| Похожие рефераты | Скачать .docx |
Реферат: Механизмы передвижения подъемно-транспортных машин
МЕХАНИЗМЫ ПЕРЕДВИЖЕНИЯПОДЪЕМНО-ТРАНСПОРТНЫХ МАШИН
Механизмами передвижения называются механизмы, обеспечивающие, как правило, горизонтальное движение грузоподъемной машины или ее части (тележки), или (что реже) движение по наклонному пути. В зависимости от типа грузоподъемной машины различают механизмы передвижения для рельсового, безрельсового и канатного путей. Рельсовый путь имеют мостовые, козловые, консольные, велосипедные, портальные, башенные и железнодорожные краны, мостовые перегружатели, а также передвижные тали и тележки. Для безрельсового пути предназначаются стреловые краны на пневмоколесном, гусеничном и редко на шагающем ходах. Канатный путь имеют тележки кабельных и поворотных кранов.
Для рельсового пути используют два типа механизмов передвижения: с приводными колесами — первый тип и с канатной или цепной тягой — второй тип. Все элементы механизма передвижения первого типа размещены на движущейся раме грузоподъемной машины или тележки. Механизм передвижения второго типа отличается установкой двигателя и передач за пределами тележки. Механизмы передвижения с приводными колесами в свою очередь подразделяются на механизмы для двухрельсовых путей и механизмы для однорельсовых путей. Большинство кранов и тележек передвигается по двухрельсовым путям. Однорельсовые пути имеют консольные и велосипедные краны, подвесные тележки и тали.
1. Основные схемы механизмов передвижения
А. Механизмы передвижения с приводными колесами
В общем случае механизм передвижения с приводными колесами состоит из двигателя, системы передач и ходовой части с ходовыми колесами (катками). Механизмы передвижения тележек и кранов могут иметь ручной и машинный привод.
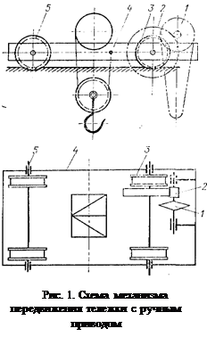
Механизмы передвижения с ручным приводом. Ручной привод применяется на кранах, используемых на складах и производственных участках с ограниченным объемом работы. Обычно грузоподъемность таких кранов не выше 15—20 Т, пролет не более 14—17 м. Мостовые краны с ручным приводом в зависимости от грузоподъемности и величины пролета могут иметь однобалочную конструкцию моста из двутаврового профиля, по полкам которого передвигается каретка (кошка) с подвешенным к ней подъемным устройством, или мост двухбалочной конструкции с четырехтактовой тележкой (рис. 1). Механизм передвижения тележки смонтирован на раме 4, опирающейся на два ведущих (приводных) 3 и два ведомых (неприводных) 5 колеса. Ведущие колеса приводятся во вращение через зубчатую передачу 2 с тягового колеса 1 с тяговой цепью или с помощью рукоятки.
Механизмы передвижения однобалочного и двухбалочного мостов содержат те же основные элементы.
Механизмы передвижения с электрическим приводом тележек и мостов. Эти механизмы состоят из электродвигателя, промежуточных передач, ходовой части с ведущими и ведомыми ходовыми колесами. Для современных кранов механизмы передвижения отличаются применением редукторного привода; использованием ведущих и ведомых ходовых колес с отъемными буксами; соединением валов, в том числе и быстроходных, в основном зубчатыми муфтами, не требующими высокой точности сборки.
Наиболее типичными для механизма передвижения тележки являются приводы с центральным расположением редуктора. Достаточно широкое применение получили также приводы с навесными редукторами.
На рис. 2 показан механизм передвижения тележки с навесным редуктором. К навесному редуктору 2 этого механизма при креплен фланцевый электродвигатель 1 , крутящий момент от которого через зубчатые передачи передается на полый выходной вал 8 и от него на вал приводного ходового колеса 9. Второе приводное колесо соединено с валом первого посредством трубчатого трансмиссионного вала 6 и муфт 7. Тормозной шкив 4 тормоза 3, закрепленного на кронштейне 5 , укреплен на быстроходном (или на промежуточном) валу редуктора. Реактивный момент, возникающий при движении тележки, воспринимается через корпус редуктора упорными болтами 10. Механизм с навесным редуктором, не требующий устройства специальных опорных площадок на раме тележки под редуктор и электродвигатель, отличается компактностью и простотой установки. Однако при замене приводных колес на этом механизме приходится демонтировать и редуктор.
Применение механизмов с навесным редуктором нецелесообразно для тележек большойгрузоподъемности, так как в этом случае габаритные размеры и вес навесного редуктора непропорционально возрастают и становятся неприемлемыми.
Механизмы передвижения моста. Эти механизмы выполняются с центральным или раздельным приводами. При центральном расположении привода электродвигатель устанавливается примерно в средней части моста. На приводные ходовые колеса вращение передается через трансмиссионный вал. В раздельном приводе для каждого приводного ходового колеса или группы приводных ходовых колес используется индивидуальный электродвигатель. Существует три конструктивные разновидности механизмов передвижения с центральным расположением привода: с тихоходным, среднеходным и быстроходным трансмиссионными валами. Грузоподъемность, пролет и тип металлоконструкции моста, а также тип крана оказывают существенное влияние на выбор схемы механизма передвижения.
Механизм передвижения с тихоходным трансмиссионным валом. Этот механизм передвижения мостовых кранов (рис. 3, а) имеет электродвигатель 1, двух- или трехступенчатый редуктор 2 и трансмиссионный вал, составленный из нескольких отдельных секций 3, соединенных между собой, а также с концами выходного вала редуктора и валами ходовых колес обычно зубчатыми муфтами 4. Трансмиссионный вал опирается на промежуточные опоры 5, установка и количество которых в сочетании с применяемыми самоустанавливающимися подшипниками и муфтами обеспечивают нормальную работу и необходимую соосность соединяемых секций.
Вал, вращаясь с угловой скоростью, равной угловой скорости ходовых колес, передает на ходовые колеса максимальную для этого механизма величину крутящего момента, в связи с чем вал (диаметр), муфты и подшипники имеют значительные размеры и вес. С увеличением грузоподъемности и пролета крана параметры этих элементов и их число пропорционально возрастают. Секции трансмиссионного вала изготовляются сплошными или сварными из стальных бесшовных труб. Трубчатая конструкция трансмиссионного вала по сравнению со сплошным эквивалентным валом имеет меньший на 15—20% вес. Длины секций следует выбирать с таким расчетом, чтобы представилось возможным получить трансмиссионный вал требуемой длины, соответствующей пролету моста крана, при минимальном числе их типоразмеров.
Механизмы передвижения с тихоходным трансмиссионным валом получили достаточно широкое применение на мостовых кранах общего и специального назначений и особенно для мостов решетчатой конструкции, где их применение создает лучшие условия для размещения элементов привода.
Механизм передвижения со среднеходным трансмиссионным валом. На приведенной применительно к мостовому крану схеме (рис. 3, б) движение от электродвигателя 1 передается через редуктор 2 с уменьшенным передаточным числом, трансмиссионный вал 3 и дополнительные зубчатые передачи 4 на ходовые колеса. В этом случае передаваемый трансмиссионным валом крутящий момент оказывается в несколько раз меньше крутящего момента, действующего на тихоходном валу крана с теми же параметрами, что позволяет сократить его вес, вес зубчатых муфт и подшипниковых узлов, т. е. элементов, непосредственно относящихся к валу. Но, с другой стороны, наличие двух дополнительных концевых редукторов или открытых зубчатых передач не приводит к заметному снижению общего веса механизма.
