| Скачать .docx |
Реферат: Металлические конструкции одноэтажного производственного здания
Министерство образования РФ
Сибирская Государственная Автомобильно-дорожная Академия
Кафедра «Строительные конструкции»
ПОЯСНИТЕЛЬНАЯ ЗАПИСКА К КУРСОВОМУ ПРОЕКТУ:
« Металлические конструкции одноэтажного
производственного здания »
Выполнил: студент гр. 42 ПГС
Сердюк В.М.
Проверила: преподаватель
Кононова Р.М.
Омск-2005 г
Содержание:
1. Исходные данные
2. Определение основных размеров поперечной рамы цеха.
3. Расчет подкрановой балки.
4. Сбор нагрузок на поперечную раму
5. Статический расчет поперечной рамы
6. Расчет и конструирование колонны
7. Расчет базы колонны
8. Расчет и конструирование стропильных ферм
9. Список литературы
Исходные данные:
1. длина здания 48 м ;
2. высота от пола до головки подкранового рельса 12,8 м ;
3. район строительства г. Бухара;
4. грузоподъёмность крана 50 т ;
5. пролёт цеха 34 м ;
6. колонны сплошного сечения, шаг колонн 12 м
7. подкрановая балка составного сечения, сварная.
Определение основных размеров поперечной рамы цеха.
Для крана грузоподъёмностью Q=200 т определяем необходимые для расчета характеристики [1, прил.1]:
Пролёт мостового крана Lk = L – 1,5м = 34м – 1,5м = 32,5 м;
Характеристики мостового крана:
· пролёт 36 м;
· максимальное усилие колеса Fк max =540 кН;
· вес тележки Gт =180 кН;
· вес крана с тележкой Gк =900 кН;
· высота крана Нк =3150 мм;
· свес мостового крана (за осью подкранового рельса) В1 =300 мм;
· тип кранового рельса КР-80;
· высота рельса hр =130 мм;
Зная габаритные размеры мостового крана определяем основные размеры поперечной рамы:
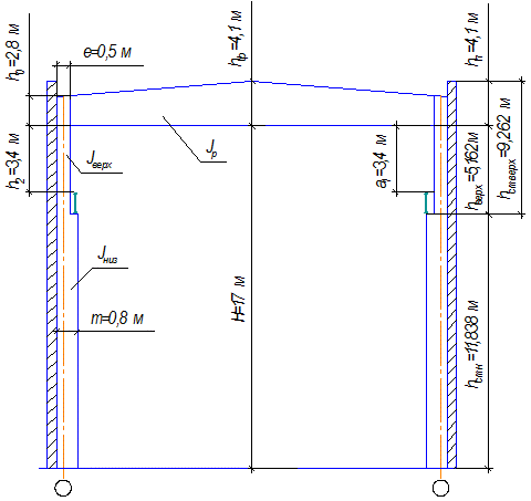
Высота колонны от обреза фундамента до оси нижнего пояса ригеля определяется по формуле:
Н=h1 +h2 +h3
где: h1 =12,8 м [задание],
h2 =Нк +150+100 – расстояние от головки подкранового рельса до оси нижнего пояса ригеля,
150 мм – минимальная величина, учитывающая высоту выступающих вниз элементов связей по нижним поясам ферм и прогиб конструкций покрытия,
100 мм – минимальный зазор м/у конструкцией крана и низом покрытия,
h2 =3150+150+100=3400 мм=3,4 м
h3 =0,8 м – заглубление башмаков колонн рамы ниже уровня пола цеха.
Н=12,8+3,4+,8=17 м
Высота сечения надкрановой части колонны:
е = 500 мм
Высоту сечения подкрановой части колонны из условия свободного прохода крана назначают не менее:
![]()
где: D=100 мм – минимальный зазор между внутренней гранью колонны и конструкцией мостового крана;
В1 =200 мм –свес мостового крана (за осью подкранового рельса).
m=500+200+100=800 мм
Данная высота должна удовлетворять условиям жесткости:

=1700/22=772,7 мм
m > 772,7 мм – условие выполняется.
По [1, прил. 14, табл. 5] принимаю m=800 мм.
Расчётный пролёт рамы равен расстоянию м/у осями надкрановых частей колонн:
;
Lp=34000-500+500=34000 мм =34 м.
Расчётный пролёт ригеля рамы:
![]()
Lф=34000-500=35000 мм =33,5 м.
Высоту ригеля в середине пролета hф и на опоре hо принимаем по [7] в зависимости от Lф : hф =4,1 м, hо =2,8 м.

Расчет подкрановой балки.
В проекте необходимо произвести расчет и конструирование однопролетной подкрановой балки несимметричного, постоянного сечения со специальной тормозной балкой.
1. Определение расчетных усилий.
Величина расчетного изгибающего момента от вертикальных сил:
![]()
где
– коэффициент надежности по назначению [1 стр.57],
– коэффициент перегрузки для крановой нагрузки [3 п.4.8],
– коэффициент, учитывающий вес подкрановой и тормозной балок с рельсом [4 табл. 2.1],
– коэффициент сочетаний, [3 п.4.17],
сумма ординат линии влияния, расположенных под грузами,

– коэффициент динамичности [3 п.4.9],
– наибольшая сила давления колеса крана
=540 кН
Mmax=0,95*1,1*0,85*1,05*1,1*540*2*5,245/2=2906 кНм
Расчетный изгибающий момент от поперечных тормозных сил определяется по той же линии влияния, что и Mmax и при том же загружении:
![]()
– горизонтальная сила одного колеса крана от поперечного торможения тележки с грузом.

