| Скачать .zip |
Реферат: Оптимальные и адаптивные системы
- корни
вещественные
![]()
![]()
Сумма двух экспонент представляет собой:

Если
,
то корни
комплексно-сопряженные
и решение будет
представлять
собой периодическую
функцию. В реальной
системе, переключений
не более 5 - 6.
Метод поверхности переключений
Данный метод позволяет найти управление функций переменной состояния для случая когда оптимальное управление носит релейный характер
.
Таким образом этот метод можно применять при решении задач оптимального быстродействия, для объекта с аддитивным управлением
,
.
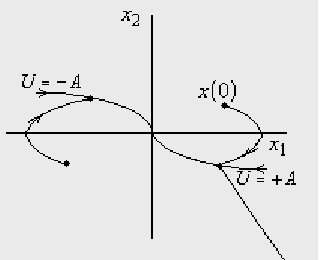
Суть метода заключается в том, чтобы во всём пространстве состояний выделить точки, где происходит смена знака управления и объединить их в общую поверхность переключений.
,
- поверхность
переключений
.
Закон управления будет иметь следующий вид
.
Для формирования поверхности переключений удобнее рассматривать переход из произвольной начальной точки в начало координат
.
Если конечная точка не совпадает с началом координат, то необходимо выбрать новые переменные, для которых это условие будет справедливо.
Имеем объект вида
.
Рассматриваем
переход
,
с критерием
оптимальности
.
Этот критерий позволяет найти закон управления такого вида
,
с неизвестным
,
начальные
условия
нам также
неизвестны.
Рассматриваем переход:

Метод обратного времени
(метод попятного движения)
Этот метод позволяет определить поверхности переключений.
Суть
метода заключается
в том, что начальная
и конечная
точки меняются
местами, при
этом вместо
двух совокупностей
начальных
условий остаётся
одна для
.
Каждая из этих траекторий будет оптимальна. Сначала находим точки, где управление меняет знак и объединяем их в поверхность, а затем направление движения меняем на противоположное.

Пример
Передаточная функция объекта имеет вид
.
Критерий оптимальности быстродействия

Ограничение
на управление
.
Рассмотрим переход
.
1)
,
2)
.
3)

оптимальное управление будет иметь релейный характер
.
4) Перейдём
в обратное
время (т.е.
).
В обратном
времени задача
будет иметь
такой вид
.
5) Рассмотрим два случая:
Получим уравнения замкнутой системы
.
Воспользуемся
методом непосредственного
интегрирования,
получим зависимость
от
и поскольку
-
,
то имеем
,
т.к.
начальные и
конечные точки
поменяли местами,
то
,
получим
,
(*)
аналогично
![]()
![]()
подставив (*), получим
,
отсюда
.
Построим получившееся и по методу фазовой плоскости определим направление


Применив метод непосредственного интегрирования, получим:
,
,
.
Функция будет иметь вид:

Изменив направление

точка смены знака
(точка переключения)
Общее аналитическое выражение:
.
Уравнение поверхности:
.
Оптимальный закон управления:
,
подставив уравнение поверхности, получим:
.
2.5. Субоптимальные системы
Субоптимальные системы - это системы близкие по свойствам к оптимальным
-
характеризуется
критерием
оптимальности.
![]()
- абсолютная
погрешность.
-
относительная
погрешность.
Субоптимальным называют процесс близкий к оптимальному с заданной точностью.
Субоптимальная система - система где есть хоть один субоптимальный процесс.
Субоптимальные системы получаются в следующих случаях:
при аппроксимации поверхности переключений (с помощью кусочно-линейной аппроксимации, аппроксимация с помощью сплайнов);

при
в субоптимальной
системе будет
возникать
оптимальный
процесс.
ограничение рабочей области пространства состояний;
![]()

