| Скачать .docx |
Реферат: Ремонт и техническое обслуживание автосамосвалов 2
Содержание
1 Ремонт и техническое обслуживание автосамосвалов.
2 Тормозной путь ж/д транспорта.
3 Силы сопротивления движению автомобилей.
4 Тепловозы и их конструктивное исполнение. Отличие тепловозов ТЭМ-7 от ТЭМ-2м.
5 Комбинированный транспорт. Комбинация автомобильного транспорта с конвейерным.
6 Время рейса автосамосвала при погрузке и вывозке вскрыши. Определение количества автосамосвалов.
7 Устройство электровозов и тяговых агрегатов.
Список использованной литературы
1 Ремонт и техническое обслуживание автосамосвалов
Содержание автопарка в исправности достигается системой плановых осмотров и ремонтов. В зависимости от величины пробега машин производят профилактическое обслуживание (ежесменное обслуживание ЕО, первое техническое обслуживание ТО-1, второе техническое обслуживание ТО-2) и капитальный ремонт.
Периодичность технического обслуживания разных видов корректируется в зависимости от горнотехнических и климатических условий эксплуатации.
Ежесменное обслуживание проводят перед началом работы. При этом предусматриваются контроль технического состояния механизмов, обеспечивающих безопасность движения; заправка топливом, маслами, охлаждающей жидкостью; контроль за давлением воздуха в шинах.
В перечень работ по ТО-1, кроме работ по ЕО, входят крепежные и смазочные работы; замена и промывка фильтров; контроль и регулировка рулевого управления, тормозов; осмотр и очистка коллекторов электрических машин и т. д.
В перечень работ по ТО-2, кроме работ по ТО-1 и ЕО, входят замена фильтрующих элементов; регулировка топливной аппаратуры; контроль состояния генератора, тяговых электродвигателей, электроаппаратуры и т. д.
Кроме того, перед наступлением весеннего и осенне-зимнего периодов производится сезонное обслуживание (СО) автомобилей для подготовки их к эксплуатации в более тяжелых сезонных условиях.
Наряду с техническими обслуживаниями производятся ремонты автосамосвалов. Различают текущий (ТР) и капитальный (КР) ремонты.
При текущем ремонте выполняются восстановительные работы по отдельным узлам, агрегатам, деталям. Необходимость в текущих ремонтах возникает ввиду непредвиденных (аварийных) выходов автосамосвалов из строя. Частота такого события определяется показателями надежности автосамосвалов.
Отказы в работе автосамосвалов обусловлены главным образом неисправностями: дизельного двигателя, гидромеханической передачи, тяговых электродвигателей, тормозной системы, подвески, заднего моста.
Капитальный ремонт автосамосвала проводится после пробега им 120—150 тыс. км. При этом производятся восстановление его технического состояния, сборка и обкатка. Выполняется капитальный ремонт на ремонтных заводах, в отдельных случаях в ремонтных мастерских крупных предприятий.
Для сокращения времени простоя машин в ремонте используется агрегатный метод, при котором неисправны узлы и агрегаты заменяются исправными из оборотного фонда.
Производственная база автомобильного хозяйства на карьерах включает комплекс зданий и сооружений для технического обслуживания и ремонта автосамосвалов, сооружения для хранения автотранспортных средств и оборудования для заправки горюче-смазочными материалами, пункт мойки автосамосвалов, административно-бытовые здания, складские помещения.
При нескольких предприятиях в составе одного комбината (объединения) используют централизованные автохозяйства, объединяющие несколько автотранспортных цехов. В этом случае создается центральный ремонтно-техническии и административный комплекс. Наряду с этим производственная база каждого автотранспортного цеха имеет сооружения и оборудование для хранения автосамосвалов и их заправки, посты для выполнения текущего ремонта.
Хранение автомобилей предусматривается гаражное или на открытых стоянках и определяется в первую очередь климатическими условиями. В зимнее время использование открытых стоянок затрудняет запуск двигателей, так что требуется система их разогрева. Принято считать, что при работе в суровых зимних условиях должно применяться гаражное хранение не менее чем 40—-50 % автопарка. Однако рост размеров карьерных автомобилей с увеличением их грузоподъемности затрудняет выполнение таких требований.
Размещение пунктов заправки автомобилей топливом и смазочными материалами зависит от конкретной обстановки. Их располагают на борту карьера или в отдельных автотранспортных цехах. Число мест заправки на каждом пункте устанавливается таким, чтобы время заправки не превышало 20—40 мин.
Здания и сооружения для проведения технического обслуживания и ремонта включают главный производственный корпус, шиномонтажный участок, участок сварочных работ.
Местоположением главного производственного корпуса обусловливается направление движения потока автомобилей при их техническом обслуживании и ремонте, В главном производственном корпусе предусматриваются зоны ТО-1, ТО-2 и текущих ремонтов, а также ремонтные участки узлов и агрегатов. К последним относятся участки двигателя, топливной аппаратуры, трансмиссии, электрооборудования, подвески, рулевого управления.
2 Тормозной путь ж/д транспорта
Искусственно создаваемые силы, приложенные к поезду и направленные против его движения, называются тормозными. Они управляются машинистом локомотива.
На Российских железных дорогах существует два основных способа торможения подвижного состава. Первый из них — это фрикционное автоматическое торможение с использованием силы трения, возникающей при воздействии тормозных колодок на поверхности катания колес или на тормозные диски. При втором способе применяется электрическое торможение (реостатное или рекуперативное).
