| Скачать .docx |
Курсовая работа: Количественное и качественное исследование
Министерство образования и науки Российской Федерации
Новосибирский государственный технический университет
Факультет Гуманитарного Образования
Кафедра социально – массовых коммуникаций
Курсовая работа
По курсу «Теория и практика связи с общественностью»
«Качественные и количественные методы сбора и анализа информации»
Выполнила:
Чумаченко Д.П.
ФГО, 4 курс
Группа: СО – 61
Руководитель:
Беленко М.П.
Новосибирск, 2009
Содержание:
2.1 Методы исследования в PR.. 6
3. Социологические методы исследования. 10
4. Количественные и качественные методы исследования. 12
4.1Количественные методы исследования. 12
4.2 Качественные методы исследования. 19
5. Программа исследования «Интеллигентность в молодежной среде» (среди студентов НГТУ).25
5.1Актуальность проблемы интеллигентности в молодежной среде.25
5.2 Определение цели и задач исследования. 25
5.3 Интерпретация основных понятий. 26
5.4 Этапы реализации программы исследования «Интеллигентность в молодежной среде». 26
7. Список использованной литературы:31
1.Ведение
Любой проект, кампания в сфере деятельности маркетинга, рекламы, PR начинается с важного этапа – исследование. Любой специалист из выше перечисленных сфер, обязан уметь использовать все методы исследования. Планируя исследования, специалист должен решить следующие задачи: правильно выбрать тип исследования, методы данного типа исследования.
Типами исследования подразделяются на две группы: количественные и качественные. Количественный метод исследования составляет работу с статистическими (числовыми) данными, которые необходимы для анализа, а качественные методы исследований необходим для работы с словесными данными, которые непригодны для статистического анализа.
Основная цель исследования – выявить проблемы, которые необходимо исследовать, при этом использую методы сбора, анализа и восприятия информации, которая будет востребована для данной проблемы.
Цель курсовой работы – написать программу исследования на тему «Интеллигентность в молодежной среде».
Задачи для реализации данной цели:
· Рассмотреть общую характеристику исследования в PR.
· Рассмотреть понятие социологический метод исследования.
· Рассмотреть более подробно количественные и качественные методы исследования.
· Сделать программу исследования на тему «Интеллигентность в молодежной среде» (на примере НГТУ).
Объект исследования: количественные и качественные методы исследования.
Предмет исследования: роль количественного и качественного метода в исследование «Интеллигентность в молодежной среде» (на примере НГТУ).
2. Исследование в PR
«Паблик рилейшнз (Public Relations или PR) - коммуникативная активность, (включая косвенную рекламу), направленная на формирование гармоничных отношений с обществом, обычно открыто оплачиваемая и используемая как дополнение к рекламе, осуществляемая с целью информирования общественности о фирме, ее товарах, завоевания доверия и формирования благоприятного имиджа.»[1]
Деятельность PR рассматривается ввиде формулы RACE (Research — исследования, Action — действие, Communication — общение, Evaluation — оценка) или ее расширенная модель — ROSIE (Research — исследования, Objectives — цели, Strategies — стратегии, Implementation — проведение, Evaluation — оценка).
То есть работу Public Relations можно разделить на несколько взаимосвязанных частей:
· Анализ, исследование и формулирование проблем;
· Подготовка программы действий и бюджет;
· Координация и выполнение программы;
· Контроль за результатами, проведение оценок и внесение возможных изменений.[2]
Цель PR – создать и поддержать взаимопонимание между субъектом и аудиторией.
Взаимопонимание между субъектом и аудиторией можно добиться различными каналами коммуникации. Коммуникационный процесс обеспечивает передачу и понимание информации. Если взаимное понимание не достигается, то коммуникация не состоялась, из чего следует, что обе стороны играют в ней активную роль. Существует четыре базовых элемента коммуникационного процесса:
· Отправитель — лицо, генерирующее идею или собирающее информацию и передающее ее;
· Сообщение - непосредственно информация;
· Канал - средство передачи информации;
· Получатель (адресат) - лицо, которому предназначена информация и которое интерпретирует её.
К числу коммуникативных каналов относятся: газеты, журналы, радио, ТВ, почта, телефон, рекламные плакаты (постеры), рекламные листки, брошюры, буклеты, каталоги, проспекты, компакт-диски, аудиокассеты, Интернет, и др.
Взаимопонимание может быть достигнуто, если точно определить целевую аудиторию, на которую будет направлено сообщение и правильно выбрать канал передачи информации.
Для того чтобы данная цель PR оправдалась и принесла положительные результаты, сначала необходимо провести исследование. Именно исследование является основой для проведения PR- кампании, так как, проведя практический анализ, можно предоставить максимум информации и разработать механизмы детальной оценки достигнутых в ходе PR-кампании результатов.
«Цели исследования Public Relations:
· Сбор базы данных о том, каково отношение различных целевых аудиторий к организации, ее деятельности, товарам и услугам. Это базовое исследование должно включать:
o определение иерархии целевых аудиторий по их важности и значению для организации;
o выяснение, с какими трудностями, связанными с ее деятельностью и производимыми товарами и услугами, может столкнуться организация;
o выделение важных существующих и потенциальных проблем в области PR.
· Оценка изменений отношения людей к организации после проведенной PR-кампании для проверки ее эффективности. Такие изменения могут проявляться в улучшении репутации организации, принятии целевой аудиторией ее точки зрения на происходящие события или просто в повышении продаж товаров и услуг.
· Анализ уже имеющихся данных по различным проблемам с целью выявления скрытых тенденций, точек зрения, мотивов поведения, которые могут оказать серьезное влияние на развитие организации в будущем».[3]
Исследование в PR предоставляет более полную и точную информацию, которая будет необходима PR – специалистам. При этом важен правильный выбор времени и распределение приоритетов на самой ранней стадии планирования, так как по ходу разработки и осуществления PR – кампании некоторые детали и приоритеты могут измениться в зависимости от направления деятельности.
