| Скачать .docx |
Реферат: Анализ критериев эффективности аэродромных пожарно-спасательных комплексов
Содержание
1. Список сокращений и условных обозначений
2. Цели и задачи работы
3. Общие положения
4. Теоретическая часть
5. Расчетная часть
5.1 Исходные данные
5.2 Выполнение расчетов
5.3 Выводы и предложения
Список литературы
1. Список сокращений и условных обозначений
АП - Авиационное происшествие
АПСК - Аэродромный пожарно-спасательный комплекс
АС - аварийная ситуация
АСО - аварийно-спасательное обеспечение
АСР - аварийно-спасательные работы
АСС - аварийно-спасательная станция
АТС - авиационная транспортная система
БЖД - безопасность жизнедеятельности
БП - безопасность полетов
ВС - воздушное судно
ВТ - воздушный транспорт
ГА - гражданская авиация
ИПЛ - испытательная пожарная лаборатория
ЛС - лафетный ствол
МРД - магистральная рулежная дорожка
ОАСС - основная
АСС ПА - пожарный автомобиль
ПАСС - поисковые и аварийно-спасательные силы и средства
ПС - пожарный насос
ПО - пенообразователь
РГР - расчетно-графическая
РД Ёрулежная дорожка
САСС - стартовая АСС
УТПЗ - уровень требуемой противопожарной защиты
2. Цели и задачи работы
Цель данной работы заключается в анализе работы аэродромных пожарно-спасательных комплексов, путем расчета статических и динамических критериев АПСК.
Дать оценку АПСК на аэродроме данном варианте и привести решение задач по оптимизации АПСК.
Задачи заключаются в подготовке сил и средств, для ликвидации последствий АС.
К таким задачам относятся:
• планирование мероприятий (руководство, связь, координация) на случай АС в предприятии ГА,
• контроль оснащенности и поддержание в постоянной готовности ПАСС,
• обеспечение подразделений службы ПАСОП постоянно действующей устойчивой связью и системой аварийного оповещения,
• организацию круглосуточного дежурства ПАСС и оперативного взаимодействия с другими службами и организациями,
• обеспечение ВС съемным и стационарным бортовым аварийно-спасательным оборудованием (БАС О) и контроль за его состоянием,
• ознакомление пассажиров с правилами пользования БАС О ВС и выживания в АП,
• обучение и контроль уровня подготовки экипажей ВС и спасателей к действиям в ожидаемых условиях.
3. Общие положения
Главными показателями эксплуатационной эффективности воздушного транспорта (ВТ) являются регулярность, экономичность и безопасность полетов (БП). Последний из них - главный, так как он напрямую влияет на два предыдущих. Человеческая жизнь бесценна, поэтому для защиты жизни и здоровья пассажиров и членов экипажа должны приниматься все возможные меры.
Обеспечение безопасности полетов ведется в двух направлениях:
• предупреждение авиапроисшествий (АП);
• понижение тяжести последствий АП.
Приоритетным направлением обеспечения БП является предупреждение АП. Тем не менее, на современном уровне развития авиации, АП, к сожалению, неизбежны. Для спасания пассажиров и членов экипажа ВС в нашей стране создана система ПАСОП. Основополагающим принципом построения системы авиационного поиска и спасания является принцип «Эффективности и экономичность». Затраты предприятий и авиакомпаний на обеспечение безопасности полетов не должны превышать определенные пределы, или быть ниже установленных государством. И в том, и в другом случае система ПАСОП неэффективна.
По статистике, наибольшее количество АП с транспортными самолетами происходит на этапах взлета, посадки, захода на посадку, т.е. на территории и в районе аэродрома. В соответствии с Воздушным Кодексом аварийно-спасательные работы (АСР) на аэродроме и в районе аэродрома проводятся силами собственника аэродрома или аэропорта.
В современных условия затраты на обеспечение безопасности воздушных перевозок в «экономически сильных» предприятиях ГА и авиакомпаниях составляют 25-30% от общих затрат. Это, в свою очередь привлекает потенциальных пассажиров, увеличивает объемы перевозок и§доходы предприятия. «Слабые» предприятия и авиакомпании не в состоянии в полной мере обеспечить БП. При этом и к «сильным» и к «слабым» предприятиям предъявляются одинаковые требования по обеспечению безопасности, установленные Государством в нормативных документах.
Уровень безопасности полетов определяется состоянием сил и средств, выполняющих и обеспечивающих полеты, их готовностью к действиям в ожидаемых условиях и надежностью.
В настоящее время большинство ВС РФ имеют календарный срок службы 15-22 года. Сложилась порочная практика продления ресурса ВС, что приводит к инцидентам и АП.
В системе аварийно-спасательного обеспечения полетов более 80% аэродромных пожарных автомобилей (ПА) выслужили установленные сроки и требуют немедленного списания. Практически все отечественные ПА по своим функциональным характеристикам отстают от требований ИКАО к противопожарным и аварийно-спасательным транспортным средствам.