При колодочном тормозе тормозная сила зависит от коэффициента трения между колодками и поверхностями катания колес, от силы нажатия колодок и от числа тормозных осей в поезде.

Возникающая при торможении сила трения Вк равна Kφk и создает тормозной момент МТ = KφkR, где φк — коэффициент трения между колесом и колодкой, К— сила нажатия колодки, тс, R — радиус колеса.
Под воздействием момента М в точке О возникает сила В, стремящаяся сдвинуть рельс.
Тормозной момент Мт при вращении колеса уравновешивается моментом Вг • R, где Вт — сила реакции, возникающая в точке О касания колеса с рельсом. Точка О нагружена силой Q, то есть частью веса экипажа, приходящейся на колесо с учетом веса самого колеса. Из равенства моментов сил Вк и Вт следует, что сила Вт является тормозной силой экипажа, приложенной в точке О, которая является непрерывно перемещающимся упором для силы Вк при вращении колеса.
Расчетная тормозная сила всего поезда определяется как сумма тормозных сил, создаваемых всеми тормозными колодками.
Вт = φкр∑Kр, где φкр — расчетный коэффициент трения, а ∑Кр — суммарная расчетная сила нажатия колодок поезда. Для каждого типа подвижного состава значения Кp приведены в ПТР. Коэффициент φкр определяется по формулам в зависимости от типа колодок и скорости движения. Так для чугунных тормозных колодок расчетный коэффициент трения определяется по формуле
![]()
где v — скорость поезда в км/ч.
Время торможения отсчитывается от момента поворота ручки крана машиниста в тормозное положение до полной остановки поезда. Путь, который проходит поезд за это время, называется тормозным путем ST. Он определяется как сумма двух составляющих — пути подготовки тормозов к действию 5 и действительного тормозного пути S :
![]()
Путь подготовки — это расстояние, проходимое поездом с момента поворота ручки крана машиниста до момента достижения расчетной силы нажатия:
Sп = vн + tп
где vн — начальная скорость поезда;
tп — время подготовки тормозов к действию, которое принимается в зависимости от типа тормозов и длины состава, tп = 2 - 10 с.
Многие задачи, связанные с движением поезда, решаются с помощью уравнения движения поезда. Оно выражает зависимость ускорения поезда от действующих на него сил. Рассматривая движение тормозящегося поезда, как движение материальной точки, имеющей массу поезда, можно уравнение движения поезда получить из второго закона Ньютона (сила равна произведению массы на ускорение):
![]()
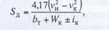
После ряда преобразований получается следующая формула для определения величины действительного тормозного пути:
![]()
где bт — удельная тормозная сила.
3 Силы сопротивления движению автомобилей
Сила суммарного сопротивления движению автомобиля
W = Wo + Wi + Wв+ Wj + Wк
где Wо — основное сопротивление движению на прямом горизонтальном участке, вызываемое трением в подшипниках и деформацией шин и дорожного полотна в процессе качения колес, Н:
Wо = ωоP
(ωо— коэффициент сопротивления качению, Н/кН, табл. 1);
Wi— сопротивление от уклона (Н), определяемое по формуле
Wi = ωiP
(ωi— удельное сопротивление от уклона, численно равное числу тысячных уклона, Н/кН);
Значение основного сопротивления движению ωо
Таблица 1
| Дороги | Покрытие | ωо,. Н/кН |
| Главные откаточные | Бетонное, асфальтобетонное, гудронированное шоссе, брусчатка Гравийное Щебеночное |
15—20 25—30 25—40 |
| Забойные дорожные проезды | На скальных породах На рыхлых породах |
40—60 60—100 |
| Отвальные дорожные проезды | На скальных породах На рыхлых породах |
90—150 120—200 |
| Приведенные значения ωо относятся к груженым самосвалам, для порожних машин эти значения увеличиваются на 20—25 %. | ||
Wв — сила сопротивления воздушной среды, Н (учитывается в расчетах при скорости движения более 15 км/ч), находится из выражения
Wв = λnFv2
(λn — коэффициент, учитывающий обтекаемость автомобиля, для карьерных автосамосвалов
λn = 5,5÷7,0; F— лобовая поверхность автомобиля: для БелАЗ-540 — 10,2 м2, БелАЗ-548 — 11,6 м2, БелАЗ-549 — 17,2 м2, приближенно определяется как произведение колеи автомобиля на его высоту; v — скорость движения, км/ч);
Wj— сила сопротивления, вызываемого инерцией вращающихся масс .автомобиля, находится по формуле
Wj = P/g * (1+ γ)* dv/ dt
(γ зависит от типа трансмиссии. Для автомобилей с гидромеханической передачей в режиме движения с грузом γ = 0,03÷0,01, в порожняковом γ = 0,085÷0,07. Для самосвалов БелАЗ-549 с электромеханической трансмиссией γ = 0,1÷0,15);
Wк— сопротивление на кривой, Н, определяется по формуле
Wк = 0,03 * 200 – R/ 200 *R
где R — радиус кривой, м.
При достаточно больших радиусах поворота
Wк =( 0,05 / 0,08) *Wi
4 Тепловозы и их конструктивное исполнение. Отличие тепловозов ТЭМ-7 от ТЭМ-2м.
