| Скачать .docx |
Реферат: Задачи транспортного обеспечение коммерческой деятельности
ЗАДАЧИ ТРАНСПОРТНОГО ОБЕСПЕЧЕНИЯ КОММЕРЧЕСКОЙ ДЕЯТЕЛЬНОСТИ
1.1. Понятие и элементы коммерческой деятельности. Место транспортного обеспечения в коммерции.
Коммерческая деятельность - это система оперативно-организационных мероприятий, направленных на совершение купли-продажи товаров для удовлетворения спроса населения и получения прибыли. Коммерция как вид деятельности предполагает рациональную организацию коммерческих процессов в торговле с целью их наиболее эффективного выполнения, быстрейшего доведения товаров до конечных потребителей путем осуществления актов купли-продажи.
Именно коммерция является базисом товарного обращения, выполняет его основную функцию - смену формы стоимости. Однако этим функции коммерческой деятельности не ограничиваются, так как товарное обращение невозможно без мероприятий, снизанных с продолжением процесса производства уже в сфере обращения.
Таким образом, процессы, обеспечивающие товарообращение, можно представить в виде следующей схемы (рис. 1.1).
Целесообразно расшифровать элементы товарообращения.
Коммерческие процессы - процессы, связанные непосредственно со сменой стоимости, т.е. с куплей-продажей товаров.
Торговые услуги - услуги, необходимые для обслуживания покупателя. В настоящее время эта сфера все более расширяется и включает все больше дополнительных услуг: доставку товаров на дом, сбоку и установку товара, прием заказов у покупателей.
Технологические процессы - процессы, связанные с физическим продвижением товара как потребительной стоимости и являющиеся продолжением процесса производства в сфере обращения.

Рис. 1.1. Структура коммерческой деятельности.
Технологические процессы - важнейшее связующее звено между продавцом и покупателем, без которого невозможно осуществлять коммерческую деятельность. Место транспорта в производственно-коммерческой цепи показано на рис. 1.2.

Рис. 1.2. Место транспорта в производственно-коммерческой цепи
Таким образом, транспортное обеспечение является структурным составляющим предпринимательской деятельности. Выбор схемы и технологии перевозки существенно влияет на многие сферы предпринимательской деятельности: конкурентоспособность, цену и качество товара, его доступность и привлекательность, что в свою очередь сказывается на прибыли коммерческой организации.
Очевидно, что для того чтобы товар был использован, его необходимо доставить к потребителю. Как таковое, производство без потребления бессмысленно. Целью деятельности транспорта является перемещение товара от мест производства к месту их потребления.
Транспорт не только завершает производственный процесс коммерческого предприятия, но также является элементом маркетинга, так как помогает стимулировать продажи. Для сохранения качества своего товара и обеспечения высокого уровня продажного сервиса коммерсанту необходимо комплексно подходить к выбору транспортной схемы и впоследствии производить анализ влияния выбранной технологии перевозок.
При выборе того или иного варианта транспортировки необходимо учитывать следующие моменты.
Условия поставки должны в наибольшей степени удовлетворять требованиям покупателя и реализовывать возможности продавца. В данном случае чем больше услуг по поставке (перевозке) товара будет предоставлено покупателю и чем качественнее будут эти услуги, тем выше будет конкурентоспособность продавца.
Вид транспорта и вид подвижного состава должны обеспечивать качественную перевозку, т.е. допустимую для данного вида груза скорость, необходимые нормы сохранности, нужную регулярность отправок и т.п.
Следует учитывать влияние стоимости перевозки на цену контракта, так как чересчур дорогой вид транспортировки, хоть и очень качественный, может существенно снизить конкурентоспособность товара.
Для повышения качества сервиса рекомендуется осуществлять транспортное страхование, которое обеспечивало бы страхователю возмещение убытков, связанных с некачественной транспортировкой грузов.
При осуществлении внешнеэкономических контрактов необходимо определять условия оформления таможенных документов и оплату таможенных пошлин.
Подробное детальное решение этих задач может в значительной степени защитить предпринимателя от различных недоразумений производственного и коммерческого характера и укрепить его положение на рынке.
1.2. Место транспорта в политике распределения коммерческого предприятия

Рис. 1.3. Процесс распределения товаров
Пространственная и временная разобщенность требует значительных затрат на доставку до потребителя товаров и оказание услуг клиентам. Поэтому каждое коммерческое предприятие осуществляет политику распределения. Сам процесс распределения представляет собой совокупность стадий, действий и мероприятий по выявлению, определению, выбору и привлечению потребителей, рационализации путей и средств поставки товаров согласно условиям договора купли-продажи, обоснованию способов и видов складирования этих товаров (рис. 1.3). С процессом распределения связаны все решения, так или иначе соприкасаемые с движением товара от производителя к потребителю.
Политика распределения - совокупность и направление действий по разработке и реализации комплекса маркетинга (распределительного микса), входящих в этот комплекс действий и oпeраций по доведению продукта до конечного потребителя (рис. 1.4).

Рис. 1.4. Распределительный комплекс маркетинга
Политика распределения направлена на создание и поддержание эффективного взаимодействия между всеми субъектами экономической системы, которые осуществляют перемещение подготовленного для продажи товара определенных качества и количества в конкретное время в установленное место. В коммерческом отношении такая взаимосвязь обеспечивает предпринимателю получение запланированной прибыли и наиболее качественное удовлетворение потребностей покупателей.
Организация товародвижения осуществляется посредством каналов сбыта и путей сбыта.
Канал сбыта - совокупность юридических и (или) физических лиц, а также средства цепи движения товара, которые осуществляют передачу очередному субъекту цепи распределения права собственности на конкретный товар или услугу на их пути от производителя к потребителю.
Путь сбыта - способ, при помощи которого осуществляется перемещение товара от производителя к потребителю. От выбранного канала зависят скорость, время, эффективность движения и качество поставки товара. Выбор пути распределения предполагает технико-экономическое обоснование с учетом социально-экологических факторов.
Товар как фактор системы распределения имеет следующие характеристики:
1. способность к складированию;
2. транспортабельность;
3. уровень непрерывности, частота потребности в продукте;
4. отзывы о потреблении продукта.
Одновременно с этим система распределения сама включает функции, обеспечивающие конкурентоспособность товара. К этим функциям относятся:
· накопление, сортировка и размещение товаров;
· обеспечение сохранности и защиты товара, находящегося на хранении или в процессе передачи прав на владение им;
· передача прав собственности на товар от продавца к покупателю;
· поддержание коммуникаций, ведение переговоров и коммерческих сделок между покупателями и продавцами;
· концентрация и рассредоточение товаров.
Сбыт является неотъемлемым элементом коммерческой деятельности, так как он представляет собой завершающую, наиболее ответственную стадию достижения целей предпринимателя и обеспечения потребителей необходимыми товарами. Классической функцией сбыта является формирование и поддержание эффективной системы перемещения продукта от производителя до конечного потребителя. Эту же функцию, только с технологических позиций, выполняет транспорт. Таким образом, очевидно, что транспортное обеспечение непосредственно влияет на организацию сбыта, а значит, и на конкурентоспособность продукта. Рассмотрим более детально, какие факторы влияют на конкурентоспособность продукта. В практике маркетинга разработана следующая таблица оценки сильных и слабых сторон продукта (рис. 1.5).

Рис. 1.5. Анализ конкурентоспособности продукта по основным критериям
Как видно из рис. 1.5, транспорт влияет, по меньшей мере, на два критерия из шести: скорость поставки и надежность поставки. Кроме того, выбранная транспортная схема может существенно повлиять и на качество товара, и на связи с постоянными покупателями.
Перспективным направлением, позволяющим уменьшить ошибки при выборе транспорта, является логистика. Логистика в социально-экономическом аспекте изначально связана с организацией материально-технического и транспортного обслуживания. В общем, логистика - это сфера управленческой деятельности, совокупность сложившихся методологий, теорий, методов и способов исследования и оптимизации всех видов потоков (физических, информационных, финансовых, энергетических и т.д.), сопровождающих экономические, социальные, экологические и коммуникативные процессы в сфере формирования, создания, обращения и потребления товаров и услуг.

Рис. 1.6. Маркетинг-логистика как подсистема логистики
В частности, распределительная логистика охватывает исследование и оптимизацию потоков, сопровождающих процесс разработки стратегии распределения (выбор путей, каналов и органов сбыта продукции) и процесс формирования и функционирования системы физического перемещения товара по выбранному каналу. Распределительная логистика может быть разделена на две взаимодополняющие части: логистику стратегического распределения и логистику физического распределения (маркетинг-логистика). Очевидно, что маркетинг-логистика является разделом логистики, осуществляющим исследования и оптимизацию всех видов потоков, внутри которых происходит физическое перемещение товара по выбранной схеме (каналу, пути). Структура маркетинг-логистики в графическом виде приведена на рис. 1.6.
На рис. 1.6 видно, что транспорт занимает в управленческой производственной подсистеме значительную часть. В свою очередь рационализацию выбора транспортной схемы обеспечивает транспортная логистика. Главная цель маркетинг-логистики заключается в обеспечении готовности поставки товара покупателю с высоким уровнем сервиса их обслуживания и разумными затратами.
Выбор и реализация каналов и путей распределения являются одним из наиболее сложных вопросов коммерческой и управленческой деятельности. По данным исследователей, издержки на логистику в развитых странах составляют около 11-15% национального дохода. Неослабевающая актуальность проблем перемещения грузов подтверждается тем, что около 50% всех затрат на логистику приходится на транспорт. Расходы на транспорт относительно к производственным издержкам составляют 15-20%. Поэтому выделенная из системы маркетинг-логистики транспортная логистика является одной из важнейших частей организации производственной и коммерческой деятельности.
Транспортная логистика занимается определением потоков, которые предприятие осуществляет на внутреннем и внешнем уровнях производственно-коммерческой деятельности.
Задачами транспортной логистики, позволяющими достичь этой цели, являются:
· обоснование лизинга или привлечения транспортных средств от специализированных организаций;
· аренда транспортных средств;
· выбор оптимального комплекса, комбинации транспортных средств;
· определение оптимальных транспортных маршрутов;
· разработка планов использования и загрузки транспортных средств.
Очевидно, что повышение уровня сервиса требует дополнительных затрат, в том числе для улучшения обслуживания клиента за счет более быстрой и качественной транспортировки товара, необходимы дополнительные средства, которые могут более или менее сильно повлиять на продажную стоимость товара.
Выбор между собственным парком подвижного состава и услугами специализированной организации осуществляется с учетом удаленности потребителя, скорости, частоты и надежности поставок, пропускной способности, доступности, загруженности транспортных линий, а также стоимостных показателей, используемых топлива и электроэнергии.
Перемещение товаров может производиться посредством железнодорожного, воздушного, автомобильного, водного и трубопроводного видов транспорта. Очень часто при транспортировке комбинируются услуги нескольких видов транспорта. Непосредственно процесс перевозки даже при использовании только одного вида транспорта может выполняться по-разному.
При выборе вида транспорта наряду со стоимостными затратами (транспортные расходы, складские расходы, затраты на упаковку и т.д.) необходимо учитывать то, что во время непосредственно транспортировки возможны порча и утрата груза, потеря массы и другие виды рисков. Кроме того, задержка груза в пути следования может привести к отказу потребителя от товаров данного поставщика. В некоторых случаях за несвоевременную поставку грузов предусмотрены штрафы.
Во время выбора вида транспорта необходимо учитывать не только издержки, но и долгосрочные последствия, связанные с качеством сервиса и имиджем предприятия. Выбор транспорта зависит от множества таких факторов, как состояние рыночной конъюнктуры, устойчивость цен, уровень запасов товаров и сырья на предприятии. В связи с этим решения по выбору транспортной схемы, как правило, имеют краткосрочный, оперативный характер.
Глава 2. ТРАНСПОРТНАЯ ОБЕСПЕЧЕННОСТЬ И СИСТЕМА УПРАВЛЕНИЯ ТРАНСПОРТОМ
2.1. Сущность и общая характеристика транспорта
Транспорт - это отрасль материального производства, осуществляющая перевозки людей (пассажиров) и грузов, нормальную деятельность которого обеспечивают различные технические средства и сооружения. Транспорт имеет два основных аспекта. С одной стороны, он является элементом рыночной инфраструктуры, так как обеспечивает физическое распределение продукции материального производства. С другой стороны, транспорт - субъект экономических взаимоотношений, так как продает свои услуги, перемещая товары и пассажиров.
Транспорт выполняет ряд важных функций практически во всех сферах деятельности человека.
1. Экономическая функция заключается в том, что транспорт является необходимым звеном любого производства и материальной базой, обеспечивающей разделение труда, специализацию и кооперирование предприятий. Транспорт нужен для доставки всех видов сырья и продукции из пунктов производства в пункты потребления.
2. Политическая функция заключается в способности транспорта объединять регионы России. При помощи транспорта осуществляются связи между территориально разобщенными регионами государства, а также и международные отношения.
3. Социальная функция заключается в обеспечении трудовых и бытовых поездок людей, улучшении условий труда и комфортабельности отдыха, перевозке медикаментов и печатной продукции для всех уровней образования.
4. Культурная функция заключается в обеспечении общения между людьми. Транспорт осуществляет перевозку продукции печати (газет, журналов, книг), произведений искусства.
5. Оборонная функция заключается в том, что транспорт -материальная база для передвижения вооруженных сил, объектов военной экономики, а также он сам непосредственно является частью многих видов военного оружия.
В настоящее время любой вид транспорта должен удовлетворять следующим основным требованиям:
· оказывать транспортные услуги в необходимом объеме и должного качества;
· обеспечивать наибольшую экономичность работы и снижать себестоимость транспортных услуг;
· сокращать сроки доставки грузов с целью повышения качества перевозки;
· соблюдать регулярность отправления и прибытия грузов в соответствии с действующими графиками движения независимо от погодных и климатических условий, времени суток и других факторов, влияющих на перевозочный процесс;
· гарантировать максимальную сохранность перевозимых грузов;
· обеспечивать безопасность движения подвижного состава и деятельности людей в границах транспортных предприятий и подразделений;
· соблюдать экологичность деятельности, предотвращать загрязнение окружающей среды продуктами отходов деятельности транспорта.
Транспорт классифицируют по нескольким признакам.
1. В зависимости от назначения:
· транспорт общего пользования - такой вид транспорта, который осуществляет перевозки грузов, пассажиров и багажа при обращении любого гражданина или юридического лица;
· транспорт необщего пользования – внутриведомственный или внутрипроизводственный транспорт, а также транспортные средства всех видов, принадлежащие нетранспортным организациям.
Ведомственный транспорт промышленных предприятий называется промышленным транспортом. Подъездные пути - это пути, предназначенные для обслуживания отдельных предприятий, организаций. Они связаны с общей сетью железных дорог России рельсовой колеей.
2. В зависимости от специализации:
• универсальный транспорт - транспорт, способный осуществлять перевозки разнообразных видов груза;
• специализированный (специальный) транспорт, предназначенный для перевозок одного типа грузов.
3. В зависимости от способа перемещения:
· дискретный - любой транспорт, на котором грузи перемещаются по путям единицами или отдельными группами (партиями) при помощи независимо движущихся транспортных единиц (автомобилей, поездов, судов, самолетов и т.д.);
· непрерывный транспорт - транспорт, который обеспечивает перевозку в виде непрерывного потока при помощи гибких лент, эскалаторов, трубопроводов.
Транспорт - это сложная инфраструктура, включающая множество разнообразных элементов. В настоящее время все виды транспорта так или иначе взаимосвязаны и вместе представляют собой систему. Транспортная система - совокупность различных видов транспорта, обычно ограниченных территориально, находящихся в зависимости и взаимодействии при выполнении перевозок. Транспортная система как самостоятельная отрасль народного хозяйства включает четыре основные подсистемы.
Транспортная сеть - совокупность всех путей сообщения (общего и необщего пользования), связывающих населенные пункты страны или отдельного региона.
Подвижные транспортные средства независимо от формы собственности на них.
Трудовые ресурсы, осуществляющие транспортировку и создание добавленной стоимости.
Система управления всеми видами транспорта.
Россия располагает хорошо развитой, мощной транспортной системой, которая включает железнодорожный, автомобильный, морской, речной, воздушный и трубопроводный транспорт.
В настоящее время транспортный рынок находится в состоянии формирования. По данным Министерства транспорта РФ, в 2002 г. на территории России услуги автомобильного транспорта клиентам предлагали около 5,05 тыс. перевозчиков, услуги водного транспорта - около 1 тыс. судовладельцев, услуги воздушного транспорта - около 200 перевозчиков различной формы собственности.
Несмотря на сильную изношенность основных фондов транспортной системы, Россия обладает достаточным потенциалом для создания современной инфраструктуры путей сообщения. Развитие новых технологий перевозок положительно скажется на многих отраслях промышленности и социальной сфере.
2.2. Понятие транспортной услуги и ее основные особенности
До конца XX в. понятие «транспортная услуга» не применялось при организации и управлении транспортом. Под транспортной услугой понималась непосредственно перевозка, измеряемая такими валовыми показателями, как объем погрузки и выгрузки, грузооборот и т.п. Однако такой способ оценки учитывал лишь количественный аспект работы транспорта. В условиях рыночной экономики в понятие «услуга» помимо объемов выполнения необходимо включать и уровень качества и сервиса, сопровождающего осуществление услуги.
В принципе услуга - это не создающая материальных благ деятельность по удовлетворению потребностей отдельных лиц и общества в целом. Международный стандарт ISO 8402-86 дает следующее определение: услуга - это результат деятельности или процессов (услуга как нематериальная продукция); деятельность или процесс включает предоставление услуги. Таким образом, услуга - это деятельность, связанная с обменом стоимостей, направленная на удовлетворение потребностей, выраженных в форме спроса, которая не сводится к передаче права собственности па некоторый материальный продукт.
Транспортная услуга как таковая относится к сфере материального производства. Не преобразовывая непосредственно сырье и материалы, транспорт создает потребительную стоимость. Транспортная услуга является конечным процессом материального производства и одновременно начальным этапом производственного или конечного потребления.
В настоящее время под услугой понимается непосредственно перемещение грузов в пространстве, а также любая операция, не являющаяся движенческой, но обеспечивающая его подготовку и осуществление, а именно: упаковка и маркировка грузов, их пакетирование, промежуточное хранение, предоставление грузовладельцу необходимой информации и т.п.
Таким образом, основной вид транспортной услуги - это перевозка грузов, но, как правило, она сопровождается предоставлением целого комплекса дополнительных услуг.
К основным транспортным услугам относятся:
• перевозка грузов, почты;
• погрузочно-разгрузочные операции (погрузка, выгрузка перегрузка и т.д.);
• хранение грузов;
• подготовка транспортных средств к перевозке грузов;
• предоставление перевозочных средств на условиях аренды, проката;
• транспортно-экспедиционные и дополнительные операции, выполняемые при перевозке грузов, багажа и др., по обслуживанию предприятий, организаций, населения;
• перегон новых и отремонтированных перевозочных средств.
Все виды материальных услуг могут выполняться только при обеспечении нематериальных услуг, которые сопутствуют физическому распределению. К ним можно отнести маркетинговые, коммерческие, информационные услуги, услуги страхования и др. Большое число факторов, влияющих на вид и специализацию транспортной услуги, позволяет систематизировать услуги в три большие группы:
1) по признаку взаимосвязи с основной деятельностью предприятий различают:
• перевозочные услуги;
• непереврзочные услуги;
2) по виду потребителя, которому предоставляется услуга:
• внешние услуги предоставляются нетранспортным предприятиям и организациям;
• внутренние услуги предоставляются другим предприятиям и организациям транспортных отраслей;
3) по характеру услуги:
• технологические;
• коммерческие;
• информационные и др.
