| Скачать .docx |
Курсовая работа: Эксплуатационные свойства автомобиля 2
Министерство образования и науки Российской Федерации
Магнитогорский Государственный Технический Университет
им. Г.И. Носова
Факультет: Технологии и Качества
Кафедра: Технологии, Сертификации, Сервиса Автомобилей
Курсовая работа по предмету:
“Эксплуатационные свойства автомобиля”
Выполнил: ст. гр. ТСА-07
Сычев Н.О.
Проверил: профессор, д.т.н.
Мезин И.Ю.
Магнитогорск
2010
ОГЛАВЛЕНИЕ
1.ОПИСАНИЕ ТРАНСПОРТНОГО СРЕДСТВА.. 4
2.ХАРАКТЕРИСТИКА УСОВЕРШЕНСТВУЕМОГО МЕХАНИЗМА.. 5
3.КОНСТРУКТОРСКИЕ И АНАЛИТИЧЕСКИЕ РАСЧЕТЫ... 6
5.СПИСОК ИСПОЛЬЗУЕМОЙ ЛИТЕРАТУРЫ... 20
1.ОПИСАНИЕ ТРАНСПОРТНОГО СРЕДСТВА
В данном курсовом проекте мы будем рассматривать автомобиль Лада Калина.
Приведем технические характеристики автомобиля:
Длина: 4040 мм, ширина: 1700 мм, высота: 1500 мм, количество дверей: 4, количество мест: 5, объем багажника: 400 литров. объем двигателя от 1390 см³ до 1596 см³. Мощность от 58,8 до 66,2 КВт. Автомобиль выпускается с 2004 года.
Автомобиль Лада Калина имеет пятиступенчатую коробку переключения передач, способную передавать крутящий момент, равный 165 нм.
2.ХАРАКТЕРИСТИКА УСОВЕРШЕНСТВУЕМОГО МЕХАНИЗМА
В данном курсовом проекте мы будем модернизировать коробку передач автомобиля Лада Калина. Модернизацию будем производить путем замены передаточных чисел.
Стандартная коробка передач не обеспечивает необходимую приемистость автомобиля.
Время разгона с места до 100 км/ч составляет около 13 секунд. Мы попытаемся улучшить данный показатель при помощи спортивного ряда КПП.
3.КОНСТРУКТОРСКИЕ И АНАЛИТИЧЕСКИЕ РАСЧЕТЫ
Приведем характеристики стандартной коробки передач. В таблице 1 указаны передаточные числа коробки передач, в таблице 2 приведена зависимость скорости от оборотов для каждой передачи.
Таблица 1- Характеристики КПП:
| Главная пара: | 3,706 |
| Передаточные числа КПП: | |
| I | 3,636 |
| II | 1,95 |
| III | 1,357 |
| IV | 0,941 |
| V | 0,784 |
Таблица 2 – Зависимость скорости от оборотов для различных передач:
| Обороты двигателя(об\мин): | I | II | III | IV | V |
| 500 | 4 | 7 | 10 | 14 | 17 |
| 1000 | 7 | 13 | 19 | 28 | 33 |
| 1500 | 11 | 20 | 29 | 41 | 50 |
| 2000 | 14 | 27 | 38 | 55 | 66 |
| 2500 | 18 | 33 | 48 | 69 | 83 |
| 3000 | 21 | 40 | 57 | 83 | 99 |
| 3500 | 25 | 47 | 67 | 97 | 116 |
| 4000 | 29 | 53 | 76 | 110 | 132 |
| 4500 | 32 | 60 | 86 | 124 | 149 |
| 5000 | 36 | 67 | 96 | 138 | 165 |
| 5500 | 39 | 73 | 105 | 152 | 182 |
Рассмотрим спортивный ряд коробки переключения передач, в котором изменены все передаточные числа. В таблице 3 представлены передаточные числа спортивного ряда коробки передач. Передаточное число главной передачи оставим неизменным.
