| Скачать .docx |
Реферат: Расчет экономической эффективности устройств СЦБ
ОАО РЖД
Иркутский государственный университет путей сообщения
РГР по Экономике
Расчет экономической эффективности устройств СЦБ
Вариант 57
Иркутск 2008
Содержание:
1. Введение
2. Задание на РГР
3. Расчет эксплуатационных расходов
4. Расчет фондов оплаты труда работникам хозяйств
5. Расчет отчислений на социальные нужды
6. Расчет материальных затрат
7. Расчет амортизационных отчислений
8. Расчет расходов, связанных с простоем поездов на промежуточных станциях
9. Расчет расходов, связанных с остановками поездов на промежуточных станциях
10. Расчет прочих расходов
11. Выводы по результатам расчетов
1. Введение
В расчетно-графической работе приводится расчет эксплуатационных расходов в зависимости от типа устройств СЦБ, применяемых на данном участке железной дороги:
ПАБ с ЭЦ, АБ с ЭЦ или ДЦ. Для удобства расчетов используются пакеты программ MathCad и MicroSoft Excel.
2. Задание на РГР
| Кол-во разделительных Пунктов на уч-ке |
ед | 18 |
| Кол-во стрелок с ЭЦ на участке |
стр | 240 |
| Число пар груз поездов в сутки Nгр | пара поездов | 29 |
| Число пар пасс поездов в сутки Nпасс | пара поездов | 3 |
| Средняя ходовая скорость гр поездов Vx | км/ч | 63 |
| средний состав гр поезда m | вагон | 57 |
| Серия локомотива | ВЛ-10р | |
| Расходы на один разгон и замедление |
руб | 0,116 |
| Длина участка L | км | 240 |
| Кап. Вложения, млн. руб | ПАБ с ЭЦ | 501 |
| АБ с ЭЦ | 360 | |
| ДЦ | 203 | |
| Кол-во поездо-часов простоя в год | ПАБ с ЭЦ | 84,2 |
| АБ с ЭЦ | 45,6 | |
| тыс. п-ч | ДЦ | 38,6 |
| Коэф-т участковой скорости | ПАБ с ЭЦ | 0,486 |
| АБ с ЭЦ | 0,526 | |
| ДЦ | 0,611 |
3. Расчет эксплуатационных расходов
Эксплуатационные расходы, зависящие от устройств СЦБ и связи, рассчитываются для каждого варианта. Тип устройств СЦБ определяет затраты на их ремонт и амортизацию, содержание штата, занятого управлением стрелками и сигналами (сигналистов, дежурных по станции). Кроме того, тип устройств СЦБ влияет на расходы, связанные с простоями поездов на промежуточных станциях при обгонах и скрещениях, а также с разгонами и замедлениями поездов.
Эксплуатационные расходы по каждому варианту можно подсчитать по формуле
Э = Этдп +Эш +Эс +Эм +Эам +ЭNt +Э ост +Эпр ,
где Этдп - фонд оплаты труда работникам хозяйств: локомотивного, движения и пути;
Эш - фонд оплаты труда работникам хозяйства сигнализации и связи;
Эс - отчисления на социальные нужды работникам хозяйств:
локомотивного, движения и пути, сигнализации и связи;
Эм - материальные затраты;
Эам - амортизационные отчисления от стоимости устройств автоматики и связи;
ЭNt - расходы, связанные с простоями поездов на промежуточных станциях
Эост - расходы, связанные с остановками поездов на промежуточных станциях;
Эпр – прочие расходы.
4. Расчет фондов оплаты труда работникам хозяйств
С введением новых устройств автоматики и связи изменяется штат работников не только в хозяйстве сигнализации и связи, но и в других хозяйствах. Следовательно, изменятся и расходы на содержание эксплуатационного штата. При более совершенных устройствах СЦБ уменьшается штат работников хозяйств локомотивного и движения, но при этом несколько увеличивается штат работников хозяйства сигнализации и связи и требуется дополнительное количество монтеров по очистке стрелок. Поэтому при определении экономической эффективности необходимо рассчитывать штат работников хозяйств: локомотивного, движения и пути сигнализации и связи, а также фонд оплаты труда по каждому варианту.