В силу того, что транспорт, являясь сферой материального производства, не производит вещественной продукции как таковой, транспортная услуга имеет ряд специфических особенностей:
• транспортная услуга является продолжением процесса производства в сфере обращения; процесс производства заканчивается в момент передачи продукции ее потребителю. Сама по себе транспортная услуга существовать не может, она обязательно обеспечивает коммерческую деятельность нетранспортных предприятий;
• услуга не может существовать вне процесса ее производства, а значит, нельзя сформировать запасы услуги;
• предоставление услуги - это продажа процесса труда, а значит, качество услуги - это качество ее выполнения, т.е. качество труда;
• потребительная стоимость услуги возникает при строгом соблюдении временных ограничений, направления движения товара и других условий, что сужает возможность ее конкурентной замены;
• спрос на услуги подвержен резким колебаниям в зависимости от временных и пространственных параметров, транспорт не имеет ресурсов, позволяющих сглаживать неравномерности спроса.
Спрос на услуги конкретного вида транспорта определяется, в частности, развитием в регионе других видов транспорта, степенью их интеграции, уровнем транспортных тарифов, качеством сервиса, предоставляемого потребителям различными видами транспортных предприятий и организаций.
Выделяют два основных направления организации транспортных услуг:
1) приспособление ассортимента предлагаемых услуг к конкретным специфическим условиям перевозки товара грузовладельцев;
2) активное формирование потребности, а значит, и спроса на транспортную услугу.
Проблема эффективности распределения товаров и повышения уровня качества транспортного обслуживания в условиях рыночной экономики связана с проблемой качества услуг. Только высокий уровень качества обслуживания помогает транспортным предприятиям занять и удержать экономическую нишу на рынке транспортных услуг. При этом высокий уровень сервиса и эффективности обслуживания должен сопровождаться соответствующим уровнем материально-технического обеспечения, а именно: развитой системой складских и контейнерных терминалов, современной погрузочно-разгрузочной техникой, электронными средствами информации и управления.
При обеспечении высокого качества транспортных услуг возникает следующая проблемная ситуация. Транспортные предприятия и организации пытаются достичь высокого качества перевозки путем предоставления заказчикам как можно большего количества сопутствующих транспортных услуг. Однако такое комплексное обслуживание с более широким ассортиментом, чем это необходимо потребителю, существенно повышает стоимость транспортной услуги, что может значительно повысить цену перевозимого груза.
Поэтому при выборе того или иного комплекса транспортных услуг следует учитывать целесообразность и выгодность их использования.
Глава 3. УСЛОВИЯ ПОСТАВКИ ТОВАРА КАК ОСНОВА ВЫБОРА СХЕМЫ ТРАНСПОРТИРОВКИ. ПРАВОВЫЕ АСПЕКТЫ ТРАНСПОРТНОГО ОБЕСПЕЧЕНИЯ
3.1. Базисные условия поставки
Транспорт обеспечивает одно из важнейших условий любого коммерческого договора - поставку товара. Поэтому в договоре купли-продажи необходимо отдельными главами выделять такие важные моменты, как базисные условия поставки, сроки поставки, транспортное страхование и др.
При заключении договора купли-продажи в международной и внутрироссийской предпринимательской деятельности следует грамотно оговаривать условия купли-продажи товара. Простые, унифицированные положения договора, определяющие взаимоотношения сторон, могут стать причиной недоразумений. Подробное же изложение прав и обязанностей покупателя и продавца приводит к снижению риска того, что стороны по-разному трактуют условия договора.
Система обязательств между продавцом и покупателем при различных факторах, влияющих на коммерческую деятельность (куплю-продажу), называется базисными условиями поставки.
В торгово-транспортной практике с течением времени выработался ряд традиций, которые уже не было смысла расшифровывать, а достаточно было просто обозначить их в контракте. В 1936 г. Международная торговая палата создала сборник таких торгово-транспортных правил «ИНКОТЕРМС» (Incoterms), которые официально регламентируют определенные права и обязанности сторон при исполнении условий договора.
С момента издания «ИНКОТЕРМС» в 1936 г. они редакторовались в 1953, 1967, 1976, 1980, 1990 гг. Такая регулярность корректировки международных терминов связана с постоянно меняющейся экономической обстановкой в мире, а также с накоплением опыта в сфере коммерческой деятельности. Последняя редакция «ИНКОТЕРМС» была осуществлена в 2000 г. Текст издания 2000 г. существенно отличается от редакции 1990 г. «ИНКОТЕРМС-2000» учитывает появление и развитие зон, свободных от таможенных платежей. Введение в практику электронных платежей нашло отражение в международных терминах. В данной редакции также принято во внимание, что технология перевозочных процессов все время прогрессирует.
Следует отметить, что, несмотря на то, что «ИНКОТЕРМС» официально рекомендован для обеспечения международных контрактов, он широко используется при составлении договоров между российскими предпринимателями для поставок товаров внутри страны.
Термины же «ИНКОТЕРМС» учитывают целый ряд условий, обеспечивающих коммерческую и юридическую основу взаимоотношений между сторонами. Официальное описание каждого термина начинается с краткого определения, а затем идет более детальное описание прав и обязанностей как продавца, так и покупателя. Всего в каждом термине выделено по 10 стандартных пунктов, которые повторяются во всех терминах, но расшифровываются в соответствии с понятием каждого отдельного термина. В официальном издании «ИНКОТЕРМС» перечисление обязанностей представлено в следующем виде:
А. ОБЯЗАННОСТИ Б. ОБЯЗАННОСТИ
ПРОДАВЦА ПОКУПАТЕЛЯ
А.1. Предоставление товара в со- Б.1. Уплата цены.
ответствии с договором.
А.2. Лицензии, свидетельства и Б.2. Лицензии, свидетельства и
иные формальности. иные формальности.
А.З. Договоры перевозки и страхе» Б.З. Договоры перевозки и стра-
вания. хования.
А.4. Поставка. Б.4. Принятие поставки.
А.5. Переход рисков. Б.5. Переход рисков.
А.6. Распределение расходов. Б.6. Распределение расходов.
А.7. Извещение покупателю. Б.7. Извещение продавцу.
А.8. Доказательства поставки, Б.8. Доказательства поставки,
транспортные документы или транспортные документы
эквивалентные электронные или эквивалентные элек-
сообщения. тронные сообщения.
А.9. Проверка - упаковка - марки- Б.9. Проверка - упаковка - мар-
ровка. кировка.
А. 10. Другие обязанности. Б. 10. Другие обязанности.
Всего в «ИНКОТЕРМС» содержится 13 базисных условий поставки, которые разделены на четыре группы: «Е», «С», «F», «D». Целесообразно кратко рассмотреть каждый термин.
Группа «Е». Отправление.
EXW (EX WORKS) ФРАНКО-ЗАВОД (название места). Согласно данному термину считается, что продавец выполнил все свои обязательства по поставке, если он предоставил товар покупателю на территории своего предприятия или в другом названном месте. Все расходы, связанные с погрузочно-разгрузочными работами, транспортировкой, а также с оплатой таможенных пошлин, несет покупатель.
Группа «F». Основная перевозка не оплачена.
FCA (FREE CARRIER) ФРАНКО-ПЕРЕВОЗЧИК (название места). Данное условие предполагает, что продавец доставляет перевозчику товар, прошедший таможенную очистку, в место, указанное покупателем. В этом случае выбор места передачи товара существенно влияет на условия по обеспечению погрузочно-разгрузочных работ. Если передача товара происходит на территории, принадлежащей продавцу, то он и ответствен за отгрузку товара. В случае, если поставка осуществляется на другой территории, то продавец товара ответственности не несет. Под термином «перевозчик» понимается любое лицо, которое на основании договора перевозки обязуется осуществить или организовать перевозку посредством любого вида транспорта. Данный термин используется при транспортировке любым видом транспорта, включая смешанные перевозки.
FAS (FREE ALONGSIDE SHIP) ФРАНКО ВДОЛЬ БОРТА СУДНА (название порта отгрузки). Согласно этому термину продавец считается выполнившим свои обязательства в момент, когда товар размещен вдоль борта судна на причале или на лихтерах в указанном порту отгрузки. С этого времени все расходы и риски переходят на покупателя. Продавец также осуществляет таможенную очистку товара для экспорта (в отличие от редакции 1990 г., где таможенная очистка производилась покупателем). Данный термин применяется исключительно для перевозок водным видом транспорта.
FOB (FREE ON BOARD) ФРАНКО-БОРТ (название борта отгрузки). Термин означает, что продавец исполнил все свои обязанности тогда, когда товар перешел через поручни названного судна в порту отгрузки, указанном в договоре. С этого момента времени все расходы и риски ложатся на покупателя. Ответственность за таможенную очистку товара для экспорта в данном случае возлагается на продавца. Данный термин используется только для перевозок водным видом транспорта.
Группа «С». Основная перевозка оплачена.
CFR (COST AND FREIGHT) СТОИМОСТЬ И ФРАХТ (название порта назначения). Этот термин возлагает на продавца обязанность расчетов за перевозку товара до порта назначения и фрахт судна; оплата расходов по таможенной очистке также является обязанностью продавца. В соответствии с этим условием считается, что продавец выполнил все свои обязательства в момент времени, когда товар перешел через поручни судна в порту отгрузки. Тогда же, несмотря на оплаченную продавцом перевозку, риск потери и повреждения товара, а также непредвиденные расходы, которые возникают в процессе перевозки, переходят на покупателя. Данный термин может применяться только при перевозке водным видом транспорта.
CIF (COST, INSRANCE AND FREIGHT) СТОИМОСТЬ, СТРАХОВАНИЕ И ФРАХТ (название порта назначения). Согласно этому термину на продавца возлагаются расходы по перевозке груза до порта назначения, расчеты за фрахт судна, страхование товара от риска потери или повреждения груза в пути следования в пользу покупателя. Также продавец несет ответственность за таможенную очистку товара, предназначенного на экспорт. Считается, что продавец выполнил свои обязательства с момента пересечения товаром поручней зафрахтованного судна в порту отгрузки. Однако, несмотря на то, что перевозка и страхование данного груза были оплачены продавцом до порта назначения, все расходы и риски в пути следования товара несет покупатель с момента перехода товара через поручни в порту отгрузки. Следует оговорить, что согласно данному базисному условию поставки продавец обеспечивает страхование с минимальным покрытием. Данный термин используется только при перевозке груза водным видом транспорта.
СРТ (CARRIAGE PAID TO) ФРАХТ/ПЕРЕВОЗКА ОПЛАЧЕН ДО (название места назначения). Данный термин предполагает, что продавец передает груз указанному в договоре перевозчику, а также берет на себя обязательства по очистке от таможенных платежей товара, предназначенного на экспорт, и оплачивает непосредственно транспортировку грузов. Покупатель несет все расходы и риски потери или повреждения товара в пути следования до пункта назначения с момента передачи товара продавцом перевозчику. Если транспортировка оговоренной партии товара осуществляется несколькими перевозчиками, то переход расходов и рисков происходит в момент передачи товара первому из перевозчиков, которым был передан груз. Перевозчиком считается лицо, принявшее на себя обязательство обеспечить процесс перевозки товаров любым видом транспорта. Данный термин можно применять при транспортировке груза любым видом транспорта.
CIP (CARRIAGE AND INSURANCE PAID TO) ФРАХТ/ПЕВОЗКА И СТРАХОВАНИЕ ОПЛАЧЕНЫ ДО (название места назначения). Согласно этому термину продавец обязан перечить груз перевозчику. В обязанности продавца входят очистка товара от таможенных пошлин, оплата транспортировки товара но указанного в договоре пункта назначения. Кроме того, на продавца возлагается обязанность обеспечения страхования товара от рисков потери или повреждения в пути следования. Продавец обязан заключить договор страхования и оплатить страховые взносы, которые бы обеспечивали минимальное покрытие. Страхование производится в пользу покупателя. Однако все расходы и риски порчи или повреждения товара в пути следования несет покупатель. Считается, что продавец выполнил свои обязательства в момент передачи товара перевозчику. Данный термин используется при перевозке любым видом транспорта.
Группа «D». Прибытие.
DAF (DELIVERED AT FRONTER) ПОСТАВКА ДО ГРАНИЦЫ (название места поставки). Согласно данному условию считается, что продавец полностью выполнил обязательства перед покупателем в тот момент, когда предоставил покупателю товар на границе в пункте, оговоренном базисным условием. При этом товар должен быть неразгруженным и находиться на подвижном составе. Продавцу необходимо обеспечить таможенную очистку товара только для экспорта (таможенная очистка для импорта продавцом не предусматривается). Под термином «граница» понимается любая граница между государствами, поэтому очень важно конкретно указать место или пункт на пограничном переходе, куда должен быть доставлен груз. Данный термин применяется при перевозке грузов сухопутными видами транспорта.
DES (DELIVERED EX SHIP) ПОСТАВКА С СУДНА (название порта назначения). В соответствии с данным термином считается, что продавец выполнил обязательства перед покупателем в момент, когда он предоставил груз в распоряжение покупателя на борту судна в указанном порту назначения. При этом груз не должен быть очищен от таможенных пошлин для импорта. В данном случае продавец несет все расходы и риски по доставке груза в порт назначения. Риски, связанные с выгрузкой груза с судна, несет покупатель. Данный термин может применяться при перевозке груза водным видом транспорта или при смешанных перевозках, когда товар прибыл в порт назначения на судне.
DEQ (DELIVERED EX QUAY) ПОСТАВКА С ПРИСТАНИ (название порта назначения). Этот термин означает, что продавец исполнил все свои обязательства перед покупателем в момент, когда товар предоставлен в распоряжение покупателя на пристани указанного порта назначения. При этом на продавца не возлагаются обязанности по очистке груза от таможенных пошлин для импорта. Продавец несет все расходы и риски, связанные с перевозкой груза и выгрузкой его на пристань. Данный термин можно использовать только при перевозке груза водным видом транспорта.
DDU (DELIVERED DUTYUNPEID) ПОСТАВКА БЕЗ ОПЛАТЫ ПОШЛИНЫ (название места назначения). Данный термин предполагает, что продавец выполнил все свои обязательства по контракту в момент передачи покупателю товара в месте назначения, указанном в договоре. При этом предполагается, что к этому времени товар не прошел таможенную очистку для импорта и остается невыгруженным из транспортного средства. Продавец обязан нести все расходы и риски, связанные с транспортировкой товара до места назначения. Ответственность за проведение таможенной очистки, а также за оплату таможенных формальностей, таможенных сборов и налогов должен нести покупатель, ответственность, риски и расходы за выгрузку и перегрузку товара возлагаются на того, от чьего имени был указан пункт назначения. Данный термин может применяться при транспортировке любым видом транспорта.
DDP (DELEIVERED DUTY PAID) ПОСТАВКА С ОПЛАТОЙ ПОШЛИНЫ (название места назначения). Данный термин означает, что продавец предоставляет не выгруженный с транспорта товар в распоряжение покупателя в указанном месте назначения. При этом продавец несет ответственность за транспортировку товара, включая (где это требуется) любые сборы для импорта в страну назначения. Данный термин не может примениться, если продавец прямо или косвенно не может обеспечить получение импортной лицензии. Данный термин применяется при поставке любым видом транспорта.
Важной особенностью «ИНКОТЕРМС» как официального документа является то, что термины можно редактировать в зависимости от пожеланий сторон. Практика показывает, что в некоторых случаях может понадобиться корректировка, более конкретно отвечающая требованиям покупателя и продавца. Однако и в этом случае требуется подробное описание намерений сторон, пни того чтобы избежать разногласий. Например, при применении условия «EXW, включая погрузку», следует отдельно оговорить, что при погрузке товара продавцом на своей территории он несет или не несет ответственность за риски, связанные с погрузкой.
3.2. Сроки поставки товаров, предусматриваемые в коммерческих контрактах
Транспортные условия представляют собой особый раздел в договоре купли-продажи.
Выбранная схема перевозки товара в значительной степени влияет на такой важный раздел договора купли-продажи, как сроки поставки товаров. Срок поставки представляет собой фактическую дату исполнения продавцом обязательств, предусмотренных базисными условиями контракта.
К примеру, базисные условия предполагают, что срок поставки товара заканчивается:
• EXW - в момент извещения покупателя о готовности к передаче;
• FCA - в момент выдачи железнодорожной или автомобильной накладной;
• DAF - на дату штемпеля станции со стороны покупателя на железнодорожной или автомобильной накладной;
• CIP - на дату транспортного документа, подтверждающего принятие груза первым перевозчиком, и т.д.
В случае необходимости стороны договора могут оговорить в контракте иные условия, считающиеся исполнением обязательств по срокам поставки товара. При этом нужно учитывать соответствие раздела договора, обусловливающего сроки поставки, с другими положениями договора, например, момент перехода с продавца на покупателя рисков порчи и утраты товара, покрытие транспортных рисков страхованием и т.п.
Для более четкого соблюдения обязательств сторона, отвечающая за перевозку по определенному контракту, должна также уметь рассчитывать сроки непосредственной доставки груза из пункта отправления в пункт назначения. На железнодорожном транспорте срок транспортировки определяется за весь путь следования исходя из следующих норм:
• срок на отправление/прибытие - двое суток;
• срок на перевозку повагонной отправкой на каждые начатые 200 тарифных километров в пределах каждой дороги, участвующей в перевозке, - одни сутки.
Течение срока доставки груза начинается с 00 ч. дня, следующего за днем, в который груз принят к перевозке. О дне погрузки груза в накладной должна быть сделана отметка.
На железной дороге при совершении внешнеэкономических перевозок срок доставки удлиняется на двое суток при погрузке в вагоны другой ширины колеи, при смене колесных пар вагонов на пограничных станциях и при паромной переправе вагонов.
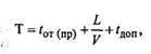
Таким образом, срок доставки товаров определяется по следующей формуле:

где tот(пр) - время на начальные (конечные) операций;
L - тарифное расстояние, км;
V - скорость доставки груза;
tдоп - время на дополнительные операции.
Срок доставки считается выполненным, если груз прибыл на место назначения до истечения срока доставки и может быть доставлен в распоряжение получателя, о чем перевозчик уведомляет получателя. Порядок уведомления устанавливается внутренними правилами.
При осуществлении междугородных перевозок автомобильным транспортом существуют особые условия расчета сроков доставки груза. Так, многие современные нормативно-правовые документы предусматривают максимальный срок доставки товара автомобильным транспортом из расчета 2000 км в месяц.
В большинстве случаев нарушение срока доставки происходит по вине перевозчика, который несет материальную ответственность за данное нарушение, предусмотренную договором перевозки либо нормативно-правовыми актами.
С начала 80-х годов XX в. широкое распространение получили системы «Канбан» и «Just in time» (точно в срок), построенные на основе точного расчета времени на транспортировку сырья и продукции, что позволяет существенно снизить затраты на складирование и увеличить скорость оборачиваемости оборотных средств.
«Канбан» - система эффективной синхронизации многоэтапного производства и доставки сырья, материалов и комплектующих. Высокая экономическая эффективность данной производственно-транспортной системы осуществляется при помощи так называемых карточек «канбан», прикрепляемых к комплектующим изделиям, поступающим на транспортную линию (или на внутрипроизводственный конвейер), и формирующих своим обращением гибкий текущий производственный график.
Точно в срок - система синхронного производства и поставки материалов, деталей и комплектующих изделий к месту производственного потребления или в торговую сеть в требуемом количестве и в нужное время.
Использование схем поставки, в которых сроки транспортировки тщательно рассчитаны, доказательство их эффективности привели к тому, что предприниматели стали предъявлять более высокие требования к времени доставки. Реализация данных систем достигается при соблюдении принципов строго по графику и увеличении скорости транспортных средств.