Итак, исследование включает раскрытие проблемы, выявления мнения, точек зрения, установок и поведение определенной группы людей, на которые направлена политика организации и от действий которых зависит работа PR – кампании. Исследование это аналитическая функция, которая имеет значение фундамента, так как от качества фундамента зависит прочность дома, так и в PR от качественного исследования зависит эффективность работы PR – кампании.
2.1 Методы исследования в PR
Существуют основные требования к исследованию PR:
· Исследование должно быть нацелено на определенную аудиторию. Например, опрос всего населения страны по проблеме улучшения инвестиционного климата вряд ли поможет организации выявить мотивы поведения крупных инвесторов, принимающих решения о солидных капиталовложениях;
· Средство исследования должно обеспечить получение информации, соответствующей изучаемой теме. В случае с проблемой привлечения инвестиций идеальным средством исследования мнений инвесторов станет, например, экспертный опрос;
· Результаты исследования не должны использоваться в качестве лишнего доказательства собственного видения проблем в области PR и своего плана PR-кампании. Они являются объективной исследовательской информацией.[4]
Существует несколько методов исследования, которыми пользуются PR – специалисты:
кабинетные исследования, полевые исследования и коммуникационный аудит.
· Кабинетные исследования это исследования, где главной целью является сбор и анализ информации по определенной теме. Информацию можно получить со следующих источников: СМИ, ресурсы Интернет, опубликованные специализированные издания по проблемам PR, PR – исследования и др. Данный метод является менее затратным.
· Полевые исследования это непосредственный контакт с определенной аудиторией. Цель – изучить отношение аудитории к проблемам и выяснения мотивов для решения данных проблем с помощью опросов. На данное исследование необходимо большое финансирование.
Виды опросов:
o Анкетные опросы (респондент самостоятельно заполняет опросный лист);
o Почтовые опросы (распространенный вид анкетного опроса, так как менее затратный, но недостаток – проблема возврата заполненных анкет);
o Личное интервью (тесный контакт с исследуемой аудиторией);
o Телефонное интервью (высокий уровень достоверности информации и наиболее экономичный);
o Интерактивный опрос (опросы, которые широко используются в Интернете и СМИ);
o Экспертный опрос (цель данного опроса - выяснить мнения определенной группы специалистов по интересующей компанию проблеме);
o Ситуационный опрос (данный опрос дает информацию о степени информированности организации: репутация организации, действие организации в глазах общественности. Ситуационный опрос необходим перед проведением PR-кампании и обеспечивают PR-специалисту необходимым уровнем информации для планирования дальнейшей PR-деятельности );
o Проблемный опрос (цель – изучить конкретные проблемы, которые стоят перед организацией, и найти пути их решения);
o Панельный опрос (неоднократное обращение к одной и той же группе опрашиваемых);
o Фокус – группа (эффективный метод исследования. Данное исследование состоит из группового интервью (7-10человек), где выявляется отношение группы к интересующей теме);
· Коммуникационный аудит помогает четко соотнести между собой действия руководства и их цели с методами коммуникации, с помощью которых осуществляется продвижения этих действий и целей. Данный метод необходим для нахождения общего языка между руководством и сотрудниками, для усиления информационных потоков и др.
3. Социологические методы исследования
«Социологическое исследование - исследование социальных объектов, отношений, процессов, направленное на получение новой информации и выявление закономерностей общественной жизни на основе теорий, методов и процедур, принятых в социологии».[5]
Рассматривая социологические исследования в общих чертах, то можно отметить, что существуют два типа таких исследований:
· Описательные (дескриптивные) - это исследования, которые можно сделать моментально в конкретной ситуации. Пример: опрос общественного мнения.
· Проблемные - это исследования, которые необходимы для анализа сложившейся ситуации, то есть найти причины, которые послужили такой ситуации и выявить мнения и приоритеты.
Социологические исследования имеют различные классификации. Например, В. Г. Королько в книге «Основы паблик рилейшенз» подразделяет методы на формальные и неформальные. Формальные методы исследования в свою очередь делятся на качественные и количественные исследования.
Формальные исследования представляют собой, четкое соблюдений исследования процесса, то есть, начиная с постановки цели и задач и заканчивая трактовкой полученных данных (вывод). Такой метод используют для прогнозирования определенной ситуации, действий.
Неформальные методы исследования, по отношению к формальным не имеют точных правил и процедур в процессе исследования. Данный метод используется для описания конкретных ситуаций, действий. Неформальными методами исследования можно считать опыты, эксперименты, наблюдения, которые проходят со стороны, то есть без вторжения в чьи - то дела, действия. Это может быть журналистское расследование, коммуникационный аудит и др.
Существует еще одна классификация, которая разделяет исследования на первичные и вторичные методы.
Первичные (полевые) методы исследования являются поиском, сбором и обработкой данных для конкретного анализа. Проведение опросов в реальных жизненных ситуациях по случайной выборке по подготовленным анкетам или опросным листам.
Вторичные (кабинетные) методы представляют собой сбор и анализ уже существующей исследовательской информации. Используются данные, которые были собраны ранее, но для решения других задач, которые отличаются от задач сформулированные в настоящий момент.
В сфере PR социологические методы исследования часто применяются. Так как с помощью такого вида исследования можно изучить приоритеты, ориентиры, мнения общественности о конкретном мероприятии, действии, ситуации и др.
4. Количественные и качественные методы исследования
4.1Количественные методы исследования
«Количественные методы исследования - (quantitative research techniques) — методы исследования, в которых конечные данные выражаются в цифровой форме».[6]
Основная цель количественных исследований – получить количественную информацию об объектах исследования: покупателей, потребителей, предприятий, организаций и др. Данная информация показывает поведение потребителей, их реакции на определенные мероприятия, акции, товары, услуги и представляется в числовом выражении. Важным является то, что при приобретении необходимой информации, можно изучить мнение людей, то есть провести выборку, а это дает возможность получить объективную и достоверную информацию.
Количественные методы исследования являются инструментом приобретения важной информации для планирования и реализации действий в случае, когда уже определенная гипотеза о поведении потребителей сформулирована с помощью качественного метода исследования.
Особенностью количественного метода то, что исследуемые переменные заранее заданы, и от них в процессе сбора данных невозможно отклониться.