Эти механизмы используются иногда на козловых кранах и мостовых перегружателях с жесткими мостами, на консольных и велосипедных кранах. Для козловых кранов и мостовых перегружателей механизмы передвижения с центральным приводом и среднеходным трансмиссионным валом собираются по одинаковой схеме (рис. 4). В этом случае среднеходный секционный трансмиссионный вал состоит из двух горизонтальных и двух вертикальных участков, конических зубчатых колес и концевых открытых зубчатых передач к ходовым приводным колесам. Общая схема трансмиссионного вала предопределена конструкцией моста, установленного на высокие опоры, в нижних балках которых находятся приводные и ведомые ходовые колеса. На полукозловых кранах имеется только один участок вертикального вала.
Механизм передвижения (рис. 5) однорельсовых кранов (консольного, велосипедного) имеет также центральное расположение привода. Среднеходный трансмиссионный вал 1 , размещенный в горизонтальной плоскости, соединен с ходовыми колесами 4 через конические 2 и цилиндрические 3 зубчатые передачи. Весь механизм привода установлен на продольной, относительно подкранового рельса, балке.
Механизм передвижения с быстроходным трансмиссионным валом. Сборный трансмиссионный вал 2 механизма передвижения моста мостового крана (рис. 3, а) имеет в этом случае одинаковую угловую скорость с непосредственно соединенным с ним валом электродвигателя 1 , установленного в средней части моста. От концов трансмиссионного вала вращение передается на два редуктора 3, а затем на ходовые колеса. Для той же мощности быстроходный вал в отличие от тихоходного имеет меньший диаметр (в 2—3 раза) и меньший вес (в 4—6 раз), но его применение требует высокой точности монтажа подшипников на жестких опорах н динамической балансировки вращающихся частей.
Кроме того, при нагружении крана упругие деформации моста могут вызвать значительные смещения подшипников и дополнительный перекос осей смежных секций, особенно опасный для быстроходного трансмиссионного вала. Поэтому использование быстроходного вала целесообразно для крановых мостов при длине пролета более 15—20 м с повышенной жесткостью в вертикальной плоскости и с такой установкой подшипников, которая позволяет исключить появление недопустимых перекосов и дебаланса отдельных секций. При тихоходном трансмиссионном вале деформация кранового моста под нагрузкой оказывает малое воздействие на работу вала и обычно не учитывается. Быстроходные трансмиссионные валы иногда применяются и на главных тележках литейных кранов.
Механизм передвижения с раздельным приводом. На мостовых кранах механизм передвижения с раздельным приводом (рис. 3, г) состоит из двух отдельных приводов для каждой стороны моста, имеющих электродвигатель 1 с тормозом 2 и редуктор 3, соединенный с приводным ходовым колесом. Электродвигатели, рассчитываются с учетом возможной неравномерности их загрузки каждый на 60% от общей требуемой мощности.
За последние годы механизмы с раздельным приводом приобретают всё большее применение на кранах многих типов. У мостовых кранов они применяются на мостах балочной конструкции при пролетах более 15 м. Еще большее применение эти механизмы имеют на портальных и башенных кранах в виде независимых приводных ходовых тележек на обоих путях (рис. 6). Каждая из тележек имеет по два ходовых колеса и один электродвигатель. Независимые приводные тележки подобной конструкции используются также для шарнирных мостов козловых кранов и мостовых перегружателей.
При передвижении моста или тележки крана возникают перекосы их в горизонтальной плоскости относительно подкрановых путей. Причинами перекосов могут быть — неточность монтажа ходовой части, различие в диаметрах приводных колес, неодинаковая пробуксовка колес по рельсам, непараллельность и уклоны подкрановых путей, а для механизмов с центральным приводом, кроме того, неодинаковое закручивание концов длинного трансмиссионного вала. Невозможность полного устранения этих причин предопределяет неизбежность перекосов при передвижении моста или тележки любого крана независимо от типа привода.
Так как размеры колеи тележек намного меньше размеров колен моста, а горизонтальная жесткость рамы тележки значительно больше соответствующей жесткости металлоконструкции моста, то наиболее существенное значение имеют перекосы мостов кранов. Во время перекоса между ребордами ходовых колес и головками рельсов возникают боковые усилия, которые вызывают момент, стремящийся повернуть мост крана в горизонтальной плоскости в сторону, обратную перекосу. Взаимодействие между ребордами и рельсами приводит к их быстрому совместному износу и увеличению сопротивления передвижению, что особенно резко проявляется при установке центрального привода и во многом зависит от горизонтальной жесткости моста.
При работе механизмов с раздельным приводом перераспределение нагрузок между электродвигателями осуществляется через металлоконструкцию моста. На забегающей вперед стороне моста благодаря повышению сопротивления на приводных ходовых колесах и возрастанию нагрузки на электродвигатель наблюдается падение скорости движения. Для противоположной стороны в связи с уменьшением в это время сопротивления на приводных колесах и нагрузки на двигатель происходит некоторое повышение скорости вращения и в результате возникает автоматическое выравнивание перекоса.
Следовательно, движение моста крана с раздельным приводом происходит с меньшими перекосами, что и способствует широкому применению этого типа привода. Установка двух отдельных приводов у концевых балок моста создает, как показывает практика эксплуатации, более благоприятное распределение нагрузок на ходовые колеса, рельсы и мост крана и приводит к повышению надежности и долговечности этих элементов.
Использование раздельного привода целесообразно, когда отношение пролета крана к его базе не превышает шести. При более высокое значении этого отношения необходимо искусственное повышение горизонтальной жесткости моста, так как в противном случае из-за повышенной гибкости моста происходят значительные забегания одной концевой балки по отношению к другой.
Расчет трансмиссионных валов.
Трансмиссионные валы механизмов передвижения рассчитываются на кручение по величине передаваемого крутящего момента и на изгиб от собственного веса. Быстроходные трансмиссионные валы, соединенные муфтами, представляют собой колебательные системы, у которых при совпадении частоты собственных поперечных колебании с частотой изменения внешних сил наступает явление резонанса, соответствующее определенному критическому числу оборотов п
. Для предотвращения резонанса быстроходные трансмиссионные валы должны иметь скорость n
,
отличающуюся от критического числа оборотов, в следующих пределах: при работе в докритической зоне
и
, и при работе в закритической зоне —
.
Критическое число оборотов (в об/мин) можно определить по приближенной формуле:
![]()
где d — диаметр вала, см; l — расстояние между опорами вала, м.
Следует отметить, что трубчатые трансмиссионные валы имеют критическую скорость в 4,5—5,5 раз выше, чем сплошные валы.
Механизмы передвижения однорельсовых тележек. Однорельсовые (монорельсовые) тележки и тали, оборудованные грузоподъемным устройством, передвигаются по полкам ездовой балки. Обычно такой балкой является стальной прокат двутаврового профиля. Тележки изготовляются с ручным передвижением при непосредственном воздействии (толкании) на груз, с ручным приводом от тягового колеса (рис. 7), с приводом от электродвигателя (рис. 8) и с приводом от специального тягача.
Однорельсовые тележки устанавливаются на двух или на четырех катках. Двухкатковые тележки имеют, как правило, ручной привод, а четырехкатковые — ручной и электрический. Для тележек с электрическим приводом обычно одна пара катков выполняется приводной. Электрические тали большой грузоподъемности подвешивают к двум четырехкатковым тележкам. В случае необходимости обе тележки могут снабжаться специальными электрическими приводами. Однорельсовые пути дают возможность получения сложных по конфигурации трасс движения тележек в горизонтальной плоскости с использованием закруглений, переводных стрелок и поворотных кругов, а тележки со специальными обрезиненными прижимными роликами могут двигаться и по наклонным участкам монорельса.