К примеру, в Европе многие промышленные предприятия сократили склады сырья с трехмесячной до месячной потребности производства. Японские заводы по производству электронной аппаратуры вообще отказались от складов и стали использовать в производстве материалы и комплектующие сразу после транспортировки.
Однако такая система опасна тем, что отсутствие запасов в случае чрезвычайных форс-мажорных ситуаций может привести к срыву плана производства. В качестве примера можно привести автомобильный завод «Тойота», работающий по принципу «точно в срок». В феврале 1997 г. на одном из заводов, производящем комплектующие детали, произошел пожар. В результате «Тойоте», отказавшейся от складов запасных частей, пришлось сократить выпуск автомобилей на 100 тыс. штук.
Поэтому при согласовании сроков поставки стороны должны реально учитывать окружающую экономическую рыночную среду и подстраховываться на случай непредвиденных неприятностей. В частности, сроки поставки грузов можно согласовать с перевозчиком или предусматривать не слишком жесткие сроки поставок.
В ситуации, когда для покупателя теряется смысл получения товара по истечении определенной даты или события, в контракте должно быть точно оговорено, что по истечении определенного срока или наступления даты обязательства продавца поставить товар и покупателя принять товар прекращаются. Поэтому коммерсанту важно рассчитывать срок транспортировки не только для снижения затрат, но и даже для того, чтобы сделка не сорвалась.
В тех случаях, когда в договоре купли-продажи по какой-либо причине не предусмотрена дата поставки, обязательства продавца должны быть исполнены в разумные сроки (ст. 314 ГК РФ). Под разумными сроками в данном случае понимается время, необходимое для производства заказанного товара и его оперативной транспортировки.
3.3. Транспортное страхование
Транспортное страхование является подразделом имущественного страхования. Само имущественное страхование представляет собой страхование имущества физических и юридических лиц, находящегося в собственности страхователя либо арендуемого им. (страховщик несет ответственность за прямой физический ущерб, нанесенный имущественным ценностям. Наряду с возмещением убытков страховщик должен предусмотреть проведение мероприятий по предотвращению или снижению потерь, обеспечению сохранности имущества.
Различают два вида транспортного страхования: страхование груза на период транспортировки и страхование средств перевозоки грузов.
Каско - страхование транспортных средств. В зависимости от вида транспорта каско подразделяется на:
• страхование средств наземного транспорта. Объектом данного вида страхования являются имущественные интересы, связанные с владением, пользованием и распоряжением наземным транспортным средством, вследствие повреждения или уничтожения, а также его угона или кражи;
• страхование средств воздушного транспорта. Данный вид предполагает страхование на случаи повреждения или уничтожения, угона, кражи транспортных средств, а также их комплектующих, включая моторы, мебель, внутреннюю отделку, оборудование;
• страхование средств водного транспорта. К рискам, связанным с владением, пользованием, распоряжением средствами водного транспорта, относятся повреждение или уничтожение, угон, кража подвижного состава, моторов, такелажа, внутренней отделки, оборудования и т.д.
Особенностью страхования средств транспорта является его краткосрочный характер. Обычно это годичное страхование при наличии франшизы и ограниченности ответственности. Например, при речном страховании судно не страхуется от пропажи без мести, за убытки, связанные с буксированием, а при страховании самолетов не страхуются опасность от обветшания, от полетов на приз, а также военные полеты.
Карго - страхование грузов от рисков потери, порчи или повреждения товара в пути следования. Объектом данного вида страхования являются имущественные интересы лица, в пользу которого был заключен договор страхования; страховой случай наступает в момент повреждения, уничтожения, пропажи грузов, потери ими своих качественных свойств и т.д. во время владения, пользования или распоряжения грузом стороной коммерческих отношений, на которой лежат вышеперечисленные виды рисков.
Страхование грузов имеет ряд особенностей:
1) страховой полис может свободно передаваться друг другу сторонами коммерческих отношений, при этом не требуется никакого заявления, так как страхование совпадает с погрузкой;
возможно страхование груза с покрытием выше его стоимости;
существуют возможности страхования грузов по так называемому генеральному полису.
Генеральный полис представляет собой договор страхователя со страховщиком, в котором оговаривается страхование всех отправляемых грузов данного лица в течение определенного периода времени. При наличии такого договора период страхования начинается с уведомления страховщика об отправке очередной партии груза. При этом страховщик экономит накладные расходы, связанные с оформлением договора страхования для каждой отдельной партии груза. При возникновении необходимости возможно прекращение действия генерального полиса до окончания срока его действия, но с предварительным заявлением.
Тарифная ставка при страховании груза устанавливается в процентах от страховой суммы и зависит от стоимости и вида груза, вида транспортного средства и факторов, характеризующих степень риска.
В международной практике транспортного страхования выделяют три вида правил страхования и соответственно три вида полисов:
• полис Ллойда (Английский полис) применяется в Англии, США, Японии, Канаде, Австралии;
• Гамбургский (немецкий) полис используется в Германии, Скандинавских странах, России;
• Марсельский (южный) полис распространен в Италии, Испании, во Франции.
В коммерческой деятельности транспортное страхование обеспечивает страхователю возмещение его убытков, связанных с повреждением или утратой грузов в период их транспортировки. Этот раздел договора купли-продажи включает следующие основные условия: что страхуется, от каких рисков, кто страхует, на какую сумму и в чью пользу осуществляется страхование.
Условия страхования груза на период транспортировки предусматривают все виды рисков, кроме нижеследующих:
1) те, которые произошли по вине страхователя в связи, например, с ненадлежащей упаковкой товара;
2) те, которые являются следствием физико-химических свойств товара, например, самовозгорание, отмокание, гниение и т.д.;
3) тех, которые произошли вследствие нарушения режима транспортировки: намокание, выветривание, порча из-за несоблюдения температурного режима перевозчиком и т.д.;
4) военные риски, риски от забастовок, мятежей и иных гражданских волнений.
При осуществлении внутрироссийской купли-продажи следует особо уделить внимание транспортному страхованию в связи с повышенной криминогенной обстановкой в стране.
Глава 4. ГРУЗОВЫЕ ПЕРЕВОЗКИ
4.1. Понятие груза. Классификация грузов и их основные характеристики
Необходимость перемещения коммерческого товара от места производства к месту потребления определяет то, что некоторое время товар является грузом.
Груз - материальные ценности и товары с момента принятия к транспортировке у грузоотправителя до момента сдачи грузополучателю. Груз обладает рядом индивидуальных свойств, которые влияют на особенности его перевозки, перегрузки и хранения. Совокупность таких условий, обеспечивающих качественную перевозку, называется транспортной характеристикой груза.
Основным фактором, влияющим на технологию транспортировки груза, являются физико-химические свойства груза. Они определяют вид тары и подвижного состава, погрузочно-разгрузочные работы, режим хранения, а также меры безопасности при перевозке. На каждом виде транспорта существует своя классификация грузов. На рис. 4.1 приведена одна из схем классификации грузов в зависимости от их свойств и сохранности при перевозке. Однако для всех видов транспорта наиболее применяема следующая классификация грузов (см. рис. 4.1).
I. Массовые грузы - грузы, отправляемые, как правило, большими объемами, обеспечивающими полную загрузку подвижного состава. Различают следующие виды массовых грузов:
• насыпные и навалочные грузы. Данный вид груза перевозится без тары в открытом подвижном составе. К насыпным грузам относятся в основном зерно и семена всех видов сельскохозяйственных культур; к навалочным - уголь, песок, гравий, камень, руда и др.;
• наливные грузы. Жидкие грузы перевозятся в специализированном подвижном составе (цистернах, наливных танкерах) и требуют сложной погрузочно-разгрузочной техники. К данному виду грузов относятся различные нефтепродукты;
• строительные материалы. В зависимости от характера и их качества могут перевозиться в крытом или открытом подвижном составе. К данному виду груза относятся различные изделия из дерева и железобетона, кирпич и др.
II. Генеральные, или тарно-штучные, грузы. Данный вид грузов перевозится упакованным в крытом подвижном составе. В зависимости от вида упаковки различают грузы:
• мешковые - в мешках упаковывают грузы, не требующие защиты от механических повреждений;
• киповые - в кипы и тюки упаковывают естественные и искусственные волокна и изделия из них; в тюках перевозится непрессованный материал, а в кипы прессуют хлопок и джут;
• катно-бочковые - грузы, упакованные в бочках-барабанах или рулоны; в металлических бочках перевозят горючие жидкости (топливо, смазку, растворители), в деревянных - сухие химические и пищевые продукты;
• ящиковые - грузы, упакованные в ящики, типоразмеры которых регламентированы ГОСТом;
• пакетные.
К физическим характеристикам груза относятся длина, ширина, высота, диаметр, основной мерой линейных размеров является метр. Основной единицей измерения объема является кубический метр, а на морском транспорте - регистровая тонна (2,83 м3). В зависимости от физических размеров штучные грузы также подразделяются на:
• негабаритные;
• тяжеловесные;
• легковесные.
Объемы, определяющие, к какой категории относится данный груз, на различных видах транспорта различные. Так, тяжеловесным грузом на железнодорожном транспорте считается такой груз, масса одного места которого превышает 0,5 т, на водном - свыше 1 т, на автомобильном - свыше 3 т. К легковесным относятся, как правило, те грузы, 1 т массы которых занимает объем более 2 м3 . Негабаритными называются грузы, размеры которых выходят за пределы габаритов подвижного состава.
III. Особорежимные грузы - грузы, которые хранят и перевозят при условии соблюдения специальной, строго установленной технологии. К данной группе относятся опасные грузы, скоропортящиеся грузы, живой скот и сырые животные продукты.
При учете транспортных показателей масса груза состоит из полной массы непосредственно груза (масса нетто) и массы тары, в которой этот груз перевозится. Такая интегрированная масса называется массой брутто. На железнодорожном транспорте в массу брутто входит масса подвижного состава.
Обязательным условием приема груза к перевозке является правильная маркировка. Правила маркировки грузов не зависят от вида транспорта и регламентируются Правилами перевозок грузов. Маркировка товара - надписи, изображения и условные обозначения, помещенные на таре, бирках или непосредственно на товаре, необходимые для учета груза и обеспечивающие меры по сохранности при транспортировке. В связи с этим следует наносить маркировку так, чтобы она была хорошо видна и сохранялась до конца перевозки.
Различают следующие виды маркировки:
• товарная (фабричная) маркировка содержит информацию для получателя о товаре - наименование товара, название производителя, его адрес, ГОСТ и др.;
• отправительская маркировка содержит номер и число мест, наименование и адрес грузоотправителя и грузополучателя, пункт отправления и пункт назначения;
• специальная (предупредительная) маркировка содержит сведения о способе хранения и погрузочно-разгрузочных работах, производящихся с данным видом груза;
• транспортная маркировка наносится для учета и контроля за транспортировкой груза; представляет собой дробь, в числителе которой порядковый номер, присваиваемый грузу в месте приема к перевозке, в знаменателе - число мест данной отправки, рядом с дробью наносится номер грузовой накладной. На тарно-штучных грузах указываются масса брутто и нетто.
4.2. Сравнительная характеристика различных видов транспорта
Транспортная система может рассматриваться и как целостная отрасль народного хозяйства, и как совокупность конкурирующих друг с другом транспортных предприятий. В связи с этим возникает необходимость выбора транспорта в зависимости от вида перевозимого груза, от целей, преследуемых грузовладельцем.
Основными количественными показателями, характеризующими распределение объема перевозочной работы по видам транспорта, являются объем перевозок грузов (в тоннах) и грузооборот (в тонно-километрах). Грузооборот является интегрированным показателем, который учитывает не только количество перевезенных грузов, но и расстояние перевозки.
Грузооборот зависит от множества производственных и географических факторов. К таким факторам можно отнести размещение производительных сил, наличие природных богатств в регионе, уровень развитости промышленности, сельского хозяйства и капитального строительства, товарооборота в регионе и в цепом по стране.
Второе место по грузообороту занимает трубопроводный транспорт. Данный вид транспорта является экономически важным для России, так как он наиболее качественно и недорого обеспечивает транспортировку нефти и газа.
В настоящее время наблюдается повышение дальности перевозок. Причина этого - увеличение объема внешнеторговых операций, которые требуют транспортировки в мировых масштабах. Такие перевозки в большинстве обеспечиваются морским торговым флотом. Как правило, это экспорт лесных и некоторых строительных и промышленных грузов.
Воздушный транспорт имеет самую низкую долю объема перевозок и грузооборота. Это связано с небольшой вместительностьюподвижного состава, а значит, и с ограниченностью номенклатуры грузов, принимаемых к перевозке. Если в США, Западной Европе и Японии ежегодно на значительные расстояния перевозится около 20 млн т и в основном в перечень грузов входят ценные предметы (компьютерная техника, драгоценности и др.), то в России эта цифра составляет в среднем 2 млн т, а в номенклатуру грузов входит в большинстве своем почта.
Таким образом, говорить о чистой конкуренции между видами транспорта сложно. Каждый вид транспорта настолько дифференцированно решает проблемы перевозки, что альтернативы, как правило, не остается. У каждого вида транспорта имеются свои приоритетные виды груза, каждый грузовладелец ограничен в выборе характеристик груза и подвижного состава. Поэтому распределение перевозок грузов условно можно назвать оптимальным.
Однако в настоящее время появилась масса различных компаний, занимающихся транспортно-экспедиционным обслуживанием. В услуги данных компаний входит выбор наиболее оптимальной схемы перевозки, выбор транспорта, оформление транспортных документов и т.п. Такие компании сотрудничают сразу с несколькими видами транспорта, что позволяет рационализировать перевозку. Большое количество таких фирм предполагает чистую конкуренцию, поэтому у заинтересованных грузовладельцев сейчас появилась возможность более выгодно перевезти свой груз.
4.3. Характеристика грузопотоков
Грузовые потоки представляют собой перемещение определенной транспортной массы (груза) по конкретному расстоянию, в конкретном направлении.
Грузопотоки формируют и поддерживают транспортно-экономические связи, которые в свою очередь необходимы для товарообращения. Грузовой поток образуется непосредственно в процессе перемещения товаров между пунктом производства и пунктом потребления.
Качественная и сравнительная характеристика грузопотоков помогает в анализе существующего положения на транспортном рынке, что в свою очередь позволяет оптимизировать некоторые показатели деятельности всей транспортной системы: выявить излишние и нерациональные перевозки, определить сферы эффективного использования того или иного вида транспорта, а также построить прогнозы и обосновать перспективы их развития.
Существует три классификации грузопотоков: по назначению, по родам грузов, по видам транспорта.
Классификация по назначению подразумевает разделение грузов по топографическому признаку. По данной классификации различают следующие виды грузопотоков:
• международные - грузы перемещаются между странами в процессе экспортно-импортного товарооборота;
• межрайонные - грузопоток предполагается в масштабах страны, между различными регионами;
• местные - транспортировка груза происходит внутри определенной экономической области или на полигоне транспортного объединения (внутри отдельной железной дороги);
• внутрихозяйственные - грузы перемещаются в пределах одного предприятия.
Классификация грузопотоков по видам грузов выявляет приоритетные на данном виде транспорта виды груза. Данный вид классификации дает возможность анализировать структуру грузопотока, что в некоторой степени позволяет специализировать подвижной состав и географически оптимизировать направления перевозок. В этом случае для каждого вида транспорта выделяют номенклатуру грузов. Обычно выделяют 6-8 основных видов груза, занимающих наиболее весомое место в структуре грузопотока (табл. 4.3).
Из табл. 4.3 видно, что, несмотря на то, что перечисленные виды грузов (относящиеся к массовым) преобладают в общем объеме перевозок, структура грузопотока для каждого вида транспорта различается.
Классификация грузопотоков по видам транспорта в основном предполагает анализ транспорта общего пользования. В данном случае исследуется вид груза (чаще всего массовый, так как он наиболее сильно влияет на качественные показатели грузопотока), отправляемый различными видами транспорта.
К примеру, приблизительно 80% нефтяных и газовых грузов транспортируется по трубопроводам. В табл. 4.4 приведена классификация грузопотоков по видам транспорта.
Таблица 4.3
Грузопотоки по видам транспорта
| Железнодорожный транспорт |
Внутренний водный транспорт |
Морской транспорт |
|||
| группа грузов |
доля, % |
группа грузов |
доля, % |
группа грузов |
доля, % |
| Минеральные строительные материалы |
22,7 |
Минеральные строительные материалы |
51,6 |
Нефтегрузы |
45,0 |
| Каменный уголь |
20,8 |
Лесные грузы |
22,4 |
Минеральные строительные материалы |
9,9 |
| Нефтегрузы |
13,9 |
Каменный уголь |
8,4 |
Руды всякие |
8,5 |
| Руды всякие |
8,5 |
Руды всякие |
3,4 |
Хлебные грузы |
7,0 |
| Черные металлы |
4,8 |
Нефтегрузы |
2,9 |
Лесные грузы |
6,4 |
| Хлебные грузы |
4,1 |
Хлебные грузы |
2,0 |
Каменный уголь |
5,9 |
| Лесные грузы |
5,6 |
Химические и минеральные удобрения |
0,7 |
Черные металлы |
4,6 |
| Химические и минеральные удобрения |
2,8 |
Черные металлы |
0,6 |
Химические и минеральные удобрения |
4,0 |
| Итого основных грузов |
83,2 |
Итого основных грузов |
92,0 |
Итого основных грузов |
91,4 |
| Прочие |
16,8 |
Прочие |
8,0 |
Прочие |
8,6 |
| Всего |
100,0 |
Всего |
100,0 |
Всего |
100,0 |
Таблица 4.4
Доля вида транспорта в перевозках отдельных грузов
| Род груза |
Доля вида транспорта в перевозках, % |
||
| железнодорожный |
внутренний водный |
морской |
|
| Каменный уголь и кокс |
94,8 |
2,2 |
3,0 |
| Нефтяные грузы |
29,5 |
3,7 |
4,3 |
| Руда железная и марганцевая |
96,2 |
1,4 |
2,4 |
| Черные металлы и металлолом |
90,4 |
2,1 |
1,0 |
| Химические минеральные удобрения |
92,6 |
5,6 |
1,4 |
| Лесные грузы |
70,3 |
23,3 |
4,4 |
| Цемент |
90,0 |
1,6 |
1,3 |
| Хлебные грузы |
86,2 |
7,0 |
1,8 |
4.4. Основные показатели качества транспортной продукции
К основным качественным характеристикам транспортной продукции относятся:
• полнота (объем) перевозки;
• скорость доставки;
• своевременность и ритмичность перевозки;
• сохранность груза во время перевозки;
• безопасность перевозки;
• уровень сервисного обслуживания.
В условиях рыночной экономики именно качество продукта или услуги является решающим фактором в конкурентной борьбе за потребителя. Рассмотрим каждый показатель конкурентоспособности более детально. Уровень удовлетворения спроса по объему перевозок определяется как следующий коэффициент:

где![]()
соответственно фактический объем перевозок и согласованный плановый спрос на перевозки грузов за период t.
Степень ритмичности отправления и прибытия грузов определяется следующим образом:
![]()
где
- фактическое количество поставок продукции, доставленных с соблюдением установленного нормативного интервала за период времени t;
- общее количество поставок за период времени.
Степень регулярности перевозок грузов определяется так:

где
- максимальный объем перевозок грузов за определенный интервал времени (например, за месяц) в течение анализируемого периода (например, за год);
- средний объем перевозок за интервал времени того же периода.
Коэффициент, определяющий уровень скорости доставки грузов, исчисляется по формуле
![]()
где
- фактический объем перевозок грузов, доставленных грузополучателем с соблюдением нормативных сроков доставки;
- общий объем перевозок анализируемых грузов.
Степень сохранности перевозимых грузов определяется так:
![]()
где
- общий объем перевозимых грузов;
- потери продукции в пунктах погрузки, выгрузки и при транспортировке в сопоставимом периоде.
