| Скачать .docx |
Реферат: Экономические механизмы управления безопасностью труда
МИНИСТЕРСТВО ОБРАЗОВАНИЯ РФ
Государственное образовательное учреждение
высшего профессионального образования
«ГОСУДАРСТВЕННЫЙ УНИВЕРСИТЕТ УПРАВЛЕНИЯ»
Институт управления в промышленности и энергетике
Кафедра управления природопользованием и экологической безопасностью
Реферат
по дисциплине «Безопасность производственной деятельности»
на тему:
«Экономические механизмы управления безопасностью труда»
Выполнила студентка
очной формы обучения
специальности «Менеджмент организации»
специализации «Налоговый менеджмент»
II курса 1 группы
Ковалева Я.В.
Проверил
Рыбкин С.А.
Оглавление
Введение .......................................................................................................... 3
Глава1. Социально-экономическое значение, экономический механизм и источники финансирования охраны труда ..................................................................... 4
Глава2. Экономические последствия (ущерб) от производственного травматизма и профессиональных заболеваний .................................................................... 9
Глава3. Экономический эффект мероприятий по улучшению условий и охране труда. ............................................................................................................ 13
Глава4. Экономическая эффективность мероприятий по улучшению усло-вий и охране труда ................................................................................................. 15
Заключение ................................................................................................... 18
Список используемой литературы ............................................................ 19
Приложение .................................................................................................. 20
Введение
Одной из важнейших проблем современного общества является, на мой взгляд, обеспечение безопасности производственной деятельности на предприятии, в организациях, так как совершенно недопустимо в тех условиях, которых достигло общество вследствие технического и информационного прогресса, допускать причинение вреда здоровью человека на его рабочем месте.
Охрана труда - система обеспечения безопасности жизни и здоровья работников в процессе трудовой деятельности, включающая правовые, социально-экономические, организационно-технические, санитарно-гигиенические, лечебно-профилактические, реабилитационные и иные мероприятия. [1]
Из данного определения следует, что социально-экономический аспект в системе обеспечения безопасности производственной деятельности занимает немаловажную позицию, именно поэтому я выбрала его ключевой позицией своего реферата.
Цель работы – проанализировать имеющуюся информацию по данной проблеме, сопоставить со своей точкой зрения, раскрыть механизмы социально-экономического фактора управления безопасностью труда, определить его влияние на производственную деятельность предприятия и организации.
Теоретическая значимость моего реферата в том, что в процессе работы раскрываются теоретические аспекты данной проблемы, представляются формулы для расчета экономического ущерба от производственного травматизма и профессиональных заболеваний, систематизируются и анализируются данные из различных источников.
На мой взгляд, исследование проблемы дает возможность минимизации экономического ущерба от производственного травматизма и профессиональных заболеваний, что подтверждает практическую значимость данной работы.
Глава 1. Социально-экономическое значение, экономический механизм и источники финансирования охраны труда.
Социальное значение охраны труда заключается в содействии росту эффективности общественного производства путем непрерывного совершенствования и улучшения условий труда, повышения его безопасности, снижения производственного травматизма и заболеваемости. Социальное значение охраны труда проявляется во влиянии на изменение трех основных показателей, характеризующих уровень развития общественного производства.
Рост производительности труда в результате увеличения фонда рабочего времени за счет сокращения внутрисменных простоев путем предупреждения преждевременного утомления, снижения числа микротравм, уменьшения целодневных потерь рабочего времени по причинам временной нетрудоспособности из-за травматизма, профессиональной и общей заболеваемости.
Сохранение трудовых ресурсов и повышение профессиональной активности работающих за счет улучшения состояния здоровья, увеличения средней продолжительности жизни, что сопровождается увеличением трудового стажа; повышения профессионального уровня вследствие роста квалификации и мастерства в связи с увеличением трудового стажа; возможности использования остаточной трудовой активности, опыта и профессиональных знаний пенсионеров на доступных для них работах.
Увеличение совокупного национального продукта за счет улучшения указанных выше показателей.
Экономическое значение охраны труда определяется эффективностью мероприятий по улучшению условий и повышению безопасности труда и является экономическим выражением социального значения охраны труда. Экономическое значение охраны труда определяется результатами изменения социальных показателей, которые определяются следующими экономическими факторами:
Повышение производительности труда, а следовательно, и экономических результатов деятельности предприятия за счет создания комфортных условий для трудовой деятельности, например, путем обеспечения оптимальных параметров микроклимата, освещения и световой среды, учета психофизиологических и эргономических особенностей труда, формирования оптимальных режимов труда и отдыха, проведения лечебно-профилактических мероприятий.
