| Скачать .docx |
Реферат: Исследование аккумуляторной батареи
Лабораторная работа №1
«Исследование аккумуляторной батареи»
1 – корпус; 2 – крышка; 3 – положительный вывод; 4 – межэлементное соединение;
5 – отрицательный вывод ; 6 – пробка; 7 – индикатор для проверки уровня электролита;
8 – сепаратор; 9 – положительная пластина; 10 – отрицательная пластина.
Корпус батареи имеет шесть секций, в которых размещены шесть последовательно соединенных элементов, напряжением по 2 В. Каждый элемент состоит из положительных и отрицательных пластин, разделенных тонкими и пористыми пластмассовыми пластинами (сепараторами). Малая толщина и большая пористость сепараторов обеспечивает низкое внутренне сопротивление батареи и, тем самым, позволяют получить низкое внутреннее сопротивление батареи и, тем самым, позволяют получить большую силу разрядного тока при низких температурах. В элементы залит электролит, которым служит раствор серной кислоты в дистиллированной воде. Электролит заливается до уровня, на 10-15 мм выше верхнего края сепараторов, или предохранительного щитка. Пластины элементов представляют собой решетки, отлитые из сплава свинца и сурьмы. Ячейки решеток заполнены пористой активной массой. У заряженной батареи активная масса положительных пластин состоит из перекиси свинца (коричневого цвета), а отрицательных – из губчатого свинца (серого цвета). При разряде батареи активная масса положительных и отрицательных пластин превращается в мелкокристаллический сернокислый свинец (белого цвета).
Техническая характеристика аккумуляторной батареи 6СТ55А
Тип батареи 6СТ55А
Номинальное напряжение, В 12
Номинальная емкость при 20-часовом режиме разряда,
и температуре электролита 25°С в начале разряда, А´ч 55
Разрядная сила тока при 20-часовом режиме разряда, А 2,75
Разрядная сила тока при стартерном режиме и температуре
электролита -18° С, А 255
Напряжение после 30с разряда при стартерном режиме, В ³8,4
Время разряда при стартерном режиме до напряжения 6 В, мин ³3
Сила тока разряда, А 5,5
Объем заливаемого электролита, л 3,8
Габаритные размеры, мм:
Длина 260±1
Ширина 172±1
Высота 223±1
Масса, кг:
с электролитом 21
без электролита 17
Маркировка: 6 СТ 55
Стартерная автомобильная батарея, с шестью последовательно соединенными аккумуляторами, двенадцативольтовая, номинальной емкостью 55 А´ч.
Первая цифра указывает число аккумуляторов в батарее; буквы СТ – тип батареи (стартерная), следующие за этими буквами число – номинальную емкость батареи (55 А´ч)
Последующие буквы – материал моноблока, сепараторов. После всех указанных цифр и букв наносится номер ГОСТа, по которому изготовлена батарея.
Физические процессы, происходящие в аккумуляторе.
Связаны со
свойством электролитического растворения металлов, которое заклю-
чается, в переходе положительно заряженных ионов металла в раствор.
Причем легкоокисляющиеся металлы (свинец) обладают этим свойст-
вом в большей степени, чем трудноокисляющиеся. При погружении
электрода, на котором образовался свинец, в раствор электролита от
свинца начнут отщепляться положительно заряженные ионы свинца и
переходить в раствор, при этом электрод будет заряжаться о-
трицательно. По мере протекания процесса возрастает разность потенци-
алов раствора и электрода, следовательно, возрастает и осмотическое
давление положительных ионов раствора. Вследствие этого переход ио-
нов свинца в раствор не может продолжаться долго и при какой-то
определенной разности потенциалов электрода и раствора наступит
равновесие между силой электролитической упругости растворения
свинца, с одной стороны, и силами электростатического поля и осмоти-
ческого давления с другой. В результате, растворение свинца пре-
кратится.
При погружении положительного электрода в раствор серной кисло-
ты происходит то же явление, но результат получается иной: двуокись
свинца положительного электрода, в ограниченном количестве перехо-
дит в раствор, где при соединении с водой ионизируется на четырех-
валентные ионы свинца. и одновалентные ионы гидрокисла ОН —.
