| Скачать .docx |
Курсовая работа: Цінності людини за даними анкетних опитувань і тестів
Зміст
Вступ
1. Методики вивчення цінностей людини.Показники, які використовуються
2. Значимість різних життєвих цінностей
3. Трудові цінності та їх залежність від різних факторів
4. Трудові типи і трудові портрети
Висновки
Література
Вступ
Тема курсової роботи "Цінності людини за даними анкетних опитувань і тестів".
Якби переконливо не виглядали міркування про важливість тих чи інших цінностей людини, про їхнє групування для різних трудових типів людей, вони можуть бути узяті на озброєння для вирішення практичних задач тільки після їхньої перевірки шляхом експерименту або статистичного дослідження. Менеджер повинен володіти методикою виконання цих робіт і головне — розуміти їхні можливості; мова цифр і фактів допоможе йому краще усвідомити стан корпоративної культури організації.
У роботі в основному використовуються дані, отримані у період з 2008 по 2010 рік з метою вироблення рекомендацій з розвитку корпоративної культури, методів мотивації праці і поліпшення управління персоналом у певних організаціях. Було опитано 1200 респондентів 5 професійних груп. Це були школярі старших класів, студенти вузів, провідні інженерно-технічні працівники підприємств, професорсько-викладацький склад вузів та промислові робітники (переважно верстатники).
Важливо, що було проаналізовано цінності людей різного віку, які займаються різнохарактерною діяльністю (табл. 1): навчанням, α-працею (регламентованою, виконавчою) і β-працею (новаційною, творчою). Утім, варто враховувати, що жоден спеціаліст не займається виключно регламентованою чи виключно новаційною працею: може йти мова лише про долю тієї чи іншої праці у його роботі.
Для порівняння наводяться дані з літератури минулих років і матеріали дослідження цінностей населення 34-х країн світу [49].
Далі значну увагу буде приділено цінностям студентів для того, щоб зробити матеріал більш близьким і зрозумілим цій категорії користувачів посібника. Більш детальний розгляд цінностей професорсько-викладацького складу вузу також не випадковий. Це категорія людей β-праці, важливість якої безперервно зростає. Новаційна праця значною мірою визначає продуктивність і рентабельність праці в цілому [15].
Таблиця1. Вікові та професійні групи респондентів
| Характер діяльності | Вік | ||||
| Юні | Молоді | Середнього віку | Похилого віку | ||
| Навчання | Школярі старших класів | Студенти вузів | |||
| Робота | α-праця | Промислові працівники низької та середньої кваліфікації | |||
| β-праця | Провідні ітр (інженерно-технічні робітники) | Професорсько-викладацький склад вузів | |||
2. Методики вивчення цінностей людини. Показники, які використовуються
Виявити цінності людини і з'ясувати їх значимість (важливість) непросто. Тому існує багато методик, які істотно відрізняються одна від одної.
Розглянемо деякі з них, класифікуючи їх за різними підставами:
1. Пряме опитування або тест.
У першому випадку респондента прямо запитують про важливість тих чи інших цінностей. В другому він відповідає на непрямі питання, які дозволяють судити про його цінності, або виконує деяке спеціальне завдання (наприклад, закінчує речення).
2. Опитування про себе чи про інших.
У першому випадку респондента запитують про його цінності. В другому — інших людей, наприклад його співробітників, запитують про його цінності або про його поведінку, яка відображає ці цінності.
3. Закриті або відкриті питання.
У першому випадку питання чітко визначене. Наприклад запитують —"Які цінності мають для Вас серйозне значення: родина, робота як така, матеріальний стан і т.д.?" У другому просять, щоб респондент сам визначив і назвав важливі для нього цінності.
4. Опитування про цінності, важливі для самого респондента, інших людей (узагалі) та ідеальної людини.
У двох останніх випадках це можуть бути люди будь-якої професії, статі й т.д. Наприклад, задають питання: "Які цінності повинен мати ідеальний учитель, ідеальний верстатник і т.д.?"
5. Респондент відбирає важливі для нього цінності, указує їх ранг або оцінює у балах.
6. У анкеті присутній один або декілька модулів.
У першому випадку респондента запитують тільки про значимість цінностей. В другому можуть бути питання про задоволення від реалізації цінностей, оцінювання роботи організації, об'єктивні дані (наприклад, студента запитують про середній бал його оцінок за семестр, верстатника — про виконання норм у відсотках, а також такі характеристики, як розряд верстатника, вчений ступінь викладача і т.д.)
Така велика кількість методик пояснюється не тільки складністю проблеми, різними задачами і умовами кожного опитування і тестування, але й тією обставиною, що виявленню істинних цінностей перешкоджає ряд факторів.
1. Соціальне схвалення.
У даній організації, даному суспільстві існує певна культура, певна ідеологія. Наприклад, вважається, що багато думати про свій заробіток, а тим більше прагнути до нього за будь-яку ціну ("бути рвачем") соромно. При цьому респондент свідомо або несвідомо буде применшувати роль цієї цінності.
2. Можливість реалізації цінностей, психологічний захист.
Наприклад, робітник вважає, що на виробництві на його мислення не будуть зважати. Тому він часто несвідомо під час опитування відповідає, що участь у керуванні його не цікавить.
3. Розуміння запитання.
Для свого інтелекту, рівня освіти і особливо соціального досвіду не всі запитання добре зрозумілі респонденту. Наприклад, важливість духовності, самореалізації іноді недооцінюється навіть у такій професійній групі, як професорсько-викладацький склад вузу. Ймовірно, це вже не та стара українська чи російська інтелігенція, яку хвилював пошук свого місця у світі, релігійні проблеми і т.д.
4. Розуміння самого себе.
Щоб респондент міг оцінити названі цінності, він повинен їх усвідомити. Разом з тим вони частково знаходяться у підсвідомості.
Щоб послабити вплив зазначених обставин кожна методика зазвичай містить деякі контрзаходи. Для цієї ж мети служить і організація опитування, наприклад, забезпечення анонімності респондентів. Корисно застосувати декілька методик. Так, якщо під час відкритих опитувань були виявлені ті ж цінності, що і під час закритих, можна вважати, що останні були поставлені вірно.
Найбільш докладно у роботі описана методика прямого опитування із закритими питанням респондентів про себе, оцінкою цінностей у балах , з використанням багатомодульної анкети (Додаток А).
Якщо респондентів просили оцінити значимість (важливість) для них різних життєвих або трудових цінностей у балах, показником, що природно витікає з такої методики, є значимість кожної і -ої цінності Зі , визначена даним респондентом, та її середня величина для групи Зі .
Однак, якщо припустити, що напрямок трудової поведінки визначається цінностями, які отримали найбільші оцінки, досить вагомим є показник поширеності мотиваційних типів і відповідних їм цінностей — відносне число респондентів Рі для яких цінність і є високозначимою — ВЗ . Він позначається Рівз і вимірюється в частках одиниці або відсотках. Наприклад, при п'ятибальній шкалі було прийнято, що ВЗ > 4 або ВЗ = 5, а при десятибальній ВЗ > 8 або ВЗ = 10. Тоді розглянута частка респондентів позначалася Рі4 , Рі5 , Pi 6 або Рі10 . Наприклад, означає, що для 70% респондентів значимість цінності і дорівнює 8-10 балів.
Дослідження виявили, що показник Рвз більш чутливий, ніж З . Крім того, він близький до показника поширеності цінностей, отриманого при застосуванні інших методик на підставі відповідей респондентів на запитання: "Які з цінностей є для Вас найбільш важливими?". Це дає можливість порівнювати дані різних авторів, якщо зміст заданих ними питань до респондентів буде визнаний близьким один до одного.
Важливі закономірності можуть бути виявлені під час аналізу розподілів значимостей. При цьому визначалася частота р. Маючи розподіл, можна легко отримати Рвз з будь-яким значенням ВЗ, а також оцінити розсіювання величин Зі . Можна визначити також ступінь розсіювання, використовуючи такі показники, як середньо-квадратичне σ3 ("стандартне" відхилення) чи коефіцієнт варіації значимостей W 3 = σ 3 / З .
Поведінка людини визначається не стільки значимістю різних цінностей, абсолютною величиною3 і , а діяльність групи — кількістю респондентів з високою значимістю цінностей Рвз , скільки рангом цінностейR , тим місцем, яке вони займають в упорядкованому списку цінностей (приймається, що найважливіша цінність займає перше місце, і далі цінності розташовуються у порядку зменшення важливості). Якщо декілька цінностей мають однакове значенняЗ чи Рвз , то їх ранг визначається як середня величина відповідних рангів. Наприклад, якщо значимість цінностей, які зайняли 6-е і 7-е місця, однакова, обидві отримують ранг R = 6,5 (втім, у соціології використовують й інші підходи).
Важливо встановити відносну роль високих цінностей людини, порівняти цінності об'єднання трудових типів А ("виробників") з цінностями об'єднання Б. Застосовані при цьому показники будемо називати показниками ролі П. Це ніби потенційна корисність мотиваційної сфери людини: те, що вона збирається віддати у процесі праці, порівнюється з тим, що збирається взяти для задоволення фізіологічних потреб.
Наприклад, можна визначити показники ролі цінностей "майстра" і "альтруїста" у порівнянні з цінностями "заробітчанина".
Пм
=
; Па
=
;
Для цінностей, які визначають активність мотиваційної сфери людини — "самореалізації" й "досягнення цілей" — доцільно окремо визначити перелічені раніше показники (З, Р, R , П ), а також інтегральний показник-індекс особистісного розвитку, який є згорткою показників важливості самореалізації та досягнення цілей.
Акцентування на питаннях про цінності "соціоцентриста" і "трудоцентриста", які ми, відповідно до їх статусу в піраміді потреб, завзято називаємо "високими", а також співставлення цінностей "виробників" і "споживачів" наводить на думку про те, що у посібнику намагаються реанімувати трудові принципи соціалізму. На це можна відповісти так.
Соціоцентристська і трудоцентристська спрямованість діяльності багатьох людей не є дитям ідеології радянського ладу, а належить до розряду загальнолюдських цінностей, які відповідають етиці світових релігій, принципам гуманістичної культури, філософії та психології. У притчах царя Соломона знаходимо: "Покажіть мені моторного в роботі. Він буде стояти перед царями".
Відкидати ці принципи неможливо. Однак напрошуються такі зауваження.
1. Можна порівнювати, але не можна протиставляти, як це раніше практикувалося у нашій країні, особисті й суспільні інтереси, підтримуючи при цьому нерівноцінний обмін між роботодавцем і робітником на користь першого. Навпаки, необхідно зробити все можливе для їхньої конвергенції. Не можна протиставляти матеріальні і духовні інтереси, а слід підкреслювати їх єдність, цілісність людини, що вперше і так яскраво було зроблено в епоху Відродження і склало ідеологію гуманізму.
2. Необхідно ліквідувати формалізм, "подвійну мораль", коли проголошується одне, а робиться інше.
3. Принципи альтруїзму і самоцінності роботи не можна насаджувати зверху в обов'язковому порядку, а тим більше залучати для цього силові структури і нормативні акти аж до кримінального кодексу. Праця є не обов'язком, а правом. Повинна залишатися свобода вибору. Свобода вибору — основна концепція соціальної філософії.
2. Значимість різних життєвих цінностей
Спочатку розглянемо ієрархію життєвих цінностей. Як приклад на рис.1. наведені дані, отримані під час опитування професорсько-викладацького складу вузу. Значимість визначалася за 5-бальною шкалою).
Оскільки ціннісні орієнтації — це типові особистісні характеристики, то вони значно змінюються від респондента до респондента, про це свідчать великі значенняW 3 .Найбільш одностайні респонденти в оцінці значимості сім'ї (W з дорівнює всього 0,12), пізнання, матеріального достатку і роботи. Найбільша розбіжність — у оцінці значимості щастя для суспільства і духовності (W з = 0,33 і 0,49).