3.АДАПТИВНЫЕ СИСТЕМЫ
3.1.Основные понятия
Адаптивными системами называют такие системы, в которых параметры регулятора меняются вслед за изменением параметров объекта, таким образом, чтобы поведение системы в целом оставалось неизменным и соответствовало желаемому:
,
.
Существует два направления в теории адаптивных систем:
адаптивные системы с эталонной моделью (АСЭМ);
адаптивные системы с идентификатором (АСИ).
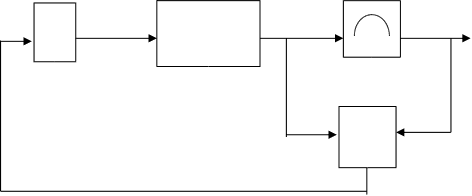
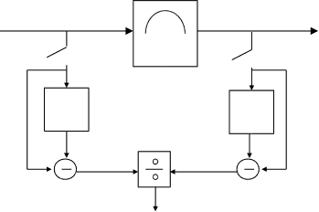
Адаптивные системы с идентификатором
Идентификатор - устройство оценки параметров объекта (оценка параметров должна осуществляться в реальном времени).


АР - адаптивный регулятор
ОУ - объект управления
U - идентификатор
Часть, которая выделена пунктиром, может быть реализована в цифровом виде.
Рис1. Функциональная схема АСИ
V, U, X - могут быть векторы. Объект может быть многоканальным.
Рассмотрим работу системы.
В случае неизменных параметров объекта, структура и параметры адаптивного регулятора не меняются, действует главная обратная связь, система представляет собой систему стабилизации.
Если параметры объекта меняются, то они оцениваются идентификатором в реальном времени и происходит изменение структуры и параметров адаптивного регулятора так, чтобы поведение системы оставалось неизменным.
Основные требования предъявляются к идентификатору (быстродействие и т.д.) и к самому алгоритму идентификации.
Такой класс систем используют для управления объектами с медленными нестационарностями.
Если мы имеем нестационарный объект общего вида:
,
,
.
Простейший адаптивный вид будет следующий:
.
Требования, которые предъявляются к системе:
,
(*)
,
где
и
-
матрицы постоянных
коэффициентов.
Реально мы имеем:
![]()
или
(**)
Если приравнять (*) и (**), то получим соотношение для определения параметров регулятора

3.3.Адаптивные системы с эталонной моделью
В таких системах существует эталонная модель (ЭМ), которая ставится параллельно объекту.

БА - блок адаптации.
Рис2. Функциональная схема АСЭМ
Рассмотрим работу системы.
В том
случае, когда
параметры
объекта не
меняются или
процессы на
выходе соответствуют
эталонным,
ошибка
,
не работает
блок адаптации
и не перестраивается
адаптивный
регулятор, в
системе действует
плавная обратная
связь.
Если
поведение
отлично от
эталонного,
это происходит
при изменении
параметров
объекта, в этом
случае появляется
ошибка
,
включается
блок адаптации,
перестраивается
структура
адаптивного
регулятора,
таким образом
чтобы свести
к эталонной
модели объекта.
Блок
адаптации
должен сводить
ошибку к нулю
(
).
Алгоритм, закладываемый в блок адаптации, формируется различными способами, например, с использованием второго метода Ляпунова:
.
Если
это будет
выполняться,
то система
будет асимптотически
устойчива и
.
1. Экстремальные системы управления
Введение
Экстремальные СУ – это такие САУ, в которых один из показателей качества работы нужно удерживать на предельном уровне (min или max).
Классическим примером экстремальной СУ является система автоподстройки частоты радиоприёмника.
![]()
A
![]()
![]()


- экстремальная характеристика
w
Рис.1.1. Амплитудно-частотная характеристика
1.1. Постановка задачи синтеза экстремальных систем
Объекты описываются уравнениями:
(1.1)
Экстремальная характеристика дрейфует во времени.
Необходимо подобрать такое управляющее воздействие, которое позволяло бы автоматически находить экстремум и удерживать систему в этой точке.
U: extr Y=Yo (1.2)
Y![]()
y – выход динамической части объекта
Y
– экстремальный
выход

