| Скачать .docx |
Курсовая работа: Курсовая работа: Конструирование и расчет основных несущих конструкций
Министерство образования РФ
Вятский Государственный Университет
Инженерно-строительный факультет
Кафедра строительных конструкций
Несущие деревянные конструкции c соединениями на нагельных коннекторах
Пояснительная записка
Курсовой проект по дисциплине
«Конструкции из дерева и пластмасс»
ТПЖА.0200.139
Разработал студент ________________ / Усов И.Н. /
(подпись)
Руководитель ________________ / Исупов С.А. /
(подпись)
Проект защищен с оценкой «________» «___» _____ 2004 г.
Киров, 2004
Вятский государственный университет
Инженерно-строительный факультет
Кафедра строительных конструкций
Задание
на курсовой проект по дисциплине «Конструкции из дерева и пластмасс»
ТЕМА: Конструирование и расчет основных несущих конструкций
однопролетного одноэтажного промышленного здания из дерева
Студент: Усов И.Н. группы С-55
Пролет здания, м................................................................................... 17
Шаг несущих конструкций, м................................................................. 6
Длина здания, м..................................................................................... 42
Высота колонны, м.................................................................................. 4
Условия эксплуатации................................. AI, AII, согласно [1, табл. 1]
Район строительства......................................................... г. Н. Новгород
Характеристика конструкций:
1. Плита покрытия:
· Ширина плиты покрытия.................................................... 1.600 м
· Нижняя обшивка – фанерные листы....................................... 8 мм
· Пароизоляция – полиэтиленовая пленка
· Утеплитель................................. URSA (g = 100 кг/м3 , d = 100 мм)
· Каркас – деревянный с продольными ребрами составного сечения, с соединениями
на нагельных пластинах, с диаметром нагелей....................... 6 мм
· Обрешетка ......................................... доска необрезная, d = 25 мм
· Кровля............................. 3 слоя рубероида на битумной мастике
2. Стропильная ферма треугольного очертания с соотношением высоты к длине как 1:6.
· Верхний пояс – деревянный, составного сечения, с соединениями на нагельных пластинах, с диаметром нагелей........................... 6 мм
· Нижний пояс................ металлический, из треугольного профиля
· Стойки......................................................... деревянные брусчатые
· Раскосы...................................... металлические, круглого сечения
3. Колонна составного сечения, с соединениями на нагельных пластинах,
с диаметром нагелей................................................................. 6 мм
Дата выдачи задания:________________________________________
Дата сдачи курсового проекта:_________________________________
Руководитель: _________________________________________ / Исупов С.А. /
(подпись)
Задание принял: ________________________________________ / Усов И.Н. /
(подпись)
РЕФЕРАТ
Усов И.Н. Конструкции из дерева и пластмасс: ТПЖА.02.00.139 ПЗ: Курс. Проект / ВятГУ, каф. Строительных конструкций; рук. С.А. Исупов. Несущие деревянные конструкции с соединениями на нагельных коннекторах – Киров, 2004 г., Гр.ч. 1 л. Ф. А1; ПЗ – 30 с., 8 табл.,12 рис., 6 источников.
Объект исследования и разработки – конструирование и расчет основных несущих конструкций однопролетного одноэтажного промышленного здания.
СОДЕРЖАНИЕ
1. Компоновка основных несущих конструкций. 5
2. Проектирование плиты покрытия. 6
2.2. Конструктивный расчет продольного ребра. 7
3. Проектирование стропильной фермы.. 10
3.2. Статический расчет фермы.. 11
3.3. Конструктивный расчет верхнего пояса. 11
3.4. Расчет нижнего пояса фермы.. 14
3.5. Расчет элементов раскосной решетки. 15
3.6. Расчет и конструирование узлов фермы.. 15
3.6.2. Промежуточный узел фермы по верхнему поясу. 17
3.6.3. Коньковый узел фермы.. 19
3.6.4. Промежуточный узел по нижнему поясу. 20
4. Проектирование колонны.. 21
4.2. Определение изгибающих моментов в колоннах. 22
4.2.1. Расчетные сочетания нагрузок. 22
4.2.2. Конструктивные параметры колонны.. 22
4.5. Конструктивный расчет колонны.. 24
4.5.1. Расчет колонны при сочетании нагрузок 1а (центральное сжатие)24
4.5.2. Расчет колонны при втором сочетании нагрузок (сжатие с изгибом)25
4.5.3. Расстановка нагельных пластин. 26
4.6. Проектирование базы колонны.. 27
4.6.1. Конструктивный расчет анкерных болтов. 27
4.6.2. Конструктивный расчет башмака колонны.. 28
4.6.3. Прочность контактных сопряжений по обрезу фундамента. 29
ВВЕДЕНИЕ
Целью курсового проекта служит получение навыков в конструировании и расчете основных несущих конструкций однопролетного одноэтажного промышленного здания, материалом которых является дерево.
1. Компоновка основных несущих конструкций
Рис. 1. Компоновочные параметры здания
2. Проектирование плиты покрытия
2.1. Сбор нагрузок
Расчет плиты сводится к расчету продольных ребер, совместно воспринимающих всю приложенную к плите нагрузку. Сбор нагрузок осуществляется по предварительно принятым, ориентировочным размерам элементов каркаса и средств соединения. Предварительно принята ширина продольных и поперечных ребер b=12.5 см, высота продольных ребер h1 =12.5 см – нижний брус, h2 =12.5 см – верхний брус, высота поперечных ребер h3 =12.5 см.
Таблица 1. Сбор нагрузок на плиту покрытия
| Вид нагрузки | Нагрузка | ||
| Нормативная, kH | ?f | Расчетная, kH | |
| Нижняя обшивка - фанера, 8 мм | 0.030 | 1.1 | 0.033 |
| Утеплитель 100 кг/м3, 100 мм | 0.096 | 1.3 | 0.125 |
| Обрешетка доска необрезная, 25 мм | 0.125 | 1.1 | 0.138 |
| Продольные ребра 100х175 | 0.167 | 1.1 | 0.184 |
| Нагельные пластины Ст6Г6к | 0.005 | 1.1 | 0.006 |
| Кровля: 3 слоя рубероида | 0.021 | 1.1 | 0.023 |
| Итого постоянные: | 0.444 | - | 0.508 |
| Снеговая нагрузка | 1.680 | 2.400 | |
| ИТОГО: | 2.124 | 2.908 | |
Погонная нагрузка на каждое продольное ребро каркаса, при ширине плиты bп =160 см:
- нормативная:
;
- расчетная:
![]()
Максимальный изгибающий момент:
- нормативный:
;
- расчетный:
![]()
2.2. Конструктивный расчет продольного ребра
Материал – сосна 2-го сорта. Определение требуемых геометрических характеристик сечения. Момент сопротивления, из условия обеспечения прочности нормальных сечений по первому предельному состоянию [1]:
![]()
Rи = 1,3 кН/см2 – расчетное сопротивление древесины 2-го сорта изгибу по [1, табл. 3];
Момент инерции, из условия обеспечения достаточной жесткости ребра как изгибаемого элемента по второму предельному состоянию:
, где
kf =9.6 – коэффициент, зависящий от вида нагружения и граничных условий;
Ен = 105 кН/см2 – модуль упругости древесины для 2-го предельного состояния [1, п. 3.5];
fдоп = L / 250 = 598 / 250 = 2.392 cм – допустимый прогиб для плит покрытия [1, табл. 16];
Принимаем размеры поперечного сечения ребра из двух составляющих элементов:

Количество связей сдвига на полудлине продольного ребра:
![]()
kт = 1 – коэффициент неравномерности распределения сдвигающих усилий между связями сдвига при изгибе распределенной нагрузкой и расстановке связей сдвига с переменным шагом;
Tc =Тн *nн =1.4*6=8.4 кН – несущая способность нагельной пластины;
Тн =1.4 кН – несущая способность одного нагеля;
nн =6 – количество нагелей на нагельной пластине Ст6Г6к.
Принимаем количество связей на полудлине: nc =8. Общее количество связей по всей длине продольного ребра: nк =2nc +1=17.
Дополнительная связь устанавливаются в середине пролета для закрепления поперечного ребра и для уменьшения напряжений в верхнем элементе продольного ребра от местного изгиба.
Поверочный расчет принятых конструктивных параметров:
Напряжение в стержне целого сечения:
;
Сдвигающая сила на полудлине стержня:
;
Прогиб целого стержня (без учета сдвигов)
;
Суммарная жесткость средств соединения:
kc = nc Tc / dc = 8 ∙ 8.4 / 0.1 =672.0 кН/см;
Деформативность средств соединения (при nc = 8):
;
Взаимное смещение элементов (при kc = 0):
;
Смещение элементов в составном стержне (при nc = 8):
;
Параметр mw 1 (для определения kw 1 ):
;
Параметр mw 2 (для определения kw 2 ):
;
Коэффициент влияния податливости:
;
Параметр mj (для определения коэффициента kj ):
;
Коэффициент влияния податливости связей:
;
Первое предельное состояние (прочность нормальных сечений):
![]()
gn = 0.95 – коэффициент надежности по назначению для II класса надежности [2, прил. 7*];
Первое предельное состояние (прочность средств соединения):
![]()
Второе предельное состояние (прогиб продольного ребра панели):
![]()
Определение расчетных координат связей сдвига:
, где
к+1 – порядковый номер связи; к = 0…7.
Определение расстояния между связями:
![]()
Расстояние от торца составляющих элементов до первого нагельного коннектора (к = 0) принимается равным: S=9d=5.400 м.
Координаты связей сдвига и расстояния между ними показаны в табл. 2 и на рисунке 2, в.
Таблица 2. Координаты связей сдвига и расстояние между ними
| Порядковый номер связи, k | 1 | 2 | 3 | 4 | 5 | 6 | 7 | 8 | 9 |
| Координаты связей сдвига, X | 0.000 | 23.856 | 48.098 | 73.170 | 99.667 | 128.511 | 161.428 | 202.805 | 299.000 |
| Расстояние, S | 5.400 | 23.856 | 24.241 | 25.072 | 26.497 | 28.844 | 32.917 | 41.377 | 96.195 |
Определение напряжения в сжатой (верхней) зоне верхнего элемента продольного ребра (h2 =12.5 см) от местного изгиба на пролете между нагельными пластинами: S8-9 =96.195 см:
![]()
Суммарные напряжения в верхнем поясе:
![]()
Прочность и жесткость продольного ребра с принятыми размерами поперечного сечения и общим количеством связей сдвига на полудлине одной плоскости соединения обеспечены.
а) каркас плиты покрытия
б) узел сопряжения продольного и поперечного ребер каркаса
в) продольное ребро каркаса
Рис. 2. Плита покрытия ПП
3. Проектирование стропильной фермы
Согласно заданию – ферма треугольной формы с расчетным пролетом: Lо
=16.800 м,
со стрелой подъема: f = 2.950 м.