Увеличение фонда рабочего времени за счет сокращения времени неявки на работу из-за травм и заболеваний. Следует обратить внимание на то, что условия труда существенно влияют не только на профессиональную заболеваемость, но и на возникновение и длительность общих заболеваний.
Экономия расходов на льготы и компенсации за работу в неблагоприятных условиях труда . Такие льготы и компенсации, как сокращенный рабочий день и дополнительный отпуск, связаны со значительными трудовыми потерями и сопровождаются выплатами больших денежных сумм за фактически неотработанное время. Такие разновидности льгот и компенсаций, как повышенные тарифные ставки, льготные пенсии, лечебно-профилактическое питание, бесплатная выдача молока, также требуют больших денежных средств. Создание условий, соответствующих допустимым нормативным требованиям, позволяет частично или полностью сократить эти расходы.
Снижение затрат из-за текучести кадров по условиям труда . Тяжелый труд, неблагоприятные санитарно-гигиенические условия труда, монотонность работы и т.п. является немаловажной причиной увольнения работников по собственному желанию. Текучесть рабочей силы наносит существенный экономический ущерб предприятию, т.к. требуются затраты денежных средств на процесс увольнения-найма, процесс обучения и стажировки вновь поступившего на работу. При этом до приобретения необходимого опыта и навыков производительность труда вновь поступившего на работу невелика.[2]
На рис.1 (см. приложение) представлена схема формирования социально-экономического эффекта мероприятий по охране труда.[3]
Экономический механизм обеспечения охраны труда включает:
· планирование и финансирование мероприятий по охране труда;
· обеспечение экономической заинтересованности работодателя во внедрении более совершенных средств охраны труда;
· обеспечение экономической ответственности работодателя за опасные или вредные условия труда на предприятии; за выпуск и сбыт средств производства, не отвечающих требованиям по охране труда; за вред, причиненный работникам увечьем, профессиональным заболеванием либо иным повреждением здоровья, связанными с исполнением ими трудовых обязанностей;
· предоставление работникам компенсаций и льгот за тяжелые работы и работы с вредными или опасными условиями труда, не устранимыми при современном техническом уровне производства и организации труда.[4]
Источники финансирования охраны труда. Финансирование охраны труда осуществляется за счет ассигнований, выделяемых отдельной строкой в республиканском бюджете Российской Федерации, в республиканских бюджетах республик в составе Российской Федерации, краевых, областных бюджетах краев и областей, городских бюджетах городов Москвы и Санкт-Петербурга, областном бюджетах автономной области, окружных бюджетах автономных округов, районных бюджетах районов, городских бюджетах городов, районных бюджетов районов в городах, бюджетах поселков и сельских населенных пунктов, прибыли (доходов) предприятий, а также из фондов охраны труда. Работники предприятий не несут каких-либо дополнительных расходов на эти цели.
Фонды охраны труда формируются на трех уровнях: Федеральный фонд охраны труда, территориальные фонды охраны труда и фонды охраны труда предприятий.
Федеральный фонд охраны труда формируется за счет целевых ассигнований, выделяемых Советом Министров - Правительством Российской Федерации и правительствами республик в составе Российской Федерации; части средств фондов охраны труда предприятий; суммы штрафов, налагаемых на должностных лиц за нарушения законодательства об охране труда; отчислений из фонда государственного (обязательного) социального страхования Российской Федерации; добровольных отчислений предприятий, добровольных взносов граждан и прочих поступлений.
Территориальные фонды охраны труда формируются за счет ассигнований из бюджетов национально-государственных и административно-территориальных образований Российской Федерации; части средств фондов охраны труда предприятий, расположенных на соответствующих территориях; добровольных отчислений предприятий, добровольных взносов граждан и прочих поступлений.
Предприятия ежегодно выделяют на охрану труда необходимые средства в объемах, определяемых коллективными договорами или соглашениями.
Помимо перечисленных фондов охраны труда, могут создаваться общественные фонды охраны труда.
Средства, направляемые в фонды охраны труда предприятий, расходуются исключительно на оздоровление работников и улучшение условий их труда.