За зниженням середньої значимості цінності розташовуються так: 1 — сім'я, 2 і 3 — пізнання і здоров'я, 4 — робота, 5 — матеріальний достаток і т.д. За зниженням числа респондентів, для яких відповідна цінність є дуже важливою (4,5 і 5 балів), цінності розташовуються приблизно так само.
Велика роль сім'ї та здоров'я у структурі цінностей людини зрозуміла. Сім'я — це, насамперед, альтруїстична цінність, пов'язана з любов'ю до дружини (чоловіка), дітей, батьків, тобто з любов'ю до ближнього. Сім'я як цінність поєднує любов до ближнього ірозумну любов до самого себе. Крім того, сім'я — це стабільність, опора людини, певною мірою і її самореалізація. Безперечне лідерство сім'ї як життєвої цінності частково пов'язано з важким, нестабільним станом економіки і суспільства в Україні. Людина розглядає сім'ю як опору в ненадійному і небезпечному світі. Тому важливим елементом корпоративної культури є приділення уваги сім'ї співробітника, її соціальна підтримка. Гарні керівники чудово знають не тільки самих співробітників, а й їх сім'ї, найважливіші родинні справи.

Рис. 1. Ієрархія життєвих цінностей професорсько-викладацького складу
Для зазначених респондентів великою є роль пізнання як такого (можливість навчання, розширення свого світогляду, загальної культури, інтелектуального рівня). Це свідчить про те, що професорсько-викладацький склад усвідомлено орієнтується на високі цінності і за своїми духовними потенціями відповідає своєму призначенню — підготовці фахівців-інтелігентів.
Важливо, що, незважаючи на скрутний матеріальний стан багатьох співробітників вузів, матеріальний достаток як життєва цінність не потрапив у трійку найбільш значимих для респондентів. Тому помилковою є думка деяких керівників (вона відповідає західному рівню менеджменту початку XX століття, концепції тейлоризму) про те, що єдиним головним інструментом керування є зарплата, матеріальна винагорода. Цей погляд руйнує особистість і основи національного менталітету.
Серед життєвих цінностей із працею викладачів найбільш тісно пов'язані три такі: пізнання, власне робота і самореалізація.
Менша роль власне роботи у порівнянні з пізнанням пояснюється тим, що у свідомості людини поняття "робота" поєднує не тільки позитивні фактори. Взагалі "пізнання" є більш абстрактним поняттям. Воно ближче до ідеалу. "Робота", навпаки, є ближчою до існуючої конкретності, яка не може бути кращою за ідеал.
Ще менша роль "самореалізації" (ранг 6-7) є негативною стороною виявлених ціннісних орієнтацій особливо для такої категорії респондентів, як професорсько-викладацький склад вузу. Вона частково пов'язана з недостатньо розвинутою рефлексією, з відсутністю звички самоаналізу, належного прагнення до самовдосконалення.
Якщо вважати, що мотиваційній групі "трудоцентриста" найкраще відповідає цінність "робота", то показник ролі трудоцентристських цінностей Пт для викладачів вузу буде дорівнювати 0,91, що є високим значенням і позитивно характеризує респондентів.
Декілька слів варто сказати про цінності, оцінені як найменш значимі. Серед них ранг 9 — щастя людей, добробут суспільства.
Низька роль альтруїстських цінностей, які належать до групи соціоцентристських, сформульованих у анкеті у такому загальному вигляді, буде обговорюватися надалі і не є особливістю ціннісних орієнтацій викладачів. Дозвілля — "розкоші", яких одні респонденти не можуть собі дозволити через брак часу і духовної енергії, а інші просто не вважають їх важливими, тому що, як говорив Ж.Ж. Руссо, вони "зосереджені на іншому".
На перший погляд духовне життя, релігія мають занадто низьку значимість.
Духовність є ідеальною потребою у сприйнятті ідей, знань, художніх цінностей, вона відносно незалежна від прагматичних цілей [61]. Без духовності немає ефективного духовного виробництва. Тому духовність є важливим фактором розвитку культури, а формування духовних потреб — найважливішою задачею виховання. Низька суб'єктивна оцінка певною мірою може бути пояснена тими ж причинами, що і занижена оцінка "самореалізації". Більшість викладачів сформували свою особистість за соціалістичного ладу, коли вся увага приділялася колективу, суспільству в цілому, тобто світу зовнішньому стосовно людини, але не індивідуальності, внутрішньому світу, що призвело до ослаблення прихильності вітчизняної інтелігенції до духовних пошуків. Але якщо ми хочемо мати інновації, культивувати творчість, то акцент переноситься на особистість, бо зазначені властивості є, власне кажучи, особистісними.
У наш час самосвідомість народу і, зокрема, самосвідомість інтелігенції країн колишнього соціалістичного табору розколота, що викликає велику психічну напругу. У культурології є поняття "маргінальна культура" (від пізньолат.marginalis — той, що знаходиться на краю, на межі) — це конгломерат культурних цінностей, традицій, вірувань, шарів населення, груп людей, які знаходяться на стикові двох культур [109]. Він має місце при міграціях, міжетнічних шлюбах і т.д. Можна думати, що таке ж хворобливе явище культури і психічний стан має місце у людей на стикові епох. Ми вже відійшли від культури соціалістичної, але не прийшли по-справжньому до культури демократичної.
Низький ранг духовності насторожує і вимагає особливих заходів. Так, для викладачів доцільно організувати систему гуманітарної перепідготовки, ініціювати формування мережі філософських, психологічних, літературних клубів, об'єднань. Певною мірою вихованню духовності будуть сприяти види керування, орієнтовані на особистість, заходи щодо гуманізації освіти, виробництва й інших видів діяльності, які розглядаються далі.
Виникає питання — наскільки наведена ієрархія цінностей викладачів характерна для інших професійних і вікових груп (будемо розглядати тільки людей не молодших 17-19 років). Наявні матеріали показують, що ранги першої половини зазначеного сімейства цінностей є загальними для всіх працюючих і повнолітніх учнів. Наприклад, під час опитування 100 студентів 1-го курсу одного з вузів на основі відповідей на відкриті запитання було сформовано таке сімейство цінностей (за зниженням значимості): 1) сім'я, секс, 2) робота, 3) матеріальний добробут, 4) суспільне становище. Під час повторного опитування у цей список потрапили пізнання і щастя для інших. За результатами опитування у 34-х країнах світу майже завжди на 1-му місці стояла сім'я, а на 2-му робота [49].
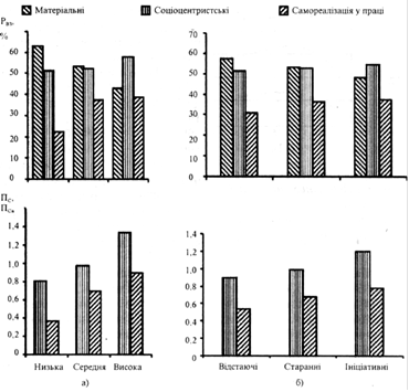
На систему життєвих цінностей впливають різні фактори. Наприклад, із зростанням кваліфікації й активності співробітників збільшується відсоток респондентів, для яких найбільш важливими є цінності трудоцентриста і соціоцентриста (рис. 2). Якщо теперрозрахувати відносні показники, тобто показники ролі розглянутих цінностей Пса і Пс , то виявиться, що вони ростуть ще швидше. Це пояснюється тим, що для більш активних людей, принаймні в розглянутому випадку, зменшується значимість матеріальних цінностей.

Рис.2. Залежність показників поширеності цінностей Рвз та їх роль П відкваліфікації (а) й активності (б)
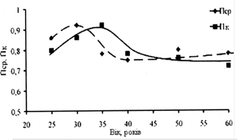
На цінності людини чималий вплив здійснює її вік. Високі цінності особистісного розвитку зазвичай на початку життя зростають, досягають максимуму, а потім тією чи іншою мірою знижуються (рис. 3). Так, для викладачів вузів цей максимум відповідав 45 рокам.
Важливо встановити, наскільки стійке значення показників ролі високих цінностей стосовно зовнішніх факторів. Є дані, що в зв'язку із зміною ладу і типу економічних відносин, духовною кризою в країнах, які раніше входили до складу СРСР, роль альтруїстських цінностей у свідомості людей різко впала.
Діаграми побудовані на основі даних В. Травіна та В. Дятлова [93].

Рис.3. Залежність ролі альтруїстичних цінностей ("щастя для сусільства") та трудоцентристських ("робота") від віку
Якщо взяти усереднені дані, то значення Па складало:до 60-70-хpp. — більше 1,0
1970 р. —1,0; 1
990 р. —0,6;
2000 р. — 0,4
Роль трудоцентристських цінностей, принаймні за 1970-2000 pp., змінилася мало. Так, показники ролі "цікавої роботи" і "самореалізації у праці" відповідно склали: Пцр = 0,8;Пса = 0,6. Наведені матеріали дозволяють стверджувати, що висока оцінка цінності роботи як такої, а також її важливість для реалізації людини як особистості є стійкою властивістю психіки людини, що мало залежить від ситуаційних факторів. Це цілком підтверджується даними [104], отриманими за іншою методикою.
Чому ж такою нестійкою виявилася "користь праці для суспільства"? Адже вона пов'язана з такою вічною євангельською життєвою цінністю, як любов до людей! Щоб це зрозуміти, слід відокремити обличчя від маски. Обличчя залишилося, але соціалістичну маску зняли. Більш того, одягли іншу маску, яка показово демонструє заперечення командної системи, небажання носити те, що накажуть. Відіграла роль і згадана раніше вимога рівноцінного обміну між працівником і роботодавцем, характерний для нашого менталітету рух від одних крайнощів до інших.
Крім того, формулювання цієї цінності у питаннях анкети було занадто абстрактним. Спроба поставити інші, близькі за змістом, але більш конкретні питання: "користь для споживача", "користь для своєї організації" відразу підвищувала оцінки. Так, заміна питання "користь для суспільства" на питання "користь для конкретних людей, наприклад для студентів", в анкеті викладачів підвищила Па від 0,41 до 0,66. Можна припустити, що значимість "користі для ближнього, для конкретної людини" (див. "любов до ближнього") є кращим критерієм альтруїзму, ніж "користь для суспільства" ("любов до дальнього"). До цього питання ми ще повернемося.
В цілому ж потрібно враховувати, що альтруїстські і колективістські цінності високою мірою відповідають менталітету нашого народу. В. Магун [49] визначав індекс, де зі знаком "+" брали роботу як спосіб служіння суспільству і спілкування, а зі знаком "-" — як особисту кар'єру. Для США він дорівнював -0,6; для Росії +0,28; для Японії +0,24. Отже, для слов'янських народів, як і для Японії та деяких інших країн Сходу, роль альтруїстських цінностей залишається досить високою. Цікаво, що останнім часом провідні фірми Заходу багато зробили, щоб укорінити у свідомості персоналу плідну ідею: "Ми працюємо для суспільства". Враховуючи конвергенцію цінностей Заходу і Сходу, щодо слов'янських народів мимоволі згадуєш дацзибао: "Вітер зі Сходу сильніший, ніж вітер із Заходу".
Разом з тим не можна заперечувати можливості трансформації і падіння значення альтруїстських цінностей, що відповідає перехідному періоду розвитку суспільства.
Потрібно сказати, що в жодному опитуванні, яке проводили автори, "користь праці для інших" не зникла з числа значимих, хоча і була у другій половині списку цінностей. Дійсно, важко собі уявити, щоб людині без якої-небудь патології, було байдуже, чи будуть результати його праці корисними для людей.
М. Булгаков назвав свій програмний твір "Майстер і Маргарита". Воістину, два почуття творять світ: безкорислива прихильність до праці і любов! Задача менеджменту персоналу — позбавити носіїв цих цінностей від жорстких рамок бюрократичної системи і створити умови для самореалізації, сприяючи цим розквіту економічного і духовного життя країни.