Таблица 3 – Характеристики спортивного ряда:
| Передаточные числа КПП: | |
| I | 3,09 |
| II | 2,11 |
| III | 1,48 |
| IV | 1,13 |
| V | 0,89 |
В таблице 4 приведена зависимость скорости от оборотов для каждой передачи модернизированной коробки передач.
Таблица 4 – Зависимость скорости от оборотов для различных передач модернизированной коробки:
| Обороты двигателя(об\мин): | I | II | III | IV | V |
| 500 | 4 | 6 | 9 | 11 | 15 |
| 1000 | 8 | 12 | 18 | 23 | 29 |
| 1500 | 13 | 18 | 26 | 34 | 44 |
| 2000 | 17 | 25 | 35 | 46 | 58 |
| 2500 | 21 | 31 | 44 | 57 | 73 |
| 3000 | 25 | 37 | 53 | 69 | 87 |
| 3500 | 29 | 43 | 61 | 80 | 102 |
| 4000 | 34 | 49 | 70 | 92 | 117 |
| 4500 | 38 | 55 | 79 | 103 | 131 |
| 5000 | 42 | 61 | 88 | 115 | 146 |
| 5500 | 46 | 68 | 96 | 126 | 160 |
На рисунке 1 изображен график сравнения скоростей автомобиля с модернизированной коробкой передач со стандартной коробкой ( красным цветом обозначена модернизированная коробка передач, синим - серийная коробка передач).

Рисунок 1 - Сравнение скоростей автомобиля
Для сравнения данного ряда нам необходимо построить графики зависимостей ускорения автомобиля от скорости со стандартной коробкой передач, и автомобиля с модернизированной коробкой передач.
Ускорение автомобиля в каждой расчетной точке определяется по формуле:
, где
- ускорение,
- динамический фактор,
- суммарный коэффициент сопротивления дороги,
- коэффициент учета вращающихся масс,
- ускорение свободного падения.
, где
- коэффициент сопротивления качению при малой скорости,
Примем
=0,005 (для шин с универсальным протектором),
- коэффициент, учитывающий зависимость
от скорости автомобиля, имеющий размерность
,
Примем
(для легковых автомобилей, движущихся по асфальтобетонному покрытию),
-максимальная скорость движения автомобиля, м/с.
= 50,5 м/c.
Найдем
:
,
, где
- постоянная для данного автомобиля величина,
Для легковых автомобилей
,
- передаточное число данной ступени.
Следовательно, коэффициент учета вращающихся масс рассчитывается для каждой передачи. Значения коэффициента приведены для стандартной коробки приведены в таблице 5, для модернизированной коробки - в таблице 6.
, где
- динамический фактор,
- сила тяги, Н,
- сила сопротивления воздушной среды, Н,
- вес автомобиля, Н.
,
, где
- крутящий момент двигателя при определенном числе оборотов, н м,
- передаточное число главной передачи,
- передаточное число рассчитываемой ступени коробки передач,
- КПД коробки передач,
- радиус качения автомобиля, м.
Условно примем
равным динамическому и статическому радиусам.
=0,27 м.
Значения
необходимо рассчитывать для каждой передачи. Значения коэффициента приведены для стандартной коробки приведены в таблице 5, для модернизированной коробки - в таблице 6.
, где
- коэффициент аэродинамического сопротивления автомобиля,
=0,33,
- плотность воздуха,
,
,
- лобовая площадь автомобиля,
,
,
- скорость воздушного потока относительно автомобиля, км/ч.
Скорость воздушного потока принимается равной движению автомобиля.
В таблице 5 приведены расчетные значения, необходимые для построения графика зависимости ускорения от скорости для автомобиля, оснащенного стандартной коробкой передач.