Y![]()
![]()
![]()
o -
точка
экстремума
![]()
yo y
Рис.1.2. Статическая экстремальная характеристика
Необходимо определить такое управляющее воздействие, которое обеспечило выполнение свойства:
(1.3)
1.2. Условие экстремума
Необходимое условие экстремума – равенство нулю первых частных производных.
G
– градиент. (1.4)
Достаточное условие экстремума – равенство нулю вторых частных производных .
При синтезе экстремальной системы необходимо оценить градиент, но вектор вторых частных производных оценить невозможно, и на практике, вместо достаточного условия экстремума используют соотношение:
-
min (1.5)
-
max (1.6)
Этапы синтеза экстремальной системы:
оценка градиента.
Организация движения в соответствии с условием: G 0, т.е. движение к экстремуму.
Стабилизация системы в точке экстремума

U
![]()
=
f+BU y Y
P y = g(x)
экстремальная
регулятор характеристика
БОГ
Рис.1.3. Функциональная схема экстремальной системы
1.3. Виды экстремальных характеристик
1) Унимодальная экстремальная характеристика типа модуля

Y
Y = k |y| (1.7)
Y = k1|y-y0(t)| + k2(t)
k1 – определяет наклон;
Yo yo – горизонтальный дрейф экстремума;
k2 – вертикальный дрейф экстремума.
y0
Рис. 1.4. Экстремальная характеристика типа модуля
2) Экстремальная характеристика типа параболы
Y
Y = ky2; (1.8)
Y = k1 [y-yo(t)]2 + k2(t)
y
Рис. 1.5. Экстремальная характеристика типа параболы
3) В общем случае экстремальную характеристику можно описать параболой n-го порядка:
Y = k1|y-yo(t)|n + k2|y-yo(t)|n-1 + …+kn| y-yo(t)| + kn+1(t). (1.9)
4) Векторно-матричное представление
Y = yTBy (1.10)
1.4. Способы оценки градиента
1.4.1. Способ деления производных
Рассмотрим его на унимодальной характеристике, y- выход динамический части системы.
y
R1,
Y
= Y(y,t)
Найдём полную производную по времени:
(1.11)
При
медленном
дрейфе
,
таким образом
(1.12)
Достоинство: простота.
Недостаток:
при малых
0
нельзя определить
градиент.
![]()
-
дифференцирующий
фильтр.
y Y
БОГ
G
Рис. 1.6. Схема оценки частной производной
1.4.2. Дискретная оценка градиента
(1.13)
y Y
Недостаток: невозможность определения
G при y = 0.
y(kT) Z-1 Z-1 Y(kT)
G
Рис. 1.7. Схема дискретной оценки частной производной
1.4.3. Дискретная оценка знака градиента


При
малом шаге
дискретизации
заменяем: Т
0:
![]()
![]()
(1.14)
1.4.4. Метод синхронного детектирования
Метод синхронного детектирования предполагает добавление ко входному сигналу на экстремальный объект дополнительного синусоидального сигнала малой амплитуды, высокой частоты и выделение из выходного сигнала соответствующей составляющей. По соотношению фаз этих двух сигналов можно сделать вывод о знаке частных производных.
y Y
ГСК – генератор синусоидальных
asinwt колебаний.
ФЧУ ФЧУ – фазо-чувствительное устройство
ГСК Ф - фильтр
Ф
Z
Рис. 1.8. Функциональная схема оценки частной производной
Y
Yo
t
t
y
y1 yo y2
a
t t
Рис. 1.9. Иллюстрация прохождения поисковых колебаний на выход системы
y1 – рабочая точка
При этом разность фаз сигналов равна 0.
y2 – разность фаз сигналов равна
В качестве простейшего ФЧУ можно использовать блок перемножения.
![]()
![]()
ФЧУ
![]()
![]()
![]()
![]()
![]()
![]()
![]()
![]()
![]()
![]()
![]()
![]()
y
1)
2)
![]()
![]()
![]()
![]()
![]()
![]()
![]()
![]()

