| Скачать .docx |
Реферат: Экологическое нормирование воздухообмена и вибрации
СИБИРСКИЙ УНИВЕРСИТЕТ
ПОТРЕБИТЕЛЬСКОЙ КООПЕРАЦИИ
Контрольная работа
по безопасности жизнедеятельности
Содержание
Нормирование воздухообмена по чистоте воздуха
Пути обеспечения вибробезопасных условий труда
Задачи
Список литературы
Нормирование воздухообмена по чистоте воздуха
Чистота воздуха характеризуется его качеством. Под качеством атмосферного воздуха понимают совокупность свойств атмосферы, которая определяет степень воздействия физических, химических, биологических факторов на людей, животных и растительный мир, а также на строения, конструкции, материалы и окружающую среду в целом.
В соответствии с природоохранным законодательством Российской Федерации нормирование качества окружающей природной среды производится с целью установления предельно допустимых норм воздействия, гарантирующих экологическую безопасность населения, сохранение генофонда, обеспечивающих рациональное использование и воспроизводство природных ресурсов в условиях устойчивого развития хозяйственной деятельности. При этом под воздействием понимается антропогенная деятельность, связанная с реализацией экономических, рекреационных, культурных интересов и вносящая физические, химические, биологические изменения в природную среду.
Экологическое нормирование предполагает учет так называемой допустимой нагрузки на экосистему. Допустимой считается такая нагрузка, под воздействием которой отклонение от нормального состояния системы не превышает естественных изменений и, следовательно, не вызывает нежелательных последствий у живых организмов и не ведет к ухудшению качества среды.
Как экологическое, так и санитарно-гигиеническое нормирование основаны на знании эффектов, оказываемых разнообразными факторами воздействия на живые организмы. Одним из важных понятий в токсикологии и в нормировании является понятие вредного вещества.
В специальной литературе принято называть вредными все вещества, воздействие которых на биологические системы может привести к отрицательным последствиям. Кроме того, как правило, все ксенобиотики (чужеродные для живых организмов, искусственно синтезированные вещества) рассматривают как вредные.
Установление нормативов качества окружающей среды и продуктов питания основывается на принципе порогового воздействия. Порог вредного действия — это минимальная доза вещества, при воздействии которой в организме возникают изменения, выходящие за пределы физиологических и приспособительных реакций, или скрытая (временно компенсированная) патология. Таким образом, пороговая доза вещества (или пороговое действие вообще) вызывает у биологического организма отклик, который не может быть скомпенсирован за счет гомеостатических механизмов (механизмов поддержания внутреннего равновесия организма).
Нормативы, ограничивающие вредное воздействие, устанавливаются и утверждаются специально уполномоченными государственными органами в области охраны окружающей природной среды, санитарно-эпидемиологического надзора и совершенствуются по мере развития науки и техники с учетом международных стандартов. В основе санитарно-гигиенического нормирования лежит понятие предельно допустимой концентрации.
Нормативами качества воздуха определены допустимые пределы содержания вредных веществ как в производственной (предназначенной для размещения промышленных предприятий, опытных производств научно-исследовательских институтов и т.п.), так и в селитебной зоне (предназначенной для размещения жилого фонда, общественных зданий и сооружений) населенных пунктов.
Предельно допустимая концентрация вредного вещества в воздухе рабочей зоны (ПДКрз) — концентрация, которая при ежедневной (кроме выходных дней) работе в течение 8 часов, или при другой продолжительности, но не более 41 часа в неделю, на протяжении всего рабочего стажа не должна вызывать заболевания или отклонения в состоянии здоровья, которые могут быть обнаружены современными методами исследования в процессе работы или в отдаленные сроки жизни настоящего и последующего поколений. Рабочей зоной следует считать пространство высотой до 2 м над уровнем пола или площади, на которой находятся места постоянного или временного пребывания рабочих.
Как следует из определения, ПДКрз представляет собой норматив, ограничивающий воздействие вредного вещества на взрослую работоспособную часть населения в течение периода времени, установленного трудовым законодательством. Совершенно недопустимо сравнивать уровни загрязнения селитебной зоны с ПДКрз, а также говорить о ПДК в воздухе вообще, не уточняя, о каком нормативе идет речь.
Предельно допустимая концентрация максимально разовая (ПДКмр) — концентрация вредного вещества в воздухе населенных мест, не вызывающая при вдыхании в течение 20 минут рефлекторных (в том числе, субсенсорных) реакций в организме человека.
