| Скачать .docx |
Курсовая работа: Организация транспортного обеспечения коммерческой деятельности торгового предприятия
МИНИСТЕРСТВО СЕЛЬСКОГО ХОЗЯЙСТВА РОССИЙСКОЙ ФЕДЕРАЦИИ
ФГОУ ВПО «ОРЕНБУРГСКИЙ ГОСУДАРСТВЕННЫЙ АГРАРНЫЙ УНИВЕРСИТЕТ»
Институт управления
Кафедра коммерции и организации экономической деятельности
Курсовая работа
на тему: «Организация транспортного обеспечения в коммерческой деятельности торгового предприятия»
(на примере предприятия ООО «Птица Плюс»)
Выполнила: студентка гр. 41 КОМ
дневного отделения Никитина
Евгения Александровна
Научный руководитель: к.э.н., доцент
Корнева Светлана Сагитовна
Оренбург 2009г.
Содержание
Введение
1. Организация работы транспортного обеспечения
1.1 Особенности видов транспорта, их преимущества и недостатки
1.2 Организационная структура транспортного хозяйства
1.3 Основные нормативно-правовые документы, регламентирующие работу транспорта
2. Оценка транспортного обеспечения ООО «Птица Плюс»
2.1 Организационно-экономическая характеристика ООО «Птица Плюс»
2.2 Определение необходимого количества транспортных средств
2.3 Применение рациональных технологий и маршрутов перевозок
3. Основные направления совершенствования организации транспортного хозяйства на ООО «Птица Плюс»
3.1 Недостатки организации транспортного обеспечения в коммерческой деятельности ООО «Птица Плюс»
3.2 Разработка рекомендаций для улучшения коммерческой деятельности ООО «Птица Плюс»
Выводы и предложения
Список использованных источников
Введение
Транспортное хозяйство называют «артерией» предприятия, связующей материальные потоки. И основными критериями функционирования хозяйства предприятия является качественная и точная организация работы транспорта.
Актуальность темы курсовой работы обуславливается тем, что транспорту, как отрасти экономики, свойственны некоторые особенности, отличающие его от других отраслей материального производства. Во-первых, транспорт не производит новой вещественной продукции, а как бы является продолжением процесса производства в пределах процесса обращения. Конечный результат производства реализуется у потребителя, поэтому транспорт есть продолжение процесса производства, начатого в промышленности и сельском хозяйстве.
Во-вторых, продукцию транспорта нельзя накопить, нельзя создать ее запасы, так как она выражается самим перемещение грузов и людей. В-третьих, продукция транспорта не содержит сырья. Доля заработной платы в ее себестоимости намного выше, чем в промышленности. Затраты на амортизацию, топливо и электроэнергию составляют половину всех расходов предприятия. Следовательно, снижение себестоимости перевозок и обеспечение качественного транспортного хозяйства предприятия связано с увеличением производительности труда, сокращением расхода топлива и электроэнергии на единицу перевозочной работы. Это позволит предприятию получить большую прибыль, обеспечить рациональность и ритмичность работы, сократит потери рабочего времени. Именно поэтому изучение организации транспортного хозяйства предприятия вызывает интерес, что подтверждает актуальность темы курсовой работы.
Целью курсовой работы является рассмотрение особенностей организации транспортного обеспечения и его совершенствование на предприятии.
В ходе работы следует выполнить ряд задач:
1) изучить особенности транспортного хозяйства и транспортного обеспечения
2) рассмотреть на практическом примере структуру транспортного хозяйства предприятия;
3) составить расчет необходимого количества транспортных средств на предприятии;
4) по результатам работы сделать соответствующие выводы и предложения по совершенствованию транспортного хозяйства на предприятии.
Объектом курсовой работы является ООО «Птица Плюс».
Предметом курсовой работы является анализ организации транспортного хозяйства предприятия.
В работе использованы методы анализа учебной и научной литературы, статистические, математические, а также аналитические методы. В качестве информационной базыиспользованы научная и учебная литература, материалы периодической печати, а также собственные разработки автора.
1. Организация работы транспортного обеспечения
1.1 Особенности видов транспорта, их преимущества и недостатки
Основными видами транспорта в РФ являются железнодорожный, автомобильный, авиационный, трубопроводный, морской и речной. Каждый из данных видов транспорта выполняет в рамках транспортной системы России определенную функцию в соответствии со своими технико-экономическими особенностями, провозной способностью, географическими и историческими особенностями развития.
В условиях России железнодорожный транспорт наиболее эффективен для перевозки массовых видов грузов на средние и дальние расстояния с высокой концентрацией грузовых потоков, а также для перевозки пассажиров на средние расстояния и в пригородном сообщении.
Особенности железнодорожного транспорта:
Преимущества:
-быстрая доставка на большие расстояния; независимость от климатических условий;
-большая грузоподъёмность (3-4 тыс. тонн один состав); сравнительно низкие тарифы;
-при наличии подъездных путей для грузополучателя возникают дополнительные удобства (возможность организовать доставку «от двери до двери»);
-способность перевозить самую широкую гамму различных грузов.
Недостатки:
-необходимость прочной упаковки;
-благоприятные условия для хищения;
-зависимость от географического расположения железнодорожных путей; необходимость переформирования составов в пути.
Автомобильный транспорт не может составить конкуренции железнодорожному в массовых межрайонных грузовых перевозках прежде всего из-за его высокой удельной энергоемкости и себестоимости перевозок, большой дальности перевозок и отсутствия современной сети автодорог высокого технического уровня.
Сфера применения автомобильного транспорта в России — внутригородские, пригородные и внутрирайонные грузовые и пассажирские перевозки, в также перевозки на средние и дальние расстояния малотоннажных ценных и скоропортящихся грузов.
Особенности автомобильного транспорта:
Преимущества:
- маневренность - возможность концентрации транспорта там, где требуется; - срочность и регулярность доставки;
- возможность организации современных видов доставки (от двери до двери); - большая сохранность грузов;
- большая экономичность при перевозке на небольшие расстояния (до 600 км); применение автотранспорта позволяет ритмичность отправок.
Недостатки:
- зависимость от дорожной сети;
- малая грузоподъемность;
- относительно высокие тарифы;
Морской транспорт выполняет в основном внешние, экспортно-импортные перевозки (в том числе все грузовые перевозки в межконтинентальном сообщении). Велика его роль в каботажных (внутренних) перевозках для северных и восточных прибрежных регионов страны.