Локомотив, на котором установлен дизель для получения тяговых сил, называется тепловозом (рис. 1.1). Независимость от стационарного источника энергии качественно отличает тепловозы своей автономностью от электровозов. Дизель преобразует тепловую энергию от сгорания топлива в механическую энергию вращения коленчатого вала. Однако дизель плохо приспособлен к переменным режимам работы. Чтобы обеспечить возможность его работы при постоянной частоте вращения коленчатого вала с движущимися колесными парами тепловоза, частота вращения которых при движении должна изменяться от нуля до максимума, применяют специальное устройство, называемое передачей. Передача адаптирует дизель к условиям работы тепловоза:
¾ отключает на период пуска дизеля привод колесных пар;
¾ обеспечивает плавное включение нагрузки при трогании тепловоза с места и отключение нагрузки от дизеля после разгона тепловоза при движении его на выбеге;
¾ изменяет направление движения тепловоза (осуществляет реверсирование) при неизменном направлении вращения вала дизеля;
¾ автоматически поддерживает такой режим нагрузки, который способен реализовать дизель в конкретных условиях эксплуатации.
На тепловозе применяют электрическую или гидравлическую передачу.
При электрической передаче (рис. 1.2, а) механическая энергия вращения коленчатого вала дизеля передается тяговому генератору, который преобразует ее в электрическую. Электрическая энергия тягового генератора поступает в тяговые электрические двигатели (ТЭД), которые преобразуют ее в энергию вращения колесных пар.
На тепловозах с гидравлической передачей (рис. 1.2, б) энергия дизеля затрачивается на привод гидравлического центробежного насоса, сообщающего энергию жидкости, которая циркулирует по замкнутому контуру. Поступающая на лопатки гидравлической

Рис. 1.1. Тепловоз 2ТЭ116 (одна секция — продольный разрез и план):
1 — кабина машиниста; 2 — кузов над высоковольтной камерой; 3 — выпрямительная установка; 4 — вентилятор выпрямительной установки; 5 — антенна; 6, 9 — воздушные фильтры; 7— дизель; 8 — кузов над дизелем; 10— вентилятор холодильника; 11 — шахта холодильника; 12 — опора кузова; 13 — шкворень; 14 — топливный бак; 15 — аккумуляторная батарея; 16 — букса; 17 — тележка; 18 — пульт управления; 19— высоковольтная камера; 20— вентилятор генератора; 21 — водомасляный теплообменник; 22— компрессор; 23 — секции радиатора; 24, 27 — вентиляторы тяговых электродвигателей; 25 — воздухоочиститель дизеля; 26 — тяговый генератор

Рис. 1.2. Схема передачи энергии от дизеля к колесным парам:
а — электрической: 1 — дизель; 2 — тяговый генератор; 3 — тяговый электродвигатель; 4 — колесно-моторный блок; б — гидравлической: / — дизель; 2 — насосное колесо; 3 — турбинное колесо гидротрансформатора; 4 — колесно-редукторный блок турбины жидкость вращает ее, а вместе с ней через карданные валы и осевые редукторы — колесные пары тепловоза.
Отличие тепловозов ТЭМ-7 от ТЭМ-2м.
Тепловоз ТЭМ-7
В соответствии с техническим заданием Министерства путей сообщения, Министерства тяжелого, энергетического и транспортного машиностроения и Министерства электротехнической промышленности на Людиновском тепловозостроительном заводе под руководством главного конструктора завода В.Н. Логунова в 1973 г. были впервые в Советском Союзе разработаны технический проект и рабочие чертежи маневрово-вывозного восьмиосного однокузовного тепловоза с дизелем мощностью 2000 л. с. Этот тепловоз предназначен для вывозной работы и маневровой работы на станциях, в том числе на сортировочных горках, с составами, вес которых требует локомотивов с тяговым усилием на 40-50% выше, чем у шестиосных маневровых тепловозов, например, ТЭМ1 и ТЭМ2. По этому проекту в 1975 г. завод изготовил первые два тепловоза, получившие обозначение ТЭМ7.
Кузов тепловоза капотного типа состоит из главной рамы, помещений для аккумуляторной батареи, высоковольтной камеры и холодильника, приваренных к раме, а также кабины машиниста и съемных частей кузова машинного отделения. Силовая установка 2-26ДГ (дизель и тяговый генератор) и все основное оборудование смонтированы на главной раме. На концах рамы установлены автосцепки типа УВЗ или СА-З.
Экипажная часть тепловоза состоит из четырех одинаковых бесчелюстных тележек с поводковыми роликовыми буксами. Рамы тележек опираются на буксы через цилиндрические пружины. На каждые две соседние тележки с помощью маятниковых подвесок опирается промежуточная сварная рама, имеющая шкворневую балку. Кузов тепловоза № 0001 опирается на промежуточные рамы через боковые пневматические рессоры, а на тепловозе № 0002 - через винтовые пружины. Тяговое усилие от двухосных тележек на промежуточную раму передается через наклонные тяги и рычажные механизмы, а от промежуточных рам к кузову - через шкворни. Принятая схема подвешивания кузова рассчитана на прохождение тепловозом неровностей пути и вписывание в кривые радиусом 80 м. Статический прогиб рессорного подвешивания тепловоза № 0001 176 мм, из них 56 мм приходятся на первую ступень (пружины тележек).