Такой метод исследования используют, когда необходимы точные статистические данные в процентном распределении, графики, таблицы, диаграммы и т.д.
Количественные методы исследования в PR используются для:
· выявления и сегментирования целевой аудитории;
«Сегментирование рынка - разбивка рынка на четкие группы покупателей, для каждой из которых могут потребоваться отдельные товары и/или комплексы маркетинга».[7]
Сегментация рынка основывается:
o географическую сегментацию: деление аудитории на территориально – географические единицы (страны, регионы, области, города и др.);
o демографическую сегментацию: исследование характеристик потребителей по полу, возрасту, семейное положение, религия, раса, национальность;
o поведенческая сегментация: анализ причин совершения покупок, выгода от покупки, интенсивности потребления, готовности к покупке и др.;
o социально – экономическая сегментация: деление аудитории по уровню образования, знаний, доходов;
o психографическая сегментация: деление потребителей в зависимости от социального класса, стиля жизни и личностных характеристик.
· создания конкретной целевой аудитории, с помощью выявления интересов, ценностей, убеждений, стереотипов;
· изучения групповых и массовых аспектов восприятия PR-материалов (проанализировать какой интерес представляет информация для потребителя с точки зрения его мотивации и потребностей);
Существует иерархическая система потребностей человека, составленная американским психологом А. Маслоу (Приложение 1).
· оценки эффективности PR-деятельности в плане влияния на сознание и поведение целевой аудитории, то есть насколько увеличилась осведомленность аудитории о компании или товаре; как изменилось общественное мнение о PR-объекте и т.д.
К количественным методам исследования относятся:
· Анализ документов (контент-анализ)
«Анализ документов - совокупность методических приемов и процедур, применяемых для извлечения из документальных источников социологической информации при изучении социальных процессов и явлений для решения определенных исследовательских задач».[8]
Документы используют в различных сферах жизни. В социологии документы необходимы не только для постановки цели и задач, но и для определения особенностей изучаемого объекта.
Документы по значимости могут делиться на официальные (законы, указы, декларации и т.п.) и на неофициальные (дневники, письма, жалобы и т.п.).
Документы применяют для изложения статистических и вербальных данных. Статистические данные представляют собой статистические (цифровые) отчеты, сборники, материалы, динамику рождаемости, смертности, доход населения и др. Вербальные документы это документы, в которых информация выражается в словесной форме: письма, отзывы, книги и др.
Документы это информация, которая может быть представлена аудитории различными путями: через книги, прессу, рукописи (письменные документы, которые изложены в форме буквенного изображения), через картины, кино - , фотодокументы, видеозаписи (иконографические документы используются для визуальной передачи материалов) и через аудио записи, лазерные диски и др. (фонетические документы направленные на слуховое восприятие).
Документы могут быть созданы как одним автором, так и коллективно, то есть несколькими авторами или группой людей.
Квантитативный (количественный) анализ текста - изучение текста в формализованном виде. Процесс изучения сводится к статистическому измерению содержания текстов или документов. Квантитативный анализ текста нацелен на исследование манифестируемого (актуализированного) значения содержания. Неотъемлемыми характеристиками такого подхода являются фрагментарность, систематичность, объективность, обобщенность. Важнейшим вариантом реализации квантитативного анализа текста выступает методика контент-анализа.[9]
«Контент-анализ (от англ, contens — содержание) — специальный достаточно строгий метод количественного анализа содержания документов в целях выявления или измерения социальных фактов и тенденций, отраженных этими документами. Особенность его состоит в том, что он изучает документы в их социальном контексте».[10]
Данный метод необходим для изучения текстов и документов. Основной задачей контент-анализа является трактовка и обработка статистических данных, то есть перевод текстовой информации в количественные показатели. Такой метод эффективен при анализе материалов средств массовой информации и рекламы:для определения размера публикации — количество слов в тексте; для определения ключевой фигуры статьи — количество и состав действующих персонажей; для определения смысловой направленности публикации — тематика статьи или наличие в тексте определенных слов и т.д.
Данный метод основан на процедуре поиска, определении в содержании изучаемого документа единиц, которые выступают как отдельные слова, термины, имена известных людей и т. п., так и суждения, выраженные в форме предложений, фрагментов текста, аргументов, а также различные виды публикаций: по типу автора, жанру, тематики.
Положительными качествами контент-анализа является, то, что данный метод применяется довольно часто и в различных спектрах. Такой метод используют, когда необходима точность анализа, до ситуаций, когда важные для целей исследования, рассматриваются определенной периодичностью появления в изучаемых документах: что происходит, как часто и при каких обстоятельствах. Такая процедура малозатратная, имеет небольшой объем выборки и данные для исследования доступны.
Отрицательными качествами метода исследования можно отметить – проблема получения достоверной информации из предоставленных материалов, при этом в документах может быть выражен лишь результат, а процесс. Основной недостаток контент-анализа это необъективность информации, которая содержится в изучаемых документах.
Существуют несколько стадий в разработке и применении контент-анализа. Для начала формулируется тема, цель, задачи и гипотеза исследования. Затем определяются категории анализа: общие, ключевые понятия, которые соответствуют поставленным задачам. Такие категории являются вопросами в анкете и указывают, какие ответы должны быть найдены в тексте.
Категории контент-анализа должны охватывать все части содержания, определяемые задачами данного исследования, одни и теже части не должны принадлежать различным категориям.
После определения категории необходимо выбрать единицу анализа – слово, простое предложение, суждение, герой, социальная ситуация, сообщение в целом и др.
Выбрав единицу анализа, устанавливается единица счета. Такая единица может рассматриваться как число строк, площадь в квадратных сантиметрах, минуты, время вещания и др.
Следующим этапом контент-анализа является выбор источника, количество сообщений, даты сообщений и содержание исследуемого.
Основным рабочим документов, который рассматривается, как необходимое условие контент-анализа считается таблица. Тип таблицы определяется этапом исследования. Есть таблица, которая внешне напоминает анкету: каждый вопрос предполагает несколько ответов, которым изучается содержание текста. Для регистрации единиц анализа составляется таблица, которая называется кодировальной матрицей (объем выборки может составлять свыше 100 единиц), исследование осуществляется с помощью компьютера.
