| Скачать .docx |
Реферат: Дія іонізуючого випромінення на організм людини
Міністерство аграрної політики України
Миколаївський державний аграрний університет
Реферат на тему:
«Дія іонізуючого випромінення на організм людини»
Виконала студентка
групи Т 3/2
Онуфрієнко Н.Є.
Перевірив: Нікора М.М.
Миколаїв - 2006
План
Вступ
1. Визначення та природа іонізуючого випромінювання
2. Основні характеристики радіоактивного випромінювання
3. Дія іонізуючого випромінювання на організм людини
4. Норми радіаційної безпеки
5. Захист від радіаційного випромінювання
Висновок
Література
Вступ
Іонізуюче випромінювання — цебудь-яке випромінювання, яке прямо або опосередковано викликає іонізацію навколишнього середовища (утворення позитивно та негативно заряджених іонів).
Іонізуюче випромінювання існує протягом всього періоду існування Землі, воно розповсюджується в космічному просторі. Природними джерелами іонізуючих випромінювань є космічні промені, а також радіоактивні речовини, які знаходяться в земній корі.
Штучними джерелами іонізуючих випромінювань є ядерні реактори, прискорювачі заряджених частинок, рентгенівські установки, штучні радіоактивні ізотопи, прилади засобів зв'язку високої напруги тощо. Як природні, так і штучні іонізуючі випромінювання можуть бути електромагнітними (фотонними або квантовими) і корпускулярними.
1. Визначення та природа іонізуючого випромінювання
Термін "іонізуюче випромінювання" характеризує будь-яке випромінювання, яке прямо або опосередковано викликає іонізацію навколишнього середовища (утворення позитивно та негативно заряджених іонів).
Особливістю іонізуючих випромінювань є те, що всі вони відзначаються високою енергією і викликають зміни в біологічній структурі клітин, які можуть призвести до їх загибелі. На іонізуючі випромінювання не реагують органи чуття людини, що робить їх особливо небезпечними.
Іонізуюче випромінювання існує протягом всього періоду існування Землі, воно розповсюджується в космічному просторі. Вплив іонізуючого випромінювання на організм людини почав досліджуватися після відкриття явища радіоактивності у 1896 р. французьким вченим Анрі Беккерелем, а потім досліджений Марією та П'єром Кюрі, які в 1898 році дійшли висновку, що випромінювання радію є результатом його перетворення на інші елементи. Характерним прикладом такого перетворення є ланцюгова реакція перетворення урану-238 у стабільний нуклід свинцю-206.
Уран -238 → Терій - 234 → Протактиній - 234 → Уран - 234 → Свинець- 206
На кожному етапі такого перетворення вивільняється енергія, яка далі передається у вигляді випромінювань. Відкриттю Беккереля та дослідженню Кюрі передувало відкриття невідомих променів, які у 1895 році німецький фізик Вільгельм Рентген назвав Х-променями, а в подальшому в його честь названо рентгенівськими.
Перші ж дослідження радіоактивних випромінювань дали змогу встановити їх небезпечні властивості. Про це свідчить те, що понад 300 дослідників, які проводили експерименти з цими матеріалами, померли внаслідок опромінення.
Усі джерела іонізуючого випромінювання поділяються на природні та штучні (антропогенні).
Природними джерелами іонізуючих випромінювань є космічні промені, а також радіоактивні речовини, які знаходяться в земній корі.
Штучними джерелами іонізуючих випромінювань є ядерні реактори, прискорювачі заряджених частинок, рентгенівські установки, штучні радіоактивні ізотопи, прилади засобів зв'язку високої напруги тощо. Як природні, так і штучні іонізуючі випромінювання можуть бути електромагнітними (фотонними або квантовими) і корпускулярними. Класифікація іонізуючих випромінювань, яка враховує їх природу, наведена на рис. 1.1.
