| Скачать .docx |
Реферат: Виробнича травма та критерії її оцінки
Виробнича травма та критерії її оцінки
Вступ
Аналіз причин виробничого травматизму при розслідуванні нещасних випадків в таких підприємствах свідчить про те, що керівники та посадові особи абсолютно не підготовлені з питань охорони праці, деякі з них навіть не знають Закону "Про охорону праці".
Аналіз показників загального та смертельного травматизму в будівельній галузі визначив головні травмувальні чинники: падіння з висоти — 34%, обвал ґрунтових мас, конструкцій, матеріалів — 26%, нехтування засобами індивідуального захисту або їх відсутність — 15%.
На новостворені підприємства в будівельній галузі припадає до 60% нещасних випадків зі смертельними наслідками.
Малі підприємства дістають ліцензії на будівельну діяльність і починають працювати без дозволу органів Держкомнаглядохоронпраці, тобто без документу, який підтверджує, що всі питання безпеки працюючих вирішено. На підприємствах взагалі не створюються служби охорони праці, не розробляються посадові інструкції, працюючі не забезпечуються нормативними документами про охорону праці. В більшості організацій будівельної галузі перестала діяти система управління охороною праці, в статутах крупних компаній не відображаються конкретні обов'язки щодо охорони праці, не передбачається централізоване навчання і перевірка знань шляхом атестації і переатестації посадових осіб та інженерно-технічних працівників. Підприємства галузі не забезпечуються інженерно-технічними засобами охорони праці, будівельно-монтажні та інші види робіт проводяться з порушенням правил і норм охорони праці.
Травматизм –слово грецького походження (trauma- пошкодження, поранення). На виробництві травми (нещасні випадки) головним чином відбуваються внаслідок непередбаченої дії на робітника небезпечного виробничого фактору при виконанні ним своїх трудових обов'язків.
Травма – порушення анатомічної цілісності організму людини або його функцій внаслідок небезпечних виробничих факторів.
Виробнича травма – це раптове механічне (забої, переломи, рани тощо), фізичне (рухомі вузли машин, механізмів, інструмент, оброблюваний матеріал, ненормальні метеорологічні умови, недостатня освітленість робочої зони, шум та вібрація тощо), хімічне (хімічні опіки, загальнотоксичні гострі отруєння тощо), біологічне (мікроорганізми, бактерії, віруси, рослинні та тваринні макроорганізми), психофізіологічне (фізичне та нервове перевантаження організму людини), комбіноване та інше пошкодження людини у виробничих умовах. За ступенем важкості наслідків нещасні випадки поділяють на легкі (втрата працездатності на 1 день), важкі (втрата працездатності більше як на 1 день) і смертельні. Висновок про важкість травм дають лікарі медичних установ згідно з відповідними нормативними документами. Залежно від кількості потерпілих, нещасні випадки поділяються на поодинокі і групові. До останніх відносяться нещасні випадки, які сталися одночасно з двома і більше потерпілими. Незалежно від важкості отриманих травм, такі нещасні випадки кваліфікують як важкі.
Механічні та фізичні фактори переважно викликають травми. Теплові, хімічні, біологічні та психофізіологічні у більшості випадків зумовлюють захворювання. Одначе, різкої межі за характером дії на організм людини між згаданими факторами немає [2, c. 45].
Нещасний випадок –випадок з людиною внаслідок непередбаченого збігу обставин та умов, за котрих завдається шкода здоров'ю або настає смерть потерпілого. Нещасний випадок на виробництві пов'язується з дією на працівника небезпечного виробничого фактора.
Усі нещасні випадки відносяться до таких, що пов'язані з роботою, і до побутових. Віднесення травми до тієї чи іншої категорії являє собою юридичний акт і здійснюється на основі спеціальних правових норм і правил. Нещасний випадок на виробництві можна кваліфікувати як раптове пошкодження здоров'я працівника при виконанні трудових обов'язків або при обставинах, спеціально зумовлених законом. При цьому не має значення, чи працює робітник на підприємстві постійно, тимчасово або сезонно, є штатним чи позаштатним, працює на основній роботі чи за сумісництвом, оскільки у перерахованих випадках він вступив у трудові відносини з підприємством [2, c. 45].