1) Y 2)
![]()
![]()
![]()
![]()
![]()
![]()
![]()
![]()
Рис. 1.10. Иллюстрация работы ФЧУ
В качестве фильтра выбирают усредняющий на периоде фильтр, который позволяет получить на выходе сигнал, пропорциональный значению частной производной.
Y
При
малой амплитуде
поискового
сигнала можно
считать, что
статическая
характеристика
в малой окрестности
рабочей точки
– линейка и
аппроксимируем
её касательной
в этой точке.
y1 y
Рис. 1.11. Линеаризация статической характеристики в рабочей точке
Следовательно уравнение экстремальной кривой можно заменить уравнением прямой:
(1.16)
![]()
Сигнал на выходе ФЧУ:
(1.17)
k – коэффициент пропорциональности – тангенс угла наклона прямой.
. (1.18)
Сигнал на выходе фильтра:


Таким
образом:
(1.19)
Метод синхронного детектирования годится для определения не только одной частной производной, но и градиента в целом, при этом на вход подаётся несколько колебаний различной частоты. Соответствующие фильтры на выходе выделяют реакцию на конкретный поисковый сигнал.
1.4.5. Специальный фильтр оценки градиента
Этот метод предполагает введение в систему специальную динамическую систему, промежуточный сигнал которой равен частной производной.

![]()
![]()
y
![]()
![]()
![]()
![]()
Z
![]()
![]()
![]()
![]()
![]()
![]()
![]()
![]()
![]()
![]()
![]()
![]()
![]()
![]()
ДФ
Р
![]()
![]()
![]()
![]()
![]()
G
Рис. 1.12. Схема специального фильтра оценки частной производной
T-
постоянная
времени фильтра ![]()
;
; (1.20)
При
:
(1.21)
Для оценки полной производной Y используют ДФ – дифференцирующий фильтр, а затем эта оценка полной производной применяется для оценки градиента.
1.5. Организация движения к экстремуму
1.5.1. Системы первого порядка
(1.22)
Организуем закон управления пропорционально градиенту:
(1.23)
Запишем уравнение замкнутой системы:
- нелинейное
дифференциальное
уравнение
(1.24)
Это обычное дифференциальное уравнение, которое можно исследовать методами ТАУ.
Рассмотрим уравнение статики системы:
т.к.
,
то из уравнения
следует, что
(1.25)
Если с помощью коэффициента усиления k обеспечить устойчивость замкнутой системы, то автоматически в статике мы придём в точку экстремума. В некоторых случаях с помощью коэффициента k можно кроме устойчивости обеспечить определённую длительность переходного процесса в замкнутой системе, т.е. обеспечить заданное время выхода на экстремум.
Пример:
;
;
;
где
k – устойчивость >0
=1
U=-y
-
БОГ
G
Рис. 1.13. Функциональная схема градиентной экстремальной системы первого порядка
Этот способ годится только для унимодальных систем, т.е. систем с одним глобальным экстремумом.
1.5.2. Метод тяжёлого шарика
По аналогии с шариком, который скатывается в овраг и проскакивает точки локальных экстремумов, система АУ с колебательными процессами также проскакивает локальные экстремумы. Для обеспечения колебательных процессов в систему первого порядка вводим дополнительную инерционность.
-
БОГ T-?
G
Рис. 1.14. Иллюстрация метода “тяжёлого” шарика
![]()
G =
y; 
-
уравнение
замкнутой
системы;
- характеристическое
уравнение
системы. (1.26)
![]()

d<1 (1.27)
Чем меньше d тем длиннее переходный процесс.
Анализируя экстремальную характеристику, задаются необходимые перерегулирование и длительность переходного процесса, откуда задаются:

1.5.3. Одноканальные системы общего вида
(1.28)
Закон
управления:
![]()
Подставив
закон управления
в управление
объекта, получим
уравнение
замкнутой
системы: ![]()
![]()
(1.29)
В общем случае, для анализа устойчивости замкнутой системы необходимо использовать второй метод Ляпунова, с помощью которого определяется коэффициент усиления регулятора. Т.к. 2й метод Ляпунова даёт лишь достаточное условие устойчивости, то выбранная функция Ляпунова может оказаться неудачной и регулярную процедуру расчёта регулятора здесь предложить нельзя.
1.5.4. Системы со старшей производной в управлении
Общий случай экстремума объектов
(1.30)
Функции f, B и g должны удовлетворять условиям существования и единственности решения дифференциального уравнения. Функция g – должна быть многократно дифференцируемой.
С – матрица
производных
; ![]()
Задача
синтеза разрешима,
если матрица
произведений
будет не вырожденна,
т.е.
(1.31)
Анализ
условия разрешимости
задачи синтеза
позволяет
определить
производную
выходных переменных,
которая явно
зависит от
управляющего
воздействия.
Если выполняется
условие (1.31), то
такой производной
является первая
производная
,
а следовательно
требования
к поведению
замкнутой
системы можно
формировать
в виде дифференциального
уравнения для
y, соответствующего
порядка.

Сформируем
закон управления
замкнутой
системы, для
чего сформируем
закон управления,
подставив в
правую часть
управления
для
:
-
уравнение
замкнутой
системы относительно
выходной переменной.
![]()
(1.34)
Рассмотрим
ситуацию, когда
![]()

(1.35)
При соответствующем выборе коэффициента усиления мы получаем желаемое уравнение и автоматический выход на экстремум.
Параметры регулятора выбираются из тех соображений, что и для обычных САУ, т.е.
(СВК)i = (20100), что позволяет обеспечить соответствующую ошибку.

U y Y
F k 
БОГ
G
Рис. 1.15. Схема системы со старшей производной в управлении
В системе для оценки полной производной по времени в систему вводят дифференцирующий фильтр, поэтому для оценки градиентов в таких системах удобно использовать фильтр оценки градиента.
Т.к. оба
этих фильтра
имеют малые
постоянные
времени, то в
системе могут
возникать
разнотемповые
процессы, выделить
которые можно
с помощью метода
разделения
движений, причём
медленные
движения будут
описываться
уравнением
(1.34), которое
соответствует
желаемому при
.
Быстрые движения нужно анализировать на устойчивость, причём в зависимости от соотношения постоянной времени ДФ и фильтра оценки частных производных (ФОЧП), можно выделить следующие виды движений:
1) Постоянные времени этих фильтров соизмеримы
Быстрые движения описывают комбинированные процессы в этих двух фильтрах.
2) Постоянные времени различаются на порядок
В системе наблюдаются кроме медленных движений, быстрые и сверх- быстрые движения, соответствующие наименьшей постоянной времени.
На устойчивость необходимо анализировать оба случая.
2. ОПТИМАЛЬНЫЕ СИСТЕМЫ
2.1. Введение
Оптимальные системы – это системы, в которых заданное качество работы достигается за счет максимального использования возможностей объекта, иными словами это системы, в которых объект работает на пределе своих возможностей.
Рассмотрим апериодическое звено первого порядка
K
W (p) = ——― , (2.1)
Tp+1
│u│≤ A, (2.2)
для которого необходимо обеспечить минимальное время перехода у из начального состояния y(0) в конечное yk. Переходная функция такой системы при K=1 выглядит следующим образом

Рис. 2.1. Переходная функция системы при U= const.
Рассмотрим ситуацию, когда на вход объекта подаем максимально возможное управляющее воздействие.

Рис. 2.2. Переходная функция системы при U=A= const.
t1 - минимально возможное время перехода y из нулевого состояния в конечное для данного объекта.
Для получения такого перехода существует два закона управления:
программное управление
![]()
A, t < t1
y = (2.3)
yk, t ≥ t1;
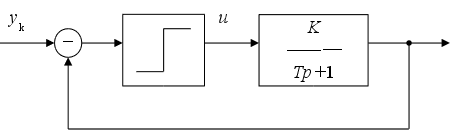
закон управления типа обратной связи
![]()
A, y < yk
y = (2.4)
yk, y ≥ yk;
Второй закон более предпочтителен и позволяет обеспечить управление при помехах.