Внутренний водный (речной) транспорт предназначен для перевозок отдельных массовых видов грузов на средние и дальние расстояния, а также для пассажирского сообщения (особенно пригородного). Однако в последние десятилетия он не выдерживает конкуренции с другими видами транспорта и практически превратился в специфический вид технологического транспорта, предназначенного для перевозки минерально-строительных материалов.
Особенности морского транспорта;
Преимущества:
- низкие тарифы;
- высокая производительность (за счёт большой грузоподъёмности судов);
- непрерывность работы (24 часа в сутки);
- незначительная зависимость от погодных условий;
- мобильность в зависимости от спроса (морские суда можно направить в любую точку мира);
- практически неограниченная пропускная способность морских путей сообщения.
Недостатки:
- относительно низкая скорость (для грузовых судов - 18-20 узлов, узел - 1 миля в час, морская миля - 1837 м);
- сравнительно небольшая частота движения (могут перевозить только большое количество груза и только сразу);
- необходимость тщательной упаковки грузов.
Особенности речного транспорта:
Преимущества:
- высокая провозная способность по рекам;
- низкая себестоимость перевозок;
возможность перевозить значительные партии грузов;
- возможность использования в районах, где не развита автодорожная и железнодорожная сеть.
Недостатки:
- необходимость в строительстве гидротехнических сооружений;
- сезонность работы на большинстве рек мира;
- необходимость считаться с естественным географическим расположением водных путей и частым несовпадением их с направлениями пассажиропотоков и грузопотоков.
Трубопроводный транспорт, в отличие от выше описанных универсальных видов транспорта, пока остается узкоспециализированным, предназначенным для перекачки на дальние расстояния жидких и газообразных продуктов ограниченной номенклатуры.
По своим функциям воздушный транспорт также относится к узкоспециализированным: он осуществляет в основном пассажирские перевозки на дальние и средние расстояния, хотя и имеют большое значение в транспортировке ряда ценных, скоропортящихся их срочных грузов.
Особенности воздушного транспорта:
Преимущества:
- высокая скорость доставки;
- спрямление пути;
- высокая сохранность груза в пути;
- самый высокий уровень сервиса;
- более простая упаковка;
- более низкие страховые затраты (из-за минимального времени перевозки).
Недостатки:
- высокие тарифы;
- зависимость от погодных условий;
- ограничения по размеру и весу;
- зависимость от наземных служб;
- удаленность аэропортов от предприятий.
Ведущее место по грузообороту среди универсальных видов транспорта принадлежит железнодорожному — 32,4%, а на долю автомобильного, морского и речного приходится менее 16% от общего грузооборота. Доля железнодорожного и речного транспорта в общем грузообороте последние десятилетия падает. В тоже время доля узкоспециализированного трубопроводного транспорта постоянно увеличивается и в настоящее время составляет 52,5%. Доля воздушного транспорта в грузообороте крайне незначительна.
По объему перевозимых грузов лидирующее положение занимает автомобильный транспорт — 79%, на втором месте — железнодорожный — 10,6%, на третьем — трубопроводный — 8%. На остальные виды транспорта приходится менее трех процентов от общего объема перевозимых грузов.
Роль отдельных видов транспорта в пассажирских перевозках выглядит иначе.
В междугородном сообщении в пассажирообороте выделяются железнодорожный, воздушный и автобусный транспорт. На них приходится свыше 99% пассажирооборота. В перевозках пассажиров безусловным лидером является автомобильный транспорт. Доля водных и воздушного транспорта крайне незначительна.
В пригородном сообщении 99% пассажирооборота и перевозок пассажиров приходится только на два вида транспорта: железнодорожный и автобусный.
Во внутригородском сообщении ведущее место и по пассажирообороту (52,2%), и по перевозкам пассажиров (48,0%) занимают автобусы. На втором месте — городской электрический транспорт (трамвай, троллейбус, метрополитен).
Технико-экономические особенности отдельных видов транспорта
Современный транспорт состоит из шести видов: морской, железнодорожный, автомобильный, речной, воздушный и трубопроводный. Виды транспорта подразделяются на водный (морской, речной), наземный (железнодорожный, автомобильный, трубопроводный) и воздушный. Все виды транспорта, кроме трубопроводного, используются для перевозки грузов и пассажиров. Эти виды транспорта относятся к традиционным. Нетрадиционные виды транспорта включают в себя пультопроводы (навалочный груз измельчается и вместе с водой перекачивается по трубам), пневмотранспорт, транспорт на магнитной подушке.
1.2 Организационная структура транспортного хозяйства
Работа современного промышленного предприятия, связана с перемещением значительного количества разнообразных грузов. На предприятия доставляются материалы, топливо, комплектующие изделия и другие материальные ценности, а с предприятия вывозятся готовая продукция и отходы производства.
Функции транспортного хозяйства не ограничиваются только перемещением грузов. Работа транспорта во многом определяет общую длительность производственного цикла, качество и себестоимость продукции.
На погрузочноразгрузочных и транспортноскладских работах занято обычно до трети рабочих предприятия; затраты на эти виды работ составляют от 3 до 10% в себестоимости продукции.
Основные задачи транспортного хозяйства предприятия:
1.Бесперебойная транспортировка грузов, обеспечивающая ритмичность хода производства.
2.Обеспечение сохранности перемещаемых предметов.
3.Полное использование транспортных средств.
4.Минимизация транспортных расходов.
Решение данных задач обеспечивается рациональной организацией транспортного хозяйства, четким планированием работы транспорта, обоснованным выбором транспортных средств, механизацией и автоматизацией погрузочноразгрузочных работ.
Транспортное хозяйство предприятия включает общезаводское и цеховое транспортное хозяйство.
Общезаводское транспортное хозяйство включает транспортные магистрали (рельсовые и безрельсовые пути со средствами оснащения, сигнализации и т.д.), объекты транспортной инфраструктуры (боксы для хранения техники, пункты технического обслуживания и ремонта, центры хранения и ремонта транспортной тары и т.п.), подвижной состав и тяговые средства (прицепы и полуприцепы, буксировщики, электрокары, автомобили и др.).
