| Скачать .docx |
Курсовая работа: Проектирование толщины утепляющих слоев стены малоэтажного дома
Министерство образования и науки Украины
Харьковский государственный технический университет строительства и архитектуры
Заочный факультет
ТЕКСТУАЛЬНАЯ ЧАСТЬ
к курсовому проекту № 1
Малоэтажный жилой дом
Проектирование толщины утепляющих слоев стены малоэтажного дома
Харьков 2009
ОПРЕДЕЛЕНИЕ УТЕПЛЯЮЩИХ СЛОЕВ НАРУЖНОЙ СТЕНЫ И ЧЕРДАЧНОГО (НАДПОДВАЛЬНОГО) ПЕРЕКРЫТИЯ ДЛЯ ЗИМНИХ УСЛОВИЙ
Знание основ строительной теплотехники необходимо для обоснованного рационального проектирования ограждающих конструкций.
От теплотехнических качеств наружных ограждающих зданий зависят:
а) постоянство температуры и влажности воздуха в помещении в холодное время года и предупреждение понижения температуры ниже требуемой по санитарно-гигиеническим условиям;
б) температура внутренней поверхности ограждения, которая влияет на образование на этой поверхности нежелательного конденсата;
в) влажностный режим наружных ограждений, влияющий на их теплозащитные качества и долговечность здания в целом;
г) количество теплопотерь здания в холодные периоды года, от которых зависит расход энергоресурсов на его отопление.
Наружные ограждающие конструкции в разных географических пунктах подвергаются различным физико-климатическим воздействиям, от которых зависят процессы теплопередачи и изменения влажностного состояния конструкций. Поэтому при определении сопротивления теплопередачи конструкции в расчетах учитывают отрицательные температуры, характерные для данного климатического района, а цель теплотехнических расчетов – обеспечение необходимых тепло- влагозащитных качеств конструкций.
При разности температур наружного воздуха и температуры помещения зданий в зимнее время теплопередача происходит через наружные ограждения здания из помещения к наружному воздуху. При этом потери тепла здания восполняются системами отопления.
Теплообмен может осуществляться в виде теплопроводности, конвекции и излучения. Включающий все виды теплообмена перенос тепла от одной воздушной среды к другой при разной их температуре и давлении через разделяющее их плоское ограждение является теплопередачей.
При переходе тепла через ограждающую конструкцию здания происходит понижение температуры от значения температуры внутреннего воздуха помещения до величины температуры наружного воздуха.
Процесс теплообмена между ограждением и воздушной средой является теплоотдачей, а между воздушной средой и ограждением - тепловосприятием. Выбор расчетных зимних температур наружного воздуха для определения требуемого сопротивления теплопередаче зависит от степени массивности конструкции. Менее массивные конструкции охлаждаются быстрее и наоборот. Процесс охлаждения легких конструкций может завершиться в течение суток.
Степень массивности ограждающих конструкций определяется согласно характеристике тепловой инерции - свойству ограждающих конструкций сохранять или медленно изменять существующее распределение температуры внутри конструкции при колебаниях температуры наружного воздуха. Чем массивнее конструкция, тем меньше будут отражаться на ее внутренней поверхности температурные колебания наружного воздуха. Показатель тепловой инерции зависит от толщины конструктивных слоев, их коэффициента теплопроводности и коэффициента теплоусвоения материала. Одной из основных теплофизических характеристик материала является теплопроводность - способность материала проводить тепло через свою массу. Для строительных материалов она зависит, в основном, от химического состава, структуры, плотности, влажностного и температурного состояния. Степень теплопроводности материала характеризуется его коэффициентом теплопроводности, т. е. количеством тепла, проходящим за один час через 1 м2 однородного ограждения толщиной 1 м при разности температур на его поверхностях, равной 10 С. Коэффициент теплоусвоения материала характеризует его способность и более или менее интенсивно воспринимать тепло при колебаниях температуры на его поверхности. В основу теплотехнического расчета наружных ограждающих конструкций положен принцип, при котором их сопротивление теплопередаче должно быть не менее требуемого сопротивления теплопередачи по санитарно-гигиеническим условиям. Расчет выполняется на основании [8; 11].