![]() |
Рис. 1.1. Класифікація іонізуючих випромінювань
Рентгенівське випромінювання виникає в результаті зміни стану енергії електронів, що знаходяться на внутрішніх оболонках атомів, і має довжину хвилі (1000 - 1) ∙ 10-12 м. Це випромінювання є сукупністю гальмівного та характеристичного випромінювання, енергія фотонів котрих не перевищує 1 МеВ.
Характеристичним називають фотонне випромінювання з дискретним спектром, що виникає при зміні енергетичного стану атома.
Гальмівне випромінювання - це фотонне випромінювання з неперервним спектром, котре виникає при зміні кінетичної енергії заряджених частинок.
Рентгенівські промені проходять тканини людини наскрізь.
Гамма (γ)-випромінювання виникають при збудженні ядер атомів або елементарних частинок. Довжина хвилі (1000 - 1) ∙10-10 м.
Джерелом γ -випромінювання є ядерні вибухи, розпад ядер радіоактивних речовин, вони утворюються також при проходженні швидких заряджених частинок крізь речовину. Завдяки значній енергії, що знаходиться в межах від 0,001 до 5 МеВ у природних радіоактивних речовин та до 70 МеВ при штучних ядерних реакціях, це випромінювання може іонізувати різні речовини, а також характеризується великою проникаючою здатністю, у-випромінювання проникає крізь великі товщі речовини. Поширюється воно зі швидкістю світла і використовується в медицині для стерилізації приміщень, апаратури, продуктів харчування.
Альфа (а)-випромінювання - іонізуюче випромінювання, що складається з а-частинок (ядер гелію), які утворюються при ядерних перетвореннях і рухаються зі швидкістю близько до 20 000 км/с. Енергія а -частинок - 2-8 МеВ. Вони затримуються аркушем паперу, практично нездатні проникати крізь шкіряний покрив. Тому а-частинки не несуть серйозної небезпеки доти, доки вони не потраплять всередину організму через відкриту рану або через кишково-шлунковий тракт разом із їжею, а-частинки проникають у повітря на 10-11 см від джерела, а в біологічних тканинах на 30-40 мкм.
Бета (β) -випромінювання - це електронне та позитронне іонізуюче випромінювання з безперервним енергетичним спектром, що виникає при ядерних перетвореннях. Швидкість (3-частинок близька до швидкості світла. Вони мають меншу іонізуючу і більшу проникаючу здатність у порівнянні з а-частинками. (3-частинки проникають у тканини організму на глибину до 1-2 см, а в повітрі - на декілька метрів. Вони повністю затримуються шаром ґрунту товщиною 3 см.
Потоки нейтронів та протонів виникають при ядерних реакціях, їх дія залежить від енергії цих частинок.
Контакт з іонізуючим випромінюванням являє собою серйозну небезпеку для життя та здоров 'я людини.
Однак при виконанні певних технічних та організаційних заходів цей вплив можна звести до безпечного.
Енергію частинок іонізуючого випромінювання вимірюють у позасистемних одиницях електрон-вольтах, еВ. 1 еВ = 1,6-10 джоуля (Дж).
2. Основні характеристики радіоактивного випромінювання
Серед різноманітних видів іонізуючих випромінювань надзвичайно важливими при вивченні питання небезпеки для здоров'я і життя людини є випромінювання, що виникають в результаті розпаду ядер радіоактивних елементів, тобто радіоактивне ви промінювання.
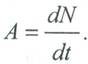
Однією з основних характеристик джерела радіоактивного випромінювання є його активність, що виражається кількістю радіоактивних перетворень за одиницю часу.
Активність А радіонуклідного джерела - міра радіоактивності, яка дорівнює співвідношенню кількості dN самовиникаючих ядерних перетворень у цьому джерелі за невеликий інтервал часу dt до цього інтервалу часу:
![]() |
Одиниця активності - кюрі (Кі), 1 Кі = 3,7-1010 ядерних перетворень за 1 секунду. В системі СІ одиниця активності - бекерель (Бк). 1 Бк дорівнює 1 ядерному перетворенню за 1 секунду або 0,027 нКі.