Внешние перевозки осуществляются, главным образом, транспортом общего пользования, внутризаводские — транспортным хозяйством предприятия. Ввоз и вывоз грузов с территории предприятия через внешние подъездные пути осуществляется, как правило, большегрузным автомобильным и железнодорожным транспортом. При этом согласуются: тип, количество, порядок и сроки подачи автопоездов, железнодорожных составов и отдельных групп вагонов на подъездной путь завода; организация маневрирования, погрузочноразгрузочных работ и приемосдаточных операций. Точное соблюдение единого технологического процесса и графиков работы обеспечивает сокращение простоя подвижного состава под погрузкой и выгрузкой, ускорение обработки прибывающих и отправляемых грузов. Все внутризаводские и часть внешних грузоперевозок осуществляются транспортом предприятия. Для внешних грузоперевозок используется автомобильный транспорт большой и средней грузоподъемности. Для межцеховых грузоперевозок применяется рельсовый транспорт (обычно при производстве крупногабаритной и крупнотоннажной продукции), автомобильный транспорт малой (реже средней) грузоподъемности, средства безрельсового электротранспорта (электробуксировщики с прицепными тележками и электрокары) и специальный (технологический) транспорт. Для внутрицеховых грузоперевозок используются разнообразные средства безрельсового электротранспорта и подъемно-транспортные машины (электропогрузчики и мультикары) и специальный (технологический) транспорт. Виды используемых на предприятии транспортных и погрузочноразгрузочных средств зависят от типа и масштаба производства, а также от характера выпускаемой продукции.
В крупносерийном и массовом производстве широко применятся специальный (технологический) транспорт непрерывного действия. При условии равномерного грузопотока в течение рабочего дня и постоянных точек погрузкивыгрузки используются средства непрерывного транспорта в виде различных конвейеров и монорельсовых путей с электрическими тельферами. В поточном производстве в качестве средств межоперационного транспорта используются конвейеры различной конструкции. На автоматических поточных линиях (станочных и других) применяются специальные встроенные транспортные устройства (транспортные роторы и конвейеры, автооператоры, кантователи и т.д.).
На предприятиях единичного и серийного производства в обрабатывающих и сборочных цехах применяются электрические мостовые краны, кранбалки с тельферами, консольные краны, мультикары. В дополнение к универсальным подъемно-транспортным средствам для оснащения цехов со специфическим производством часто требуются специальные подъемно-транспортные устройства, приспособления и тара (например, в литейных цехах для перемещения формовочных земель, форм, жидкого металла). В гибких производственных системах создаются транспортнонакопительные подсистемы, в которых используются специальные автоматические устройства (промышленные роботызагрузчики, роботыштабелеры, роботокары, поворотные столыперегружатели, транспортеры и т.п.).
Материальной базой транспортного хозяйства предприятия является транспортный цех, типичная структура которого описана ниже.
Грузовая и коммерческая служба курирует погрузочноразгрузочные операции, ведет учет поступающих и отправляемых грузов, оформляет перевозочные документы и расчеты с внешними перевозчиками.
Служба движения осуществляет приемку и отправку подвижного состава, подачу под погрузку и выгрузку на погрузочноразгрузочных пунктах.
Служба технического обслуживания и ремонта отвечает за содержание и ремонт подвижного состава и подъемно-транспортных средств, за обеспечение запасными частями и горючесмазочными материалами.
Служба дорожного хозяйства ведает содержанием и ремонтом заводского дорожного хозяйства, включая транспортные магистрали, инженерные сооружения, средства связи и сигнализации, дорожную разметку и указатели.
Оперативное управление работой транспортного хозяйства осуществляет дежурный диспетчер, взаимодействующий с дежурным диспетчером предприятия. При наличии на предприятии централизованной службы логистики (управления цепью поставок) транспортное хозяйство входит в ее состав [34].
На средних и крупных промышленных предприятиях обычно создается транспортный отдел, объединяющий несколько хозрасчетных единиц по видам транспорта и подчиняющийся заместителю генерального директора по общим вопросам или по маркетингу и сбыту.
Плановоэкономическое бюро разрабатывает план производственнохозяйственной деятельности (транстехплан), определяет грузооборот по заводу и объем погрузочноразгрузочных работ, рассчитывает потребность в транспортных и погрузочноразгрузочных средствах, потребность в кадрах и фонд заработной платы, составляет смету затрат по транспортному хозяйству и калькуляцию себестоимости на отдельные виды услуг.
Техническое бюро ведет техническую подготовку производства; разрабатывает транспортнотехнологические схемы, обеспечивающие стыковку отдельных звеньев транспортной сети предприятия и технологического оборудования; формирует альбомы чертежей по каждому виду подъемно-транспортного оборудования для изготовления запасных частей и проведения ремонтных работ.
Бюро учета ведет паспортизацию всех видов транспортных средств, бухгалтерский учет и отчетность работы транспортного хозяйства.
Диспетчерское бюро осуществляет оперативно-производственное планирование работы транспорта (составление квартальных, месячных и суточных планов перевозок, оперативное регулирование транспортных работ).
1.3 Основные нормативно-правовые документы, регламентирующие работу транспорта
Особенностью транспортного законодательства является то, что в новом ГК закреплены основные положения о регулировании перевозок, а детальная регламентация их содержится, как и прежде, в транспортных уставах и кодексах, принимаемых ныне на уровне федерального закона (п. 2 ст. 784 ГК).
Становление и развитие транспортного законодательства прошло как бы три этапа: административно-правовой, планово-договорный и продолжающийся ныне договорно-правовой.
Первый этап охватывает период до принятия Основ гражданского законодательства Союза ССР и союзных республик 1961 г. В этот период нормативное регулирование транспортных отношений осуществлялось преимущественно постановлениями правительства и административно-партийных органов. Второй этап занимает период до начала приватизации государственных и муниципальных предприятий. В эти годы возросла роль государственного планирования перевозок [4]. В январе 1970 г. были утверждены Основные положения о годовом и квартальном планировании перевозок. В транспортные уставы и кодексы были включены самостоятельные разделы о планировании перевозок. На третьем этапе развития транспортного законодательства происходит смена приоритетов: императивное транспортное законодательство перестает быть звеном первой величины, поскольку приоритетное значение приобретает договорное право.
К числу основных актов транспортного законодательства относятся*(34):
- ГК РФ;
- Транспортный устав железных дорог Российской Федерации от 8 января 1998 г.;
- Воздушный кодекс РФ от 19 марта 1997 г.;
- Кодекс торгового мореплавания РФ от 30 апреля 1999 г.;
-Устав внутреннего водного транспорта Союза ССР, утвержденный постановлением Совета Министров СССР от 15 октября 1955 г.;
- Устав автомобильного транспорта РСФСР, утвержденный постановлением Совета Министров РСФСР от 8 января 1969 г.
На транспорте сохраняется ранее сложившаяся система законодательного регулирования: транспортные уставы и кодексы для отдельных видов транспорта, иные законы и издаваемые в соответствии с ними правила перевозок. В настоящее время в РФ действуют: УЖД 1964, УВВТ 1955, ВК 1983, КТМ 1968 и УАТ 1964. В дальнейшем в соответствии с п.2 ст.784 ГК все транспортные уставы и кодексы должны получить статус федеральных законов.