Четырехвалентные ионы свинца, осаждаясь на электроде, создают по-
ложительный потенциал относительно раствора.
При указанных концентрациях серная кислота диссоциирует в воде практически только на ионы H+ и HSO4- . Поэтому реакции на электродах описывается следующими
следующими уравнениями:
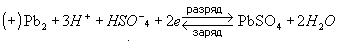
Общая токообразующая реакция в аккумуляторе:
Таким образом, при разряде аккумулятора расходуется серная кислота, образуется вода, а на обоих электродах – сульфат свинца. При заряде процессы протекают в обратном направлении.
Приготовление электролита
Электролит изготовляют из смеси аккумуляторной серной кислоты с дистиллированной водой. Электролит готовят в фаянсовой, керамической, или эбонитовой посуде. В стеклянной посуде электролит готовить нельзя, так как стекло может лопнуть от высоких температур. Кислоту тонкой струей вливают в воду, непрерывно помешивая раствор стеклянной, или эбонитовой палочкой. Воду в кислоту вливать нельзя, для предотвращения разбрызгивания.
Плотность электролита контролируется ареометром, и при изменении окружающей температуры меняется, поэтому, в зависимости от температуры электролита, при измерении следует учитывать поправки:
| Температура электролита, °С | Поправка, г/см3 |
от –40 до –26 от –25 до –11 от –10 до +4 от +5 до +19 от +20 до +30 от +31 до +45 |
-0,04 -0,03 -0,02 -0,01 0,00 +0,01 |
В зависимости от климатической зоны, в аккумуляторную батарею заливается электролит плотностью:
| Климатический район °С | Время года | Полностью заряженная батарея | Батарея разряжена | |
| на 25 % | на 50 % | |||
| Очень холодный (от –50 до -30) | Зима | 1,30 | 1,26 | 1,22 |
| Лето | 1,28 | 1,24 | 1,20 | |
| Холодный (от –30 до -15) | Круглый год | 1,28 | 1,24 | 1,20 |
| Умеренный (от –15 до -8) | Круглый год | 1,28 | 1,24 | 1,20 |
| Теплый влажный (от 0 до +4) | Круглый год | 1,23 | 1,19 | 1,15 |
| Жаркий сухой (-15 до +4) | Круглый год | 1,23 | 1,19 | 1,15 |
Проверка степени разряженности аккумуляторной батареи
Проверка должна производиться измерением плотности электролита, а так же замером напряжения на выводных клеммах аккумуляторной батарей. У полностью заряженной батареи, напряжение должно быть не ниже 12 В, и плотность соответствовать норме.
Таблица определения степени разряженности аккумуляторной батареи по плотности электролита.
| Состояния аккумуляторной батареи | Плотность электролита, приведенная к +15°С (288°К), и температура его замерзания | |||||
Полностью заряжена Температура замерзания эл-та: °С °К |
1,31 -77 196 |
1,29 -74 199 |
1,28 -68 205 |
1,27 -58 215 |
1,25 -50 223 |
1,24 -42 231 |
Разряжена на 25 % (зимой) Температура замерзания эл-та: °С °К |
1,27 -58 215 |
1,25 -50 223 |
1,24 -42 231 |
1,23 -40 233 |
1,21 -28 245 |
1,20 -25 248 |
Разряжена на 50 % (летом) Температура замерзания эл-та: °С °К |
1,23 -40 233 |
1,21 -28 245 |
1,20 -25 248 |
1,19 -22 251 |
1,17 -18 253 |
1,16 -16 257 |
Работоспособность аккумуляторной батареи определят проверкой ее под нагрузкой. Кислотные аккумуляторные батареи имеют свойство снижать напряжение под большой нагрузкой. Чем более разряжена батарея, тем интенсивнее падает в ней напряжение при нагрузке. Для проверки для проверки степени разряженности аккумуляторной батареи, под нагрузкой, используют специальные приборы. Проверка осуществляется так: переключателем нагрузки включают нагрузочное сопротивление, соответствующее емкости проверяемой батареи. После выдерживания под нагрузкой около 5 секунд, фиксируют показания вольтметра. По показаниям определяют степень разряженности аккумуляторной батареи.