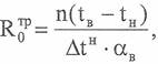
Требуемоесопротивлениетеплопередаче наружных ограждений
R0 тр (м2 ·0 С/Вт),
которое необходимо для обеспечения нормального микроклимата в помещениях по санитарно-гигиеническим условиям зависит, в основном, от климатического района, назначения здания и определяется из выражения:
(1)
где n - коэффициент, принимаемый в зависимости от положения наружной поверхности ограждающих конструкций по отношению к наружному воздуху по [8, табл. 3];
tB - расчетная температура внутреннего воздуха, 0 С, принимаемая в зависимости от назначения помещений и нормам проектирования соответствующих зданий и сооружений;
tH - расчетная зимняя температура наружного воздуха, 0 С, принимаемая согласно [8] с учетом тепловой инерции ограждающих конструкций;
ΔtН - нормативный температурный перепад между температурой внутреннего воздуха и температурой внутренней поверхности ограждающей конструкции, принимается по [11, табл. 2];
αв - коэффициент теплоотдачи внутренней поверхности ограждающих конструкций, принимаемый по [11, табл. 4].
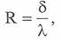
Термическое сопротивление R (м2 ·0 С/Вт) слоя ограждающих конструкций
(2)
где δ - толщина слоя, м;
λ- расчетный коэффициент теплопроводности материала слоя, Вт/м ·0 С, принимаемый по [11, прил. 3].
Сопротивление теплопередаче Ro(м2 ·0 С/Вт) многослойной ограждающей конструкции
(3)
гдеαв – см. формулу (1);
R1 , R2 , Rn – термическое сопротивление слоев ограждающих конструкций, м2 ·0 С/Вт, определяемые по формуле (2);
αн – коэффициент теплопередачи (для зимних условий) наружной поверхности ограждающих конструкций, Вт/м ·0 С, принимаемый по [11, табл. 6].
Расчетная зимняя температура наружного воздуха принимается в зависимости от значения тепловой инерции ограждения
D = R1 S1 +R2 S2 +... + Rn Sn , (4)
где R1 , R2 , Rn - термическое сопротивление слоев ограждающих конструкций, м2 ·0 С/Вт, определяемые по формуле (2);
S1 , S2 , Sn - расчетные коэффициенты теплоусвоения материала слоев ограждающей конструкции, Вт/м ·0 С, принимаемый по [11, прил. 3].
При определении требуемого сопротивления теплопередаче температура наружного воздуха принимается при тепловой инерции D ограждающих конструкций:
-до 1,5 –средняя температура наиболее холодных суток обеспеченностью 0,98;
-свыше 1,5 до 4,0 - средняя температура наиболее холодных суток обеспеченностью 0,92;
-свыше 4 до 7,0 - средняя температура наиболее холодных трех суток обеспеченностью 0,92;
-свыше 7,0 - средняя температура наиболее холодной пятидневки обеспеченностью 0,92.
В тоже время, учитывая необходимость экономии энергоресурсов, Приказом Госкомитета Украины по делам градостроительства и архитектуры 1996 г. было утверждено «Изменение № 1 к СниП П-3-79** «Строительная теплотехника». В 2006 году были выпущены Государственные строительные нормы Украины «Тепловая изоляция строений» (ДБН В.2.6-31:2006 [10]).
По [10] для наружных ограждающих конструкций отапливаемых зданий и сооружений, а также внутренних ограждений, которые разделяют помещения, температура воздуха в которых отличается на 3°С и больше обязательно выполнение условий
(5)
где RΣ пр - суммарное сопротивление теплопередаче непрозрачной ограждающей конструкции, м2 ·К/Вт;
Rq min _ минимальное допустимое значение сопротивления теплопередаче непрозрачной ограждающей конструкции, м2 ·К/Вт.