где: nо =2 – число колёс с одной стороны крана;
Q=50 т – номинальная грузоподъёмность крана;
Gт =180 кН – вес тележки.
=0,05*(9,8*50+180)/2=16,75 кН
Mz=0,95*1,1*0,85*1,1*16,75*2*5,245/2=85,8 кНм
Расчётная поперечная сила в сечении у опоры от вертикальной нагрузки:
![]()

Qmax=0,95*1,1*0,85*1,04*540*1,1*(6,755+5,245)/12 кН
2. Подбор сечения подкрановой балки.
Согласно условиям работы проектируемых конструкций принимаем сталь марки С255 ГОСТ 27772–88 с расчетным сопротивлением:
· по пределу текучести Ry=23 кН/см²
· по временному сопротивлению Ru=35,5 кН/см²
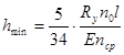
Наименьшая допустимая высота балки из условия жесткости:

где Ry=23 кН/см² – расчетное сопротивление материала балки [2 табл.51*]
Е=2,06*10 кН/см² – модуль упругости стали
nср =1,1 – осреднённый коэффициент перегрузки [4 стр.12]
n0 =600 – величина, обратная предельному значению относительного прогиба балки [4 стр12]
l=12 м – расчетный пролет балки
hmin=5*23*600*1200/(34*2,06*10000*1,1)=1,52 см
Толщина стенки определяется по эмпирической формуле:
мм
По Сортаменту на сталь прокатную толстолистовую принимаем стенку балки толщиной tст. =14 мм
Оптимальная высота балки из условия прочности, отвечающая наименьшей её массе при упругой работе материала:

где к = 1,1
Wтр – требуемый момент сопротивления сечения балки
Wтр=290600/(0,9*23)=14039 см³
см
По Сортаменту принимаем высоту стенки балки hст. =1600 мм
[1 пр.14 табл.5]
Минимальная ширина полок:
верхней bb min=2*(hp/2+2+3)=2*(13/2+2+3)=23 см
По [1 пр.14 табл.5] принимаем bb min=40 см
нижней bн min=(6d+tст)=(6*2+1,4)=13,4 см – из условия размещения болтов
По [1 пр.14 табл.5] принимаем bн min =26 см
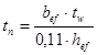
Толщину полок определяем по [2 табл.30]:

где bef=(40-1,4)/2=19,3 см
tw=1,4 см – толщина стенки балки
hef=160 см – расчетная высота балки
tп=19,3*1,4/(0,11*160)=0,86 см
По [1 пр.14 табл.5] принимаем t=1,54 см
Конструктивные требования, предъявляемые к сечению сварной
подкрановой балки:
· tп max=40 мм
· tст ≤ tп ≤3 tст – из условия свариваемости
· tст=8 – 16 мм
· из условия обеспечения местной устойчивости поясов [4 стр.13]:
, 25<29,9 – условие выполняется
Принимаем подкрановую балку:
hст =160 см
tст =1,6 см
bв =40 см
bн =26 см
tп =1,6 см
Тормозная балка
Тормозная балка состоит из швеллера и горизонтального листа.
· швеллер №14: Ао = 15,6 см2 – площадь сечения швеллера
Jz о = 45,4 см4 – момент инерции швеллера относительно Zo
yo =1,67 см – расстояние от оси Zo до наружной грани
стенки швеллера
· толщина горизонтального листа тормозной балки 0,6 см
· ширина листа:
; ,
где: 6 см – необходимый зазор между тормозной балкой и стеновыми панелями
3 см – минимальная величина нахлёстки горизонтального листа на пояс
bг.л.=80-0,5*40-6+3=57 см
По [1, Прил.14, табл.5] принимаем bг.л.=55 см.
3. Проверка принятого сечения подкрановой балки по нормальным напряжениям.
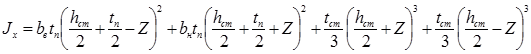
Координата центра тяжести сечения подкрановой балки относительно середины высоты стенки:

Момент инерции сечения подкрановой балки относительно оси
Х1 , проходящей через центр тяжести сечения:


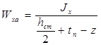
Момент сопротивления для крайних волокон верхнего пояса:

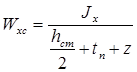
Wxa=1157352/(80+1,6-5,491)=15207 см³
Момент сопротивления для крайних волокон нижнего пояса:

Wxс=1157352/(80+1,6+5,491)=13289 см³
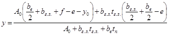
Положение центра тяжести тормозной балки относительно оси Z1 – Z1 стенки балки:

,
Момент инерции тормозной балки относительно оси Z – Z:
,
где:
– расстояние от оси Z – Z до правых крайних волокон тормозной балки
y1=40/2+23,06=43,06 см
– расстояние от оси Z – Z до левых крайних волокон тормозной балки
y2=55+40/2+2,0-3-23,06=50,94 cм

Момент сопротивления тормозной балки для точки a:
см³
Момент сопротивления тормозной балки для точки d:
см³
Проверка нормальных напряжений в наиболее напряжённых точках сечения подкрановой и тормозной балок:



σа=290600/15207+8508/2414=22,63 кН/см² <23 кН/см² [1,6%]
σc=290600/13289=21,87кН/см² <23 кН/см² [4,9%]
σd=8508/2041=4,17 кН/см² <23 кН/см²
Проверка выполнена.
4. Проверка прочности стенки балки по касательным напряжениям.
Наибольшие касательные напряжения действуют в фибрах, расположенных по нейтральной оси балки:
,
где Qmax =2065 кН – максимальная перерезывающая сила в опорном сечении
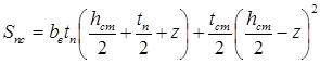
Snc – статический момент полусечения балки относительно оси Х1
;
;
Rs – расчетное сопротивление стали на срез (сдвиг) [2 табл.1]

где γm=1,05 – коэффициент надежности по материалу [2 табл.2]
Rs=0,58*24/1,05=13,26 кН/см²
τmax= 549*8706/(115735*1,6)=2,95 кН/см² < 13,26 кН/см²
Проверка выполнена.
5. Проверка стенки балки на местное смятие.
Давление колёс крана через подкрановый рельс и верхний пояс передаётся на стенку балки. Под воздействием этого давления может произойти смятие стенки.