Рис. 3. Геометрическая схема фермы
3.1. Сбор нагрузок
Согласно [2], статический расчет стропильной фермы принятой геометрии производится на действие постоянных и снеговой нагрузок (приложенной по всему пролету и на его половине).
Таблица 3. Сбор нагрузок на стропильную ферму
| Вид нагрузки | Нагрузка, кН/м2 | Погонная нагрузка, кН/м | ||||
| Нормативная | ?f | Расчетная | Нормативная | Расчетная | ||
| Покрытие | 0.444 | 0.508 | 2.664 | 3.046 | ||
| Собственный вес фермы | 0.094 | 1.1 | 0.104 | 0.566 | 0.622 | |
| Итого постоянные: | 0.538 | - | 0.611 | 3.230 | 3.668 | |
| Снеговая нагрузка | 1.680 | 2.400 | 10.080 | 14.400 | ||
| ИТОГО: | 2.218 | 3.011 | 13.310 | 18.068 | ||
При определении погонной нагрузки учитывается, что шаг несущих конструкций Lк =6.000 м.
Собственный вес фермы: ![]()
kj = 2,5 – коэффициент «собственного веса» фермы, зависящий от типа конструкции.
Коэффициент надежности по нагрузке: γf = 1.6, т.к. g/p = 0.092 / 1.648=0.056 < 0.8 [2, п.5.7]

Рис. 4. Расчетная схема фермы
3.2. Статический расчет фермы
Таблица 4. Статический расчет стропильной фермы
| Стержень | От единичной нагрузки 1 кН/м | Постоянная нагрузка, q=3.368 kН |
Снеговая нагрузка, q=14.400 kH |
Расчётное усилие | |||||
| Слева | Справа | Пролёт | Слева | Справа | Пролёт | ||||
| 1 | 2 | 3 | 4 | 5 | 6 | 7 | 8 | 9 | |
| Верхний пояс | 1-2 | -13.93 | -6.630 | -20.56 | -75.411 | -200.592 | -95.472 | -296.064 | -371.475 |
| 2-4 | -13.93 | -6.630 | -20.56 | -75.411 | -200.592 | -95.472 | -296.064 | -371.475 | |
| 4-6 | -6.63 | -13.930 | -20.56 | -75.411 | -95.472 | -200.592 | -296.064 | -371.475 | |
| 6-7 | -6.63 | -13.930 | -20.56 | -75.411 | -95.472 | -200.592 | -296.064 | -371.475 | |
| Нижний пояс | 1-3 | 12.58 | 6.300 | 18.88 | 69.249 | 181.152 | 90.720 | 271.872 | 341.121 |
| 3-5 | 6.30 | 6.310 | 12.61 | 46.251 | 90.720 | 90.864 | 181.584 | 227.835 | |
| 5-7 | 6.30 | 12.580 | 18.88 | 69.249 | 90.720 | 181.152 | 271.872 | 341.121 | |
| Раскосы | 2-3 | -4.20 | 0.000 | -4.20 | -15.405 | -60.480 | 0.000 | -60.480 | -75.885 |
| 5-6 | 0.00 | -4.200 | -4.20 | -15.405 | 0.000 | -60.480 | -60.480 | -75.885 | |
| 3-4 | 7.55 | -0.010 | 7.54 | 27.655 | 108.720 | -0.144 | 108.576 | 136.231 | |
| 4-5 | -0.01 | 7.550 | 7.54 | 27.655 | -0.144 | 108.720 | 108.576 | 136.231 | |
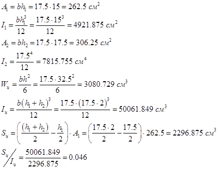
3 .3. Конструктивный расчет верхнего пояса

Рис. 5. Расчетная схема верхнего пояса
Предварительные геометрические размеры поперечного сечения составляющих элементов и сечения в целом:

Механические характеристики древесины: сосна 2-го сорта; Rс = Rи = 1.5 кН/см2 ;Е=450 кН/см2
Характеристики средств соединения: нагельные пластины Ст9Г6к; d = 6 мм; nн = 9; Тн = 1.4 кН; Тс = Тн d = 1.4 ∙ 9 =12.6 кН; dс = 0.1 см; Dс = 0.2 см.
Продольная сила: N=371.475kН; Максимальный изгибающий момент от поперечной нагрузки:

Для уменьшения величины изгибающего момента используется эксцентричное сопряжение панелей верхнего пояса в узлах фермы через жесткие торцевые диафрагмы. Минимально допустимая высота диафрагмы определяется из расчета опорного торца панели на смятие:
![]()
Продольная сила передается торцам нижнего и верхнего составляющих элементов – брусьев – для снижения общего количества связей сдвига вследствие восприятия части сдвигающих усилий по плоскости сплачивания торцевыми диафрагмами. При таком загружении появляется эксцентриситет:
![]()
x = 0.6 – коэффициент деформационных приращений изгибающих моментов.
Высота опорной диафрагмы:
![]()
По конструктивным требованиям:
![]()
Расчетная высота диафрагмы принята: hт = 19.0 см. Геометрический размер диафрагмы 19.5 см, с учетом зазора между брусьями, равный толщине нагельной пластины: tн.п. =0.5 см.
Определение момента, образуемого за счет эксцентричного сжатия панели верхнего пояса:
![]()
Суммарная сдвигающая сила на полудлине плоскости соединения панели верхнего пояса как стержня целого сечения:
от поперечной нагрузки:
![]()
от изгибающего момента Ме с учетом нагружения через диафрагмы:
![]()
Расчетное количество связей сдвига, необходимое для восприятия сдвигающих сил на полудлине стержня (с учетом их деформационных приращений):
![]()
Количество связей сдвига, подлежащих установке (с учетом работы опорных диафрагм, перекрывающих плоскость сплачивания):

kд q =0.833 – коэфф. работы опорных диафрагм при изгибе под распределенными нагрузками.
Поверочный расчет принятых конструктивных параметров:
Напряжение сжатия в составных элементах:
;
Жесткость средств соединения на полудлине:
;
Деформативность соединения по шву:
;
Взаимное смещение элементов (при nc = 0):
;
Взаимное смещение элементов (при nc = 15):
;
Параметр mwi (для определения коэффициента kwi ):
;
Коэффициент влияния податливости:
;
Параметр m1 (для определения коэффициента k1 ):
;
Коэффициент влияния податливости:
;
Радиус инерции поперечного сечения:
;
Гибкость стержня составного сечения:
;
Критическая сила:
;
Коэффициент деформационных приращений:
;
Изгибающий момент:
;
Первое предельное состояние
- прочность нормальных сечений:
![]()
- прочность средств соединения:

Прочность составного стержня по нормальным сечениям и прочность средств соединения обеспечены. Проверку устойчивости плоской формы деформирования панели верхнего пояса производить не нужно, т.к. раскрепление связями в сочетании с продольными ребрами и наклонными элементами плит покрытия рассматривается как «сплошное».
Расчетные координаты связей сдвига на полудлине плоскости сплачивания (nc ’ =15):
![]()
Общее количество связей по всей длине панели верхнего пояса: 2nc ’ +1 =33
Расстояния между нагельными пластинами: ![]()
Расстояние от торцов стержня до первой пластины принимается равным: S1 = 9d = 5.4 см.
Таблица 5. Координаты связей сдвига и расстояние между ними в элементах фермы, см
| Порядковый номер связи, k | 1 | 2 | 3 | 4 | 5 | 6 | 7 | 8 |
| Координаты связей сдвига, X | 0.00 | 8.76 | 17.55 | 26.41 | 35.38 | 44.50 | 53.82 | 63.40 |
| Расстояние, S | 5.40 | 8.76 | 8.79 | 8.86 | 8.97 | 9.12 | 9.32 | 9.58 |
| Порядковый номер связи, k | 9 | 10 | 11 | 12 | 13 | 14 | 15 | 16 |
| Координаты связей сдвига, X | 73.30 | 83.64 | 94.52 | 106.13 | 118.73 | 132.78 | 149.16 | 170.15 |
| Расстояние, S | 9.91 | 10.33 | 10.88 | 11.61 | 12.60 | 14.05 | 16.38 | 20.99 |
3 .4. Расчет нижнего пояса фермы
Нижний пояс фермы выполнен из проката уголкового профиля по ГОСТ 8509–72, сталь марки ВСт3Пс6.1 по ГОСТ 1380 – 71*, согласно [3].Так как разница в величине усилий в отдельных панелях нижнего пояса значительна, усилия определяются в каждом элементе по отдельности.
Элементы 1-3, 5-7. Расчетное усилие N =341.120kН.
Требуемая площадь сечения:
![]()
gn = 0.95 – коэффициент надежности по назначению для II класса надежности [2, прил. 7*];
gс = 0.95 – коэффициент условий работы [3].
Ry = 23.5 кН/см2 – расчетное сопротивление стали по пределу текучести [3];
Принимаем два уголка 75х7:

Элементы 3-5. Расчетное усилие N =227.835kН.
Требуемая площадь сечения:
![]()
Принимаем два уголка 70х5:

3.5. Расчет элементов раскосной решетки
Элементы 2-3, 5-6. Расчетное усилие N=75.885 кН. Используются деревянные элементы с поперечным сечением: b х h =7.5 х 17.5 см. Размер h = 17.5 см принят из условия равности ширине сечения верхнего пояса фермы для упрощения узловых сопряжений. Размер в плоскости b = 7.5 см принят из условия размещения болтов d = 12 мм для закрепления стойки к панели верхнего пояса ферм, при этом: b ³ 2 S3 = 2 ∙ 2.5d = 6.0 cм. Материал – сосна 3-го сорта.
Rс = 1.0 кН/см2 – расчетное сопротивление сжатию [1, табл. 3].
При отсутствии изгибающих моментов, определяющим является расчет на устойчивость.
Определение гибкости элемента (в плоскости фермы):
![]()
lo =139.15 см – геометрическая высота элементов 2-3, 5-6.
imin =40.169 см – радиус инерции по меньшей стороне элемента. Коэффициент продольного изгиба:
![]()
Расчет устойчивости элемента принятого сечения:
![]()
Элементы 3-4,4-5. Расчетное усилие N=136231.41 Н. В связи с большой величиной усилий растяжения эти элементы целесообразно изготавливать из двух арматурных стержней класса A-I. Требуемая площадь поперечного сечения:
![]()
gn = 0.95 – коэффициент надежности по назначению для II класса надежности [2, прил. 7*];
Rs = 36.5 кН/см2 – расчетное сопротивление растяжению для арматуры A-I по [3, табл. 22*];
gс = 0.85 – коэффициент неравномерности распределения усилий между отдельными, совместно работающими, гибкими элементами (арматурными стержнями) по[3].
Принимаем 2 стержня арматуры класса A-III Æ14 с As =5.090 см2 > Атр =4.171 см2 .
3.6. Расчет и конструирование узлов фермы
3.6.1. Опорный узел
Конструированию и расчету подлежат: опорная торцевая диафрагма, опорная пластина, ребра жесткости, сварные швы.
Опорная торцевая диафрагма
Ширина опорной торцевой диафрагмы равна ширине верхнего пояса: bд =bn =17.5 см, высота диафрагмы: hд = 19 см, (расчетная высота диафрагмы: hд =19 см, см. выше, в расчете верхнего пояса фермы).
Толщина торцевой диафрагмы определяется из расчета отдельных ее участков на поперечный изгиб под действием равномерно распределенной нагрузки, величина которой на единичную ширину пластинки численно равна контактным напряжениям сжатия в верхнем поясе фермы:
![]()
Максимальный изгибающий момент на единичную полосу торцевой диафрагмы, как пластинки, опертой по трем сторонам, с соотношением размеров bд /aд =4.000, при котором численный коэфициент b = 0.133:
![]()
Требуемая толщина торцевой диафрагмы:


Рис. 6. Опорный узел фермы
Опорная пластина
Размеры опорной пластины в плане определяются из следующих геометрических и конструктивных представлений:
ширина пластины bп (размер из плоскости) принимается с учетом необходимости фланцевых выступов (за габариты верхнего пояса) при размещении крепежных (по отношению колонне) болтов. Задавшись диаметром этих болтов d = 20 мм и, учитывая размеры стандартных шайб: bш = 4d = 8 см, определяется ширина выступов: ba = 4d + 0.5d = 8 +1.0 = 9.0 см и ширина опорной пластины: bn = bn + 2ba = 17.5 + 2 ∙ 9.0 = 35.5 см, длина опорной пластины и размеры ее отдельных участков определяются из геометрических построений с учетом центрирования всех несущих элементов узлового сопряжения и расчетным обеспечением прочности древесины в оголовке колонны при торцевом смятии под действием продольной силы в колонне.
Принята длина опорной пластины: Ln = 15 см.
![]()
– опорная реакция стропильной фермы с учетом карнизов здания. Определение изгибающих моментов для полосы единичной ширины каждой из пластин на отдельных участках:
· участок 1:

· участок 2: изгибающий момент определяется из расчета консоли с расчетным вылетом: lк = 9.0 см.

На третьем участке контактные напряжения существенно меньше по величине и, поэтому, не учитываются при расчете пластины на поперечный изгиб. Необходимая толщина опорной пластины:

Принимаем толщину пластины tп =1.6 см.
Ребра жесткости, фасонки
Определение геометрических размеров и формы боковых накладных фасонок (с учетом положения фиксирующих болтов по отношению к составляющим элементам). Толщина ребер жесткости и фасонок принимается конструктивно: t = 5 мм.
Сварные швы
При принятой толщине фасонок и полок проката углового профиля определяется высота сварных швов: hш = 6 мм. Определение длинны сварных швов: соединение уголков нижнего пояса при усилии: N =341.121 кН:

Соединение ребер жесткости с диафрагмой и опорной пластиной при N =341.121 кН:
![]()
Длинна сварных швов с каждой стороны каждого из ребер жесткости, с одной стороны фасонок:
![]()
3.6.2. Промежуточный узел фермы по верхнему поясу
Расчетные усилия: N = 75.885 кН – для площадки смятия; скатная составляющая (для расчета болтов):Т = Nsina = 75.885* sin18.4330 =23.994kН.
Расчет опорной стойки
Усилия сжатия: N =75.885kН передается на древесину верхнего пояса посредством «торцевого упора» через опорную диафрагму. Угол смятия древесины верхнего пояса: a = 900 –18.4330 =71.567 Расчетное сопротивление древесины смятию:

Rсм
a
= 0.400 кН/см2
– расчетное сопротивление местному смятию под шайбами под углом 90°
к волокнам древесины.
Требуемая площадь смятия: ![]()
Длина площадки смятия (при bсм
= bп
= 17.5 см): ![]()
Принимаем lт = 9.5 см. Толщина опорной диафрагмы принимается по конструктивным соображениям: tт = 5 мм.