Б. Механизмы передвижения с канатной тягой
Механизмы передвижения с канатной тягой применяются главным образом для тележек башенных и кабельных кранов. Этот механизм, у которого на тележке находятся только ходовые колеса и блоки подъемного каната, характеризуется значительно меньшим весом и размерами тележки, а также возможностью ее движения по наклонному пути как рельсовому, так и канатному.
Тележка с канатной тягой наиболее распространенной конструкции (рис. 9) представляет собой жесткую раму 1 с двумя неподвижно закрепленными на ней осями 2. На осях свободно вращаются обычно на подшипниках качения ходовые колеса 3 и блоки 4 подъемного каната 5 , один конец которого закреплен на металлоконструкции, а второй на барабане 8 механизма подъёма. При качении тележки по рельсам происходит перекатывание подъемного каната по блокам, вызывающее дополнительные сопротивления движению.
Тяговой канат (или цепь) 6, огибающий в конце хода тележки стационарный блок 10, состоит из двух ветвей: верхней и нижней. Обе ветви прикреплены к раме тележки, а их противоположные концы — к тяговому нарезному барабану 7 с двумя рабочими участками так, чтобы при вращении барабана одна из ветвей каната могла наматываться на барабан, а другая сматываться с него и тем самым осуществлять перемещение тележки. Места крепления ветвей каната на тяговом барабане определяются с учетом направления винтовых канавок на нем, соблюдения правильного без резкого излома схода каната и исключения возможности соприкосновения нижней ветви тягового каната с подъемным канатом крюковой обоймы 9. Для этих же целей на укосине крана, по которой перемещается тележка, иногда устанавливается несколько стационарных отклоняющих канатных блоков.
2. Ходовая часть механизмов передвижения
Ходовые колеса для рельсовых путей. В ходовой части мостов и тележек кранов, предназначенной для рельсового передвижения, применяются различные типы ходовых колес. В соответствии с требованиями правил Госгортехнадзора ходовые колеса выполняются или устанавливаются так, чтобы исключалась возможность схода колес с рельсов. Основным типом ходовых колес являются колеса с двумя боковыми выступами —ребордами. На мостовых, консольных и велосипедных кранах допускается использование и безребордных колес, но с обязательной установкой дополнительных горизонтальных роликов, удерживающих колеса крана на рельсах.
Одноребордные колеса имеют ограниченное применение и могут использоваться для тележек, передвигающихся по ездовой балке, а также для наземных кранов, за исключением башенных, в том случае, если оба рельса пути расположены на одном уровне, а ширина колеи не превышает 4 м, или при передвижении каждой стороны крана по двум рельсам, когда реборды колес, движущихся по этим рельсам, противоположны друг другу.
По назначению различают приводные (ведущие) и неприводные (ведомые) ходовые колеса. Получая принудительное вращение от механизма передвижения, приводные ходовые колеса благодаря силам сцепления между поверхностями ободьев и рельсов осуществляют перемещение крана или тележки. Неприводные колеса, являясь только опорными, свободно вращаются на своих осях.
По форме поверхности катания ходовые колеса подразделяются на цилиндрические, конические и бочкообразные. Цилиндрические колеса имеют преимущественное применение для тележек и мостов кранов. Однако при движении моста крана с неизбежными перекосами относительно подкрановых путей приводные цилиндрические колеса не способствуют центрированию его хода, а их реборды, все время набегая на головку рельса, повышают сопротивление передвижению и подвергаются быстрому износу.
При использовании приводных конических колес колесо отстающей стороны моста крана опирается на рельс окружностью большего диаметра. При одинаковой скорости вращения приводных конических колес отстающая сторона крана начинает передвигаться с более высокой скоростью и кран автоматически выравнивается на рельсах. Коническая поверхность катания целесообразна только для приводных колес четырехколесного мостового крана без балансиров, имеющего центральный привод. Хотя у конических приводных колес реборды в работе практически не участвуют, их наличие способствует предотвращению случайного схода крана с рельсов. Неприводные колеса изготовляют всегда цилиндрическими.
Размеры ободьев крановых колес выбираются по ГОСТ 3569—60. Для ходовых колес необходимо обеспечить чистоту обработки поверхности катания вместе с внутренними частями реборд не ниже 5-го класса, а точность изготовления по диаметру катания не ниже С4. С целью компенсации неточностей укладки крановых рельсов и установки ходовых колес ширина рабочей части их ободьев принимается больше ширины головки рельса: для двухребордных цилиндрических — на 30 мм и конических — на 40 мм, для колес тележек — 15—20 мм, для одноребордных колес — на 30 мм.
Крановые ходовые колеса испытывают значительные нагрузки и являются быстроизнашиваемыми деталями, поэтому для обеспечения необходимой долговечности они изготовляются коваными из высокоуглеродистой стали. Поверхность катания колес должна быть подвергнута термообработке — закалке до твердости НВ 300—350 на глубину не менее 15 мм с постепенным переходом к незакаленному слою.
Ходовые колеса из чугунного литья по качеству не ниже марки СЧ15-32 допускается применять только на кранах с ручным приводом. Колеса больших диаметров для экономии дорогостоящих материалов рекомендуется изготовлять сборными, состоящими из ступицы, отлитой из низкоуглеродистой стали, и бандажа из качественной стали, надетого с натягом при нагреве.
Одноребордные конические (рис. 10, а) и бочкообразные (10, б) колеса применяются на подвесных однорельсовых тележках. При качении конического колеса подвесной тележки происходит неизбежное его проскальзывание по наклонным боковым дорожкам нижнего пояса ездовой балки. Это проскальзывание является результатом различия в величине окружных скоростей конической поверхности качения колеса на линии контакта, из-за чего наблюдается повышенный износ и колес, и полок ездовой балки. Бочкообразные колеса, не обладая этим недостатком, менее чувствительны к перекосам рамы тележки.
В кранах применяется несколько способов установки ходовых колес. Наиболее распространен монтаж приводных ходовых колес на отдельных валах, а неприводных — на отдельных вращающихся осях. Корпуса подшипников изготовляются в виде отъемных или разъемных букс, которые на тележке крепятся к раме, а на мостах — к концевым балкам или балансирам. Применение отдельных валов и вращающихся осей, а также отъемных или разъемных букс намного упрощает сборку, разборку и смену элементов ходовой части. На рис. 11 показаны приводное и неприводное ходовые колеса с отъемными буксами, установленные на роликовых подшипниках.
Для уменьшения сопротивления движению, повышения надежности и удобства эксплуатации ходовые колеса тележек и мостов кранов устанавливаются на подшипниках качения и значительно реже — на подшипниках скольжения. По действующему стандарту на ходовые колеса наибольший диаметр поверхности катания ходового колеса не должен превышать 1000 мм.
Размеры ходовых колес предопределяют их несущую способность и величину наибольшей допускаемой нагрузки, которую они могут передать на рельсы. Поэтому установка тележек и мостов на четыре ходовых колеса возможна только для кранов малой грузоподъемности до 50 Т. Для кранов грузоподъемностью 75—125 Т мост имеет 8 ходовых колес, а при грузоподъемности 150 Т и выше — 16 ходовых колес. У тяжелых портальных кранов общее число ходовых колес достигает 32 и даже 40. Тележки кранов делают на 4 и 8 колесах, а при значительной грузоподъемности — на 16 колесах. Установка мостов и тележек на 8, 16 и на большем числе ходовых колес усложняет конструкцию ходовой части.
Необходимость обеспечения равномерного распределения нагрузки между колесами заставляет применять уравновешивающие балансиры, использование которых приводит к увеличению габаритной высоты концевой балки моста и уменьшению ее горизонтальной жесткости. В основу таких конструкций (рис. 12) положены унифицированные двухколесные тележки — балансиры со съемными буксами. Шестнадцатиколесный кран имеет дваглавных1 и четыре малых 2 балансира. Число приводных колес принимается равным 1, 1/2 или 1/4 от общего числа ходовых колес. Привод механизма передвижения должен при этом обеспечить синхронное вращение одной, двух или четырех (редко) пар приводных ходовых колес. Он может состоять из нескольких механизмов с центральным или с раздельным приводом.
