения генераторной установки представлена на рис.1.4.
В САР можно выделить следующие функциональные устройства:
· датчик Д, чувствительным элементом которого является резистивный делитель Rl, R2. С него снимается информация о значении напряжения генератора. Простота датчика объясняется тем, что на его входе и выходе информация передается однородными электрическими величинами - напряжениями. В этом случае функции датчика может выполнять простой электрический контакт;
· устройство сравнения УСр, включающее в себя стабилитрон VD1 и резистор R3. Стабилитрон выполняет функции задающего устройства. Напряжение стабилизации стабилитрона и значения резисторов R1... R3 определяют величину заданного напряжения Uz;
· устройство управления УУ, реализованное на транзисторе VT1 с нагрузкой R4. Оно по сигналу с УСр формирует закон управления исполнительным устройством. На базу транзистора VT1 поступает сигнал Ј/i) 2 = (kUx-Uz), где к - коэффициент деления делителя; исполнительное устройство ИУ, представляющее собой усилительный каскад на транзисторе VT2, работающем в ключевом режиме. Диод VD2 играет вспомогательную роль. Он защищает транзистор от больших обратных напряжений при отключении обмотки возбуждения;
· регулирующий орган РО - сопротивление добавочного резистора или сопротивление коммутирующего элемента, обеспечивающее изменение тока в обмотке возбуждения ОВ. В РО формируется управляющая величина - ток возбуждения;
· объект регулирования ОР - электрогенератор, переменное напряжение которого преобразуется диодным выпрямителем VD3... VD8 в постоянное.
Работает система автоматического регулирования напряжения следующим образом. Если напряжение генератора UT меньше заданного Uz, определяемого напряжением стабилизации стабилитрона VD1, то стабилитрон закрыт, его сопротивление велико и базовый ток управления транзистора VT1 недостаточен для его открытия. Транзистор VT1 закрыт. На базу транзистора VT2 через резистор R4 подается положительное напряжение и он открывается. Через открытый транзисторный ключ VT2 в обмотку возбуждения поступает ток от источника питания.
![]() |
Когда напряжение генератора и напряжение стабилизации стабилитрона становятся равны, стабилитрон открывается ("пробивается"), транзистор VT1 переходит в состояние насыщения (напряжение на переходе эмиттер-коллектор мало) и шунтирует переход база-эмиттер транзистора VT2. Транзистор VT2 закрывается, ток через обмотку возбуждения не протекает. Напряжение генератора начинает уменьшаться, и при определенном его значении стабилитрон закрывается. Весь процесс регулирования периодически повторяется. Пульсации выходного напряжения генератора сглаживаются на выходном емкостном фильтре, функции которого выполняет аккумуляторная батарея.
В применяемых в настоящее время САР напряжения АиТ регуляторы напряжения выполняются исключительно на электронных элементах. В генераторных установках электронные элементы, узлы и устройства изготавливаются из полупроводниковых материалов (чаще всего из кремния) с использованием различных технологических процессов. Для элементов базовыми являются гибридная и полупроводниковая (интегральная) технологии.
Узлы и устройства, имеющие определенное схемное решение, могут быть воплощены в различных конструкциях, при изготовлении которых используются соответствующие технологии. Современный уровень развития микроэлектроники позволяет производить узлы и устройства в виде интегральных микросхем и отказаться от традиционных конструкций со сборкой, монтажом и пайкой дискретных элементов на платах.
На рис.1.5. представлена принципиальная схема САР напряжения автомобильного генератора типа EE14V3 фирмы Bosch, работа которой полностью соответствует ранее рассмотренной САР. Практические схемы усложняются за счет введения дополнительных элементов, улучшающих качество работы системы и ее динамические характеристики. Так, с помощью диода VD1 осуществляют температурную компенсацию параметров стабилитрона, конденсатор С является фильтром на входе регулятора, сопротивление R7 выполняет функции жесткой обратной связи, обеспечивающей ускоренное переключение транзисторов, диод VD3 гасит обратное напряжение на транзисторах. Соединение транзисторов VT2 и VT3, при котором их коллекторные выводы объединены, а питание базовой цепи одного транзистора производится от эмиттера другого, называется схемой Дарлингтона. При таком соединении оба транзистора могут рассматриваться как один составной транзистор с большим коэффициентом усиления. Использование дополнительного выпрямителя VD4... VD6 до питания обмотки возбуждения устраняет разряд батареи GA при выключенном двигателе.