Таблица 5- Расчетные значения для стандартной коробки передач:
Переда- ча |
Обороты двигателя, об/мин |
Ускорение,
|
Скорость,
|
|||||
| 1 | 2500 | 3,04 | 18 | 5509,78 | 9,07 | 0,51 | 1,62 | |
| 3000 | 3,04 | 21 | 5509,78 | 12,35 | 0,51 | |||
| 3500 | 3,01 | 25 | 5463,87 | 17,50 | 0,50 | |||
| 4000 | 2,96 | 29 | 5372,04 | 23,54 | 0,50 | |||
| 4500 | 2,88 | 32 | 5234,30 | 28,67 | 0,48 | |||
| 5000 | 2,79 | 36 | 5096,55 | 36,28 | 0,48 | |||
| 5500 | 2,79 | 39 | 5096,55 | 42,58 | 0,47 | |||
| 2 | 2500 |
|
33 | 2954,9 | 30,5 | 0,27 | 1,2 | |
| 3000 | 2,13 | 40 | 2930,29 | 44,8 | 0,27 | |||
| 3500 | 2,08 | 47 | 2881 | 61,8 | 0,26 | |||
| 4000 | 2,01 | 53 | 2807,2 | 74,6 | 0,25 |
Таблица 5- Расчетные значения для стандартной коробки передач (продолжение):
| 4500 | 1,93 | 60 | 2733,3 | 100,8 | 0,24 | ||
| 5000 | 1,92 | 67 | 2733,3 | 125,7 | 0,24 | ||
| 5500 | 1,90 | 73 | 2733,3 | 149,2 | 0,24 | ||
| 3 | 2500 | 1,57 | 48 | 2056,32 | 64,50 | 0,18 | 1,11 |
| 3000 | 1,55 | 57 | 2056,32 | 90,96 | 0,18 | ||
| 3500 | 1,50 | 67 | 2039,18 | 125,67 | 0,18 | ||
| 4000 | 1,45 | 76 | 2004,91 | 161,70 | 0,17 | ||
| 4500 | 1,37 | 86 | 1953,50 | 207,05 | 0,16 | ||
| 5000 | 1,28 | 96 | 1902,10 | 258,00 | 0,15 | ||
| 5500 | 1,24 | 105 | 1902,10 | 308,65 | 0,15 | ||
| 4 | 2500 | 1,03 | 69 | 1425,94 | 133,28 | 0,12 | 1,069 |
| 3000 | 0,98 | 83 | 1425,94 | 192,86 | 0,11 | ||
| 3500 | 0,91 | 97 | 1414,05 | 263,41 | 0,11 | ||
| 4000 | 0,83 | 110 | 1390,29 | 338,74 | 0,10 | ||
| 4500 | 0,72 | 124 | 1354,64 | 430,45 | 0,09 | ||
| 5000 | 0,60 | 138 | 1318,99 | 533,14 | 0,07 | ||
| 5500 | 0,51 | 152 | 1318,99 | 646,80 | 0,06 | ||
| 5 | 2500 | 0,79 | 83 | 1188,03 | 192,86 | 0,09 | 1,057 |
| 3000 | 0,72 | 99 | 1188,03 | 274,38 | 0,08 | ||
| 3500 | 0,62 | 116 | 1178,13 | 376,70 | 0,07 | ||
| 4000 | 0,51 | 132 | 1158,33 | 487,79 | 0,06 | ||
| 4500 | 0,37 | 149 | 1128,63 | 621,52 | 0,05 | ||
| 5000 | 0,22 | 165 | 1098,93 | 762,17 | 0,03 | ||
| 5500 | 0,08 | 182 | 1098,93 | 927,31 | 0,02 |
Примечание:
- сила сопротивления воздушной среды, Н;
- сила тяги, Н;
- динамический фактор;
- коэффициент учета вращающихся масс.
В таблице 6 приведены расчетные значения, необходимые для построения графика зависимости ускорения от скорости для автомобиля, оснащенного модернизированной коробкой передач.