3. Трудові цінності та їх залежність від різних факторів
Знання життєвих цінностей дозволяє з великим розумінням аналізувати трудові цінності.
У 2010 році були досліджені трудові цінності 325 студентів 2-4-го курсів трьох спеціальностей вузу "А": технології машинобудування, менеджменту та економічної кібернетики. Середні значимості цінностей і частка респондентів, для яких відповідні цінності є високозначимими (ВЗ≥8 балів), наведені на рис.4.
1-е місце за значимістю для респондентів має заробіток, що відображає зрушення у ціннісній орієнтації молоді у бік прагматизму.

Рис. 4. Трудові цінності студентів вузу
2-е місце мають товариші, можливість спілкування, особливо важлива для людей студентського віку. 3-е місце має надійне майбутнє, що пов'язано з труднощями влаштування на роботу. Важливість цієї цінності зросла серед молоді навіть за останні 3 роки. 4-е місце займає цікава робота, взагалі робота і навчання як такі. Таке розташування найбільш важливих цінностей приблизно відповідає результату, отриманому при аналізі трудових цінностей працюючого населення 34 країн світу [49].
Приємно зазначити, що для студентів велике значення має можливість досягнення цілей. Ця цінність займає 5-е місце, а показник її ролі щодо заробітку досить великий (Пд =0,85). Це говорить про активність молоді, високий динамізм її мотиваційної сфери, її спрямованість у майбутнє.
Досконалість у роботі і самореалізація знаходяться посередині списку цінностей. Відповідно показники їх ролі рівнюють: Пдр =0,7 Псо =0,72.
Істотно впало навіть у порівнянні з даними опитування студентів у 1998 р. значення альтруїстських цінностей, зокрема "користі праці для суспільства". Показник ролі вказаної цінності Пк =0,48.
Про причини такого зрушення ціннісних орієнтацій вже говорилося. Проте таке явище слід вважати тривожним сигналом, який свідчить про негативну деформацію суспільної свідомості молоді. Він створить серйозні перешкоди на шляху розвитку високої корпоративної культури.
Останнє місце у списку цінностей займає "можливість участі в управлінні організацією". Але все-таки число студентів, для яких ця цінність є високозначимою, складає 19% від загальної кількості студентів. Поряд з іншими причинами це говорить про те, що чимало студентів хотіли б безпосередньо займатися управлінською, організаційною діяльністю, бути менеджерами.
Достатня величина вибірки дає можливість дослідити розподіл цінностей. Так, на рис. 3.5 подані приклади цих розподілів у виді гістограми, причому на осі абсцис відкладена значимість цінностей у балах, а на осі ординат — частота, тобто відносне число респондентів.
Через те що 15 цінностей є по суті позитивними, то для них розподіли мають правосторонню асиметрію, тобто є тенденція до зростання числа респондентів, які вважають цінності високозначи-мими. Особливо сильною ця тенденція є для цінностей, які займають перші п'ять місць у списку (з них на малюнку показані розподіли для заробітку і прагнення до досягнення цілей). Для них розсіювання оцінок мале (коефіцієнт варіації значимостей не перевищує 0,25-0,3).
Для "участі в управлінні" асиметрія є лівосторонньою, тобто для більшості респондентів ця цінність малозначима. Для більшої частини розподілів, починаючи з 3-го місця в списку (наприклад, для цінності "користь для суспільства") з'являється локальний максимум у середині переліку цінностей при 5, а іноді й 7-8 балах. Це означає, що значна частина студентів (для цінності "користь для суспільства" — 45%) вважає ці цінності важливими, але не визначальними для їхньої ціннісної орієнтації.
Для цінності "творчість" локальний максимум при 5 балах одночасно є і глобальним максимумом, тобто, багато студентів вважає, що можливість творчості не є визначальним фактором, але це деяка норма, без якої не можлива робота сучасної людини.
По розподілах цінностей можна оцінити частку респондентів для різних значень ВЗ, наприклад 8,9 або 10 балів. Так, у розглянутому прикладі середня значимість "заробітку" і "участі в управлінні" відрізнялася у 2,1 рази, частка респондентів Р8 — у 4,5 рази, а частка респондентів Р10 — у 8,6 рази. Це ілюструє ту обставину, що у багатьох випадках, якщо кількість даних достатня, то саме за крайніми стовпцями гістограми краще виявляється різниця у значенні цінностей для групи людей.
Раніше зазначалося, що за середнім значенням значимості, а також за кількістю респондентів, для яких можливість творчості є високозначимою, ця цінність займає одне з останніх місць у списку. Але якщо звернутися до розподілу значимості, то буде видно, що для 15% студентів цінність "творчість" є однією із найголовніших (ВЗ - 10 балів). Виявлені 47 із 316 людей, які прагнуть до творчої діяльності, — це не так вже й мало.


Рис. 5. Розподіл цінностей студентів
Стосовно цінності "творчість" особливо гострим є питання: на кого в першу чергу варто орієнтуватися — на середнього студента (працівника) чи на кращого, хто визначає корпоративну культуру та успіх організації. Хоча культура і ефективність організації залежать від всіх її членів, вплив еліти, творчих особистостей важко переоцінити.
Таким чином, аналіз розподілів цінностей суттєво доповнює наші знання про цінності певної професійної, вікової групи або організації. Це важливий інструмент вивчення цінностей, який відсутній у розповсюдженій методиці типу методики Рокича.
Необхідно проаналізувати, як впливає на ціннісні орієнтації студента його активність, здібності, інтелект. Це можна зробити шляхом порівняння результатів опитування студентів, які навчаються за різними спеціальностями.
Конкурс при вступі до вузу на спеціальність "Технологія машинобудування" та "Менеджмент" був приблизно однаковим (зараз на спеціальність "Менеджмент" конкурс істотно збільшився), але традиціоналісти надають перевагу першій спеціальності, абітурієнти, схильні до змін, — другій. Значно вищий конкурс при вступі на спеціальність "Економічна кібернетика".
При переході від "Технології машинобудування" до "Менеджменту" і далі до "Економічної кібернетики" ціннісні орієнтації студентів змінюються таким чином (рис. 6), що це свідчить про зростання їх активності, рівня самосвідомості.
Так, якщо для престижних спеціальностей у порівнянні зі старими спеціальностями зростання важливості активних цінностей, таких як "досконалість у роботі", "користь для суспільства", "самореалізація", "досягнення цілей", велике, то для пасивних цінностей, таких як "цікава робота", "товариші", воно незначне. Цікаво, що до числа пасивних цінностей потрапив "заробіток". Це говорить про те, що у свідомості студентів поняття "добре працювати" і "добре заробляти" розведені, для них є характерним слов'янський менталітет.
Достатньо важливо, що при переході до престижних спеціальностей важливість активних духовних цінностей зростає швидше, ніж важливість матеріальних цінностей. Тому відносний показник, показник ролі високих цінностей зростає.
Деякі статистичні дані, а також спілкування з багатьма студентами показують слабкість профвідбору в системі освіти. Студенти погано собі уявляють, чим вони будуть займатися, якщо працюватимуть строго за спеціальністю, отриманою у вузі. Вони більше орієнтуються не на конкретну спеціальність, а на її престиж. Так, частка респондентів, які прагнуть до управлінської, організаційної роботи, для спеціальності "Менеджмент" не перевищує такої ж для спеціальності "Технологія машинобудування".
Необхідно знати, як впливає на ціннісні орієнтації студентів їх матеріальне становище. З 325 опитаних 56 респондентів вважають своє матеріальне становище відмінним, 133 — добрим, 67 — середнім і 18 — поганим.
Переходячи від відмінного положення до доброго і середнього важливість цінностей міняється мало. Так, наприклад, для перших "заробіток" знаходиться на другому місці, а для других і третіх — на першому. "Надійне майбутнє" для перших знаходиться на четвертому місці, а для других і третіх — на третьому. Місця інших цінностей майже не змінюються.
При переході від середнього матеріального становища до поганого відбувається катастрофічна зміна ціннісних орієнтацій. "Надійне майбутнє" переходить на друге місце (після "заробітку"), "прагнення чогось досягти" падає з 4-5-го місця на 10-е місце, "прагнення до досконалості в роботі" — з 8-9-го на 13-е місце. Така втрата віри у майбутнє, втрата активності особистості може бути охарактеризована як фрустрація, руйнування психічного здоров'я людини.


Рис. 6. Важливість та роль різних трудових цінностей залежновід спеціальностей
Це вказує на те, що адміністрація вузу повинна вжити заходів щодо створення робочих місць для таких студентів усередині вузу або пошуку їх за його межами. Норми етики вимагають, щоб підприємства-спонсори надавали допомогу не тільки обдарованим студентам, але і найменш забезпеченим, які мають високу успішність. З такими студентами повинні працювати психологи, щоб активізувати їхню життєву позицію.
Як і у багатьох інших випадках, вимоги етики і чисто раціональна, поміркована оцінка явища тут збігаються. Для суспільства "дешевше" (нехай це буде сказано цинічно) допомогти зараз цим молодим, ще не сформованим до кінця людям, ніж потім мати у своєму складі співробітників, які гальмують роботу організації, де вони почнуть працювати, або, ще гірше, мати потенційних безробітних.
Наведені міркування та статистичні дані про трудові цінності студентів різних спеціальностей і з різним матеріальним становищем дозволяють стверджувати, що найважливішим індикатором мотиваційної сфери людини є показники особистісного розвитку: показники важливості і ролі прагнення чогось досягти та самореалізації. Це, наприклад, підтверджується залежністю рангу значимості досконалості у роботі від рангу індексу особистісного розвитку (рис. 7).
Перейдемо до розгляду трудових цінностей викладачів.
Першу половину місць відповідно до середньої значимості і частки респондентів Р45 зайняли таки цінності: 1 і 2 — гарний заробіток, 2 і 1 — надійне майбутнє, 3 і 4 — соціальна підтримка, 4 — цікава робота, 4 і 3 — відсутність диктату на роботі, самостійність, 5 і 5 — справедливість оцінки праці, 6 і 7 — самореалізація, 7 і6 — гарні товариші, 8 і 8,5 — користь праці для суспільства.

Рис. 7. Рангова залежність значимості досконалості у роботі від індексуособистісного розвитку
Аналіз результатів показує, що перші 4 місця зайняли приблизно ті ж цінності, що і у студентів, а також у згадуваному раніше опитуванні населення 34-х країн світу [49] з числа перших 3-4 цінностей випали "товариші". Це можна пояснити більшим ступенем індивідуалізму членів цієї професійної групи. Для успішної роботи викладачів і вчених необхідна значна самостійність. Тому, на відміну від інших професійних груп, ця цінність потрапила до числа головних.
Порівняно з життєвими цінностями гарний заробіток, матеріальний добробут перемістилися з 4-5-го місця на 1-2-е. Безпосередньо з роботою професорсько-викладацького складу найбільш тісно пов'язані цінності: самореалізація (ранг 7), можливість навчати інших (ранг 16), можливість експериментування, реалізації ідей (ранг 13). Більшість цих цінностей стоїть наприкінці ієрархічної драбини викладача. Для порівняння нагадаємо, що робота при розгляді життєвих цінностей займала 4-е місце.
Таким чином, у порівнянні з оцінкою життєвих цінностей (див. рис. 1) оцінка важливості трудових цінностей характеризує респондентів як більш приземлених, у яких деякі духовні цінності менші, а матеріальні — більші. Це пояснюється декількома причинами.
Ступінь спільності життєвих цінностей більший, ніж трудових. Навіть при подібному найменуванні зміст життєвих і трудових цінностей не збігається ("Щастя для суспільства" взагалі і "користь праці для суспільства", "самореалізація" у цілому і "самореалізація" у праці). "Робота" як життєва цінність розкривається, диференціюється у трудових цінностях.