Предприятия, использующие средства фондов охраны труда не по назначению, полностью возмещают затраченные средства в указанный фонд предприятия и уплачивают штраф в Федеральный фонд охраны труда в размере до 100 процентов средств, затраченных не по назначению.
Вопросы налогообложения фондов охраны труда регулируются налоговым законодательством Российской Федерации.[5]
Глава 2. Экономические последствия (ущерб) от производственного травматизма и профессиональных заболеваний
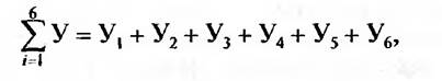
Экономические последствия (экономический ущерб У) в целом по предприятию, организации можно подсчитать по следующей формале:

- сумма потерь возмещения в связи с несчастными случаями, травмами, профессиональными заболеваниями, руб.
- потери, связанные с недополучением продукции из-за отсутствия работника (стоимость недополученной продукции), руб.
Потери возмещения (ущербы) складываются из следующих составляющих :

– возмещение бюджету государственного социального страхования расходов на выплату пособий по временной нетрудоспособности, если нетрудоспособность возникла по вине предприятия, организации, руб.
–
возмещение органам социального обеспечения сумм пенсий ( или части пенсии) инвалидам труда, если инвалидность наступила по вине предприятия, организации, руб.
- выплата пособий нетрудоспособным членам семьи в случае смерти работника от болезни или травмы, связанных с производством ( за потерю кормильца), руб.
-
выплата пособий при временном переводе работников на другую работу по состоянию здоровья (возмещение сократившегося заработка), руб.
– возмещение ущерба работающим при частичной потере трудоспособности (доплата до среднего заработка), если при временном переводе на другую работу или частичной утрате трудоспособности оплата пострадавшему производится по ранее занимаемой должности, то
и
из расчета исключаются, руб.
- затраты предприятия на профессиональную подготовку и переподготовку работающих, принимаемых на работу взамен выбывших по болезни и в связи с травмой, а также из-за неудовлетворенности условиями труда в силу их вредности и тяжести (возмещение потери трудового ресурса), руб.
, где Ч – число уволившихся из-за травм и профессиональных заболеваний (по данным отдела кадров), С – стоимость обучения одного человека на данном предприятии, руб. (по данным бухгалтерии).
Источником данных по пяти первым величинам является бухгалтерия предприятия. Прочие потери возмещения (ущербы) из-за их незначительности можно не учитывать.
Каждая из составляющих ущерба
где
- потери возмещения (ущербы), обусловленные травмами,
- потери возмещения (ущербы), обусловленные профессиональными заболеваниями.
Экономические потери (ущерб) от производственного травматизма и профессиональных заболеваний определяются не только потерями возмещений, но и условной стоимостью недополученной продукции в связи с выбытием работающего из производственного процесса, которая определяется в следующей формуле членом
.
В общем виде условная стоимость недополученной продукции (условные потери прибавочного продукта) определяются произведением числа дней нетрудоспособности из-за травматизма и профессиональных заболеваний на среднюю стоимость продукции, вырабатываемой работающим за один день. Условная стоимость недополученной продукции в целом по предприятию может быть определена путем суммирования стоимости недополученной продукции на каждом рабочем месте, где отсутствовал работник по причине получения травмы или профессионального заболевания, по формуле:

n – число рабочих мест на предприятии, на которых не выполнялась работа по причине отсутствия работника
- число потерянных на рабочем месте j трудовых дней по причине нетрудоспособности работника
- средняя стоимость продукции, вырабатываемой работником на рабочем месте j в день, руб.
- среднедневная заработная плата одного работающего на рабочем месте j, руб.
- коэффициент стоимости прибавочного продукта, создаваемого в день на рабочем месте по отношению к среднедневной заработной плате, зависит от отрасли и вида предприятия, в среднем принимается 1,4…1,5.
Анализ размеров ущерба, наносимого предприятию производственным травматизмом и профессиональными заболеваниями, используется в практике управления охраной труда для планирования первоочередных мероприятий по созданию безопасности и безвредных условий труда, экономического обоснования принимаемых решений.
Расчет ущерба может проводиться за разные периоды времени, но, как правило, рассчитывается годовой ущерб. В этом случае все составляющие ущерба и количество дней нетрудоспособности рассчитываются за год. [6]
Глава 3. Экономический эффект мероприятий по улучшению условий и охране труда.