Рис. 2.3. Структурная схема системы с законом управления типа обратной связи.
2.2. Постановка задачи синтеза оптимальных систем.
2.2.1. Математическая модель объекта.
Объект описан переменными состояния
xRn
, uRm,
m ≤ n,
(2.5)
где функция f(x,u) непрерывна, дифференцируема по всем аргументам и удовлетворяет условию существования и единственности решения дифференциального уравнения. Эта функция является нелинейной, но стационарной.
В качестве частных случаев объект может иметь вид нелинейной системы с аддитивным управлением
(2.6)
либо линейной системой
(2.7)
Объект должен быть представлен в одной из трех форм, представленных выше.
2.2.2. Множество начальных и конечных состояний.
Задача оптимального перехода из начального состояния в конечное представляет собой краевую задачу, где начальные и конечные точки могут быть заданы одним из четырех способов, представленных на рис. 2.4.

Рис.2.4. Фазовые портреты перехода системы из начального состояния в конечное для различных задач:
а) задача с фиксированными концами,
б) задача с фиксированным первым концом (фиксированная начальная точка и множество конечных значений),
в) задача с фиксированным правым концом,
г) задача с подвижными концами.
Для объекта множество начальных состояний может в общем случае совпадать с о всем множеством состояний либо с рабочей областью, а множество конечных состояний является подпространством множества состояний или рабочей области.
Пример 2.1.
В любую ли точку пространства состояний можно перевести объект, описываемый системой уравнений ?
- x10 – x20 + 2u = 0;
Запишем уравнения статики для данного объекта
2x10 – x20 + u = 0;
Подставив во второе уравнение значение U из первого уравнения u = x20 – 2x10, получим
-5x10 + x20 = 0;
Получили множество конечных состояний, описываемое уравнением
x20 = 5x10;
Таким образом, множество конечных состояний, задаваемое для объекта (системы), должно быть реализуемым.
2.2.3. Ограничения на состояния и управление

Рис. 2.5. Общий вид рабочей области пространства состояний.
Выделяется рабочая область пространства состояний, которая оговаривается. Как правило, эта область описывается ее границами с помощью модульных соглашений.

Рис.2.6. Вид рабочей области пространства состояний,
заданной модульными соглашениями.
Также задается U – область допустимых значений управляющего воздействия. На практике область U задается также с помощью модульных соотношений.
Ui
≤
Ūi,
Задача синтеза оптимального регулятора решается при условии ограничений на управление и ограниченном ресурсе.
2.2.4. Критерий оптимальности.
На этом этапе оговариваются требования, предъявляемые к качеству работы замкнутой системы. Требования задаются в обобщенном виде, а именно в виде интегрального функционала, который носит название критерия оптимальности.
Общий вид критерия оптимальности:
, (2.8)
Частные виды критерия оптимальности:
1) критерий оптимальности, обеспечивающий минимум времени переходного процесса (решается задача оптимального быстродействия)
; (2.9)
2) критерий оптимальности, обеспечивающий минимум затрат энергии:
по одной из компонент
; (2.10)
по всем переменным состояниям
; (2.11)
по одному управляющему воздействию
; (2.12)
по всем управляющим воздействиям
; (2.13)
по всем компонентам (в самом общем случае)
.
(2.14)
2.2.5. Форма результата
Необходимо оговорить в каком виде будем искать управляющее воздействие.
Возможны два варианта оптимального управления U0:
u0 = u0(t) – используется при отсутствии возмущения,
u0 = u0(x) – оптимальное управление в виде обратной связи (замкнутое управление).
Формулировка задачи синтеза оптимальной системы в общем виде:
Для объекта, описанного переменными состояниями с заданными ограничениями и множеством начальных и конечных состояний, необходимо найти управляющее воздействие, обеспечивающее качество процессов в замкнутой системе, соответствующее критерию оптимальности.
2.3. Метод динамического программирования
2.3.1. Принцип оптимальности
Исходные данные:
,
xRn
, uRm,
m ≤ n,
ui ≤ Ūi, x(0), x(T) ,