Для трудових цінностей, на відміну від життєвих цінностей, спостерігається ніби інший зріз свідомості [36]: у першому випадку — ідеальний образ, а у другому — його перетворення у реальність з урахуванням середовища. Робота на практиці — це зовсім не те, що людина уявляє собі в ідеалі. Так, навчальна робота у вузі — це не тільки власне навчання. Вона включає "навколо-навчальну" роботу, до багатотьох видів якої викладачі ставляться не лише негативно, але навіть вороже, чим відповідно впливають на їхню оцінку значимості.
З іншого боку, якщо погодитися з тим, що оцінка трудових цінностей частково усуває недоліки прямого опитування і більшою мірою розкриває істинне обличчя респондента, то що треба зробити, щоб підняти викладача хоча б до відносно високого рівня особистості, продемонстрованого при оцінюванні життєвих цінностей? Адже серед останніх "пізнання" й "робота" отримали середні оцінки 4,3 і 4,2, тобто ідеал у свідомості викладача не такий вже й поганий, є потреба в ідеалі. Одним із перспективних методів просування викладачів у напрямку до "особистості, яка самоактуалізується" за А. Маслоу, особистості високих поривань може бути розвиток корпоративної культури вузу, до того ж ця робота повинна передбачати не лише удосконалення групової культури, але й розвиток індивідуальності викладача.
З цієї позиції цікава стаття К.Г. Юнга "Про становлення особистості", переклад якої даний у збірнику його праць [111]. Робота присвячена самовихованню вихователя. "Хочеш виховувати — будь сам вихованим", — говорить Юнг. Він розглядає найважливіші аспекти роботи над самим собою, відзначаючи, що цю задачу може вирішити лише доросла і досить зріла людина.
Особистість "на диво консервативна, якщо не сказати інертна. Тільки гострі нестатки можуть злякати її. Так і розвиток особистості підкоряється не бажанню, не наказу і не наміру, а лише необхідності: особистість потребує мотивуючого спонукання...". Така робота над самим собою неможлива, "якщо людина не обере — свідомо і з усвідомленим моральним рішенням — власний шлях, до того ж він повинен видаватися їй найкращим. Вибір власного шляху — це сходження на незвідані вершини гір замість спокійного руху уторованою дорогою. Щоб зважитися на такий захід, необхідне відчуття свого призначення".
У пошуках самого себе більшість людей не можуть цілком виключити конвенцію, врахування колективного за рахунок своєї цілісності, але це паліатив.
Задача корпоративної культури (це буде розглядатися далі) — забезпечення мотивації вибору власного шляху, визначення кожним студентом, викладачем, співробітником фірми свого призначення, створення для цього сприятливих умов.
Характер розподілів значимостей одних трудових цінностей викладачів менше, а інших більше відрізняється від розподілів трудових цінностей студентів (див. рис.5). Чітку правосторонню асиметрію має розподіл значимостей заробітку. Це ж характерно для надійного майбутнього. Приблизно 40% викладачів вважають їх найважливішими (для студентів було 60%).
Очевидний зв'язок з віком і зовнішніми факторами спостерігається по кількості респондентів, для яких дана цінність є високозначимою (Р10 ). Прагнення до досконалості у роботі є найголовнішим для 17% викладачів на противагу 34% студентів. Самореалізація у праці була найбільш важливою для 25% викладачів на противагу 34% студентів. Користь для суспільства вважали найважливішою цінністю 11% викладачів і 20% студентів. Щоправда, при постановці більш конкретного питання — про користь для студентів — кількість викладачів, для яких це досить важливо, збільшилася, але лише до 27%. Значимість користі для студентів 8-10 балівP8 обрали 59% викладачів.
Негативні факти були виявлені при аналізі розподілів показника прагнення до досягнення цілей (рис.8). Кількість людей, для яких найголовніше — чогось досягти, знижується у викладачів у віці 25-40 років порівняно зі студентами в 2,5 рази, а у викладачів у віці 41-60 років — у 5,4 рази. 15% респондентів останньої вікової групи поставили в анкеті 0 балів, що за умовою опитування означає: "Не можу або не бажаю відповідати".


Рис.8. Розподіли значимостей цінності "досягнення цілей" у студентів та викладачів вузу
Як уже зазначалося, однією з причин зазначеного явища є вікові зміни у свідомості людей. Юнацькі мрії не збуваються, високі цілі не реалізуються, важливість нових духовних цілей вже не видається такою значимою. Однак важливою причиною безсумнівно є недостатні можливості у сучасному вузі для реалізації різносторонніх цілей викладача. Нарешті, безумовно тут діє механізм психологічного захисту: не вважати важливим те, що людина не може реалізувати або через вузівські умови, або через брак необхідних здібностей.
Анкета вивчення ціннісних орієнтацій була близькою до анкети, описаної у додатку 2 і використаної для викладачів вузів.
Наведемо дані опитування верстатників. Перших 3 місця зайняли ті ж цінності, що і для професорсько-викладацького складу вузу: 1-е місце — "гарний заробіток"; 2-е — "надійне майбутнє"; 3-є — "соціальна підтримка". Далі з'являються розходження: 4-е місце зайняла "справедливість у оцінці праці" (у викладачів — "цікава робота"); 5-е —"цікава робота" (у викладачів —"самостійність"); 6-е —"користь для підприємства" (у викладачів —
"справедливість"); 7-е — "можливість підвищення кваліфікації", "відповідальна робота" (у викладачів — "самореалізація").
Таким чином, головні цінності мало залежать від професії, освіти, інтелекту. Тільки починаючи з 4-6-го місць, з'являються розходження: у робітників переважає цінність "користь праці для свого підприємства", а у викладачів — потреба проявити себе як особистість (чому сприяє "самостійність"), "самореалізація".
Важливо, що значимість роботи як такої і конкретних альтруїстських цінностей у верстатників досить великі. Якщо "гарний заробіток" є дуже важливим для63% респондентів, то "цікава робота" — для 41%, а "користь для свого підприємства" — для 39%. При цьому респонденти відносно одностайні у своїх оцінках (коефіцієнт варіації оцінок не перевищує 0,24-0,29).
На жаль, у попередні роки ціннісні орієнтації верстатників на цьому ж підприємстві визначалися за іншою методикою, але при оцінюванні норм поведінки на першому місці стояло "уміння по-справжньому працювати, не лінуватися". Для порівняння відзначимо, що "особиста чесність" була оцінена майже у 2 рази нижче, "репутація гарного працівника" (за змістом наближається до цінності "робота, яку поважають люди") — у 4 рази нижче і т.д.
При вивченні ціннісних орієнтацій верстатників у 2000 р. перевірявся вплив статі, кваліфікації, освіти, віку та інших характеристик працівників.
Встановлено, що для чоловіків важливішими є такі цінності, як "заробіток", "самореалізація", "робота, яку поважають люди", "відповідальна робота", "можливість просування по службі", "самостійність" і "можливість ініціативи", "участь в управлінні", "можливість трудового суперництва". Усе це характеризує їх як більш активних працівників.
Для жінок важливіше, щоб праця була корисною для суспільства, споживачів, свого підприємства. Вони більше цінують можливість досконалості у роботі. Ці властивості жінок можуть бути корисні у колективі, навіть у такому суто чоловічому, як ділянка механоскладального цеху.
Кваліфікація верстатників, яку відображає розряд, здійснює незначний вплив на значимість цінностей. Однак цей вплив стає дуже великим при переході до робітників вищої кваліфікації — 5-го і особливо 6-го розрядів. Ці спеціалісти відрізняються високою оцінкою самореалізації, досконалості у роботі. Вони високо оцінюють можливість приносити користь для суспільства, споживачів, свого підприємства, але при цьому претендують на повагу, можливість участі в управлінні і, звичайно, на високий заробіток. Ця група верстатників є робочою елітою. їхня роль зросла останнім часом у зв'язку з високими вимогами до якості продукції, особливо продукції, яка експортується, що знаходить відображення у всіляких методах стимулювання їхньої успішної праці.
Важливість самореалізації так оцінюється верстатниками, які одержали різну освіту:
неповна середня — середня значимість дорівнює5,5 бала,
повна середня 7,63 бала,
середня спеціальна (технікум) 7,38 бала,
профтехучилище 7,62 бала.
Таким чином, той, хто високо оцінює важливість самореалізації, вибирає роботу верстатника як таку, що відповідає у даний момент часу його освіті.
Як уже зазначалося, важливість трудових цінностей залежить від віку. Це підтвердилося і для цієї професійної групи (рис. 9).
Важливість самореалізації в оцінці верстатників росте до 30 років, а потім знижується і далі змінюється мало. Прагнення приносити користь для людей змінюється у такий же спосіб, але максимум спостерігається у 35 років. Певною мірою повторюються залежності, отримані для викладачів (див. рис.3), але "моральне старіння" верстатників починається раніше. Таке старіння пояснюється і суто віковими змінами, і специфікою праці верстатника, на відміну від викладача, але для розгляду проблематики важлива констатація іншої причини: система мотивації верстатників має потребу в подальшому удосконалюванні.

Рис.9. Вплив верстатника на роль самореалізації (Пср ) та користідля суспільства (Пк )
Важливим модулем використаної анкети є визначення задоволення людини її навчанням або роботою. Як приклад розглянемо результати опитування викладачів.
Насамперед відзначимо, що задоволення викладачів від своєї роботи у цілому низьке (частка респондентів з високими оцінками P 4,5 =0,14). Якщо навіть припустити, що за подібної методики респондент порівнює свою роботу з ідеальною [49], ця цифра занадто мала. При такій невідповідності реальності ідеалу важко говорити про високу корпоративну культуру вузу. Зупинимося лише на тих цінностях, щодо яких спостерігається велика розбіжність між значимістю цінності та її реалізацією.
Високим є задоволення від відпустки (ранг 1), хоча викладачі надають цьому не дуже велике значення (ранг 8,5). Можна спостерігати й високе задоволення (ранг 2) товаришами по роботі (ймовірно, сюди домішується задоволення від інтелігентного середовища у цілому). Тим часом за ступенем важливості для викладачів воно має ранг 6. Цілком вдовольняється можливість навчати інших (ранг 3,5), хоча для викладачів ранг цієї цінності — 16.
З іншого боку, деякі цінності, які є для викладачів дуже важливими, реалізуються слабко. Так, необхідність у надійному майбутньому (ранг 1) задовольняється погано (ранг 12,5). Частково це обумовлено незадовільною економічною ситуацією в країні, але можливі деякі зміни і в управлінні персоналом. На наш погляд, термін контракту може бути дещо збільшений. Крім того, може бути запропонована система довгострокових індивідуальних планів росту, яка використовується передовими фірмами.
Не цілком задоволені викладачі заробітком (відповідно ранги 2 і 8,5), разом з тим засоби, які надходять за рахунок самофінансування студентів, слабко використовуються для забезпечення і хоча б часткової відповідності винагороди кількості та рівню складності праці викладача вузу. Цьому заважає система фінансування через державну скарбницю.
Слід зазначити, що іноді велике значення має регулярність виплати зарплати. Окрім чисто матеріальних причин, це пов'язано з тією обставиною, що співробітник уже налаштований на певний заробіток і не очікує тут на швидкі зміни, а очікування зарплати тримає його у напрузі, здійснює сильний негативний вплив на психіку. Тому регулярність виплати зарплати значно впливає на задоволення від праці у певному вузі. Останнім часом у вузах України ця проблема в основному вирішена.
Високо оцінюється викладачами самостійність у роботі (ранг 3), але на практиці вона зведена до мінімуму (ранг 8,5).Як уже зазначалося, тут необхідні серйозні зміни у менеджменті, пов'язані з поступовим переходом до особистісно-орієнтованого цільового управління.