Все системы автомобилей, как правило, снабжаются устройствами контроля и диагностики. В генераторной установке для контроля работоспособности используются лампа HL и резистор R8. При неработающем двигателе автомобиля замыкание контактов выключателя зажигания SA позволяет току от аккумуляторной батареи GA через лампу HL поступать в обмотку возбуждения генератора. Этим обеспечивается первоначальное возбуждение генератора. Если лампа HL горит, значит в цепи обмотки генератора нет обрыва. После запуска двигателя напряжения на выводах генератора D+ и В+ выравниваются и лампа гаснет. Если генератор при работающем двигателе не вырабатывает напряжение, то лампа HL продолжает гореть и в этом режиме, что является сигналом об отказе генератора или обрыве его привода. Введение резистора R8 в цепь лампы позволяет контролировать целость обмотки возбуждения. В случае обрыва обмотки возбуждения при работающем двигателе лампа загорается.
Рассмотрим процесс регулирования в непрерывной двухпозиционной системе автоматического регулирования.
Характер процесса регулирования при использовании непрерывных квантованных сигналов в регуляторе позиционного действия определяется статической характеристикой релейного элемента и свойствами элементов системы автоматического регулирования, описываемыми линейными дифференциальными уравнениями. В линейной части системы первостепенное значение имеют параметры объекта регулирования, которые определяют характер дифференциального уравнения, описывающего его функционирование. В теории автоматического регулирования дифференциальные уравнения представляются в виде передаточных функций.
В замкнутой САР при статической характеристике релейного элемента с зоной нечувствительности в установившемся режиме возникают устойчивые автоколебания с определенной частотой (периодом) и амплитудой. Зона нечувствительности определяется порогами срабатывания Ucp6p и возврата С4озр релейного элемента. Параметры колебательного процесса в установившемся режиме определяются передаточной функцией объекта регулирования.
![]() |
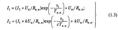
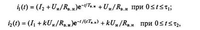
Если предположить, что объект регулирования является апериодическим звеном без запаздывания, время нарастания напряжения генератора соответствует импульсу включения тока возбуждения, а время спада напряжения - паузе (ток возбуждения отключается), то процесс регулирования напряжения генератора описывается на участках нарастания и спада напряжения следующими дифференциальными уравнениями:
где UH и Un - напряжения, приложенные к цепи возбуждения соответственно во время импульса и паузы тока возбуждения; RB„ и RBn - сопротивления цепи возбуждения соответственно во время импульса и паузы; LB. „ и LB п - индуктивности цепи возбуждения соответственно во время импульса и паузы.
![]() |
Предположим, что UK и Un - обобщенные параметры, учитывающие встречные ЭДС, падения напряжения на полупроводниковых элементах и т.д. Такими же обобщенными параметрами являются RBAt, RBn, LBM, LBM. Если ию Ua, RBM, RBn, LBM, LBM являются постоянными и ток в цепи возбуждения непрерывный, то решением линейных дифференциальных уравнений является переходная функция (см. рис.1.2. а), которая может быть представлена аналитическими выражениями
где к - коэффициент, учитывающий изменение структуры регулятора, равный UnRBj(UKRBn); с - коэффициент, учитывающий изменение параметров цепи возбуждения, равный Твп/Тви = = А,. ПЛВИ/(ХВИЛВП); Твм, Тва - электромагнитные постоянные цепи возбуждения, равные соответственно LBJRBK, LBJRBn.