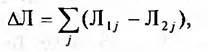
Экономический эффект (экономическая выгода В, руб.) в денежном выражении мероприятий по улучшению условий и охране труда определяется суммой предотвращенного ущерба (экономических последствий) ΔУ от производственного травматизма и профессиональных заболеваний, руб.; увеличением прибыли ΔП предприятия за счет прироста производительности труда, руб.; сокращением расходов ΔЛ на льготы и компенсации за работу в неблагоприятных условиях, руб.:
![]()
Предотвращенный ущерб ΔУ определяется разностью ущербов от травматизма и профессиональных заболеваний до (У1) и после (У2) мероприятий, подсчитываемых по формуле:
![]()
Увеличение прибыли ΔП (руб.) предприятия объясняется снижением себестоимости выпускаемой продукции вследствие роста производительности труда, обусловленного повышением работоспособности работников в более благоприятных условиях труда. Улучшение условий труда может быть достигнуто, например, за счет улучшения микроклиматических условий в рабочей зоне, повышения освещенности и улучшения характеристик световой среды, снижения напряженности труда, утомляемости за счет организации рабочего места в соответствии с эргономическими рекомендациями и т.п. Увеличение прибыли предприятия определяется суммированием увеличения прибыли (снижения себестоимости продукции) по каждому участку, рабочему месту, на которых проводились мероприятия по улучшению условий труда:
![]()
- соответственно прибыль, полученная за счет работы на участке (рабочем месте) j до и после проведения мероприятия, руб.
- соответственно себестоимость единицы продукции на участке j до и после проведения мероприятия, руб./ед., руб./т, руб./кг, руб./м3
(размерность в зависимости от вида продукции)
- соответственно количество единиц продукции, получаемой на участке j до и после проведения мероприятия, ед., т, м3
(размерность в зависимости от вида продукции)
Продукцией могут быть выпускаемые изделия, заготовки, число набранных на компьютере страниц текста, количество разработанных программ, выполненных технологических операций и т.п.
Сокращение расходов ΔЛ на льготы и компенсации обусловлено тем, что за счет мероприятий по улучшению условий труда снижается тяжесть или напряженность труда (был тяжелый – стал средней тяжести, был напряженный, стал – напряженный средней степени), снижается класс вредности (были вредные условия – стали допустимые), а это позволяет снять льготы и компенсации или уменьшить их размер.
Снижение расходов на льготы и компенсации также определяется суммированием по отдельным участкам или видам работ, на которых за счет мероприятий по улучшению условий труда удалось достичь сокращения расходов:

- соответственно расходы на льготы и компенсации работающим на участке j до и после мероприятий.[7]
Глава 4. Экономическая эффективность мероприятий по улучшению условий и охране труда
Экономическая эффективность мероприятий по улучшению условий и охране труда определяется соотношением полученного экономического эффекта (выгоды В, руб.) и понесенных для его получения затрат З, руб.
Для оценки экономической эффективности используют показатели чистого и общего (абсолютного) экономического эффекта. Показатель чистого экономического эффекта (годового экономического эффекта
) определяется по формуле:
![]()
Чем больше годовой экономический эффект
, тем выше экономическая эффективность мероприятия.
Затраты З на реализацию мероприятия рассчитываются по формуле
![]()
К
– капитальные вложения в мероприятие, руб. (затраты на приобретение средств защиты, модернизацию оборудования, создание или улучшение систем вентиляции, очистки и кондиционирования воздуха и т.п.);
- безразмерный нормативный коэффициент эффективности капитальных вложений, для мероприятий по охране труда принимается равным 0,08; С
– затраты на обслуживание и эксплуатацию систем обеспечения условий и охраны труда в год, руб.
Общая (абсолютная) экономическая эффективность
мероприятия определяется выражением
Мероприятие считается экономически эффективным, если
. Чем выше
, тем эффективнее мероприятие.
Эффективность капитальных вложений
в мероприятия по охране труда оценивают по формуле
![]()
Если
, то капитальные вложения следует считать эффективными.
Срок окупаемости капитальных вложений
Если
лет, то мероприятие считается окупаемым.
Экономический эффект мероприятий по охране труда не может и не должен являться единственным критерием целесообразности проведения мероприятий. Даже если экономические расчеты показывают неэффективность мероприятия, оно может быть реализовано, т.к. обладает большой социальной эффективностью. Предпочтение социального эффекта экономическому вовсе не означает второстепенность последнего, особенно в условиях рыночной экономики. Экономический эффект является не целью мероприятий, а лишь одним из аспектов их оценки. Имея представление не только о прямой и социальной, но и об экономической эффективности мероприятий, работодатель более планомерно может осуществлять затраты на их проведение и управлять социально-экономическими последствиями травматизма и профессиональных заболеваний.