Таблица 1. Соотношение различных видов ПДК в воздухе для некоторых веществ
| Вещество | ПДKсс, мг/м3 | ПДKмр, мг/м3 | vПДKрз, мг/м3 |
| Азота оксид (II) | 0,06 | 0,6 | 30 |
| Kобальта сульфат | 0,0004 | 0,001 | 0,005 |
| 4-хлоранилин | 0,01 | 0,04 | 0,30 |
Понятие ПДКмр используется при установлении научно-технических нормативов — предельно допустимых выбросов загрязняющих веществ. В результате рассеяния примесей в воздухе при неблагоприятных метеорологических условиях на границе санитарно-защитной зоны предприятия концентрация вредного вещества в любой момент времени не должна превышать ПДКмр.
Предельно допустимая концентрация среднесуточная (ПДКсс) — это концентрация вредного вещества в воздухе населенных мест, которая не должна оказывать на человека прямого или косвенного воздействия при неограниченно долгом (годы) вдыхании. Таким образом, ПДКсс рассчитана на все группы населения и на неопределенно долгий период воздействия и, следовательно, является самым жестким санитарно-гигиеническим нормативом, устанавливающим концентрацию вредного вещества в воздушной среде.
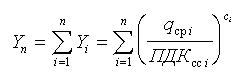
Предложен ряд комплексных показателей загрязнения атмосферы (совместно несколькими загрязняющими веществами); наиболее распространенным является комплексный индекс загрязнения атмосферы (ИЗА). Его рассчитывают как сумму нормированных по ПДКсс и приведенных к концентрации диоксида серы средних содержаний различных веществ:
,
где Yi — единичный индекс загрязнения для i-ого вещества;
qcpi — средняя концентрация i-ого вещества;
ПДКcci — ПДКсс для i-ого вещества;
ci — безразмерная константа приведения степени вредности i-ого вещества к вредности диоксида серы, зависящая от того, к какому классу опасности (см. ниже) принадлежит загрязняющее вещество.
| Классы опасности | 1 | 2 | 3 | 4 |
| Константа сi | 1,7 | 1,3 | 1,0 | 0,9 |
Для сопоставления данных о загрязненности несколькими веществами атмосферы разных городов или районов города комплексные индексы загрязнения атмосферы должны быть рассчитаны для одинакового количества (n) примесей. При составлении ежегодного списка городов с наибольшим уровнем загрязнения атмосферы для расчета комплексного индекса Yn используют значения единичных индексов Yi тех пяти веществ, у которых эти значения наибольшие.
Пути обеспечения вибробезопасных условий труда
Среди всех видов механических воздействий для технических объектов наиболее опасна вибрация. Знакопеременные напряжения, вызванные вибрацией, содействуют накоплению повреждений в материалах, появлению трещин и разрушению. Чаще всего и довольно быстро разрушение объекта наступает при вибрационных влияниях в условиях резонанса. Вибрация вызывает также и отказы машин, приборов.
По способу передачи на тело человека вибрацию разделяют на общую, которая передается через опорные поверхности на тело человека, и локальную, которая передается через руки человека. В производственных условиях часто встречаются случаи комбинированного влияния вибрации — общей и локальной. Вибрация вызывает нарушения физиологического и функционального состояний человека. Стойкие вредные физиологические изменения называют вибрационной болезнью. Симптомы вибрационной болезни проявляются в виде головной боли, онемения пальцев рук, боли в кистях и предплечье, возникают судороги, повышается чувствительность к охлаждению, появляется бессонница. При вибрационной болезни возникают патологические изменения спинного мозга, сердечно-сосудистой системы, костных тканей и суставов, изменяется капиллярное кровообращение.
Функциональные изменения, связанные с действием вибрации на человека-оператора — ухудшение зрения, изменение реакции вестибулярного аппарата, возникновение галлюцинаций, быстрая утомляемость. Негативные ощущения от вибрации возникают при ускорении, которое составляет 5% ускорения силы веса, то есть при 0,5 м/с2. Особенно вредны вибрации с частотами, близкими к частотам собственных колебаний тела человека, большинство которых находится в границах 6...30, Гц.