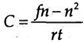
Для подсчета единиц в контент-анализе используется специальная формула коэффициента Яниса. Основная цель данной формулы: вычислить соотношения положительных и отрицательных оценок, суждений, аргументов. (Приложение 2.3)
Существуют и другие способы измерения. Например, суммарный просчет удельного веса каждой единицы наблюдения в общем массиве данных по формуле:
К = число единиц анализа фиксирующих данную категорию/ общее число единиц анализа
Затем следует интерпретация полученных результатов и подготовка выводов по результатам контент-анализа.
· Метод опроса
«Метод опроса (Survey method) — техника, когда исследователь просит людей сообщить о своих представлениях, чувствах или поведении».[11]
Данный метод составляет совокупность вопросов, которые задаются респонденту, ответы которого образуют необходимую информацию для исследования.
Существуют несколько видов опросов:
o Экспертный опрос представляет собой необходимость выяснить мнения определенной группы специалистов мнения по интересующей компании проблеме. Особенность – компетентное участие экспертов в анализе и решение проблем исследования.
o Проблемный опрос ориентирован на изучение конкретной проблемы, поиск путей ее решения в организации.
o Ситуационный опрос необходим для того, чтобы выяснить мнения аудитории по определенной проблеме, которая произошла в конкретный момент времени. В данном опросе анализируется информированность об организации, ее репутация и мнения общественности о данной организации. Чаще все используется перед PR – кампанией, для того, чтобы планировать концепцию PR-деятельности.
o Панельный опрос представляет собой неоднократное обращение к одной и той же группе. Сначала выясняется общее представление группы об конкретной проблеме, затем эту же группы опрашивают об изменении отношения к проблеме в результате проведенной PR-кампании или PR-деятельности.
Основными инструментами опроса являются анкетирование.
Анкетирование (от франц. enquete, буквально — расследование) одно из основных технических средств конкретного социального исследования; применяется в социологических, социально-психологических, экономических, демографических и других исследованиях. В процессе А. каждому лицу из группы, выбранной для А., предлагается ответить письменно на вопросы, поставленные в форме опросного листа — анкеты.[12]
Анкетирование наиболее распространенным методом исследования, так как информация, полученная при опросе респондентов, является достоверной и важнейшим источником о реально существующих социальных фактах и социальной деятельности.
Достоинства анкетирования является возможность опросить в короткие сроки большое количество человек, конкретных слоев населения при этом данный метод малозатратный и универсален.
Недостатками анкетирования рассматриваются в том, что большой процент опрошенных могут ответить неопределенно («не знаю»), что может снизить качество получаемой информации. Так же отсутствие контроля за тем, кто отвечает на анкетные вопросы, является минусом в анкетировании.
В области PR применяется несколько опросных методов:
· Opinionpolls – метод изучения мнения, отношений, установок людей, которые относятся к определенной группе людей в течении длительного времени. Такой метод необходим для измерения отношения людей к какому-либо предмету, степень знакомства, понимание особенностей предметов. Opinionpolls связан с мотивами поведения, установками на те или иные действия.
· Consumerpanel(потребительская панель) – изучение отношения людей, потребителей какого – либо продукта, товара, информация к этому предмету и стадия использования во временном отрезке. По словом «панели» рассматривается специально подобранная группа людей, которые согласны в течение определенного времени отвечать на вопросы, участвовать в обсуждениях, экспериментах и т.д.
4.2 Качественные методы исследования
«Качественные методы исследования – (qualitative research techniques) — исследование, в котором социологи полагаются на свое мастерство включенного интервьюера или наблюдателя для сбора уникальных данных».[13]
Качественные методы чаще всего применяются совместно с количественными методами исследования, так как с помощью использования сразу двух методов исследования можно более точно оценить эффективность PR – деятельности.
В отличие от количественных методов исследования, качественные методы необходимы не для получения статистических данных, а для изучения индивидуального восприятия PR– акции, PR – события, PR – кампании в целом.
Главная цель качественного исследования: сформировать гипотезу и с помощью конкретных методов собрать информацию в свободной форме, при этом, базируясь на понимание и интерпретирование данных. То есть основой качественных методов исследования являются не цифры, а слова (неструктурированные текстовые материалы, содержащие оценочные высказывания людей, их мнения по поводу конкретной тематики, которая связана с PRом).
Проведя анализ и сделав выводы, полученные материалы используют при планировании PR– деятельности. Качественные методы помогают выявить проблему неэффективности PR – деятельности и позволяют на основе исследования определить цель и задачи PR– кампании, с помощью которых можно создать то, что будет интересно необходимой аудитории.
В зависимости от поставленных задач качественного исследования можно выделить следующие методы:
· Наблюдение
«Наблюдение – метод социологического исследования и получения информации путем прямой и непосредственной регистрации событий и условий их протекания».[14]
Процесс наблюдения начинается с формулирование проблемы, описание объекта наблюдения, определение цели и задач. Дальше определяется единица наблюдения, разрабатывается система понятий, интерпретация которых будут описывать результаты наблюдения, происходит отбор из множества наблюдений, подготавливается технические документы для фиксирования поведения наблюдателя (карточки, бланки и др.), записываются результаты наблюдения, анализируются и трактуются данные и в конце, написание отчета и вывода по итогам исследования.
Инструментами с помощью, которых фиксируется наблюдение, может быть различными: бланки, дневники, фото-, видеоаппаратура и др.
Существуют две техники наблюдения: стандартизированная техника (предполагает наличие детально разработанного списка событий, признаков, которые необходимо наблюдать, определение условий и ситуации наблюдения, инструкция для наблюдателей) и не стандартизированная ( определяется лишь общие направления наблюдения, согласно которым результаты фиксируются в свободной форме во время наблюдения или после по памяти.