Годовой фонд оплаты труда можно определить по формуле:
Этдп
или Эш
![]()
Чi – явочная численность работников каждой должности
Ti – тарифная ставка первого разряда, Ti =2008
кi – тарифный коэффициент 1-ro разряда работника каждой должности (см. табл. 1)
К1i – доля премий и доплат за работу в ночное время, праздничные дни и др. (см. табл. 2);
К2i – доля дополнительной заработной платы (в основном оплата отпусков) от всей начисленной основной заработной платы (см. табл. 2);
К3 – коэффициент, учитывающий отдаленность (северный и районный), К3 =1,5.
Тарифные коэффициенты Таблица 1
| Категории | Коэффициенты | ||||||
| 5 | 6 | 7 | 8 | 9 | 10 | 11 | |
| Специалисты предприятий | 2,06 | 2,33 | 2,64 | 2,99 | 3,36 | 3,82 | 4,3 |
Коэффициенты премий, доплат и дополнительной заработной платы Таблица 2
| Хозяйства | К1i | К2i |
| Локомотивное | 0,126 | 0,036 |
| Движения и пути | 0,098 | 0,017 |
| Сигнализации и связи | 0,118 | 0,020 |
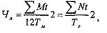
Численность работников локомотивных бригад, зависящая от вводимых устройств автоматики на заданном участке:
где Nt- бригадо-часы локомотивных бригад (принимаются равными поездо-часам простоя);
Тм - среднемесячная норма рабочего времени, ч.;
Тг - среднегодовая норма рабочего времени, ч.; Тг =2004
2 - состав локомотивной бригады, чел.
Локомотивные бригады
![]()
ПАБ с ЭЦ
![]()
АБ с ЭЦ
![]()
ДЦ
Служба движения
Штат по службе движения рассчитывается по каждому варианту с учетом наличия на участке двух станций III класса, пяти станций IV класса, а остальные - V класса. На каждой станции принимаются два стрелочных поста. Нормы обслуживания на станциях приведены в табл. 3.
Нормы обслуживания на станциях Таблица 3
| Устройство СЦБ | Класс станции | Норма обслуживания |
| Полуавтоматическая блокировка | III | Один начальник станции, четыре дежурных по станции |
| IV | ||
| V | Один начальник (с дежурством в смене), три дежурных по станции | |
| Автоматическая блокировка | III | Один начальник станции, четыре дежурных по станции |
| IV | ||
| V | Один начальник (с дежурством в смене), три дежурных по станции | |
| Электрическая централизация | III, IV, V | Один монтер по очистке стрелок на один стрелочный пост |
| Диспетчерская централизация | III | Один начальник станции |
| IV | ||
| V |
Количество станции согласно заданию: III – 2, IV – 5, V – 10.
ПАБ с ЭЦ
Согласно нормам обслуживания на станции требуется следующий штат работников:
Начальник станции: 11 разряда – 2 чел.
10 разряда – 5 чел.
9 разряда – 10 чел.
Дежурный по станции: 10 разряда – 8 чел.
9 разряда – 20 чел.
8 разряда – 30 чел.
Монтер 5 разряд – 34 чел.
АБ с ЭЦ
Так как штат сотрудников службы Д аналогичен таковому для варианта с ПАБ, то можно сделать вывод, что и фонды оплаты работы сотрудников равны.
ДЦ
Согласно нормам обслуживания на станции требуется следующий штат работников:
Начальник станции: 11 разряда – 2 чел.
10 разряда – 5 чел.
9 разряда – 10 чел.
Служба Ш
Штат работников, обслуживающих устройства СЦБ и связи на участке, рассчитывается по данным табл. 4.
Таблица 4
| Устройство СЦБ | Единица измерения | Объект обслуживания | Расчетный штат на единицу измерителя |
| Полуавтоматическая блокировка | 45 стр. (ключевой зависим.) | Устройства ПАБ на участке | Один электромеханик 9 разряда |
| 70стр. | Один электромонтер 5 разряда | ||
| Автоблокировка | 32км | Устройства АБ на однопутном участке | Один электромеханик 9 разряда |
| 60км | Один электромонтер 6 разряда | ||
| Диспетчерская централизация | 32 км | Устройства ДЦ на однопутном участке | Один электромеханик 9 разряда |
| 60км | Один электромонтер 6 разряда | ||
| Электрическая централизация | 30стр. | ЭЦ на промежуточных станциях | Один электромеханик 8 разряда |
| 37стр. | Один электромонтер 5 разряда |
Кроме указанного штата дополнительно принимается для каждых шести электромехаников один старший электромеханик 10 разряда.