Резонансные частоты отдельных частей тела следующие, Гц:
— глаза — 22...27;
— горло — б...12;
— грудная клетка — 2...12;
— ноги, руки — 2...8:
— голова — 8...27;
— лицо и челюсти — 4...27;
— поясничная часть позвоночника — 4...14;
— живот — 4...12.
Общая вибрация классифицируется следующим образом:
— транспортная, которая возникает вследствие движения по дорогам;
— транспортно-технологическая, которая возникает при работе машин, которые выполняют технологические операции в стационарном положении или при перемещении по специально подготовленным частям производственных помещений, производственных площадок;
— технологическая, которая влияет на операторов стационарных машин или передается на рабочие места, которые не имеют источников вибрации.
Общие методы борьбы с вибрацией базируются на анализе уравнений, которые описывают колебание машин в производственных условиях и классифицируются следующим образом:
* снижение вибраций в источнике возникновения путем снижения или устранения возбуждающих сил;
* регулировка резонансных режимов путем рационального выбора приведенной массы или жесткости системы, которая колеблется;
* вибродемпферование — снижение вибрации за счет силы трения демпферного устройства, то есть перевод колебательной энергии в тепловую;
* динамическое гашение — введение в колебательную систему дополнительной массы или увеличение жесткости системы;
* виброизоляция — введение в колебательную систему дополнительной упругой связи с целью ослабления передачи вибраций смежному элементу, конструкции или рабочему месту;
* использование индивидуальных средств защиты.
Снижение вибрации в источнике ее возникновения достигается путем уменьшения силы, которая вызывает колебание. Поэтому еще на стадии проектирования машин и механических устройств следует выбирать кинематические схемы, в которых динамические процессы, вызванные ударами и ускорением, были бы исключены или снижены.
Для ослабления вибраций существенное значение имеет предотвращение резонансных режимов работы с целью исключения резонанса с частотой принуждающей силы. Собственные частоты отдельных конструктивных элементов определяются расчетным методом по известным значениям массы и жесткости или же экспериментально на стендах.
Вибродемпферование . Этот метод снижения вибрации реализуется путем превращения энергии механических колебаний колебательной системы в тепловую энергию. Увеличение расхода энергии в системе осуществляется за счет использования конструктивных материалов с большим внутренним трением: пластмасс, металлорезины, сплавов марганца и меди, никелетитанових сплавов, нанесения на вибрирующие поверхности слоя упруговязких материалов, которые имеют большие, потери на внутреннее трение. Наибольший эффект при использовании вибродемпферных покрытий достигается в области резонансных частот, поскольку при резонансе значение влияния сил трения на уменьшение амплитуды возрастает.
Виброгашение, Для динамического гашения колебаний используются динамические виброгасители: пружинные, маятниковые, эксцентриковые гидравлические. Недостатком динамического гасителя является то, что он действует только при определенной частоте, которая отвечает его резонансному режиму колебаний. Динамическое виброгашение достигается также установлением агрегата на массивном фундаменте.
Виброизоляция состоит в снижении передачи колебаний от источника возбуждения к объекту, который защищается, путем введения в колебательную систему дополнительной упругой связи. Эта связь предотвращает передачу энергии от колеблющегося агрегата к основе или от колебательной основы к человеку или к конструкциям, которые защищаются.
Средства индивидуальной зашиты от вибрации применяют в случае, когда рассмотренные выше технические средства не позволяют снизить уровень вибрации до нормы. Для защиты рук используются рукавицы, вкладыши, прокладки. Для защиты ног — специальная обувь, подметки, наколенники. Для защиты тела — нагрудники, пояса, специальные костюмы.
Ниже приведена Структурнаясхема классификации методов виброзащиты.
Структурная схема классификации методов виброзащиты


Задачи
Задача 1
При рентгеноскопии желудка пациент получил разовую экспозиционную дозу 30 Р. Через какое минимальное время рентгеноскопию желудка можно проводить повторно?
Решение. Полученное значение, выраженное в рентгенах, следует перевести в зиверты (Зв), пользуясь соотношением
1 Зв ≈ 114 Р. Тогда доза в 30 Р ≈ 0,26 Зв или 260 мЗв.
Полученное значение сравниваем с предельно допустимой эквивалентной годовой дозой, которая составляет для населения при поражении внутренних органов 15 мЗв. Получаем, что доза в 30 Р в 17,3 раза превышает допустимое годовое значение. То есть: если допустимое значение дозы – 15 мЗв, то повторно рентгеноскопию пациент может пройти не менее чем через 17,3 года.