Минимально допустимые значения сопротивления теплопередаче ограждающей конструкции жилых и общественных зданий Rqmin , м2 ·К/Вт в зависимости от вида ограждающих конструкций и температурной зоны Украины приведены в таблице 1 или таблица 1 [10].
Минимально допустимые значения сопротивления теплопередаче ограждающей конструкции промышленных зданий Rq min , м2 ·К/Вт в зависимости от вида ограждающих конструкций, тепло-влажностного режима и климатической зоны Украины определяется по таблице 2 или таблица 2 [10].
Таблица 1
| №поз. | Вид ограждающей конструкции | Значение Rq min для температурной зоны | |||
| I | II | III | IV | ||
| 1 | Наружные стены | 2,8 | 2,5 | 2,2 | 2,0 |
| 2а* | Покрытия и перекрытия неотапливаемых чердаков |
4,95 | 4,5 | 3,9 | 3,3 |
| 26 | 3,3 | 3,0 | 2,6 | 2,2 | |
| 3 | Перекрытия над проездами и холодными подвалами, которые граничат с холодным воздухом | 3,5 | 3,3 | 3,0 | 2,5 |
| 4 | Перекрытия над неотапливаемыми подвалами, которые расположены выше уровня земли | 2,8 | 2,6 | 2,2 | 2,0 |
| 5а* | Перекрытия над неотапливаемыми подвалами, которые расположены ниже уровня земли | 3,75 | 3,45 | 3,0 | 2,7 |
| 56 | 2,5 | 2,3 | 2,0 | 1,8 | |
Примечание. *Для домов приусадебного типа и домов до 4-х этажей включительно.
Таблица 2
| № поз. | Вид ограждающей конструкции с сухим нормальным режимом эксплуатации зданий |
Значение Rqm jn для температурной зоны | |||
| I | II | III | IV | ||
| 1 | Наружные непрозрачные стены зданий при D > 1,5 при D ≤ 1,5 |
1,5 2,0 |
1,3 1,8 |
1,2 1,7 |
0,7 1,2 |
| 2 | Покрытия и перекрытия зданий при при D > 1,5 при D ≤ 1,5 |
1,6 2,1 |
1,5 2,0 |
1,3 1,8 |
0,9 1,1 |
| 3 | Перекрытия над проездами и подвалами при D > 1,5 при D ≤ 1,5 |
1,8 2,2 |
1,7 2,0 |
1,6 1,9 |
1,4 1,7 |
Допустимая по санитарно-гигиеническим условиям разница между температурой внутреннего воздуха и приведенной температурой внутренней поверхности ограждающих конструкций составляет
(6)
где Δtпр – температурный период между температурой внутри помещения и приведенной температурой внутренней поверхности ограждающей конструкций, °С;
Δtcp – допустимая по санитарно-гигиеническим требованиям разность между температурой воздуха внутри помещения и приведенной температурой внутренней поверхности ограждающей конструкции, 0 С, принимаемая в зависимости от назначения здания и вида ограждающих конструкций по таблице 3 или таблице 3 [10].
Таблица 3
| № поз. | Вид ограждающей конструкции с сухим нормальным режимом эксплуатации зданий |
Значение Rqm jn для температурной зоны | |||
| I | II | III | IV | ||
| 1 | Наружные непрозрачные стены зданий при D > 1,5 при D ≤ 1,5 |
1,5 2,0 |
1,3 1,8 |
1,2 1,7 |
0,7 1,2 |
| 2 | Покрытия и перекрытия зданий при при D > 1,5 при D ≤ 1,5 |
1,6 2,1 |
1,5 2,0 |
1,3 1,8 |
0,9 1,1 |
| 3 | Перекрытия над проездами и подвалами при D > 1,5 при D ≤ 1,5 |
1,8 2,2 |
1,7 2,0 |
1,6 1,9 |
1,4 1,7 |
Определение температурных зон заданного района строительства производится по карте-схеме температурных зон Украины рис. 2.1.
