| Похожие рефераты | Скачать .docx |
Курсовая работа: Токсины в пищевых продуктах: методы идентификации
«Токсины в пищевых продуктах: методы идентификации»
СОДЕРЖАНИЕ
Введение
Глава 1. Общие сведения о токсинах
1.1 Микотоксины
Глава 2. Методы идентификации токсинов
Глава 3. Современное оборудование
Заключение
Литература
ВВЕДЕНИЕ
Проблема пищи всегда была одной из самых важных проблем, стоящих перед человеческим обществом. Все кроме кислорода человек, получает для своей жизнедеятельности из пищи. Среднее потребление ее в сутки составляет около 800 г (без воды) и около 2000 г воды.
Правильная организация питания требует знания, хотя бы в самом общем виде, химического состава пищевого сырья и готовых продуктов питания, представлений о способах их получения, о превращениях, которые происходят при их получении и при кулинарной обработке продуктов питания.
Все пищевые вещества полезны здоровому организму в оптимальных количествах и оптимальном соотношении. Но в пище всегда имеются микрокомпоненты, которые в относительно повышенных количествах вызывают неблагоприятный эффект. К ним относят, во-первых, так называемые токсиканты – натуральные, присущие данному виду продукта биологически активные вещества, которые могут при определенных условиях потребления вызвать токсический эффект, во – вторых, «загрязнители»- токсичные вещества, поступающие в пищу из окружающей среды вследствие нарушения технологии выращивания (кормление - для животных), производство или хранение продуктов или других причин.
Суть моей курсовой работы, заключается в определении токсинов в пищевых продуктах. В настоящее время токсины являются главной проблемой человечества. Последствия отравления токсинами являются очень опасными, они могут доходить вплоть до летального исхода. Рассмотрим некоторых представителей токсинов более подробно.
ГЛАВА 1. ОБЩИЕ СВЕДЕНИЯ О ТОКСИНАХ
Токсины (от греческого toxikоn - яд), вещества бактериального, растительного или животного происхождения, способные угнетать физиологические функции, что приводит к заболеванию или гибели животных и человека. Токсины при попадании в организм вызывают образование антител. (Молекулярная масса токсина свыше 4-5 тыс.; низкомолекулярные вещества не иммуногены.) Токсины входят в состав ядов змей, скорпионов, пауков и др. ядовитых животных, ряда ядовитых растений.
Наиболее распространенные и изученные бактериальные токсины (их известно несколько сотен) подразделяются на экзотоксины и эндотоксины. Экзотоксины выделяются бактериями в процессе их жизнедеятельности в окружающую среду и обладают специфическим действием на организм (к таким токсинам относятся нейротоксины, цитотоксины). Некоторые микроорганизмы выделяют очень сильные токсины, вызывающие ботулизм, столбняк, дифтерию, пищевые токсикоинфекции и др. Эндотоксины высвобождаются после гибели бактерий и представляют собой нормальные продукты их метаболизма (например, ферменты). Такие токсины нарушают у животных и человека обмен аминов биогенных.
Токсины бактерий были открыты в 1888 французским ученым Э. Руи швейцарским ученым А. Йерсеном, получившими название токсины дифтерийной палочки. Этим открытием они создали предпосылки для разработки методов обезвреживания токсинов, а не уничтожения продуцирующих их микроорганизмов. Успешная попытка применения антитоксинов (антител) была предпринята немецким бактериологом Э. Берингом в 1890, установившим, что сыворотка крови животных, иммунизированных сублетальными дозами. Токсины, обладает профилактическими и лечебными свойствами.
В 1924 французский ученый Г. Рамон предложил обезвреживать токсины (с сохранением их иммунных свойств) обработкой формалином, в результате чего образуется неядовитое производное токсина - анатоксин, который при введении в организм способствует выработке иммунитета к соответствующему токсину. В конце 50-х гг. 20 в. с развитием химии и методов их очистки и идентификации появилась возможность не только избирательно модифицировать токсины, но и отделять полученные анатоксины от не прореагировавших исходных токсинов.