Бандажные колеса имеют диаметр 1050 мм. Редуктор тяговой передачи односторонний с упругими зубчатыми колесами; передаточное число редуктора 75:17=4,41. К каждому колесу прижимаются две тормозные колодки (по одной с каждой стороны). На тележках установлено по два тормозных цилиндра диаметром 10". Тепловоз оборудован краном машиниста №394, двумя кранами вспомогательного тормоза №254 (со стороны машиниста и со стороны помощника, где имеется переносной пульт для управления тепловозом), воздухораспределителем №270-005-1 и автоматической локомотивной сигнализацией АЛСНВ-ЭП. На тепловозе установлен четырехтактный V-образный двенадцатицилиндровый дизель 2-2Д49 (12ЧН26/26), имеющий газотурбинный наддув и охлаждение наддувочного воздуха; диаметр цилиндров дизеля и ход поршня 260 мм. Номинальная мощность дизеля при частоте вращения вала 1000 об/мин 2000 e.n.; расход топлива при номинальной мощности 153-160 г/(э.л.с.ч). Масса дизеля 14200 кг. Регулирование мощности дизеля осуществляет объединенный регулятор, позволяющий использовать всю свободную мощность дизеля до конструктивной скорости тепловоза.
Система охлаждения дизеля двухконтурная. В первом контуре, включающем 12 водовоздушных секций холодильника, охлаждается вода дизеля; во втором, имеющем 18 секций - вода, охлаждающая масло дизеля в теплообменнике, и наддувочный воздух в воздухоохладителе.
На тепловозе ТЭМ7 применена (впервые на маневровых тепловозах) электрическая передача переменно-постоянного тока. Тяговый генератор ГС-515, спроектированный и изготовленный Харьковским заводом «Электротяжмаш», представляет собой синхронную двенадцатиполюсную машину с принудительной вентиляцией. Его номинальная мощность 1310 кВт; напряжение 273/153 В, ток 2х1520/2х2700 А; частота вращения ротора 1000 об/мин; коэффициент полезного действия 94,5%. По габаритам этот генератор не отличается от генераторов ГС-501А тепловозов ТЭ109 и ТЭ116, но на 500 кг легче последних. Обмотка статора генератора выполнена по схеме двух звезд. Вал генератора соединен с валом дизеля пластинчатой муфтой. Питание обмотки возбуждения ротора генератора осуществляется через выпрямитель от синхронного возбудителя ВС-650В. Выпрямительная установка УВКТ-8У2, изготовленная Таллvиннским электротехническим заводом, собрана из 168 вентилей ВЛ-200-6Б.
Тяговые электродвигатели ЭД-120, изготовленные Харьковским заводом «Электротяжмаш», четырехполюсные, имеют опорно-осевую подвеску, последовательное возбуждение и принудительную вентиляцию. Их номинальная мощность 135 кВт (напряжение 205/360 В, ток 800/456 А, частота вращения якоря 246/1890 об/мин), максимальная частота вращения 2320 об/мин. Масса электродвигателя 3000 кг. Цепи управления и освещения питаются постоянным током напряжением 110 В. Цепи управления рассчитаны на работу тепловозов по системе многих единиц. Контроллер машиниста имеет реверсивную рукоятку с положениями «вперед», «нуль», «назад» и главную с нулевой и восемью (1-8) рабочими позициями. Двухступенчатый шестицилиндровый компрессор ПК-5,25 производительностью при частоте вращения вала 1000 об/мин 3,5 м3/мин приводится электродвигателем постоянного тока ЭКТ-3 мощностью 21 кВт.
Для пуска дизеля, зарядки аккумуляторной батареи, питания цепей постоянного тока, в том числе электродвигателя ЭКТ-3, служит стартер-генератор СТГ-7М. На тепловозе установлена кислотная аккумуляторная батарея 48ТН-450 (напряжение 96 В), которая может быть заменена щелочной батареей 68ТПЖНК-250.
Сила тяги длительного режима при скорости 10,3 км/ч 343 кН (35 000 кгс). Конструкционная скорость тепловоза 100 км/ч. Служебная масса тепловоза с 2/3 запаса песка и топлива 180 т, т.е. нагрузка от колесной пары на рельсы составляет 22,5 тс. На тепловозе уложен балласт в виде чугунных плит общей массой 25 т, из которых 12 т съемные; следовательно, возможно снижение нагрузки от колесной пары на рельсы до 21 тс с соответствующими изменениями номинальных значений силы тяги длительного режима [до 314 кН (32000 кгс)] и скорости (до 11,6 км/ч). Запас топлива на тепловозе 6000 кг, песка 2300 кг, воды 950 кг и масла 800 кг.
Тепловозы ТЭМ7, начиная с №0003, выпускались только с винтовыми пружинами между рамой кузова и промежуточными рамами. Параллельно этим пружинам были поставлены гидравлические гасители колебаний. При внесенных в конструкцию тепловоза изменениях общий прогиб рессорного подвешивания составил 172 мм, из которых на первую ступень пришлось 46 мм.