Перечисленные выше коэффициенты принимают значение от 0 до 1 и вычисляются для отдельных видов транспорта и груза и т.п. В отдельности каждый показатель имеет большое значение, но систематизация и интеграция всех этих показателей дают показатель, который дает комплексную оценку качества перевозки.
Такой показатель называется «колесом качества» транспортного обслуживания грузовладельцев и вычисляется по следующей формуле:
![]()
где αоп αр αд αсг - рейтинговые коэффициенты, учитывающие потребительские оценки отдельных показателей транспортной продукции и их взаимовлияние. Данные коэффициенты получают методом экспертных оценок.

Рис. 4.2. «Колесо качества» транспортного обслуживания клиентов
На рис. 4.2 приведено графическое изображение «колеса качества».
4.5. Маркетинговые методы оценки конкурентоспособности видов транспорта
В настоящее время классический маркетинг претерпевает некоторые изменения, в частности существенно расширились границы объекта маркетинга. Новая концепция предполагает изучение и преобразование производства и сбыта как единого взаимосвязанного целого. Теперь объектом маркетинга стали вся деятельность по разработке новых товаров и технологий, планированию и выполнению производственных программ, финансовая и сбытовая деятельность. Маркетинг эффективно применять при соблюдении следующих условий:
наличие развитой рыночной экономики, конкуренции, большое количество и широкий ассортимент товаров, транспортных и других услуг;
экономическая и правовая независимость товаропроизводителя и производителя транспортной продукции;
подготовленность хозяйственных руководителей и специалистов по маркетингу;
наличие специализированных организаций, занимающихся проведением маркетинговых мероприятий.
В настоящее время не все из вышеперечисленных факторов, влияющих на эффективность производства и сбыта, присутствуют в российской экономике. И это еще одна причина для более тщательного и продуманного выбора способа перемещения своего товара.
Каждый вариант организации транспортного обслуживания имеет свои достоинства и недостатки. В целях повышения эффективности поставки фирмы могут использовать комбинированные перевозки, которые предполагают привлечение нескольких видов транспорта (например, железнодорожно-автомобильная схема перевозки). Еще одним перспективным видом перевозки является транспортировка в контейнерах. Данный вид отправок является наиболее универсальным и логистически гибким, а следовательно, более качественным. Применение контейнера позволяет осуществлять транспортную схему «от двери до двери», упрощает операции при перегрузке, соответственно возможно использование нескольких видов транспорта. При этом обеспечивается более высокая сохранность груза.
Выбор вида транспорта в значительной степени зависит от объемов перевозок грузов. Такая зависимость графически представлена на рис. 4.3.

Ряс, 4,3. Характеристика затрат в зависимости от вида транспорта и объема перевозок
Выбор транспортной схемы в современном маркетинге позволяет осуществлять следующая таблица, характеризующая основные показатели конкурентоспособности видов транспорта (табл. 4.5).
Все виды транспорта, включающие разные устройства, сооружения, приспособления и т.д., в совокупности образуют единую транспортную систему. Работа по развитию и модернизации транспортной системы в России в настоящее время проводится по следующим направлениям:
• строительство новых и реконструкция уже имеющихся грузовых и контейнерных терминалов, складов, перевалочных баз;
• развитие контейнерного парка, соответствующего стандартам ISO;
• развитие систем слежения и информационного обслуживания движения грузов, расширение компьютеризации.
Таблица 4.5
Сравнительная характеристика видов транспорта по отдельным показателям
| Показатель |
Морской |
Железнодорожный |
Речной |
Автомобильный |
Воздушный |
| Пропускная способность |
Неограниченная |
Высокая |
Высокая |
Невысокая |
Малая |
| Себестоимость |
Низкая |
Низкая |
Низкая |
Средняя |
Высокая |
| Скорость перевозки |
Низкая |
Высокая |
Низкая |
Высокая |
Очень высокая |
| Регулярность |
Иногда ограничена |
Стабильная |
Сезонная |
Контролируемая |
Лимитируется погодой |
| Дальность перевозок |
Межконтинентальная |
Внутриконтинентальная |
Внутри водного бассейна |
Небольшая |
Неограниченная |
| Объем перевозок |
Большой |
Большой |
Большой |
Небольшой |
Небольшой |
| Необходимость в специальной сети дорог |
Не требуется |
Требуется |
Не требуется |
Требуется |
Не требуется |
| Необходимость в специальных терминалах |
Требуется портовое хозяйство |
Требуются терминалы на станции |
Требуются терминалы на пристани |
Не требуется |
Требуются ; аэропорты |
В будущем все эти мероприятия существенно изменят организацию перевозочного процесса: повысится степень сохранности перевозок грузов, уменьшится количество перегрузочных операций, а значит, и уменьшится время товара в пути, что положительно скажется на деятельности коммерческих предприятий и объединений.
Глава 5. ГРУЗОВЫЕ И КОММЕРЧЕСКИЕ ХАРАКТЕРИСТИКИ ЖЕЛЕЗНОДОРОЖНОГО ТРАНСПОРТА
5.1. Преимущества и недостатки железнодорожного транспорта
Железнодорожный транспорт занимает ведущее место среди всех видов транспорта. На сегодняшний день, несмотря на интенсивное развитие других видов транспорта, улучшение сервиса, железная дорога остается основным средством обеспечения массовых перевозок грузов и населения как во внутреннем, так и в международном сообщении. Железнодорожный транспорт помимо хозяйственных, экономических и стратегических функций выполняет также социальную роль. Снижение доходов предприятий и жизненного уровня населения произошло одновременно с повышением стоимости перевозок на всех видах транспорта. Поэтому предприятия, организации и частные лица сейчас в большей степени руководствуются низкой стоимостью, нежели высоким качеством транспортировки. Однако себестоимость услуг железных дорог осталась относительно низкой, что позволит железным дорогам в ближайшее время оставаться ведущим видом транспорта.
В настоящее время, когда в мире происходят интеграционные процессы, железнодорожный транспорт становится инструментом международного разделения труда и вместе с тем сам является объектом влияния глобализации. Железнодорожный транспорт - наукоемкая отрасль экономики. Удержание позиций и совершенствование железных дорог происходят за счет потребления новейших научно-технических и технологических достижений. Ежегодно железные дороги наращивают до 8 тыс. км протяженности, на сегодняшний день общая длина железнодорожных путей достигла почти 1,5 млн км.
Ведущая роль железных дорог на транспортном рынке страны объясняется следующими преимуществами:
• массовостью перевозок и высокой провозной способностью железных дорог;
• независимостью от климатических условий, что обеспечивает ритмичность перевозок и регулярность отправок;
• большой грузоподъемностью и вместимостью подвижного состава;
• универсальностью подвижного состава для перевозок различных родов грузов;
• наличием специализированного подвижного состава для перевозки массовых грузов (вагоны-ковши для жидкого металла, шлака, битума и других грузов, требующих предварительного подогрева перед разгрузкой; цистерны для перевозки пылевидных грузов, полувагоны с разгрузкой через донные люки и др.);
• возможностью прямой схемы физического распределения «от двери до двери» для крупных промышленных и перерабатывающих предприятий;
• относительно невысокой стоимостью транспортировки.
Но железнодорожный транспорт наряду с массой преимуществ имеет и свои недостатки:
• высокую стоимость погрузочно-разгрузочных работ;
• низкую маневренность и мобильность - перевозка мелких партий груза требует доставки автомобильным видом транспорта;
• высокую капиталоемкость основных средств производства.
Предприниматели-грузовладельцы должны при планировании перевозок обосновать технико-экономическую эффективность использования транспортных средств. В частности, не рекомендуются:
• встречные перевозки - перевозки одинаковых или однородных грузов в направлениях, встречных основному потоку этих грузов;
• излишне дальние перевозки, т.е. перевозки на расстояния, превышающие установленные схемы;
• перевозки, которые целесообразно осуществлять водным, автомобильным, трубопроводным транспортом или в смешанном сообщении;
• повторные перевозки однородных (взаимозаменяемых) грузов, за исключением перевозок таких грузов с баз длительного хранения, с баз подгруппировки или предприятий, выполняющих эти функции.
Грузовые перевозки на железнодорожном транспорте подразделяются следующим образом:
• местное сообщение - в пределах одной железной дороги;
• прямое сообщение - в пределах одной или нескольких железных дорог по одному перевозочному документу;
• прямое смешанное сообщение - при перевозке комбинируется несколько видов транспорта (железнодорожно-водное, железнодорожно-автомобильное, железнодорожно-водно-автомобильное и др.);
• прямое международное сообщение - осуществляется при перевозке с участием дорог двух и более государств, но по одному перевозочному документу.
Железнодорожные перевозки грузов также различаются по скорости доставки:
• грузовой скоростью перевозят большую часть номенклатуры грузов, не требующих особых условий доставки;
• пассажирской скоростью (в багажном отделе) перевозят, как правило, почту, периодическую печать и вещи пассажиров;
• большой скоростью перевозят скоропортящийся груз, требующий оперативной транспортировки.
5.2. Материально-техническая база железнодорожного транспорта
Материально-техническая база железных дорог состоит из следующих элементов:
• путь и путевое хозяйство;
• хозяйство электроснабжения;
• хозяйство СЦБ и связи;
• вагоны и вагонное хозяйство;
• локомотивы и локомотивное хозяйство;
• станции;
• товарные конторы;
• грузовое и весовое хозяйство.
Перевозка товаров по железной дороге производится в вагонах. В некоторых случаях для осуществления коммерческой деятельности предприятию более выгодно иметь собственный парк вагонов. В любом случае для более рационального использования железнодорожного подвижного состава предприниматель должен знать основные характеристики вагонов. Вагоны - основные перевозочные средства железных дорог. Различают грузовые, пассажирские и специальные вагоны. Совокупность вагонов называют парком. Грузовой парк вагонов состоит из 5 основных видов (родов) вагонов:
• крытые вагоны используются для перевозки широкой номенклатуры грузов, требующих защиты от воздействий окружающей природной среды;
• платформы - вагоны с низкими бортами или без бортов, предназначены для перевозки длинномерных и громоздких грузов, не требующих особых мер безопасности перевозки (лесных и строительных грузов, труб, рельсов, некоторых видов машин и агрегатов);
• полувагоны - вагоны с бортами и без крыши, используются для перевозки навалочных и сыпучих грузов (уголь, руда, зерно и т.п.);
• цистерны используются при транспортировке массовых жидких грузов (преимущественно нефти и нефтепродуктов, а также химических и пищевых грузов);
• изотермические вагоны (рефрижераторы) - вагоны со специальным термоизолированным кузовом и устройствами, обеспечивающими стабильность заданных отрицательных (летом) и положительных (зимой) температур для перевозки скоропортящихся грузов.
Вагоны характеризуются грузоподъемностью и вместимостью, массой тары и другими параметрами.
Грузоподъемность вагона - масса груза, которая может быть погружена в вагон в соответствии с его техническими характеристиками (прочностью его ходовых частей, рамы, кузова). Вместимость - физический объем вагона.
Для определения качественности коммерческой работы железной дороги рассчитывается технический коэффициент вагона (К^, который показывает, насколько эффективно используются мощность локомотива, провозная и пропускная способность дорог:
![]()
где Рт - масса тары вагона;
q - грузоподъемность вагона.
Погрузочный коэффициент тары вагона Кпт определяется по формуле
![]()
где Ргр - масса груза.
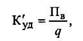
Коэффициент удельного объема вагона (К’уд ) позволяет определить еще один важный коммерческий фактор - чем выше значение этого коэффициента, тем более широкая номенклатура грузов может перевозиться в этом вагоне с полным или близким к полному использованию грузоподъемности:
![]()
где Пв - полный объем вагона.
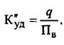
![]()
Коэффициент использования грузоподъемности рассчитывается по формуле
![]()
Коэффициент использования вместимости определяется так:
![]()
Коэффициент удельной грузоподъемности вагона (К”уд ) является обратным коэффициенту удельного объема вагона - чем он ниже, тем шире номенклатура грузов, которые могут перевозиться в вагоне данного типа с полным или близким к полному использованием его грузоподъемности:
где Пгр - объем груза в вагоне.
Чем выше значение двух вышеприведенных коэффициентов, тем более эффективно используются грузоподъемность и вместимость вагона.
Железная дорога стремится к улучшению технологических коэффициентов использования вагонов, для этого проводятся специальные мероприятия: например, уплотнение груза, выбор вагона в соответствии с характером груза, погрузка с «шапкой», стандартизируется тара и т.п.
Прибытие и отправление грузов осуществляются на грузовых станциях. Грузовая станция представляет собой комплекс путевых и грузовых устройств, технических и служебных помещений и площадей, используемых для осуществления грузовых и коммерческих операций. Грузовые станции обслуживают как склады общего пользования, которые чаще всего принадлежат железным дорогам, так и склады, принадлежащие предприятиям, имеющим подъездные пути. На многих грузовых станциях производятся не все возможные операции, а только их часть. Перечень операций, выполняемых на конкретной грузовой станции, приводится в Тарифном руководстве № 4 в части 1 «Алфавитный список железнодорожных станций».
Грузовые станции выполняют разного рода операции:
• связанные с прибытием грузов: прием поездов и передача с сортировочной станции, технический осмотр, расформирование, подача вагонов к пунктам выгрузки, выгрузка грузов, их хранение, оформление документов и выдача грузов получателям, уборка вагонов после выгрузки и их очистка;
• связанные с отправлением грузов: прием грузов от отправителей, оформление документов, хранение и погрузка грузов, уборка погруженных вагонов от фронтов, формирование из них передач на сортировочную станцию, отправление поездов или передач.
В зависимости от доминирования той или иной грузовой операции грузовые станции разделяются следующим образом:
погрузочные - выполняют преимущественно погрузочные paботы. Такие станции, как правило, располагаются вблизи крупных предприятий добывающей промышленности, осуществляющих крупное производство (добычу) и отправку массовых грузов (угля, нефти, руды и др.);
выгрузочные - количество разгрузочных операций превышает количество погрузочных. В большинстве своем к такому виду относятся станции крупных населенных пунктов, куда прибывает и где потребляется большое количество товаров;
погрузочно-выгрузочные - количество погрузочных и разгрузочных работ приблизительно одинаковое. Такие станции расположены вблизи крупных промышленных производств, потребляющих много сырья и изготовляющих большой объем продукции;
перегрузочные - выполняют перегрузку грузов с одного вида транспорта на другой.
В зависимости от характера и назначения грузовые станции разделяются на неспециализированные (предназначенные для широкой номенклатуры грузов) и специализированные. На неспециализированных станциях производятся работы с тарно-штучными и навалочными грузами, контейнерами и другими видами грузов. Специализированные станции перерабатывают только один определенный вид груза. На контейнерных терминалах работа осуществляется только с контейнерами, хотя номенклатура грузов, перевозимых в контейнерах, очень широкая.
Главные показатели работы грузовой станции - мощность и пропускная способность - обеспечивают соблюдение следующих условий:
• выполнение запланированного объема перевозок;
• обеспечение сохранности грузов во время хранения на складах грузовой станции и во время погрузочно-разгрузочных работ;
• своевременную погрузку-выгрузку грузов.
Грузовые и коммерческие операции выполняются при помощи следующих сооружений и устройств:
• открытые площадки и крытые складские помещения для хранения груза;
• различные машины и механизмы для выполнения погрузочно-выгрузочных операций и др.
Площадь, на которой размещены эти устройства и сооружения, называется грузовым двором. На грузовых дворах осуществляются следующие виды работ: прием, погрузка, выгрузка, выдача, сортировка, временное хранение груза и другие операции. Грузовые дворы оснащены весоизмерительными приборами. Весовое хозяйство железных дорог помимо непосредственно весов включает также технические средства для их монтажа, ремонта и проверки.
Для осуществления расчетов и оформления перевозочных документов на станциях существуют товарные конторы и товарные (.юсы. Товарная контора занимается оформлением перевозочных документов, ведет денежные расчеты, расчеты по перевозкам, сборам и штрафам, информирует о прибытии грузов, ведет оперативный учет выполнения перевозок, принимает заявки на подачу вагонов и др.
В настоящее время на сети железных дорог действует Система фирменного транспортного обслуживания (СФТО), которая осуществляет программу, направленную на повышение качества транспортных услуг.
5.3. Договор перевозки на железнодорожном транспорте
Для железнодорожного транспорта первичным документом, имеющим силу договора, является накладная, заполняемая отправителем.
Накладная - основной перевозочный документ, сопровождающий груз до станции назначения. Накладная заполняется отправителем на каждую отправку и при выдаче груза выдается грузополучателю. Накладная является одновременно юридическим и расчетным документом, поэтому заполнять накладную следует без подчисток и помарок, а изменения информации, содержащейся в накладной, должны заверяться подписью работника дороги и штемпелем станции.
В обязательный комплект сопроводительной документации кроме накладной входят дорожная ведомость, корешок дорожной ведомости и квитанция о приеме груза.
Дорожная ведомость - документ расчетно-финансового значения - содержит информацию о сроке доставки груза, сопровождается на всем пути следования, включая переход с дороги на дорогу. По информации, содержащейся в дорожной ведомости, определяют выполненный дорогами объем перевозок, доходы от них, правильность расчетов, выполнение сроков доставки грузов.
Квитанция о приеме груза - документ, который подтверждает прием грузовой станцией груза к перевозке от отправителя.
Корешок дорожной ведомости - документ, посредством которого рассчитывается провозная плата за перевозку при централизованных расчетах и для учета и отчетности о выполнении плана перевозок.
Накладная и дорожная ведомости отправляются вместе с грузом. Получатель принимает груз по накладной, а расписывается в дорожной ведомости. Основным документом для учета работы
железнодорожного транспорта является корешок дорожной ведомости, который остается у отправителя.
Накладная должна содержать следующие реквизиты:
• штемпель или другое обозначение, удостоверяющее принятие товара перевозчиком или его представителем к перевозке;
• дата принятия груза к перевозке, которой считается дата выдачи накладной или дата штемпеля на накладной;
• номер вагона (контейнера);
• место отгрузки, место назначения и путь следования груза;
• наименование груза;
• род упаковки;
• количество мест, масса груза;
• наименование отправителя, его адрес и подпись;
• наименование получателя, его адрес.
Эти же данные заносятся и в остальные вышеупомянутые документы.
Связь между перевозимым грузом и комплектом перевозочных документов на этот груз легче всего установить с помощью маркировки. При помощи нее можно установить принадлежность груза в случае разъединения его и документов.
Железнодорожная маркировка представляет собой дробь следующего вида:
![]()
В числителе дроби содержится порядковый номер груза, который был присвоен в момент приема груза к перевозке и через тире количество мест; в знаменателе - код станции отправления согласно Тарифному руководству № 4.
5.4. Правила приема грузов к перевозке на железной дороге
Железная дорога обязана подать грузоотправителю вагон под погрузку в срок, установленный железной дорогой. Транспортные средства должны быть в состоянии, пригодном для транспортрировки соответствующего вида груза. При несоответствии поданного вагона условиям перевозки данного вида груза грузоотправитель вправе отказаться от такого подвижного состава.
Отправкой на железнодорожном транспорте считается партия груза, предъявляемая и перевозимая по одной накладной. Различают следующие виды отправок:
• повагонная отправка - партия груза, предъявляемая по одной накладной, для перевозки которой требуется отдельный вагон;
• мелкая отправка - предъявляемая по одной накладной партия груза, для перевозки которой не требуется представления отдельного вагона, такая отправка ограничена по массе и объему;
• малотоннажная отправка - для осуществления отправки массой свыше 10 т и до 20 т и вместимостью не более половины четырехосного вагона;
• групповая отправка - партия груза, для перевозки которой требуется представление более одного вагона, но менее маршрута;
• маршрутная отправка - партия груза, предъявляемая по одной накладной, в количестве, соответствующем весовой норме, установленной для маршрутов. Маршрутом называется состав поезда установленной массы или длины, сформированный грузоотправителем или дорогой в соответствии с правилами технической эксплуатации и планом формирования из вагонов, загруженных одним или несколькими отправителями на одной или нескольких станциях, назначением на одну станцию выгрузки или «распыления» с обязательным прохождением им не менее одной технической станции без переработки.