Токсины различают и по типу действия на организм. Нейротоксины действуют на различные этапы передачи нервного импульса. Так, некоторые бактериальные токсины нарушают проводимость нервных волокон. Тайпотоксин и b-бунгаротоксин действуют на пресинаптическую мембрану, подавляя выделение медиатора ацетилхолина, кобротоксин и др. Токсины этого класса (их известно несколько десятков; для 30 из них установлена аминокислотная последовательность) блокируют ацетилхолиновый рецептор постсинаптической мембраны. Цитотоксины обладают высокой поверхностной активностью и разрушают биологические мембраны. Такие токсины часто встречаются в ядах змей; по строению они близки нейротоксинам змей, но отличаются от них функционально важными аминокислотами. Цитотоксины могут вызывать лизис (разрушение) клеток крови. Токсины-ингибиторы подавляют активность определенных ферментов и нарушают таким образом процессы обмена веществ. Токсины-ферменты (протеазы, нуклеазы, гиалуронидазы, фосфолипазы и др.) разрушают (гидролизуют) важные компоненты организма - нуклеиновые кислоты, полисахариды, липиды и др. Применение токсинов ограничено получением из них анатоксинов; нейротоксины используют в качестве избирательно действующих агентов при электрофизиологических и клинических исследованиях механизмов передачи возбуждения в нервной системе. Часто термин "Токсины" неправильно распространяют на природные небелковые вещества, нарушающие те или иные функции организма.
Пищевые токсины. Следующую группу токсинов составляют пищевые токсины. Многие люди даже не подозревают, насколько вредным может оказаться неправильное питание, зашлаковывающие организм. Если спиртные напитки мы пьем далеко не каждый день, то пищу мы употребляем ежедневно. То есть и вредные вещества мы употребляем ежедневно. Недаром древняя пословица гласит: «Я есть то, что я ем». В целом ряде случаев нежелательными для организма продуктами оказываются сладости, мучные изделия, жаренная и жирная пища. Вредными или атерогенными являются избыточные животные жиры: сало, сливочное масло, домашняя сметана, а также кокосовое масло, поскольку они способствуют отложению холестериновых бляшек на стенках сосудов.
Существует точка зрения, что организм человека плохо приспособлен к перевариванию мяса, особенно такого, как свинина, баранина. Еще более тяжелой, чем мясо, пищей являются мясные и куриные, рыбные бульоны (которыми принято кормить тяжело больных), а также излюбленные всеми во время праздничных застолий холодцы и заливные. Продукты, образующиеся в организме после употребления мяса и мясных бульонов, вызывают гниение и брожение в кишечнике, что способствует повышению кислотности организма. Все окислительно-восстановительные процессы и функционирование клеток здорового организма протекают нормально в среде со слабощелочной реакцией, что соответствует величине рН=7,2-7,4 (такую же величину имеют наша кровь, межклеточная жидкость, лимфа, слюна). Кислая среда – почва для развития множества болезней, в том числе аллергических, почва для преждевременного старения организма. Созданию щелочной среды в организме способствует употребление растительной пищи с сыром виде, сухофруктов, а также ежедневное употребление воды "Алка-Майн". Большая часть продуктов, которые мы сегодня покупаем в супермаркетах не соответствует требованиям качества и относится к группе генетически модифицированных продуктов (ГМ - продукты).[1-4]
Одна из разновидностей токсинов – митотоксины. Рассмотрим их более подробно.
1.1 Микотоксины
Микотоксины - от греч. mykes-гриб и toxikon-яд, токсичные продукты жизнедеятельности микроскопических (плесневых) грибов.
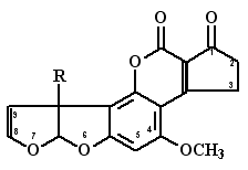
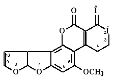
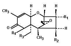
Известно более 250 видов грибов, продуцирующих несколько сотен микотоксинов. Многие из них обладают мутагенными (в том числе канцерогенными) свойствами. Среди микотоксинов, представляющих опасность для здоровья человека и животных, наиболее распространены афлатоксины (формула I и II), трихотеценовые микотоксины, или трихотецены (III-IV), охратоксины (V), патулин (VI), зеараленон и зеараленол (VII). Большинство микотоксинов – кристаллические вещества (см. таблицу), термически стабильны, хорошо растворимые в органических растворителях. Микотоксины (за исключением охратоксинов) достаточно устойчивы к действию кислот, разрушаются щелочами с образованием нетоксичных или малотоксичных соединений. Биосинтез микротоксинов включает обычно стадию конденсации 1 молекулы ацетил-кофермента А с тремя и более молекулами малонил-кофермента А.