У вузі це насамперед повинно бути спрямоване на пом'якшення жорсткої регламентації дій викладача і різке скорочення кількості обов'язкових для заповнення документів, заохочення інакомислення і новаторства у виборі форм діяльності та методів викладання при збереженні єдиних цілей.
Необхідно зазначити, що всередині окремого вузу цей напрямок може бути реалізований лише частково. Більшою мірою він пов'язаний із загальною системою управління вузами і відповідними регламентами міністерства, які недостатньо відображають світові тенденції управління освітою.
Високо цінується викладачами справедливість оцінки праці (ранг 5). Оцінка ж справедливості оцінювання у вузі є однією з найнижчих (ранг 12,5). Через складність оцінювання діяльності викладача виправити цю ситуацію непросто.
Можна запропонувати два напрямки цієї роботи. З одного боку, необхідно розробляти нові показники якості роботи професорсько-викладацького складу. Вони можуть включати експертні методи оцінки, опитування студентів і т.д. З іншого боку, потрібно здійснити перехід від формального "паперового" оцінювання до оцінювання, яке вимагає особистої участі й особистої відповідальності за точність керівників усіх рангів — від завідувача кафедрою до ректора. Ці питання частково розглянуті у виданні [102].
Без боротьби з формалізмом і надання професорсько-викладацькому складу максимально можливої самостійності не можна створити високу корпоративну культуру.
Завершуючи аналіз цінностей, варто зробити таке зауваження до методики роботи. Деякі цінності (наприклад, "матеріальний добробут, заробіток" або "надійне майбутнє") мають високе значення не тільки тому, що це — властивість особистості, але й тому, що відповідна потреба не задоволена. З іншого боку, деякі цінності викладач вважає малозначимими тому, що відповідна потреба цілком задоволена.
Корисні для менеджменту висновки можна зробити на основі аналізу задоволення від реалізації трудових цінностей верстатників на підприємстві.
Найбільше задоволення вони отримують від реалізації цінностей, "вигідних" з точки зору підприємства ("користь для підприємства", "відповідальна робота", "користь для споживача", "досконалість у роботі"). Дуже важливо, що верстатник відчуває свою роботу корисною і відповідальною, такою, яка дає можливість досягнути досконалості.
З іншого боку, багато цінностей, які мають високу значимість для верстатника (справедливість оцінки праці), погано реалізуються. Звернемо також увагу на реалізацію цінностей, що отримали найнижчі оцінки, хоча вони, здавалося б, важливі для респондентів: "просування по службі", "участь в управлінні".
Що стосується середньої за величиною оцінки реалізації "гарного заробітку" і "соціальної підтримки", то це означає: "хочеться більше". Справа в тому, що зарплата на НКМЗ, де проводилося опитування, вища, ніж на більшості підприємств (зокрема, на машинобудівних заводах регіону), сплачується регулярно, завод зберіг більшість організацій соціальної сфери.
Недостатня реалізація інших цінностей може бути поліпшена за рахунок ряду організаційних заходів. Частина з них — загальна для викладачів вузів та робітників. Це, наприклад, введення довгострокових планів професійного зросту, описаних у главі 8, які підтримують впевненість у надійному майбутньому. Інша частина— специфічні заходи з удосконалення управління виробництвом.
На ступінь реалізації трудових цінностей суттєво впливають деякі характеристики верстатників. Так, задоволення від самореалізації у процесі праці у жінок істотно менше, ніж у чоловіків (відповідно 4,09 і 6,74 бала). Багато жінок з різних обставин змушені були працювати верстатницями, не маючи до цього покликання.
Задоволення від самореалізації у праці верстатників так залежить від їхньої освіти:
неповна середня — 5,5 бала,
повна середня — 6,29 бала,
середня спеціальна— 6,47 бала,
профтехучилище — 6,48 бала,
вища — 5,75 бала.
Таким чином, найбільш повно самореалізувалися ті, які обрали свою майбутню роботу вже при вступі до навчального закладу.
4. Трудові типи і трудові портрети
Щоб з'ясувати, до яких трудових типів належать студенти, проводився факторний аналіз даних про цінності студентів різних спеціальностей і з різним матеріальним становищем. Для прикладу у табл. 2 наведені результати аналізу 3 сукупностей студентів. Вважалося, що цінності, для яких факторне навантаження було більше, ніж 0,59-0,60 (це говорить про відносно високу кореляцію, тісний зв'язок), визначають відповідний трудовий тип. Цим випадкам у таблиці відповідають клітинки сірого кольору.
Таблиця2.Результати факторного аналізу трудових цінностей студентів (факторне навантаження для різних трудових типів)
| Трудові цінності | Факторне навантаження для трудових типів | |||||
| 1.1 Майстер | 4.1 Сибарит | 4.2 Заробітчанин | 1.1+4.2 Майстер-заробітчанин | 3.1 Командир | 2.1 Альтруїст | |
| Досконалість у роботі | 0,64 | 0,36 | 0,11 | 0,73 | 0,29 | 0,08 |
| Знання | 0,69 | 0,11 | 0,17 | 0,59 | 0,35 | 0,01 |
| Самореалізація | 0,61 | 0,40 | 0.07 | 0,44 | 0,56 | 0.02 |
| Творчість | 0,19 | 0,68 | 0,06 | 0,08 | 0,63 | 0,21 |
| Участь в управлінні | 0,20 | 0,72 | 0,00 | -0,11 | 0,79 | 0,05 |
| Досягнення цілей | 0,61 | 0.19 | 0,07 | 0,27 | 0,66 | -0,03 |
| Статус | 0.41 | -0.04 | 0,42 | 0,70 | -0,15 | 0,19 |
| Надійне майбутнє | 0,51 | -0,01 | 0,37 | 0,55 | 0,26 | 0,24 |
| Відсутність тиску | -0,17 | 0,47 | 0,56 | -0,07 | -0,02 | 0,65 |
| Спокійна робота | -0,17 | 0.47 | 0,58 | -0,10 | 0,13 | 0,73 |
| Користь для суспільства | 0,31 | 0,54 | 0,27 | 0,31 | 0,58 | 0,28 |
| Справедливість оцінювання | 0,22 | 0,37 | 0,55 | 0,30 | 0,29 | 0,54 |
| Цікава робота | 0,30 | 0,21 | 0,64 | 0,31 | 0,28 | 0,67 |
| Успіх | 0,24 | 0.50 | 0,39 | 0,28 | 0,46 | 0,50 |
| Товариші | 0,24 | 0,05 | 0,74 | 0,20 | 0,08 | 0,64 |
| Заробіток | 0,19 | 0,00 | 0,76 | 0,40 | -0,12 | 0,66 |
| Кількість респондентів, % | 23 | 19 | 32 | 23 | 24 | 23 |
| Досконалість у роботі | 0,67 | 0,06 | 0.12 | 0,74 | 0.01 | 0,40 |
| Знання | 0,37 | -0,21 | 0,51 | 0,72 | 0,04 | 0,34 |
| Самореалізація | 0,76 | 0,13 | 0,15 | 0,31 | 0,05 | 0,47 |
| Творчість | 0,48 | 0,42 | -0,12 | 0,13 | 0,46 | 0,39 |
| Участь в управлінні | 0,37 | 0,09 | 0,21 | -0,13 | 0,73 | 0,22 |
| Досягнення цілей | -0,02 | -0.03 | 0,26 | 0,25 | 0,63 | -0,09 |
| Статус | 0,20 | 0,02 | 0,57 | 0,62 | 0,08 | 0,09 |
| Надійне майбутнє | 0,14 | 0.21 | 0,24 | 0,48 | 0,37 | -0,36 |
| Відсутність тиску | 0,16 | 0,84 | 0,14 | 0.12 | 0,69 | -0,01 |
| Спокійна робота | 0,05 | 0,70 | 0,29 | 0,04 | 0,54 | 0,35 |
| Користь для суспільства | 0,11 | 0,27 | 0,35 | 0,04 | 0,03 | 0,82 |
| Справедливість оцінювання | 0,17 | 0.28 | 0,59 | 0,26 | 0,19 | 0,56 |
| Цікава робота | 0,09 | 0,22 | 0,62 | 0,56 | 0,34 | 0,38 |
| Успіх | 0,18 | 0,20 | 0,41 | 0,31 | 0,44 | 0,55 |
| Товариші | 0,09 | 0,29 | 0,74 | 0,62 | 0,23 | 0,38 |
| Заробіток | 0,14 | 0,32 | 0,66 | 0,77 | 0,05 | -0,04 |
| Кількість респондентів, % | 21 | 27 | 15 | 15 | 21 | 27 |
Були встановлені такі трудові типи: 1 — майстер, 2 — альтруїст, 3 — командир, 4 — сибарит і 5 — заробітчанин.
Для майстра важливі такі цінності, як "досконалість у роботі" і "знання" (оскільки студент навчається, поняття "праця" і "навчання" у нього деякою мірою співпадають). Майже завжди велике значення має самореалізація, часто — досягнення цілей, іноді — користь для суспільства, статус. Часто відносно невисоке значення має заробіток. Однак є випадки, коли людина хоче добре трудитися і одночасно добре заробляти. Такий варіант (поєднання типів "майстер" і "заробітчанин") характерний для групи студентів з відносно невисоким матеріальним становищем (вибірка В).
У деяких вибірках присутній тип "альтруїст", для якого головне — користь для людей. Суттєве значення для цього типу людей має самореалізація і справедливість оцінки праці, яка трактується у цьому випадку як справедливість взагалі. Заробіток часто не має великого значення.
Майже у всіх вибірках присутній тип "командир", для якого головне — участь в управлінні людьми, організаціями, процесами. Для цих людей характерне також прагнення до досягнення цілей. Слід підкреслити, що управлінці як психологічний тип у більшості випадків люди творчі. Заробіток для них не має великого значення. Іноді важливим є відсутність тиску, але ця цінність у даному випадку розуміється як самостійність, яку ці люди оцінюють високо.
У більшості вибірок присутній тип "заробітчанин". Для нього головне — заробіток. На жаль, у нашому суспільстві цей тип часто не є активним. Ці люди взагалі полюбляють задоволення. Для них важливі гарні товариші, нерідко і цікава робота. У більшості випадків (крім вибірок В, Г) досконалість у роботі, самореалізація у праці для них мають невелике значення.
Найбільш пасивним є тип "сибарит" або "любитель комфорту". Для нього головне — спокійна робота, відсутність тиску. Ні досконалість у роботі, ні самореалізація не мають значення, ніяких цілей перед собою ці люди не ставлять. Нерідко цей тип поєднується з типом "заробітчанин" у спільну групу "біоцентрист".
За результатами факторного аналізу можна простежити, якою мірою пов'язана така суто особистісна, активна властивість, як прагнення до самореалізації, із трудовими типами. Найміцніший зв'язок характерний для типу "майстер", слабший — для типів "командир" і "альтруїст" і зовсім слабкий, практично відсутній, для групи типів "біоцентрист".
Надаючи великого значення виявленню трудових типів у тій чи іншій професійній групі або організації, не слід забувати, що у чистому виді ці типи зустрічаються рідко, а психологічний портрет конкретної людини — це баланс розглянутих цінностей. На рис.10 портрет подано як значимість цінностей, які визначають різні трудові типи, характерні для студентів. На всіх діаграмах домінуючі типи виділені відокремленням відповідного сектора. Приймаючи рішення у сфері своєї трудової або навчальної діяльності, людина вирішує багатокритеріальну задачу, ніби використовуючи принцип голосування, але підштовхнути її у позитивному напрямку повинна висока корпоративна культура всієї організації та її підрозділу, в якому вона працює або учиться.

Рис. 10. Характерні трудові портрети студентів (значимість цінностей,які визначають трудові типи у %, 2002 р.)
Результати факторного аналізу даних опитування викладачів подано у табл. 3. Респонденти розділилися на три мотиваційних типи: "учені", "соціоцентристи" і "біоцентристи".