Применяются различные виды наблюдения:
o Непосредственное (исследователь сам проводит наблюдения, изучая явления и процессы) / Опосредованное (используются готовые результаты наблюдений, которые были подготовлены другими людьми).
o Открытое (наблюдение, которое происходит при присутствии посторонних лиц, при этом цель наблюдения прямо не сообщается)/ Скрытое (наблюдение, через стеклянную стену, которая пропускает свет в одном направлении).
o Включенное (причастное) (наблюдатель вступает как член группы, то есть наблюдает внутри группы)/ Не включенное (непричастное) (наблюдение вне группы).
o Систематическое (сплошное) (регулярное наблюдение в течение определенного периода, которое фиксирует все проявления психической деятельности) / Несистематическое (выборочное) (наблюдается один какой-либо психический процесс).
o Долговременное (наблюдение в течение нескольких лет) / Кратковременное (наблюдение в определенное время суток и времени или наблюдение для замера интервалов времени частности событий и т.д.).
o Казуальное (причинное) (наблюдение за случаем, что бы иметь представление о нем) / Эпизодическое (фиксируются отдельные факты поведения).
o Внешнее (наблюдение со стороны) (сбор данных о поведение человека со стороны) /Внутреннее (самонаблюдение) (наблюдатель наблюдает за собой, за своим поведением, ощущением).
Положительными качествами наблюдения можно выделить доступность, дешевизна средств, не вмешательство в естественные процессы поведения и большой сбор данных.
Отрицательными качествами являются большие затраты времени во время наблюдения, не возможность повторения действий, событий, трудности статистической обработки.
· Фокус-группы
Данный метод представляет собой исследование проблемы, с помощью группы людей, которые отбираются по принадлежности к определенной целевой группе, используя небольшое количество вопросов. Этот метод сложен, так как он направлен на групповое воздействие. Метод фокус – группа длиться не более двух часов и записывается на видео – аудиопленку. Здесь основная функция лежит на ведущего исследования, так как его задачей является дать возможность каждому члену фокус -группы выразить свое мнение.
Целью такого метода исследования является узнать и изучить мотивы поведения людей, выявить их установки и ценности, проанализировать конфликты и разногласия по определенным вопросам, выяснить их причины и последствия.
Как и в других методах, фокус – группа имеет достоинства и недостатки. Достоинствами считается то, что есть возможность свободно вступать в дискуссию, что улучшает качество получаемой информации, возможность получить большое количество информации за короткий срок, нет влияния извне на группу, рассмотрение проблемы с различных точек зрения.
Недостатки такого метода выделяются следующие – зависимость результатов от профессионализма модератора (ведущего), результаты носят ограничительный характер, влияние лидеров группы может повлиять на мнение других участников, сложность подбора времени для всей группы.
· Интервью
Интервью (англ. interview), жанр публицистики, представляющий собой беседу журналиста с одним или несколькими лицами по вопросам, имеющим актуальное общественное значение. Подразделяется на два вида: Интервью-сообщение, преследующее главным образом информационную цель, и Интервью - мнение, комментирующее известные факты и события.[15]
Интервью эта прямой контакт исследователя с респондентом, используя при этом различные виды инструментов, которые могут зафиксировать ответы опрашиваемого. Такой метод не имеет временных рамок и необходим для получения большого объема информации с высокой степенью достоверности.
Существуют различные виды интервью: документальное (анализ прошедших событий, уточнение фактов), свободное (неподготовленная длительная беседа), клиническое (продолжительное интервью, направленное на то, чтобы узнать о внутренних побуждениях респондента), ненаправленное (интервью происходит по желанию самого респондента), нарративное (свободное повествование жизни), групповое (дискуссия среди респондентов), индивидуальное . Но наиболее часто, в качественных методах исследования используют такой вид интервью как глубинное интервью.
Глубинное интервью предполагает обсуждение не только общей темы, но продуманных заранее специальных вопросов. Такое интервью представляет собой неформальную личную беседу, в которой собеседник должен говорить свободно и непринужденно, свободно выражать свои чувства.
Интервью может проводить обученный интервьюер, который должен хорошо разбираться в тематике исследования, владеть психологическими приемам ведения беседы.
Глубинное интервью позволяет более глубже проникнуть в психологию респондента и лучше понять его точку зрения по данной теме.
Положительным в глубинном интервью является возможность нахождения творческих решений проблемы, а отрицательным то, что ответы могут содержать много лишней информации, большие затраты времени направленные на одного респондента.
5. Программа исследования «Интеллигентность в молодежной среде» (среди студентов НГТУ).
5.1Актуальность проблемы интеллигентности в молодежной среде.
В современном мире происходят изменения не только в плане техники, но и в плане культуры. Современная молодежь мало имеет представления о культурных ценностях, об этике, о социальной ответственности.
Как социальная группа молодежь в контексте культурного уровня выступает следующим образом. Молодежь – это социальная возрастная группа молодых людей (иногда до 30 лет), с одной стороны они несут в себе результаты влияние различных факторов, в целом представляют собой сформированные личности, а с другой стороны – их ценности остаются гибкими, подверженными различным влиянием. Жизненный опыт этой группы не богат, представление о морально-этических ценностях часто окончательно не определены.
В наше время молодежь не задумывается над тем, интеллигентна она или нет, если нет, то стремится ли она им быть, востребована ли интеллигентность в наше время. Актуальность этой проблемы рассматривается не только среди молодежи, студентов, но и среди более зрелых людей.
Понятие интеллигентность каждый человек трактует по-разному. Но точного определения дать не может никто. Чтобы быть человеком – интеллигентом надо знать точное понятие. Однако если людей попросить дать определение понятию интеллигентность, то они объясняют его, так как они себе представляют. А из этого следует, что общего понятия интеллигентность для людей нет. В общем можно сказать, что даже не каждый взрослый человек может назвать себя интеллигентом.
5.2 Определение цели и задач исследования
Объект – студенческая молодежь Новосибирского Государственного Технического Университета.
Предмет – интеллигентность студентов.
Цель– выяснить представление понятия «интеллигентность» среди студентов НГТУ.
Задачи:
1. Выяснить восприятие и значение понятия «интеллигентность» для молодежи.
2. Выяснить место интеллигенции в среде молодежи.
3. Определить интересы, досуг студентов НГТУ.
4. Определить, как меняются ценностные ориентации студентов за годы обучения в вузе.
5.3 Интерпретация основных понятий
Студенческая молодежь – это социальная возрастная группа молодых людей (от 16 до 28 лет ), получающая среднее или высшее профессиональное образование.