![]() |
Группа I Афлатоксин В1: R=H Mолекулярная масса – 312 Афлатоксин В2: R=H, положение 8 и 9 гидрированы Mолекулярная масса – 314 Афлатоксин М1: R=OH Mолекулярная масса – 328 |
![]() |
Группа II Афлатоксин G1 Mолекулярная масса – 328 Афлатоксин G2: положения 9 и 10 гидрированы Mолекулярная масса – 330 |
![]() |
Группа III Токсин T-2: R1=OH, R2=R3=OAc, R4=H, R5=OCOCH2CH(CH3)2 Mолекулярная масса – 424 Токсин HT-2: R1=R2=OH, R3=OAc, R4=H, R5=OCOCH2CH(CH3)2 Mолекулярная масса – 466 Диацетоксискирпенол (ДАЗ): R1=OH, R2=R3=OAc, R4=H, R5=CH2 Mолекулярная масса – 366 |
![]() |
Группа IV Нивеленол: R1=R2=R3=R4=OH Mолекулярная масса – 312 Дезоксиниваленол (ДОН): R1=R3=R4=OH, R2=Н Mолекулярная масса – 296 3-ацетил-дезоксиниваленол: R1=OAc, R2=Н, R3=R4=OH Mолекулярная масса – 338 15-ацетил-дезоксиниваленол: R1=R4=OH, R2=Н, R3=OAc Mолекулярная масса – 338 Фузаренон: R1=R3=R4= OH, R2=OAc Mолекулярная масса – 354 |
![]() |
Группа V Охратоксин А: R=H, R1=Cl Mолекулярная масса – 403 Охратоксин B: R=H, R1=H Mолекулярная масса – 369 Охратоксин C: R=Cl, R1=C2H5 Mолекулярная масса – 431 |
![]() |
Группа VI Патулин Mолекулярная масса – 153 |
![]() |
Группа VII Зеараленон: X= CO Mолекулярная масса – 318 Зеараленол: X= CHOH Mолекулярная масса – 312 |
Основные физико-химические свойства некоторых микотоксинов
| Микотоксин | Мол. масса |
t пл., °С |
λ макс, нм * |
Флуоресценция, цвет, нм * |
| Афлатоксин B1 | 312 | 268-269 | 265,362 | голубой, 425 |
| Афлатоксин G1 | 328 | 244-246 | - | зелёный, 450 |
| Афлатоксин M1 | 328 | 299 | 265,357 | голубой, 425 |
| Токсин Т-2 | 466 | 150-151 | - ** | - |
| Диацетоксискирпенол | 366 | 162-164 | - | - |
| Дезоксиниваленол | 296 | 151-153 | 218 | - |
| Ниваленол | 312 | 222-223 | 218 | - |
| Зеараленон | 318 | 164-165 | 236,274,316 | сине-зелёный |
| Патулин | 153 | 105-108 | 276 | - |
| Охратоксин А | 403 | 169 | 213,332 | зелёный, 475 |
| Охратоксин В | 369 | 221 | 218,318 | голубой |
* - Растворитель метанол.
** - Отсутствие поглощения в УФ спектре или флуоресценции.
Афлатоксины. В эту группу входят более 15 микотоксинов, которые продуцируются грибами Aspergillus flavus и Aspergillus раrasiticus. Основные загрязнители (главным образом токсин В) пищевых продуктов. Высокой токсичностью обладают афлатоксины В1 , В2 , G1 и G2 (для афлатоксина B1 ЛД50 7,8 мг/кг, макаки, перорально). Афлатоксины – сильные мутагены (в т.ч. гепатоканцерогены), обладают также тератогенным и иммунодепрессивным действием. Токсичное действие обусловлено их взаимодействием с нуклеофильными участками ДНК, РНК и белков.
В ряде стран Африки и Азии, где наблюдаются острые афлатоксикозы у людей, выявлена прямая корреляция между частотой заболевания населения раком печени и содержанием афлатоксинов в пищевых продуктах. Химическая детоксикация кормов аммиаком при повышенном давлении и температуре (США, Франция) или пероксидом водорода (Индия) позволяет снизить содержание афлатоксинов до безопасного уровня. При этом, однако, теряется часть питатательной ценности корма. Перспективна биологическая детоксикация афлатоксинов и других микотоксинов некоторыми видами микроорганизмов. При употреблении животными кормов, загрязненных афлатоксином В1 , с молоком выделяется высокотоксичный афлатоксин M1 .