Грузы, которые необходимо перевозить в таре в целях их предохранения от утраты, недостачи, порчи и повреждения, должны предъявляться к перевозке в исправной таре, соответствующей государственным стандартам, а грузы, стандарты на тару и упаковку которых не установлены, - в исправной таре, обеспечивающей их полную сохранность.
Обязанности по подготовке груза к перевозке ложатся на грузоотправителя. До предъявления к перевозке груз должен быть приведен в состояние, которое бы обеспечивало его транспортабельность и сохранность в пути следования. При предъявлении к перевозке нескольких мелких штучных грузов отправитель может объединить их в более крупную единицу путем увязки (связки) или упаковки в соответствующую тару.
Если при наружном осмотре тары или упаковки предъявленного к перевозке груза обнаружены дефекты, которые могут привести к утрате груза, его порче или повреждению, грузоотправитель обязан по требованию станции привести тару или упаковку в состояние в соответствие со ст. 42 Устава железных дорог.
Количество груза, принимаемого к перевозке, устанавливается его массой. Общая масса груза может определяться следующими способами:
• путем взвешивания на весах. В этом случае определение массы может происходить при погрузке на местах общего пользования (грузовых дворах) или средствами грузоотправителя. Железная дорога вправе проверить правильность сведений о массе груза, указанных грузоотправителем, а также проводить регулярную проверку путем выборочного взвешивания грузов;
• подсчетом массы на грузовых местах по трафарету или по стандарту. В этом случае определение массы тарно-штучных грузов производится только грузоотправителем. Масса грузов, перевозимых навалом или насыпью, по требованию грузоотправителя может определяться железной дорогой при наличии вагонных весов;
• для некоторых видов грузов масса может определяться расчетным путем, по обмеру или условно.
Конкретные условия, предъявляемые к состоянию груза, его упаковке и маркировке, приведены в правилах перевозок грузов на железных дорогах РФ.
Масса тарно-штучных грузов устанавливается по предъявлении их к перевозке с указанием на каждом грузовом месте массы брутто и нетто.
Количество мест груза, предъявляемого к перевозке, во всех случаях определяется грузоотправителем. При предъявлении к перевозке грузов на местах общего пользования железная дорога принимает их с проверкой количества мест, указанного грузоотправителем в накладной, за исключением грузов, погрузка которых возложена на грузоотправителя (ст. 45 Устава железных дорог).
Следует укладывать грузы равномерно, плотно, при необходимости надежно закреплять для исключения возможности сдвига, падения, навала на двери, потертости или повреждения их при перевозке, а также для обеспечения сохранности вагона при погрузке, выгрузке и непосредственно транспортировке.
При предъявлении к перевозке грузов с маркировкой, предупреждающей о хрупкости, погрузочные работы должны производиться очень осторожно, в соответствии с технологией. Грузы, на упаковке которых имеются предупредительные надписи: «Осторожно», «Не бросать», «Стекло», «Верх», «Не кантовать» и т.п., при погрузке должны размещаться в вагоне так, чтобы при выгрузке эти надписи были видны. При погрузке в один вагон более тяжелые грузы укладываются внизу, а более легкие - наверху. Погрузка в один вагон грузов, которые своими физико-химическими свойствами могут повредить или испортить друг друга, запрещена. Размещение и определение грузов в крытых вагонах производятся в соответствии с техническими условиями и правилами перевозок конкретных видов грузов.
Укладка тарно-упаковочных и штучных грузов в междверном пространстве производится с отступлением от дверей на 25 см.
В случае недогрузки вагонов в соответствии с техническими нормами до полной вместимости или грузоподъемности вагона начальник грузовой станции имеет право отказать в приеме вагона к перевозке или потребовать догрузки вагона за исключением тех случаев, когда полная загрузка вагона невозможна по причине особых условий перевозки.
Время приема груза, подготовленного к перевозке, удостоверяется наложением календарного штемпеля станции в графе 7 оборотной стороны накладной.
5.5. Правила выдачи грузов на железной дороге
Железная дорога обязана извещать грузополучателя о прибытии груза на станцию назначения в установленные сроки, с указанием наименования и количества груза, а также вида подвижного состава. Уведомление о подаче прибывших вагонов производится начальником станции не позднее чем за 2 ч. до подачи.
При установлении порядка и способа уведомления о прибытии груза возможно несколько вариантов: радиосвязь, телефон, телеграф, почта, электронная почта. Выбор вида связи осуществляет грузополучатель, о выбранном способе уведомления сообщается начальнику станции. Для того чтобы уведомления доходили до адресата, грузополучатель назначает ответственного за прием информации о прибытии груза; начальнику станции сообщаются фамилии ответственных лиц и номера их телефонов в случае, когда уведомление производится по телефону.
Предварительные сведения о подходе грузов к станции назначения предоставляются при наличии договора, заключенного между железной дорогой и грузополучателем.
Очень часто груз адресован предприятию, организации или учреждению. В данном случае прибывший груз выдается после того, как грузополучатель предъявил работнику станции доверенность на право получения груза. Такая доверенность должна быть подписана руководителем и главным бухгалтером предприятия-адресата и заверена печатью. Существует два вида доверенностей, принимаемых железнодорожной грузовой станцией: разовая и постоянная.
Разовая доверенность выдается ответственному лицу для получения груза по определенной накладной и при оформлении выдачи груза станцией прилагается к дорожной ведомости.
Постоянная доверенность выдается лицу, ответственному за прием груза, на конкретный срок. Ответственное лицо во время приемки груза должно иметь при себе копию постоянной доверенности с распиской работника станции, принявшего оригинал доверенности, и календарным штемпелем станции.
Доверенное лицо, получающее груз, по требованию работников станции обязано предъявить документ, удостоверяющий его личность.
По предъявлении прибывшего груза получатель и представитель грузовой станции обязаны осмотреть подвижной состав (вагон или контейнер), для того чтобы удостовериться в исправности вагона (контейнера), наличии пломб и правильности данных на них (информация на пломбах дублируется в вагонном листе). При перевозке груза в открытом подвижном составе представители обеих сторон должны убедиться в отсутствии следов утраты груза.
Выдача груза производится одновременно с проверкой и последующим оформлением коммерческого акта, если при передаче вагона обнаружены коммерческая или техническая неисправность, признаки утраты, порчи или повреждения груза в открытом подвижном составе или крытом вагоне без пломб, когда такая перевозка допускается правилами перевозок грузов, когда отсутствуют пломбы при наличии в вагонном листе отметок об их наложении или в случае неисправных пломб. В этих и других случаях, предусмотренных правилами перевозок грузов, представители станции назначения обязаны проверить массу, количество мест и состояние груза.
В ситуации, когда выгрузка груза производится силами грузополучателя, вагоны под выгрузку подаются по предварительным уведомлениям и через оговоренные интервалы времени. Порядок подачи и уборки вагонов под погрузочно-разгрузочные работы на подъездные пути устанавливается в соответствии с правилами эксплуатации железнодорожных подъездных путей.
После приема груза и осуществления расчетов за его транспортировку получателю выдается накладная под расписку в дорожной ведомости. В дорожной ведомости указываются дата выдачи груза, номер и дата выдачи доверенности, номер расчетного счета и наименование отделения банка, последние два реквизита грузоотправитель может проставлять штемпелем. Время оформления выдачи груза отмечается наложением календарного штемпеля станции в графе 9 оборотной стороны накладной.
5.6. Упаковка и маркировка грузов при перевозке железнодорожным транспортом
В случаях, когда грузы при перевозке нуждаются в предохранении от утраты или порчи, когда при транспортировке груз может повредить подвижной состав или нанести ущерб другим грузам, а также причинить вред людям и окружающей природной среде, грузовладелец должен обеспечить специализированные тару и упаковку, исключающие вышеперечисленные ситуации. Опасные грузы необходимо упаковывать в соответствии с условиями, перечисленными в правилах перевозок опасных грузов.
Транспортная и отправительская маркировки должны быть нанесены четко и понятно нестирающейся краской, возможно прикрепление на груз наклеек (бирок). Маркировка должна содержать следующую информацию согласно накладной:
1) знаки (марки) мест и их номера;
2) станция и дорога отправления;
3) станция и дорога назначения;
4) наименование отправителя и получателя;
5) количество мест при мелких отправках.
При отправлении груза мелкой отправкой должно маркироваться каждое грузовое место. При повагонной отправке, за исключением грузов, перевозимых навалом, на вагон маркируется не менее 10 мест, которые размещаются у дверей вагона.
Если перевозка определенных видов грузов требует особых условий ввиду свойств этих грузов, отправитель должен также поместить на данных местах маркировку, обеспечивающую осторожное обращение с грузом.
После принятия груза к перевозке вагон пломбируется пломбами железной дороги и грузоотправителя, снятие которых невозможно без их повреждения. Пломбы должны быть наложены таким образом, чтобы исключить возможность доступа в вагон без повреждения пломб. Пломбированию подлежат все крытые и изотермические вагоны. В таких вагонах пломбируются двери и все остальные отверстия, за исключением вентиляционных, закрытых изнутри решетками, и т.п. У вагонов-цистерн подлежат пломбированию все наливные и сливные приборы.
Когда вагон пломбируется грузоотправителем, пломбы должны содержать следующую информацию:
• наименование станции (в случае необходимости сокращенное);
• дату наложения пломбы или контрольные знаки;
• сокращенное наименование отправителя.
Глава 6. ОРГАНИЗАЦИЯ ПЕРЕВОЗОК ГРУЗОВ АВТОМОБИЛЬНЫМ ТРАНСПОРТОМ
6.1. Современное состояние автомобильного транспорта. Классификация автомобильных перевозок
Автомобильный транспорт является одним из самых широко используемых. Автомобильный транспорт в стране обусловливается следующими достоинствами:
• способность обеспечивать доставку по схеме «от двери до двери», т.е. без необходимости использования нескольких видов транспорта, без дополнительных перегрузок, а значит, и без лишних расходов времени и материальных средств;
• высокая маневренность и подвижность позволяют быстро сосредоточить автомобили в нужном месте и в необходимом количестве;
• высокая скорость доставки, связанная с техническими особенностями автомобилей;
• более высокая степень сохранности грузов;
• широкая сфера применения по видам грузов, системам сообщения и расстояниям перевозки.
К недостаткам автомобильного транспорта относятся:
• небольшая грузоподъемность грузовых автомобилей (до 10-12 т);
• малая дальность перевозки - автомобильный транспорт выгоднее использовать при перевозке на небольшие расстояния;
• высокая стоимость перевозок, что не может не влиять на цену груза, а значит, и на его конкурентоспособность.
Недостаточно широкое использование автомобильного транспорта связано еще и с тем, что во многих районах отсутствуют автомобильные дороги, а многие уже существующие дороги - очень низкого качества. В России процент протяженности автомобильных дорог крайне низок по сравнению с Западной Европой.
Еще одни недостаток - малая грузоподъемность, хотя в развитых странах он давно уже устранен. В США и Канаде добились того, что грузоподъемность грузовых автомобилей-тяжеловесов превысила 300 т. В качестве примера можно назвать «Terex titan 33-19» (его грузоподъемность составляет 318 т); канадский 3«Wabco» (120 т); французский «Benne Morel» (65 т).
Грузоподъемность - одна из важнейших характеристик автомобильного транспорта. В табл. 6.1 приведена классификация автотранспортных средств в зависимости от их грузоподъемности.
Таблица 6.1
Классификация средств автомобильного транспорта по их грузоподъемности
| Критерии грузоподъемности |
Автомобили |
Тягачи |
Полуприцепы |
Прицепы |
| Особо малая грузоподъемность (< 0,5 т) |
X |
X |
||
| Малая грузоподъемность (от 0,5 до 2 т) |
X |
X |
||
| Средняя грузоподъемность (от 5 до 15 т) |
X |
X |
X |
X |
| Особо большая грузоподъемность (> 15 т) |
X |
X |
X |
X |
Как уже было сказано, автомобильный транспорт является универсальным, и вследствие этого он используется во многих областях экономики. Грузовые перевозки классифицируются по ряду признаков, описывающих их основные сферы и способы применения. Схема классификации приведена на рис. 6.1.
Общепринятая классификация грузовых перевозок наиболее полно описывает возможности применения автотранспорта.

Рис. 6.1 Классификация грузовых автомобильных перевозок .
6.2. Характеристика технических средств автомобильного транспорта
Материально-техническая база автомобильного транспорта включает следующие элементы:
• подвижной состав;
• автотранспортные предприятия;
• автомобильные дороги.
Подвижной состав состоит из непосредственно автомобилей, а также немоторизованных полуприцепов и прицепов. Автомобили, представляющие собой активные самодвижущиеся единицы, являются основной категорией парка автотранспортных средств.
Они определяют технический уровень и экономико-эксплуатационные характеристики всех других видов подвижного состава. Классифицировать грузовые автомобили можно по многим признакам, но при выборе вида транспорта руководствуются прежде всего его транспортными характеристиками.
1. Так как от вида кузова зависят широта номенклатуры и объем перевозимого груза, различают следующие виды грузовых автомобилей:
• универсальные (общего назначения) - имеют кузов в виде платформы с бортами, предназначены для широкой номенклатуры грузов;
• специализированные - имеют кузов, приспособленный специально для конкретных видов груза (для насыпных грузов - самосвалы; для наливных - цистерны; для скоропортящихся грузов - рефрижераторы).
2. Проходимость автомобиля влияет на территорию применения. По проходимости автомобили подразделяются на дорожные и внедорожные (карьерные). Внедорожные автомобили по своим габаритам и нагрузке не могут выходить на дороги без особых разрешений и мер предосторожности.
3. Автомобили с очень большой массой гораздо более серьезно влияют на дорожное покрытие, чем легковые автомобили и грузовики с малой грузоподъемностью. Для того чтобы предотвратить преждевременное разрушение дорог, государственными нормами и стандартами регламентированы основные параметры грузовых автомобилей.
К группе «А» относятся автомобили и автопоезда дорожного типа. Данный парк автомобилей предназначен исключительно для перевозок по дорогам высших категорий с усовершенствованным капитальным покрытием. К группе «Б» относятся автомобили, допускаемые к эксплуатации на всей сети дорог общего пользования. В группу «В» входят наиболее тяжелые автомобили, которые по своим транспортным характеристикам не допускаются на дороги общего пользования. Данный вид автомобилей предназначен для эксплуатации на специальных карьерных, лесовозных или иных дорогах. Основные характеристики грузовых автотранспортных средств приведены в табл. 6.2.
Таблица 6.2
Предельная масса и габаритные размеры автомобилей
| Тип автомобиля или автопоезда |
Ограничения полной массы, т |
Габаритные размеры, м |
|||
| группа «А» |
группа «Б» |
длина |
ширина |
высота |
|
| Двухосный автомобиль или прицеп |
17,5 |
10,5 |
12 |
2,5 |
3,8 |
| Трехосный автомобиль или прицеп |
25,0 |
15,0 |
12 |
2,5 |
3,8 |
| Автопоезд трехосный (тягач с полуприцепом) |
25,0 |
16,0 |
20 |
2,5 |
3,8 |
| Автопоезд четырехосный (автомобиль с прицепом или тягач с полуприцепом) |
33,0 |
20,0 |
20 |
2,5 |
3,8 |
| Автопоезд пятиосный |
40,0 |
30,0 |
24 |
2,5 |
3,8 |
Следующий элемент системы автомобильного транспорта -автомобильные дороги, которые представляют собой комплекс инженерных сооружений, предназначенных для обеспечения возможности непрерывного безопасного движения с определенными рассчитанными нагрузками и скоростями. Автомобильные дороги состоят из земляного полотна и искусственных сооружений (мостов, путепроводов, тоннелей и т.д.) на которые наносятся дорожные покрытия. Дорожное покрытие в свою очередь включает; основную часть, дополнительный слой основания, дорожную одежду (верхний слой).
Направление движения автомобилей определяет разметка, которая наносится на проезжую часть дороги специальными красками или цветными пластмассами. Также дороги оснащаются сигналами, знаками и указателями. В зоне автомобильной дороги присутствуют различные предприятия, обеспечивающие непрерывность движения: заправочные станции, станции технического обслуживания и т.д.
В коммерческом отношении важны показатели, которые характеризуют пропускную способность дорог, так как от этого зависит скорость перевозки груза. В зависимости от параметров, обеспечивающих пропускную способность, автомобильные дороги подразделяются на категории. Основные характеристики категорий дорог приведены в табл. 6.3.
Таблица 6.3
Классификация автомобильных дорог по техническим параметрам
| Параметры дороги |
Техническая категория дороги |
||||
| I |
II |
III |
IV |
V |
|
| Среднесуточная интенсивность движения автомобилей в обоих направлениях |
Более 7000 |
7000-3000 |
3000-1000 |
1000-200 |
Менее 200 |
| Расчетная скорость движения, км/ч |
Более 150 |
120 |
100 |
80 |
60 |
| Ширина проезжей части, м |
Более 15 |
7,5 |
7,0 |
6,0 |
4,5 |
| Ширина полосы движения, м |
3,75 |
3,75 |
3,5 |
3,0 |
4,5 |
Основными элементами автомобильного транспорта, обеспечивающими организацию и управление, являются автотранспортные предприятия. Главные задачи автотранспортных предприятий - содержание автомобильного парка, обеспечение его исправного и работоспособного состояния, экономичное использование автотранспортных средств и непосредственная организация перевозочного процесса в соответствии с запросами рынка.
К автотранспортным предприятиям, занимающимся грузовой работой, относятся:
• грузовые автопредприятия и объединения;
• транспортно-экспедиционные компании;
• грузовые станции, которые организуют перевозки в прямом междугородном и смешанном сообщении;
• механизированные базы погрузочно-разгрузочных работ, занимающиеся при помощи своей техники грузовыми работами.
Все приведенные выше автопредприятия обеспечивают работу транспорта общего пользования.
Для коммерческих предприятий экономически целесообразно при мелких перевозках товаров использовать собственный небольшой парк или арендовать автомобили у соответствующих предприятий и организаций. При перевозке же крупных партий грузов большая рациональность перевозки достигается при помощи автотранспортных предприятий.
6.3. Договор перевозки на автомобильном транспорте
Транспортный договор, как правило, является двусторонним и заключается между грузовладельцем (отправителем и/или получателем) и автотранспортным предприятием. Договор перевозки может быть трехсторонним, т.е. грузоотправитель заключает договор с перевозчиком в пользу грузополучателя.
Основным видом транспортного договора является договор перевозки, суть которого сводится к тому, что перевозчик обязуется доставить вверенный ему отправителем груз и выдать его управомоченному на получение груза лицу (получателю), а отправитель обязуется уплатить за перевозку груза установленную плату.
В случае необходимости перевозчик и грузовладелец могут заключить долгосрочный договор об организации перевозок, в котором определяются сроки, объемы и другие условия предоставления транспортных средств и предъявления груза к перевозке. В такой договор могут быть включены и другие условия, не предусмотренные различными уставами и кодексами.