Небезпека, викликана дією радіоактивного випромінювання на організм людини, буде тим більшою, чим більше енергії передасть тканинам це випромінювання. Кількість такої енергії, переданої організму, або поглинутої ним, називається дозою.
Розрізняють експозиційну, поглинуту та еквівалентну дозу іонізуючого випромінювання.
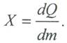
Ступінь іонізації повітря оцінюється за експозиційною дозою рентгенівського або гамма-випромінювання.
Експозиційною дозою
(X)
називається повний заряд dQ
іонів одного знака, що виникають у малому об'ємі повітря при повному гальмуванні всіх вторинних електронів, утворених фотонами до маси повітря dт
в цьому об'ємі:
Одиницею вимірювання експозиційної дози є кулон на 1 кг (Кл/кг). Позасистемна одиниця - рентген (Р); 1 Р = 2,58-10-4 Кл/кг.
Експозиційна доза характеризує потенційні можливості іонізуючого випромінювання.
Біологічна дія іонізуючих випромінювань на організм людини, в першу чергу, залежить від поглинутої енергії випромінювання.
![]() |
Поглинута доза випромінювання (Д) - це фізична величина, яка дорівнює співвідношенню середньої енергії, переданої випромінюванням речовині в деякому елементарному об'ємі, до маси речовини в ньому:
де Е - енергія (Дж);
т - маса речовини (кг).
Одиниця вимірювання поглинутої зони - грей (Гр.); 1 Гр = ІДж/кг.
Застосовується також позасистемна одиниця - рад. 1 рад = 0,01 Гр.
Однак поглинута доза не враховує того, що вплив однієї і тієї самої дози різних видів випромінювань на окремі органи і тканини, як і на організм в цілому, неоднаковий. Наприклад, а-випромінювання спричиняє ефект іонізації майже у 20 разів більший, ніж (3- тау-випромінювання. Для порівняння біологічної дії різних видів випромінювань при вирішенні задач, пов'язаних із радіаційним захистом, НРБУ-97 введено поняття еквівалентної дози в органі або тканині (НТ ), величина якої визначається як добуток поглинутої дози в окремому органі або тканині (Дт ) на радіаційний зважуючий фактор WR , величина якого залежить від відносної біологічної ефективності іонізуючого випромінювання, тобто
НТ =ДТ ∙WR .
Одиниця еквівалентної дози в системі СІ - зіверт (Зв). Позасистемна одиниця еквівалентної дози - бер - біологічний еквівалент рада. 1 Зв = 100 бер.
Для оцінки можливих наслідків опромінення організму людини з урахуванням радіаційної чутливості окремих органів і тканин тіла людини НРБУ-97 введено поняття ефективної дози (Е), яка визначається як сума добутків еквівалентних доз у тканинах і органах (Hт ) на відповідні тканинні зважуючі фактори WT , тобто
![]()
Для органів тіла людини WT знаходиться в межах від 0,20 (гонади) до 0,01 (шкіра).
3. Дія іонізуючого випромінювання на організм людини
У результаті дії іонізуючого випромінювання на організм людини в тканинах можуть виникати складні фізичні, хімічні та біологічні процеси. При цьому порушується нормальне протікання біохімічних реакцій та обмін речовин в організмі.
В залежності від поглинутої дози випромінювання та індивідуальних особливостей організму викликані зміни можуть носити зворотний або незворотний характер. При незначних дозах опромінення уражені тканини відновлюються. Тривалий вплив доз, які перевищують гранично допустимі межі, може викликати незворотні зміни в окремих органах або у всьому організмі й виразитися в хронічній формі променевої хвороби. Віддаленими наслідками променевого ураження можуть бути променеві катаракти, злоякісні пухлини.