Задача 2
В дачном домике с объёмом жилых помещений V=50 м3 топится дровами печь. Кратность воздухообмена в домике K=1 1/час. Теплота сгорания дров Qсг = 4 МДж/кг. К.п.д. печи X=10%. Через каждый интервал времени t=10 мин в печь взамен выгоревших подбрасывают новую охапку дров массой m=1,5 кг. Уличная температура tул = -30 о С. Какая температура установится в дачном домике? Как такая температура влияет на физиологическое состояние человека? Каким образом можно её приблизить к комфортной?
Решение. Мощность Р, развиваемая печью для обогрева помещения, определяется формулой
Р, Вт = ХQсг m/t (1),
P=(0,1*4*106 *1,5)/600=1000 Вт или 1000 Дж/с,
где Х – коэффициент полезного действия печи, 0,1;
Qсг , – теплота сгорания двор, 4*106 Дж/кг;
m – масса сгораемых дров, 1,5 кг;
t – время сгорания дров, 10мин=600с.
Уличная температура (to ул ), температура в помещении (to п ), мощность нагревателя Р и воздухообмен L связаны друг с другом следующим соотношением
Р + ρcL(to ул – to п ) = 0 (2),
где ρ – плотность воздуха, равная 1,29 кг/м3 ;
с – удельная теплоемкость воздуха, равная 1 кДж/(кг⋅К).
Кратность воздухообмена К определяется по формуле
К, 1/ч = L/V (3),
где V – объем помещения, 50 м3 .
Так как кратность воздухообмена известна, из формулы (3) находим воздухообмен L:
L=K*V, м3 /ч,
L=1*50=50 м3 /ч.
Зная все данные и приведя их значения в системные единицы измерения, из формулы (2) найдем температуру в помещении
tп = tул + Р/ρcL, K,
где tул =-30°С=243 K;
с=1 кДж/(кг⋅К)=103 Дж/(кг⋅К);
L=50 м3 /ч=0,014 м3 /с.
Тогда получим:
tп = 243+1000/(1,29*103 *0,014), K,
tп =298,4 К или 25,4°С.
Такая температура установится в дачном домике.
Влияние данной температуры на физиологическое состояние человека.
Важнейшим фактором микроклимата жилых помещений является температура воздуха. Оптимальные температурные параметры в холодный период года варьируются от 20 до 22°С в условиях холодного климата. Жалобы на дискомфорт проявляются лишь при температуре воздуха 24°С и выше. В нашем случае температура воздуха в дачном домике составляет 25,4°С. Это выше нормы. Дискомфортные условия при длительном воздействии могут привести к ослаблению общей и специфической сопротивляемости организма, снижению иммунитета.
Эксперты соглашаются, что температура в комнате, в которой люди спят, очень сильно отражается на том, как хорошо и как долго они спят. Поскольку, засыпая, температура тела понижается, то, если в комнате очень холодно или очень жарко (как в нашем случае) организм пытается установить такую же температуру.
Высокая температура может привести к перегреванию, накоплению избыточного тепла в организме человека с повышением температуры тела. Это будет затруднять теплоотдачу во внешнюю среду или увеличивать поступление тепла извне. Возникнет напряжение физиологических механизмов терморегуляции (потоотделение, расширение кожных сосудов и др.). Перегревание будет сопровождаться повышением обмена веществ, потерей воды и солей, нарушением кровообращения.
Способ приближения данной температуры к комфортной.
Для того чтобы приблизить полученную нами температуру к комфортной, необходимо ее понизить, чтобы она была в интервале 20-22С°. Этого можно достичь, решая обратную задачу, приняв в числе исходных данных нужную температуру в помещении. Так как мощность Р, развиваемая печью для обогрева помещения, интервал времени t и масса m подбрасываемых дров величины не постоянные, будем изменять их.
Приняв за исходную температуру в помещении в первом случае 20С°, а во втором – 22С°, и проведя соответствующие вычисления, получим:
1) при массе дров m=1,5 кг, для поддержания в дачном домике оптимальной температуры интервал времени t, через который подбрасывают дрова в печь, надо увеличить, чтобы он составлял10,6-11,1 мин;
2) при постоянном интервале времени в 10 мин массу дров необходимо уменьшить до значений 1,35-1,4 кг.
Тогда температура будет являться комфортной.