Рис. 7. Промежуточный узел фермы по верхнему поясу
Расчет стержневых нагелей
Предварительное значение диаметра стержневых нагелей: d=20 мм. Расчетная несущая способность на один срез нагеля при действия усилия под углом: aс =71.567 (ka =0.6):
по условиям смятия: Тсм = 0.5 bn d ka = 0.5 ∙ 17.5 ∙ 2 ∙ 0.6 = 10.500kН;
- по условия изгиба: ![]()
Требуемое количество нагельных болтов (ns
= 2): ![]()
Принимаем 2Æ20. Для обеспечения необходимой жесткости узла из плоскости фермы используются деревянные накладки сечением 50х15 см, с закреплением их с элементами верхнего пояса с помощью болтов диаметром 20 мм.
3.6.3. Коньковый узел фермы
Конструирование и расчет вкладыша
Толщина диафрагмы: tд = 1 cм, ребер жесткости: tp = 0.5 см.
Расчет центрового болта
Усилие N4-5 = 136.231kН, ns = 2 – число срезов. Требуемый диаметр центрового болта:

Принимаем центровой болт Æ26 мм.
Толщина крайних (рабочих) ребер вкладыша определяется из расчета болтового соединения на смятие под действием равнодействующей усилий:

Толщина крайних ребер вкладыша: tр = 1 см, промежуточных: t = 0.5 см.
Конструирование и расчет фасонок
Толщина фасонок, примыкающих к узлу растянутых раскосов 3-4, 4-5 определяется из расчета на смятие отверстий для центрового болта под действием усилия: N4-5 = 136.231 Н:
![]()

Рис. 8. Коньковый узел фермы
Принята толщина фасонок: tф = 1 см. Ширина фасонок определяется из расчета на растяжение с учетом ослабления отверстием под центровой болт Æ26 мм:
![]()
По конструктивным соображениям (из условия обеспечения требуемых расстояний от болта до краев металлических пластин):

Расчет сварных швов
Длина сварных швов (два шва на каждой фасонке) при соединении арматурных стержней и фасонок элементов раскосной решетки:
![]()
Принята длина каждого из указанных швов: lш = 5.60 cм.
3.6.4. Промежуточный узел по нижнему поясу
Расчет торцевого опирания стойки 2 – 6:
Расчетное усилие: N = 75.885kН. Определение напряжения смятия (при размерах опорной пластины в плане (17.5 х 9.5):
![]()
Для уменьшения изгибающего момента в опорной пластине, с внутренней стороны вводим два уголка, сваренных с опорной пластиной, накладкой и дополнительным ребром жесткости. Ширина свободного, неподкрепленного полками, участка определяется размером:
а = bn – 2by = 17.5 –2*7 = 3.50cм
Принимая одно ребро жесткости получаем, что «глубина» участка b = 5cм:

Требуемая толщина опорной пластины: 
Конструктивно принимаем толщину опорной пластины: tn = 5 мм, толщина дополнительного ребра жесткости: tр = 5 мм.

Рис. 9. Промежуточный узел по нижнему поясу
4. Проектирование колонны
Колонны проектируемого сооружения в статическом плане являются составной частью его рамного поперечника, и, поэтому, усилия в колонне определяются лишь в результате расчета статически неопределимой конструктивной системы.

Рис. 10. Расчетная схема колонны
4.1. Сбор нагрузок
Интенсивность вертикальных нагрузок от массы покрытия конструкций и фермы определяются, используя данные таблицы 3.
Таблица 6. Сбор нагрузок на колонну
| Вид нагрузки | Погонная нагрузка, кН/м | Грузовая ширина, м | Усилия, кН | |||
| Нормативная | Расчетная | Нормативные | ?f | Расчетные | ||
| Собственный вес покрытия | 3.230 | 3.668 | 8.80 | 28.421 | 32.277 | |
| Собственный вес колонны | 0.515 | 1.1 | 0.567 | |||
| Итого постоянные: | 28.936 | 32.843 | ||||
| Снеговая нагрузка | 10.080 | 14.400 | 8.80 | 88.704 | 126.720 | |
| ИТОГО: | 117.640 | 159.563 | ||||
Нормативная масса колонны, длиной: Нк = 400 cм и поперечным сечением: bк hк = 15х15 cм составляет: Gк = 0.515 кН; g = 500 кг/м3 – удельный вес древесины. Грузовая ширина – с учетом карнизных участков покрытия: (17.0 + 0.6)/2 = 8.80 м
Определение ветровой нагрузки по [2, форм. 6]:
wi = gf ωо kci ℓк , где:
gf = 1.4 – коэффициент надежности по ветровой нагрузке [2, п. 6. 11];
ωо = 0.230 кН/м2 – нормативный скоростной напор ветра для г. Н.Новгород по [2, табл. 5, прил. 5];
k = 0.65 – коэффициент, учитывающий изменение ветрового давления по высоте до 5 м;
сi – аэродинамический коэффициент [2, прил. 4];
ℓк = 6.0 м – шаг колонн по заданию.
Таблица 7. Ветровые нагрузки на колонну
| Вид нагрузки | Нормативная интенсивность | Се | К | ?f | Расчетная интенсивность, кН/м | |
| кН/м2 | кН/м | |||||
| Наветренное давление | 0.230 | 0.920 | 0.8 | 0.65 | 1.4 | 0.670 |
| Подветренное давление | 0.230 | 0.920 | 0.6 | 0.65 | 1.4 | 0.502 |
Учитывая приблизительное равенство коэффициентов се1 и се2 по покрытию, влиянием горизонтальных составляющих ветровой нагрузки пренебрегаем.
4.2. Определение изгибающих моментов в колоннах
Нормальная жесткость ригеля EIр принимается бесконечно большой. Определение значений неизвестных усилий, приложенных в направлениях продольной оси ригеля от ветрового давления:
![]()
Максимальный изгибающий момент в опорном сечении колонны от ветрового давления на уровне обреза фундаментов Lк = 350 см:
![]()
4.2.1. Расчетные сочетания нагрузок
Возможные сочетания воздействующих на колонну постоянных и временных нагрузок.
1. Постоянная и одна временная (коэффициент сочетания нагрузок: с = 1.0):
a) постоянная + снеговая:
Nа = Nmax =32.843 + 126.720 = 159.563 кН;
Ма = 0
b) постоянная + ветровая:
Nа =33.513 кН;
Ма = Mmax = 485.576 кН∙см
2. Постоянная + снеговая + ветровая (коэффициент сочетания нагрузок: с = 0.9):
Nа =32.843 + 124.312 ∙ 0.9 = 146.891 кН;
Ма = 485.576 ∙ 0.9 = 437.018 кН∙см
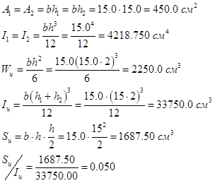
4.2.2. Конструктивные параметры колонны
Проверка принятого сечения. Достаточный радиус инерции поперечного сечения:
, где:
mz = 2 – коэффициент приведения длины в плоскости изгиба;
lпр = 120 – ограничение предельной гибкости сжатых и сжато–изгибаемых элементов.
Требуемая высота поперечного сечения колонны:
![]()
Расчет аналогично из плоскости изгиба, при mу
= 1: ![]()
Требуемая ширина поперечного сечения колонны: ![]()
Принимаем высоту сечения колонны: hк = 30 см, т.е. h1 = h2 = 15 см ширину сечения: bк = 15 см. Геометрические параметры поперечного сечения:

Материал – сосна 2-го сорта; Rс
= Rи
= 1,5 кН/см2
; Е = 450 кН/см2
. Характеристики
средств соединения: нагельные пластины НПСТ12Г6к; d = 6 мм; nн
= 12; Тн
= 1.4 кН; Тс
= Тн
d = 1.4 ∙ 12 = 16.8 кН; dс
= 0.1 см; Dс
= 0.2 см.
Расчетное количество нагельных пластин по длине плоскости соединения элементов:
![]()
принимаем 10 нагельных пластин.
М = Wц Rc – виртуальный изгибающий момент возможный при потере устойчивости колонны.
4.5. Конструктивный расчет колонны
Расчет колонны производится при двух сочтаниях нагрузок: Nmax – Mсоотв сочетание 1а; Мmax – Nсоотв сочетание 2. Из двух вариантов 1б и 2 наиболее опасным является последнее, так как при почти одинаковых изгибающих моментах: 1б – Ма =485.576 кНсм, 2 – Ма =437.018 кНсм, продольная сила в сочетании 2 – Nа = 146.891 кН, существенно выше, чем в сочетании 1б – Nа = 33.513 кН; в результате чего увеличивается и напряжение сжатия и величина расчетного изгибающего момента, определяемого с учетом деформационных приращений.
4.5.1. Расчет колонны при сочетании нагрузок 1а (центральное сжатие)
Расчетные усилия: Na = 159.563 кН; Ма = 0. Напряжение от изгибающего момента при таком варианте загружения существенно меньше напряжения от продольного сжатия:
,
т.е., согласно [1, п. 14.17.5], производится расчет колонны как центрально-сжатого стержня.
Поверочный расчет принятого поперечного сечения составных элементов.
Жесткость принятых средств соединения:
;
Деформативность соединения по шву:
;
Смещение составляющих элементов:
;
Смещение в составном стержне (при nc = 5):
;
Параметр mi (для определения коэф-та ki ):
;
Коэффициент приведения:
;
Гибкость колонны в плоскости изгиба:

Критическая сила (расчет на устойчивость):
![]()
Устойчивость колонны с принятым сечением в плоскости рамного поперечника обеспечена
4.5.2. Расчет колонны при втором сочетании нагрузок (сжатие с изгибом)
Расчетные усилия: Na = 146.891 кН; Ма = 437.018 кНсм2 . Так как продольная сила в колонне формируется постоянными и снеговыми нагрузками, то коэффициент, учитывающий влияние длительной нагруженности на сопротивление сжатию: mн = 1. А изгибающий момент формируется кратковременным ветровым давлением и коэффициент mни = 1.2.
Напряжение сжатия в составляющих элементах:
![]()
Обобщенная жесткость связей сдвига:
![]()
Деформативность связей сдвига принятой жесткости:
![]()
Смещение составляющих элементов в стержне пакете:
![]()
Смещение составляющих элементов в составном стержне:
![]()
Параметр mw :
mw = n – 1 = 2 – 1 = 1
Коэффициент приведения кw

Параметр mw1
mw1 = n2 – 1 = 4 – 1 = 3
Коэффициент приведения кw1 :

Гибкость составного стержня:
![]()
Критическая сила Nкр :
![]()
Коэффициент влияния деформационных приращений:

Деформационный изгибающий момент:
![]()
Первое предельное состояние.
· прочность нормальных сечений:
![]()
· прочность средств соединения