Рельсы. Для кранов применяются различные типы рельсов. В качестве подкрановых и подтележечных рельсов используются:железнодорожные рельсы широкой и узкой колеи, специальные крановые рельсы, горячекатаная квадратная и прокатная полосовая сталь. Железнодорожные и крановые рельсы изготовляются из высокоуглеродистой стали и имеют скругленную головку. Крановые рельсы имеют стенку повышенной толщины и более широкую опорную плоскость, благодаря чему обеспечивается равномерная передача давления колес на верхний пояс подкрановой балки.
Выбор типа рельса зависит от режима работы крана, от типа и величины давления ходовых колес. Использование конических колес предопределяет установку рельсов со скругленными головками. Для цилиндрических колес основными типами являются железнодорожные и крановые рельсы. Рельсы из квадратной и полосовой стали применяют для кранов сравнительно небольшой грузоподъемности и при отсутствии специальных рельсов. Железнодорожные, козловые, портальные и велосипедные краны передвигаются главным образом по железнодорожным рельсам.
Рельсы крепят к подкрановым балкам или укладывают по типу железнодорожных путей па специальные основания. Существует два способа крепления рельсов: неподвижное и подвижное. Неподвижное крепление рельса к подкрановой балке, выполняемое при помощи сварки, допустимо для кранов с легким режимом работы. Основным рекомендуемым способом креплениясчитается подвижное. Это крепление позволяет осуществлять рихтовку (выравнивание) пути и обеспечивает удобную и сравнительно простую замену изношенных рельсов. Некоторые из способов крепления подкрановых рельсов приведены на рис. 13. Железнодорожные рельсы часто закрепляют на подкрановой балке парными тяжами диаметром 22—25 мм (рис.13, а), а специальные подкрановые рельсы — боковыми накладками (рис. 13, б). Парные тяжи и боковые накладки устанавливают с шагом, равным 600—700 мм. Рельсы прямоугольного и квадратного профилей могут прикрепляться к балкам при помощи планок, вставляемых в пазы бруса (рис. 13, в).
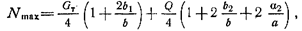
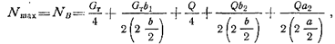
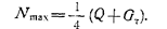
Расчет ходовых колес. Расчет ходовых колес заключается в проверке выбранных размеров (диаметра и ширины) поверхности катания обода колеса по величине напряжения смятия в месте его контакта с рельсом от максимально возможного давления ходового колеса на рельс. Тележки и мосты кранов, за исключением трехопорных конструкций, представляют собой четырехопорные один раз статически неопределимые системы. Для упрощения задачи с допустимым для практики приближением рама тележки и мост крана рассматриваются в виде статически определимых систем. Упрощенные статически определимые многоопорные системы имеют геометрическую и статическую симметрию 'и решаются методами простых разложений вертикальных сил или моментов. Максимальная нагрузка на рельс рассчитывается для колеса, относительно которого груз, тележка с грузом или стрела с грузом могут иметь наиболее невыгодное положение. Если тележка или мост крана опираются не на четыре, а на большее число колес при помощи уравновешивающих балансиров, то величина наибольшей нагрузки на колесо уменьшается и становится равной:
![]()
где
— наибольшая нагрузка, приходящаяся па одну из четырех балансирных опор тележки или крана;
—
число ходовых колес в балансирной опоре.
Приведенные ниже зависимости для максимальных давлений на рельсы получены без учета качества изготовления и монтажа рам тележек или металлоконструкций мостов кранов, их упругости, а также упругости и состояния рельсовых путей.
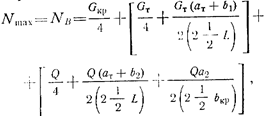
Давление на опоры тележки. На рис. 14 дана одна из возможных расчетных схем вертикальных давлений для четырехопорной тележки. Анализ этой схемы позволяет установить, что колесо В воздействует на рельс с наибольшей нагрузкой. В соответствии с принятым допущением:
| откуда |
![]()
![]()
где
—
вес тележки с ходовой частью и всеми механизмами;
Q
— вес груза;
,
,
— расстояния от центра симметрии рамытележки О до ее центра тяжести
и центра приложения веса груза
; a
— ширина колеи ходовых колес; b
—
база ходовых колес.
При конструировании тележек следует стремиться к такому размещению всех механизмов на её раме, чтобы центр тяжести груженой тележки был расположен как можно ближе к центру симметрии рамы (точка О), находящемуся на равных расстояниях от ее колес. При этом давления колес тележки на рельсы примерно одинаковы.
Давления на опоры моста крана. Величины нагрузок на опоры моста крана зависят от положения тележки на нем. Максимальные давления на рельсы возникают от тех колес моста, у концевой балки которых находится в этот момент тележка с номинальным грузом. В соответствии с приведенной схемой (рис. 15) колесо В передает на рельс максимальное давление. На основе принятого метода расчета без учета податливости моста под колесами тележки можно получить выражение, определяющее это давление:

откуда
![]()
где
— собственный вес моста крана, приложенный к центру тяжести, достаточно близко совпадающему с центром симметрии моста
;
—
вес ходовой части тележки, приложенный в центре тяжести тележки — в точке
;
— расстояние от центра симметрии моста до центра тяжести тележки; L
— колея ходовых колес моста (пролет крана);
— база ходовых колес моста.
Давления на опоры консольного настенного передвижного крана. Ходовая часть консольного передвижного крана (рис. 16) выполнена в виде статически определимой системы, имеющей верхние и нижние опорные ролики с вертикальными осями, которые, передавая боковые давления на направляющие, обеспечивают устойчивость крана. Наибольшие давленая на опорах возникают при положении тележки с грузом на максимальном вылете L. Максимальные давления на вертикальные ходовые колеса и горизонтальные ролики равны:
![]()
Соответственно, давления на каждое ходовое колесо и горизонтальный ролик:
![]()
где.
— вес тележки;
— вес крана без тележки с грузом;
— число вертикальных ходовых колес;
—
число горизонтальных роликов на каждой опоре (обычно
=2).
Давления на опоры тележки с канатной тягой. В конструкциях тележек с канатной тягой вследствие геометрической симметрии (рис. 9) вертикальное давление на каждое колесо тележки
![]()
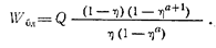
Расчетная нагрузка от ходового колеса на рельс. Проверка размеров ходовых колес по контактным напряжениям является расчетом на выносливость (долговечность) и производится поэтому по некоторой эквивалентной расчетной нагрузке, учитывающей переменность давлений между ходовыми колесами и рельсами в зависимости от величины поднимаемого груза, положения его относительно ходовых колес, положения тележки на мосту крана и других факторов. Расчетная нагрузка определяется как часть максимально возможной нагрузки от колеса на рельс по формуле [7]:
![]()
где
— максимально возможная вертикальная нагрузка от ходового колеса на рельс;
— коэффициент, учитывающий режим работы механизма передвижения крана (частоту приложения нагрузки, толчки и т. п.);
— коэффициент переменности нагрузки;

где Q — вес поднимаемого груза;
— собственный вес крана с тележкой или одной тележки с учетом веса грузозахватных устройств.