ПАБ с ЭЦ
Штат сотрудников: Электромеханик 9 разряда – 6
Электромонтер 5 разряда – 11
Электромеханик 8 разряда – 8
Старший электромеханик 10 разряда – 3
АБ с ЭЦ
Штат сотрудников: Электромеханик 9 разряда – 8
Электромонтер 6 разряда – 4
Электромеханик 8 разряда – 8
Электромонтер 5 разряда – 7
Старший электромеханик 10 разряда – 3
ДЦ
Штат сотрудников: Электромеханик 9 разряда – 8
Электромонтер 6 разряда – 4
Старший электромеханик 10 разряда – 2
Расчет фонда оплаты труда сводится в табл. 5(ПАБ), 6(АБ), 7(ДЦ)
ПАБ с ЭЦ Таблица 5
| Должность | Класс станции | Разряд | Численность | Мест. тар. ст. | ФЗП мес. |
| Служба Т (локомотивная) | |||||
| Машинист | 10 | 42 | 7670,56 | 322163,52 | |
| Помощник машиниста | 8 | 42 | 6003,92 | 252164,64 | |
| Итого тарифная заработная плата | 574328,16 | ||||
| Премии и доплаты (К1i ) | 72365,35 | ||||
| Итого основная заработная плата | 646693,51 | ||||
| Дополнительная заработная плата (К2i ) | 23280,97 | ||||
| Итого ФЗП: | |||||
| - месячный | 669974,47 | ||||
| - годовой | 8039693,69 | ||||
| Всего ФЗП | 12059540,5 | ||||
| (с учетом районного коэффициента К3 ) | |||||
| Службы Д и П (движения, пути) | |||||
| Начальник станции | III | 11 | 2 | 8634,4 | 17268,8 |
| IV | 10 | 5 | 7670,56 | 38352,8 | |
| V | 9 | 10 | 6746,88 | 67468,8 | |
| Дежурный по станции | III | 10 | 8 | 7670,56 | 61364,48 |
| IV | 9 | 20 | 6746,88 | 134937,6 | |
| V | 8 | 30 | 6003,92 | 180117,6 | |
| Монтер пути | 5 | 34 | 4136,48 | 140640,32 | |
| Итого тарифная заработная плата | 640150,4 | ||||
| Премии и доплаты (К1i ) | 62734,7392 | ||||
| Итого основная заработная плата | 702885,139 | ||||
| Дополнительная заработная плата (К2i ) | 11949,0474 | ||||
| Итого ФЗП: | |||||
| - месячный | 714834,187 | ||||
| - годовой | 8578010,24 | ||||
| Всего ФЗП | 12867015,4 | ||||
| (с учетом районного коэффициента К3 ) | |||||
| Служба Ш (автоматики сигнализации и связи) | |||||
| Ст. электромеханик | 10 | 3 | 7670,56 | 23011,68 | |
| Электромеханик | 9 | 6 | 6746,88 | 40481,28 | |
| 8 | 8 | 6003,92 | 48031,36 | ||
| Электромонтер | 6 | 4678,64 | 0 | ||
| 5 | 11 | 4136,48 | 45501,28 | ||
| Итого тарифная заработная плата | 157025,6 | ||||
| Премии и доплаты (К1i ) | 18529,0208 | ||||
| Итого основная заработная плата | 175554,621 | ||||
| Дополнительная заработная плата К2i ) | 3511,09242 | ||||
| Итого ФЗП: | |||||
| - месячный | 179065,713 | ||||
| - годовой | 2148788,56 | ||||
| Всего ФЗП | 3223182,84 | ||||
| (с учетом районного коэффициента К3 ) | |||||
| Численность и ФЗП по всем хозяйствам | 221 | 28149738,7 | |||
АБ с ЭЦ. Таблица 6
| Должность | Класс станции | Разряд | Численность | Мест. тар. ст. | ФЗП мес. |
| Служба Т (локомотивная) | |||||
| Машинист | 10 | 23 | 7670,56 | 176422,88 | |
| Помощник машиниста | 8 | 23 | 6003,92 | 138090,16 | |
| Итого тарифная заработная плата | 314513,04 | ||||
| Премии и доплаты (К1i ) | 39628,64 | ||||
| Итого основная заработная плата | 354141,68 | ||||
| Дополнительная заработная плата (К2i ) | 12749,10 | ||||
| Итого ФЗП: | |||||
| - месячный | 366890,78 | ||||
| - годовой | 4402689,4 | ||||
Всего ФЗП (с учетом районного коэффициента К3 ) |
6604034,11 | ||||
| Службы Д и П (движения, пути) | |||||
| Начальник станции | III | 11 | 2 | 8634,4 | 17268,8 |
| IV | 10 | 5 | 7670,56 | 38352,8 | |
| V | 9 | 10 | 6746,88 | 67468,8 | |
| Дежурный по станции | III | 10 | 8 | 7670,56 | 61364,48 |