Визначення причин нещасних випадків на виробництві є складним і відповідальним моментом. Дуже часто в цій справі допускають грубі помилки, що невірно відображає фактичний бік справи і веде до неправильних висновків, спрямовує зусилля у боротьбі з виробничим травматизмом у хибному напрямку.
Статистика нещасних випадків свідчить про те, що, незважаючи на різноманітність засобів безпеки праці під час роботи на машинах (особливо універсальних), виробничий травматизм поки що має місце. Одна з причин цього - мала ефективність цих засобів. У зв'язку з викладеним існує гіпотеза про хвилеподібність уваги працюючих до небезпеки, коли формується деякий середній рівень уваги до небезпеки. Після того, як стався нещасний випадок, рівень уваги до безпеки праці на підприємстві різко зростає, а з часом поступово спадає.
Професійне захворювання – патологічний стан, зумовлений тривалою роботою за шкідливих умов праці і пов'язаний з надмірним напруженням організму або несприятливою дією виробничих факторів.
Професійні захворювання і отруєння (надалі – профзахворювання) – це захворювання, котрі викликані впливом виробничих факторів і трудового процесу, а також захворювання, щодо яких встановлено причинний зв'язок з впливом певного виробничого фактора чи процесу та непрофесійні фактори, що викликають аналогічні зміни в організмі (бронхіт, алергійні захворювання, катаракта, втрата зору і слуху, силікоз та інші). Віднесення захворювання до професійного проводиться відповідно до списку професійних захворювань, затвердженого МОЗ.
Крім професійних, на виробництві виділяють групу, яку називають умовно виробничими захворюваннями. До них відносять хвороби, які не відрізняються від звичайних хвороб. Наприклад, у працівників, котрі виконують фізичну роботу в незадовільних умовах, часто виникають захворювання, такі як радикуліт, варикозне розширення судин, виразка шлунку та інші. Якщо праця вимагає великого нервово-психічного напруження, то частіше виникають різні неврози і хвороби серцево-судинної системи.
Згідно з "Положенням про розслідування та облік нещасних випадків, професійних захворювань і аварій на підприємствах, в установах і організаціях", затвердженим Постановою Кабінету Міністрів України від 10 серпня 1993р. №623, травми поділяють на легкі, важкі та зі смертельним наслідком. Крім того, травми можуть бути груповими (якщо травмується два і більше робітників).
За результатами розслідування на облік беруться нещасні випадки, які сталися:
під час виконання трудових обов'язків (у тому числі під час відряджень), а також дій в інтересах підприємства без доручення власника;
на робочому місці, на території підприємства або в іншому місці роботи протягом робочого часу, включаючи встановлені перерви;
протягом часу, необхідного для приведення в порядок знаряддя виробництва, засобів захисту, одягу перед початком або після закінчення роботи, а також для особистої гігієни;
під час проїзду на роботу або з роботи на транспорті підприємства або сторонньої організації, яка надала його згідно з договором (заявкою), а також на власному транспорті, який використовується в інтересах виробництва;
під час аварій (пожеж тощо), а також під час їх ліквідації на виробничих об'єктах;
під час надання підприємством шефської допомоги;
на транспортному засобі, стоянці транспортного засобу, в порту заходу судна, на території вахтового селища з працівниками, які перебували на змінному відпочинку (провідник, працівник рефрижераторної бригади, шофер-змінник, працівник морських і річкових суден, а також ті, що працюють за вахтово-експедиційним методом);
у робочий час при прямуванні пішки, на громадському, власному транспортному засобі, або який належить підприємству чи сторонній організації, з працівником, робота якого пов'язана з переміщенням між об'єктами обслуговування;
під час прямування пішки або на транспортному засобі до місця роботи чи назад за разовим завданням власника або уповноваженого ним органу без оформлення посвідчення про відрядження.
Рішення про складання акту за формою Н-І про такий нещасний випадок, взяття його на облік приймається комісією з розслідування, залежно від конкретних обставин і причин.