Применение этих актов предусмотрено п.8 постановления Верховного Совета РФ о некоторых вопросах применения законодательства СССР на территории РФ от 3 марта 1993 (Ведомости РСФСР, 1993, No.11, ст.393). Все названные транспортные уставы и кодексы должны ныне применяться с учетом норм гл.40 ГК «Перевозка»
Правила перевозок на отдельных видах транспорта в соответствии с транспортными уставами и кодексами утверждаются соответствующими транспортными министерствами и публикуются в периодических сборниках правил перевозок и тарифов (издаются для железнодорожного и морского транспорта), а также в виде сборников таких правил, которые иногда именуются тарифами или тарифными руководствами [2].
Правила перевозок являются важным источником транспортного права. В развитие и дополнение транспортных уставов и кодексов они содержат как положения общего характера (порядок предъявления грузов к перевозке и их выдачи, оформление транспортной документации), так и специальные правила о перевозках отдельных видов грузов (скоропортящихся, опасных, в контейнерах и др.).
Особняком в группе подзаконных транспортных нормативных актов стоят тарифы и ГОСТы. Это специфические технико-юридические акты. ГОСТы представляют собой типовые образцы, общегосударственные требования, которым должны отвечать приспособления для крепления грузов, другое оборудование, тара и упаковка, выполняемые при погрузке, выгрузке и перевозке грузов операции. Тарифы же - это по сути ставки оплаты или сборов за перевозку.
Следует иметь в виду, что построение унифицированной модели транспортных законов и подзаконных актов предполагает реализацию чрезвычайно важного аспекта, связанного с унификацией терминологии этих источников. Без единообразия использования терминов, тождественности их употребления в различных правовых актах, использования общепризнанных терминов, сохранения устойчивости принятых обозначений невозможен процесс оптимизации действующего законодательства.
В целом оптимизация системы транспортного законодательства и его структурных элементов путем унификации является важным средством повышения эффективности действия транспортных источников. Она способствует более четкой координации деятельности различных видов транспорта, а также транспортных комплексов [3].
Естественно, что внедрение рыночных отношений в систему оказания транспортных услуг, развитие частного предпринимательства на транспорте создало необходимые предпосылки для разработки и принятия ряда специальных нормативных актов, регулирующих вопросы лицензирования перевозочной деятельности, ее коммерческую направленность. Для воздушного транспорта утверждены Федеральные авиационные правила лицензионной деятельности в области гражданской авиации. Для морского транспорта Положение о лицензировании утверждено постановлением Правительства РФ от 24 июня 1998 г.
Рассмотрим подробнее регулирование автомобильного, транспорта, который является основным на предприятии «Птица Плюс». Устав автомобильного транспорта РСФСР (утв. постановлением СМ РСФСР от 8 января 1969 г. N 12) устанавливает основные правила планирования и организации перевозок грузов на автомобильном транспорте:
– перевозки грузов автомобильным транспортом осуществляются по планам, которые составляются на основе планов производства, капитального строительства, закупок сельскохозяйственных продуктов, материально-технического снабжения и товарооборота и обосновываются необходимыми расчетами;
– предприятия и организации автомобильного транспорта общего пользования принимают к перевозке:
а) грузы на основании утвержденных в установленном порядке планов;
б) вне плана - грузы разового характера при предъявлении их мелкими отправками, грузы, предъявляемые населением, а также грузы по указанию Министерства автомобильного транспорта и шоссейных дорог .
2. Оценка транспортного обеспечения ООО «Птица Плюс»
2.1 Организационно-экономическая характеристика ООО «Птица Плюс»
Общество с ограниченной ответственностью «Птица плюс» создано в соответствии с Гражданским кодексом РФ и действующим Законом «Об Обществах с Ограниченной Ответственностью», другими нормативными актами, не противоречащими Гражданскому Кодексу Российской Федерации.
Общество является юридическим лицом, имеет в собственности обособленное имущество, учитываемое на самостоятельном балансе, может от своего имени приобретать и отчуждать имущественные и неимущественные права, нести обязанности, быть истцом и ответчиком в суде. Общество вправе в установленном порядке открывать расчетные, валютные и иные банковские счета на территории Российской Федерации и за ее пределами для хранения денежных средств и осуществлять все виды расчетных, кредитных и кассовых операций, иметь круглую печать и штампы в соответствии с установленными нормами и правилами.
Устав содержит основные сведения о предприятии: наименование, место нахождения, размер уставного капитала, виды деятельности, структуру и компетенцию органов управления, порядок принятия ими решений, сведения об имуществе предприятия и т.п. ООО «Птица плюс» находится по адресу: г.Оренбург, п. Нижне-сакмарский, ул. Раздольная д. 5. (Приложение 1).
Общество осуществляет следующие виды деятельности:
- розничная торговля;
- оптовая торговля;
- посреднические услуги при купле - продаже товаров, ценных бумаг, валюты;
- погрузочно-разгрузочные и транспортно-экспедиционные услуги;
- услуги по перевозке грузов;
- снабжение;
- общественное питание;
- производство и реализация товаров народного потребления и продукции производственно-технического назначения, в том числе через собственную торговую сеть;
- товарно-посреднические услуги по продвижению товаров на экспорт и проведение импортных закупок, инновационная деятельность;
- оказание посреднических торговых, информационных и бытовых услуг;
- производство, заготовка, переработка и реализация продуктов сельского хозяйства, как собственного производства, так и приобретенную у организаций, учреждений, граждан;
- создание самостоятельных торговых предприятий, пунктов общественного питания, хранилищ и баз хранения продовольственной и промышленной продукции и т.д.
Для эффективного осуществления своей коммерческой деятельности ООО «Птица Плюс» располагает соответствующей материально-технической базой, под которой понимается совокупность предметов и средств труда по обеспечению процессов продвижения товаров и услуг. Основным элементом материально-технической базы является здание и оборудование предприятия. Предприятие отвечает по своим обязательствам всем принадлежащим ему имуществом.
Главными целями предприятия «Птица Плюс», как и любого коммерческого предприятия являются:
- предложение услуг или товаров с наилучшей результативностью по минимальным ценам
- обеспечение нужд людей
- получение прибыли в долгосрочном периоде
- получение прибыли для стабильной деятельности и будущего развития
Из поставленных целей вытекают следующие задачи:
- Разработка долгосрочных целей и стратегий.