Несущая способность колонны с принятыми конструктивными параметрами обеспечена, имеются запас прочности по нормальным сечениям и прочности средств соединения.
4.5.3. Расстановка нагельных пластин
Расчетные координаты связей сдвига НПСт12Г6: ![]()
Расстояния между нагельными пластинами: ![]()
Расстояние от торцов стержня до первой пластины принимается равным: S1 = 9d = 5.4 cм.
Таблица 8. Координаты связей сдвига и расстояние между ними в элементах фермы
| Порядковый номер связи, k | 1 | 2 | 3 | 4 | 5 | 6 | 7 | 8 | 9 | 10 |
| Координаты связей сдвига, X | 0 | 12.13 | 24.29 | 36.50 | 48.80 | 61.22 | 73.78 | 86.54 | 99.52 | 112.79 |
| Расстояние, S | 9.00 | 12.13 | 12.16 | 12.21 | 12.30 | 12.42 | 12.57 | 12.75 | 12.98 | 13.26 |
4 .6. Проектирование базы колонны
Предпосылки проектирование узла примыкания колонны с фундаментом:
1) сжимающая компонента усилий, возникающих от продольной силы и изгибающего момента с учетом деформационных приращений, воспринимается за счет контактного сопряжения торца колонны и фундамента;
2) растягивающая компонента тех же усилий воспринимается за счет работающих на растяжение анкерных болтов, закрепляемых в колонне посредством металлических башмаков и нагельных болтов.
Параметры напряженного состояния, вызванные действием приложенных силовых факторов определяется по методу эквивалентных сечений, принимая, что равнодействующая растягивающих напряжений от изгибающего момента располагается по координатной линии анкерных болтов, размещенной в растянутой зоне сечения.

Рис. 00. Расчетная схема анкерных болтов
4.6.1. Конструктивный расчет анкерных болтов
Для удобства размещения стеновых панелей, анкерные болты размещаются на боковых плоскостях колонны, со смещением от растянутой кромки сечения на расстояние А. Задавшись диаметром нагельных болтов d = 14 мм, определяется минимально допустимое расстояние а до края колонны: a > S3 = 2,5d = 3.5 см.
В итоге получаются необходимые для расчета геометрические параметры:

Усилие растяжения в анкерных болтах определяется для двух сочетаний нагрузок:
· сочетание 2 постоянная + снеговая + ветровая нагрузки:
N =146.891 кН;М = 437.018 кНсм2 ;
Мдеф = 924.323 кНсм2 ;Kw =0.926
Na = –0.5N + Мдеф / kw e ;
Na = –0.5∙146.891+924.323/(0.928 ∙ 20)= -26.463 кНсм
· сочетание 1б постоянная + ветровая нагрузки:
N =33.513 кН;М = 485.576 кНсм2 ;
Мдеф = М / x = 485.576 / 0.904 = 537.108 кНсм2
Na = –0.5N + Мдеф / kw e ;
Na = –0.5 ∙33.513 + 537.108 / (0.928 ∙ 20)= 10.544 кНсм – N max
Требуемая площадь поперечного сечения анкерных болтов:
![]()
ko = 0.8 – коэффициент влияния концентрации напряжений в сечениях с винтовой нарезкой;
kс = 0.85 – коэффициент условий работы спаренных тяжей.
Принимаем 2 анкерных болта класса AI Æ14 с Aнт = 3.080 см2 > Атр =0.689 см2
4.6.2. Конструктивный расчет башмака колонны
Расчет нагельных болтов
Определение количества болтовых нагелей, необходимых для закрепления металлических накладок к стволу колонны:
, где:
Тб =2.5 ∙ 22 = 10.0;
Na max = 10.544 kH.
Принимаем 2 анкерных болта класса AI Æ14.
Расчет листовых накладок
Требуемая площадь сечения накладок:
![]()
Принимаем накладку bн = 50 мм, толщина накладки tн = 0.5 мм.
Ант = tн [bн – 0.5d - 0.3] = 0.5∙(5 – 2.3) = 1.350 см2
Расчет монтажных столиков
Размеры монтажного столика в плане определяется из условия размещения шайбы под анкерный болт, диаметром 14 мм: а > 4d = 56 мм. Принимаем монтажный столик, размером 80 х 100 мм. Определение напряжения смятия, возникающего по плоскости контакта между шайбами и монтажным столиком по действием анкерных усилий:
![]()
Изгибающий момент для единичной полосы монтажного столика как пластины, подкрепленной по трем сторонам, и соотношением размеров в плане:

Требуемая толщина монтажного столика

Принимаем tсм = 10 мм.
4.6.3. Прочность контактных сопряжений по обрезу фундамента
Максимальные напряжения сжатия по обрезу фундамента:

Фундаменты выполнены из бетона класса В20 с расчетным сопротивлением местному смятию при соотношении площадей фундамента и колонны Аф / Ак = 2:
![]()
Так как расчетное сопротивление бетона меньше расчетного сопротивления древесины продольному сжатию (смятию) Rc = 1.5 кН/см2 , проверка прочности имеет вид:
,
Т.е. прочность контактного сопряжения древесины и бетона по обрезу фундамента обеспечена.
СПИСОК ЛИТЕРАТУРЫ
1. СНиП II-25-80 «Деревянные конструкции» - М.: Стойиздат, 1982.
2. СНиП 2.01.07-85 «Нагрузки и воздействия» - М.: Изд. ЦНИТА, 1985.
3. СНиП II-23-81 «Металлические конструкции» - М.: Стойиздат, 1982.
4. Методические указания к курсовому проекту по конструкциям из дерева и пластмасс «Несущие деревянные конструкции с соединениями на нагельных коннекторах» - Киров: ВГУ, 2000 г.
5. Пособие по проектированию деревянных конструкций к СниП II-25-80 – М.: Стройиздат, 1986.
6. «Конструкции из дерева и пластмасс» - М.: Стройиздат, 1986.