Основные параметры аккумуляторных батарей:
Основным параметром, характеризующим аккумуляторную батарею, является ее электродвижущая сила Е. ЭДС батареи состоящей из последовательно соединенных аккумуляторов, определяется сложением ЭДС каждого аккумулятора. ЭДС свинцового аккумулятора зависит только от химических и физических свойств веществ, участвующих в электродных процессах, и совершенно не зависит от размеров электрода и количества активных материалов. ЭДС одного аккумулятора определяется как разность равновесных потенциалов положительного и отрицательного электродов:
Потенциалом электрода j называется разность потенциалов между данным электродом и условным электродом сравнения.
Активность электролита зависит от его концентрации, то есть от плотности. Поскольку электролит принимая участие в электрохимических реакциях изменяет свою плотность, изменяются потенциалы электродов j и соответственно ЭДС аккумулятора.
График зависимости ЭДС и потенциалов электродов от плотности электролита:

Для практических целей, ЭДС может быть определена по эмпирической формуле, дающей хорошее приближение:
Если измерения проводились при температуре Т, отличной от +25°С, то необходимо откорректировать показания плотности по формуле:
Омическое сопротивление батареи является суммой сопротивления электролита, сепараторов, активной массы, решеток и соединительных элементов . Под сопротивлением электролита подразумевается сопротивление той его части, которая находится между электродами. Таким образом, можно записать, что общее оммическое сопротивление батареи при разряде равно:
![]()
Заряд аккумуляторной батареи.
Заряд аккумуляторных батарей можно производить от любого источника постоянного тока, при условии, что его напряжение больше чем напряжение заряжаемой батареи. Для заряда положительный полюс источника тока должен быть соединен с положительной полюсом заряжаемой батареи, а отрицательный – с отрицательным.
Для любого момента заряда величина тока может быть найдена по формуле:
R – общее сопротивление заряжаемой цепи, Ом. Uист – напряжение источника тока, Uб – напряжение батареи в данный момент заряда.
Из этой формулы следует, что при равенстве напряжения зарядного устройства и батареи, зарядный ток равен нулю. Если напряжение батареи меньше напряжения зарядного устройства, зарядный ток больше нуля. Если напряжение батареи больше напряжения зарядного устройства, ток меняет первоначальное направление и батарея будет разряжаться.
Различают два типа заряда: при постоянном токе и при постоянном напряжении.
Заряд при постоянном токе: удобство этого способа является простота расчета количества электричества сообщенного батарее, как произведения тока и времени заряда. Этот способ имеет свои недостатки: при малом токе время заряда велико. При большом токе к концу заряда ухудшается заряжаемость и наблюдается значительное повышение температуры электролита, что снижает срок ее службы. Определена оптимальная величина тока заряда 0,1 С, А. Методом заряда при постоянном токе можно заряжать большое количество батарей.
При использовании метода заряда при постоянном напряжении в первый момент зарядный ток достигает больших значений. В процессе заряда, когда напряжение батареи постепенно возрастает, сила тока понижается и к концу заряда становится значительно меньше, чем сила тока при заряде методом постоянного тока. Средняя величина тока при правильно выбранном значении напряжения приблизительно равна 0,1 С, А.
На автомобиле заряд происходит при постоянном напряжении.
При заряде батареи необходимо периодически проверять температуру электролита и не допускать ее повышения выше 40°С. Если темпера достигнет 40°С, то следует уменьшить наполовину зарядный ток, или прервать заряд и охладить батарею до 27°С. Заряд прекращается, когда начинается обильное газовыделение газа во всех отсеках батареи, и напряжение и плотность электролита в течение последних 3 часов заряда будут оставаться постоянными.
Конструкция зарядного устройства состоит из следующих устройств: источник энергии (трансформатор) напряжением выше 12В, выпрямительный блок, реостат для регулировки силы тока, вольтметр, амперметр.