Начальные силы тока /, и /2 можно определить из граничных условий (см. рис.1.2, а): ^(0) = h(x2); 'i(ti) = 'г(О). Для граничных условий:

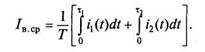
Решая систему уравнений (1.3), можно найти выражения для токов 1Х = / [(с, ух, к, тв); /2 = /2(с, ут, к, тв) и пульсацию силы тока возбуждения А/в = /j - h, где ут = хх/Т - относительная длительность импульса; тв = Т/Твм - относительная длительность периода переключений реле; Т=тх + т2 - период переключений реле. Среднюю силу тока возбуждения определяют путем интегрирования:

В общем случае средняя сила тока возбуждения при двухпозиционном регулировании зависит от следующих факторов:
· относительной длительности импульса ух;
· относительной длительности периода переключений тв (следовательно, и от частоты переключений реле);
· параметров цепи возбуждения (коэффициента с);
· структуры регулирования (коэффициента к).
Изменения перечисленных величин могут быть положены в основу способа регулирования напряжения. В регуляторах напряжения автотракторных генераторов применяют регулирование: широтно-импульсное (изменением ут), частотное (изменением тв), комбинированное (изменением ути хв).
Через параметры реле можно выразить среднее напряжение, поддерживаемое регулятором:
![]()
а также пульсацию регулирования напряжения
![]()
Полученные соотношения позволяют определить ут и т„, а следовательно, и частоту переключений, \/Т= 1/(твГви) в зависимости от частоты вращения якоря генератора. При необходимости можно определить зависимости ух и тв от нагрузки на генератор. Как видно, Yt и тв зависят от параметров реле (САгср, Д{/г), параметров генератора (a, b, Ce, RBM, LBK), схемы регулирования (к, с). Для определения зависимостей ут и тв от частоты вращения якоря генератора и нагрузки необходимо знать значения перечисленных параметров.
1.3. РЕГУЛЯТОРЫ НАПРЯЖЕНИЯ ДИСКРЕТНОГО ДЕЙСТВИЯ
Преобразователи с широтно-импульсной модуляцией
Преобразование непрерывной величины с амплитудной модуляцией в сигнал с широтно-импульсной модуляцией можно осуществить с помощью устройства, схема которого, а также диаграммы, поясняющие принцип его работы, приведены на рис.1.6. Устройство содержит генератор линейно изменяющегося напряжения (ГЛН), выполненный на операционных усилителях DA1, DA2, устройство сравнения УСр, выполненное на операционном усилителе DA3, и триггер DD.
Входной сигнал UBX (диаграмма 2) сравнивается на устройстве сравнения УСр с линейно изменяющимся напряжением и„ (диаграмма 3). Частота работы ГЛН постоянна и выбирается исходя из решаемой задачи. По обратному ходу пилообразного напряжения (диаграмма 1) триггер DD устанавливается в лог. "1" (диаграмма 5). При совпадении напряжений на входах DA3 на его выходе появляется сигнал (диаграмма 4), устанавливающий триггер DD в лог. "О". Длительность импульса на выходе триггера пропорциональна напряжению на входе в моменты сравнения ти =f(Um). На выходе преобразователя получается сигнал с ШИМ. Преобразователь осуществляет преобразование Um(AM) E-> 1/вых(ШИМ) Е. Импульсы, идущие с УСр, по отношению к началу пилообразного напряжения можно рассматривать как сигнал с фазоимпульс-ной модуляцией (ФИМ).

Регуляторы напряжения с широтно-импульсной модуляцией
Применение регуляторов дискретного действия с постоянной частотой переключений позволяет устранить ряд негативных свойств двухпозиционных регуляторов непрерывного действия.
Можно синтезировать несколько вариантов таких регуляторов. На рис.1.7. представлена одна из возможных САР напряжения с использованием преобразователя напряжение - временной интервал (преобразователя сигнала с ШИМ).
Система содержит генератор G с обмоткой возбуждения LG, выпрямитель UZ, датчик регулятора Д, как правило, выполненный в виде делителя напряжения, формирователь опорного напряжения ФОН, выполняющий функции задающего устройства, устройство сравнения УСр1, преобразователь напряжение - время ПНВ и усилитель мощности УМ. ПНВ, в свою очередь, состоит из генератора тактовых импульсов ГТИ, генератора линейного напряжения ГЛН, устройства сравнения УСр2 и триггера Т.Д.ля питания электронной части системы используется стабилизатор напряжения СН второй ступени стабилизации. Он же используется для формирования заданного (опорного) напряжения Uz.