| IV | 9 | 20 | 6746,88 | 134937,6 | |
| V | 8 | 30 | 6003,92 | 180117,6 | |
| Монтер пути | 5 | 34 | 4136,48 | 140640,32 | |
| Итого тарифная заработная плата | 640150,4 | ||||
| Премии и доплаты (К1i ) | 62734,7392 | ||||
| Итого основная заработная плата | 702885,139 | ||||
| Дополнительная заработная плата (К2i ) | 11949,0474 | ||||
| Итого ФЗП: | |||||
| - месячный | 714834,187 | ||||
| - годовой | 8578010,24 | ||||
Всего ФЗП (с учетом районного коэффициента К3 ) |
12867015,4 | ||||
| Служба Ш (автоматики сигнализации и связи) | |||||
| Ст. электромеханик | 10 | 3 | 7670,56 | 23011,68 | |
| Электромеханик | 9 | 8 | 6746,88 | 53975,04 | |
| 8 | 8 | 6003,92 | 48031,36 | ||
| Электромонтер | 6 | 4 | 4678,64 | 18714,56 | |
| 5 | 7 | 4136,48 | 28955,36 | ||
| Итого тарифная заработная плата | 172688 | ||||
| Премии и доплаты (К1i ) | 20377,184 | ||||
| Итого основная заработная плата | 193065,184 | ||||
| Дополнительная заработная плата К2i ) | 3861,30368 | ||||
| Итого ФЗП: | |||||
| - месячный | 196926,488 | ||||
| - годовой | 2363117,85 | ||||
Всего ФЗП (с учетом районного коэффициента К3 ) |
3544676,78 | ||||
| Численность и ФЗП по всем хозяйствам | 185 | 23015726,2 | |||
ДЦ Таблица 7
| Должность | Класс станции | Разряд | Численность | Мест. тар. ст. | ФЗП мес. |
| Служба Т (локомотивная) | |||||
| Машинист | 10 | 19 | 7670,56 | 145740,64 | |
| Помощник машиниста | 8 | 19 | 6003,92 | 114074,48 | |
| Итого тарифная заработная плата | 259815,12 | ||||
| Премии и доплаты (К1i ) | 32736,71 | ||||
| Итого основная заработная плата | 292551,83 | ||||
| Дополнительная заработная плата (К2i ) | 10531,87 | ||||
| Итого ФЗП: | |||||
| - месячный | 303083,69 | ||||
| - годовой | 3637004,29 | ||||
| Всего ФЗП | 5455506,43 | ||||
| (с учетом районного коэффициента К3 ) | |||||
| Службы Д и П (движения, пути) | |||||
| Начальник станции | III | 11 | 2 | 8634,4 | 17268,8 |
| IV | 10 | 5 | 7670,56 | 38352,8 | |
| V | 9 | 10 | 6746,88 | 67468,8 | |
| Дежурный по станции | III | 10 | 0 | 7670,56 | 0 |
| IV | 9 | 0 | 6746,88 | 0 | |
| V | 8 | 0 | 6003,92 | 0 | |
| Монтер пути | 5 | 0 | 4136,48 | 0 | |
| Итого тарифная заработная плата | 123090,4 | ||||
| Премии и доплаты (К1i ) | 12062,8592 | ||||
| Итого основная заработная плата | 135153,259 | ||||
| Дополнительная заработная плата (К2i ) | 2297,60541 | ||||
| Итого ФЗП: | |||||
| - месячный | 137450,865 | ||||
| - годовой | 1649410,38 | ||||
| Всего ФЗП | 2474115,56 | ||||
| (с учетом районного коэффициента К3 ) | |||||
| Служба Ш (автоматики сигнализации и связи) | |||||
| Ст. электромеханик | 10 | 2 | 7670,56 | 15341,12 | |
| Электромеханик | 9 | 8 | 6746,88 | 53975,04 | |
| 8 | 0 | 6003,92 | 0 | ||
| Электромонтер | 6 | 4 | 4678,64 | 18714,56 | |
| 5 | 0 | 4136,48 | 0 | ||
| Итого тарифная заработная плата | 88030,72 | ||||
| Премии и доплаты (К1i ) | 10387,625 | ||||
| Итого основная заработная плата | 98418,345 | ||||
| Дополнительная заработная плата К2i ) | 1968,3669 | ||||
| Итого ФЗП: | |||||
| - месячный | 100386,712 | ||||
| - годовой | 1204640,54 | ||||
| Всего ФЗП | 1806960,81 | ||||
| (с учетом районного коэффициента К3 ) | |||||
| Численность и ФЗП по всем хозяйствам | 69 | 9736582,81 | |||
5. Расчет отчислений на социальные нужды
Расчет отчислении на социальное страхование берется в размере 35,8% от годового фонда оплаты труда.