где γf =1,1 – коэффициент для кранов среднего режима работы;
n=1,2 – коэффициент перегрузки для крановой нагрузки;
lм – условная длина распределения давления колёс крана:

где с=3,25 – коэффициент для сварных балок
Jn – сумма моментов инерции пояса балки и кранового рельса относительно собственных осей:
![]()
=1547,4 см4
– момент инерции кранового рельса относительно собственной оси [2 прил.14 табл.6]
Jn =40*1,6³/12+1547,4=1561,1 см4

σm=1,1*540*1,2/(1,4*33,7)=12,56 кН/см² <23 кН/см²
Проверка выполнена.
6. Расчет поясных швов балки.
Верхние поясные швы в подкрановых балках, непосредственно воспринимающие нагрузки от кранов, должны выполняться с проваром на всю толщину стенки. Такие швы равнопрочны материалу балки и расчётом не проверяются.
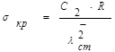
Нижние поясные швы воспринимают сдвигающее усилие и их толщина должна быть не менее:

где Sn – статический момент нижнего пояса относительно оси Х1

Sn=26*1,6*(160/2+1,6/2+5,491)=3589,7 см3
βш =1,1; βс. =1,15 – коэффициенты, учитывающие глубину проплавления шва для автоматической сварки в лодочку [2 табл.53];
,
– расчетные сопротивления сварного соединения угловыми швами по границе сплавления и по материалу шва (для сварки в углекислом газе проволокой Св-08Г2С), принимаемые по [1, табл.3];
принимаем min значение
кН/см²
kш=549*3589,7/(2*19,7*1157352)=0,047 см
Согласно расчёту и [2, табл.38] при толщине наиболее толстого из свариваемых элементов t=1,6 см принимаем большее значение kш=0,5 см для автоматической сварки с тавровыми двусторонними угловыми швами.
7. Проверка местной устойчивости стенки подкрановой балки.
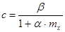
Устойчивость стенки балки должна быть обеспечена при любом напряжённом состоянии, т.е. условная гибкость стенки:

– условие не выполняется, следовательно, стенку балки необходимо укреплять парными поперечными рёбрами жёсткости.
Рёбра ставятся на равных расстояниях по длине всей балки. Расстояние между рёбрами не должно превышать amax=2*hcт=2*160=320 см, т.к. λст>3,2.
В стенке, укреплённой только поперечными рёбрами, ширина каждого из парных симметричных рёбер жёсткости должна быть не менее:
и не менее 90мм,
bp=1600/30+40=93 мм, по [4 прил.2] принимаем bp=100 мм.
Толщина рёбра должна быть не менее
![]()
По [4 прил.2] принимаем tp=7 мм.
Проверка устойчивости стенки балки расчетом не требуется, если при наличии местных напряжений
соблюдается неравенство:

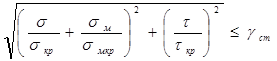
т.к. неравенство не соблюдается, то проверка устойчивости стенки балки должна производиться с учетом всех компонентов напряженного состояния.
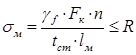
Устойчивость стенки балки несимметричного сечения проверяется по формуле:
,
где γст =0,9 – коэффициент для подкрановых балок
σ, τ, σм – нормальные, касательные, местные напряжения в рассчитываемом отсеке стенки от внешней нагрузки;
σкр, τкр, σкр – критические напряжения для отсека стенки.
Краевое сжимающее напряжение σ у расчетной границы отсека:
![]()
где z1 =hcт/2+tn-z=80+1,6-5,491=76,12 см
Мср , Qср – средние значения изгибающего момента и перерезывающей силы в пределах отсека.
Т.к. длина отсека a превосходит высоту hст , то σ и τ вычисляются по средним значениям момента Мср и перерезывающей силы Qср для наиболее напряженного участка отсека длиной, равной расчетной высоте отсека hст .
Средний изгибающий момент отсека:
![]()
![]()
где α=1,05 – коэффициент, учитывающий собственный вес подкрановой балки, принимаемый по [4, табл. 2.1]
Σyi – сумма ординат линии влияния
– коэффициент динамичности [3 п.4.9],
M1=0,95*1,1*0,85*1,05*540*(5,245+6,755)*4,4/12*1,1=243800 кНсм
M2=0,95*1,1*0,85*1,05*540*(5,245+6,755)*5,244/12*1,1=290500431970 кНсм
M3=0,95*1,1*0,85*1,05*504*2*5,245/21,1=290600 кНсм
Мср=(243800+290500+290600)/3=275000 кНсм
![]()
Среднее значение перерезывающей силы в пределах рассчитываемого отсека определяется по эпюре перерезывающих сил (см. рис.) по формуле:
![]()
где Q1 – перерезывающая сила в пределах отсека, вычисленная только от действия подвижной крановой нагрузки Fк ;
аi – участок эпюры с постоянными ординатами в пределах отсека;
ар =160 cм – расчетная ширина отсека стенки или участие отсека, равного hст .
Qcp=(540*84,5+0*75,5)*1,04/160=297 кН