В советском Энциклопедическом Словаре Интеллигенция (от лат. intelligese - понимающий, мыслящий, разумный) – общественный слой людей, профессионально занимающихся умственным, преимущественно сложным, творческим трудом, развитием и распространением культуры. Интеллигент– человек умственного труда.
5.4 Этапы реализации программы исследования «Интеллигентность в молодежной среде»
1 этап: проведения качественного исследования
Фокус – группа:
1) Цель проведения узнать и изучить мотивы поведения, выявить отношения студентов к современной интеллигентности.
2) Целевая аудитория – студенты НГТУ. 10 человек: с каждого курса по 2 студента – один является лучшим на потоке, другой - отстающий. Такой выбор дает возможность рассмотреть понятие «интеллигентность» с разных точек зрения, по возрастной и умственной категории.
3) Место проведения – Центр культуры НГТУ. В Центре культуры имеются залы, где провести данный вид исследования будет комфортно: удобные сиденья, есть возможность поставить камеру, так что она не будет отвлекать внимание участников, нет помех от внешних шумов и т.д.
4) Длительность исследования 2 часа.
После проведения исследования необходимо собрать, проанализировать полученную информацию. После сформировать и выдвинуть основную гипотезу, связанную с проблемой интеллигентности в молодежной среде НГТУ.
2 этап: количественный метод исследования
Среди студентов НГТУ будет проведен экспертный опрос. Примерное количество опрошенных 1000 человек. Будут задействованы все учебные курсы и факультеты данного вуза.
Методом сбора информации является анкетный опрос (Приложение 4). Анкета, разработанная в соответствии с программой, включает в себя следующие смысловые блоки:
-Социально-демографический
-Проведение досуга
-Отношение к художественной культуре
-Ценностные ориентации
Результаты будут обрабатываться на компьютере.
При анализе результатов будут использоваться следующие методы:
1. Вычисление частот и частностей
2. Ранжирование
3. Вычисление величин средней тенденции.
6. Заключение
В результате проведенной работы можно сделать следующие выводы:
1. В деятельности PR, исследование занимает неотъемлемую часть работы, так как с помощью исследования можно детально как предвидеть будущий ход событий PR – кампаний, так и предоставить результаты работы данной кампании.
2. Социологические исследования, в современном развивающемся мире, применяется во всех сферах деятельности человека. Основная задача социологического исследования изучить отношение, мнение общественности об определенной проблеме.
- Исследования делиться на количественные и качественные. Количественные исследования являются формализованной процедурой, которая дает статистически значимые данные, а качественные это менее формализованные исследования, которые дает детальное понимание изучаемых данных.
4. Проведя программу исследования «Интеллигентность в молодежной среде» (на примере НГТУ) и после обработки и анализа данных необходимо проинтерпретировать и предпринять ряд мер, чтобы привлечь и заинтересовать студентов для развития в себе интеллигентность.
Такими мерами могут быть:
-Статьи в студенческих газетах (Студенческий город, Энергия, Абзац).
-Статья и обсуждение на форуме в студенческой электронной сети на сайте www.hostel.nstu.ru
-Создание буклетов с интерпретацией, что такое интеллигенция и почему она модна в современном мире.
-Проведение клубной вечеринки, посвященной интеллигентной молодежи НГТУ (флаера, дресс – код, розыгрыши бесплатных билетов).
7. Список использованной литературы:
1.Библиотека. Словарь терминов по рекламе, маркетингу, ATL, BTL и PR [Электронный ресурс]
Режим доступа: http://zrmgup.ru/slovarik_po_reklame.php
2.М.А. БЛЮМ, Н.В. МОЛОТКОВА PR-технологии в коммерческой деятельности [Электронный ресурс]
Режим доступа: http://www.studyroom.ru/Uchebniki/u3.htm
3.Цели, методы и виды исследований в Public Relations [Электронный ресурс] Режим доступа: http://stanlykajurov.narod.ru/researchmetod.htm
4.Цели, методы и виды исследований в Public Relations [Электронный ресурс]
Режим доступа: http://stanlykajurov.narod.ru/researchmetod.htm
5.Энциклопедия социологии [Электронный ресурс]
Режим доступа: http://slovari.yandex.ru/dict/gl_social/article/1401/1401_455.HTM
6.Социологический словарь [Электронный ресурс]
Режим доступа: http://slovari-online.ru/word/социологический-словарь/количественные-методы-исследования.htm
7.Словарь по экономике и финансам [Электронный ресурс]
Режим доступа: http://slovari.yandex.ru/dict/glossary/article/10/102_70.HTM
8.Энциклопедия социологии [Электронный ресурс]
Режим доступа: http://slovari.yandex.ru/dict/sociology/article/soc/soc-0037.htm
9.Социологический словарь [Электронный ресурс]
Режим доступа: http://mirslovarei.com/content_soc/KVANTITATIVNYJ-KOLICHESTVENNYJ-ANALIZ-TEKSTA-11320.html
10.Пси-фактор [Электронный ресурс]
Режим доступа: http://psyfactor.org/lib/content-analysis3.htm
11.Национальная психологическая энциклопедия [Электронный ресурс]
Режим доступа: http://vocabulary.ru/dictionary/374/word/%CC%E5%F2%EE%E4+%EE%EF%F0%EE%F1%E0
12. Большая советская энциклопедия [Электронный ресурс]
Режим доступа: http://slovari.yandex.ru/dict/bse/article/00003/31900.htm
13. Социологический словарь [Электронный ресурс]
Режим доступа: http://slovari-online.ru/word/социологический-словарь/качественные-методы-исследования.htm
14. Национальная социологическая энциклопедия [Электронный ресурс]
Режим доступа: http://voluntary.ru/dictionary/570/word/%CD%E0%E1%EB%FE%E4%E5%ED%E8%E5
15.Большая советская энциклопедия [Электронный ресурс]
Режим доступа: http://slovari.yandex.ru/dict/bse/article/00029/84900.htm
16.Книга Настольная энциклопедия Public Relations [Электронный ресурс] Режим доступа: http://tid.com.ua/tid1/addonres.php?id=3207
17.PR – территория прагматиков [электронный ресурс]
Режим доступа: http://www.psmedia.ru/articles/info_articles/pr/
18.Маркетинговые исследования: теория, методология и практика:: Голубков Е.П. [электронный ресурс]
Режим доступа:http://www.big-library.info/?act=read&book=9027&page=1
19.Реклама и PR в малом и среднем бизнесе [электронный ресурс]
Режим доступа: http://www.adbusiness.ru/content/document_r_56F0BCC0-A075-474E-A500-A154F5974420.html
20.Королько В.Г. Основы паблик рилейшнз. М., "Рефл-бук", К.: "Ваклер" - 2000. - 528 с.