На тепловозах ТЭМ7, начиная с №0003, установлен тяговый генератор ГС-515У2, имеющий активную мощность 1400 кВт (напряжение 280/175 В, линейный ток 2х1570/2х2500 А) и частоту тока 100 Гц при частоте вращения вала 1000 об/мин; поставлен стартер-генератор 2ПСГ-02; из первого контура системы охлаждения дизеля исключена одна секция радиатора (осталось 11 секций) и добавлена во второй контур (стало 19 секций); начали устанавливать тяговые электродвигатели ЭД-120А, отличающиеся от электродвигателей ЭД-120 только изоляцией отдельных узлов; изменилось количество воды (850 кг) и масла (970 кг) в системе охлаждения дизеля.
Тепловоз ТЭМ-2м.
Первый опытный тепловоз ТЭМ2М-001, на котором в отличие от тепловоза ТЭМ2 вместо дизеля ПД-1М был установлен дизель 2-6Д49 (8ЧН26/26) Коломенского тепловозостроительного завода, был выпущен 1974 г.
Начиная с 1984 г. Брянский машиностроительный завод стал в небольшом количестве выпускать тегмовоэы ТЭМ2М с целью накоплений эксплуатационного опыта. Тележки и внешнее очертание кузова тепловоза ТЭМ2М не отличаются от тепловозов ТЭМ2; в то же время в конструкцию локомотива внесены изменения, обусловленные, применением другого дизеля.
Дизель 2-6Д49 вместе с тяговым генератором ГП-300Б образуют агрегат 17ПДГ-2. Дизель восьмицилиндровый с V-образным расположением цилиндров; диаметр цилиндров и ход поршней 260 мм. При частоте вращения вала 800 об/мин дизель развивает номинальную мощность 1200 л. с. Минимальная частота вращения вала 350 об/мин. Расход топлива при номинальной мощности 152-160 г/(э.л.c.ч). Масса сухого дизеля 9600 кг.
Система охлаждения дизеля двухконтурная; в первом контуре охлаждается вода дизеля и охладителя наддувочного воздуха; масло дизеля охлаждается в водомасляном теплообменнике, включенном во второй контур. Масса тепловоза 120 т. Сила тяги длительного режима при скорости 12 км/ч равна 198 кН (20200 кгс). Конструкционная ско- рость по экипажной части 100 км/ч; запас песка 2000 кг, топлива 5400 кг, воды 600 л, масла дизеля 400 кг.
5 Комбинированный транспорт. Комбинация автомобильного транспорта с конвейерным.
Схемы комбинированного транспорта состоят обычно из трех звеньев: транспорт в пределах карьера, подъем на поверхность и транспорт на поверхности до пунктов разгрузки. Возможны схемы применения различных видов транспорта на каждом из звеньев. Вместе с тем получают применение схемы, где один вид транспорта используется в пределах карьера, а другой — для транспортирования горной массы на подъем и на поверхности.
Преимуществом схем комбинированного транспорта является возможность использования различных видов транспорта только на- тех участках, где они наиболее эффективны, а их недостатком— необходимость эксплуатации различных транспортных средств, а также неизбежность и пунктов перегрузки, усложняющих технологический процесс и организацию работ.
Основное распространение получили следующие виды комбинированного транспорта: автомобильного с железнодорожным, автомобильного со скиповым подъемом и автомобильного с конвейерным. Bо всех этих случаях в пределах карьера используется автомобильный транспорт. В качестве средств подъема горной массы применяются конвейерные или скиповые (клетевые) подъемники.
На поверхности для транспортирования к пунктам разгрузки применяются средства железнодорожного, автомобильного или конвейерного транспорта.
Одной из прогрессивных схем комбинированного транспорта является комбинация автотранспорта с конвейерным, когда способность конвейера преодолевать значительные углы наклона сочетается с благоприятными условиями работы автотранспорта на коротких расстояниях перевозки.
Так же как и в комбинации с железнодорожным, транспортом, автотранспорт в этом случае используется для перемещения горной массы в карьере с последующей перегрузкой ее на конвейеры на пункте перегрузки в карьере или на поверхности.
Сравнительно со скиповым подъемом эта схема позволяет избавиться от вторичной перегрузки и транспортировать горную массу конвейерами непосредственно к пунктам разгрузки.
При разработке рыхлых сыпучих пород разгрузка с автотранспорта на конвейер производится через бункер, объем которого, должен быть в 2—3 раза больше объема кузова машины.
При разработке скальных пород современными средствами буровзрывных работ невозможно полностью обеспечить гранулометрический состав дробимых пород, приемлемый для перемещения конвейерами, поэтому возникает необходимость в дополнительном дроблении материала в дробилках.
Целесообразность включения в технологический процесс добычи дробления зависит от многих горнотехнических факторов. Однако следует иметь в виду, что в случае дробления руды в карьере эти расходы компенсируются устранением стадии крупного дробления на фабриках, а при дроблении породы — значительным сокращением стоимости отвалообразования.
В зависимости от горнотехнических условий месторождения возможны две схемы комбинированного транспорта.
1. Средствами автотранспорта горная масса доставляется на борт карьера, где устанавливается одна или несколько (в зависимости от производительности) стационарных дробильных установок. После дробления горная масса транспортируется конвейерами до обогатительной фабрики (руда) или на отвалы (порода). В этих условиях основная часть расходов на транспортирование приходится на автотранспорт, перемещающий горную массу также и на подъем. Поэтому вариант со стационарными дробилками предпочтительнее для неглубоких карьеров.