Работает система регулирования следующим образом. На устройство сравнения УСр1 подается напряжение с ФОН и датчика Д. Разность напряжений Ux и Uz с выхода УСр1, равная АС, поступает на устройство сравнения УСр2 преобразователя ПНВ. Генератор тактовых импульсов ГТИ дискретизирует процесс регулирования. Время, равное периоду следования импульсов с ГТИ, определяет цикл преобразования напряжения в длительность импульса (временной интервал). Импульсы с ГТИ синхронизируют работу генератора линейного напряжения ГЛН. В УСр2 напряжение с ГЛН сравнивается с напряжением AU. При совпадении значений сравниваемых напряжений на выходе устройства сравнения УСр2 вырабатывается сигнал, который сбрасывает триггер Т в лог. "О". Предварительно триггер импульсом с ГТИ устанавливается в лог. "1". Импульсы с выхода триггера поступают на усилитель мощности УМ и далее на обмотку возбуждения. ПНВ осуществляет преобразование …… функцией преобразования ти =f(AU), где ти - длительность (ширина) электрического импульса на выходе триггера.
Тиристорные регуляторы напряжения
![]() |
По способу управления тиристором тиристорные регуляторы напряжения можно разделить на регуляторы с управлением угла включения тиристора (системы с естественной коммутацией) и регуляторы с управлением относительной длительностью включения тиристора (системы с искусственной коммутацией).
На рис.1.8. приведена принципиальная схема тиристорного регулятора напряжения с естественной коммутацией. В регуляторе напряжения функции регулирующего органа выполняет тиристор VS. В анодную цепь тиристора включена обмотка возбуждения ОВ генератора. Обмотка возбуждения шунтируется диодом VD4. Чтобы обеспечить естественную коммутацию, тиристор подключен к генератору через однофазный двухполупериодный выпрямитель, образованный двумя диодами выпрямителя генератора и двумя вспомогательными диодами VD5, VD6. Для обеспечения возбуждения генератора к обмотке возбуждения подводится напряжение аккумуляторных батарей через резисторы R6nR7. Для улучшения условий коммутации тиристора применен конденсатор С1.

Датчик, задающее устройство и устройство сравнения регулятора напряжения состоят из делителя напряжения Rl... R3, стабилитронов VD1, VD2 и резистора R4. Усилитель постоянного напряжения на транзисторе VT1 с нагрузкой R4 выполняет функции устройства управления. Дроссель L1 выполняет функции фильтра.
При включении выключателя зажигания S1 на вход регулятора поступает напряжение аккумуляторной батареи. Поскольку напряжение аккумуляторной батареи меньше напряжения срабатывания стабилитрона, то транзистор VT1 находится на границе состояния отсечки. По цепи LI, R4, VD3, R5 протекает ток, создающий падение напряжения на сопротивлении R5, достаточное для переключения тиристора VS.
Через фильтр Z, сопротивления R6 и R7, диоды VD5, VD6 и обмотку возбуждения ОВ подается анодное напряжение к тиристору, и тиристор переключается в состояние насыщения. Таким образом, обеспечивается возбуждение генератора. Затем обмотка возбуждения практически питается от однофазного мостового выпрямителя.
Когда напряжение генератора достигает напряжения срабатывания стабилитрона, транзистор VT1 переключается в состояние насыщения. При этом напряжение на цепочке VD3, R5 резко уменьшается и распределяется неравномерно. Большая часть напряжения приходится на диод, а меньшая часть - на сопротивление R5. Напряжение на сопротивлении R5 очень мало. Следовательно, напряжение на управляющем электроде тиристора практически равно нулю. При напряжении на выходе однофазного двухполупериодного выпрямителя, близком к нулю, тиристор переключается в состояние отсечки.
Регулирующие органы тиристорных регуляторов могут быть выполнены по различным схемам управляемых выпрямителей, в том числе как однофазные и трехфазные.
Тиристорные регуляторы напряжения создают более сложные условия возбуждения генератора и требуют увеличения числа витков обмотки возбуждения генератора, так как напряжение электроснабжения обмотки возбуждения ниже выпрямленного напряжения генератора. В автотракторном электроснабжении тиристорные регуляторы напряжения применяются редко.