- Достижение учредителями новых договоренностей о порядке финансирования и управления предприятием.
- Расширение производственной базы.
- Построение собственной сбытовой (филиальной) сети.
- Совершенствование организационной структуры по мере развития
-Оказание помощи постоянным партнерам и контрагентам (совершенствования сбытовых технологий, управления качеством, и т.п.).
Рассмотрим организационную структуру ООО «Птица Плюс» рисунок 1. По данному рисунку видно, что организационная структура управления ООО «Птица Плюс» является линейно-функциональной.
Линейно-функциональная структура включает в себя создание специальных подразделений при руководителях, которые помогают им выполнять определенные задачи. Специалисты наделяются функциональными полномочиями, то есть они могут отдавать распоряжения, обязательные для выполнения,, но только по соответствующей функции. Преимущества линейно-функциональной структуры заключается в глубокой подготовке решений и планов, связанных со специализацией работников, а также возможности привлечения консультантов и экспертов.
Высшим органом управления ООО «Птица Плюс» является общее собрание учредителей, которое руководит деятельностью Общества в соответствии с Уставом Общества. Компетентность, порядок работы и порядок принятия решений общего собрания определены Уставом Общества (Приложение 1).
К исключительной компетенции Общего собрания участников общества относятся:
- изменение устава общества, изменение размера его уставного капитала;
- утверждение годовых отчетов и бухгалтерских балансов общества и распределение его прибылей и убытков;
- решение о реорганизации или ликвидации общества;
- избрание ревизионной комиссии общества.
Вопросы, отнесенные к исключительной компетенции общего собрания, не могут быть переданы им на решение исполнительного органа общества. Руководство текущей деятельностью предприятия осуществляет директор. В компетенцию директора входит: оформление, получение лицензий, соответствующих документов и иные документы; ведение переговоров и заключение договоров; организация контроля за рациональным использованием трудовых, материальных и финансовых ресурсов; правильная расстановка работников, разработка графиков выхода работников на работу, перерывов и окончания работы; обеспечение систематического повышения квалификации работников; представление интересов компании по взаимоотношениям с иными организациями, органами государственной власти и местного самоуправления; составление отчетов и их представление акционерам ООО «Птица Плюс»».
ООО «Птица Плюс» поставляет свою продукцию в крупные магазины и торговые сети («Магнит», «Полушка», «Патэрсон», т.к. «Степной») не только г. Оренбурга, но и в соседние города – Орск, Новотроицк, Соль-Илецк и другие.
На рынке г. Оренбурга работает множество предприятий, реализующих птицу. Доли рынка ООО «Птица Плюс» и конкурентов представлены в таблице 2.1.
Таблица 2.1 – Доли рынка фирм, реализующих курицу в г. Оренбурге в 2008-2009 гг.
| Фирма | Доли рынка | Отклонение (+;-) | |
| 2008г | 2009г | ||
| «Птица Плюс» | 22,6 | 26,1 | +3,5 |
| «Золотой цыпленок» | 23,7 | 24,8 | +1,1 |
| «Оренбургский бройлер» | 17,3 | 18,8 | +1,5 |
| Другие конкуренты | 42,4 | 36,2 | -6,2 |
Из приведенных в таблице 2.1 данных следует, что доля рынка ООО «Птица Плюс» в 2009 г. выросла по сравнению с 2008 г. на 3,5 %. Причем она увеличивается более быстрыми темпами, чем у конкурентов. ООО «Птица Плюс» завоевала достаточную долю рынка и уже имеет своих постоянных покупателей, но все предприятию не хватает рекламы.
ООО «Птица Плюс», как и любое другое коммерческое предприятие рассчитывает экономическую эффективность своей деятельности. Из этих расчетов предприятие может сделать вывод, как оно проработало в течение 6 месяцев, года и так далее. Так как главной функцией розничного предприятия является продажа товаров покупателям, следовательно, объем этих продаж или розничный товарооборот, который целесообразно начинать с изучения динамики его объема и оценки степени выполнения плана предприятия. Анализ динамики объема товарооборота осуществляется с помощью расчета цепных и базисных темпов роста.
Проведем анализ работы ООО «Птица Плюс». Приведенные сведения по р товарообороту для определения динамики представлены в таблице 2.2.
Таблица 2.2 – Расчет цепных и базисных темпов роста товарооборота ООО «Птица Плюс» за 2007-2009 гг.
| Годы | Товарооборот, тыс. руб. | Цепные, % | Базисные, % |
| 2007 | - | - | - |
| 2008 | 38055 | 146,3 | 146,3 |
| 2009 | 63049 | 242,5 | 242,5 |
При анализе таблицы 2.2 можно сделать вывод, что товарооборот в 2009 г по сравнению с 2008 г увеличился на 24994 тыс. руб. Расчет товарооборота в текущих ценах не дает реальной картины эффективности деятельности ООО «Птица Плюс» в условиях инфляции, поэтому темпы изменения объема товарооборота следует рассчитывать также и в сопоставимых ценах, то есть в ценах базисного года.
Рассмотрим основные показатели производственно-экономической деятельности ООО «Птица Плюс» в таблице 2.3, для анализа которых использовалась бухгалтерская отчетность предприятия (Приложение 2).
Таблица 2.3 — Основные показатели производственно-экономической деятельности ООО «Птица Плюс» за 2007-2009гг.
| Показатели | 2007г. | 2008г. | 2009г. | 2009г. в % к 2007г. |
| 1 | 2 | 3 | 4 | 5 |
| Выручка от реализации, тыс.руб. | 26004 | 38055 | 63049 | в2,4 раза |
| Себестоимость реализованной продукции, тыс.руб. | 24226 | 35071 | 58277 | в 2,4 раза |
| Прибыль от реализации, тыс.руб. | 199 | 101 | 527 | в 2,6 раза |
| Чистая прибыль, тыс. руб. | 8 | 14 | 32 | 4 |
| Рентабельность продаж, % | 0,76 | 0,27 | 0,84 | - |
| Среднегодовая численность работников, чел. | 25 | 30 | 36 | в 1,5 раз |
| Издержки обращения, тыс.руб. | 1579 | 2253 | 4245 | в 2,7 раз |
| Оборотные средства, тыс.руб. | 1889 | 1936 | 2998 | 158,71 |
| Товарные запасы, тыс. руб. | 3051 | 3051 | 3245 | 106,4 |
По данным таблицы 2.3 видно, что выручка от реализации в 2008 году увеличилась в 6,7 раза. В 2007 году выручка составила 26004 тыс. руб.. Чистая прибыль ООО «Птица Плюс» в 2009 году по сравнению с 2007 годом увеличилась на 40%. Оборотные средства в 2009г. по сравнению с 2007г. увеличились на 58,71%, то есть на 1109 тыс. руб. Издержки обращения в 2009 году по сравнению с 2007 годом увеличились в 7 раз.