Местные напряжения σм определены в пункте 5: σм=12,56 кН/см²
Касательные напряжения:

При отношении размеров отсека
потеря устойчивости стенки балки асимметричного сечения может произойти как по одной, так и по двум полуволнам, поэтому проверка производится дважды:
I случай. Предполагая, что потеря устойчивости стенки происходит по одной полуволне, нормальные критические напряжения находятся по формуле:

где С2 = 37,825 – коэффициент, принимаемый по [4 табл.2.4]
hb – расстояние от нейтральной оси до верхней границы отсека
hb=Z1-tn=76,12-1,6=74,52 см
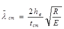
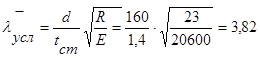
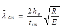
– условная гибкость стенки балки асимметричного сечения:


![]()
σкр=84,7*23/3,56²=153,7 кН/см²
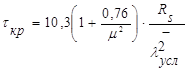
Касательные критические напряжения:

где Rs =13,26 кН/см²
μ=1,875 – отношение большей сторон отсека a=300 cм к меньшей d=hст =160 см
– условная гибкость стенки по размеру d

τкр=10,3*(1+0,76/1,875²)*13,26/3,82²=11,38 кН/см²
Критические местные напряжения:

где С1 – коэффициент, принимаемый для сварных балок по [4, табл.2.3] в зависимости от степени упругого защемления стенки в поясах δ

где β – коэффициент, зависящий от условий работы сжатого пояса. При крановых рельсах, прикрепленных к поясу болтам, β=2.
δ=2*40*(1,6/1,4)³/160=0,75
Принимаем С1 = 41,8
– условная гибкость стенки по размеру а:

σмкр=41,8*23/7,16²=18,75 кН/см²
II
случай.
Предполагая, что потеря устойчивости стенки балки происходит по двум полуволнам, местные критические напряжения определяем по формуле 
с подстановкой а/2 вместо а в [4, табл.2.3] и формулу
:

Принимаем С1 = 17
σмкр=17*23/3,58²=30,51 кН/см²

где С2 = 30 – коэффициент, принимаемый по [4 табл.2.4]
hb – расстояние от нейтральной оси до верхней границы отсека
hb=Z1-tn=76,12-1,6=74,52 см
– условная гибкость стенки балки асимметричного сечения:


σкр=30*23/3,56²=54,44 кН/см²
Устойчивость стенки для полной длины волны:
0,81<0,9 – условие выполняется.
Устойчивость стенки для полуволны:
, 0,78<0,9 –условие выполняется
8. Расчет опорного ребра подкрановой балки
Опорные ребра балок обеспечивают устойчивость стенки, воспринимают опорную реакцию и через сварные швы передают её на стенку балки.
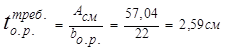
Ширина торцевого опорного ребра:
см
где bp=10 см – ширина промежуточного ребра жёсткости
По [1 пр.14 табл.5] принимаем bo.p.=22 см
Площадь поперечного сечения опорного ребра:

где F=2065 кН – опорная реакция подкрановой балки, численно равная Qmax
Rсм.т =Run/γm=38/1,05=36,2 кН/см² – расчётное сопротивление на смятие торцевой поверхности [2 табл.1].
Асм=2065/36,2=57,04 см²
Требуемая толщина ребра:

По [1 пр.14 табл.5] принимаем to.p.=2,8 см
Из условия устойчивости ребра, его толщина должна быть не менее:

to.p.=2,8 см>0,74 см – условие выполнено.
Т.к. опорное ребро выступает за крайнее волокно нижнего пояса на 20 мм и эта величина не превышает значение 1,5 to.p=1,5*28=42 мм, следовательно, выступающая часть не будет подвержена смятию.
Площадь поперечного сечения опорного стержня:

Ао.с.=22*2,8+0,65*1,4²*√(20600/23)=99,73 см²
Проверка устойчивости:
![]()
где φ=0,926 – коэффициент продольного изгиба опорного стержня с гибкостью λ определяется [2 табл.72]

где Jо.с – момент инерции сечения опорного стержня относительно оси Z

σ=2065/(0,926*99,73)=22,36 кН/см² <23 кН/см² – условие выполняется.
Сбор нагрузок на поперечную раму.
1. Постоянные нагрузки.
· Погонная нагрузка на ригель рамы
![]()
где gфер =0,2 кН/м2 – вес несущих и ограждающих конструкций фермы [5 табл.1]
gплит =1,7 кН/м2 – вес железобетонных плит покрытия ПР.116-15 [5 табл.1]
gкров = 1,0 кН/м2 – вес конструкций кровли [5 табл.1]
В=12м – шаг поперечных рам
Γf =1,05 [3 табл.1], γf =1,1 [3 табл.1], γf =1,3 [3 п.3.7] – коэффициенты надёжности по соответствующим нагрузкам.
qn=(0,2*1,05+1,7*1,1+1,0*1,3)*12=40,56 кН/м
· Вес стенового ограждения
![]()
![]()
где
– осреднённый нормативный вес 1м2
стенового и оконного ограждения [5 табл.1]
γf =1,1 – коэффициент надежности по нагрузке [3 табл.1]
hст.верх.. = 9,26 м – высота стены
hст.низ.. = 11,84 м – высота стены
Gст.верх.=1,1*0,6*12*9,26=55,56 кН
Gст.низ.=1,1*0,6*12*11,84=109,5 кН
· Вес колонны
![]()
![]()
![]()
где
– вес колонны [5 табл.1]
γf =1,05 – коэффициент надежности по нагрузке [3 табл.1]