Таблица 6- Расчетные значения для модернизированной коробки передач:
Переда- ча |
Обороты двигателя, об/мин |
Ускорение,
|
Скорость,
|
||||
| 1 | 2500 | 2,86 | 21 | 4682,41 | 12,35 | 0,43 | 1,46 |
| 3000 | 2,85 | 25 | 4682,41 | 17,50 | 0,43 | ||
| 3500 | 2,85 | 29 | 4682,41 | 23,54 | 0,43 | ||
| 4000 | 2,82 | 34 | 4643,39 | 32,36 | 0,43 | ||
| 4500 | 2,77 | 38 | 4565,35 | 40,43 | 0,42 | ||
| 5000 | 2,69 | 42 | 4448,29 | 49,38 | 0,41 | ||
| 5500 | 2,61 | 46 | 4331,23 | 59,24 | 0,40 | ||
| 2 | 2500 | 2,28 | 31 | 3197,37 | 26,90 | 0,29 | 1,23 |
| 3000 | 2,28 | 37 | 3197,37 | 38,33 | 0,29 | ||
| 3500 | 2,27 | 43 | 3197,37 | 51,76 | 0,29 | ||
| 4000 | 2,24 | 49 | 3170,73 | 67,22 | 0,29 | ||
| 4500 | 2,18 | 55 | 3117,44 | 84,69 | 0,28 | ||
| 5000 | 2,11 | 61 | 3037,50 | 104,17 | 0,27 | ||
| 5500 | 2,03 | 68 | 2957,57 | 129,45 | 0,26 | ||
| 3 | 2500 | 1,71 | 44 | 2242,71 | 54,20 | 0,20 | 1,12 |
| 3000 | 1,69 | 53 | 2242,71 | 78,64 | 0,20 | ||
| 3500 | 1,67 | 61 | 2242,71 | 104,17 | 0,20 | ||
| 4000 | 1,63 | 70 | 2224,02 | 137,18 | 0,19 | ||
| 4500 | 1,57 | 79 | 2186,64 | 174,72 | 0,19 | ||
| 5000 | 1,49 | 88 | 2130,57 | 216,79 | 0,18 | ||
| 5500 | 1,41 | 96 | 2074,50 | 258,00 | 0,17 | ||
| 4 | 2500 | 1,29 | 57 | 1712,34 | 90,96 | 0,15 | 1,09 |
| 3000 | 1,25 | 69 | 1712,34 | 133,28 | 0,15 | ||
| 3500 | 1,21 | 80 | 1712,34 | 179,17 | 0,14 | ||
| 4000 | 1,15 | 92 | 1698,07 | 236,95 | 0,14 | ||
| 4500 | 1,08 | 103 | 1669,53 | 297,00 | 0,13 | ||
| 5000 | 0,98 | 115 | 1626,72 | 370,24 | 0,12 | ||
| 5500 | 0,89 | 126 | 1583,91 | 444,45 | 0,11 | ||
| 5 | 2500 | 0,96 | 73 | 1348,65 | 149,19 | 0,11 | 1,065 |
Таблица 6- Расчетные значения для модернизированной коробки передач (продолжение):
| 3000 | 0,90 | 87 | 1348,65 | 211,90 | 0,11 |
| 3500 | 0,84 | 102 | 1348,65 | 291,26 | 0,10 |
| 4000 | 0,75 | 117 | 1337,42 | 383,23 | 0,09 |
| 4500 | 0,65 | 131 | 1314,94 | 480,42 | 0,08 |
| 5000 | 0,52 | 146 | 1281,22 | 596,74 | 0,06 |
| 5500 | 0,39 | 160 | 1247,51 | 716,68 | 0,05 |
Примечание:
- сила сопротивления воздушной среды, Н;
- сила тяги, Н;
- динамический фактор;
- коэффициент учета вращающихся масс.
У нас имеются данные для построения графика зависимости ускорения от скорости по передачам ( красный цвет – модернизированная коробка, синий – стандартная ). На рисунке 2 изображены графики зависимости ускорения от скорости для стандартной и модернизированной коробок передач.

Рисунок 2 - График зависимости ускорения от скорости
Затем для более полного сравнения коробок передач нам необходимо определить время разгона до скорости 100 км/ч. Для этого нам необходимо построить график зависимости величины, обратной ускорению от скорости. Значения для построения графика приведены в таблице 7 для обоих коробок передач. В таблице
- величина, обратная ускорению.