8. Приложения
1. 
2.
число положительных оценок превышает число отрицательных

где f — число положительных оценок; n — число отрицательных оценок; r — объем содержания текста, имеющего прямое отношение к изучаемой проблеме; t — общий объем анализируемого текста.
3.
число положительных оценок меньше, чем отрицательных
![]()
где f — число положительных оценок; n — число отрицательных оценок; r — объем содержания текста, имеющего прямое отношение к изучаемой проблеме; t — общий объем анализируемого текста.
4.
АНКЕТА
Уважаемый респондент!
Вам представлена анкета на тему: «Культура студентов». Целью анкеты является выяснить уровень культуры студентов . Вам предлагается ответить на представленные вопросы. Просим Вас принять участие в нашей анкете потому, что нам важно мнение каждого из вас.
Анкета анонимная, то есть свое имя писать не нужно .
Правила заполнения анкеты:
Обведите кружком или подчеркните тот ответ, который вы считаете более совпадает с Вашем мнением. Обведите кружком, подчеркните или впишите ответ в отведенном месте.
Заранее благодарны за работу .
Раздел 1. Несколько слов о себе
1. На каком факультете вы учитесь?_________________________________________________________
2. На каком курсе вы учитесь?______________________________________________________________
3. Ваш пол?
1) мужской
2) женский
4. Вы поступили в институт?
a. сразу после окончания школы, училища, техникума
b. после работы, службы в армии
5. В данный момент Вы получаете:
2) первое высшее образование
3) второе высшее образование
4) иное, поясните _________________________________________________________________
6. Где вы проживаете в настоящее время?
1) имею отдельную квартиру
2) живу с родителями, у родственников
3) снимаю квартиру, комнату
4) живу в общежитии
7. В какой местности Вы проживаете?
1) в крупном городе
2) в небольшом городе
3) в пригороде
4) в сельской местности
8. Ваше семейное положение?
1) холост (незамужем)
2) женат ( замужем)
3) вдовец (вдова)
4) разведен (разведена)
9. Есть ли у Вас дети?
1) да
2) нет
Раздел 2. Как Вы проводите свой досуг
10. Каковы Ваши любимые занятия в свободное время? (можно отметить несколько ответов)
1) посещение театров (оперы, балета, драмы и т.п.)
2) посещение картинных галерей, выставок картин, скульптур, графики, художественной фотографии
3) посещение кино (просмотр кинофильмов по телевидению)
4) посещение спортивных зрелищ
5) посещение танцевальных клубов, дискотек
6) хождение в гости
7) посещение баров, ресторанов
8) азартные игры, посещение казино
9) занятия в спортивных секциях
10) чтение книг, журналов, газет
11) коллекционирование книг, картин, марок, значков и т.п.
12) разведение рыб, птиц, собак
13) ничего неделание, пассивный отдых
14) какие-то еще, укажите________________________________________________________________
______________________________________________________________________________________
11. Если Вы занимаетесь физкультурой и спортом, то в каких формах?
1) делаете зарядку
2) регулярно ходите на лыжах, катаетесь на коньках, совершаете пешие прогулки и т.п.
3) участвуете в соревнованиях
4) занимаетесь в спортивной секции
5) занимаетесь туризмом, альпинизмом
6) не занимаетесь ни физкультурой, ни спортом
12. Как часто Вы употребляете спиртные напитки?
1) редко (по праздникам, особым случаям)
2) примерно 1-2 раза в месяц
3) примерно 1 раз в неделю
4) 2-3 раза в неделю и чаще
5) ежедневно или почти каждый день
6) не употребляю совсем
13. С кем Вы обычно употребляете спиртные напитки?
1) с друзьями
2) с товарищами по учебе
3) с родными
4) с любимым человеком
5) в одиночку
14. Как часто вы встречаетесь со своими друзьями?
1) постоянно, каждый день в институте
2) постоянно, каждый день после занятий
3) постоянно, каждый день на занятиях и после них
4) довольно регулярно – несколько раз в неделю
5) довольно регулярно по выходным дням
6) редко, по праздникам, дням рождения и т.д.
7) редко, от случая к случаю
15. Где Вы чаще всего встречаетесь с друзьями?
1) у себя дома
2) дома у друзей
3) в кафе, баре, на дискотеке
4) в институте
5) на улице, во дворе
6) в театре, кино, на концертах
7) на спортивных мероприятиях
8) где-то в другом месте. Напишите, где _________________________________________________ __________________________________________________________________________________
Раздел 3. Ваша культурная информированность
16. Сколько книг художественной литературы Вы прочитываете за месяц?
1) регулярно свыше 10 книг
2) регулярно более 5 книг
3) регулярно более 2 книг
4) регулярно 1-2 книги
5) нерегулярно 1-2 книги (иногда не каждый месяц)
6) не читаете совсем
17. Какого характера литературу (кроме учебников) вы читаете?
(можно отметить все подходящие варианты, а один – главный подчеркнуть)
1) научную литературу по специальности
2) научно-популярную
3) философскую, экономическую, политическую и т.п.
4) научно-фантастическую
5) художественную
6) литературу по искусству
7) документальную
8) приключенческую, детективную
9) спортивную
18. Как часто Вы бываете в кино?
1) совсем не бываю
2) очень редко
3) примерно один раз в месяц
4) 2-3 раза в месяц
5) еженедельно
6) несколько раз в неделю
19. Как часто Вы бываете в театрах?