Рассмотрим динамику реализации продукции.
Таблица 2.4 Динамика реализации основной готовой продукции
| Вид продукции | Реализовано в 2007г (кг) | Реализовано в 2008г (кг) | Реализовано в 2009г (кг) |
| Суповой набор | 765 | 826 | 949 |
| Фарш | - | - | 1500 |
| Филе грудки | 674 | 456 | 956 |
| Голень | 546 | 788 | 1000 |
| Бедро | 785 | 675 | 987 |
| Колбаса «Нежная» | - | - | 785 |
| Колбаса «Деликатесная с мяса птицы» | - | - | 578 |
| Рулеты с грибами | - | - | 987 |
| Сосиски молочные | - | - | 890 |
| Шашлык | - | - | 300 |
Из таблицы 2.4 видно, что в среднем по каждому виду продукции с каждым годом наблюдается увеличение количества реализованной продукции, это свидетельствует о спросе на продукцию и о том, что предприятие является динамично развивающимся.
2.2 Определение необходимого количества транспортных средств
Число транспортных средств, необходимых для внешних и межцеховых перевозок, может быть определено по одной из формул:
а) односторонний маятниковый маршрут движения:
,(1)
где Nj – количество изделий j-ого типоразмера (наименования), перевозимых в течение планового (расчетного) периода, шт.;
Qшт.j – вес единицы изделия j-ого типоразмера изделия, кг;
q – грузоподъемность единицы транспортного средства;
Кис – коэффициент использования грузоподъемности транспортного средства;
Fэ – эффективный фонд времени работы единицы транспортного средства, для односменного режима, ч;
Ксм – число рабочих смен в сутки;
L – расстояние между двумя пунктами маршрута, м;
Vср – средняя скорость движения транспортного средства, м/мин;
tз , tp – время на одну погрузочную и разгрузочную операцию за каждый рейс, мин;
j – номенклатура перевозимых изделий.
б) двухсторонний маятниковый маршрут движения:
.(2)
Для кольцевых перевозок:
а) с нарастающим грузопотоком:
.(3)
б) с затухающим грузопотоком:
.(4)
в) с равномерным грузопотоком:
,(5)
где Кпр – число погрузочно–разгрузочных пунктов;
L’ – длина всего кольцевого маршрута, м.
Количество груза перевозимого за одну смену определяется по формуле:
,(6)
где Др – число рабочих дней в году;
Ксм – число смен в сутки;
– годовой грузооборот на данном маршруте, кг, т.;
Кн – коэффициент неравномерности перевозок (принимается Кн = 0,85).
Время пробега транспортного средства по заданному маршруту определяется по формуле:
.(7)
Расчет времени, затрачиваемого транспортным средством при прохождении одного рейса:
или
.(8)
Расчет количества рейсов, совершаемых единицей транспортного средства за сутки, производится по формуле:
,(9)
где Кви – коэффициент использования фонда времени работы транспортного средства.
Производительность одного рейса определяется по формуле:
.(10)
Количество транспортных средств для внутрицеховых перевозок может быть определено по одной из приведенных формул.
Все вышеперечисленные расчеты были частично проведены на предприятии и в итоге выяснилось, что ООО «Птица Плюс» для обеспечения своей успешной коммерческой деятельности необходимы транспортные средства общей грузоподъёмностью 4т, для доставки продукции и ми местное транспортное средство для развозки сотрудников, проживающих в городе. На балансе данного предприятия находятся две грузовые газели грузоподъёмностью до 1,5 т каждая, два автомобиля «Иж», грузоподъёмность каждого из них достигает 550 кг. Так же на балансе находится автомобиль УАЗ2206, который выполняет функцию развозки, и автомобиль Тайота, которая является как бы запасным вариантом. Таким образом, предприятие на данном этапе развития полностью может обеспечить себя, транспортными средствами, то есть необходимое количество транспортных средств, соответствует реальному количеству, но в случае расширения производства или расширении списка покупателей, предприятию придётся приобретать дополнительные, транспортные средства
2.3 Применение рациональных маршрутов перевозок
Маршрутом движения называют путь следования подвижного состава при выполнении перевозочной работы. На автомобильном транспорте наиболее распространены два вида маршрутов: маятниковый и кольцевой.
Схемы маршрутов могут быть различными. Маятниковые маршруты устанавливаются между двумя пунктами. Они могут быть односторонними, когда транспортные средства двигаются в одну сторону с грузом, а в другую – без груза, и двухсторонними, когда грузы транспортируются в обоих направлениях, и веерными (одно- или двухсторонними), рис. 1

Рис. 1. Схема маршрутов
При маятниковом маршруте путь следования автомобиля в прямом и обратном направлениях проходит по одной и той же трассе Маятниковые маршруты бывают трех разновидностей: с обратным негруженым пробегом, коэффициент использования пробега р = 0,5; с груженым пробегом в обоих направлениях, при этом обеспечивается полное использование пробега подвижного состава т.е. Р = 1; с обратным не полностью груженым пробегом. При этом коэффициент использования пробега подвижного состава должен быть больше 0,5, но меньше 1.
На предприятии ООО «Птица Плюс» применяются кольцевые маршруты, так как в основном поставка осуществляется небольшими партиями в магазины и на рынки.У предприятия существует пять основных направлений, четыре из них по нашему городу, это районы Южный (здесь 29 покупателей), Центр (44 покупателя), Степной (37 покупателей), Маяк (29 покупателей) и пятое направление г. Кувандык. Перевозка по Оренбургу осуществляется четырьмя машинами, как правило, в два заезда, в зависимости от количества заявок.
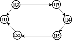
Кольцевые маршруты устанавливаются при обслуживании ряда пунктов, связанных последовательной передачей грузов от одного пункта к другому. Кольцевой маршрут может быть с равномерно нарастающим и уменьшающимся грузом (рис.2.).

Рис. 2. Схема кольцевого маршрута
На основе схемы грузопотоков, объема перевозок по каждой группе грузов производится выбор транспортных средств и расчет их потребности.
Особенности организации перевозок на автомобильном транспорте определяются характером маршрута движения, завершенностью процесса транспортирования за одну ездку, срочностью, регулярностью, сезонностью перевозок и др.