Договор транспортной экспедиции помимо основных предполагает оказание дополнительных услуг, связанных с перемещением грузов. Согласно ст. 801 ГК РФ по договору транспортной экспедиции одна сторона (экспедитор) обязуется за вознаграждение и за счет другой стороны (грузоотправителя или грузополучателя) выполнить или организовать выполнение услуг, связанных с перевозкой груза. К таким услугам относятся: оформление документов, требующихся для экспорта и импорта, выполнение таможенных и иных формальностей, проверка количества и состояния груза, его погрузка и выгрузка, уплата пошлин, сборов и других расходов, возлагаемых на клиента, хранение груза, его получение в пункте назначения, а также выполнение иных операций и услуг, предусмотренных договором.
В транспортном договоре необходимо четко указывать предмет договора, т.е. действия сторон, характер перевозок, услуг, объем и номенклатуру перевозимых грузов, количество транспортных средств и т.д. Недостаточно подробное и четкое описание вышеуказанных разделов может привести как к непониманию между сторонами договора, так и к недобросовестному выполнению условий транспортного договора.
В ходе заключения транспортного договора между сторонами возникают права и обязанности, которые могут оговариваться в соответствующем разделе договора. В силу обязательств перевозчик (автотранспортное предприятие) обязан выполнить в пользу грузовладельца ряд функций (к примеру, перевезти груз), а клиент имеет право требовать от перевозчика исполнения этой обязанности. Обязательства и обязанности должны выполняться в соответствии с условиями договора, положениями законодательства и иных правовых актов. В частности, в договоре можно обозначить следующие обязанности перевозчика - автотранспортного предприятия:
• определить количество автомашин и их типы для осуществления перевозки конкретного вида груза в установленном количестве на определенное расстояние и обеспечить соответственно подачу выбранного подвижного состава заказчику;
• подавать под погрузку подвижной состав, соответствующий требованиям качества, пригодный для перевозки конкретного вида груза, удовлетворяющего санитарным требованиям;
• принять на себя ответственность за сохранность груза на время следования;
• доставить груз в оговоренный срок в указанное место и передать его получателю, уполномоченному грузоотправителем.
В случае отсутствия требований обязательства выполняются в силу обычных деловых (торговых) отношений или иных традиционно предъявляемых требований.
Применительно к транспортному договору существует понятие недопустимости одностороннего отказа от исполнения обязательств. Такой отказ от исполнения обязательств или одностороннее изменение условий договора возможны лишь в случаях, предусмотренных законодательством или договором, в котором такие случаи и условия оговорены.
В договоре перевозки как обязанность перевозчика предусматривается также срок исполнения договора. Если в договоре срок поставки определен конкретным днем или оговорен период времени, в течение которого обязательство должно быть исполнено, то его следует исполнить соответственно в этот день или в любой момент оговоренного периода. Если такие условия договором не предусмотрены, то исполнение обязательства происходит в разумный срок после заключения договора.
В разделе «Права и обязанности» могут быть указаны место исполнения обязательства, а также возможность исполнения обязательства третьим лицом (в договорах транспортной экспедиции). При разовой отправке груза автомобильным транспортом можно ограничиться заключением типового договора на перевозку.
Для расчетов заказчика и автотранспортной организации составляется товарно-транспортная накладная, в которой указывается информация, необходимая для перевозки: вид и характеристики груза, место и дата заполнения накладной, имена и адреса отправителя, перевозчика и получателя, место и дата приема груза к перевозке, место и дата его сдачи, способ упаковки, количество грузовых мест, масса груза и т.д.
При выпуске автомобиля на линию водителю выдается путевой лист, который по окончании перевозки возвращается на автотранспортное предприятие.
В случае необходимости к товарно-транспортной накладной прилагается отгрузочная спецификация, которая составляется в свободной форме заказчиком. Отгрузочная спецификация обязательно должна содержать следующие данные: ее порядковый номер, дату составления, наименование отправителя и получателя груза.
6.4. Правила приема и выдачи грузов на автомобильном транспорте
При заключении коммерческого договора стороны должны четко оговорить положения, выполнение которых обеспечивало бы соблюдение условий качественной перевозки грузов, за которые транспортное предприятие ответственности не несет в силу существующего законодательства.
В целях сохранности груза и правильности его приема получателем на грузоотправителя возлагаются следующие обязанности:
1) строгое соблюдение норм и стандартов упаковки и затаривания товара, маркирование и опломбирование в соответствии с существующими правилами;
2) точное определение количества отгруженной продукции: массы или грузовых мест (ящиков, мешков, связок, кип, пачек и т.д.);
3) при отгрузке упакованных или затаренных товаров необходимо вложить в каждое тарное место документ, предусмотренный стандартами, техническими условиями;
4) оформление отгрузочных и товаросопроводительных документов должно быть четким, без помарок, исправлений или подчисток; информация о количестве и состоянии груза, указанная в таких документах, должна соответствовать фактическим данным;
5) строгое соблюдение правил сдачи грузов к перевозке, их погрузки и крепления;
6) систематический контроль за действиями лиц, определяющих количество отгружаемой продукции и заполняющих на нее отгрузочные документы.
Соответственно грузополучатель обязан осуществить прием груза от перевозчика. В такие обязанности входят:
1) проверка в надлежащих случаях наличия или неповрежденное пломб отправителя на автотранспортном средстве или на контейнере;
2) проверка состояния подвижного состава, соответствия его правилам перевозки данного груза, сохранности упаковки (тары), наличия защитной маркировки;
3) проверка соответствия наименования груза, его количества, состояния маркировки на упаковке (таре), информации, указанной в транспортном документе;
4) в случае необходимости грузополучатель вправе потребовать от перевозчика выдачи груза по количеству мест или весу, если такая обязанность возложена на перевозчика законодательством.
Грузы принимаются к перевозке автотранспортным предприятием по номенклатуре и массе. В случае передачи груза перевозчику на предприятии-изготовителе определение массы груза производится средствами грузоотправителя в присутствии перевозчика (представителя автотранспортной организации). Если груз представляется к перевозке на грузовой автостанции, масса определяется средствами автопредприятия за счет грузоотправителя.
При передаче отправителем перевозчику грузов, перевозимых навалом, насыпью, наливом и в контейнерах, масса определяется посредством взвешивания на весах и указывается в товарно-транспортной накладной.
Грузы, упакованные в тару, и штучные грузы представляются к перевозке с указанием в товарно-транспортной накладной общей массы груза и количества грузовых мест. Определение массы обычно производится отправителем до предъявления груза к перевозке. Информация о массе груза указывается на грузовых местах (таре) и заносится в товарно-транспортную накладную. Масса груза определяется взвешиванием на весах или по трафарету расчетным способом. Отметки о массе груза с указанием способа ее определения проставляются в товарно-транспортной накладной грузоотправителем.
Очень часто автотранспортные предприятия и организации осуществляют массовый централизованный вывоз грузов с пунктов перевалки (железнодорожных грузовых станций, портов, пристаней, аэропортов). В этом случае ответственность за определение массы груза возлагается на транспортное предприятие, с которого производится вывоз грузов. При перевалке грузов на автомашины соответствующая транспортная организация обязана проверять вес, количество мест, состояние груза и/или его упаковки (тары).
Определение массы груза отправителем производится при представлении груза к перевозке в крытых автомобилях и прицепах, отдельных секциях автомобилей, контейнерах и цистернах. Если такого вида отправка предназначена одному получателю, то подвижной состав должен быть опломбирован грузоотправителем. Опломбированию грузоотправителем подлежат также ящики, коробки и другая тара, в которых перевозятся грузы, упакованные в тару.
Перевозчик представляет груз к выдаче грузополучателю, указанному в накладной, в пункте назначения. Получение груза должно заверяться подписью и печатью (штампом) грузополучателя в трех экземплярах товарно-транспортной накладной, два из которых остаются у шофера-экспедитора.
Выдача груза автомобильным предприятием получателю производится без повторного взвешивания и проверки качества груза в том случае, когда грузы прибывают в исправном подвижном составе, прицепах, контейнерах или цистернах с неповрежденными пломбами грузоотправителя.
Обязательная проверка массы, количества мест и состояния груза производится в случаях:
1) прибытия груза в неисправном подвижном составе, с поврежденными пломбами или с пломбами попутной грузовой автомобильной станции;
2) прибытия груза с нарушением срока транспортировки или с нарушением температурного режима, установленного нормами, стандартами и правилами;
3) прибытия груза, погрузка которого производилась средствами автотранспортного предприятия со склада грузовой автомобильной станции;
4) выдачи грузов со склада автомобильной станции.
Тарные и штучные грузы подлежат взвешиванию только при повреждении и только в поврежденных грузовых местах. В случае обнаружения повреждения тары или упаковки, указывающего на возможность изменения количества или качества груза, автотранспортное предприятие обязано произвести проверку груза со вскрытием поврежденных грузовых мест. При этом учитываются данные, указанные в товарно-транспортной накладной.
Масса груза считается верной, если разница между ее реальным значением, зафиксированным на месте передачи груза получателю, и значением, определенным на месте погрузки в подвижной состав и отраженным в товарно-транспортной накладной, не превышает норм естественной убыли веса данного груза, утвержденных в установленном порядке.
Качество груза, прибывшего в поврежденной таре или упаковке, считается неудовлетворительным, если состояние груза изменилось настолько, что исключает возможность полного или частичного использования груза по прямому назначению.
Информация о несоответствии качества и количества прибывшего груза данным, указанным в накладной, фиксируется в акте, который составляется в пути следования. Также в этом акте делаются отметки о характере и размере фактической недостачи, порчи или повреждения груза.
Грузополучатель обязан полностью выгрузить прибывший груз из автомобильного подвижного состава. После выгрузки автотранспортное средство должно быть приведено в состояние, которое бы обеспечивало его дальнейшую эксплуатацию. Грузовое помещение автомашины или контейнер должны быть очищены грузополучателем от остатков груза и упаковки (тары), а после перевозки скоропортящихся грузов грузополучатель обязан; осуществить промывку грузового помещения и при необходимости произвести его дезинфекцию.
Автотранспортные предприятия обязаны доставлять вверенный им груз в указанное в накладной место назначения (на склад грузополучателя). Однако в зависимости от пожеланий грузополучателя груз может некоторое время храниться на складе перевозчика, если такой имеется. В случае, если транспортным договором оговорено получение груза со склада перевозчика, хранение груза на таком складе производится бесплатно в течение одних суток с момента извещения грузополучателя о прибытии груза. Хранение груза на складе автотранспортного предприятия помимо указанных в договоре условий производится за определенную плату, взимаемую с грузополучателя или грузоотправителя. Стоимость хранения груза устанавливается тарифами. Предельный срок хранения грузов на складе автотранспортного предприятия составляет 30 суток.
6.5. Упаковка и маркировка грузов, перевозимых автомобильным транспортом
Обязанность соответствующей подготовки груза к перевозке, как правило, возлагается на грузоотправителя. Таким образом, грузоотправитель обязан до прибытия автомобиля под погрузку привести груз в состояние, которое бы обеспечивало его транспортабельность. К работам по подготовке груза к перевозке относятся:
• упаковка и затаривание грузов;
• группировка отправок по грузополучателям;
• подготовка и заполнение товаро-сопроводительных и транспортных документов;
• обеспечение доставки автомобиля к месту погрузки и выгрузки грузов и т.д.
Грузы, предъявленные к перевозке в таре или упаковке, штучные грузы, мелкие отправки маркируются грузоотправителем. Каждое грузовое место маркируется в соответствии с правилами перевозок грузов на автомобильном транспорте.
В целях обеспечения качественной и безопасной транспортировки, предохранения от утраты, недостачи, порчи и повреждения грузы должны предъявляться к перевозке в исправной таре, соответствующей государственным и/или международным стандартам или техническим условиям. Установленный в договоре вид тары должен обеспечивать сохранность грузов.
Сельскохозяйственные товары, отправляемые производителями или заготовительными организациями, могут предъявляться j к перевозке в таре, не соответствующей стандартам, но обеспечивающей транспортабельность и сохранность качества груза.
В случае если груз был предъявлен к перевозке в состоянии, не соответствующем нормам и правилам, и не был приведен в надлежащее состояние в срок, обеспечивающий своевременную отправку, считается, что грузоотправитель не выполнил свои обязательства, а перевозчик освобождается от ответственности за неисполнение условий договора.
Глава 7. ОРГАНИЗАЦИЯ ПЕРЕВОЗОК ГРУЗОВ В СМЕШАННОМ СООБЩЕНИИ
7.1. Перевозка грузов с использованием нескольких видов транспорта. Понятие прямого смешанного сообщения
Смешанным сообщением называется такой вид перевозки, когда для обеспечения процесса транспортировки требуется два вида транспорта.
Существование такого вида перевозок связано с тем, что объективно сложно перевезти груз при использовании только одного вида транспорта. Это возможно лишь в некоторых случаях, когда, например, возможно перевезти груз только автомобильным транспортом (небольшое количество груза перевозится на небольшое расстояние или предприятие для междугородных перевозок может позволить себе использовать автомобильную фуру) или только железнодорожным транспортом (когда у предприятия-грузоотправителя и предприятия-грузополучателя есть подъездные пути). Однако приведенные виды перевозок в большинстве случаев не могут удовлетворить предпринимателей. Поэтому чаще, всего используются схемы транспортировки с участием нескольких видов транспорта.
В настоящее время основной объем перевозок осуществляется при помощи двух и более видов транспорта. Около 90% грузов,; перевозимых на первых этапах морским транспортом, в дальнейшем перевозится по железным дорогам; 50% грузов речного транспорта также передается к перевозке железнодорожным транспортом. Автомобильный транспорт взаимодействует со всеми видами транспорта, в том числе и с железнодорожным, обеспечивая перевозку «от двери до двери», если на предприятии нет подъездных путей от магистрального железнодорожного транспорта.
Сложность организации смешанного сообщения заключается в том, что такая схема перевозки требует слаженности и синхронности действий видов транспорта, имеющих разную технологию транспортировки и погрузки-выгрузки, неодинаковые документы, и пр.
Транспортировка грузов в прямых смешанных сообщениях производится с организацией погрузочно-разгрузочных работ при перевалке с одного вида транспорта на другой по двум схемам:
• перегрузочный вариант - с выгрузкой из подвижного состава для длительного или краткосрочного хранения груза на складах узла перевалки с последующей погрузкой на другой вид транспорта для дальнейшей транспортировки;
• прямой вариант - с перегрузкой непосредственно с одного транспортного средства на другое.
Организация работы пунктов перевалки грузов с одного вида транспорта на другой осуществляется с соблюдением Единых технологических процессов работы различных видов транспорта. Единые технологические процессы предусматривают организацию, управление и контроль над следующими видами транспортных операций:
• передача информации о подходе подвижных составов, которая необходима для оперативной подачи под загрузку подвижного состава другого транспортного средства;
• сменно-суточное планирование работы пункта перевалки, которое организовывает своевременный подход транспортных средств для перегрузки; такое планирование необходимо для того, чтобы исключить непроизводительные простои подвижного состава каждого вида транспорта;
• организация погрузочно-разгрузочных работ с учетом экономически и логистически обоснованного выбора и распределения погрузочно-разгрузочных механизмов и устройств, длины перегрузочных фронтов, объема работ по передаче грузов, выполнения установленных норм простоя подвижного состава под перегрузочными операциями, максимального отправления грузов по железной дороге маршрутами и др.;
• оформление передачи грузов с одного вида транспорта на другой в зависимости от быстроты перевалки грузов, от ответственности за сохранность грузов при перевозке тем или иным видом транспорта или на складе временного хранения, от выполнения сроков доставки; внесение в документы отметок о возникших в пункте перевалки дополнительных расходах и др.;
• подготовка подвижного состава в санитарном, техническом, термическом отношениях, своевременная подача их на фронты перегрузки с учетом темпов и ритма перегрузочных работ, размеров перегрузочных фронтов, установленных интервалов, порядка расстановки транспортных средств.
Все эти действия в большей или меньшей степени влияют на коммерческие характеристики договора купли-продажи и товара.
Для большего удобства и быстроты такие перевозки оформляются только одним перевозочным документом на весь путь следования; например, при прямом железнодорожно-автомобильном сообщении оформляется только железнодорожная накладная.
Под прямым смешанным сообщением понимается перевозка грузов, пассажиров и багажа разными видами транспорта по одному перевозочному документу. При осуществлении такого вида транспортировки грузоотправитель или грузополучатель освобождается от обязанности передавать груз с одного вида транспорта на другой и оформлять связанные с этим документы.
В процессе прямой смешанной перевозки грузов и багажа осуществляется перегрузка (перевалка) с одного вида транспорта на другой. Это в свою очередь влечет за собой возникновение дополнительных транспортно-правовых вопросов, связанных с особенностями организации таких перевозок и регулирования взаимоотношений различных видов транспорта, участвующих в определенной перевозке. Поэтому между различными транспортными организациями федерального уровня заключаются соглашения, в которых оговариваются права и обязанности сторон по организации и проведению работ, связанных с перевозкой грузов.
Официально в прямое смешанное сообщение входят следующие виды транспортных предприятий и организаций, установленные соответствующими федеральными органами исполнительной власти:
• железнодорожные станции, открытые для проведения операций по перевозкам грузов;
• морские и речные порты;
• автомобильные станции;
• аэропорты.
Перечень железнодорожных и автомобильных станций, портов, аэропортов содержится в сборниках правил перевозок и тарифов.
В большей степени распространены следующие схемы смешанных перевозок.
Железнодорожно-водные перевозки. В настоящее время перевозки таким видом сообщения осуществляет подавляющее большинство судоходных компаний. Ежегодный объем грузов, перевозимых по такой схеме, составляет примерно 50-60 млн т/год, что равно приблизительно 70% общего объема грузов, перевозимых водным транспортом. При этом на долю речного транспорта приходится примерно 15—20 млн. т/год, а на долю морского - соответственно 35-40 млн т/год. Такое распределение связано с объективной необходимостью доставки грузов, прибывших морским межконтинентальным транспортом во внутренние районы страны. В железнодорожно-водном варианте перевозки перегрузка грузов из железнодорожных вагонов на морские или речные суда или из вагонов на суда производится погрузочно-разгрузочными средствами портов. Как правило, перевозка грузов по такой схеме эффективна, рациональна и не требует дополнительных затрат. Однако возникают ситуации, когда доставленные в порт по железной дороге грузы не могут быть перевезены дальше водным видом транспорта, так как прекращение навигации не всегда удается точно спрогнозировать. В этом случае порты принимают прибывший груз на временное хранение, а впоследствии запрашивают грузоотправителя о возможности переадресовки груза или о сдаче его на месте в порту перевалки.
Смешанные перевозки река-море также обеспечивают решение задачи перевозки грузов из приморских районов в глубь материка. В данном случае перевозка грузов осуществляется на специальных судах, предназначенных для плавания и в морском, и в речном сообщении. Это самый дешевый вид смешанной перевозки, ограниченный, правда, климатическими условиями, при этом исключается необходимость перегрузки грузов с речного судна на морское и наоборот.
Одним из широко используемых способов перевозки является сообщение с использованием магистрального и промышленного железнодорожного транспорта и автомобильного транспорта. В данном случае железные дороги перевозят грузы на дальние расстояния, а автомобили осуществляют перевозку от склада до станции отправления, а далее от станции назначения до склада назначения.
Одним из пунктов договора перевозки в смешанном сообщении является срок доставки груза. Сроки доставки грузов определяются путем суммирования сроков перевозки различными видами транспорта. При этом срок непосредственной транспортировки грузов увеличивается на время перегрузки грузов в транспортных узлах. Регламентированы следующие сроки перевалки грузов с одного вида транспорта на другой:
• при перевалке грузов мелкими партиями - на двое суток;
• при перевалке остальных грузов - срок определяется технологией перевозок.
7.2. Контейнерные перевозки -
Контейнерные перевозки являются одним из самых прогрессивных направлений развития, рационализации и оптимизации транспортных процессов. Контейнерные перевозки позволяют освободить грузовладельца от необходимости транспортной упаковки и маркировки, снижают затраты на погрузочно-разгрузочные и складские работы при смешанном сообщении.