Задача 3
Воды трёх водоёмов, А, В и С, расположенных рядом с городом N, имеют различные загрязнения. Виды загрязнений и их концентрации приведены ниже. Определить, какой из водоёмов наиболее и наименее пригоден для общественного и бытового использования. Воду каких водоёмов нельзя использовать и почему? Опишите потенциально возможные источники соответствующих загрязнений водоёмов и методы очистки.
| А | С(С10 Н8 ), мг/л | 0,0022 |
| С[(NH2 )2 CO], мг/л | 0,66 | |
| С(Fe), мг/л | 0,212 | |
| С(Крс), мг/л | 0,00012 | |
| В | С(С10 Н8 ), мг/л | 0,0012 |
| С[(NH2 )2 CO], мг/л | 0,209 | |
| С(Fe), мг/л | 0,123 | |
| С(Крс), мг/л | 0,00057 | |
| С | С(С10 Н8 ), мг/л | 0,0028 |
| С[(NH2 )2 CO], мг/л | 0,135 | |
| С(Fe), мг/л | 0,0891 | |
| С(Крс), мг/л | 0,00026 |
Решение. Для того чтобы определить, какой из водоёмов наиболее и наименее пригоден для общественного и бытового использования, надо сложить приведенные концентрации каждого i-го загрязнителя водоема, то есть величины Сi /ПДКi . Таким образом, суммарная приведенная концентрация загрязнений (СƩ пр ) будет определяться как
СƩ пр =Ʃn i=1 Сi /ПДКi ,
где n – общее число загрязнителей,
Сi – концентрация i-го загрязнителя,
ПДКi – предельно допустимая концентрация i-го загрязнителя.
Известно, что
ПДК(С10 Н8 )=0,01мг/л;
ПДК((NH2 )2 CO)=1мг/л;
ПДК(Fe)=0,3мг/л;
ПДК(Крс)=0,001мг/л.
Зная концентрации загрязнителей и их ПДК, рассчитываем СƩ пр для каждого водоема:
СƩ пр (А)=0,0022/0,01+0,66/1+0,212/0,3+0,00012/0,001=1,79;
СƩ пр (В)=0,0012/0,01+0,209/1+0,123/0,3+0,00057/0,001=1,309;
СƩ пр (С)=0,0028/0,01+0,135/1+0,0891/0,3+0,00026/0,001=0,972.
По результатам расчетов видим, что водоем С обладает наименьшей суммарной приведенной концентрацией загрязнений. Следовательно, данный водоем наиболее пригоден для общественного и бытового использования, а водоем А – наименее.
Концентрации исходных загрязнителей не превышают соответствующих ПДК. Но при однонаправленном действии, например железа и керосина, могут измениться органолептические свойства воды, такие как: вкус и цвет. При поступлении в водные объекты нескольких веществ с одинаковыми лимитирующими показателями вредности (ЛПВ) и с учетом примесей, уже имеющихся в воде, сумма отношений фактических концентраций этих веществ к соответствующим ПДК не должна превышать единицы.
Ʃn i=1 Сi /ПДКi <1
где n – общее число загрязнителей,
Сi – концентрация i-го загрязнителя,
ПДКi – предельно допустимая концентрация i-го загрязнителя.
В нашем случае в двух первых водоемах суммы превышают единицу. Воду в них не рекомендуется использовать. Несмотря на то, что результат в третьем водоеме ниже единицы, без предварительной очистки при данных загрязнителях, негативный эффект которых будет усиливаться примесями, уже имеющимися в водоеме, воду использовать не рекомендуется. Таким образом, все три водоема нуждаются в предварительной очистке и последующем сохранении от попадания в них загрязняющих веществ.
Источники соответствующих загрязнений Мочевина или карбамид ((NH2 )2 CO), будучи одним из важных продуктов жизнедеятельности водных организмов, присутствует в природных водах в заметных концентрациях. Повышение концентрации мочевины может указывать на загрязнение водного объекта сельскохозяйственными и хозяйственно-бытовыми сточными водами. Карбамид может накапливаться в природных водах в результате естественных биохимических процессов как продукт обмена веществ водных организмов, продуцироваться растениями, грибами, бактериями.
Железо (Fe) попадает в воду главным образом из-за выветривания и растворения горных пород. Большое количество железа поступает в воду из сточных вод металлургической, металлообрабатывающей, текстильной, лакокрасочной промышленности и с сельскохозяйственными стоками.