Значения коэффициента режима работы назначаются по таблице:

Напряжения смятия в месте контакта колеса с рельсом. В зависимости от первоначальной (до износа) формы поверхности катания колеса и рельса между ними возможны линейный и точечный контакты. Линейный контакт возникает при качении цилиндрического колеса по рельсу из прямоугольного и квадратного профилей или конических колес .подвесных тележек по нижнему поясу двутавровой балки. Точечный контакт возникает у цилиндрических (рис. 17, а) и конических (рис. 17, б) колес с рельсами, имеющими скругленную головку, а также при качении бочкообразных колес (рис. 17, в и г) по рельсу прямоугольного профиля. Линейный контакт колеса с рельсом показан на рис, 17, д и е.
Величина местных напряжений смятия при линейном контакте (в кГ/см2 ):
![]()
Величина местных напряжений смятия при точечном контакте (в кГ/см2 ):

где
— расчетная нагрузка на колесо, кГ;
—
приведенный модуль упругости материалов колеса и рельса, кГ/см2
; b —
ширина поверхности катания обода колеса, см; r —
радиус колеcа, см;
— наибольший из двух радиусов r
или
контактирующихся поверхностей (см. рис. 17), см; т
—
коэффициент, выбираемый по таблице [1], в зависимости от отношения
/r
(при
<r
) или r/
(при r<
).
[2] Значения коэффициента т:
| 0,1 | 0,2 | 0,3 | 0,4 | 0,5 | 0,6 | 0,7 | 0,8 | 0,9 | 1,0 | |
| т | 0,97 | 0,72 | 0,6 | 0,54 | 0,49 | 0,47 | 0,44 | 0,42 | 0,4 | 0,39 |
Рекомендуемые данные для расчета ходовых колес

Приведенный модуль упругости
![]()
где
—
модуль упругости материала колеса, кГ/см2
;
—
модуль упругости материала рельса, кГ/см2
.
Для стальных колес и рельсов
![]()
§ 3. Сопротивления передвижению кранов и тележек
При передвижении кранов и тележек возникают сопротивления в ходовой части, внешние сопротивления и сопротивления в элементах передач механизма. В зависимости от режима и условий работы крана эти сопротивления могут действовать в различных сочетаниях. При конструировании необходимо определять наиболее возможное и характерное для данного типа крана их сочетание. Значение числовых значении сопротивлении позволяет произвести расчет мощности электродвигателя, тормозных устройств, передач и других элементов.
При передвижении тележки или моста крана с приводными колесами по двухрельсовым путям с постоянной скоростью (установившийся режим) преодолеваются сопротивления от трения в ходовых колесах, от ветровой нагрузки и от возможного уклона рельсового пути. В момент пуска механизма передвижения (неустановившийся режим), кроме указанных сопротивлений, возникает сопротивление от сил инерции приводимых в движение масс. У механизмов с ручным приводом этим сопротивлением обычно пренебрегают.
Для однорельсовых консольных и велосипедных кранов необходимо также учитывать сопротивления в упорных роликах, воспринимающих горизонтальные нагрузки. В однорельсовых тележках возникают сопротивления, являющиеся результатом конусности колес и возможного поперечного смещения. Для тележек с канатной тягой электродвигатель механизма передвижения преодолевает, кроме того, сопротивления, характерные для этого механизма — в канатных блоках, от провисания тягового каната и ветровой нагрузки. В отдельных случаях следует также учитывать сопротивление от действия центробежных сил, возникающих при одновременной работе механизмов передвижения тележки и вращения крана.
Сопротивление от трения в ходовых колесах однорельсовых и двухрельсовых кранов (рис. 18). Этот вид сопротивлений слагается из трения качения ходовых колес по рельсам, трения в опорах, трения реборд колес о головки рельсов и трения торцов ступиц колес. При качении колес силы сопротивления вызывают моменты сопротивления движению, равные:
от трения качения колеса по рельсу
![]()
от трения в опорах колеса
![]()
где
собственный вес крана с тележкой для расчета механизма передвижения моста или одной тележки для расчета механизма передвижения тележки (в обоих случаях с учетом веса грузозахватных устройств);
Коэффициент трения качения и ходовых колес по рельсам:

Коэффициент трения f в опорах ходовых колес

Моменты сопротивления движению можно выразить в ином виде
![]()
|
![]()
|
Трение торцов ступиц колес, возникающее при их установке на подшипниках скольжения, и особенно трение реборд зависит от многих переменных факторов, не поддающихся достаточно точному математическому описанию. Поэтому принято пользоваться условными методами расчета, когда указанные сопротивления учитывают общим опытным коэффициентом трения реборд
, который вводится в формулы для момента или силы сопротивления движению.

Тогда момент и сила сопротивления в ходовых колесах равны
![]()
| и |
![]()
|
![]()
то силу сопротивления на ходовых колесах можно определить из выражения
![]()
Сопротивления от трения в горизонтальных упорных роликах и направляющих колесах.
При качении безребордных упорных роликов по рельсам возникают сопротивления от трения качения и трения в их подшипниках. Максимальные значения этих сопротивлений возникают при максимальных горизонтальных давлениях, соответствующих у передвижных консольных кранов крайнему положению тележки (рис. 16) и у велосипедных кранов — положению укосины, перпендикулярной к рельсовому пути. Учитывая воздействие максимального горизонтального давления
на каждую из опор консольного или велосипедного кранов, определяют сопротивление в упорных роликах:
![]()
В этом выражении приведенный к поверхности катания упорного ролика коэффициент сопротивления
![]()
где
— коэффициент трения качения упорных роликов по направляющим;
—
приведенный коэффициент трения в подшипниках упорных роликов;
,
— диаметр поверхности катания и диаметр цапфы оси упорных роликов.
В последние годы для мостовых кранов применяют безребордные ходовые колеса в различных сочетаниях с горизонтальными направляющими колесами.
Обычно упорные ролики устанавливают с внутренней стороны рельсов (рис. 19). Для определения максимального горизонтального давления на упорные ролики можно воспользоваться одной из полученных ранее зависимостей. Без учета действия сил поперечного скольжения при центральном приводе механизма передвижения в соответствии с принятыми обозначениями

где N —
давление приводного ходового колеса на рельс;
— коэффициент сцепления приводного колеса с рельсом;
—
база ходовых колес моста крана;L
— колея ходовых колес.
Сопротивление от ветровой нагрузки
.
Это сопротивление следует учитывать для кранов, работающих на открытых площадках, согласно методике, указанной в ГОСТ 1451—65.
Сопротивление от уклона пути
. Это сопротивление определяется для тех рельсовых путей, которые имеют уклон па достаточно большом протяжении.
Для значительных уклонов
![]()
Для малых уклонов
![]()
где
— угол наклона рельсового пути, град;
—
уклон пути.
Уклон пути
=0,002—0,003 учитывается при подсчете мощности электродвигателя только для кранов, передвигающихся по путям на шпальном основании. При проверке электродвигателя на кратковременную перегрузку и время пуска, при проверке запаса сцепления и определении тормозного момента уклон путей принимается по таблице [2]:
[2] Уклон подкрановых путей
| Уклон путей | Пути с железобетонным фундаментом на металлических балках | Пути с щебёночным основанием, деревянные шпалы |
Подтележечные пути на мосту крана |
| 0,001 | 0,002 | 0,002 |
Сопротивление движению подъемного и тягового канатов тележек с канатной тягой. Специфическое для тележек с канатной тягой (рис. 9) сопротивление состоит из сопротивления в блоках подъемного каната и сопротивления от провисания тягового каната, имеющего максимальное значение при подходе тележки к крайнему у блока 10 положению.
Для рассматриваемой схемы при подвешивании груза Q на
двух ветвях канатов
![]()
При движении тележки вправо
=![]()
![]()
где
,
— натяжения в ветвях канатов;
— коэффициент сопротивления блока.
