| Скачать .docx |
Реферат: Строительные конструкции
Практическое занятие №1
Определение нормативных и расчетных значений нагрузок
Цель работы: Научится собирать нагрузку на строительные конструкции.
Исходные данные:
Схема перекрытия – 1
Схема покрытия – 2
Район строительства – Екатеринбург
Помещение – квартира
Количество этажей – 4
Пролет L, м. – 3,6
Шаг колонн В, м. – 3,6
Вес балки, кН – 4,30
Вес колонны, кН – 18,0
Ход работы:
Собрать нагрузку на 1 кв.м.
Сбор нагрузки на 1 кв.м. перекрытия
| Вид нагрузки |
Нормативная нагрузка, кН/м2 |
Коэф. Надежности по нагрузке, γf |
Расчетная нагрузка, кН/м2 |
| I. Постоянные |
0,015 · 2000/100 = 0,3 |
1,3 |
0,39 |
| Плиточный пол t = 0,015м, р = 2000кг/м3 |
|||
| Цементный раствор t = 0,015 м, р = 2000кг/м3 |
0,015 · 2000/100 = 0,3 |
1,3 |
0,39 |
| ж/б многопустотная плита t = 0,22 м, р = 2500 кг/м3 |
3,2 |
1,1 |
3,52 |
| Итого: |
3,8 |
4,3 |
|
| II. Временная |
1,5 |
1,3 |
1,95 |
| Всего |
5,3 |
6,25 |
Сбор нагрузки на 1 кв.м покрытия.
| Вид нагрузки |
Нормативная нагрузка, кН/м2 |
Коэф. Надежности по нагрузке, γf |
Расчетная нагрузка, кН/м2 |
| 4 слоя рубероида |
4· 0,05 = 0,2 |
1,3 |
0,26 |
| Цементно-песчанная стяжка t = 0,02 м, р = 2000кг/м3 |
2000 · 0,02/100 = 0,4 |
1,3 |
0,52 |
| Утеплитель минераловатные плиты t=0,12 м, р = 300кг/м3 |
0,12 · 300/100 = 0,36 |
1,2 |
0,43 |
| Пароизоляция, 1 слой рубероида |
0,05 |
1,3 |
0,065 |
| ж/б многопустотная плита t = 0,22 м, р = 2500кг/м3 |
3,2 |
1,1 |
3,52 |
| Всего: |
4,21 |
4,79 |
|
| II. Временные |
|||
| 1.Снеговая для Екатеринбурга |
1,8 · 0,7 = 1,26 |
1,8 |
|
| Всего |
5,48 |
6,59 |
2. Собрать нагрузку на 1 м.п. балки перекрытия (железобетонной, металлической, деревянной)
Нагрузка на 1 м.п. железобетонной балки
Нормативная:
![]()
![]()
Б1
qн
= 5,30 · 1,8 + 4,30/3,6 = 9,84+1,19 = 11,03 кН
Расчетная:
![]()
![]()
q = (6,25 · 1,8)+(4,30/3,6 · 1,1) = 11,25+1,24 = 12,49 кН
Металлическая балка
Нормативная:
![]()
![]()
qн = 5,30 · 1,8+0,25 = 9,79 кН
Расчетная:
![]()
![]()
q = (6,25 · 1,8) + (0,25 · 1,05) = 11,25+0,26 = 11,51 кН
Деревянная балка
Нормативная:
![]()
qн = 5,30 · 1,8+0,5 = 9,54+0,5 = 10,04 кН
![]()
Расчетная:
![]()
q = (6,25 · 1,8)+(0,5 · 1,1) = 11,25+0,55 = 11,8 кН
3.Собрать нагрузку на колонну 1 этажа (железобетонную, металлическую, деревянную, каменную)
3.1 Продольная сила, действующая от нагрузки на железобетонную колонну
Расчетная
![]()
N = (6,25 · 12,96) · (4-1)+6,59 · 12,96+4,30 · 4 · 1,1+18 · 4 · 1,1 = 426,02 кН
3.2 Продольная сила, действующая от нагрузки на металлическую колонну
Расчетная:
![]()
N = (6,25 · 12,96) · (4-1)+6,59 · 12,96+0,25 · 3,6 · 4 · 1,05+3 · 4 · 1,05 = 344,78 кН
3.3 Продольная сила, действующая от нагрузки на деревянную стойку
Расчетная:
![]()
N = (6,25 · 12,96) · (4-3)+6,59 · 12,96+0,54 · 3,6 · 4 · 1,1+2 · 4 · 1,1 = 345,12 кН
3.4 Продольная сила, действующая от нагрузки на каменную колонну
Расчетная:
![]()
![]()
N = (6,25 · 12,96) · (4-1)+6,59 · 12,96+4,30 · 4 · 1,1+14 · 4 · 1,1 = 408,3 кН
| Конструкции |
Нормативная нагрузка |
Расчетная нагрузка |
| Плита перекрытия |
5,3 Кн/м2 |
6,25 кН/м2 |
| Плита покрытия |
5,47 кН/м2 |
6,59 кН/м2 |
| Сбор нагрузки на 1 п.м. |
||
| На ж/б балку |
11,03 кН/м |
12,49 кН/м |
| металлическую |
9,79 кн/м |
11,51 кН/м |
| деревянную |
10,04 |
11,8 кН/м |
| Сбор нагрузки на колонну 1-ого этажа |
||
| Ж/б колонна |
426,02 кН |
|
| металлическая |
344,78 кН |
|
| каменная |
408,3 кН |
|
| деревянная |
345,12 кН |
|
Практическое занятие №5
Расчет кирпичного центрально – сжатого столба
Цель работы: Изучить основы расчета кирпичных столбов. Научится подбирать размеры сечения столба и если необходимо армирование.