Якщо в результаті розслідування встановлено факт самогубства, звичайної смерті працівника або одержання травми під час вчинення ним злочину, акт за формою Н-І не складається і нещасний випадок не береться на облік, як виробничий [4, c. 55].
Постійний і різнобічний аналіз травматизму і профзахворювань розглядається як одна з головних функцій керування безпекою праці та прийняття основних заходів щодо усунення причин травматизму та захворювань.
Загальноприйнята класифікація причин виробничого травматизму виглядає наступним чином.
Технічні причини, котрі можна охарактеризувати як причини, що залежать від рівня організації праці на виробництві, а саме: недосконалий технологічний процес, конструктивні недоліки обладнання, інструментів та пристосувань, недостатня механізація важких робіт; недосконале огородження, відсутність спеціальних захисних засобів, засобів сигналізації та блокувань, недостатня міцність та надійність машин, шкідливі властивості оброблюваного матеріалу тощо. Ці причини інколи називають конструктивними або інженерними.
Організаційні причини, що повністю залежать від рівня організації праці на виробництві. До них можна віднести: незадовільний стан території, проїздів, проходів, порушення правил експлуатації обладнання, транспортних засобів, порушення технологічного регламенту, порушення правил і норм при транспортуванні, складанні і зберіганні матеріалів і деталей; порушення норм і правил при плановому технічному обслуговуванні та ремонті обладнання, транспортних засобів і інструменту; недоліки при навчанні робітників безпечним методам праці; недостатній технічний нагляд за небезпечними роботами; використання машин, механізмів і інструменту не за призначенням; відсутність або незадовільне огородження робочої зони; відсутність або невикористання засобів індивідуального захисту тощо [3, c. 47].
Санітарно-гігієнічні причини, до котрих можна віднести: перевищення (відносно) запиленості та загазованості повітря робочої зони; відсутність або недостатнє природне освітлення, підвищену пульсацію світлового потоку; підвищений рівень шуму та вібрації, інфразвукових та ультразвукових коливань на робочому місці; підвищений рівень ультразвукової та інфрачервоної радіації тощо.
Психофізіологічні причини, до котрих відносяться фізичні, нервово-психічні перевантаження працюючих.
Психофізіологічні причини - грубі помилки в діях, пов'язані з фізіологічним (втомленість), психічним (підвищена дратливість) або хворобливим станом працівників. Найбільш частими конкретними причинами виробничого травматизму на виробничих підприємствах є: відсутність інструкцій з охорони праці; робота на несправному обладнанні або на обладнанні без засобів захисту; відсутність засобів проти випадкового ураження працівників електричним струмом; відсутність драбин, які б відповідали вимогам правил техніки безпеки; розвантаження і транспортування вантажів без застосування відповідних механізмів і пристосувань; користування несправним реманентом, пристосуванням та інструментом.
Людина може припускатися помилок у своїх діях внаслідок фізичного, статичного або динамічного перевантаження, розумового перенапруження, перенапруження аналізаторів (зорового, слухового, тактильного), монотонності праці, стресових ситуацій, хворобливого стану. Травму може викликати незадовільність анатомо-фізіологічних і психічних особливостей організму людини залежно від характеру виконуваної роботи. У сучасних складних технічних системах управління, в конструкціях машин, приладів і систем управління ще недостатньо враховуються фізіологічні і антропологічні особливості і можливості людини.
Незадовільна організація праці зумовлює надмірні фізичні і нервові перевантаження, що прискорює стомлюваність робітників. У такому стані знижується чутливість до різних подразників виробничого середовища, притуплюється увага, пильність. Це призводить до того, що ближче до кінця робочої зміни різко підвищується кількість нещасних випадків, причинами яких є помилкові дії потерпілих [4, c. 55].
Важливе значення серед факторів, які зумовлюють виробничий травматизм, мають попередні нещасні випадки, психофізіологічний стан потерпілих. При цьому несприятливий психофізіологічний стан може бути пов'язаний як з об'єктивними причинами (погана організація праці), так і суб'єктивними, залежними від особливостей особистого стану потерпілих (необережність, поспіх, втома, роздратування, ризик тощо).