При отсутствии на карте-схеме города строительства температурная зона определяется по количеству градусо-суток (г.-с.) отапливаемого периода по формуле
S = (tB – tо.п. ) · Zо.п
где S– количество градусо-суток отапливаемого периода, определяемое по расчетным данным [8];
tB – расчетная температура внутреннего воздуха для жилых, общественных и административных помещений принимается 20 0 С; для промышленных зданий –18 0 С;
tо.п. – средняя температура относительного периода города строительства, принимаемая при температуре наружного воздуха ≤ 8 0 С [9];
Z о.п. – продолжительность отопительного периода суток [8].
Для стран СНГ расчет теплозащитных качеств наружных ограждений выполняется по СНиП П-3-79** «Строительная теплотехника» [11]. Климатические параметры приведены в СНиП 23-01-99* «Строительная климатология» [9].
ИСХОДНЫЕ ДАННЫЕ
Город – Львов, Львовской области.
Здание – жилой дом.

Рис. 2
Строение наружной несущей стены на рис. 2, где
δ1 – наружная штукатурка - цементно-песчаный раствор, толщиной 0,02 м, γ = 1800 кг/м3 ; λ=0,58 Вт/м0 С.
δ2 – кирпичная кладка из силикатного кирпича на цементно-песчаном растворе [ГОСТ 648-73], толщиной 0,38 м, γ = 1800 кг/м3 ; λ= 0,7 Вт/м0 С.
δ3 – перлитопластобетон [ГУ-480-1-145-74], γ= 200 кг/м; λ= 0,041 Вт/м0 С.
δ4 - внутренняя штукатурка – сложный раствор, толщиной 0,015 м, γ = 1700 кг/м3 ; λ= 0,52 Вт/м0 С.
ОПРЕДЕЛЕНИЕ УТЕПЛЯЮЩИХ СЛОЕВ НАРУЖНОЙ СТЕНЫ ПЕРЕКРЫТИЯ ДЛЯ ЗИМНИХ УСЛОВИЙ
Необходимо:
расчетным путем определить толщину утепляющего слоя наружной стены гражданского здания для зимних условий в соответствии с исходными данными и рис. 2.
Для жилого дома принимаем расчетную температуру воздуха в помещении 200 С. Расчет производим в соответствии с ДБН «Тепловая изоляция» [10].
Расчет:
Для стран СНГ расчет теплозащитных качеств наружных ограждений выполняется по СНиП П-3-79** «Строительная теплотехника» [11]. Климатические параметры приведены в СНиП 23-01-99* «Строительная климатология» [9].
Для определения климатической зоны г. Львова, Львовской области определяем количество градусо-суток отопительного периода
S=(tв – tо . п . ) · Zо . п . = (20 – 0) ·191 = 3580 г.-с. ,
где S– количество градусо-суток отапливаемого периода, определяемое по расчетным данным [9];
tB – расчетная температура внутреннего воздуха для жилых, общественных и административных помещений принимается 20 0 С; для промышленных зданий –18 0 С;
tо.п. =00 С – средняя температура отопительного периода города строительства, принимаемая при температуре наружного воздуха ≤ 8 0 С [9];
Z о.п. – продолжительность отопительного периода суток [9].
tо.п. и Zо.п. температура и продолжительность отопительного периода приняты при средней суточной температуре наружного воздуха ≤ 80 С.
Следовательно, город Львов, Львовской области относится к I климатической зоне (S > 3501 г.-с.,), для которой Rmin = 2.8 м2 ·К/Вт.
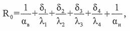
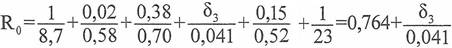
Общее сопротивление теплопередаче стены составляет:

где αв – коэффициент теплопередачи внутренней поверхности стены, принимаемый по таблице 4 [11], равный 8,7 Вт/м2 ·0 С;
δ – толщины слоев стены, м.;
λ – расчетные коэффициенты теплопроводности слоев материала стены в зависимости от материалов, его плотности (кг/м3 ) и условий эксплуатации, зависящих от влажностного режима помещений и зон влажности климатического района (А или Б) принимаемые по таблице 3 [11];
αн - коэффициент теплоотдачи для зимних условий наружной поверхности стены принимаемые по табл. 6 [11], равный 23,0 Вт/м2 ·0 С.