При кольцевом маршруте путь следования автомобиля представляет замкнутый контур, объединяющий несколько погрузочно-разгрузочных пунктов. Разновидностями кольцевого маршрута являются: сборный, при котором подвижной состав, последовательно проходя погрузочные пункты, постепенно загружается с разгрузкой в конечном пункте маршрута; развозочный, при котором подвижной состав, загруженный в начальном пункте, разгружается постепенно, развозя груз партиями по промежуточным пунктам; сборно-развозочный, при котором одновременно один груз развозится, другой собирается.
Выбор оптимального маршрута движения является важной задачей, так как во многом определяет эффективность использования подвижного состава: его производительность, скорость доставки грузов, себестоимость перевозок. В настоящее время эта сложная задача решается с помощью математических методов и вычислительной техники.
Маятниковые маршруты применяются, как правило, при массовых перевозках, кольцевые — при мелкопартионных. Этим определяются соответствующие требования к конструкции подвижного состава. Для подвижного состава, используемого на маятниковых маршрутах, важно соответствие грузовместимости автомобиля (прицепа) массе партии перевозимого груза. Подвижной состав, применяемый на развозочных или сборных маршрутах, должен быть приспособлен для быстрой раздельной разгрузки и погрузки каждой части груза.
При одиночной работе один и тот же водитель ведет автомобиль на протяжении всего пути следования в обоих направлениях. При этом отсутствуют перегрузки грузов в пути, однако имеются трудности в организации работы и отдыха водителя вследствие длительной оторванности от базы, организации технического обслуживания и ремонта подвижного состава; уменьшается скорость доставки грузов из-за простоев подвижного состава ВО время кратковременного и сменного отдыха водителя, предусмотренного законодательными актами.
Сквозная система организации перевозок грузов на большие расстояния применяется относительно редко (в основном в тех случаях, когда отсутствуют систематические грузопотоки).
3. Основные направления совершенствования организации транспортного обеспечения в коммерческой деятельности ООО «Птица Плюс»
3.1 Недостатки организации транспортного обеспечения в коммерческой деятельности ООО «Птица Плюс»
Как и на любом другом предприятии в организации транспортного обеспечения на «Птице Плюс» существуют свои отрицательные моменты, устранив которые предприятие сможет более динамично развиваться, осваивать новые рынки сбыта и выйти на более высокий уровень развития.
Первым таким недостатком является отсутствие транспортного подразделения на предприятии, организовав такое подразделение или раздел, значительно проще будет организовывать транспортное обеспечение.
Второй недостаток- не проводится анализ грузопотоков и грузооборота за учетный период, а он дает основание для совершенствования организации транспортного хозяйства, ликвидации чрезмерно дальних перевозок, встречных, возвратных, пустых и не полностью загруженных транспортных средств.
Ещё один недостаток- на предприятии ООО «Птица плюс» существенны затраты на доставку, включая ущерб от потерь товара при перевозке и просрочки в доставке, а также санкции за невыполнение грузоотправителем своих обязательств. Их ликвидация значительно сократит финансовые вложения в организацию транспортного обеспечения.
Следующий не менее существенный недостаток слабо развитая механизация, так, внедрение контейнерных и пакетных перевозок, применение поддонов позволяет механизировать погрузочно-разгрузочные и складские работы, более чем в 4 раза повысить производительность труда и 1,5— 2 раза снизить себестоимость этих операций.
Таким образом можно сделать вывод, что организация транспортного обеспечения на предприятии ООО «Птица Плюс» не совершенна, и есть стимул ее улучшать, предприятию можно предложить следовать рекомендациям, представленным в следующем пункте курсовой работы, что позволит лучше организовать работу транспорта и сократить затраты на его содержание.
3.2 Разработка рекомендаций для улучшения коммерческой деятельности ООО «Птица Плюс»
Основной задачей организации и функционирования транспортного хозяйства на предприятии является своевременное и бесперебойное обслуживание производства транспортными средствами по перемещению грузов в ходе производственного процесса.
ООО «Птица плюс», следует отдельно сформировать соответствующие цеха, или транспортный отдел, кроме того, целесообразно создать цеха или участки безрельсового транспорта и электротранспорта с соответствующей ремонтной базой, техническим обслуживанием и заправкой.
Необходимо проводить анализ грузопотоков и грузооборота за учетный период дает основание для совершенствования организации транспортного хозяйства, ликвидации чрезмерно дальних перевозок, встречных, возвратных, пустых и не полностью загруженных транспортных средств.
Выполнение перевозок можно осуществлять, используя одну из схем. Первая схема получила название "маятниковая" или "веерная", а вторая – "кольцевая". Для "маятниковой" схемы характерно одностороннее, двустороннее и веерное движение транспортных средств. Одностороннее движение характеризуется тем, что транспорт перемещает груз только в одну сторону. Двустороннее движение осуществляется ускорения их оборачиваемости, сохранности груза в пути.
При организации складских перевозок необходимо учитывать номенклатуру хранимых материалов, оборачиваемость грузов, периодичность их поступления и выдачи со склада, выполнение на складе операций комплектования, упаковки, выборочного контроля, вид транспорта, поставляющего грузы на склад и со склада в цеха, т.е для рассматриваемого предприятия поставляющего скоропортящуюся продукцию, организация перевозок должна быть рациональна организована, чтобы товар не успел испортиться.
Эффективность, качество и надежность являются ключевыми понятиями при управлении доставкой товаров, так как именно с их помощью конкретизируются цели, которые ставят перед собой участники транспортного процесса. Эти понятия часто употребляются самостоятельно. Однако между ними существует однозначная связь: качество является компонентом системы оценки эффективности, а надежность - компонентом системы оценки качества. Вместе с тем эта связь при всей ее очевидности является достаточно сложной.
Очень важна эффективность организации транспорта на предприятии, как внутри предприятия, так и за ее пределами.
Оценка эффективности доставки товара может быть оценена для потребителя транспортной услуги следующими показателями:
1. Объем реализации доставленного товара в денежном выражении (стоимость доставленного товара) и в натуральном измерении (тонны, штуки, кубометры и пр.).
2. Затраты на доставку, включая ущерб от потерь товара при перевозке и просрочки в доставке, а также санкции за невыполнение грузоотправителем своих обязательств.
3. Доля затрат на доставку товара в объеме продаж.
4. Затраты на доставку в расчете на единицу массы товара.
Для перевозчика эффективность его работы может быть оценена другими показателями:
1. Величина дохода, выручка от оказания транспортных услуг.
2. Затраты на оказание транспортных услуг, включая санкции за недостачу или повреждение товара, просрочку в доставке и другие случаи невыполнения перевозчиком своих обязательств.