Из решения двух последних уравнений:
![]()
Далее, по аналогии
![]()
![]()
Сопротивление в блоках подъемного каната определяется как разность
![]()
для груза, подвешенного на а ветвях (а в этих механизмах является четным числом),
![]()
Горизонтальные составляющие натяжения тягового органа, приложенные к тележке в сторону, обратную движению, и к тяговому барабану по направлению движения, равны:
![]()
где
—
погонный вес тягового органа;
—
наибольшее возможное расстояние между барабаном 7 и креплением тягового органа ка тележке 1
(рис. 9); y —
стрела провеса тягового органа, обычно принимаемая у
= (0,1—0,15) м
или
![]()
Поскольку натяжение
, воздействующее на тележку, препятствует движению, а
на барабане, уменьшенное на величину потерь, через нижнюю ветвь тягового органа и блок 10
способствует ее движению, то сопротивление от провисания тягового органа
![]()
где
,
— соответственно коэффициенты сопротивлений барабана н концевого блока 10
при огибании их тяговым канатом.
Полное статическое сопротивление. Полное статическое сопротивление передвижению кранов и тележек, действующее на наружном диаметре ходовых колес, в общем случае равно:
|
![]()
|
![]()
|
![]()
Для двухрельсовых кранов с горизонтальными направляющими колесами (
= 1,0)
|
Составляющие сопротивления
определяют по приведенным выше зависимостям. При подсчете полного статического сопротивления необходимо учитывать, что краны, установленные в помещениях, не испытывают ветровой нагрузки.
Полное статическое сопротивление передвижению однорельсовых тележек.
Движение однорельсовых тележек по подвесным путям характеризуется наличием сопротивлений от трения качения и трения в подшипниках ходовых колес, сопротивлений при качении конических и бочкообразных колес по наклонным полкам рельса, а также сопротивлений при перекосе тележки и при ее передвижении по кривым участкам пути. Сопротивление от трения качения колес и в опорах
и
рассчитывается по формулам (1) и (2).
Качение конического колеса по наклонной полке сопровождается потерями на проскальзывание вследствие неравенства скоростей на линии контакта образующей конуса с рельсом. Величину сопротивлений от проскальзывания можно найти из уравнения моментов сил, действующих относительно точки
(рис. 20) на окружности среднего радиуса R:
![]()
| откуда |
![]()
где
= 0
,15—0,20 — коэффициент трения скольжения колеса по полкам ездовой балки;
— угол наклона полок ездовой балки; D
—
средний диаметр обода колеса; b
—
ширина обода колеса. Для нормальных прокатных профилей угол наклона полок
= 8°(tg8=0,14).
При движении однорельсовых тележек в результате неравномерного распределения давлений между колесами, неточной сборки и вследствие других причин возникают перекосы даже на прямых участках пути. Вследствие перекоса на угол
(рис. 21) колесо стремится передвинуться по линии
. Однако удерживаемое ребордой, соприкасающейся в точке а
с кромкой полки, колесо катится по рельсу в направлении его продольной оси
, Каждый полный оборот колеса благодаря этому на пути
=
D
сопровождается его поперечным скольжением на величину
=
D
tg
. Работа сил трения от поперечного скольжения колес тележки на пути ![]()
Отсюда сопротивление движению тележки только от поперечного скольжения колес
![]()
Перекос тележки вызывает, кроме того, дополнительные сопротивления от трения реборд колес. Так как реборда колеса давит на кромку рельса с силой
,
то сила трения, приложенная к некоторой точке а
,
![]()
Следовательно, уравнение моментов сил относительно точки О дает возможность определить силу сопротивления от трения в ребордах
![]()
гдеh— плечо приложения к ободу колеса силы трения относительно точки его поворота; D— диаметр колеса.
По данным исследований в среднем 2h/D=0,4—0,7. Сопротивление движению тележки при перекосе колес принимает вид
![]()
В ряде случаев для прямых участков пути сопротивления от трения на ребордах колес
в связи с неопределенностью их действия, аналитическим путем не рассчитываются. Кроме того, угол перекоса тележки
, зависящий от многих факторов и в том числе от величины зазора между ребордами и кромками полок ездовой балки, величины базы и конструкции тележки, имеет определенное значение для каждого конкретного случая. Учитывая это, оценку всех видов дополнительных сопротивлений от перекоса ребордной тележки на прямолинейном рельсе можно произвести коэффициентом
по отношению к полному сопротивлению движения тележки без перекоса колес. Тогда величина сопротивления движению тележки от перекоса выразится формулой
![]()
Значения коэффициента
![]()
| Конструкция тележки | Тип опор колес | |
| подшипники скольжения | подшипники качения | |
Жесткая база, внутренние реборды........…….. Жесткая база наружные реборды...........…….. Наружные реборды, шарнирное соединение колесных пар............................................…….. |
1,0 0,6 --- |
0,7 0,4 1,5 |
При перемещении подвесных тележек по криволинейным путям также возникает аналогичное рассмотренному выше (рис. 21) поперечное скольжение колес по полкам балки и соответствующее ему сопротивление движению. В этом случае угол между плоскостью колес и направлением криволинейного рельса можно определить по приближенной зависимости:
![]()
где
—
величина жесткой базы тележки;
—
радиус поворота криволинейного участка.
Обычно принимают
м
, а
. Отсюда, по аналогии сопротивление движению на криволинейном участке рельса без учета потерь в ребордах
![]()
Для определения сопротивления от трения в ребордах можно воспользоваться уже выведенной формулой
.
Полное статическое сопротивление передвижению однорельсовых тележек с коническими ребордными колесами с учетом ветровой нагрузки и уклона равно:
на горизонтальном прямом пути
|

|
![]()
Сопротивление преодоления сил инерции приводимых в движение масс. Эти сопротивления возникают при пуске механизма передвижения, электродвигатель которого, кроме полного статического сопротивления, преодолевает также сопротивления от сил инерции элементов приводного механизма, крана или тележки и массы груза.
Момент сопротивления от сил инерции вращающихся масс, приведенный к валу электродвигателя:
![]()
где J
и
—
соответственно момент инерции и маховой момент масс, вращающихся на быстроходном валу механизма;
и
— угловая скорость вала электродвигателя рад/сек
и об/мин;
t —
время, сек.
Сила сопротивления и момент сопротивления, приведенные к валу ходовых колес, от сил инерции поступательно движущихся масс равны:
![]()
и
![]()
гдеm — масса крана с тележкой и грузом или тележки с грузом
m
=
;
— ускорение поступательного движения при пуске крана или тележки;D
—
диаметр ходового колеса; Q — вес номинального груза;
— собственный вес крана с тележкой для расчета механизма передвижения моста или одной тележки для расчета механизма передвижения тележки (в обоих случаях с учетом веса грузозахватных устройств);g —
ускорение силы тяжести.
Если принять, что разгон механизма происходит с постоянным ускорением, то
![]()
Рабочая скорость движения тележки или крана при установившемся режиме работы (в м/сек}:
![]()
где
— среднее время пуска механизма, сек;
—
угловая скорость вращения ходового колеса, об/мин.
После подстановки в формулу для определения момента инерции выражений для j иu получаем:
![]()
Сопротивления движению механизма передвижения, приведенные к валу электродвигателя.
Момент от полного статического сопротивления
на валу приводных ходовых колес
![]()
Для тележек с канатной тягой определяется момент на приводном барабане 7
(см. рис. 9), имеющем диаметр
,
![]()
Эти моменты, приведенные к валу электродвигателя, имеющему
об/мин,
равны:
|

гдеi—
передаточное число привода механизма;
—
к.п.д. механизма.
Определение приведенного к валу электродвигателя момента от сил инерции поступательно движущихся частей
аналогично определению статического момента сопротивления. Тогда,
![]()
Так как
![]()
то
![]()
Таким образом, для периода пуска с постоянным ускорением средний пусковой момент, развиваемый электродвигателем механизма передвижения,
![]()
Отсюда
|
![]()
|
![]()
Выражение (13) используют при определении мощности, по которой производят выбор электродвигателя по каталогу. В механизмах с канатной тягой из-за небольших скоростей движения и малых поступательно движущихся масс момент
не оказывает большого влияния на пусковые режимы.