Технический керосин (Крс) используют:
- как сырьё для получения этилена, пропилена и ароматических углеводородов;
- в качестве топлива в основном при обжиге стеклянных и фарфоровых изделий;
- как растворитель при промывке механизмов и деталей.
Соответственно данный нефтепродукт может попадать в водоемы с промышленными сточными водами и дождевыми потоками. Также причинами его попадания в воду могут являться: обычные перевозки, утечки при транспортировке.
Нафталин (С10 Н8 ) используют:
- как исходное соединение при производстве фталевого ангидрида, декалина, тетралина, нафтолов, нафтиламинов и других реагентов;
-как промежуточное соединение при получении различных красителей, поверхностно-активных веществ (ПАВ), фармацевтических препаратов, инсектицидов;
-как инсектицид для борьбы с молью;
Поэтому в природные воды он может попасть с промышленными и бытовыми стоками, а также в результате сельскохозяйственной деятельности человека в качестве инсектицида, применяемого для борьбы с насекомыми.
Методы очистки
Мочевина активно утилизируется водными организмами. Но этот процесс сопровождается потреблением кислорода, приводящего к ухудшению кислородного режима. Поэтому воду необходимо искусственно насыщать кислородом (см. ниже самоочищение ).
Все многообразие методов удаления железа можно свести к двум основным типам: реагентные и безреагентные (физические).
При реагентном способе используют химический реагент (коагулянт).
Обезжелезивание воды упрощенной аэрацией, хлорированием и фильтрованием заключается в удалении избытка углекислоты и обогащения воды кислородом при аэрации, что способствует повышению рН и первичному окислению железо-органических соединений. Окончательное разрушение комплексных соединений железа (II) и частичное его окисление достигается путем введения в обрабатываемую воду окислителя (хлора, озона, перманганата калия и т.п.) Соединения закисного и окисного железа извлекаются из воды при фильтровании.
Обезжелезивание воды методом напорной флотации основано на действии молекулярных сил, способствующих слипанию отдельных частиц гидроксида железа с пузырьками тонкодиспергированного в воде воздуха и всплывании образующихся при этом агрегатов на поверхность воды. Метод флотационного выделения дисперсных и коллоидных примесей природных вод весьма перспективен вследствие резкого сокращения продолжительности процесса (в 3-4 раза) по сравнению с осаждением или обработкой в слое взвешенного осадка.
Процесс напорно-флотационного разделения хлопьев гидроксида железа в окисное: растворение воздуха в воде и образование пузырьков; образование комплексов «пузырек воздуха - хлопья гидроксида железа»; подъем этих комплексов на поверхность воды.
К известным в настоящее время безреагентным методам очистки воды относятся: упрощённая аэрация и фильтрование, глубокая аэрация, отстаивание и фильтрование, «сухая» фильтрация. Наиболее широкое применение нашли упрощённая аэрация с последующим фильтрованием и «сухая» фильтрация. Однако каждый из этих методов имеет свои недостатки. Применение метода упрощенной аэрации с последующим фильтрованием затруднено при повышенных концентрациях железа в исходной воде, а также при наличии в подземной воде гумусовых веществ или других органических соединений, образующих трудноокисляемые органоминеральные железистые соединения, практически не извлекаемые из воды при ее очистке данным методом обезжелезивания. К недостаткам метода «сухой» фильтрации можно отнести повышенный расход электроэнергии в процессе водоочистки (по сравнению с методом упрощённой аэрации), необходимость постоянного контроля за водовоздушным соотношением, повышение коррозионности очищенной воды вследствие избыточной концентрации в ней непрореагировавшего кислорода.
При попадании в водоем нефтепродуктов (в данном случае керосин технический) осуществляют их сбор, для чего:
- ниже по течению водоема устраивается запруда из досок, бревен, веток, брезента (при большой ширине реки - бонного заграждения) таким образом, чтобы задерживался верхний слой воды с растекшейся пленкой нефтепродуктов;
- верхний слой воды с нефтепродуктами откачивается в емкости или собирается ведрами. Если емкостей для сбора нефтепродуктов из водоема нет или их вместимости не хватает, то нефтепродукты можно накапливать в естественных или искусственно созданных выемках, препятствующих обратному вытеканию нефтепродуктов в водоем.