2. Автотранспортом производится доставка горной массы от забоя до дробильной установки в карьере. После дробления материал конвейерами поднимается на борт карьера и затем транспортируется по поверхности к пунктам разгрузки. При этом целесообразно транспорт на поверхности осуществлять без перегрузок на другой вид транспорта. Это особенно имеет значение при транспортировании вскрышных пород, когда конвейерная доставка и непрерывное отвалообразование значительно упрощают технологию производства.
Для создания наиболее благоприятных условий работы автотранспорта целесообразно в этом случае выполнять дробильные установки полустационарными с периодическим перенесением их по мере углубления карьера. При этом создаются благоприятные условия работы автотранспорта ввиду сокращения длины откатки и отсутствия затяжных подъемов на борту карьера.
Поскольку частый перенос дробильных установок значительно усложняет организацию работ и удорожает их, целесообразно применение концентрационных горизонтов. Разгрузка из средств автотранспорта производится только на одном горизонте, обслуживающем группу уступов, расположенных выше и ниже его. Перенос дробильной, установки при этом производится редко, поскольку осуществляется по мере отработки целой группы уступов. Для обеспечения непрерывности работы карьера необходимо предусматривать резервные дробильные установки.
Схема с полустационарными дробильными установками предпочтительнее для глубоких карьеров при относительно быстром понижении горных работ.
Разработка месторождений с применением комбинированного транспорта (автотранспорт — конвейерный подъем) за проектирована на ряде отечественных карьеров — Ингулецком, Качканарском, Гайском, Ново-Криворожском, им. 50-летия Октября и др.
Экономические показатели применения комбинированной схемы транспорта при расположении дробильных установок на борту карьера для условий транспортирования руды близки к показателям варианта с автотранспортом. При транспортировании породы добавляются еще расходы на ее дробление (ориентировочно 2,2—3 коп/т).
По расчетным данным, при глубине карьера 60—80 м предпочтительнее становится схема комбинированного транспорта с расположением полустационарных дробильных установок в карьере. Стоимость транспортирования 1 т руды снижается в этом случае на 10—15%, а с увеличением глубины карьера до 150—200 м соответственно на 25—30%. Вместе с тем при значительных грузооборотах и глубинах карьера комбинированный транспорт уступает место полной конвейеризации с дополнительным дроблением пород передвижными дробильными агрегатами непосредственно в экскаваторном забое.
6 Время рейса автосамосвала при погрузке и вывозке вскрыши. Определение количества автосамосвалов.
Время рейса автомобиля
Время рейса (оборота) автомобиля
Tp = tn+ tгр + tnop + tp +tдоп
где tn— время погрузки автомашины, мин;
tгр, tпор— время движения груженой или порожней машины, мин;
tр— время разгрузки машины, мин;
tдоп— время, необходимое на маневры при погрузке и разгрузке, мин.
Время погрузки автомашины tп определяется при прочих равных условиях расчетной величиной плотности транспортируемого груза.
При Yp = Yn л /Kp >qa /va время погрузки определяется грузоподъемностью машины
При Yp = Yn л /Kp <qa /va время погрузки определяется объемом кузова.
В первом случае tn (мин):
tn = qa / Эв = qa *tу / 0,9 Vk *Kn * Kp = (qa * Kp /0,9 Vk *Kн * Yпл ) * ty
Во втором случае tn (мин):
tn = Va/ Эо = (Va/ 0,9 Vk *Kn ) ty
В обоих случаях первый сомножитель выражает число ковшей, погруженных в кузов, и поэтому должен быть целым числом.
Здесь: Эв — техническая производительность экскаватора, т/ч;
Эо — техническая производительность экскаватора (объемная по рыхлой массе), м3/ч;
tц — длительность цикла экскаватора, мин;
Vк — вместимость ковша экскаватора, м3;
Va — объем кузова машины с «шапкой», составляю щей по расчетам 1,15—1,25 геометрического объема кузова;
γp и γпл — плотность транспортируемого груза в рыхлой и плотной массе, т/м3.
Длительность разгрузки машин tp складывается из времени подъема и опускания кузова.
Продолжительность этих операций для самосвала БелАЗ-540 составляет 50 с, время разгрузки большегрузных самосвалов 1,0—1,3 мин. Длительность раз грузки автопоезда-углевоза грузоподъемностью 65 т составляет 35—40 с.
Время маневров неизбежно занимает часть времени рейса. В этом случае время затрачивается на подъезды и установку машин к месту погрузки и разгрузки с необходимым маневрированием. Схемы подъезда к экскаватору и установки машин определяются принятым порядком организации работ, размером рабочих площадок, состоянием дорожных поездов.
Число автомашин.
В инженерной практике и при научных исследованиях работы экскаваторно-автомобильных комплексов на действующих, Проектируемых и перспективных карьерах применяются методы установления рабочего парка автомашин, основанные на использовании различных моделей взаимодействия погрузочных и транспортных средств: детерминированных, аналитико-вероятностных, имитационных.
В инженерной практике широко применяется традиционный детерминированный метод, согласно которому число автомашин определяется из условия обеспечения требуемого грузооборота карьера при непрерывной работе экскаваторов и ритмичной подаче порожняка в забои.