Для "учених" найбільше значення мають пізнання і самореалізація, для "соціоцентристів", "наставників" — робота (нагадаємо — це, в основному, робота викладача) і "щастя суспільства", для "біоцентристів" — матеріальний добробут, здоров'я і дозвілля. Факторне навантаження виявляє чітку закономірність: самореалізація, яка є сутнісно-особистісною властивістю, найбільшою мірою пов'язана із трудовим типом "майстер", меншою — із групою "соціоцентрист", типом "наставник" і зовсім не пов'язана із типом "біоцентрист".
Серед "виробників" свідомість "учених" більше звернена всередину, у себе. Це — інтроверти. Тому для них мають велике значення самореалізація і духовність Свідомість "соціоцентристів" більше звернена назовні, на інших людей. Це — екстраверти. Тому для них мають велике значення альтруїстські цінності, а також друзі.
Наявність перших двох типів характерна для вузу, і вони, безсумнівно, бажані. Однак необхідно визнати, що це різні типи.
До них повинні висуватися різні вимоги і використовуватися різні методи мотивації. Від "ученого" необхідно вимагати більше публікацій, винаходів, швидкого пересування драбиною учених ступенів, усіляко заохочувати ці досягнення і т.д. Доцільним буде зменшити для нього аудиторне навантаження.
Таблиця 3. Мотиваційні типи і факторні навантаження, отримані при аналізі життєвих цінностей викладачів
| Життєві цінності | 1.3 Учений | 2Соціоцентрист, наставник | 4Біоцентрист |
| Дозвілля | -0,02 | 0,04 | 0,75 |
| Друзі | 0,06 | 0,67 | 0,52 |
| Здоров'я | -0,13 | 0,30 | 0,84 |
| Матеріальний достаток | 0,23 | -0,04 | 0,85 |
| Визнаний успіх | 0,64 | 0,44 | 0,01 |
| Пізнання | 0,87 | -0,01 | 0.05 |
| Праця (переважно - навчальна) | 0,28 | 0,82 | -0,03 |
| Самореалізація | 0,82 | 0,30 | -0,08 |
| Свобода | 0,50 | 0,51 | -0,04 |
| Сім'я | 0,35 | 0,46 | 0,42 |
| Щастя для суспільства | 0,21 | 0,76 | 0,19 |
| Духовність, релігія | 0,69 | 0,25 | 0,21 |
| Кількість респондентів, % | 37,5 | 37,5 | 25 |
Від "наставника" потрібно вимагати більшої педагогічної майстерності, більш ефективної виховної роботи, більшої кількості методичних розробок високого рівня, його можна заохочувати шляхом присвоєння звання "кращий лектор", "кращий асистент" з відповідними цінними винагородами, переводити на посаду доцента і професора до затвердження цих звань ВАКом.
Розподіл робіт відповідно до ціннісних орієнтацій і здібностей людей різко підвищить їхнє задоволення від власної праці, їх відданість вузу.
Оцінка з погляду управління персоналом третього типу викладачів-"біоцентристів" вимагає додаткового аналізу. Важливе сполучення цінностей "біоцентриста" з іншими цінностями. Те, що людина дбає про свій матеріальний добробут, здоров'я та дозвілля (факторне навантаження відповідно: а = 0,89; 0,84 і 0,75), цілком природно, але те, що група цих викладачів (1/4 опитаних) мало цікавиться роботою, самореалізацією і байдужа до щастя людей (факторне навантаження відповідно: а = -0,03; -0,08; 0,19), насторожує. Це, зокрема, вказує на той факт, що підбір кадрів здійснюється формально, без залучення психологів. Але є й інша причина такого явища.
Формування особистості продовжується протягом всього людського життя, особливо до 45 років (див. наприклад, рис.3). Багато викладачів працюють у вузі 10-20 і більше років. Відповідно, певною мірою вони формувалися як особистості у вузі. Тому велика кількість "біоцентристів" свідчить про недосконалість корпоративної культури та системи мотивації у вузі. "Тут багато тих, хто працює добре, але можна працювати і погано" (запис у одній з анкет). На думку більшості респондентів, планування роботи, звітність і контроль є формальними. "Добре заповнені папери — гарний викладач, погано — поганий" (типовий запис у анкеті).
Оцінювання праці здійснюється відповідно до виробітку, але не за якістю: слабко мотивуються вищі досягнення у науці, лекторській майстерності, іноді зневага до етичних норм залишається непоміченою.
Результати факторного аналізу даних про трудові цінності дозволили уточнити мотиваційні типи, які були виявлені при факторному аналізі життєвих цінностей. Наприклад, у табл. 4 наведені дані, отримані у одному із вузів України. Тут чітко проглядається розподіл основної частини професорсько-викладацького складу на "учених" і "наставників". Для перших головне — це творчість, самореалізація, "експериментування і реалізація ідей", "можливість роботи над дисертацією". Для других — це "можливість вчити", але їх важко відокремити від альтруїстів (важливою є "користь праці для студентів і суспільства в цілому").
"Біоцентристи" у деяких випадках виступають загальною групою, а у інших поділяються на "заробітчан" (головне — заробіток, соціальна підтримка) і "сибаритів" (головне — відсутність перевантажень, відсутність тиску).
Встановлено, що для визначеної групи респондентів потреба у визнанні успіху і важливості статусу є не фоновою рисою особистості, а її основною властивістю. Ці люди, як правило, кар'єристи. Часто зазначені риси поєднуються з потребою управляти людьми, бо керівник "завжди на сцені". В одних він викликає захоплення, в других — повагу, в третіх — страх. Отут мимоволі згадуємо "Маленького принца" Сент-Екзюпері: "Земля — планета не проста! На ній нараховується сто одинадцять королів..., сім тисяч географів, дев'ятсот тисяч ділків, сім з половиною мільйонів п'яниць, триста одинадцять мільйонів честолюбців, разом біля двох мільярдів дорослих". Так, честолюбців занадто багато, і менеджерам не можна не зважати на це.
Порівнюючи гіпотетичну структуру мотиваційної сфери і результати її експериментально-статистичної перевірки шляхом опитування студентів і викладачів можна зробити висновки, що з деякими застереженнями передбачувана структура підтверджується, хоча для конкретної професійної групи присутні не всі мотиваційні типи.
Таблиця4. Мотиваційні типи і факторні навантаження, отримані при аналізі трудових цінностей викладачів
| Трудові цінності | 1.3 Учений | 2 Соціоцентрист, наставник | 3.2 Честолюбець | 4 Біоцентрист |
| Велика відпустка | -0,06 | 0,06 | 0,60 | 0,13 |
| Можливість подальшого навчання | 0,49 | 0,19 | -0.14 | 0,34 |
| Можливість навчати | 0,16 | 0,70 | -0,03 | 0,01 |
| Можливість кар'єри | 0,35 | -0,31 | 0,58 | 0,24 |
| Можливість роботи над дисертацією | 0,76 | -0,10 | -0,03 | 0,04 |
| Самореалізація | 0,77 | 0,20 | 0,17 | 0,05 |
| Можливість творчості | 0,84 | -0,12 | 0,05 | 0,23 |
| Можливість управління людьми | 0,64 | 0,04 | 0,46 | -0,25 |
| Експериментування, реалізація ідей | 0,77 | 0,32 | -0,15 | 0,13 |
| Надійне майбутнє | 0,45 | 0,11 | 0,12 | 0,46 |
| Відсутність тиску, диктату | 0,28 | -0,08 | 0,39 | 0,52 |
| Відсутність перевантажень | -0,16 | -0,02 | 0,36 | 0,77 |
| Користь праці для студентів | 0,18 | 0,74 | 0,17 | 0,28 |
| Користь праці для суспільства | 0,10 | 0,76 | 0,34 | 0,11 |
| Поважна робота | 0,05 | 0,39 | 0,78 | 0,13 |
| Соціальна підтримка | 0,16 | 0,26 | 0,09 | 0,63 |
| Справедливість оцінки | 0,07 | 0,21 | 0,12 | 0,84 |
| Визнаний успіх | 0,18 | 0,40 | 0,63 | 0,30 |
| Гарний заробіток | 0,25 | -0,47 | 0,07 | 0,68 |
| Добрі товариші | 0,07 | 0,10 | 0,04 | 0,73 |
Так, тип "командир" не надто типовий для більшості представників професорсько-викладацького складу.
Для даних респондентів типи "учений" і "новатор" можна розглядати разом. Для них також важко розділити типи "учений" і "майстер". Тип "наставник" часто є представником усієї соціоцентристської групи.
Завершуючи аналіз трудових цінностей викладачів, доводиться повернутися до проблеми: чи дійсно трудовий тип "командир" практично відсутній серед професорсько-викладацького складу?
Методичні труднощі полягають у тому, що у бажанні владарювати важко зізнатися навіть собі. У анкеті потрібно поставити надто багато питань, які могли б виявити і тим більше диференціювати трудовий тип "командир" (було поставлене тільки одне питання: "участь в управлінні вузом"). Тому доводиться доповнювати статистичні дані результатами багаторічних спостережень.
Серед викладачів вузів (як і серед викладачів шкіл) є група людей-властолюбців. Вони отримують задоволення, усвідомлюючи, що студенти (або школярі) залежать від них, більше того — що доля цих молодих людей або дітей знаходиться у їхніх руках. Зазвичай ці викладачі — люди з комплексом неповноцінності: їм не вдалося захистити дисертацію, зайняти посаду якого-небудь керівника, бути гідним чоловіком, главою родини і т.д. Такі викладачі невпинно демонструють свою владу, а іноді й прямо говорять про неї. Переконати або хоча б стримати їх часто не вдається ні їхнім колегам, ні безпосередньому керівнику.
Частіше жертвою таких властолюбців стають або не дуже здібні студенти (хоча вони цілком могли б задовільно навчатися за умови іншого ставлення до них), або обдаровані, які чимось відрізняються від інших, до чогось прагнуть (вони віддають перевагу певним предметам, мають право на вільне відвідування лекцій, достроково складають іспити і т.д.). Такі жертви властолюбців нерідко змушені кидати навчання або переходити у інший навчальний заклад.
Формуванню типу викладача-властолюбця сприяє автократичний тип організаційної культури у вузі або школі і, навпаки, перешкоджає особистісно-орієнтований демократичний менеджмент. Можна навіть сказати, що викладач, який демонструє свою владу над учнями, може існувати тільки за автократичної системи, причому вину за його діяння несе не тільки він сам, але й вся організація, особливо — її керівники.
Протистояти негативним проявам особистості викладача-властолюбця повинна не тільки система менеджменту, але і система самоврядування студентів.
Вивчення факторного навантажень знову показує, що самореалізація більш за все пов'язана з трудовим типом "учений", менше — із групою "соціоцентрист" і не пов'язана із групою "біоцентрист".
Щоб виявити основні мотиваційні типи верстатників, також був проведений факторний аналіз. У результаті його були виявлені: "майстер-альтруїст" (14,3% опитаних), "командир" (16,1%) і "заробітчанин" (69,6%). Наявність "майстра-альтруїста" відображає специфіку роботи верстатника на великому підприємстві. Робітник почуває себе членом великого колективу, який виконує певну місію. Звідси у людини, прихильної до праці, яка реалізує в ній свої здібності ("майстер"), з'являється турбота про користь праці для суспільства. У людини, схильної до управління іншими ("командир"), присутнє бажання виконувати відповідальну роботу, а також любов до спілкування.
Типи "майстер-альтруїст" і "командир" — важливі компоненти даної професійної групи. Перший — це еталон ідеального робітника, людина, яка любить свою спеціальність, у ряді випадків досягає звання кращого токаря, фрезерувальника і т.п. Другий — це претендент на посаду лінійного керівника (виробничого майстра).