Произвести подбор размеров кирпичного столба. Нагрузку принять по результатам практической работы №1. Материалы принять самостоятельно, согласно регламентациям, приведёнными выше, Расчетную длину l принять по таблице согласно варианту.
Исходные данные: L=470 см.
Кладка выполнена из кирпича глиняного, пластического прессования; марка кирпича М100; марка раствора М50.
N=408,3 кН
![]()
Решение:
l0 = l · µ = 470 · 1 = 470 см
Находим расчетное сопротивление сжатию кладки:
R=1,5МПа = 0,15 кН/см2
Определяем упругую характеристику:
![]()
Задаемся коэффициентами:

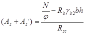
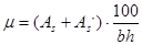
Определяем требуемую площадь сечения столба:
![]()
![]()
![]()
Принимаем столб сечением 64
см
Находим площадь столба:
![]()
Определяем коэффициенты: ![]()
h ≥38 см
, т.к. А> 3000
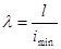
Определяем гибкость:
![]()
Определяем коэффициент продольного изгиба ![]()
![]()
| 6 |
0,98 |
| 7,34 |
0,926 |
| 8 |
0,92 |
Рассчитываем принятый кирпичный столб на устойчивость:
![]()
![]()
Устойчивость обеспечена
Практическая работа № 2
Расчет стальной центрально – сжатой колонны
Цель работы: Изучить основы расчета колонн. Научиться выполнять проверку устойчивости и подбирать сечение стальной колонны из прокатного двутавра.
Исходные данные: N=2500кН
Сталь С245
![]()
Н=580см
Решение:
![]()
Находим расчетную длину колонн:
![]()
![]()
Определяем расчет сопротивления стали:
![]()
Задаемся гибкостью ![]()
Определяем
методом интрополяции:
![]()
=0,552
|
|
|
| 200 |
0,599 |
| 230 |
0,552 |
| 240 |
0,542 |
Определяем А:
![]()
![]()
Находим ![]()
![]()
![]()
Подбираем двутавр по сортаменту:
|
|
|
| 80 |
0,734 |
| 89,04 |
0,672 |
| 90 |
0,665 |
|
|
|
| 80 |
0,686 |
| 89,04 |
0,619 |
| 90 |
0,612 |
A=95,67 см2 ; imin =5,84см; № 35Ш1
Определяем гибкость, проверяем подобранное сечение:
![]()
![]()
89,04<120
Вывод: гибкость обеспеченна
Задаем расчетное сопротивление Ry =200 мПа
Определяем
методом интрополяции:
![]()
Задаем расчетное сопротивление Ry =240 мПа
![]()
![]()
| Ry |
|
| 200 |
0,672 |
| 230 |
0,632 |
| 240 |
0,619 |
Рассчитываем колонны на устойчивость:
![]()
![]()
![]()
<![]()
Вывод: устойчивость обеспечена.
Практическое занятие № 4
Расчет железобетонной колонны со случайным эксцентриситетом
Цель работы: Научиться рассчитывать и выполнять чертежи сжатой ж/б конструкции.
Исходные данные:
L0 =3,6 м.
Сечение 300
300
Пролет L=3,6 м.
Бетон В25
![]()
N=344,78 кН.