3. Финансовый результат от оказания транспортных услуг (прибыль от перевозок).
4. Прибыль на рубль затрат (рентабельность перевозок).
Предпочтение должно отдаваться относительным измерителям, которые обеспечивают сопоставимость оценки эффективности транспортировки различных товаров в различных условиях.
Последовательная механизация всех транспортных и погрузочно-разгрузочных операций служит основным средством повышения эффективности работы транспорта на предприятии. Так, внедрение контейнерных и пакетных перевозок, применение поддонов позволяет механизировать погрузочно-разгрузочные и складские работы, более чем в 4 раза повысить производительность труда и 1,5— 2 раза снизить себестоимость этих операций, а также сократить непроизводительные простои подвижного состава [12, c.245].
Несмотря на разнообразие комплексных критериев экономической эффективности транспортных услуг в их основе лежит единый принцип соизмерения затрат и полученного полезного результата. Этому принципу отвечают такие показатели, как себестоимость, рентабельность и трудоемкость перевозок, удельные приведенные затраты.
Заключение
В заключении курсовой работы можно сделать следующие выводы. Бесперебойная, хорошо организованная работа транспортного хозяйства предприятий играет важную роль в высокопроизводительном функционировании основного производства. По территориальному признаку обслуживания транспорт предприятия подразделяется на внешний и внутренний. Внешний транспорт предназначен для доставки грузов на предприятие и вывоза из него готовой продукции и отходов. Внутренний (внутризаэодской) транспорт предназначен для перевозки грузов между цехами и складами.
Структура транспортного хозяйства определяется главным образом объемом грузооборота, особенностями грузов и объемом производства. В состав транспортного хозяйства завода могут входить железнодорожный транспорт с подъездными путями и депо, колесный транспорт с гаражами и ремонтными мастерскими, водный транспорт с причалами, подвесные дороги и т.д.
На крупных заводах с большим грузооборотом, требующим применения всех видов транспорта, организуются специализированные цехи железнодорожного, безрельсового (автомобильного) и водного транспорта. Транспортное хозяйство на таких заводах возглавляет транспортно-технический отдел. На средних заводах создается единый транспортный цех, включающий несколько участков по видам транспорта.
Для мелких заводов или предприятий такого же типа как ООО «Птица Плюс» с небольшим грузооборотом, но требующим применения всех видов транспорта, создаются объединенные транспортные хозяйства для нескольких предприятий. Эти хозяйства могут создаваться при головном заводе или выделяться в самостоятельные транспортные хозяйства ведомственного характера.
Можно сделать вывод, что для любого предприятия: большого или среднего, с любым уровнем и видом производства особенное внимание следует уделять транспортному хозяйству.
Список использованных источников
1. Агеев А.И. Предпринимательство: проблемы собственности и культуры. -М., 1991. Введение и гл. 1, с. -15.
2. Афанасьев Л.А., Островский И.В., Цукерберг С.М. Единая транспортная система и автомобильные перевозки. М.: Транспорт, 1984
3. Боборыкин В.А. Математические методы решения транспортных задач.
Л.: СЗПИ, 1986
4. Богомазов В.А. Государственное регулирование транспортной деятельности и стратегическое управление автотранспортными предприятиями / СПбГИЭА. – СПб., 1997
5. Бусыгин А. Предпринимательство: Основной курс., 1997 -М.,1997
6. Виленский А. Этапы развития малого бизнеса. Вопросы экономики .
1996 . -№7 .
7. Гаджинский А.М. Основы логистики. М.: Маркетинг, 1997г.
8. Геронимус Б.А. Экономико-математические методы в планировании на автомобильном транспорте. М.: Транспорт, 1982
9. Грачев И. Развитие малого предпринимательства // Деньги и кредит. 1997 . -№1 .
10. Грузинов В., Грибов В. Предпринимательство формы и методы организации предпринимательской деятельности // Экономика предприятия. -М., 1996
11. Карлоф Б. Деловая стратегия. -М., 1991, с. 121-125. Котлер Ф. Основы маркетинга. –М, 1990.
12. Курс экономики: Учебник. Основы предпринимательства. - М.,1997
13. Кадзума Татеис и. Вечный дух предпринимательства. Практическая философия бизнесмена. - М., 1990.
14. Маршалл А. Принципы политической экономии. - М., 1984.
15. Налогооблажение № 18 сентябрь 1999.
16. Николин В.И. Автотранспортный процесс и оптимизация его элементов. М.: Транспорт, 1990
17. Паловкин П., Савченко В. Проблемы определения экономической сущности и содержания предпринимательства. Вестник МГУ , сер.6, Экономика .1996 . - №2-5.
18. Прохоров В. Развитие малого бизнеса // Экономика и жизнь . 1996. -№34 .
19. Российская автотранспортная энциклопедия Том 1, Том 2 – М.: 1998
20. Скоун Т. "Управленческий учет". - М.: Изд-во ЮНИТИ, 1997.
21. Смехов А. А. Основы транспортной логистики. М.: Транспорт,
1995.;
22. Шулус А. Становление системы поддержки малого предпринимательства в России ( спецкурс ) // Российский экономический журнал . 1997 . - №5;6;7.
23. Шумпетер И. Теория экономического развития. – М., 1982.
24. Хизрич Р., Питере М. Предпринимательство, или как завести собственное дело и добиться успеха.
25. Хоскинг А. Среда предпринимательства. Курс предпринимательства.
-М. , 1993 .
26. Логистика. Транспортная, производственная, информационная. ЮНИТА
1, М – 1999.
27. Транспортная логистика. Учебное пособие под редакцией Миртина Л.
Б. М.: Брандес, 1996г.;
28. НИИАТ. Краткий автомобильный справочник. М.: Транспорт, 1992.
29. "Основы предпринимательского дела" под руководством и редакцией доктора экономических наук профессора Осипова Ю.М.
30. Положение о составе затрат по производству и реализации продукции (работ, услуг), включаемых в себестоимость продукции (работ, услуг), и о порядке формирования финансовых результатов, учитываемых при налогообложении прибыли. Утверждено постановлением Правительством РФ 5 августа 1992 года №552.
31. Регулирование транспортной деятельности: Учеб. пособие / Под общ. ред. проф. Кононовой Г.А. / СПБГИЭА. – СПБ., 1996.
32. СБОРНИК нормативно-справочных материалов по лицензированию и инспектированию на автомобильном транспорте в РФ по состоянию на 01.03.1993 г. /ГУК ПК при Минтопэнерго РФ. – Иваново, 1993.