Особисті якості працівників (швидкість реакції, активність, відповідальність, дисциплінованість і т. ін.) також впливають на їх схильність до нещасних випадків. Це вказує, що особисті якості потерпілих значно впливають на той факт, що в схожих екстремальних ситуаціях одні стають жертвами нещасних випадків, а другі - ні.
Монографічний метод полягає в детальному обстеженні всього комплексу умов праці, технологічного процесу, обладнання робочого місця, прийомів праці, санітарно-гігієнічних умов, засобів колективного та індивідуального захисту. Іншими словами, цей метод полягає в аналізі небезпечних та шкідливих виробничих факторів, притаманних лише тій чи іншій (моно) дільниці виробництва, обладнанню, технологічному процесу. За цим методом поглиблено розглядають всі обставини нещасного випадку, якщо необхідно, то виконують відповідні дослідження та випробування. Дослідженню підлягають: цех, дільниця, технологічний процес, основне та допоміжне обладнання, трудові прийоми, засоби індивідуального захисту, умови виробничого середовища, метеорологічні умови в приміщенні, освітленість, загазованість, запиленість, шум, вібрація, випромінювання, причини нещасних випадків, що сталися раніше на даному робочому місці. Таким чином, нещасний випадок вивчається комплексно [5, c. 48].
Топографічний метод ґрунтується на тому, що на плані цеху (підприємства) відмічають місця, де сталися нещасні випадки. Це дозволяє наочно бачити місця з підвищеною небезпекою, які вимагають ретельного обстеження та профілактичних заходів. Повторення нещасних випадків в певних місцях свідчить про незадовільний стан охорони праці на даних об'єктах. На ці місця звертають особливу увагу, вивчають причини травматизму. Шляхом додаткового обстеження згаданих місць виявляють причини, котрі викликали нещасні випадки, формують поточні та перспективні заходи щодо запобігання нещасним випадкам для кожного окремого об'єкта.
Економічний метод полягає у вивченні та аналізі втрат, що спричинені виробничим травматизмом.
Метод анкетування. Розробляються анкети для робітників. На підставі анкетних даних (відповідей на запитання) розробляють профілактичні заходи щодо попередження нещасних випадків. Метод експертних оцінок базується на експертних висновках (оцінках) умов праці, на виявленні відповідності технологічного обладнання, пристосувань, інструментів, технологічних процесів вимогам стандартів та ергономічним вимогам, що ставляться до машин механізмів, обладнання, інструментів, пультів керування.
Під дією шкідливих факторів на виробництві у робітників можуть виникати гострі професійні або хронічні отруєння і захворювання. Розслідування та облік професійних отруєнь та захворювань здійснюється згідно з діючим Положенням. Розслідуванню підлягають всі, вперше виявлені, хронічні та гострі професійні отруєння і захворювання. Вплив виробничих факторів не обмежується лише їх роллю як причини професійних захворювань. Давно було помічено, що особи, які працюють з токсичними речовинами, частіше хворіють на загальні захворювання, що ці хвороби проходять у них важче, а процес одужання йде повільніше.
Власник підприємства зобов'язаний інформувати працівників про стан охорони праці, причини нещасних випадків, професійних захворювань та про заходи, котрих вжито для їх усунення та для забезпечення умов праці відповідно до нормативних вимог.
Метою аналізу виробничого травматизму є розробка заходів щодо попередження нещасних випадків. Для цього необхідно систематично аналізувати і виявляти причини, що їх зумовлюють. Найбільш розповсюдженими методами аналізу виробничого травматизму є такі: статистичний і монографічний, заслуговують уваги економічний, ергономічний, прогностичний методи [6, c. 47].