Экономический эффект от вложения финансовых средств в системы безопасности достаточно часто выступает лишь в виде возможных экономических потерь от вероятной аварии или несчастного случая. Это является серьезным психологическим аспектом, побуждающим предприятия вкладывать свободные средства в мероприятия, дающие реальный доход, а не повышение безопасности производства. Однако «экономия» на безопасности ложна и чревата для предприятия серьезными убытками.[8]
Заключение
Анализируя данные, относящиеся к первой главе своей работы, я пришла к выводу, что государство, проявляя свои социальные функции, должно создавать благоприятные условия для обеспечения безопасности труда, благодаря которому можно повысить производительность труда, увеличить национальный продукт, сохранить трудовые ресурсы и повысить профессиональную активность работающих. Заинтересовавшись, в какой степени наше государство занимается подобными вопросами, я обнаружила, что с помощью определенных механизмов оно способно обеспечить экономическую заинтересованность предприятий в выпуске средств охраны труда, создании безопасных технологий и средств производства, что несомненно играет важную роль в формировании безопасности труда: «Прибыль предприятий, в том числе научно-исследовательских, технологических и проектно-конструкторских организаций, полученная за счет создания новых, более безопасных технологий и средств производства, выпуска и реализации средств коллективной и индивидуальной защиты работников, приборов контроля производственной среды, может подлежать льготному налогообложению в соответствии с налоговым законодательством Российской Федерации.» [9] . На мой взгляд, это довольно эффективная мера для повышения уровня обеспечения безопасности условий труда на предприятии. Не менее важный фактор – формирование и поддержка фондов охраны труда.
Главы 2-4 представлены формулы для расчета экономического ущерба от производственного травматизма и профессиональных заболеваний, экономического эффекта и эффективности мероприятий по улучшению условий и охране труда. В последней главе помимо этого, представлены рассуждения о реализации экономически неэффективных мероприятий по охране труда. Я согласна с тем, что порой экономический аспект уступает социальному, и некоторые мероприятия стоит проводить, даже если они не имеют экономической эффективности.
Итак, цели работы были достигнуты. Реферат имеет как теоретическую, так и практическую ценность.
В ходе работы были использованы следующие методы:
· теоретический анализ специальной и правовой литературы
· изучение и обобщение опыта
Список используемой литературы
1." Основы законодательства Российской Федерации об охране труда" (утв. ВС РФ 06.08.1993 N 5600-1) (ред. от 18.07.1995) - глава I статья 1 .
2. Охрана труда: учебник/ В.А.Девисилов. – 4-е изл.. перераб. и доп. – М.: ФОРУМ, 2009. – 496 с.: ил. – (Профессиональное образование) - стр. 424-425
3. Охрана труда: учебник/ В.А.Девисилов. – 4-е изл.. перераб. и доп. – М.: ФОРУМ, 2009. – 496 с.: ил. – (Профессиональное образование) - стр. 426
4. Основы законодательства Российской Федерации об охране труда" (утв. ВС РФ 06.08.1993 N 5600-1) (ред. от 18.07.1995) - глава III статья 16
5. Основы законодательства Российской Федерации об охране труда" (утв. ВС РФ 06.08.1993 N 5600-1) (ред. от 18.07.1995) - глава III статья 17
6. Охрана труда: учебник/ В.А.Девисилов. – 4-е изл.. перераб. и доп. – М.: ФОРУМ, 2009. – 496 с.: ил. – (Профессиональное образование) - стр. 428-430
7. Охрана труда: учебник/ В.А.Девисилов. – 4-е изл.. перераб. и доп. – М.: ФОРУМ, 2009. – 496 с.: ил. – (Профессиональное образование) - стр. 431-432
8. Охрана труда: учебник/ В.А.Девисилов. – 4-е изл.. перераб. и доп. – М.: ФОРУМ, 2009. – 496 с.: ил. – (Профессиональное образование) - стр. 432-434
9. Основы законодательства Российской Федерации об охране труда" (утв. ВС РФ 06.08.1993 N 5600-1) (ред. от 18.07.1995) - глава III статья 18
Приложение
Рис.1