Соответственно
![]()
Сопротивление теплопередачи наружной стены R0 следует принимать не менее нормативного сопротивления теплопередачи Rq min ,
т. е. R0 ≥ Rq min .
Таким образом
R0 = Rq min = 0,764+ / 0,041=2,8 м2 ·0 С /Вт
откуда δ3 = 0,08 м = 8 см.
Следовательно, для обеспечения требуемых санитарно-гигиенических условий в помещении толщина утепляющего слоя из перлитопластобетона должна быть не менее 0,08 м.
СПИСОК ЛИТЕРАТУРЫ
1. Шерешевский И.А. Конструирование гражданских зданий. - Л.: Стройиздат, 1981.-176 с.
2. Шерешевский И.А. Жилые здания. Конструктивные системы и элементы для индустриального строительства-М.: «Архитектура-С», 2005. - 124 с.
3. Лисициан М.В. Пашковский В.Л. Архитектурное проектирование жилых зданий. – М.: Архитектура-С, 2006. – 488с.
4. Архитектура гражданских и промышленных зданий. Том III. Жилые здания. -М.: Стройиздат, 1983. - 239 с.
5. Конструкции гражданских зданий. / Под ред. М.С. Туполева. - М.: Стройиздат, 1968.-240с.
6. Дыховичный Ю.А. Архитектурные конструкции. Книга 1. Архитектурные конструкции малоэтажных жилых зданий. – М.: Архитектура-С, 2006. – 248 с
7. Сербинович П.П. Гражданские здания массового строительства - М.: Стройиздат, 1986.- с.
8. СНиП 2.01.01.82 Строительная климатология и геофизика. Госстрой СССР. -М.: Стройиздат, 1983. - с. 137.
9. СНиП 23-01-99* Строительная климатология. - М. Госстрой России. 2004. - 70 с.
10. ДБН В.2.6-31:2006. Теплова ізоляція будівель. - К. Мін. буд. України, 2006. - 65с.
11. СНиП П-3-79** Строительная теплотехника. Нормы проектирования. - М.: Стройиздат, 1986. - с. 38.
12. Справочник по инженерно-строительному черчению (Рускевич и др.). - К.: Будівельник, 1987. - 264 с.
13. Черкасов Н.А. Архитектура. – К.: Будівельник, 1968. – 498 с.
14. Коваленко Ю.Н., Шевченко В. П. Краткий справочник архитектора (Гражданские здания и сооружения). – К.: Будівельник, 1975. – 704 с.
ДОПОЛНЕНИЕ 1
Спецификация
| Формат | Зона | Поз. | Обозначение | Наименование | Кол. | Примечание |
| План Iэтажа | ||||||
| Двери | ||||||
| Д1 | Дверь входная, 1190х2000 | 2 | ||||
| Д2 | Дверь входная квартирная, 900х2000 | 3 | ||||
| Д3 | Дверь межкомнатная, 870х2175 | 6 | ||||
| Д4 | Дверь в санузел, 670х2175 | 3 | ||||
| Д5 | Дверь балконная, 720х2175 | 4 | ||||
| Окна | ||||||
| О1 | Окно балконное, 870х1460 | 2 | ||||
| О2 | Окно, 1170х1460 | 3 | ||||
| О3 | Окно балконное, 1770х1460 | 2 | ||||
| План IIэтажа | ||||||
| Двери | ||||||
| Д2 | Дверь входная квартирная, 900х2000 | 3 | ||||
| Д3 | Дверь межкомнатная, 870х2175 | 6 | ||||
| Д4 | Дверь в санузел, 670х2175 | 3 | ||||
| Д5 | Дверь балконная, 720х2175 | 4 | ||||
| Окна | ||||||
| О1 | Окно балконное, 870х1460 | 2 | ||||
| О2 | Окно, 1170х1460 | 4 | ||||
| О3 | Окно балконное, 1770х1460 | 2 |