Gk=1,05*0,4*12*34/2=85,7 кН
Gк.верх.=0,2*85,7=17,14 кН
Gк.низ.= 0,8*188,1=68,56 кН
· Вес подкрановых балок
![]()
где
- нормативная распределённая нагрузка от веса подкрановой балки [5 табл.1]
γf =1,05 [3 табл.1]
Gп.б.=1,05*0,3*12*34/2=64,26 кН
2. Временные нагрузки.
· Снеговая нагрузка
При расчёте рамы снеговую нагрузку равномерно распределённой по длине ригеля.
![]()
где γf = 1,4 – коэффициент надёжности по снеговой нагрузке [3 п.5.7]
Sо = 0,5 кН/м² – нормативное значение веса снегового покрова на 1 м2 горизонтальной поверхности земли [3 табл.4]
μ = 1 – коэффициент перехода от веса снегового покрова земли к снеговой нагрузке на покрытие [3 прил.3]
qсн=1,4*0,5*1*12=8,4 кН/м
· Ветровая нагрузка
Действие ветра на сооружение вызывает давление с наветренной стороны и отсос с противоположной. Величина расчётного ветрового давления различна по высоте и учитывается введением в расчётные формулы коэффициента ki [3 п.6.5 табл.6]
![]()
где γf = 1,4 – коэффициент надёжности по ветровым нагрузкам [3 п.6.11]
w0 = 0,38 кН/м² – нормативное значение ветрового давления [3 п.6.4]
qB10=1,4*0,38*1*12=6,384 кН/м
qB17=1,4*0,38*1,175*12=7,50 кН/м
qB21,0=1,4*0,38*1,260*12=8,04 кН/м

Для упрощения расчёта поперечника ветровую распределённую нагрузку, действующую на колонну заменяем равномерно распределённой нагрузкой на всю расчётную высоту колонны. Рассчитаем с некоторым приближением это эквивалентное распределённое давление:
![]()
![]()
Эквивалентное ветровое давление распределяется на активное и пассивное согласно аэродинамическим коэффициентам С.
![]()
![]()
Сосредоточенное ветровое давление в пределах высоты фермы и парапета:
![]()
где hn=4,1 м – высота парапета
W=0,5*(7,5+8,04)*4,1=31,86 кН
Wa=0,8W=0,8*31,86=25,49 kH
Wp=0,6W=0,6*31,86=19,12 kH
· Нагрузка от мостовых кранов
Поперечные рамы воспринимают вертикальные (Dmax и Dmin ) (от веса кранов с грузом) и поперечную горизонтальную (Т) (от торможения тележки крана с грузом) крановые нагрузки.
При расчёте однопролётных рам крановую нагрузку учитываем от одновременного действия двух кранов. Крановую нагрузку от вертикального давления и поперечного торможения на раму определяют в результате невыгоднейшего загружения линии влияния опорного давления.
Наибольшее вертикальное давление кранов:
![]()
Наименьшее вертикальное давление кранов:
![]()
где γf = 1,1 [3 п.4.8]
ψ – коэффициент сочетаний [3 п.4.17]
Σyi – сумма ординат линии влияния
![]()
где Q=50 т – грузоподъемность крана
Qк =900 кН – вес крана с тележкой
no=2 – число колес с одной стороны крана
![]()
Dmax=1,1*0,85*540*(0,4367+0,8742+1+0,5625)=1451 kH
Dmin=1,1*0,85*155*(0,4367+0,8742+1+0,5625)=416,5 kH

Нормативное горизонтальное давление колеса крана (от торможения тележки) на крановый рельс:
![]()
– нормативное горизонтальное давление колеса крана (от торможения тележки) на крановый рельс:
![]()
Gт =700 кН – вес тележки крана
![]()
T=1,1*0,85*16,75*2,8734=45 kH
Статический расчет поперечной рамы.
Поперечная рама является трижды статически неопределимой системой, распределение внутренних усилий в которой зависит от соотношения жестокостей отдельных её элементов. Поэтому для статического расчёта необходимо знать ориентировочные значения моментов инерции.
· Момент инерции ригеля:

где q – расчётная нагрузка на 1 п.м. ригеля от постоянной и снеговой нагрузок;
q=40,56+8,4=48,96 кН/м
Jp=0,055*48,96*34²*4,1/230000=0,0568 м4
· Момент инерции сечения нижней части колонны:

где N – нормальная сила в нижней части колонны от постоянной нагрузки и снега;
k1 = 3,0 при шаге рам 12 м
m – высота сечения нижней части колонны
;
![]()
Jниз=(398,3+2*1451)*0,8²/(3*230000)=0,00306 м4
· Момент инерции сечения верхней части колонны:

где: е = 0,5 м – высота сечения верхней части колонны
Jверх=(0,77*0,00306)/(0,8/0,5)²=0,0009207 м4
После расчётов на ЭВМ, результаты заносим в таблицу «Расчётные усилия в колонне металлической рамы».
Расчет и конструирование колонны.
1. Подбор сечения нижней части колонны.
![]()
где R=23 кН/см2 – расчетное сопротивление материала колонны.
ex – эксцентриситет продольной силы
![]()
Расчетные усилия:
M =-1068,98 кНм
N =-2398,15 кН
ех=1068,98/2398,15=0,45 м
![]()
Определим расчётные длины подкрановой и надкрановой частей колонны с постоянным моментом инерции в плоскости рамы.
· Нижний (подкрановый) участок колонны:
![]()
· Верхний (надкрановый) участок колонны:
![]()
где μ1 и μ2 – коэффициенты расчетных длин
При соблюдении условий:
и
допускается принимать μ1=2, μ2=3.
l1 =h-a=17-5,13=11,87 м
l2 =a =5,13 см
F1 и F2 – расчетные продольные силы в нижнем и верхнем сечении колонны, отвечающие наиболее невыгодной комбинации загружения рамы.
F1= -2398,15 kH
F2= -858,96 kH
5,13/11,87=0,43<0,6
2398,15/85896=2,79<3
Условия не выполняются.
n = J 2 * L 1 / J 1 * L 2
α1 = L2 /L1 * √J1 /J2 *β , где
J1 , J2 – соответственно моменты инерции нижнего и верхнего участков колонны
β = ( F 1 + F 2) / F 2 , где
F1 , F2 – соответственно расчётные продольные силы в нижнем и верхнем сечениях колонны, отвечающие наиболее невыгодной комбинации загружения рам.
β = (905,02+2398,15)/2398,15=1,38
n = 0,0009207*11,87/0,00306/5,13=0,696
α1 = 5,13/11,87 * √0,00306/0,0009207/1,38 =0,671
ПРИНИМАЕМ μ1 = 1,77 μ2 = 2,64
Lp 1 = 1,77*11,83= 20,94 (м)
Lр2 = 2,64*5,13 = 13,54 (м)
Компонуем сечение, учитывая:
· ![]()
· tп max=40 мм
· tст ≤ tп ≤3 tст – из условия свариваемости
· tст=8 – 16 мм
· из условия обеспечения местной устойчивости поясов
· ![]()
Согласно [1 прил.14 табл.5] принимаем:
hст =80 см
tст =1,0 см
bп =40см
tп =2,8 см
· hст /tст =80/1=80 – условие выполняется
· bп /tп =40/2,8=14,29<29,93– условие выполняется
· bп /(h-a)=40/(1700-513)=0,034>0,33– условие выполняется
Находим геометрические характеристики принятого сечения:
· ![]()
· 
· ![]()
· ![]()
· ![]()
· 
– гибкость стержня колонны в плоскости
– гибкость стержня колонны из плоскости
λy <150 – распорку в центре колонны ставить не надо
- условная гибкость в плоскости рамы
2. Проверка устойчивости нижней части колонны в плоскости
действия момента.
![]()
где gс = 1 – коэффициент условий работы [2 табл.6]
jвн
– коэффициент, определяется в зависимости от значений приведённого относительного эксцентриситета m1
x
и условной гибкости
, [2 табл.74]
![]()
где ![]()
η– коэффициент влияния формы сечения [2, табл.73]
![]()
η=(0,5+0,1*1,27)+0,02*(5-1,27)*1,87=1,32
m1X=1,32*1,27=1,67
jвн =0,447
σ=2398,15/(0,447*304)=17,66 кН/см² <23 кН/см² – условие выполняется.
3. Проверка устойчивости нижней части колонны из плоскости
действия момента.
,
где jу =0,435 – коэффициент продольного изгиба [2 табл.72]
с – коэффициент, определяемый в зависимости от:

где
– максимальный по абсолютной величине момент в средней трети расчётной длины нижней части колонны:
![]()
M3-3=-505,99 кНм
M4-4=1068,99 кНм
mx=543,99*304/(10665*2398,15)=0,647
При mx<5 ![]()
где α=0,7 [2 табл.10]
β=
[2 табл.10]
c=1,158/(1+0,7*0,647)=0,797
σ=2398,15/(0,797*0,438*304)=22,72 кН/см² <23 кН/см² – условие выполняется.
4. Проверка устойчивости полок и стенки колонны принятого
сечения.
Устойчивость полок колонны обеспечивается если:

– условие выполняется.
Для проверки местной устойчивости стенки находим:
![]()

![]()
α=(17,91+2,13)/17,91=1,12
![]()
где τ– среднее касательное напряжение в стенке

Q50,64 кН – перерезывающая сила в расчетном сечении, численно равная алгебраической сумме распоров Н при неблагоприятном сочетании нагрузок.
τ=50,94/(80*1)=0,637 кН/см²
β=1,4*(2*1,12-1)*0,637/17,91=0,0617

hст /tст <115,97
80/1<115,97– проверка выполнена
Ребра жесткости необходимы, если соблюдается условие:

– условие выполняется.
Ширина ребра:
![]()
bp=800/30+40=66,7 мм
Принимаем bp=20 см [1 прил.14 табл.5]
Толщина ребра:
;

Принимаем tp=1,4 мм [1 прил.14 табл.5]
Шаг ребер жесткости: S = (2,5…3)hст .
Размеры сечения надкрановой части колонны принимаем конструктивно по нижней части колонны.
Расчет базы колонны.
1. Определение размеров опорной плиты и базы в плане.
Ширина опорной плиты базы:
![]()
где bn =40 см – ширина полки колонны
tтр =1,4 см – толщина траверсы [4 стр.21]
a = 4 см – выступ плиты за траверсой [4 стр.21]
В=40+2*1,4+2*4=50,8 см
Принимаем В = 50см [1 прил. 14 табл. 5]
Длина опорной плиты:

где N и М – расчетные усилия
N=-2398,15 kH, M=1068,98 kHм
– расчётное сопротивление бетона фундамента на сжатие
Для бетона класса В15 Rpc =88,5 кгс/см2 =0,885 кН/см²
γ=³√2 – как для отдельно стоящего фундамента.
Rb=0,885*2=1,77 кН/см²