Таблица 7 – Значения, необходимые для построения графика зависимости величины, обратной ускорению от скорости:
| Передача | Обороты двигателя |
Стандартная КПП | Модернизированная КПП | ||
| Скорость | Скорость | ||||
| 1 | 2500 | 18 | 0,33 | 21 | 0,35 |
| 3000 | 21 | 0,33 | 25 | 0,35 | |
| 3500 | 25 | 0,33 | 29 | 0,35 | |
| 4000 | 29 | 0,34 | 34 | 0,35 | |
| 4500 | 32 | 0,35 | 38 | 0,36 | |
| 5000 | 36 | 0,36 | 42 | 0,37 | |
| 5500 | 39 | 0,36 | 46 | 0,38 | |
| 2 | 2500 | 33 | 0,46 | 31 | 0,44 |
| 3000 | 40 | 0,47 | 37 | 0,44 | |
| 3500 | 47 | 0,48 | 43 | 0,44 | |
| 4000 | 53 | 0,50 | 49 | 0,45 | |
| 4500 | 60 | 0,52 | 55 | 0,46 | |
| 5000 | 67 | 0,52 | 61 | 0,47 | |
| 5500 | 73 | 0,53 | 68 | 0,49 | |
| 3 | 2500 | 48 | 0,64 | 44 | 0,58 |
| 3000 | 57 | 0,65 | 53 | 0,59 | |
| 3500 | 67 | 0,67 | 61 | 0,60 | |
| 4000 | 76 | 0,69 | 70 | 0,61 | |
| 4500 | 86 | 0,73 | 79 | 0,64 | |
| 5000 | 96 | 0,78 | 88 | 0,67 | |
| 5500 | 105 | 0,81 | 96 | 0,71 | |
| 4 | 2500 | 69 | 0,97 | 57 | 0,78 |
| 3000 | 83 | 1,02 | 69 | 0,80 | |
| 3500 | 97 | 1,10 | 80 | 0,82 | |
| 4000 | 110 | 1,21 | 92 | 0,87 | |
Таблица 7 – Значения для построения графика зависимости величины, обратной ускорению от скорости (продолжение):
| 4500 | 124 | 1,39 | 103 | 0,93 | |
| 5000 | 138 | 1,66 | 115 | 1,02 | |
| 5500 | 152 | 1,98 | 126 | 1,13 | |
| 5 | 2500 | 83 | 1,27 | 73 | 1,04 |
| 3000 | 99 | 1,39 | 87 | 1,11 | |
| 3500 | 116 | 1,61 | 102 | 1,20 | |
| 4000 | 132 | 1,96 | 117 | 1,34 | |
| 4500 | 149 | 2,71 | 131 | 1,55 | |
| 5000 | 165 | 4,48 | 146 | 1,93 | |
| 5500 | 182 | 12,29 | 160 | 2,58 |
Построим два графика зависимости величины, обратной ускорению от скорости, так как мы будем по этим графикам вычислять время разгона автомобиля. На рисунке 3 показан график зависимости величины, обратной ускорению от скорости для стандартной коробки переключения передач.

Рисунок 3 - График зависимости величины, обратной ускорению от скорости для стандартной коробки передач
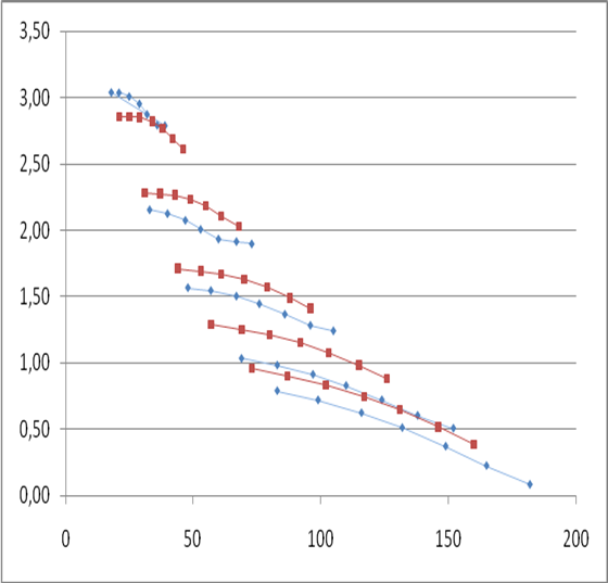
На рисунке 4 показан график зависимости величины, обратной ускорению от скорости для модернизированной коробки переключения передач.