§ 4. Проверка запаса сцепления при пуске
В период пуска механизма передвижения приводные колеса, взаимодействуя с рельсами, приводят в движение тележку или кран. Для обеспечения нормальной работы необходимо, чтобы приводные колеса перекатывались по рельсам без скольжения (пробуксовки). Поэтому при расчете механизмов передвижения необходимо обеспечить определенное соотношение между силами сцепления ходовых колес с рельсами и движущей силой, приложенной к ободьям этих колес.
Расчетным случаем является работа механизма без груза, когда давление на приводные колеса уменьшено, а следовательно. уменьшена и сила сцепления, которая при этом равна:
![]()
где![]()
—сцепной вес, т.е. часть веса крана
с тележкой без груза при расчете механизма передвижения крана или часть веса тележки
без груза при расчете ее механизма передвижения, действующая на приводные ходовые колеса;
— коэффициент сцепления колеса с рельсом. Коэффициент сцепления принимается равным:
=0,12 для кранов, работающих на открытом воздухе;
=0,2 для кранов, работающих в помещении при условии невозможности попадания влаги;
=0,25—для кранов, работающих с песочницами.
Для тележек без поворотных стрел и мостов кранов сцепной вес с некоторым приближением можно принять:
![]()
где т'— число приводных ходовых колес; п'— общее число ходовых колес.
Работа в период пуска без проскальзывания (пробуксовывания) приводных ходовых колес обеспечивается при соблюдении неравенства

откуда коэффициент запаса сцепления
![]()
Сила внешнего статического сопротивления![]()
определяется для передвижения крана или тележки без груза (Q=0). В ответственных случаях запас сцепления следует рассчитывать по фактической нагрузке на приводные колеса с учетом наименее выгодного расположения тележки. Для этого можно использовать приведенную выше методику определения давления на ходовые колеса. При раздельном приводе запас сцепления проверяют для приводных колес каждой стороны отдельно.
Сила внешнего статического сопротивления меньше силы полного статического сопротивления передвижению без нагрузки кранов и тележек
на величину сопротивления от трения в опорах приводных колес
, которое в данном случае рассматривается в качестве внутреннего сопротивления, не оказывающего влияния на сцепление приводных колес с рельсами. Таким образом,
![]()
где
![]()
f — коэффициент трения в опоре;d — диаметр цапфы вала;D — диаметр поверхности катания ходового колеса.
Сопротивление от силы инерции поступательно движущихся масс крана или тележки при работе без груза
![]()
При подстановке соответствующих выражений в формулу
для k
получаем расчетную зависимость
![]()
где j
— возможное ускорение, определяемое в общем случае действительной характеристикой установленного электродвигателя.
Для определения времени пуска электродвигателя механизма передвижения можно воспользоваться рекомендуемой формулой [16]:
|
где
=п
—номинальная скорость вращения вала электродвигателя, об/мин; М
—
номинальный момент электродвигателя,
кГм;
t
—
относительное время пуска для нормальных крановых
систем управления.
Между номинальным моментом (в кГм),
номинальной мощностьюN
(в квт}
и номинальным числом оборотов n
вала электродвигателя имеется зависимость в виде
![]()
Относительное время пуска, являясь безразмерной величеной, определяется методом графического интегрирования пусковых графиков или с помощью кривыхt п.o =f(a) , вычисленных для различных электродвигателей (рис. 22). Параметр a характеризует относительную загрузку электродвигателя в период пуска:
![]()
где М
—
момент статического сопротивления механизма передвижения, приведенный к валу электродвигателя.
Для установленного на механизме передвижения электродвигателя по каталогу определяется максимальный пусковой момент М
, вычисляется номинальный момент М
, коэффициент загрузки a и по графикам (рис. 22) определяется относительное время пускаt
. Затем по формуле (15) определяется фактическое время пуска t
и по зависимости
—среднее ускорение при пуске. Это ускорение не должно превышать рекомендуемых значений, приведенных в табл. [3]
При приближенных расчетах время пуска можно определить по формуле
![]()
При проверке запаса сцепления необходимо тем же способом найти максимальное ускорение, которое возникает в процессе пуска механизма передвижения крана, работающего без груза (Q=0). В этом случае момент статического сопротивления определяется по уравнению (12), в которое вместоW с следует подставить статическое сопротивление механизма передвижения при работе без грузаW c.o .
[3] Ускорения при пуске механизмовпередвижения (ориентировочные данные)
| Механизмы и их характеристики | Ускорение j
|
Механизмы кранов, трапспортирующие жидкий металл ............... Механизмы передвижения кранов и тележек, имеющих сцепной вес, равный 25% от полного веса .............. Механизмы передвижения кранов и тележек, имеющих сцепной вес, равный 50% от полного веса ................. Механизмы передвижения кранов, Имеющих сцепной вес, равный 100% от полного веса ................. |
0,1 0,2-0,4 0,4-0,7 0,8-1,4 |
§ 5. Торможение механизмов передвижения
Процесс торможения механизма передвижения состоит в преодолении сил инерции его поступательно движущихся и вращающихся элементов за счет момента, развиваемого тормозом, и момента от всех внутренних и внешних сопротивлений. Остановка механизмов передвижения без тормозов только под действием внешних и внутренних сопротивлений применяется крайне редко и в основном при использовании ручного привода или для тихоходных кранов. Необходимость установки тормозов на механизмах передвижения кранов и тележек со скоростями движения более 32 м/мин указана в Правилах Госгортехнадзора.
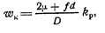
При остановке механизма передвижения тормозное устройство преодолевает инерцию поступательно движущихся масс крана и тележки, а также вращающихся масс привода. Процессу торможения способствуют все внешние и внутренние сопротивления движению, возникающие при работе механизма и уменьшающие требуемый тормозной момент, величина которого назначается при условии исключения возможности буксования приводных ходовых колес на рельсах.
|
![]()
или
![]()
где (GD2
)т—приведенный к валу электродвигателя маховой момент всего механизма передвижения при торможении; M
c.min
— момент от минимально возможного статического сопротивления, приведенный к валу электродвигателя, вращающегося со скоростью
;
l
— время торможения.
Приведенный маховой момент при торможении, когда груз расположен в крайнем верхнем положении, равен:
|
При определении момента сопротивления необходимо исходить из наиболее неблагоприятного случая работы, когда торможение происходит при движении по ветру и под уклон. Тогда,
|
где Wc.min—минимально возможное статическое сопротивление, приведенное к наружному диаметруD
ходовых колес; i,
—
передаточное число и к.п. д. привода механизма.
Минимально возможное статическое сопротивлениеW
c.min
следует определять для механизмов кранов с приводными колесами по формулам (6), (7) и (9), для тележек с канатной тягой — по формуле (8), для однорельсовых тележек только на горизонтальном пути — по формуле (10). В этих формулах необходимо принять k
=0 и
=l,0 и изменить знак на обратный для ветровой нагрузки
и составляющей (сопротивления) от уклона пути
.
В этом случае Wc.min может иметь отрицательную величину, что необходимо учитывать при определении тормозного момента по формуле (16) и в приведенных ниже неравенствах.
Способ учета сопротивлений в приводе зависит от соотношения между внешними силами и силами инерции поступательно движущихся масс
, действующими на приводных ходовых колесах механизма. Если при торможении, соответственно для двухрельсовых кранов и тележек, для кранов с горизонтальными направляющими колесами, однорельсовых консольных и велосипедных кранов
¾Wc.min<0, то на механизм со стороны колес действуют силы внешнего сопротивления, которые преодолеваются за счет сил инерции вращающихся на валу электродвигателя масс. Поток энергии в этом случае имеет такое же направление, как и при двигательном режиме, т.е. к ходовым колесам.