Существующие нормативные требования к оснащению аэродромов аварийно-спасательными средствами, учитывают, в основном, количественные показатели, не связанные с дислокацией этих средств на аэродроме и их функциональными свойствами.
Учитывая вышеизложенное, можно сделать вывод о том, что в современных условиях нужна научно обоснованная методика в области аварийно-спасательного обеспечения полетов, позволяющая:
- объективно оценивать эффективность имеющихся в аэропорту аварийно-спасательных сил и средств с учетом их реальных возможностей и размещения на аэродроме;
- оптимально размещать имеющиеся силы и средства с учетом их функциональных возможностей на аэродроме. При этом время развертывания наземных аварийно-спасательных сил и средств на месте АП не должно превышать критического времени пребывания людей внутри ВС под воздействием поражающих факторов.
Применение данной методики позволит:
• снизить затраты предприятий в случае проведения АСР за счет снижения тяжести последствий АП;
• уменьшить страховые выплаты за погибших и травмированных пассажиров в случае АП авиакомпаниям;
• обеспечить выживаемость большего количества людей в АП. Накопленный в мировой гражданской авиации опыт проведения АСР говорит о том, что наиболее важными факторами, влияющими на эффективность аварийно-спасательных операций, при АП с выживанием людей являются уровень подготовки персонала, надежность оборудования и скорости развертывания персонала и аварийно- спасательных средств.
Однако в задачи данной работы и рассматриваемой методики оценка первых двух факторов не входит. При выполнении расчетно-графической работы буде считать, что личный состав имеет необходимую квалификацию, а все пожарно-техническое оборудование надежно работает и выдает заявленные в паспорт (формуляре) эксплуатационные характеристики.
4. Теоретическая часть
Послеаварийные пожары на ВС представляют наибольшую опасность для жизни и здоровья людей, находящихся на борту. Опасность авиационных пожаров и их скоротечность предъявляют требования к повышению эффективности как бортовых, так и наземных средств противопожарной защиты ВС, готовности расчетов АСК, в первую очередь ПСР, к быстрым и эффективным действиям по локализации и ликвидации пожара в целях проведения спасательных работ.
На территории и в районе аэродрома противопожарную защиту и тушениепожаров обеспечивает АПСК. Под аэродромным пожарно-спасательнымкомплексом понимается минимально необходимое количество технических средств, в данном случае, аэродромных пожарных автомобилей (ПА), оснащенных огнетушащими средствами (ОТС) и определенным образом размещенных на территории аэродрома.
Очевидно, что АПСК может считаться эффективным, если по своим тактико-техническим параметрам он обеспечивает тушение или локализацию пожарасамолета, находящегося в любой точке аэродрома, не позже чем через заданный с начала возникновения пожара момент времени.
Принятая в настоящее время методика оценки эффективности АПСК заключается в проверке его соответствия:
■ Количество ОТС, с заданным огнетушащим свойством должно быть не менее требуемого:
Qф
Qтр
;
■ Производительность подачи указанных ОТС при тушении пожара должно быть не менее требуемой:
qф
qтр
;
■ Время прибытия ПА в наиболее удаленную точку аэродрома должно быть не более заданного интервала:
ф
тр
;
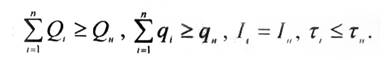
В случае, если комплекс состоит из n ПА различных типов и при этом Qi
,qi
,Ii
,
i
- соответственно количество ОТС, производительность их подачи, огнетушащая интенсивность подачи составов и время прибытия в наиболее удаленную точку аэродрома для i-го автомобиля, Qn
,qn
,In
,
n
-нормативные значения указанных показателей для всего комплекса, то вышеперечисленные требования математически записываются в виде следующей системы:

Показатели gb ц т, являются обобщающими, т.к. по физической сущности обобщают влияние различных параметров ПА, территориальной их на аэродроме и элементов организации службы на эффективность тушения пожаров самолетов.
В настоящее время в результате обобщения в системе ICAO многолетнего опыта эксплуатации и применении ПА установлены следующие значения нормативных величин:
н
=3мин, IH
=0,137кг/м*с, aQH
, qH
в зависимости от категории пожарной защиты ВПП от 800 до 41000кг и от 6 до 226кг/с соответственно.
На основе изложенной методики оценки эффективности АПСК определяются их количественный и качественный состав. Однако, базируясь на такой методике затруднительно оценить эффективность комплекса в конкретном аэропорту, при наличии весьма значительного разброса динамических и скоростных характеристик ПА различных типов, различном размещении ПА на АСС и т.д. Таким образом, принятая система оценки не учитывает количественно взаимосвязи различных показателей и параметров АПСК.

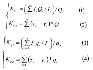
Для оценки эффективности АПСК вводят и нормированные показатели, которые сверяют обобщающие показатели комплекса. В качестве таких показателей можно использовать критерии эффективности комплекса ПА по запасу ОТС (Kq)и по производительности (Kq)следующего вида:
В случае если Ii
=
IH
, а
i
=
H
, то KQ
2
=
Kq
2
=0
, а KQ
1
и K
q
1
принимают формулу, которая используется в применяемой в настоящее время методике оценки АПСК.