При вивченні дії на організм людини іонізуючого випромінювання були виявлені такі особливості:
- висока руйнівна ефективність поглинутої енергії іонізуючого випромінювання, навіть дуже мала його кількість може спричинити глибокі біологічні зміни в організмі;
- присутність прихованого періоду негативних змін в організмі, він може бути досить довгим при опроміненнях у малих дозах;
- малі дози можуть підсумовуватися чи накопичуватися;
- випромінювання може впливати не тільки на даний живий
організм, а й на його нащадків (генетичний ефект);
- різні органи живого організму мають певну чутливість до опромінення. Найбільш чутливими є: кришталик ока, червоний кістковий мозок, щитовидна залоза, внутрішні (особливо кровотворні) органи, молочні залози, статеві органи;
- різні організми мають істотні відмінні особливості реакції на
дози опромінення;
-ефект опромінення залежить від частоти впливу іонізуючого випромінювання. Одноразове опромінення у великій дозі спричиняє більш важкі наслідки, ніж розподілене у часі.
При одноразовому опроміненні всього тіла людини можливі такі біологічні порушення в залежності від сумарної поглинутої дози випромінювання:
До 0,25 Гр (25 рад)- видимих порушень немає;
0,25 ... 0,5 Гр (25 ... 50 рад) - можливі зміни в складі крові;
0,5 ... 1,0 Гр (50 ... 100 рад) - зміни в складі крові, нормальний стан
працездатності порушується;
1,0 ... 2,0 Гр (100 ... 200 рад) - порушується нормальний
стан, можлива втрата працездатності;
2,0 ... 4,0 Гр (200 ... 400 рад) - втрата працездатності, можливі
смертельні наслідки;
4,0 ... 5,0 Гр (400 ... 500 рад) - смертельні наслідки складають 50% від
загальної кількості потерпілих;
6 Гр і більше (понад 600 рад) - смертельні випадки досягають 100%
загальної кількості потерпілих;
10 ... 50 Гр (1000 ... 5000 рад) - опромінена людина помирає
через 1-2 тижні від крововиливу в
шлунково-кишковий тракт.
Доза 60 Гр (6000 рад) призводить до того, що смерть, як правило, настає протягом декількох годин або діб. Якщо доза опромінення перевищує 60 Гр, людина може загинути під час опромінення ("смерть під променем").
Репродуктивні органи та очі мають особливо високу чутливість до опромінення. Одноразове опромінення сім'яників при дозі лише 0,1 Гр (10 рад) призводить до тимчасової стерильності чоловіків, доза понад 2 Гр (200 рад) може призвести до сталої стерильності (чи на довгі роки). Яєчники менш чутливі, але дози понад 3 Гр (300 рад) можуть призвести до безпліддя. Для цих органів сумарна доза,
отримана за кілька разів, більш небезпечна, ніж одноразова, на відміну від інших органів людини.
Очі людини уражаються при дозах 2...5 Гр (200...500 рад). Встановлено, що професійне опромінення із сумарною дозою 0,5...2 Гр (50...200 рад), отримане протягом 10-20 років, призводить до помутніння кришталика.
Небезпека радіоактивних елементів для людини визначається здатністю організму поглинати та накопичувати ці елементи. Тому при потраплянні радіоактивних речовин усередину організму уражаються ті органи та тканини, у яких відкладаються ті чи інші ізотопи: йод - у щитовидній залозі; стронцій - у кістках; уран і плутоній - у нирках, товстому кишечнику, печінці; цезій - у м'язовій тканині; натрій поширюється по всьому організму. Ступінь небезпеки залежить від швидкості виведення радіоактивних речовин з організму людини. Більша частина людських органів є мало чутливою до дії радіації. Так, нирки витримують сумарну дозу приблизно 23 Гр (2300 рад), отриману протягом п'яти тижнів, сечовий міхур -55 Гр (5500 рад) за один місяць, печінка - 40 Гр (4000 рад) за місяць.
Ймовірність захворіти на рак знаходиться в прямій залежності від дози опромінення. Перше місце серед онкологічних захворювань займають лейкози. їх дія, що веде до загибелі людей, виявляється приблизно через 10 років після опромінення.