Следовательно, потери в передачах привода, способствующие, так же как и внешние силы сопротивления, торможению и уменьшающие величину тормозного момента, учитываются величиной
,
включенной в формулы (17) и (18) в знаменатель. Если же указанное неравенство имеет обратный знак, то на приводных ходовых колесах действует активная сила. Эта сила способствует движению механизма и требует увеличения тормозного момента. Поток энергии, направленный для этого соотношения сил уже от ходовых колес к валу электродвигателя, частично расходуется на пропорциональные ему сопротивления в передачах привода. Поэтому внутренние потери энергии учитываются величиной
помещенной в числитель, как в формулах (17) и (18).
Время торможенияt
находят по рекомендуемым максимально допустимым значениям величины замедления и соответствующим им допускаемым минимальным значениям пути торможения (табл. [4]).
[4] Рекомендуемые величины замедления и соответствующие им допускаемые минимальные пути торможения
| Отношение суммарного давления тормозных ходовых колес G к общему весу тележки или крана G 0 | Коэффициент сцепления ходовых колес с рельсами | |||
| 0,12 | 0,20 | |||
| Замедление, м/сек2 | Тормозной путь, м | Замедление, м/сек
|
Тормозной путь, м | |
| 0,90 | 1,5 | |||
| 0,45 | 0,75 | |||
| 0,25 | 0,40 | |||
Здесь u — скорость передвижения, м/мин.
Для принятого с достаточной для практических расчетов точностью равномерно замедленного движения при торможении
или![]()
где u — рабочая скорость движения крана или тележки; s т— путь торможения крана или тележки; jт— величина замедления крана или тележки при торможении.
Зная время торможения, по формуле (16) можно найти числовую величину максимального тормозного момента.
При остановке механизмов кранов без груза под действием рассчитанного по формуле (16) тормозного момента время торможения сокращается, величина замедления приобретает максимальные значения
и возникает опасность буксования приводных (тормозных) ходовых колес на рельсах. В этом случае по наибольшей величине замедления производится проверка запаса сцепления. Основой этой проверки служит выражение

Сила Fc.o' выбирается из наихудших для этого случая торможения механизма условий. Ее принимают равной минимально возможному статическому сопротивлениюF c.o ' = W c. тiп при работе крана без груза, т.е. для Q=0. Так как величина максимального замедления
![]()
и минимальное время торможения
![]()
Если запас сцепления меньше допустимого, то значение тормозного момента уменьшается. Следует напомнить, что при проверке запаса сцепления все величины, за исключением М т, входящие в выражение k т.сц и k т.min, определяют при Q=0. Для кранов монтажных, металлургических разливочных и заливочных, а также, имеющих пролет более 20 м, величины замедлений следует уменьшить на 1/3. Проверки на запас сцепления в этом случае не требуется.
§ 6. Буферные устройства
Буферные устройства предназначены для смягчения ударов и толчков при наезде тележек и мостов кранов на неподвижные концевые упоры или друг на друга. Необходимость установки упругих буферных устройств указана Правилами Госгортехнадзора. Применение буферных устройств позволяет повышать безопасность эксплуатации кранов при возможных неисправностях в работе конечных выключателей и тормозов. Буферное устройство имеет упругий элемент, который поглощает кинетическую энергию поступательно движущихся масс тележки или моста в момент столкновения, исключая возникновение повышенных нагрузок в деталях и элементах крановых конструкций.
По способу и месту установки различают подвижные, неподвижные и комбинированные буферные устройства (буфера). Подвижные буфера устанавливаются на тележках и мостах и перемещаются вместе с ними, а неподвижные — в конце рельсовогопути. Подвижные буфера прикрепляются на мостах к концевым балкам или балансирам, а на тележках — к раме по её бокам. Комбинированные буфера представляют собой, совокупность подвижных и неподвижных буферов.
По виду упругого элемента буфера делятся на деревянные, резиновые, пружинные, пружинно-фрикционные и гидравлические. По конструктивному признаку буфера бывают одностороннего и двустороннего действия. Буфера одностороннего действия ставятся на концах рельсового пути или на мостах кранов в рамах тележек. Буфера двустороннего действия применяются только для крановых тележек. Буфер двустороннего действия работает в обе стороны и заменяет два буфера одностороннего действия.
Деревянные буфера, состоящие из дубовых, буковых или кленовых брусков, можно использовать только при малых скоростях и грузоподъемностях на кранах с ручным приводом. На рис. 23 показан резиновый буфер завода ПТО им. Кирова. Буфер изготовлен из монолитной резины, имеющей предел прочности при разрыве sв³45 кГ/см2 , относительное удлинение d= 200% и термостойкость от —30° до +50° С. Энергоемкость буфера БР100 равна 63 кГм, а буфера БР225 она составляет 645 кГм.
Резиновые буфера отличаются простотой конструкции и компактностью, они удобны для практического использования. Эти буфера имеют малую отдачу, так как значительная часть кинетической энергии движущихся масс (до 30—50%) при сжатии бруска поглощается за счет его внутреннего трения. В некоторых случаях для повышения энергоемкости и снижения отдачи упругих элементов резиновый буфер может быть набран из отдельных пластин.
Широкое применение на кранах получили пружинные буфера различных конструкций (рис. 24). При работе пружинных буферов почти вся кинетическая энергия движения переходит впотенциальную энергию упругости пружины, которая возвращается в виде резкой отдачи, вредно отражающейся на элементах конструкции крана. Пружинные буфера имеют сравнительно небольшую энергоемкость и значительную длину. Буфера, рассчитанные на большие нагрузки, собирают из нескольких параллельно работающих пружин, отчего конструкция буфера становится громоздкой я тяжелой.
Практически без отдачи работают гидравлические буфера, Эти буфера компактны, обладают большой энергоемкостью. Однако применение их ограничено из-за сложности конструкции и необходимости в постоянном наблюдении. В гидравлических буферах кинетическая энергия расходуется на работу, связанную
с продавливанием жидкости через кольцевое отверстие на дне поршня; эта энергия почти полностью переходит в теплоту. При нормальной температуре буфера заливаются веретенным маслом, а при низкой температуре — смесью спирта с глицерином.
Особенно удобны гидравлические буфера, позволяющие регулировать величину сопротивления передвижению поршня. К числу таких буферов относится гидравлический буфер с переменным кольцевым зазором (рис. 25). Перемещение пустотелого поршня 1 этого буфера сопровождается передавливанием жидкости через кольцевой зазор в свободную часть корпуса из его внутренней полости, где находится возвратная пружина 2 и неподвижно закрепленный шток 3. Площадь кольцевого зазора во время осадки постоянно изменяется, так как шток имеет переменное сечение, благодаря чему оказывается возможным осуществить равномерно-замедленное движение поршня с постоянным максимальным сопротивлением. Наконечник 4 поршня соединен с самим поршнем через ускорительную пружину 5, способствующую плавному разгону поршня до скорости движения крана или тележки в момент удара о буфер. Использование, гидравлических буферов особенно эффективно для мощных быстроходных кранов.
Похожие рефераты:
Расчет механизмов – козлового консольного крана грузоподъемностью 8 тонн
Одноковшовые экскаваторы. Башенные краны. Погрузочно-разгрузочные машины
Электрооборудование мостового крана
Проект автотранспортного парка для техобслуживания автомобилей
Основные технологические процессы на разрезе "Томусинский"
Мостовые краны и их разновидности
Место и роль промышленного транспорта в транспортной системе
Отчет по практике по курсу Строительные машины
Электропривод механизма передвижения
Разработка системы управления механизма передвижения тележки