Решение:
Собираем расчетную нагрузку:
| 0,5 |
0,81 |
| 1 |
0,74 |
![]()
![]()
![]()
![]()
Находим отношение:
![]()
![]()
Определяем значение коэффициентов методом интрополяции:
![]()
![]()
Задаемся коэффициентом армирования: ![]()
Вычисляем коэффициент ![]()
![]()
![]()
Предварительно задаемся:
| 0,5 |
0,84 |
| 1 |
0,82 |
![]()
![]()
![]()
Вычисляем коэффициент продольного изгиба:
![]()
0,745+2(0,821-0,745)0,279=0,7875<0,884
Определяем требуемую площадь арматуры:
=
=
Проверяем процент армирования:
![]()
,
что больше минимального значения
=0,4% и меньше максимального
=3,0%
Принятая арматура обеспечивает необходимый процент армирования.
Назначаем диаметры и шаг постановки поперечных стержней:
принимаем поперечную арматуру
4 Вр – I; шаг поперечных стержней
округляем и принимаем шаг s=300мм.
Вывод: поперечную арматуру следует принять
4, продольную
16.
Практическое занятие № 8
Расчет железобетонного прогона
Цель работы: научиться рассчитывать и выполнять чертежи изгибаемой железобетонной конструкции.
1. Исходные данные:
Необходимо рассчитывать и законструировать железобетонный прогон.
Продольную рабочую арматуру принять класса AIII; поперечную (хомуты) – класса ВР – I; для петель принять арматуру класса A – I.
Расчетную нагрузку на 1 метр погонный (q) принять по результатам практической работы № 1.
Марка прогона, размеры прогона и класс бетона принять по таблице в зависимости от пролета (L) см. практическое занятие № 1.
Пролет (L) – 3,6
Марка прогона – ПРГ 36,1 м
Длина, мм – 3580
Ширина, мм - 120
Высота, мм – 400
Класс бетона – В15
Перемычка 5ПБ21-27
а=3 см
![]()
![]()
![]()
![]()
![]()
![]()
Определяем рабочую высоту сечения.
![]()
Определяем вспомогательный коэффициент ![]()
![]()
С=2 ∙ h0
=2∙37=74
![]()
![]()
Qb > Q 28.95 < 33.3
Вывод: Расчет прочности по наклонной трещине обеспечен.
Расчет монтажных петель.
![]()
![]()
Расчет прочности сжатой полосы между наклонными трещинами.
![]()
![]()
![]()
![]()
![]()
![]()
![]()
Практическое занятие № 7
Расчет деревянной балки
Цель работы: Научиться подбирать сечение деревянной балки по двум группам предельных состояний.
Задание № 2
Произвести подбор деревянной балки перекрытия. Длинна балки, нормативная и расчетные нагрузки на 1 м.п. балки принимаются по данным практической работы № 1. Пролет L, м – 3,6
Акация 2 сорт
Нормативная – 10,04кН/м
Расчетная – 11,8 кН/м
![]()
1. Устанавливаем расчетные схемы балки.
2. Определяем изгибающий момент и поперечную силу приходящуюся на балки.
![]()
![]()
Ru = 1.4 кН/см2
mn = 1.5
mb = 1
![]()
![]()
![]()
Определяем требуемый момент сопротивления
![]()
Принимаем высоту 20 см.
![]()
высота 17,5
![]()
![]()
![]()
![]()
![]()
![]()
![]()
![]()
![]()
![]()
![]()
![]()
![]()
Практическое занятие № 9
Расчет стыковых и угловых сварных швов
Цель работы: Научиться рассчитывать сварные швы.
Задание № 3
N = 350 кН
It = 10 мм
t1 = 12 мм
b = 23 см
![]()
=21 см
![]()
![]()
![]()
Вывод: прочность шва двух элементов обеспечена.
Задание № 4
N = 340 кН
t = 10 мм
l = 460 мм
Определить
из формулы
![]()
![]()
![]()
![]()
t = 10 мм
Kf = 5
Вывод: Определили толщину сварного шва стыка двух листов, толщина сварного шва 5 мм.
Практическое занятие № 10
Расчет нагельного соединения
Цель работы: Научиться рассчитывать и конструировать нагельные соединения.
tд = 75 мм = 7,5 см
tн = 40 мм = 4 см
d = 18 мм = 1,8
N = 51 кН
Рассчитать (определить количество нагелей) и законструировать (определить расстояние S1 S2 S3 и размеры накладок) соединения из досок на стальных цилиндрических нагелях. На соединения действует сила N. Трещина досок tд , накладок tн, диаметр нагелей d и продольную силу N принять по вариантам.