Число автомашин, обслуживающих один экскаватор,
N = Tp / tn = (tn + tдв + tp + tдож ) / tn = 1 + ((tдв + tp + tдож ) / tn )
Или
N = 1 + ((Iгр + tp * BVmnp + tдож * ВVm лп ) / BVmnp * qa )
Число рабочих машин на экскаватор является фактором, определяющим затраты на автотранспорт. Число рабочих автомашин зависит от длины откатки, времени технологических простоев и производительности экскаватора. С повышением скорости и увеличением грузоподъемности машин число машин уменьшается. Повышение грузоподъемности автомашин особенно необходимо при разработке карьеров большой грузоподъемности, поскольку упрощает схемы транспорта и заметно снижает эксплуатационные транспортные расходы.
Зная потребное число автомашин на один экскаватор, можно определить рабочий парк машин, необходимых для перевозки заданного объема горной массы по карьеру
Np = KW/Q см.э .* n
где k — коэффициент неравномерности работы;
W — суточный грузооборот карьера, т;
n— число рабочих смен.
Инвентарный парк автомашин больше рабочего, так как некоторое число автомобилей находится в ремонте:
Nив = Np / σт
где σт — коэффициент технической готовности автопарка.
Общей задачей эксплуатационных расчетов автомобильного транспорта является определение оптимального соотношения между количеством погрузочного и транспортного оборудования, требуемого для выполнения заданного объема работ. Наиболее полно такая задача решается на основе технико-экономического анализа с-учетом вероятностной природы изменения отдельных элементов рейса автомашин и надежности оборудования.
7 Устройство электровозов и тяговых агрегатов.
Электровоз (тяговый агрегат) состоит из механической, электрической и пневматической частей. К механическому оборудованию относятся: кузов с опорами, тележки с колесными парами, ударно-тяговые приборы, рессорное подвешивание, буксы, зубчатые передачи и подвеска тяговых двигателей. Электрическая часть состоит из тяговых двигателей, пуско-регулирующей аппаратуры, токоприемников, аппаратуры защиты и вспомогательных машин. В пневматическую часть входит тормозное и пневматическое оборудование.
Электровозы IVКП-1 сцепным весом 800 кН выпускались с 1950 по 1956 г. и до настоящего времени эксплуатируются на карьерах. Внешний вид электровоза типичен для большого числа промышленных электровозов. Кузов электровоза будочного типа с одной центральной кабиной и прилегающими к ней скосами, в которых располагается оборудование. В кабине размещены два поста управления, используемые машинистом при движении в разных направлениях. В боковых стенках скосов имеются дверцы для осмотра оборудования, а в крыше — люки для снятия оборудования. Кузов с помощью двух шаровых опор опирается на две сочлененные между собой тележки. Электровоз оборудован воздушными магистралями для питания системы разгрузки думпкаров. Сжатый воздух вырабатывается двумя компрессорами Э-500. Электровоз снабжен пневматическим и электрическим реостатным тормозами, оборудован четырьмя тяговыми двигателями ДК-8Б мощностью по 208 кВт. Регулирование скорости и силы тяги осуществляется с помощью контроллера машиниста путем выключения чугунных пусковых сопротивлений из цепи тяговых двигателей и перегруппировки их соединений.
Электровоз 21Е сцепным весом 1500 кН производства завода им. В. И. Ленина (ЧССР) состоит из трех частей, соединенных между собой. Рама и кузов каждой части составляют одно целое. В средней части расположена кабина с двумя постами управления, в концевых взаимозаменяемых скосах размещено оборудование.
Тележки массивной клепаной конструкции. Буксы челюстные с самосмазывающимися подшипниками скольжения. Вращающий момент передается от вала двигателя на движущее колесо двусторонней косозубой передачей. Тяговые двигатели последовательного возбуждения мощностью по 260 кВт. В тяговом режиме двигатели соединяются сначала последовательно-параллельно, затем параллельно. Электровоз имеет режим «малой скорости», т. е. все шесть тяговых двигателей соединяются последовательно, что позволяет при погрузке и разгрузке перемещать поезд со скоростью 3—4 км/ч.
Электровоз 26Е производства завода им. В. И. Ленина (ЧССР) представляет собой усовершенствованную модель электровоза 21Е с мощностью каждого тягового двигателя 425 кВт.
Сцепной вес электровоза увеличен до 1800 кН, а нагрузка на ось соответственно до 300 кН. Суммарная мощность двигателей электровоза превышает 2500 кВт.
Электровоз EL-1 сцепным весом 1500 кН выпускался с 1957 г. заводом им. Ганса Баймлера (ГДР). Кузов электровоза состоит из двух секций, каждая из которых имеет небольшой скос, кабину управления и помещение для оборудования. При изменении направления движения машинист переходит из одной кабины в другую. Кузов опирается на три сварные тележки из листовой стали через центральные сферические и боковые пружинные опоры. Тележки сочленены между собой так, что тяговое усилие передается через межтележечные соединения.
На электровозе установлены тяговые двигатели последовательного возбуждения мощностью по 350 кВт. Пуско-тормозные сопротивления выполнены из чугунного литья и имеют принудительное воздушное охлаждение от вентиляторов. Каждый электровоз оборудован двумя центральными и двумя боковыми токоприемниками. Управление режимами электровоза осуществляется с помощью контроллера и электропневматических контакторов. В тяговом режиме двигатели соединяются последовательно-параллельно, а затем параллельно.

Рис. 2 Электровоз EL-1
Тяговый, агрегат переменного тока EL-10, выпущенный заводом им. Ганса Баймлера (ГДР), состоит из электровоза управления и двух моторных думпкаров. Электровоз управления имеет кузов будочного типа с одной центральной кабиной, оборудованной двумя постами управления. Кузов опирается на две тележки сварной конструкции. Буксы челюстного типа имеют цилиндрические роликовые подшипники.