В зимних условиях для сбора нефтепродуктов ниже по течению водоема направленными взрывами небольшой мощности во льду создается полынья от одного берега, к другому, в которой организуются препятствие для дальнейшего передвижения нефтепродуктов и их сбор. Если нет угрозы окружающей природной среде, то нефтепродукты на поверхности водоема выжигают.
Органические загрязнения (в данном случае нафталин) могут быть удалены из воды двумя способами:
· разрушением (окислением) до CO2 и H2 O;
· извлечением.
Разрушение производится сильными окислителями, такими как хлор, кислород, озон, а также жестким ультрафиолетом.
Извлечение органических веществ из воды может быть осуществлено сорбцией, коагуляцией и мембранными методами.
При сорбционном извлечении молекулы органических веществ сорбируются на поверхности специально подготовленного сорбента, в качестве которого наибольшее распространение имеют активные угли различного типа, или поглощаются в объеме сорбента-органопоглотителя. В качестве последнего используются слабоосновные аниониты с пористой структурой или гелевого типа с акриловой матрицей.
Поскольку при коагуляции механизм извлечения органики из воды состоит в ее сорбции на образующихся хлопьях, имеющих огромную поверхность, этот метод также может быть отнесен к сорбционному извлечению.
При пропускании воды через полупроницаемую мембрану на ней задерживаются органические вещества, имеющие молекулярную массу:
· при ультрафильтрации – более 10000;
· при нанофильтрации – более 200;
· при обратном осмосе – практически любую.
Как правило, очистку природной воды от органических загрязнений производят ее обработкой активированным углем. В тех случаях, когда вода имеет только сезонную, периодическую, повышенную концентрацию органики, обычно применяют «углевание», т.е. обработку пылевидным углем, вводимым при коагуляции или фильтрации. В других случаях очистку производят в напорных фильтрах со стационарным слоем угля.
Естественным методом очистки водоемов является их самоочищение – одно из наиболее важных и ценных свойств воды. Самоочищение загрязненных вод может происходить при многократном их разбавлении чистой водой (1:7 до 1:12).
При дефиците в воде растворенного кислорода процессы самоочищения резко сокращаются, возникает необходимость искусственной аэрации, которую осуществляют специальными аэраторами, пропуском воды через водосливные плотины и т.д.
Список литературы
1. Учебная программа дисциплины Безопасность жизнедеятельности/ сост. Доленко Г.Н. – Новосибирск: СибУПК, 2008. – 26 с.
2. "Санитарные правила и нормы "Гигиенические требования к охране поверхностных вод" СанПиН 2.1.5.980-00" (утв. Главным государственным санитарным врачом РФ 22.06.2000).
3. "Гигиенические требования к качеству воды нецентрализованного водоснабжения. Санитарная охрана источников. СанПиН 2.1.4.1175-02 " (утв. Главным государственным санитарным врачом РФ 12.11.2002).
4. Постановление Главного государственного санитарного врача РФ от 30.04.2003 N 78 (ред. от 28.09.2007) "О введении в действие ГН 2.1.5.1315-03" (вместе с "Гигиеническими нормативами "Предельно допустимые концентрации (ПДК) химических веществ в воде водных объектов хозяйственно-питьевого и культурно-бытового водопользования" ГН 2.1.5.1315-03", утв. Главным государственным санитарным врачом РФ 27.04.2003) (Зарегистрировано в Минюсте РФ 19.05.2003 N 4550).
5. "ГОСТ 30494-96. ЗДАНИЯ ЖИЛЫЕ И ОБЩЕСТВЕННЫЕ. ПАРАМЕТРЫ МИКРОКЛИМАТА В ПОМЕЩЕНИЯХ" (введен в действие Постановлением Госстроя РФ от 06.01.1999 N 1)
6. "Санитарные нормы СН 2.2.4/2.1.8.566-96 "Производственная вибрация, вибрация в помещениях жилых и общественных зданий" (утв. Постановлением Госкомсанэпиднадзора РФ от 31.10.1996 N 40)
7. Протасов В.Ф. Экология, здоровье и охрана окружающей среды в России. Учебное и справочное пособие. – М.: Финансы и статистика, 1999. – 672 с.: ил.
8. Фролов А.В. Безопасность жизнедеятельности. Охрана труда. – Ростов н/Д: Феникс, 2005. – 736 с.
9. Ястребов Г.С. Безопасность жизнедеятельности и медицина катастроф. – Ростов н/Д: Феникс, 2002. – 416 с.