Минимальная длина плиты базы из конструктивных соображений равна:
![]()
где m = 80см – высота сечения подкрановой части колонны
с1 = 25см – минимальная длина консольного выступа плиты
Zmin=80+2*25+2*2,8=135,6 см
Длину плиты принимают не менее Z и не менее Zmin, она должна быть кратной единому модулю 100 мм.
Принимаем Z = 1400 см
2. Толщина плиты базы.
Конструкцию базы нужно проектировать с учетом необходимого подкрепления опорной плиты траверсами, рёбрами и создания упоров для анкерных болтов:
Траверсы принимаем длиной:
![]()
Принимаем lтр=32 см
Вычисляем фактические напряжения под плитой базы:
![]()
![]()
![]()

Принимая напряжения под плитой равномерно распределённым и равным наибольшему в пределах этого участка, определяем изгибающие моменты в каждом участке плиты:
· участок 1
Пластина, опертая по 3-м сторонам.
b1/d1=9,3/40=0,23<0,5 следовательно расчетный момент определяют как для консоли.

· участок 2
Пластина, опертая по 4-м сторонам
![]()
где a = 0,125 – коэффициент, определяемый в зависимости от отношения большего размера пластинки к меньшему [1, табл. 8.6].
М2=0,125*0,853*16,5²=29,03 кНсм
· участок 3
Пластина, опертая по 3-м сторонам.
b3/d3=39,2/25,6=1,53
![]()
где β=0,127 – коэффициент, определяемый в зависимости от отношения закреплённой стороны пластинки bi к свободной di , [1, табл. 8.7].
М3=0,127*0,551*25,6²=46,22 кНсм
· участок 4
Пластина, опертая по 3-м сторонам.
b4/d4=26/25,7=1,01 => β=0,112
М4=0,112*0,689*26²=52,2 кНсм
· участок 5
Пластина, опертая по 3-м сторонам.
b5/d5=26/25,8=1,52 => β=0,127
М5=0,127*0,443*25,8²=37,5 кНсм
По наибольшему моменту определяем толщину плиты базы:
Mmax=52,2 кНсм


Принимаем tпл=4 см [1 прил.14 табл.5].
3. Расчет траверс базы колонны.
Определяем высоту траверс:
· из условия прочности угловых швов, соединяющих траверсу с полкой колонны:

где с = 27,2 см – величина консольного выступа плиты за пояс колонны
=18 кН/см2
– расчётное сопротивление сварного углового шва
[1 табл. 5.1] (автоматическая сварка под флюсом проволокой Св-08А)
gс = 1 – коэффициент условий работы конструкции
βz = 1,1 – коэффициент глубины проплавления угловых швов при автоматической сварке [1 табл.5.3]
=1– коэффициент условий работы шва
kш = 0,7 см – катет шва, принимаемый по [1 табл.5.4],
.
· из условия прочности траверсы на изгиб:

где М – изгибающий момент, действующий в сечении одной траверсы
![]()
М=0,25*53*27,2²*(0,941+0,689)=15979кНсм
· из условия прочности траверсы на срез:

Rs=13,26 кН/см² – расчетное сопротивление стали на срез (сдвиг) [2 табл.1]
hтр=0,5*53*27,2*0,5* (0,941+0,689)/(1,4*13,26)=31,6 см
Высоту траверсы принимаем по большему из трёх размеров в соответствии с [1 прил.14 табл.5]: hтр =56 см
Высота траверсы не должна превышать допустимой расчётной длины шва:
![]()
lш=56 см<74,8=85*1,1*0,8 – условие выполняется
4. Расчёт анкерных болтов.
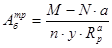
Требуемую площадь анкерных болтов определяем из предположения, что растягивающая сила Z, соответствующая растянутой зоне эпюры напряжений, полностью воспринимается анкерными болтами.
![]()
![]()
Требуемая площадь сечения одного болта:
![]()
где М=-91309 кНсм, N=393,76 кН – изгибающий момент и продольная сила в сечении
n =4 – количество анкерных болтов с одной стороны базы
= 18,5 кН/см2
– расчётное сопротивление анкерных болтов из стали 09Г2С растяжению для класса 4.6 [2 табл.60]
а = 44,3см
yб = 104,3 см
![]()
Согласно расчёту и [6 табл. II.1.2] принимаем по 2 анкерных болта Ø64 мм на каждую ось.
Крепление плиты базы к фундаменту анкерными болтами осуществляется при помощи неравнобоких уголков, связывающих отдельные полутраверсы в единую систему. Толщину уголков принимают в пределах 14…16 мм, ширину горизонтальной полки уголка определяют:
bуг≥е+1,5 da +tуг
где е = 80 мм - приближение к траверсе [6, табл.II.1.2]
tуг =14 мм – принятая толщина уголка
da =64 мм – принятый диаметр анкерного болта
bуг=80+1,5*64+14=190 мм
Принимаем уголок 200´125´14 мм [1 прил.14 табл.5]
Расчет и конструирование стропильных ферм.
Определения расчётных усилий в стержнях производим в табличной форме.
1. Подбор сечения стержней фермы.
Сечения сжатых стержней назначаем исходя из требуемой площади и радиусов инерции сечения:
,
где
– коэффициент продольного изгиба центрально-сжатого элемента, принимаемый в зависимости от принятой гибкости и расчетного сопротивления стали R, [1, табл. 72];
– принятая гибкость стержня (
=50…80 - для поясов и
=100…130 - для решетки).
В соответствии с требуемой площадью сечения и радиусами сечения по сортаменту [1 прил.14, табл.3 или 4] подбираем требуемое сечение элемента фермы.
Сечения растянутых стержней назначаем исходя из требуемой площади сечения:
.
Необходимо произвести проверки принятых сечений:
· по прочности и устойчивости стержней ферм:
,
где
– для сжатых стержней,
– для растянутых стержней;
· гибкости стержней ферм
,
где:
- предельная гибкость сжатых или растянутых элементов
[2 табл.19 и 20];
· соблюдение конструктивных требований: минимально допустимый размер уголка 50´50 мм;
· условие экономии металла: необходимо стремиться к тому, чтобы окончательно подобранное сечение элемента фермы имело параметры, близкие к предельным.
2. Расчёт нижнего опорного узла.
· Нагрузки на узел.
Опорное давление фермы Fф определяем как сумму усилий в надкрановой части колонны от постоянной и снеговой нагрузок [сечение 2–2, табл.1].
Fф = 905,02 кН.
Максимальная величина распора Н= Mф / hф =-58.04/2.8=20.73 кН [табл. 2]
· Размеры опорной фасонки.
Толщину опорной фасонки принимаем равной толщине узловых фасонок фермы. Ширину и высоту опорной фасонки назначаем в зависимости от необходимых длин швов, прикрепляющих уголки раскоса и нижнего пояса к опорной фасонке.
– по обушку:

где b – размер стороны уголка;
zо – расстояние от обушка до ц.т.;
– принимается для полуавтоматической сварки по [1 табл.5.3].
Для уголка 200х16 (D1)
,
Для уголка 180х12 (U1)
,
– по перу:
,
Для уголка 200х16 (D1)
,
Для уголка 180х12 (U1)
.
Швы крепления фланца к фасонке воспринимают опорную реакцию фермы Fф и внецентренно приложенную (относительно центра шва) силу Н. Под действием этих усилий угловые швы между фланцем и фасонкой работают на срез в двух направлениях.
Проверка прочности соединений по металлу шва для наиболее нагруженной точки:
,
где:
;
,
;
,
;
,
–
условие выполняется.
· Опорный фланец.
Площадь торца определяется из условия смятия:
;
,
где
,
- толщина опорного фланца tфл = 1,8 см.
- ширина опорного фланца bфл = 16 см.
- высота опорного фланца hфл = 50,2 см.
Опорный фланец крепить к полке колонны на болтах грубой или нормальной точности (отверстия д.б. на 3-4 мм больше диаметра болтов, чтобы на болты не передавалась опорная реакция фермы в случае неплотного опирания фланца на опорный столик).
Сварные швы, приваривающие опорный столик к колонне:
,
где 1,2 – коэффициент, учитывающий неплотное опирание фланца на опорный столик.
;
.
- толщина опорного столика tоп = 3,5 см.
- ширина опорного столика bоп = 20,0 см.
- высота опорного столика hоп = 46 см.
3 . .Расчёт монтажного стыка полуферм.
Горизонтальные полки поясных уголков перекрывают сверху гнутой листовой накладкой. Площадь сечения определять по усилию Nн , приходящемуся на обушки поясных уголков.
,
где b – ширина вертикальной полки;
zо – положение ц.т. поясного уголка;
Nn – расчётное значение в верхнем поясе.
.
Ширину поясной накладки bн принимаем конструктивно из условия размещения сварных швов:
;
,
где с – свес накладки над уголком для размещения шва;
dф – толщина фасонки фермы,
,
Принимаем:
.
Длина поясной накладки определяем длиной швов lш1 прикрепляющих полунакладку к полкам поясных уголков:
,
где
.
Остальная часть усилий в поясе N2 передаётся через швы ш2 и ш3 на полуфасонки.
;
,
;
.
Для восприятия вертикальных составляющих усилий в верхнем поясе назначаем 4 шва ш4
длиной
с минимально необходимым катетом:
;
,
Принимаем
:
.
Полуфасонки соединяются двухсторонними накладками на фасонку длиной
, шириной 18 см и толщиной, равной толщине фасонок,
.
Катет шва, прикрепляющего накладку к полуфасонке, определяется из условия равнопрочности:
;
,
Принимаем:
.
Условие прочности конькового узла:
,
где
;
– усилия в сечении 2–2;
F2-2 – площадь сечения;
W2-2 – минимальный момент сопротивления относительно оси, проходящей через ц.т. сечения,
–
условие выполняется. [18%]
Список литературы
1. Металлические конструкции /под ред. Е.И.Беленя – 6-е изд.- М.: Стройиздат, 1986.-560 с.
2. СНиП II-23-81. Строительные нормы и правила. Нормы проектирования. Стальные конструкции. – М.: Стройиздат, 1982.
3. СНиП 2.01.07-85 Строительные нормы и правила. Нормы проектирования. Нагрузка и воздействия. - М.: Стройиздат.
4. Определение основных размеров поперечной рамы цеха. Расчёт подкрановой балки./ Методические указания к курсовому проекту по металлическим конструкциям /Сост. Ю.А.Лось – Омск, 1987.
5. Методические указания к курсовому проекту по металлическим конструкциям / Расчёт и конструирование стропильных ферм / Сост. Ивасюк И.М. – Омск – 1987.
6. Методические указания к курсовому проекту по металлическим конструкциям / Расчёт поперечной рамы цеха / Сост. Кононова Р.М. – Омск – 1987.
7. Методические указания по курсовому проекту металлические конструкции одноэтажного производственного здания /Таблицы усилий в элементах ферм от единичных нагрузок /Сост. Ю.А. Лось – Омск, 1977.