4. Норми радіаційної безпеки
Основними документами, якими регламентується радіаційна безпека в Україні, є: Норми радіаційної безпеки України (НРБУ-97) та Основні санітарні правила України (ОСПУ).
У НРБУ-97 виділяють три категорії осіб щодо ризику іонізуючого опромінення:
- категорія А - персонал, який безпосередньо працює з радіо
активними речовинами;
- категорія Б - персонал, що безпосередньо не працює із радіо
активними речовинами, але за умови розміщення їх на робочих місцях
або місцях проживання може потрапити під дію опромінення;
- категорія В - все населення країни.
Для осіб категорій А і Б НРБУ-97 встановлюють ліміти ефективної й еквівалентної доз за календарний рік. Обмеження опромінення категорії В (населення) здійснюється введенням лімітів річної ефективної та еквівалентної доз для критичних груп осіб категорії Б. Остання означає, що значення річної дози опромінення осіб, що входять до критичної групи, не повинно перевищувати ліміту дози, встановленого для категорії В (див. табл. 4.1).
Таблиця 4.1
Ліміти доз сумарного внутрішнього і зовнішнього опромінення
Ліміти доз, мЗв∙рік-1 |
Категорія опромінюваних осіб | ||
| А | Б | В | |
| ЛДЕ (ліміт ефективної дози) | 20 | 2 | 1 |
| Ліміти еквівалентної дози: | |||
| ЛДlens (для кришталика ока) | 150 | 15 | 15 |
| ЛДskin (для шкіри) | 500 | 50 | 50 |
| ЛДexstrim (для кистей та стіп) | 500 | 50 | - |
Чисельні значення наведених в табл. 4.1 основних дозових лімітів НРБУ-97 встановлюють на рівнях, що виключають можливість виникнення детерміністичних ефектів опромінення і одночасно гарантують настільки низьку ймовірність виникнення стохастичних ефектів опромінення, що вона є прийнятною як для окремих осіб, так і для суспільства в цілому.
Крім лімітів ефективної й еквівалентної річних доз, НРБУ-97 встановлюють допустимі рівні надходження радіонуклідів в організм людини за календарний рік, потужності еквівалентної дози, концентрації радіонуклідів у повітрі, питній воді та раціоні, щільності потоку частинок, забруднення шкіри, спецодягу, робочих поверхонь тощо. Значення окремого допустимого рівня розраховується за умови, що створена ним річна доза не повинна перевищувати ліміту відповідної дози. При багатократному радіаційному опроміненні допустимі рівні визначаються за умови, щоб річна сумарна доза від усіх джерел випромінювання не перевищувала відповідного ліміту дози.
5. Захист від радіаційного випромінювання
Питання захисту людини від впливу радіаційних випромінювань постали одночасно з їх відкриттям. Це пояснюється, по-перше, тим, що радіаційне випромінювання швидко почало застосовуватися в науці та на практиці, і, по-друге, комплексом виявлених їхніх негативних впливів на організм людини.
У нашій країні захист працюючих від впливу радіаційного випромінювання забезпечується системою загальнодержавних заходів. Вони складаються з комплексу організаційних і технічних заходів. Ці заходи залежать від конкретних умов роботи з джерелами іонізуючого випромінювання та від типу джерела випромінювання.
Для захисту від зовнішнього опромінювання, яке має місце при роботі із закритими джерелами випромінювання, основні зусилля необхідно направити на попередження переопромінення персоналу шляхом:
- збільшення відстані між джерелом випромінювання і людиною (захист відстанню);
- скорочення тривалості роботи в зоні випромінювання (захист часом);
- екранування джерела випромінювання (захист екранами).
Під закритими джерелами радіаційного випромінювання розуміють такі, які виключають можливість потрапляння радіоактивних речовин в навколишнє середовище. У виробничих і лабораторних умовах необхідно якомога швидше застосовувати дистанційне управління роботою обладнання, яке дає можливість виконувати операції з радіоактивними речовинами на відстані.
Захист від внутрішнього опромінення вимагає виключення безпосереднього контакту з радіоактивними речовинами у відкритому вигляді та попередження потрапляння їх у повітря робочого простору.