1) не были в театрах 2-3 года
2) бываете примерно 1 раз в год
3) бываете 3-4 раза год
4) бываете обычно ежемесячно
5) бываете почти каждую неделю
20. Как часто вы посещаете симфонические и камерные концерты?
1) не хожу совсем
2) несколько раз в год
3) 1-2 раза в месяц
4) почти еженедельно
21. Как часто вы посещаете эстрадные концерты?
1) не хожу совсем
2) несколько раз в год
3) 1-2 раза в месяц
4) почти еженедельно
22. Вспомните, пожалуйста, сколько раз Вы посещали художественные галереи, выставки и музеи в прошлом году?
1) не посещали совсем
2) 1-2 раза
3) 4-6 раз
4) почти каждый месяц
5) несколько раз в месяц
23. Интересуетесь ли вы живописью?
1) да
2) нет
24. Умеете ли Вы играть на каком-либо музыкальном инструменте?
1) да
2) нет
25. Коллекционируете ли Вы что-либо?
1) да
2) нет
26. Если да, то что именно? Напишите _______________________________________________________ ____________________________________________________________________________________________
1) в художественных кружках сольным пением или танцами
2) в художественных кружках художественным чтением
3) в художественных кружках игрой на музыкальных инструментах
4) дома и в различных кружках по интересам прикладным творчеством (рисованием, лепкой, резьбой по дереву и т.п.)
5) дома и в различных кружках по интересам литературным творчеством (сочинением рассказов, стихов и т.п.)
6) дома и в различных кружках по интересам художественной фотографией и кино
7) научно-исследовательской работой (участвуете в конкурсах студенческих работ, имеете печатные работы, изобретения и внедрения)
Раздел 4 . Ваше отношение к художественной культуре
27. Каким видам искусства Вы отдаете предпочтение?
1) литература, поэзия
2) театр
3) кино
4) избирательное искусство
5) музыка
6) архитектура
7) телевидение
8) другое, что именно_________________________________________________________________ _________________________________________________________________________________
28. Кинофильмы какой тематики Вы предпочитаете смотреть?
1) исторические
2) историко-биографические
3) политические
4) военно-патриотические
5) производственные
6) нравственно-психологические
7) приключенческо-детективные
8) научно-фантастические
9) комедийные
10) фильмы ужасов
11) боевики
12) музыкальные
13) другое, что именно _________________________________________________________________ __________________________________________________________________________________
29. Что влияет на ваше решение посетить учреждение художественной культуры?
1) советы однокурсников
2) советы преподавателей
3) советы родных и друзей
4) реклама
5) известность и популярность мастеров искусства
6) собственные эстетические наклонности
7) другое, что именно_________________________________________________________________
_________________________________________________________________________________
30. Назовите, пожалуйста, Ваших любимых поэтов и писателей:
_________________________________________________________________________________________
_________________________________________________________________________________________
31. Картины каких художников Вам нравятся?
_________________________________________________________________________________________
_________________________________________________________________________________________
Раздел 5. Ваше отношение к интеллигентности
32. Дайте свое определение понятию интеллигент. (Основные черты):
______________________________________________________________________________________________________________________________________________________________________________________________________________________________________________________________________________
33. Интеллигентна ли в наше время молодежь?
1) да
2) нет
34. Можно ли в наше время быть интеллигентом?
1) да
2) нет
35. Считаете ли вы себя интеллигентным человеком?
1) да
2) нет
36. Совместимы ли:
- Интеллигентность и мат?
- Интеллигентность и алкоголизм?
- Интеллигентность и наркотики?
[1] Библиотека. Словарь терминов по рекламе, маркетингу, ATL, BTL и PR [Электронный ресурс]
Режим доступа: http://zrmgup.ru/slovarik_po_reklame.php
[2] М.А. Блюм, Н.В. Молоткова PR-технологии в коммерческой деятельности [Электронный ресурс]
Режим доступа: http://www.studyroom.ru/Uchebniki/u3.htm
[3] Цели, методы и виды исследований в Public Relations [Электронный ресурс] Режим доступа: http://stanlykajurov.narod.ru/researchmetod.htm
[4] Цели, методы и виды исследований в Public Relations [Электронный ресурс]
Режим доступа: http://stanlykajurov.narod.ru/researchmetod.htm
[5] Энциклопедия социологии [Электронный ресурс]
Режим доступа: http://slovari.yandex.ru/dict/gl_social/article/1401/1401_455.HTM
[6] Социологический словарь [Электронный ресурс]
Режим доступа: http://slovari-online.ru/word/социологический-словарь/количественные-методы-исследования.htm
[7] Словарь по экономике и финансам [Электронный ресурс]
Режим доступа: http://slovari.yandex.ru/dict/glossary/article/10/102_70.HTM
[8] Энциклопедия социологии [Электронный ресурс]
Режим доступа: http://slovari.yandex.ru/dict/sociology/article/soc/soc-0037.htm
[9] Социологический словарь [Электронный ресурс]
Режим доступа: http://mirslovarei.com/content_soc/KVANTITATIVNYJ-KOLICHESTVENNYJ-ANALIZ-TEKSTA-11320.html
[10] Пси-фактор [Электронный ресурс]
Режим доступа: http://psyfactor.org/lib/content-analysis3.htm
[11] Национальная психологическая энциклопедия [Электронный ресурс]
Режим доступа: http://vocabulary.ru/dictionary/374/word/%CC%E5%F2%EE%E4+%EE%EF%F0%EE%F1%E0
[12] Большая советская энциклопедия [Электронный ресурс]
Режим доступа: http://slovari.yandex.ru/dict/bse/article/00003/31900.htm
[13] Социологический словарь [Электронный ресурс]
Режим доступа: http://slovari-online.ru/word/ социологический-словарь/качественные-методы-исследования.htm
[14] Национальная социологическая энциклопедия [Электронный ресурс]
Режим доступа: http://voluntary.ru/dictionary/570/word/%CD%E0%E1%EB%FE%E4%E5%ED%E8%E5
[15] Большая советская энциклопедия [Электронный ресурс]
Режим доступа: http://slovari.yandex.ru/dict/bse/article/00029/84900.htm