Критерии эффективности показывают, что при значениях Kq1
и Kq
1
1и при значенияхKq2
и Kq
2
0аэродром располагает АПСК достаточной эффективности, а в случае, если эти условия, хотя бы для одного критерия эффективности не выполняются - не достаточной.
Анализируя систему уравнений (1)...(4) можно установить, что обеспечить приемлемый уровень эффективности АПСК, в целом, невозможно, улучшая только какой-либо один показатель при неудовлетворительном значении других.
Так, если из уравнений (1) и (4) можно предположить, что эффективность АПСК можно повысить за счет простого увеличения вывозимого запаса ОТС (увеличивая количество ПА), то уравнения (2) и (3) показывают, что такое предположение будет неоправданно, если ПА будут обладать низкими скоростными и динамическими характеристиками, или их размещения на аэродроме не обеспечит приемлемых значений
i
5. Расчетная часть
5.1 Исходные данные
Дано:
> Категория по УТПЗ-7:
qн =133 л/с;
Qн =24000л;
Iн =0,137л/м2 *с;
>Тип и количество ПА:
- АЦ-40(131)-1 шт.:
qi = 40л/с;
Qi = 3900л;
Vmax= 85 км/ч.
- АА-60(7310)- 1 шт.:
qi = 60л/с;
Qi = 12900л;
Vmax= 60 км/ч.
- АА-15/80 (790912)- 1 шт.
- qi = 80л/с;
- Qi = 14000л;
- Vmax= 75 км/ч.
>Тип пенообразователя – ПО-1:
Ii = 0,14 л/м2 ·с
>Расстояния: М=100м;
L1 =500м;
L2 =1800м;
L3 =1000м.
5.2 Выполнение расчетов
1.Определим длину маршрута от основной аварийно-спасательной станции (ОАСС) до расчетной точки (РТ):
I общ = I рд + I ип + I г =100+1800+1000=2900м.
2.Определим время развертывания каждого пожарного автомобиля:
i
=
рд
+
ип
+
г
(-30%)+
сбора
АЦ-40:
1
= 7+60+47+45=159сек.
АА-60:
2
= 9+80+66,9+45=200,9сек.
АА-15/80:
3
= 7+75+69+45=196сек..
Рассчитываем критерии эффективности по системе уравнений (1)…(4):
IH / I =0,137/0,14=0,98
По запасу ОТС: KQ 1 =0,98*(3900+12900+8000)/24000=1,3
KQ 2 = 3900(180-159)+12900(180-200,9)+14000(180-196)=-411710
По производительности: Kq 1 =0,98*180/133=1,3
Kq 2 =40(180-159)+60(180-200,9)+80(180-196)=-1694
После проведения расчётов видно, что
KQ
1
=1,3; Kq
1
=1,3
1
KQ
2
=-411710; Kq
2
=-1694
0
Таким образом, комплекс считается неэффективным.
5. 3 Выводы и предложения
Необходимо построить САСС, при этом рассчитать эффективное его расположение.
Зная, что фг =66,9с; фрд =9с, то фип =180-66,9-9-45=59,1с.
Имеем Iип = фип ·vип =59,1с ·18 м/с=1063,8м
Предлагаю построить САСС в 1000 метрах от торца ВПП вместо 1063,8м., чтобы перенести на нее 2 тяжелых автомобиля АА 15/80 и АА-60. И рассчитаем критерии после построения САСС.
По запасу ОТС: KQ 1 =0,98*(14000+14000)/24000=1,14
KQ 2 = 14000(180-168)+12900(180-170)=157000
По производительности: Kq 1 =0,98*140/133=1,1
Kq 2 =80(180-168)+60(180-170)=720
После проведения расчётов видно, что
KQ
1
=1,14; Kq
1
=1,1
1
KQ 2 = 157000; Kq 2 = 720>0
Таким образом, после построения САСС мы видим, что АПСК можно считать эффективным.
Список литературы:
1. Методики оценки соответствия нормам годности к эксплуатации в СССР гражданских аэродромов (МОС НГЭА СССР). Приложение к НГЭА СССР (3-е издание). М.: Воздушный транспорт, 1992.
2. Поисковое и аварийно-спасательное обеспечение полетов ГА: справ. Пособие для выполнения практических, контрольных, курсовых и подготовки выпускных квалификационных работ по дисциплинам "Поисковое и аварийно-спасательное обеспечение ГА" и "Спасательная техника, оборудование и снаряжение". В 2 ч. / сост. А.В Селезнев. - Ульяновск: УВАУ ГА, 2005. - Ч. 2. Оснащение подразделений поиска и спасания и норм обеспечения спасателей ГА. - 136 с.
3. Селезнев А.В. Анализ критериев эффективности аэродромных пожарно-спасательных комплексов: методические указания и справочный материал по выполнению расчетно-графической работы. - Ульяновск: УВАУ ГА, 2007 - 38с.