Під внутрішнім опроміненням розуміють вплив на організм людини випромінювань радіоактивних речовин, що потрапляють всередину організму. На дверях приміщень, у яких проводиться робота з відкритими джерелами радіоактивного випромінювання, повинен знаходитися знак радіаційної небезпеки - на жовтому фоні три червоних пелюстки (рис. 14.2). Особливе значення при роботі з відкритими джерелами радіоактивного випромінювання має особиста гігієна та засоби індивідуального
захисту працюючого. В залежності від виду виконуваних робіт і небезпечності цих робіт застосовують спецодяг (комбінезони або костюми), спецбілизну, шкарпетки, спецвзуття, рукавиці, респіратори.
Радіоактивні речовини повинні знаходитися в спеціальних приміщеннях. По кожному з них необхідно вести суворий облік надходжень і витрат, щоб виключити можливість їх безконтрольного використання. Порядок транспортування радіоактивних речовин регламентується спеціальними правилами. Радіоактивні речовини перевозять у спеціальних контейнерах і спеціально обладнаним транспортом. До організацій і установ, у яких постійно виконуються роботи з радіоактивними речовинами, підвищені вимоги з охорони праці. Керівництво цих організацій зобов'язане розробити детальні інструкції, в яких викладено порядок проведення робіт, облік збереження та використання джерел випромінювання, збір та знешкодження відходів, порядок проведення дозиметричного контролю. Оцінка радіаційного стану здійснюється за допомогою приладів, принцип дії яких базується на таких методах:
- іонізуючих (вимірювання рівня іонізації випромінювання);
- сцинтиляційних (вимірювання інтенсивності світлових спалахів, які виникають у речовинах, що люмінесціюють при проходженні крізь них іонізуючих випромінювань);
- фотографічних (вимірювання густини почорніння фотопластинки під дією іонізуючого випромінювання).
Результати усіх видів радіаційного контролю повинні реєструватися і зберігатися протягом 30-ти років. При індивідуальному контролі ведуть облік річної дози опромінення, а також сумарної дози за весь період професійної діяльності людини.
Висновок
При вивченні дії на організм людини іонізуючого випромінювання були виявлені такі особливості:
- висока руйнівна ефективність поглинутої енергії іонізуючого випромінювання, навіть дуже мала його кількість може спричинити глибокі біологічні зміни в організмі;
- присутність прихованого періоду негативних змін в організмі, він може бути досить довгим при опроміненнях у малих дозах;
- малі дози можуть підсумовуватися чи накопичуватися;
- випромінювання може впливати не тільки на даний живий
організм, а й на його нащадків (генетичний ефект);
- різні органи живого організму мають певну чутливість до опромінення. Найбільш чутливими є: кришталик ока, червоний кістковий мозок, щитовидна залоза, внутрішні (особливо кровотворні) органи, молочні залози, статеві органи;
- різні організми мають істотні відмінні особливості реакції на
дози опромінення;
-ефект опромінення залежить від частоти впливу іонізуючого випромінювання. Одноразове опромінення у великій дозі спричиняє більш важкі наслідки, ніж розподілене у часі.
Іонізуюче випромінювання дуже згубно діє на організм людини, і тому треба подалі триматися джерел його випромінювання.
Література:
1. Джигирей В.С., Житецький В.Ц. Безпека життєдіяльності. Навч. посібник-вид. 3-є, доповнене – Львів: Афіша, 2000. — 256 с.
2. Желібо Є. П., Заверуха Н.М., Зацарний В.В. Безпека життєдіяльності: навч. посібник для студ. ВНЗ, 3-тє вид./ за ред. Є. П. Желібо.-К.: Каравела, 2004. — 328 с.
3. Яремко З.М. Безпека життєдіяльності: навч. посібник – Київ: Центр навчальної літератури, 2005. — 320 с.
4. Гандзюк М. П. Желібо Є. П. Безпека життєдіяльності