Усе-таки перебільшувати роль соціоцентристських і особливо колективістських цінностей верстатника не варто. Вона більшою мірою залежить від тієї обставини, що, наприклад, на відміну від слюсаря-складальника або будівельника, верстатник не працює у бригаді, як у команді. Він "працює на себе", цьому сприяє відрядна оплата праці. Тому цінність "товариші" (це було виявлено при опитуванні 2000 p.), як і для викладачів вузів, але на відміну від студентів і респондентів у міжнародному опитуванні [49], не потрапила до числа перших трьох пріоритетних цінностей. Верстатники досить прагматичні. Тому серед них значна частина — це "заробітчани". Потрібно врахувати, що ці люди більшою мірою займаються регламентованою а-працею в той час, коли викладачі — новаційною β-працею. Нагадаємо, що серед останніх "біоцентристів", включаючи "заробітчан", було тільки 25%. Тому важливою задачею менеджера є забезпечення самореалізації робітників, гуманізація виробництва.
Правомірним є питання, чи існує у свідомості людей така чітка альтернатива, яка проявилася під час наших досліджень цінностей представників різних професійних груп у2008-2010pp.: праця, користь для людей, самореалізація або матеріальний добробут. Можливо, існує інша частина респондентів, для яких висока значимість праці для себе й інших, самореалізація поєднується із прагненням до матеріального добробуту? (У наших дослідженнях це проявилося тільки в 2009 р. у студентів з невисоким матеріальним становищем).
Такі ціннісні орієнтації більш характерні для західного менталітету. Згодом, у міру розвитку цивілізованого ринку з більшою відповідністю матеріальної винагороди кількості та якості праці, кваліфікації працівника, чисельність такої групи повинна зрости й у країнах колишнього СРСР, серед слов'янських народів.
Гуманізм — це єдність тіла і духу, індивідуального і соціального. Найвища ефективність діяльності — це також результат одночасної реалізації матеріальних і духовних потреб. Тому задача менеджменту — сприяти формуванню трудового типу "майстер" + "альтруїст" +"заробітчанин".
Опис цього комбінованого мотиваційного типу доцільно закінчити такими рядками:
"Якщо не я для себе, то хто для мене, і якщо я тільки для себе, то що я, і якщо не зараз, то коли?"
Піркей Авот (вислови батьків) 1:4
Ми розглянули ціннісні орієнтації співробітників. Використовуючи ці дані, певною мірою можна говорити про ціннісні орієнтації всієї організації. При цьому можна стверджувати, що рівень цінностей (наприклад, показники ролі) для організації при існуючій корпоративній культурі буде близьким до середнього рівня цінностей її співробітників. Декларований рівень, до якого прагне організація, завжди є вищим за середній рівень співробітників.
Висновки
1. Показниками ціннісних орієнтацій професійних, вікових чи інших груп, зокрема груп співробітників певних організацій або їхніх підрозділів, можуть бути:
- середня значимість кожної цінності у балах;
- частка (відносна кількість) респондентів, для яких дана цінність є високозначимою, наприклад P 8 (значимість ≥8 при 10-бальній шкалі);
- показник ролі цінності П — відношення Р8 даної цінності до Р8 заробітку й інші.
Особливе значення мають дві групи цих показників: а) показники, які характеризують трудову і гуманістичну спрямованість цінностей ("досконалості у роботі", "користі для суспільства, споживачів, своєї організації" та ін.) і б) показники особистісного розвитку ("самоактуалізації" і "досягнення цілей").
Важливим інструментом вивчення цінностей різних професійних та інших груп, а також організації є аналіз розподілу значимостей.
2. Існує велика кількість методик вивчення ціннісних орієнтацій. Однозначно віддати перевагу будь-якій з них важко: вибір залежить від задач досліджень і можливостей (насамперед від виділеного часу для опитування).
Відносно об'єктивні дані про ціннісні орієнтації співробітників, які визначають спрямованість трудової поведінки останніх, може дати пряме анонімне опитування за умови наявності в анкеті декількох модулів з різним ступенем віддалення від ідеального образу і наближення до конкретної реальної дійсності.
3. Для більшості досліджених груп працівників і студентів за значимістю трудових цінностей і числом респондентів, які вважають їх найважливішими, цінності розташовуються приблизно так: 1) "заробіток", 2) "надійне майбутнє", 3) "цікава робота", 4) "товариші", і т.д. Зміна перших 4-х рангів для різних груп незначна. Для таких активних цінностей як "самореалізація", "досконалість у роботі", "досягнення цілей" ця зміна стає великою. Так, наприклад, самореалізація є найбільш важливою для студентів і найменш важливою — для верстатників.
4. Вивчення розподілів значимості "творчості" як трудової цінності показало, що значна кількість молодих респондентів вважає її нормою, без якої неможливо уявити процесу праці, а для 15% ця цінність є найбільш важливою.
5. Установлено, що введений особистісно-динамічний індекс (враховує значимість "самореалізації" і "досягнення цілей") визначає інші важливі показники, наприклад, "прагнення до досконалості у роботі", "творчість" і певною мірою — "ефективність праці", "прагнення бути корисним для людей".
6. Така сутнісно-особистісна цінність, як "самореалізація", більш за все пов'язана із групою трудових типів "трудоцентрист", менше — із групою "соціоцентрист" і практично не пов'язана із групою "біоцентрист". Тому розвиваючи прагнення до самореалізації, можна сподіватися, що збільшиться кількість людей, захоплених роботою, творчістю і навпаки — виховуючи прагнення до досконалості у роботі, розвиваючи творчі задатки людини, можна бути упевненим: буде більше людей, які знайшли щастя у саморе-алізації.
7. При вивченні співробітників конкретної організації або подібних організацій кількість трудових типів є відносно невеликою — до трьох-п'яти. Наприклад, для професорсько-викладацького складу вузу це "учені" — 37,5% працівників, "наставники" (власне "викладачі") — 37,5% і "біоцентристи" — 25%. Подібні цифри певною мірою характеризують культуру організації.
8. З віком (до 30-40 років), ростом кваліфікації, активності трудоцентристські, соціоцентристські й особистісно-динамічні показники, а також показники їх ролі (у порівнянні із заробітком) зростають: це свідчить про те, що відповідні риси особистості посилюються у процесі освіти, трудової діяльності, самоусвідомлення. Потім спостерігається їх зниження. Особливо сильно зменшується прагнення до досягнення цілей. Крім вікових змін, стану суспільства та інших факторів, зазначена негативна зміна пов'язана із недоліками системи управління персоналом.
9. За останні роки різко зменшилась і продовжує зменшуватися значимість соціоцентристських цінностей, альтруїзму, такої цінності, як "щастя для суспільства", "користь для суспільства". Це пов'язано з комплексом причин: відмовою від показових цінностей соціалістичної культури, усвідомлення нерівноцінного обміну між роботодавцем (раніше — державою) і працівником, сприйняттям негативних цінностей західної культури, ринкової економіки без освоєння її позитивних цінностей і реалізації економічних результатів ринкового господарства.
Важливість трудоцентристських цінностей з роками змінюється мало.
Література
1. Азгальдов Г.Г., Райхман Э.П. О квалиметрии. — М.: Изд.-во стандартов, 1973. — 172 с.
2. Андреева Г.М. Социальная психология: Учеб. для вузов. — М: Аспект-пресс, 1999. — 367 с.
3. Ансофф Н. Новая корпоративная стратегия. — СПб.: Питер, 1999.— 416 с.
4. Аоки М. Фирма в японской экономике / Пер. с англ. — СПб.: Лениздат, 1995. — 431 с.
5. Афонин А.С. Основы мотивации труда. — К.: МЗУУП, 1993. — 304 с.
6. Бердяев Н.А. Смысл истории. — М.: Мысль, 1990. — 175 с.
7. Библия. Книги Священного Писания Ветхого и Нового завета канонические/ В русск. пер. — К.: Укр. библейск. об-во, 1996. — 1272 с.
8. Брехман И.И. Введение в валеологию — науку о здоровье. — Л.: Наука, Ленингр. отд-ние, 1987. — 125 с.
9. Вебер М. Избранные произведения / Пер. с нем. — М.: Прогресс, 1990.— 880 с.
10. Вейлл Питер. Искусство менеджмента / Пер. с англ. — М.: Новости, 1993. — 224 с.
11. Виханский О.С, Наумов A.M. Менеджмент: Учеб. — 3-е изд. — М.: Гардарика, 1998. — 528 с.
12. Всеобщее управление качеством: Учеб. для вузов / О.П. Глуд-кин, Н.М. Горбунов, А.И. Гуров, Ю.В. Зорин; Под ред. О.П. Глудкина. — М.: Радио и связь, 1999. — 600 с.
13. Гвишиани Д.М. Организация и управление. — 3-е изд., пере-раб. — М.: Изд-во МГТУ им. Н.Э.Баумана, 1998. — 332 с.
14. Гегель Г.В.Ф. Философия религии: В 2 т. / Общ. ред. и вступ, ст. А.В. Гулыги; Пер. с нем. М.И.Левиной. — Т.1. — М.: Мысль, 1975.— 532 с.
15. Генкин Б.М. Экономика и социология труда: Учеб. — М.: НОРМА-ИНФРА, 1999. — 384 с.
16. Гительман Л.Д. Преобразующий менеджмент. Лидерам реорганизации и консультантам по управлению: Учеб. пособие. — М.: Дело, 1999. — 496 с.
17. Грабченко А.И. Современные тенденции развития машиностроительного производства и подготовка специалистов // Резание и инструмент. — Харьков: ХГПУ, 1995-1996 гг. — С. 236-244.
18. Грачев М.В. Управление трудом (теория и практика капиталистического хозяйствования). — М.: Наука, 1977. — 103 с.
19. Гурвич И. Социальная психология здоровья. — СПб.: Изд-во СПб. ун-та, 1999.— 102 с.
20. Дворянкин A.M., Половинкин А.И., Соболев А.Н. Методы синтеза технологических решений. — М.: Наука, 1977. — 103 с.
21. Деловой этикет. — К.: Альтерпресс, 2000. — 232 с.
22. Джефкінс Френк. Реклама / Доповн. і ред. Даніела Ядіна; Пер. з англ. — К.: Знання, 2001. — 455 с.
23. Джонс Дж. К. Методы проектирования / Пер. с англ. — 2-е изд., доп. — М.: Мир, 1986. — 326 с.
24. Дмитренко Г. Факторы богатства и бедности. Концепция ант-ропосоциального управления переходным обществом // Персонал. — 1998. — №1. — С. 7-11.
25. Дмитренко Г.А. Стратегический менеджмент: целевое управление персоналом организации: Учеб. пособие. — К.: МАУП,
1998. — 187 с.
26. Добрынин А.И., Дятлов С.А., Цыренова Е.Д. Человеческий капитал в транзитной экономике: формирование, оценка, эффективность использования. — СПб.: Наука, 1998. — 309 с.
27. Егоршин А.П. Управление персоналом. — Н.Новгород: НИМБ, 1997. — 607 с.
28. Ермолаев О.Ю. Математическая статистика для психологов: Учебник. — М.: Флинта, 2003. — 336 с.
29. Ерышев А.А. Религиоведение: Учеб. пособие. — К.: МАУП,
1999. — 208 с.
30. Ивин А.А. Введение в философию истории. — М.: Владос, 1997.— 288 с.
31. Ильин Е.П. Мотивация и мотивы. — СПб.: Питер, 2002. — 512 с.
32. История и культурология: Учеб. пособие для студентов вузов. — 2-е изд. / Н.В. Шишова, Т.В. Акулич, М.И. Бойко и др.; Под ред. Н.В. Шишовой. — М.: Логос, 2000. — 456 с.
33. Камерон К., Куинн Р. Диагностика и изменение организационной культуры / Пер. с англ. — СПб.: Питер, 2001. — 320 с.