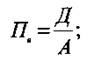
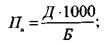
Статистичний метод базується на аналізі статистичної документації з травматизму. Вихідними даними для аналізу є матеріали, що містяться в актах за формою Н-1, який складається про нещасний випадок, внаслідок якого працівник згідно з медичним висновком втратив працездатність на один день і більше або виникла необхідність перевести його на іншу, легшу роботу, терміном не менш ніж на один день, а також у звітах підприємства за формою 7-Т. Згадані документи містять наступні дані: кількість нещасних випадків, що викликали втрату непрацездатності на чотири і більше робочих днів за звітний період А; кількість днів непрацездатності, викликаних нещасними випадками за звітний період Д; середня спискова чисельність працюючих на підприємстві за звітний період Б.
За зібраними даними визначаються три показники виробничого травматизму:
показник частоти травматизму Пч
![]()
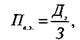
показник важкості травматизму Пв

показник непрацездатності Пн
![]()
З метою кількісної оцінки рівня захворюваності на виробництві розраховують показник частоти випадків захворювань та показник важкості захворюваності.
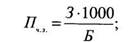
Показники захворювання визначаються за формулами: показник частоти захворювань Пч.з
![]()
З метою кількісної оцінки рівня захворюваності на виробництві розраховують показник частоти випадків захворювань та показник важкості захворюваності.
показник важкості захворювань Пв.з:
![]()
де 3 - загальна кількість випадків захворювання за звітний період, що викликали втрату непрацездатності 4 і більше робочих днів; Дз - кількість днів непрацездатності, що викликали випадки захворювання за звітний період;
Б - середня спискова кількість працюючих на підприємстві за звітний період.
Результати розрахунків подаються у вигляді таблиць або гістограм.
Власник підприємства зобов'язаний інформувати працівників про стан охорони праці, причини нещасних випадків, професійних захворювань та про заходи, котрих вжито для їх усунення та для забезпечення умов праці на рівні нормативних вимог.
Монографічний метод аналізу травматизму базується на аналізі небезпечних і шкідливих виробничих факторів, які властиві тому чи іншому елементові виробничого процесу (обладнанню, технологічному процесу, індивідуальним засобам захисту та іншим факторам). За цим методом поглиблено вивчають обставини нещасних випадків, а якщо виникає потреба, то проводять спеціальні дослідження і експерименти. Внаслідок вивчення великої кількості виробничих факторів з'ясовуються реальні причини нещасних випадків на основному робочому місці, на дільниці або на одній групі технологічного обладнання. Монографічний метод можна використати і для розробки заходів з охорони праці при проектуванні нових виробництв.
Економічний метод полягає у визначенні економічних втрат від виробничого травматизму з метою визначення економічної доцільності розробки та впровадження заходів з охорони праці.
Однак цей метод не дозволяє з'ясувати причини травматизму, тому його вважають підметодом.
Ергономічний метод базується на комплексному вивченні системи "людина-машина (техніка)-середовище" (ЛМС).
Вирішення ергономічних проблем, котрі виникають в процесі експлуатації системи ЛМС, доцільно проводити у напрямку опрацювання методів об'єктивного прогнозу змін якості діяльності людини під впливом різних несприятливих факторів та умов зовнішнього середовища (активність Сонця, гравітація Місяця, магнітні та гравітаційні поля Землі тощо), удосконалення моделей індивідуальної та групової діяльності людей в різних умовах.
Ергономічний метод дозволяє досліджувати причини нещасних випадків залежно від індивідуальних особливостей людини і санітарно-гігієнічних умов; психофізіологічної структури діяльності; виду системи ЛМС і як вирішуються нею проблеми; елементарного акту діяльності, котрий зумовив нещасний випадок та інші. По кожному нещасному випадку заповнюється спеціальний акт, що за формою нагадує акт Н-1, який містить 22 групи питань.
Прогностичний метод базується на прогнозуванні (передбаченні) нещасних випадків на основі вивчення і виявлення потенційної небезпеки. Аналізуються всі облікові і звітні матеріали про нещасні випадки, загальні та професійні захворювання, матеріали всіх видів контролю стану охорони праці; дані санітарно-технічних паспортів об'єктів, робочих місць, дільниць і цехів; матеріали спеціальних обстежень будівель, об'єктів, приміщень, обладнання тощо.