Необходимо найти u0
Рис. 2.7. Фазовый портрет перехода системы из начальной точки в конечную
в пространстве состояний
Траектория перехода из начальной точки в конечную будет оптимальной и единственной.
Формулировка принципа:
Конечный участок оптимальной траектории есть также оптимальная траектория.
Если бы переход из промежуточной точки в конечную не осуществлялся бы по оптимальной траектории, то для него можно было бы найти свою оптимальную траекторию. Но в этом случае переход из начальной точки в конечную проходил бы по другой траектории, которая должна была бы быть оптимальной, а это невозможно, так как оптимальная траектория единственная.
2.3.2. Основное уравнение Беллмана.
Рассмотрим объект управления произвольного вида
,
xRn
, uRm,
m ≤ n,
Необходимо обеспечить переход из начальной точки в конечную с критерием оптимальности
. (2.16)
Рассмотрим переход в пространстве состояний

Рис. 2.8. Фазовый портрет перехода системы из начальной точки в конечную
x(t) – текущая (начальная) точка, x(t+Δt) – промежуточная точка.
В
ыберем
промежуточную
точку и рассмотрим
поэтапный
переход
(2.17)
Преобразуем выражение
(2.18)
Заменим второй интеграл на V(x(t+Δt))
(2.19)
При малом значении Δt βведем допущения:
1)
(2.20)
2) Разложим вспомогательную функцию
,
(2.21)
(2.22)
Выполняя дальнейшие преобразования, получим
,
(2.23)
где min V(x(t)) и есть критерий оптимальности J
В результате получили
.
(2.24)
Разделим обе части выражения на Δt и устраним Δt к нулю.
,
(2.25)
где
![]()
Получим основное уравнение Беллмана
(2.26)
2.2.3. Расчетные соотношения метода динамического программирования
Основное уравнение Белмана содержит (m+1) - неизвестных величин, т.к. U0Rm , VR1
![]()
(2.27)

Продифференцировав m раз, получим систему из (m+1) уравнений.
Для ограниченного круга объектов решение полученной системы уравнений дает точное оптимальное управление. Такая задача носит название задачи АКОР (аналитического конструирования оптимальных регуляторов).
Объекты, для которых рассматривается задача АКОР, должны удовлетворять следующим требованиям:
1)
T ,
Критерий оптимальности должен быть квадратичным
.
Пример 2.2
Для объекта, описываемого уравнением
,
необходимо обеспечить переход из x(0) в x(T) по критерию оптимальности
,
![]()
![]()
![]()
U1= 5x,
U2= -6x
Проанализировав объект на устойчивость, получим U0 = U2 = -6x.
2.4. Принцип максимума Понтрягина
(2.28)
или
(2.29)
![]()

Введем расширенный вектор состояний, который расширяем за счет нулевой компоненты, в качестве которой выбираем критерий оптимальности. zRn+1
.
(2.30)
Также введем расширенный вектор правых частей, который расширяем за счет функции, стоящей под интегралом в критерии оптимальности.