![]()
ПАБ с ЭЦ
Эс =0,358(2,4926∙107 +0,3223∙107 )
ЭС =10,0776∙106 руб.
АБ с ЭЦ
Эс =0,358(1,9471∙107 +0,3544∙107 )
ЭС =8,2396∙106 руб
ДЦ
Эс =0,358(7,9296∙106 +1,8069∙106 )
ЭС =3,4856∙106 руб
6. Расчет материальных затрат
Материальные затраты складываются из расходов на материалы и запасные части, расходов на электроэнергию и прочих материальных затрат.
Расходы на материалы и запасные части в курсовой работе принимаются в размере 1,5 % от стоимости вводимых устройств СЦБ.
Расходы на электроэнергию определяются по формуле:
![]()
где Цэ/э - цена 1 кВт*ч силовой электроэнергии; Цэ/э =0,32
1,2 - коэффициент, учитывающий потери электроэнергии в сети;
Ксп - средний коэффициент спроса, Ксп =0,3;
Руст - суммарная установленная мощность оборудования, Руст = 200 кВт;
Fоб - годовой фонд рабочего времени оборудования в одну смену; Fоб =3
Мсм - число смен работы оборудования; Мсм =3
К3 - коэффициент загрузки оборудования, К3 =0,7.
Прочие материальные расходы Эод (по обновлению технической документации, командировочные, оплату различных услуг и др.) принимаются в размере 3 % от расходов на заработную плату работников хозяйства сигнализации и связи.
ПАБ с ЭЦ
Эзип =0,015∙Куст =0,015∙501∙106 =7,515∙106 руб.
Ээ/э =9.6962∙104 руб.
Эод =0,03∙ЭШ =0,03∙3,2233∙106 =96,695∙103 руб.
Эм = Эзип + Ээ/э + Эод =7,7086∙106 руб.
АБ с ЭЦ
Эзип =0,015∙Куст =0,015∙360∙106 =5,4∙106 руб.
Ээ/э =9.6962∙104 руб.
Эод =0,03∙ЭШ =0,03∙3,5446∙106 =106,34∙103 руб.
Эм = Эзип + Ээ/э + Эод =5,60330∙106 руб.
ДЦ
Эзип =0,015∙Куст =0,015∙203∙106 =3,045∙106 руб.
Ээ/э =9.6962∙104 руб.
Эод =0,03∙ЭШ =0,03∙1,8069∙106 =54,209∙103 руб.
Эм = Эзип + Ээ/э + Эод =3,1961∙106 руб.
7. Расчет амортизационных отчислений
Расходы на амортизационные отчисления рассчитываются как произведение стоимости вводимых устройств СЦБ на установленную норму амортизации nам :
![]()
Нормы амортизационных отчислений для устройств СЦБ приведены в табл. 8.
| Устройства СЦБ | Нормы амортизационных отчислений от стоимости устройств, % |
| Полуавтоматическая блокировка | 4,0 |
| Автоблокировка | 5,0 |
| Диспетчерская централизация | 5,0 |
| Электрическая централизация | 5,0 |
ПАБ с ЭЦ
Эам
=
= 20,04∙106
руб.