![]()

Рисунок 4 - График зависимости величины, обратной ускорению от скорости для модернизированной коробки передач
Для определения времени разгона будем использовать графоаналитический метод. В нем используются построенные выше графики зависимости величины, обратной ускорению от скорости. Если рассмотреть на этом графике элементарную площадку
, ограниченную осью абсцисс, кривой графика и двумя ординатами, отстоящими друг от друга на расстояние
, то величина площади этой площадки будет равна
, где
- средняя ордината.
Однако
выражает элементарное время разгона в некотором масштабе, т.е.
, где
- масштаб времени разгона, с/cм.
В свою очередь масштаб времени разгона составляет величину
,где
- масштаб величины, обратной ускорению, ![]()
На графике:
0, 2
,
- масштаб скорости автомобиля, (км/ч)/cм,
На графике:
12 (км/ч)/cм.
,
Время разгона в конечном интервале скоростей (от
до
)
![]()
F-площадь, ограниченная на рассматриваемых графиках, ограниченная осью абсцисс, кривой графика величины, обратной ускорению, и ординатами, соответствующими скоростями
и
.
Зададим для каждого графика несколько интервалов скоростей , для каждого интервала найдем время разгона до максимальной скорости. При разбивке площадок под кривой, обратной ускорению, предполагается, что разгон на каждой передаче ведется до максимальной скорости. Последнее значение скорости примем равным 100 км/ч. Таким образом мы сравним время разгона до 100 км/ч.
В таблице 8 приведены значения расчета времени разгона для серийной коробки передач.
Таблица 8 – расчет времени разгона, для автомобиля, оснащенного стандартной коробкой передач:
| Интервал скорости | F, |
|
Время разгона до конечной скорости в интервале, с | ||
| Номер интервала | Начальная скорость в интервале, км/ч | Конечная скорость в интервале, км/ч | |||
| 1 | 0 | 39 | 4 | 4 | 2,62 |
| 2 | 39 | 73 | 7 | 11 | 4,62 |
| 3 | 73 | 100 | 8,2 | 19,2 | 5,4 |
Вывод: разгон до 100 км/ч у автомобиля на стандартной коробки передач занимает 12,64с.
В таблице 9 приведены значения расчета времени разгона для модернизированной коробки передач.
Таблица 9 - Расчет времени разгона, для автомобиля, оснащенного модернизированной коробкой передач:
| Интервал скорости | F, |
|
Время разгона до конечной скорости в интервале, с | ||
| Номер интервала | Начальная скорость в интервале, км/ч | Конечная скорость в интервале, км/ч | |||
| 1 | 0 | 46 | 4,46 | 4,46 | 2,95 |
| 2 | 46 | 68 | 3,75 | 8,21 | 2,5 |
| 3 | 68 | 96 | 8 | 16,21 | 5,28 |
| 4 | 96 | 100 | 0,675 | 16,885 | 0,45 |
Вывод: разгон до 100 км/ч у автомобиля с модернизированной коробкой передач занимает 11,2с.
4.ВЫВОД
Мы модернизировали коробку передач автомобиля Лада Калина. Установили спортивный ряд коробки переключения передач. В результате возросла приемистость. Время разгона до 100 км/ч снизилось на 1,4 сек.
5.СПИСОК ИСПОЛЬЗУЕМОЙ ЛИТЕРАТУРЫ
1. Проектировочный тяговый расчет автомобиля: учебно-методическое пособие/ Л.А. Родионов, Е.Р.Шадыев-Самара:Самарский Государственный Технический Университет 2008 -58 страниц.
2.http://www.auto99.ru/?page=69.
3.http://www.auto99.ru/?page=110.
4.http://www.tuningsport.ru/transmission_tuning.php.