В настоящее время наблюдается увеличение парка контейнеров как во внутрироссийском, так и в международном масштабе. В условиях экономической интеграции современный этап развития контейнерных перевозок характеризуется масштабным созданием и расширением комплексных национальных и международных контейнерных систем.
В зависимости от грузоподъемности контейнеры подразделяются на следующие виды:
• малотоннажные (массой брутто менее 3 т);
• среднетоннажные (массой брутто 3 и 5 т);
•крупнотоннажные (массой брутто 16, 20, 24 т и более).
По назначению различают следующие виды контейнеров:
• универсальные контейнеры предназначены для перевозки широкой номенклатуры грузов, не требующих специальных условий транспортировки и погрузки-выгрузки, например, штучных грузов в таре и без нее, в облегченной упаковке, в том числе сыпучих или жидких грузов при перевозке в соответствующей упаковке;
• специализированные контейнеры предназначены для перевозки одного вида грузов, требующих соблюдения специфических условий для их транспортировки: например, жидких, сыпучих, гранулированных, пылевидных, мелкокусковых, крупнокусковых. К специализированным также относятся изотермические контейнеры.
В зависимости от общего устройства контейнеры классифицируют следующим образом:
• по форме защиты контейнеры бывают атмосфероустойчивые (оборудуются лабиринтами для отвода воды), водонепроницаемые (оборудуются резиновыми или иными уплотнениями), герметизированные;
• специализированные контейнеры могут быть мягкими (эластичными) и эластичными с жестким каркасом (комбинированные);
• с учетом материала, используемого в конструкции, контейнеры бывают металлическими (стальными, алюминиевыми, из легких сплавов), из полимерных материалов.
В зависимости от средств для перегрузки контейнеры подразделяются на:
• контейнеры с проемами в основаниях для погрузки-выгрузки с транспортных средств посредством вилочных погрузчиков;
• контейнеры с рымами или фитингами для захватов кранами.
В зависимости от сферы применения контейнеры бывают:
• неунифицированные - ограниченного обращения. Перевозка в таких контейнерах осуществляется только одним видом транспорта (контейнер, перевозимый только автомашинами, соответственно называется автомобильным). К парку ограниченного обращения также могут относиться контейнеры, посредством которых осуществляется смешанная перевозка, но только в определенных направлениях;
• унифицированные - широкого обращения. Они могут использоваться всеми видами транспорта без ограничения районов обращения.
7.3. Интермодальные и мультимодальные, технологии перевозок
Интермодальная перевозка - это система доставки груза несколькими видами транспорта по единому перевозочному документу с его перегрузкой в пунктах перевалки с одного вида транспорта на другой без участия грузовладельца. При интермодальной перевозке грузовладелец заключает договор на перевозку груза по всему маршруту следования с одним посредником (оператором). Чаще всего оператором выступает экспедиторская компания, которая выступает от имени грузовладельца и осуществляет все транспортные операции на пути следования груза.
Мультимодальная перевозка осуществляется оператором за пределы страны.
Договор перевозки груза заключается между грузовладельцем и первым перевозчиком (оператором). Договор считается заключенным в момент передачи груза к перевозке, факт сдачи-приемки груза удостоверяется в документах подписями отправителя и представителя транспортной организации, а также календарным штемпелем последней. Срок перевозки грузов рассчитывается как сумма сроков его доставки каждым перевозчиком в соответствии с правилами, действующими на каждом виде транспорта. Каждый перевозчик несет ответственность перед первым перевозчиком за груз с момента принятия его у грузоотправителя или у предыдущего перевозчика до момента передачи его следующему перевозчику или выдачи получателю.
Признаками интермодальной и мультимодальной перевозок являются:
• присутствие оператора, осуществляющего перевозку от начального до конечного пункта пути следования;
• единый сквозной тариф за перевозку;
• единый транспортный документ;
• единая ответственность за груз и исполнение договора перевозки.
Интермодальная перевозка предполагает следующие принципиальные положения.
1. Единообразный коммерческо-правовой режим, который предусматривает упрощение и совершенствование законодательной базы и документального оформления транспортировки грузов. В частности, этот принцип интермодальных перевозок подразумевает:
• совершенствование правил перевозок грузов (в частности, в контейнерах) на всех видах транспорта с целью повышения уровня их согласованности и синхронности работы в соответствии с выбранными критериями эффективности функционирования транспортной системы в целом;
• упрощение таможенных процедур;
• разработку и внедрение унифицированных перевозочных документов для внутригосударственного транспорта;
• использование стандартных коммерческих и перевозочных конкурентов международного образца для работы на внешнем транспортном рынке.
2. Системный подход к решению финансово-экономических аспектов организации перевозки предусматривает следующие направления:
• установление унифицированных тарифных правил перевозок грузов несколькими видами транспорта, в том числе перевозок грузов в международном сообщении и транзитных перевозок;
• разработку метода обоснованною распределения сквозных транспортных тарифов в СКВ между всеми элементами транспортной системы;
• разработку механизма финансовой ответственности за нарушение качества услуг для каждого субъекта, осуществляющего перевозку.
3. Использование различных: информационных систем, при помощи которых осуществляется более оперативное и качественное выполнение заказа, т.е. планирование, управление и контроль за всеми этапами транспортировки. Современные информационные системы также позволяют отслеживать географическое положение груза и его состояние.
4. Взаимоувязанность всех элементов транспортной системы ворганизационно-технологическом аспекте, а также единая форва функционирования и координация этих элементов. Так как элементами транспортной цепи выстукают представители разнообразных видов транспорта, для их качественной работы необходима их кооперация.
Для того чтобы организовать бесперебойную и быструю paботу системы, осуществляющей мультмодальные перевозки, нужна хорошо развитая транспортная инфраструктура, главным элементом которой является система терминалов. В настоящее время количество терминалов, как государственных, так и частных, увеличивается. Например, в Западной Европе существует Европейская система терминалов, включающая в себя интерконтейнерную сеть и объединяющая различные виды транспорта нескольких стран.
Современные терминалы выполняют ряд операций, сопутствующих непосредственно транспортировке. Различают пять типов функций, определяющих специализацию терминалов:
• услуги по перегрузке;
• обслуживание грузовых мест (аренда, лизинг, складирование, ремонт);
• обслуживание автотранспортных средств (аренда, лизинг, стоянка, ремонт, техобслуживание, мойка);
• обслуживание сети перевозки (начально-конечные операции, таможенное обслуживание, система контроля за движением);
• услуги, связанные с грузом (погрузка, выгрузка, предоставление складов).
Новая концепция терминальных систем заключается в переходе от множества изолированных мультимодальных терминалов к единому грузовому распределительному центру, где терминал будет главным элементом. Интеграция транспортных систем и сфер производства и потребления нашла отражение в создании центра, который будет взаимосвязывать деятельность товаропроизводителей и потребителей.
Такой распределительный центр оказывает услуги по сортировке видов груза, его отборе, сборке и укрупнению партий груза, а также их разделению, упаковке, складированию, хранению, обработке, пакетированию, контейнеризации, поставке и транспортировке. Торговый распределительный центр имеет несколько основных характеристик:
• мощность, т.е. объем перерабатываемого груза в определенный промежуток времени;
• конкретное территориальное месторасположение, которое определяет зону экономических интересов;
• отношение к транспортной системе, по которой проходит реализуемая продукция.
Региональные центры обеспечивают движение товарных и транспортных потоков, грузообработку, начиная единичной (штучной) продукцией и заканчивая крупнотоннажным контейнером.
Сейчас услугами таких распределительных центров пользуются сотни товаропроизводителей, номенклатура товаров которых измеряется тысячами наименований. Качественное выполнение услуг обеспечивается за счет высокого уровня автоматизации выполнения операций, отвечающей последним достижениям науки, техники и технологии. Для увеличения скорости выполнения заявок в информационных базах содержатся все необходимые данные о фирмах-клиентах, заказах, товарах, сроках, транспортных средствах.
В 1979 г. в рамках ЕЭК ООН была создана Рабочая группа экспертов, деятельность которых связана с решением экономических, технических, административных и правовых вопросов, возникающих в процессе осуществления мультимодальных перевозок. В настоящее время существует несколько направлений такой деятельности:
• изучение национальной транспортной политики в области смешанных перевозок;
• разработка международных правовых документов;
• исследование тенденций спроса грузоотправителей на смешанные перевозки;
• решение вопросов по изменению габарита и весовой массы грузовых единиц и о последствиях организации смешанных перевозок;
• создание единой европейской сети важнейших линий международных смешанных перевозок с соответствующей инфраструктурой.
На сегодняшний момент в Западной Европе существует два мультимодальных транспортных коридора: западная магистраль, включающая пути сообщения Франции, Испании и Португалии, и восточная, в которую входят пути сообщения Германии, Австрии, Швейцарии. Восточная магистраль обеспечивает более 80% перевозок грузов в Европе.
Глава 8. ОРГАНИЗАЦИЯ ПЕРЕВОЗОК СКОРОПОРТЯЩИХСЯ ГРУЗОВ
8.1. Понятие скоропортящихся грузов. Основные условия их транспортировки
К скоропортящимся грузам относятся продукты, которые при перевозке и хранении требуют защиты от воздействия на них высоких или низких температур и влажности наружного воздуха. В коммерческом отношении для товаров большое значение имеют товарный вид и сохранение потребительских свойств. Даже самый качественный товар может быть неисправимо испорчен на любом из этапов коммерческого процесса распределения. Перевозки скоропортящихся грузов должны осуществляться специальным холодильным транспортом. Основной задачей хладотранс-порта является соблюдение условий, при которых скоропортящиеся грузы не подвергаются вредному физико-химическому и бактериологическому воздействию. На качество груза в процессе хранения и перевозки влияют следующие факторы:
• качество, состояние и подготовка продукта к хранению или перевозке, его тара и упаковка;
• температура, влажность, циркуляция и вентиляция воздуха помещения, где хранится или перевозится продукт, а также чистота воздуха и санитарное состояние камер и грузового объема транспортного средства;
• способы размещения в них продуктов и длительность перевозки.
Скоропортящиеся грузы перевозят по плану, разрабатываемому с учетом удовлетворения потребностей в перевозках продуктов питания, эффективного использования технических средств. Перевозки планируют по следующей номенклатуре: 1) мясо, молоко и молочные продукты; 2) рыба; 3) картофель, овощи и фрукты.
Основными условиями правильной организации перевозок скоропортящихся грузов, обеспечивающими доставку их в пункты назначения в установленные сроки и в полной сохранности, являются:
• подготовка груза к перевозке отправителем полностью в, соответствии с ППГ;
• предъявления к перевозке только доброкачественных грузов в стандартной таре и упаковке;
• выбор, подготовка и подача под погрузку исправных вагонов и других транспортных средств;
• погрузка и укладка груза в вагоне в соответствии с ППГ;
• отгрузка скоропортящихся грузов маршрутами и укрупненными группами вагонов;
• ускоренное продвижение поездов и надлежащее обслуживание вагонов в пути.
При перевозке скоропортящихся грузов необходимо учитывать также климатические условия района погрузки и предположительное направление перевозки. Обычно выделяют четыре основных календарных периода: летний, зимний и два переходных (от зимы к лету, от лета к зиме). В зависимости от периода выбирают способ перевозки, порядок оборудования подвижного состава, устанавливают допустимые сроки перевозки и пр.
8.2. Классификация изотермического подвижного состава
Изотермический подвижной состав представляет собой транспортные средства, в грузовых помещениях которых поддерживаются постоянные температуры, требуемые для перевозки определенных видов грузов. Эти грузы, как правило, предварительно охлаждены или нагреты, хотя могут быть и термически не обработаны. Необходимый температурный режим транспортировки и поддерживается посредством следующих факторов:
• теплоизоляционных материалов и специальной конструкции поверхностей (стен, пола и потолка) подвижного состава;
• системы вентиляции;
• непосредственно системы охлаждения (нагрева).
В целях поддержания коммерческих характеристик груза к изотермическим транспортным средствам предъявляют ряд требований:
• поддержание в грузовом помещении оптимальной температуры и влажности воздуха независимо от внешних условий;
• обеспечение высоких скоростей движения с одновременным сохранением плавного хода, необходимых для уменьшения механических повреждений груза;
• автоматизация работы оборудования и контроля температур, надежность оборудования и простота его обслуживания.
В зависимости от рода перевозимых грузов изотермический подвижной состав подразделяется на универсальный и специализированный. В универсальном подвижном составе перевозят массовые скоропортящиеся грузы (мясо, фрукты и овощи, молочные продукты и пр.). Специализированный изотермический подвижной состав предназначен только для определенных грузов: виноградных вин, виноматериалов, живой рыбы и др.
Изотермический подвижной состав различается также по способу охлаждения или нагрева грузового помещения:
• рефрижераторы охлаждаются при помощи паровых компрессорных холодильных установок;
• ледники имеют емкости для льда или смеси льда и соли;
• термосы предполагают теплоизоляцию без охлаждающих устройств.
Транспортировка скоропортящихся грузов осуществляется железнодорожным, водным (речным и морским), автомобильным и в меньшей степени воздушным транспортом.
Железнодорожному транспорту принадлежит ведущая роль в перевозке скоропортящихся грузов, так как сравнительно недорогая перевозка является одновременно очень качественной. По железным дорогам перевозят в основном следующие скоропортящиеся грузы: мясопродукты, рыбопродукты, плодоовощи свежие и картофель, масло животное и пищевые жиры, молочные продукты, консервы, фрукты, фруктовые соки, пиво, минеральные воды и др. Парк изотермического подвижного состава железных дорог состоит в большей части из вагонов-рефрижераторов, которые характеризуются большой вместимостью и высоким качеством охлаждения.
В зависимости от количества рефрижераторных вагонов различают автономный рефрижераторный вагон (1 вагон), секции (пяти- и двенадцативагонные) и рефрижераторные поезда - более 21 вагона.
Автомобильный хладотранспорт предназначен прежде всего для перевозки скоропортящихся грузов (чаще продуктов питания) от мест производства или хранения, которые предполагают наличие холодильного оборудования, в места их потребления или продажи. Кроме того, возможна также перевозка скоропортящихся грузов (фрукты, овощи и пр.) на дальние расстояния. К автомобильному подвижному составу относятся автомобили-полуприцепы и прицепы-рефрижераторы, теплоизолированный кузов которых устанавливается на шасси автомашины, полуприцепа или прицепа. Для коммерческих целей необходимо знать основные показатели, влияющие на качество продукта. К таким показателям относятся производительность холодильной установки, подбор аппаратов и другого оборудования. Также при выборе изотермического подвижного состава учитывается вместимость кузова, площадь поверхности приборов охлаждения. Данные характеристики определяются расчетным путем.
Водный транспорт перевозит скоропортящиеся грузы в относительно больших объемах. Прямое смешанное железнодорожной водное сообщение может существенно снизить стоимость транспортировки скоропортящихся грузов. В некоторые периоды (ceзоны) водное сообщение бывает особенно интенсивным, что существенно разгружает железнодорожный и автомобильный хладотранспорт. Морской хладотранспорт помимо непосредственно перевозки скоропортящихся грузов может быть предназначен для термической обработки (замораживания и охлаждения) рыбы и других морепродуктов, доставки их в места переработки и потребления, а также хранения груза. При перевозке грузов водным транспортом особое внимание уделяется укладке и закреплению грузов в трюмах с учетом условий перевозки (сильное волнение, качка). Как правило, грузы укладываются очень плотно, проходы в данном случае не предусматриваются.
Воздушный транспорт относительно других видов транспорта имеет некоторые преимущества в перевозке скоропортящихся грузов. Авиатранспортом осуществляется транспортировка на большие расстояния за короткое время, и, как следствие, перевозка скоропортящихся продуктов не требует специального охлаждения. Низкая температура в грузовом помещении, необходимая для соблюдения условий перевозки, достигается за счет циркуляции холодного наружного воздуха. Авиатранспортом перевозят фрукты, ранние овощи, ягоды, свежую рыбу, живые цветы, биологические, медицинские и другие препараты, требующие поддержания температурного режима.
8.3. Перевозка скоропортящихся продуктов по железным дорогам
Железнодорожный транспорт по сравнению с другими видами транспорта при перевозке скоропортящихся продуктов имеет ряд существенных преимуществ:
1) то обстоятельство, что в номенклатуру скоропортящихся грузов входит множество наименований и данные грузы перевозятся в больших объемах, используется большое количество транспортных средств;
2) централизованный контроль за техническим состоянием изотермического подвижного состава;
3) невысокая стоимость по сравнению с автомобильным транспортом.
На железнодорожном транспорте скоропортящиеся грузы в зависимости от организации их транспортировки, обусловленной физико-химическими свойствами продукта, подразделяются на три основные группы.
Грузы особо срочной доставки. Продолжительность транспортировки данного вида грузов жестко ограничена, необходима высокая степень надежности перевозок. В данную группу включаются ранние овощи и фрукты, зелень свежая, живая рыба, раки, икра непастеризованная, эндокринное сырье и другие виды грузов.
Грузы срочной доставки. Продолжительность перевозки ограничена, но допускаются отклонения, не превышающие определенных норм. В эту группу входят охлажденное мясо, мясопродукты, птица битая, дичь, рыба, продукты растительного происхождения, не поименованные выше, молокопродукты, яйца, пиво.
Грузы, срок доставки которых не ограничен. При перевозке допускаются колебания температурного режима и отклонения во времени. Эти грузы относятся к разделу срочных из-за высокой стоимости грузов, подвижного состава и его обслуживания.
Для скоропортящихся грузов установлены следующие сроки доставки:
• уставный - согласно Транспортному уставу железных дорог в течение данного срока груз должен быть доставлен получателю;
• технологический - в течение данного срока груз может находиться в пути без изменения свойств и качества; данный срок устанавливается грузоотправителем при удостоверении качества;
• предельный - устанавливается правилами перевозок грузов для каждого вида груза в зависимости от рода и термической обработки продукта, вида подвижного состава, климатического периода и способа перевозки.
Перед приемом груза к перевозке необходимо сравнить технологический Тдост и предельный Тппг сроки доставки. Технологический срок доставки определяется по формуле

где Lдост - тарифное расстояние между начальным и конечным пунктами;
Uмар - маршрутная скорость следования «холодного поезда»;
tдоп дополнительное время на операции в пунктах прибытия и отправления, сутки.
В зависимости от рода груза, его термической подготовки и срока доставки производится выбор подвижного состава. Для перевозки каждого из грузов выбор подвижного состава производится в соответствии с ППГ.
8.4. Перевозка скоропортящихся грузов автомобильным транспортом
Основным документом, в котором содержатся правила перевозки скоропортящихся грузов, является Соглашение СПС о международных перевозках скоропортящихся пищевых продуктов и о специальных транспортных средствах, предназначенных для этих перевозок. В Соглашении СПС регламентируются следующие стандарты:
• типы и нормы специальных транспортных средств, использующиеся для перевозки скоропортящихся продуктов;
• методика, порядок проведения и оформления результатов измерения и контроля качества груза, принятого к перевозке;
• температурные условия, которые должны соблюдаться при погрузке и перевозке скоропортящихся продуктов.
При перевозке скоропортящихся продуктов должны соблюдаться следующие условия:
• пол грузового помещения должен быть чисто вымыт, не допускается настил;
• скоропортящиеся грузы в брикетах должны быть правильной прямоугольной формы без целлофана и наледи;
• отдельные виды продуктов (печень, легкие, почки) должны быть отгорожены друг от друга деревянными щитами на высоту брикетов;
• запрещается перевозка продуктов животного происхождения разного вида в одном грузовом помещении;
• доставка продуктов в пункты назначения должна осуществляться в строго установленный срок.