АБ с ЭЦ
Эам
=
= 25,05∙106
руб.
ДЦ
Эам
=
= 25,05∙106
руб.
8. Расчет расходов, связанных с простоем поездов на промежуточных станциях
Эксплуатационные расходы ЭNt определяются как произведение поездо-часов простоя на укрупненную расходную ставку:
![]()
гдеENt - укрупненная расходная ставка на 1 поездо-ч, которая рассчитывается по схеме, приведенной в табл. 9;
| Измеритель | Ед. расходные ставки на изм-ль, руб |
Затраты изм-ля на 1 п-час |
Расходы на 1 п-час |
| 1 | 2 | 3 | 4 |
| Вагоно-часы | 2,1804 | 60 | 130,824 |
| Локомотиво-часы | 92,2296 | 1 | 92,229 |
| Локомотиво-км усл. Пробега | 32,0422 | 1 | 32,042 |
| Киловатт-часы эл-энерг | 0,186 | 125 | 23,25 |
| ИТОГО | 278,345 |
ЭNt ПАБ=278,345∙84,2∙103 =2,3446∙107 руб.
ЭNt АБ=278,345∙45,6∙103 =1,2692∙107 руб
ЭNt ДЦ=278,345∙38,6∙103 =1,0744∙107 руб
9. Расчет расходов, связанных с остановками поездов на промежуточных станциях
Более совершенные устройства СЦБ снижают количество остановок. Следовательно, кроме экономии эксплуатационных расходов, необходимо учесть снижение расходов на электроэнергию или топливо, на ремонт подвижного состава и пути, связанных с уменьшением числа разгонов и замедлений.
Количество остановок пары грузовых поездов на участке определим по формуле:
![]() |
Тогда эксплуатационные расходы, связанные с разгоном и замедлением, определятся:
ПАБ с ЭЦ
Эост =365∙30∙19,893∙0,116=25,2676∙103 руб.
АБ с ЭЦ
Эост =365∙30∙18,889∙0,116=23,9936∙103 руб.
ДЦ
Эост =365∙30∙16,122∙0,116=20,4781∙103 руб.
10. Расчет прочих расходов
Прочие расходы в курсовом проекте принимаются равными 10 % от фонда оплаты труда:
ПАБ с ЭЦ
Эпр =0,1(2,4926∙107 +0,3223∙107 )=2,8149∙106 руб.
АБ с ЭЦ
Эпр =0,1(1,9471∙107 +0,3544∙107 )= 2,3015∙106 руб.
ДЦ
Эпр =0,1(7,9296∙106 +1,8069∙106 )= 0,9736∙106 руб.
Результаты расчета эксплуатационных расходов сведем в таблицу 10
| Показатель | Эксплуатационные расходы, тыс. руб. | ||
| ПАБиЭЦ | АБиЭЦ | ДЦ | |
| Фонд оплаты труда работников всех хозяйств (Эдтп , Эш ) | 28149,738 | 23015,73 | 9736,582 |
| Отчисления на социальные нужды, Эс | 10077,606 | 8239,63 | 3485,697 |
| Материальные затраты, Эм | 7708,657 | 5603,301 | 3196,17 |
| Амортизационные отчисления, Эам | 20040 | 25050 | 25050 |
| Расходы, связанные с простоем поездов, ЭNt | 23436,716 | 12692,57 | 10744,15 |
| Расходы, связанные с остановками поездов, Эост | 25,267 | 23,993 | 20,478 |
| Прочие расходы, Эпр | 2814,9738 | 2301,573 | 973,6582 |
| Итого: | 92252,958 | 76926,79 | 53206,73 |
11. Выводы по результатам расчетов
Проведем расчет сравнительной экономической эффективности.
Для определения экономически выгодного варианта воспользуемся критерием «приведенные затраты».
![]()
Где Эпр – приведенные затраты;
Эi – эксплуатационные расходы i-го варианта;
Ен =0,125;
Кi – капитальные вложения i-го варианта.
ПАБ с ЭЦ
Эпр =92252,958+0,125∙501=154,8780 млн. руб.
АБ с ЭЦ
Эпр =76926,79+0,125∙360=121,9268 млн. руб.
ДЦ
Эпр =53206,73+0,125∙203=78,5817 млн. руб. – MIN
Таким образом можно сделать вывод, что экономически выгодным является использование системы ДЦ.