Прогностичний метод включає три підметоди:
морфологічний підметод, що базується на детальному вивченні конструкції обладнання, виявленні його недоліків, характеру технологічних операцій і прогнозування можливих нещасних випадків;
екстраполяційний підметод, що базується на виборі математичної функції, яка б достовірно описала явище травматизму;
підметод експертних оцінок, що базується на вивченні думок кваліфікованих фахівців в галузі охорони праці шляхом анкетування. Складність застосування підметодів при прогнозуванні умов праці визначається не тільки комплексним характером життєдіяльності, але й великою кількістю науково-технічних, виробничих, гігієнічних, організаційних, соціальних та інших факторів, що забезпечують ефективність всіх зусиль, що вживаються з метою забезпечення життєдіяльності.
Висновки
Успішна профілактика виробничого травматизму та професійної захворюваності можлива лише за умови ретельного вивчення причин їх виникнення. Для полегшення цього завдання прийнято поділяти причини виробничого травматизму і професійної захворюваності на наступні основні групи: організаційні, технічні, санітарно-гігієнічні, психофізіологічні.
Аналіз виробничого травматизму та профзахворюваності дозволяє виявити причини і визначити закономірності їх виникнення. На основі такої інформації розробляються заходи та засоби щодо профілактики виробничого травматизму і профзахворюваності. Для аналізу виробничого травматизму застосовують такі основні методи: статистичний, топографічний, монографічний, економічний, метод анкетування, метод експертних оцінок. Статистичний метод базується на вивченні травматизму за документами: звітами, актами, журналами реєстрації. Це дозволяє групувати випадки травматизму за певними ознаками: за професіями потерпілих, за робочими місцями, цехами, стажем, віком, причинами травматизму, обладнанням, яке спричинило травму.
Статистичний метод базується на аналізі статистичної документації з травматизму. Вихідними даними для аналізу є матеріали, що містяться в актах за формою Н-1, який складається про нещасний випадок, внаслідок якого працівник згідно з медичним висновком втратив працездатність на один день і більше або виникла необхідність перевести його на іншу, легшу роботу, терміном не менш ніж на один день, а також у звітах підприємства за формою 7-Т. Згадані документи містять наступні дані: кількість нещасних випадків, що викликали втрату непрацездатності на чотири і більше робочих днів за звітний період А; кількість днів непрацездатності, викликаних нещасними випадками за звітний період Д; середня спискова чисельність працюючих на підприємстві за звітний період Б.
Топографічний метод ґрунтується на тому, що на плані цеху (підприємства) відмічають місця, де сталися нещасні випадки. Це дозволяє наочно бачити місця з підвищеною небезпекою, які вимагають ретельного обстеження та профілактичних заходів. Повторення нещасних випадків в певних місцях свідчить про незадовільний стан охорони праці на даних об'єктах. На ці місця звертають особливу увагу, вивчають причини травматизму. Шляхом додаткового обстеження згаданих місць виявляють причини, котрі викликали нещасні випадки, формують поточні та перспективні заходи щодо запобігання нещасним випадкам для кожного окремого об'єкта.
Власник підприємства зобов'язаний інформувати працівників про стан охорони праці, причини нещасних випадків, професійних захворювань та про заходи, котрих вжито для їх усунення та для забезпечення умов праці згідно з нормативними вимогами.
1. Анісімов М.В. Охорона праці. — Кіровоград: Видавничий центр КТКК, 2005. — 116 с.
2. Березуцький В.В., Бондаренко Т.С., Валенко Г.Г., Васьковець Л.А., Вершиніна Н.П. Основи охорони праці. — Х.: Факт, 2005. — 479 с.
3. Винокурова Л.Е., Васильчук М.В., Гаман М.В. Основи охорони праці. — К.: Факт, 2005. — 343 с.
4. Гандзюк М.П., Желібо Є.П., Халімовський М.О. Основи охорони праці. — К.: Каравела, 2005. — 392 с.
5. Геврик Є.О. Охорона праці. — К.: Ніка-Центр, 2005. — 294 с.
6. Жидецький В.Ц. Основи охорони праці. — Л.: Українська академія друкарства, 2006. — 336 с.