При передаче к перевозке груза отправитель обязан указывать в накладной и на таре температуру груза. При погрузке скоропортящихся продуктов перевозчик отмечает в документах необходимую температуру груза и режим транспортирования. В случае если температура груза не соответствует норме, водитель обязан сделать в документах (товарно-транспортной накладной п. 18 «Замечания перевозчика») запись следующего содержания: «Груз принят при температуре, превышающей норму (с указанием фактической температуры груза)».
8.5. Перевозка скоропортящихся грузов в прямом смешанном сообщении
Перевозка скоропортящихся продуктов в прямых смешанных сообщениях является наиболее экономичной и прогрессивной. На сегодняшний день существуют преимущественно железнодорожно-водные, автомобильно-водные и железнодорожно-автомобильные перевозки скоропортящихся грузов. При перевозках скоропортящихся грузов в прямом смешанном сообщении к документам обязательно прилагаются сертификаты или удостоверения качества. В этих документах кроме информации, описывающей состояние перевозимых грузов, указывают сроки возможной транспортировки с учетом условий перевозки на конкретных видах транспорта. При отсутствии таких документов или в случае невозможности доставить груз в срок, указанный в сертификатах, сторона, передающая груз к перевалке на другой вид транспорта, обязана вызвать представителя инспекции по качеству или эксперта и оформить передачу по вновь выданному сертификату или составленному акту экспертизы.
Для обеспечения наиболее эффективного использования данной схемы транспортировки существует ряд правил работы транспортных средств и пунктов перевалки. Система таких стандартов называется едиными технологическими процессами работы различных видов транспорта при перевозке скоропортящихся грузов. В том случае, если через пункт перегрузки скоропортящиеся грузы проходят в большом количестве, такие правила разрабатываются индивидуально для каждого пункта перевалки грузов с j одного вида транспорта на другой. Если же на пунктах перевалки скоропортящиеся грузы перерабатывают в небольшом количестве или только во время массовых сезонных перевозок, транспортировка скоропортящихся грузов в смешанном сообщении может осуществляться также посредством изотермических контейнеров. Некоторые виды изотермических вагонов могут быть оснащены специальными холодильно-отопительными устройствами, приводимыми в действие в зависимости от вида перевозимого груза. Так, отопительные установки применяются при транспортировке в зимний период яиц, бананов, ананасов и прочих грузов.
В контейнерах без холодильно-отопительных устройств воздействию внешних факторов на скоропортящийся груз препятствует тепловая изоляция. Такой контейнер используется в качестве термоса.
В Западной Европе и Японии широко используются изотермические контейнеры охлаждаемые навесными или встроенными; холодильно-отопительными агрегатами. Масса брутто таких контейнеров составляет от 5 до 30 т. Характерно, что высота и ширина всех контейнеров независимо от объема стандартизирована ISO и равны 2438 мм (8 футов). Крупнотоннажные контейнеры, предназначенные для перевозки пищевых продуктов, классифицируют по наличию источников холода, по типу применяемой системы охлаждения или отопления. В соответствии со стандартами ISO контейнеры проектируют для использования при наружных температурах от +45 до - 45°С. Система охлаждения (отопления) должна качественно функционировать при наружных температурах от +55 до -55°С.
Все изотермические контейнеры унифицированы согласно стандартам; их параметры соответствуют характеристикам крупнотоннажных контейнеров общего назначения.
Охлаждение крупнотоннажных контейнеров осуществляется посредством машинной холодильной установки (чаще фреоновой), установки с жидким азотом или сухим льдом.
Около 90% парка изотермических контейнеров имеет машинную систему охлаждения. Наличие столь большой доли контейнеров с данным видом охлаждения объясняется следующими преимуществами: универсальностью, автономностью и экономичностью. К недостаткам относятся сложность и низкая надежность холодильной установки. Самым ненадежным элементом системы является дизель-генератор, поэтому в некоторых контейнерах его не применяют, и в данном случае используется источник питания, установленный на транспортном средстве (судах, железнодорожных платформах, автотягачах), контейнерных пунктах и грузовых фронтах.
Преимущества холодильных установок с жидким азотом и сухим льдом заключаются в относительной простоте, возможности быстрого понижения температуры груза и воздуха, высокой надежности и обеспечении низкой естественной убыли груза.
Изотермические контейнеры перевозят на специализированном подвижном составе: железнодорожных платформах, автомобилях, судах-контейнеровозах. Погрузка-выгрузка контейнеров с транспортных средств также производится специализированными механизмами.
Для обеспечения документального оформления перевозок в рефрижераторных контейнерах разных типов разработана специальная техническая документация, учитывающая особенности транспортировки скоропортящихся грузов и организации контейнерных перевозок.
Глава 9. ИНФОРМАЦИОННАЯ СОСТАВЛЯЮЩАЯ ТРАНСПОРТНОГО ОБЕСПЕЧЕНИЯ
9.1. Транспортно-технологическая информационная система управления предприятием
Особую роль транспортно-технологические системы играют на предприятиях, имеющих распределенную филиальную сеть. Компания с распределенной филиальной сетью - по сути, объединение территориально рассредоточенных предприятий, выполняющих идентичные функции, имеющих сильные вертикальные связи с аппаратом управления, где вырабатывается стратегия развития компании в целом, формируются управляющие решения и, как следствие, присутствует большой объем технологической, административно-распорядительной и отчетной документации (сложный документооборот). Уровень управляемости такой компании во многом зависит от наличия достоверной и оперативной информации в аппарате управления по всем направлениям деятельности филиалов. К компаниям, имеющим распределенную филиальную сеть, относятся банки, транспорт, телекоммуникационные, электрические, тепловые сети и т.п.
Управление такой компанией, безусловно, требует создания особого механизма управления. Таким механизмом может являться корпоративная транспортно-технологическая информационная система, обеспечивающая ряд управленческих функций, таких как мониторинг деятельности, прогнозирование и планирование деятельности, учетные функции, автоматическая отчетность, поддержка принятия управленческих решений.
Транспортио-технологическая информационная система - информационная система, интегрирующая в себе технологические информационные подсистемы филиалов и аппарата управления с транспортной подсистемой компании.
Для создания технологических информационных подсистем используются десятки специализированных бухгалтерских, экономических, производственных и других информационных систем, поддерживающих работоспособность каждого филиала в отдельности. Взаимодействие аппарата управления с филиалами обеспечивается транспортной подсистемой компании - подсистемой, обеспечивающей коммуникации. В современных условиях в производстве и в обществе в целом резко повышаются значение и объем информации. Все чаще перевозка грузов и пассажиров есть не что иное, как перевозка информации. Бумажные документы перевозятся в качестве груза, а пассажиры являются курьерами по транспортировке устной информации (например, участники совещаний), бумажных документов или документов на электронных носителях.
Для транспорта в качестве средства коммуникации при большом документообороте существует достойная альтернатива - сети передачи данных и вычислительные сети (как внешние, так и внутренние). При этом не обязательно имитировать документооборот, достаточно организовать доступ участников коммутационного процесса в определенные базы данных с соответствующими правами. Это позволяет сделать сам процесс электронного документооборота все более дешевым и доступным, а при хорошем информационном обеспечении коммуникационных процессов может привести к сокращению или отсутствию необходимости перевозки грузов и людей.
Под транспортом в транспортной подсистеме компании подразумевается собственно транспорт (автомобильный, железнодорожный и др.), а также системы и сети передачи данных (локальные и корпоративные сети предприятий и организаций, Internet и др.). Элементами транспортной подсистемы для вновь введенного вида транспорта являются вычислительная техника, различные виды сетей передачи данных, программное обеспечение и т.п.
Итак, для компаний, имеющих разветвленную филиальную сеть, важно наличие корпоративной вычислительной сети предприятия, которая позволила бы в условиях комплексной автоматизации организовать транспортную информационную подсистему. Комплексная автоматизация и создание на ее основе единого информационного пространства в рамках транспортно-технологической информационной системы позволяют компании с разветвленной филиальной сетью повысить уровень управляемости и стать динамично развивающейся компанией с эффективно организованным управлением.
Построение транспортно-технологической информационной системы предприятия базируется на разработке информационной технологии и реализации ее в комплексной автоматизированной информационной системе.
9.2. Понятие информационной технологии (ИТ)
Слово «технология» при переводе с греческого (techne) означает «искусство, мастерство, умение», а все это не что иное, как процессы. Под процессом следует понимать определенную совокупность действий, направленных на достижение поставленной цели. Процесс должен определяться выбранной человеком стратегией и реализоваться с помощью совокупности различных средств и методов.
Под технологией материального производства понимают процесс, определяемый совокупностью средств и методов обработки, изготовления, изменения состояния, свойств, формы сырья или материала. Технология изменяет качество или первоначальное состояние материи в целях получения материального продукта (рис. 9.1).

Рис. 9.1. ИТ как аналог технологии переработки материальных ресурсов
Информация - сведения об окружающем нас мире, уменьшающие уровень неосведомленности человека.
Современная наука под информацией понимает сведения, сообщения о чем-либо, передаваемые от источника к приемнику информации. Информация передается сигналами какой-либо физической природы по линиям связи источника с получателем. Это могут быть звуковые или световые сигналы, энергетические, нервные импульсы и т.д.
Информация является одним из ценнейших ресурсов общества наряду с такими традиционными материальными видами ресурсов, как нефть, газ, полезные ископаемые и др., а значит, процесс ее переработки по аналогии с процессами переработки материальных ресурсов можно воспринимать как технологию. Тогда справедливо следующее определение: информационная технология - процесс, использующий совокупность средств и методов сбора, обработки и передачи данных (первичной информации) для получения информации нового качества о состоянии объекта, процесса или явления (информационного продукта).
Информационное общество - общество, в котором болынинство работающих занято производством, хранением, переработкой и реализацией информации, особенно высшей ее формы - знаний.
Информационная культура - умение целенаправленно работать с информацией и использовать ее для получения, обработки и передачи компьютерной информационной технологии современными техническими средствами и методами.
Информационные ресурсы - отдельные документы и отдельные массивы документов в информационных системах (библиотеках, архивах, фондах, банках данных, других информационных системах).
Информационный продукт - совокупность данных, сформированная производителем для распространения в вещественной или невещественной форме.
В истории развития цивилизации произошло несколько информационных революций - преобразований общественных отношений из-за кардинальных изменений в сфере обработки информации. Следствием этих преобразований являлось приобретение человечеством нового качества.
Первая революция связана с изобретением письменности. Появилась возможность передавать знания от поколения к поколению.
Вторая революция (середина XVI в.) - изобретение книгопечатания, которое радикально изменило организацию деятельности человека.
Третья революция (конец XIX в.) - изобретение электричества, благодаря которому появились телеграф, радио, позволяющие оперативно передавать и накапливать информацию в любом объеме.
Четвертая революция (70-е годы XX в.) - изобретение микропроцессорной технологии и появление персонального компьютера. На микропроцессорах и интегрированных схемах создаются компьютеры, компьютерные сети, системы передачи данных (информационные коммуникации).
Последняя информационная революция выдвинула на первый план новую отрасль - информационную индустрию, связанную с производством технологических средств, методов, технологий для производства новых знаний. Важнейшей составляющей информационной индустрии становятся все виды информационной технологии, особенно телекоммуникации. Этот период характеризуют три фундаментальные инновации:
• переход от механических и электрических средств преобразования информации к электронным;
• миниатюризация всех узлов, устройств, приборов, машин;
• создание программно-управляемых устройств и процессов.
Телекоммуникации - дистанционная передача данных на базе компьютерных систем и современных технических средств связи.
Развитие компьютерной техники и ИТ послужило толчком к развитию общества, построенного на использовании различной информации и получившего название информационного общества.
По сравнению с индустриальным обществом, где все направлено на производство и потребление товаров, в информационном обществе производятся и потребляются интеллект, знания. Основным видом производимых продуктов является информационный продукт. Главный фактор информатизации общества - развитие информационного рынка.
В России в силу переходных процессов в экономике и начавшейся информатизации общества пока отсутствует единое мнение относительно инфраструктуры информационного рынка.
Представляется наиболее правомерным следующий подход к инфраструктуре рынка, который взят за основу (рис. 9.2).
Выделим пять секторов рынка информационных продуктов и услуг.
Первый сектор - деловая информация, состоит из следующих частей:
• биржевая и финансовая информация - котировки ценных бумаг, валютные курсы, учетные ставки, рынок товаров и капиталов, инвестиции, цены (поставщиками являются специальные службы биржевой и финансовой информации, брокерские компании, банки);
• статистическая информация - ряды динамики, прогнозные модели и оценки по экономической, социальной, демографическим областям (поставщиками являются государственные службы, компании, консалтинговые фирмы);
• коммерческая информация по компаниям, фирмам, корпорациям, направлениям работы и их продукции, ценам; о финансовом состоянии, связях, сделках, руководителях, деловых новостях в области экономики и бизнеса (поставщиками являются специальные информационные службы).
Второй сектор - информатизация для специалистов, содержит следующие части:
• профессиональная информация - специальные данные и информация для юристов, фармацевтов, преподавателей, инженеров, геологов, метеорологов и т.д.;
• научно-техническая информация - документальная, библиографическая, реферативная, справочная информация в области естественных, технических, общественных наук, по отраслям производства и сферам человеческой деятельности;
• доступ к первоисточникам - организация доступа к источникам информации через библиотеки и специальные службы.
Третий сектор - потребительская информация, состоит из следующих частей:
• новости и литература - информация служб новостей и агентств прессы, электронные журналы, справочники, энциклопедии;
• потребительская информация - расписания транспорта, резервирование билетов и мест в гостиницах, заказ товаров и услуг, банковские операции и т.д.;
• развлекательная информация - игры, телетекст, видеотекст.
Четвертый сектор - услуги образования, включает все формы и ступени образования: дошкольное, специальное, среднее профессиональное, высшее, повышение квалификации и переподготовку. Информационная продукция может быть представлена в компьютерном или некомпьютерном виде: учебники, методические разработки, практикумы, развивающие компьютерные игры, компьютерные обучающие и контролирующие системы, методики обучения и пр.
Пятый сектор - обеспечивающие информационные системы и средства, состоит из следующих частей:
• программные продукты - программные комплексы с разной ориентацией - от профессионала до неопытного пользователя компьютера: системное программное обеспечение, программы общей ориентации, прикладное программное обеспечение и др.;
• технические средства - компьютеры, телекоммуникационное оборудование, оргтехника, сопутствующие материалы и комплектующие;
• разработка и сопровождение информационных систем и технологий;
• консультирование по различным аспектам информационной индустрии: какую приобретать информационную технику, какое программное обеспечение необходимо для реализации профессиональной деятельности, нужна ли информационная система и какая, на базе какой информационной технологии лучше организовать свою деятельность и т.п.;
• подготовка источников информации - создание баз данных по заданной теме, области, явлению и т.п.
Новая информационная технология - информационная технология с «дружественным» интерфейсом работы пользователя, применяющая персональные компьютеры и телекоммуникационные средства.
В современном обществе основным техническим средством технологии переработки информации служит персональный компьютер, который существенно повлиял как на концепцию построения и использования технологических процессов, так и на качество результатной информации. Внедрение персонального компьютера в информационную сферу и применение телекоммуникационных средств связи определили новый этап развития информационной технологии и, как следствие, изменение ее названия за счет присоединения одного из синонимов: «новая», «компьютерная» или «соврменная».
Прилагательное «новая» подчеркивает новаторский, а не эволюционный характер этой технологии. Ее внедрение является новаторским актом в том смысле, что она существенно изменяет содержание различных видов деятельности в организациях. В понятие новой информационной технологии включены такие коммуникационные технологии, которые обеспечивают передачу информации разными средствами, а именно - телефон, телеграф, телекоммуникации, факс и др.
Три основных принципа новой (компьютерной) информационной технологии:
• интерактивный (диалоговый) режим работы с компьютером;
• интегрированность (стыковка, взаимосвязь) с другими программными продуктами;
• гибкость процесса изменения как данных, так и постановок задач.
Инструментарий информационной технологии - один или несколько взаимосвязанных программных продуктов для определенного типа компьютера, технология работы в котором позволяет достичь поставленную пользователем цель.
Средствами производства информации являются аппаратное, программное и математическое обеспечение. С их помощью производится переработка первичной информации в информацию нового качества. Выделим отдельно из этих средств программные продукты и назовем их программным инструментарием информационной технологии.
Информационная технология тесно связана с информационными системами, которые являются для нее основной средой. На первый взгляд может показаться, что определения информационной технологии и системы очень похожи между собой. Однако это не так.
Информационная технология является процессом, состоящим из четко регламентированных правил выполнения операций, действий, этапов разной степени сложности над данными, хранящимися в компьютерах. Основная цель информационной технологии в результате целенаправленных действий по переработке первичной информации получить необходимую для пользователя информацию.
Информационная система является средой, ее составляющие -компьютеры, компьютерные сети, программные продукты, базы данных, люди, различного рода технические и программные средства связи и т.д. Основная цель информационной системы - организация хранения и передачи информации. Информационная система представляет человеко-компьютерную систему обработки информации.
Реализация функций информационной системы невозможна без знания ориентированной на нее информационной технологии. Информационная технология может существовать и вне информационной системы. Информационная технология является более емким понятием, отражающим современное представление о процессах преобразования информации в информационном обществе.
Информационная технология, как и любая другая, должна отвечать следующим требованиям:
• обеспечивать высокую степень разделения всего процесса обработки информации на этапы (фазы), операции, действия;
• включать весь набор элементов, необходимых для достижения поставленной цели;
• иметь регулярный характер (этапы, действия, операции технологического процесса могут быть стандартизованы и унифицированы, что позволит более эффективно осуществлять целенаправленное управление информационными процессами).
При внедрении информационной технологии в фирму необходимо выбрать одну из двух основных концепций, отражающих сложившиеся точки зрения на существующую структуру организации и роль в ней компьютерной обработки информации.
Первая концепция ориентируется на существующую структуру фирмы. Информационная технология приспосабливается к организационной структуре и происходит лишь модернизация методов работы. Коммуникации развиты слабо, рационализируются только рабочие места. Происходит распределение функций между техническими работниками и специалистами. Степень риска от внедрения новой информационной технологии минимальна, так как затраты незначительны и организационная структура фирмы не меняется.
Основной недостаток такой стратегии - необходимость непрерывных изменений формы представления информации, приспособленной к конкретным технологическим методам и техническим средствам. Любое оперативное решение «вязнет» на различных этапах информационной технологии.
К достоинствам стратегии можно отнести минимальные степень риска и затраты.
Вторая концепция ориентируется на будущую структуру фирмы. Существующая структура будет модернизироваться. Данная стратегия предполагает максимальное развитие коммуникаций и разработку новых организационных взаимосвязей. Продуктивность организационной структуры фирмы возрастает, так как рационально распределяются архивы данных, снижается объем циркулирующей по системным каналам информации и достигается сбалансированность между решаемыми задачами. К основным ее недостаткам следует отнести:
• существенные затраты на первом этапе, связанном с разработкой общей концепции и обследованием всех подразделений фирмы;
• наличие психологической напряженности, вызванной предполагаемыми изменениями структуры фирмы и, как следствие, изменениями штатного расписания и должностных обязанностей.
Достоинствами данной стратегии являются:
• рационализация организационной структуры фирмы;
• максимальная занятость всех работников;
• высокий профессиональный уровень;
• интеграция профессиональных функций за счет использования компьютерных сетей.
Новая информационная технология в фирме должна быть такой, чтобы уровни информации и подсистемы, ее обрабатывающие, связывались между собой единым массивом информации. При этом предъявляются два требования. Во-первых, структура системы переработки информации должна соответствовать распределению полномочий в фирме. Во-вторых, информация внутри системы должна функционировать так, чтобы достаточно полно отражать уровни управления.