На электровозе установлен трансформатор мощностью 6900 кВ·А. Для ступенчатого регулирования напряжения вторичная обмотка выполнена секционной из четырех частей. Для выпрямления однофазного переменного тока на электровозе используются три кремниевые выпрямительные установки (по одной на каждые четыре тяговых двигателя электровоза управления или моторных думпкаров). Сглаживание пульсаций выпрямленного тока осуществляется реакторами.
Тяговые двигатели последовательного возбуждения имеют часовую мощность 410 кВт при напряжении 880 В. На агрегате предусмотрено электрическое реостатное торможение.
На электровозе управления размещена дизель-генераторная установка для автономного питания агрегата. Двенадцатицилиндровый четырехтактный дизель М762 мощностью 750 л. с. Через эластичную кулачковую муфту приводит во вращение тяговый генератор постоянного тока и синхронный генератор для питания электродвигателей вспомогательных машин в автономном режиме.
При создании моторных думпкаров использованы кузовы и механизм разгрузки серийных думпкаров 5ВС-60. Тележки приняты такими же, как и у электровоза управления. На оси каждого моторного думпкара подвешен тяговый двигатель, на раме устанавливаются два двигатель вентилятора для охлаждения двигателей и ящик с электроаппаратурой.
При работе от контактной сети получают питание все 12 тяговых двигателей агрегата, развивая в часовом режиме силу тяги 681 кН. При движении по неэлектрифицированным путям от дизель-генераторной установки питаются электроэнергией четыре тяговых двигателя электровоза управления.
Тяговый агрегат переменного тока ОПЭ-1 (рис. 35), изготовленный на Новочеркасском электровозостроительном заводе, состоит из электровоза управления 2, секции автономного питания 1 и моторного думпкара 3. Ходовая часть каждой секции имеет две унифицированные несочлененные двухосные тележки. Для перехода из электровоза управления в секцию автономного питания и улучшения условий ухода за оборудованием принята форма кузова вагонного типа с кабинами по концам секций.
Для питания тяговых двигателей в электровозном режиме на электровозе управления устанавливается преобразовательный агрегат, состоящий из силового трансформатора, группового переключателя и двух выпрямительных установок, собранных из кремниевых вентилей типа ВКЛД-200-6.
Пуск и регулирование скорости тягового агрегата производятся ступенчатым изменением величины подводимого к тяговым двигателям напряжения (36 ступеней) путем переключения секций обмоток трансформатора.
Схемой предусматриваются следующие сочетания и режимы работы секций тягового агрегата:
а) электровозная секция в сцепе с секцией автономного питания и моторным думпкаром (сцепной вес 3600 кН);
б) электровозная секция в сцепе с секцией, автономного питания (сцепной вес 2400 кН);
в) электровозная секция в сцепе с одним или двумя моторными думпкарами (сцепной вес 2400 или 3600 кН);
г) электровозная секция работает самостоятельно (сцепной вес 1200 кН). Мощность дизеля установленного на секции автономного питания, составляет 1470 кВт, мощность генератора —1280 кВт.
Управление тяговым агрегатом при любом режиме работы может производиться из кабины электровоза управления или секции автономного питания. Система электрического реостатного торможения тягового агрегата обеспечивает торможение при отсутствии напряжения в контактной сети.
Для полноты загрузки вагонов предусматривается движение поезда в режиме автономного
питания с постоянной малой скоростью в диапазоне 0,3—1,5 км/ч.
Тяговый агрегат постоянного тока ПЭ2М (рис. 36) изготовлен на Днепропетровском
электровозостроительном заводе. Агрегат состоит из электровоза управления и двух моторных думпкаров. Он может работать при напряжении как 1500 В, так и 3000 В, что позволяет в условиях действующих предприятий осуществлять реконструкцию транспорта и переходить на более высокое напряжение. Соединение тяговых двигателей при питании от контактной сети с напряжением 3000 В последовательное и последовательно-параллельное, при 1500 В — последовательно-параллельное и параллельное.
Кузов электровоза управления будочной формы. Кроме пневматического и электрического реостатных тормозов агрегат имеет магниторельсовый тормоз, что позволяет увеличить уклоны путей.
Список использованной литературы
1. Андреев А. В., Шешко Е. Е. Автоматизация карьерного транспорта. М., Недра, 1963.
2. Браташ В. А. и др. Электровозы и тяговые агрегаты промышленного транспорта. М., Транспорт, 1977.
3. Васильев М. В. Комбинированный карьерный транспорт. М., Недра, 1965.
4. Васильев М. В., Сироткин 3. Л., Смирнов В. П. Автомобильный транспорт карьеров. М., Недра, 1973.
5. Логинов А. И., Афанаскин Н. Е. Вагоны-самосвалы. М., Машиностроение, 1975.
6. Мельников Н. В. Краткий справочник по открытым горным
7. Открытые горные работы. Доктор тех. Наук М.Г. Новожилов Ответственный редактор Е.Б. Стахевич., Издательства «Недра» 1965г.
8. Спиваковский А. О., Потапов М. Г. Транспортные машины и комплексы открытых горных разработок. Учебник для вузов. 4-е изд., М., Недра, 1983, 383 с.