34. Карлоф Б. Деловая стратегия: концепция, содержание, символы / Пер. с англ. — М.: Экономика, 1991. — 240 с. .
35. Карнеги Д. Как завоевывать друзей и оказывать влияние на людей / Пер. с англ. — Л.: Лениздат, 1992. — 708 с.
36. Катульский Е. Мотивация на рынке труда // Вопросы экономики. — 1997. — №2. — С. 92-101.
37. Кіпень В., Коржів Г. Викладачі вузів: соціологічний портрет. — Донецьк: ДНУ: ПП"Істро", 2001. — 198 с.
38. Козелецкий Ю. Человек многомерный: Психологическое эссе. — К.: Лыбидь, 1991. — 288 с.
39. Колесников Г. Стратегическое управление и организационная культура // персонал. — 2000. — №3. — С. 40-46.
40. Коллинз Д, Поррас А. Основные ценности или дальновидность Вашей компании // Персонал. — 1998 — №1 _
С. 92-100.
41. Колот A.M. Мотивація, стимулювання й оцінка персоналу: Навч. посібник. — К.: КНЕУ, 1998. — 224 с.
42. Комаров Е. Миссия фирмы "Сони" // Управление персоналом. — 1999. —№12. — С. 42-46.
43. Кричевский Р.Л. Если Вы руководитель: Элементы психологии менеджмента в повседневной работе. — 2-е изд., доп. и пе-рераб. — М.: Дело, 1996. — 384 с.
44. Крюкова Е. Лозунги как квинтэссенция миссии фирмы // Управление персоналом. — 1999. — №12. — С. 37-39.
45. Культурология: Учеб. пособие / Составитель и отв. ред. А.А. Радуги. — М.: Центр, 2001. — 304 с.
46. Леонтьев А.Н. Деятельность. Сознание. Личность. — М.: Политиздат, 1982. — 304 с.
47. Леонтьев Д.А. Методика изучения ценностных ориентации. — М.: Смысл, 1992. — 17 с.
48. Ломов Б.Ф. Вопросы общей педагогической и инженерной психологии. — М.: Педагогика, 1991. — 296 с.
49. Магун В. Трудовые ценности работающего населения // Вопросы экономики. — 1996. — №1. — С. 47-62.
50. Майминас Е. Российский социально-экономический генотип // Вопросы экономики. — 1991. — №1. — С. 131-141.
51. Малахів В. Етика: Курс лекцій. — К.: Либідь, 1996. — 304 с.
52. Маркс К. Капитал. Т.1 // Маркс К., Энгельс Ф. Соч. — 2-е изд. — Т. 23.
53. Маршалл А. Принципы экономической науки: В 3 т. / Пер. с англ. — М.: Прогресс, 1993. — Т.1. — 415 с.
54. Маслоу А. Психология бытия / Пер. с англ. — М.: Рефл-бук-К.: Ваклер, 1997.— 304 с.
55. Матрос Л.Г. Социальные аспекты проблемы здоровья/ Отв.ред. Бородин Ю.И.; Рос.акад.спец.наук. Президиум Сиб.отд-ния. — Новосибирск: Наука, 1992. — 158 с.
56. Методы сбора информации в социологических исследованиях. — Кн. 1. Социологический опрос / Отв. ред. ВТ. Андреен-ков, Ю.Н. Толстова. — М.: Наука, 1987. — 232 с.
57. Мильнер Б. Управление знаниями — вызов XXI века // Вопросы экономики. — 1999. — №9. — С. 108-118.
58. Мифы народов мира: Энциклопедия: В 2 т. / Отв.ред. С.А.Токарев. — М.: Сов.энциклопедия, 1991. — ТІ, А-К. — 671 с.
59. Національна доктрина розвитку освіти // Освіта України, №33. — 23.04.02. — С. 4-6. (63/)
60. Нейсбит Дж., Эбедин П. Перестройка корпорации: Реферат // США — экономика, политика, идеология. — 1986. — №12. — С. 71-80. (64)
61. Немов Р.С. Психология: Учеб.: В 3 кн. — М.: Владос, 1997-1998. — Кн.1. — 688 с; Кн. 2. — 608 с; Кн. 3. — 632 с.
62. Нестеренко О.И. Краткая энциклопедия дизайна. — М.: Мол. гвардия, 1994. — 315 с.
63. Норберт Том. Управление изменениями // Проблемы теории и практики управления. — 1998. — №1. — С. 52-57.
64. Осипова А.А. Общая психокоррекция. — М.: Сфера, 2000.— 512 с.
65. Паккард Д. Завоевание пространства: Как это делается у нас в Хьюлет Паккард / Пер. с англ. — СПб.: Азбука-Терра, 1997.— 208 с.
66. Петрушин В.И., Петрушина Н.В. Валеология: Учеб.пособие. — М.: Гардарики, 2002. — 432 с.
67. Питере Т., Уотермен Р. В поисках эффективного управления (опыт лучших компаний) / Пер. с англ. — М.: Прогресс, 1986. — 23 с.
68. Похлебкин В.В. Международная символика и эмблематика. — М.: Междунар. отношения, 1989. — 301 с.
69. Практикум по социально-психологическому тренингу / Под ред. Б.Д. Парыгина. — СПб.: Изд-во Михайлова В.А., 2000. — 352 с.
70. Пригожий А.И. Современная социология организаций. — М., 1995
71. Пронников В.А., Ладанов И.Д. Управление персоналом в Японии: Очерки. — М.: Наука, 1989. — 207 с.
72. Психология: Словарь / Под общ. ред. А.В. Петровского, М.Г. Ярошевского. — М: Политиздат, 1990. — 494 с.
73. Психология: Учеб. / Отв. ред. А.А. Крылов. — М.: Проспект,
1999. — 584 с.
74. Психотерапевтическая энциклопедия / Под ред. Б.Д. Карвасар-ского. — СПб.: Питер, 1999. — 752 с.
75. Радугин А.А., Радугин К.А. Введение в менеджмент: социология организаций и управление. — Воронеж: Гос. арх.: Строит, акад: Высш. шк. предприним., 1995. — 194 с.
76. Ромат Е.В. Реклама. — К.: Харьков: НВФ "Студцентр",
2000. — 480 с.
77. Рудестам К. Групповая психотерапия. Психокоррекционные группы: теория и практика. — М.: Прогресс, 1990. — 368 с.
78. Рюттенгер Р. Культура предпринимательства. — М., 1992.
79. Седун С. Миссия профессионала (Работник в роли философа. Рассуждения консультанта по созданию индивидуальной профессиональной миссии) // Управление персоналом. — 1999. — №12.— С. 53-56.
80. Сковорода Г.С. Сочинения. Т. 1-2. — М.: 1973.
81. Сенин И.Г. Опросник терминальных ценностей. / НПЦ "Психодиагностика". — Ярославль: Содействие, 1991. — 19 с.
82. Смоленцева А.Ю. Организационный подход в изучении проблем вуза (зарубежный опыт) // Социс. — 1999. — №6. — С. 83-88.
83. Сологуб Е.Б. Генетика и спорт. — Л: СПбГАФК им. П.Ф.Лес-гафта, 1998.— 41 с.
84. Соціологія: Короткий енциклопедичний словник / Уклад В.І. Волович, В.І. Тарасенко, М.В. Захарченко та ін.; Під заг. ред. В.І. Воловича. — К.: Укр. центр духовн. культури, 1998. — 736 с.
85. Соціологія: Підруч. / За ред. В.П. Андрущенка, МЛ. Горлача. — К.: Харків, 1998. — 624 с.
86. Спивак В.А. Корпоративная культура. — СПб.: Питер,
2001. — 352 с.
87. Спиркин А.Г. Философия: Учеб. — М.: Гардарики, 1999. — 816 с.
88. Стоуньер Т. Информационное богатство: профиль постиндустриальной экономики // Новая технократическая волна на Западе. — М.: Прогресс, 1986. — С. 391-409.
89. Татеиси К. Вечный дух предпринимательства: Практическая психология бизнесмена. — К.: Укринтур, 1992. — 204 с.
90. Теория проектирования инструмента и его информационное обеспечение, маркетинг, квалиметрия, надежность и оптимизация / Г.Л. Хает, B.C. Гузенко, Л.Г. Хает и др.; Под общ. ред. Г.Л. Хаета. — Краматорск: ДГМА, 1994. — 370 с.
91. Техники консультирования и психотерапии. Тексты / Ред.-сост. У.С. Сахакиан. Пер. с англ. — М.: АпрельПресс, ЭКСМО-Пресс, 2000. — 624 с.
92. Тоффлер А. Будущее труда // Новая технократическая волна на западе. — М.: Прогресс, 1986. — С. 250-275.
93. Травин В.В., Дятлов В.А. Основы кадрового менеджмента. — М.: Дело, 1995. — 336 с.
94. Удальцова М.В. Социология управления: Учеб. пособие. — М.: ИНФРА-М, 1998. — 144 с.
95. Устинов А.Г., Юров И.П. Эстетика труда и производства. — М.: Высш. школа, 1988. — 118 с.
96. Филипенко А. Цивилизационные детерминанты украинской экономической модели // Экономика Украины. — 1994. — №4.— С. 11-19.
97. Философский энциклопедический словарь. — М.: ИНФРА-М, 2000. — 576 с.
98. Фоли Джон. Энциклопедия знаков и символов. — М.: ВЕЧЕ-АСТ, 1996.— 432 с.
99. Франкл В. Человек в поисках смысла: Сборник. — М.: Прогресс, 1990.— 368 с.
100. Фромм Э. Бегство от свободы/ Пер. с англ.; Общ. ред. П.С. Гу-ревича. — М.: Прогресс, 1990. — 272 с.
101. Хает ГЛ., Еськов А.Л. Введение в теорию проектирования технологических систем и управления трудом станочника. — Краматорск: ДГМА, 1998. — 102 с.
102. Хает Г.Л., Еськов А.Л. Управление мотивацией труда и оптимизация его среды. — Донецк: Ин-т экон. пром-сти НАН Украины, 2000. — 553 с.
103. Хает Г.Л., Медведева О.А. Корпоративная культура и ценности человека. — Краматорск: ДГМА, 2001. — 267 с.
104. Хает Л.Г., Солодухова ОТ., Бондаренко ИТ. Структура и взаимосвязь трудовых ценностей промышленных рабочих // Продуктивність. — 1999. — №3. — С. 42-45.
Ю5.Хекхаузен X. Мотивация и деятельность / Пер. с нем. — М.: Педагогика, 1986, — Т. 1. — 408 с; Т.2. — 392 с.
106.Шейнина Е.Я. Энциклопедия символов. — М.: Торсинг, 2001. — 580 с.
Ю7.Щекин Г.В. Как эффективно управлять людьми: психология кадрового менеджмента. — К.: МАУП, 1999. — 400 с.
108. Энциклика его святейшества папы Иоанна Павла II о человеческом труде. — К.: Ин-т праксеологии, 1991. — 62 с.
109. Энциклопедический словарь по культурологии / Под общ. ред.
A. А. Радугина. — М.: Центр, 1997. — 478 с.
ПО.Юнг К.Г. Психологические типы / Пер. с нем.; Под общ. ред.
B. В. Зеленского. — Минск: ООО "Попурри", 1998. — 656 с.
111. Юнг. К.Г. Бог и бессознательное. — М.: Олимп: ООО "АСТ-ЛТД"; 1998.— 480 с.
112. Ялом И. Теория и практика групповой психотерапии. — СПб.: Питер, 2000. — 640 с.
113.Яременко А., Балакирева О., Мищенко М. Рейтинг вузов // Персонал. — 2000. — №2. — С. 78-85.
114. Яценко Т.С, Кмит Я.М., Мошенская Л.В. Психоаналитическая интерпретация комплекса тематических психорисунков (глубиннопсихологический аспект). — М.: СИП РИА, 2000. — 194 с