(2.31)
Введем Ψ – вектор сопряженных координат
(2.32)
Сформируем Гамильтониан, представляющий собой скалярное произведение Ψ и φ(z,u)
H(Ψ,z,u) = Ψ•φ(z,u), (2.33)
(2.34)
Уравнение (2.34) называется основным уравнением принципа максимума Понтрягина, основанное на уравнении динамического программирования
Оптимальным является управление, которое на заданном интервале времени доставляет максимум Гамильтониана. Если бы ресурс управления не был бы ограничен, то для определения оптимального управления можно было бы воспользоваться необходимыми и достаточными условиями экстремума. В реальной ситуации для отыскания оптимального управления необходимо анализировать величину Гамильтониана при предельном значении уровня. В этом случае U0 будет функцией расширенного вектора состояний и вектора сопряженных координат
u0 = u0(z, Ψ)
Для отыскания сопряженных координат необходимо решить систему уравнений
.
2.4.1. Процедура расчета системы по принципу максимума Понтрягина.
Уравнения объекта должны быть приведены к виду, стандартному для синтеза оптимальных систем.
, xRn,
uRm,
m≤n
Необходимо оговорить также начальные и конечные состояния и записать критерий оптимальности
. (2.35)
Вводятся расширенный вектор состояний
, (2.36)
расширенный вектор правых частей
(2.37)
и вектор сопряженных координат
.
(2.38)
Записываем Гамильтониан как скалярное произведение
H(Ψ,z,u) = Ψ•φ(z,u), (2.39)
Находим максимум Гамильтониана по u
,
(2.40)
по которому определяем оптимальное управление u0(Ψ,z).
Записываем дифференциальные уравнения для вектора сопряженных координат
.
(2.41)
Находим сопряженные координаты как функцию времени
Ψ= Ψ(t). (2.42)
6. Определяем окончательный оптимальный закон управления
u0= u0(t) . (2.43)
Как правило, этот способ позволяет получить программный закон управления.
Пример 2.3.
Для объекта, представленного на рис. 2. 9. необходимо обеспечить переход из начальной точки y(t) в конечную y(t) за T= 1c с качеством процесса

U y
Рис. 2.9. Модель объекта
W

(p)=y/U = 1/p2
![]()
x1(0)=0 x1(T)=1
x2(0)=0 x2(T)=0
,
,
.
3.
H(Ψ,Z,U) = Ψ0u2 + Ψ1x2 + Ψ3u.
,
u0= - Ψ2/2 Ψ0.
5.

6.
![]()
Для определения констант b1 и b2 нужно решить краевую задачу.
З
апишем
уравнение
замкнутой
системы
П
роинтегрируем
Рассмотрим конечную точку t=T=1с.
x1(T)=1
x2(T)=0
1= 1/6 b1
+ 1/2 b2
0= 1/2b1 + b2
Получили систему уравнений, из которой находим b2 = 6, b1 = -12.
Запишем закон управления u0= -12t + 6.
2.4.2. Задача оптимального управления
, xRn,
uRm,
m≤n
Для объекта общего вида необходимо обеспечить переход из начальной точки в конечную за минимальное время при ограниченном законе управления.
.
(2.44)
Особенности задачи оптимального быстродействия
Гамильтониан быстродействия.
H = Ψ▪φ = Ψ0▪1 + Ψ1▪f1(x,u) +…+ Ψn▪fn(x,u), (2.45)
Ψ0=-1. (2.46)
H = -1 + Ψ1▪f1(x,u) +…+ Ψn▪fn(x,u), (2.47)
Hб
= Ψ1▪f1(x,u)
+…+ Ψn▪fn(x,u)
=
▪f(x,u)
(2.48)
=[Ψ1,…,
Ψn]
(2.49)
.
(2.50)
Релейность управления.
Эта особенность имеет место для релейных объектов.
, xRn,
uRm,
m≤n,
![]()
Hб
=
▪(Ax+Bu);
![]()
Теорема о числе переключений управляющего воздействия.
Эта теорема справедлива для линейных моделей с вещественными корнями характеристического уравнения.
det(pI-A)=0 (2.51)
Λ(A) – вектор вещественных собственных чисел.
Формулировка теоремы:
В задаче оптимального быстродействия с вещественными корнями характеристического уравнения число переключений не может быть больше, чем (n-1), где n – порядок объекта, следовательно, число интервалов постоянства управления не будет больше, чем (n-1).

Рис. 2.10. Вид управляющего воздействия при n=3.
Пример2.4
.
Рассмотрим пример решения задачи оптимального быстродействия:
,
,
T0=1
, 
.
Ψ=[Ψ1, Ψ2].
Hб= Ψ1x2+ Ψ2( -2dx2 –x1+u).
,
,
.