![]()
![]()
![]()
кН
![]()
![]()
![]()
nср = 2
N = 51
![]()
Практическое занятие № 11
Определение глубины заложения и размеров подошвы фундамента
Цель работы: Научиться определять глубину заложения и размеры подошвы ж/б фундамента под колонну.
Задание 1.
Определить глубину заложения фундамента. Регион строительства принять по данным практической работы № 1. Вид грунта и особенности здания согласно варианта работы №12.
Суглинок полутвердый:
Коэффициент пористости е = 0,55
Удельный вес грунта
кН/м3
Показатель текучести Ic = 0.30
Особенности здания: Без подвала с полами, устроенных на лагах, по грунту.
![]()
![]()
![]()
![]()
![]()
![]()
Задание 2. Определить размеры сечения подошвы фундамента под колонну.
Расчетную нагрузку на ж/б колонну принять по результатам практической работы № 1. Фундамент принять квадратного сечения.
1) ![]()
![]()
2)![]()
e = 0.95
| 300 |
0 |
| 285 |
0.3 |
| 250 |
1 |
![]()
3)![]()
![]()
4)![]()
![]()
![]()
![]()
7) ![]()
![]()
![]()
![]()
![]()
![]()

8) ![]()
![]()
9)![]()
![]()
![]()
Вывод: Условие выполняется. Глубина заложения равна 2 м, размер подошвы 1![]()
2. Рассчитать фундамент по материалу под ж/б колонну гражданского здания по данным примера 1
2.1. Нагрузка на фундамент с учетом коэффициента надежности по ответственности N = 426,02 кН.
Глубина заложения фундамента d1 = 1.6 м.
Размеры подошвы фундамента ab = ![]()
Размеры сечения колонны hc
bc
= ![]()
Решение:
1) Определяем давление под подошвой фундамента:
-площадь фундамента Af
= ab = ![]()
-давление p = N/Af = 426.02/1.44 = 295.84 кПа.
2) Определяем расчетное сечение фундамента.
Рассчитываем сечение переходящее по краю колонны (1 – 1)
3) Задаемся защитным слоем бетона.
ab = 3.0 см
a = 40 см
![]()
4) Принимаем класс прочности бетона B20;
класс арматуры А = III; Rb
= 11.5 мПа; Rbt
= 0.90 мПа; Rs
= 365 мПа.
5) Поперечная сила в рассчитываемом сечении:
![]()
6) Изгибающий момент в сечении 1 – 1
![]()
7) Требуемая площадь арматуры фундамента в сечении 1 – 1
![]()
8) Принимаем арматуру, задаемся шагом стержней арматуры S = 200 мм, определяем количество стержней, расположенных в данном направлении арматурной сетки.
![]()
Принимаем (по приложению 3) диаметр арматуры ![]()
11) Проверяем фундамент на продавливания.
Определяем стороны основной пирамиды продольные.
![]()
![]()
Вывод: Для армирования принимаем арматуру ![]()
Практическое занятие № 12
Определение несущей способности сваи стойки
Определить шаг свай в ростверке, используя данные, но при других грунтовых условиях. Принимаем сваи с центральным армированием, сечение
бетон сваи B25, арматура – стержень ![]()
Решение:
1) Назначаем в качестве несущего слоя малосжимаемый грунт – песок, плотный с включением гравия. Заглубление нижнего конца в таких грунтах принимается не менее 0,5 м. Так как сваи опираются на малосжимаемый грунт, они работают как сваи – стойкие. Длину свай принимаем 6,0 м.
2) Для свой – стоек расчетное сопротивление R = 20000кПа, площадь сечения сваи А = 0,4*0,4 = 0,16 м2 , несущая способность Fd вычисляют по формуле:
![]()
4) Несущая способность сваи по материалу:
![]()
Несущая способность по грунту меньше несущей способности сваи по материалу, её и принимаем для определения требуемого шага свай.
5) Определяем требуемый шаг свай:
![]()
что больше минимального шага свай (для свай стоек ![]()
Вывод: Требуемый шаг свай а = 6,7 м. При окончательном назначении шага свай необходимо учитывать конструкцию здания, его размеры, материал стен, сваи в обязательном порядке ставятся по углам здания, в местах пересечения стен, в панельных зданиях каждая панель должна опираться не менее чем на две сваи, окончательно принятый шаг свай может быть меньше требуемого.