Трихотецены. Продуцируются грибами Fusarium spo-rotrichiella, Fusarium solani, Fusarium graminearum и др. Включают более 80 микотоксинов, которые подразделяют на 4 типа: А, В, С и D. Представители группы А – токсин Т-2 и диацетокси-скирпенол, группы В – дезоксиниваленол и ниваленол, группы С – роридин А, группы D – кротоцин. ЛД50 для этих микотоксинов (мыши, перорально) варьирует от 6,7 мг/кг (токсин Т-2) до 46 мг/кг (дезоксиниваленол). Биосинтез трихотеценов осуществляется через лактон мевалоновой кислоты и фарнезил-пирофосфат.
Трихотецены проявляют тератогенные, цитотоксические, иммунодепрессивные, дерматотоксические свойства, действуют на кроветворные органы, центральную нервную систему, вызывают лейкопению, геморрагический синдром, ответственны за ряд пищевых микотоксикозов человека и животных. Токсические свойства обусловлены их участием в подавлении биосинтеза белка. Из всех трихотеценов природными загрязнителями пищевых продуктов являются только 4 (они приведены в качестве представителей группы III и IV).
Патулин. Впервые выделен в 1943 году как антибиотик. Продуцируется грибом Penicillium expansum; ЛД50 17-36 мг/кг (мыши, перорально). Обладает высокими мутагенными свойствами. Ингибирует синтез белка, ДНК, РНК, ферменты, содержащие в активном центре группы SH.
Охратоксины. В эту группу входят охратоксины А, В и С. Продуцируются грибами Aspergillus ochraceus и Penicillium viridicatum. Наиболее токсичен охратоксин А (ЛД50 3,4 мг/кг, однодневные цыплята, перорально). Другие микотоксины этой группы на порядок менее токсичны. Охратоксин А (им наиболее часто загрязняются пищевые продукты) в чистом виде нестабилен, чувствителен к действию света и кислорода, устойчив в растворах. Эти микотоксины обладают нефротоксичным, тератогенным и иммунодепрессивным действием. Ингибируют синтез белка, нарушают обмен гликогена. Охратоксины ответственны за возникновение нефропатии у свиней.
Зеараленон и его производные. К этой группе относят 15 микотоксинов. Продуцируются грибом Fusarium graminearum.
Для зеараленона ЛД50 10 000 мг/кг (крысы, перорально). Взаимодействие с эстрадиолсвязывающими рецепторами в клетках-мишенях. Обладают эстрогенными и тератогенными свойствами, а также антибактериальным действием в отношении грамположительных бактерий. В качестве природных загрязнителей встречаются только зеараленон и зеараленол.
Содержание микотоксинов в пищевых продуктах и кормах варьирует в широких пределах и может достигать сотен мкг/кг. Оптимальная температура токсинообразования лежит в пределах от 8-12°С (токсин Т-2) до 27-30 °С (афлатоксины). Для основных микотоксинов в ряде стран установлены ПДК. В пищевых продуктах ПДК афлатоксина B1 0,005, патулина 0,05, токсина Т-2 0,1, дезоксиниваленола 0,5 и 1,0 (в зависимости от вида продукта), зеараленона 1,0 мг/кг. Продуценты афлатоксинов поражают главным образом зерновые, масличные и бобовые культуры; продуценты охратоксинов, зеараленона, трихотеценов типов А и В – зерновые; трихотеценов типа С – грубые корма, богатые клетчаткой; продуценты патулина – фрукты, овощи и продукты их переработки. Ежегодные потери сельскохозяйственной продукции в мире, связанные с загрязнением их микотоксинами, превышают 15 млрд. долл. (1985). Потенциальная опасность загрязнения микотоксинами существует для 1 млрд. т сельскохозяйственной продукции.
Для определения микотоксинов в пробе его извлекают органическим растворителем, осуществляют предварительную очистку, переводят (в случае необходимости) в летучее, флуоресцирующее или окрашенное соединение. На конечном этапе используют различные виды хроматографии, для некоторых микотоксинов - радиоиммунные и иммуноферментные методы.[4-7]
| Метод | Колонка | |
| ВЭЖХ | Афлатоксин М1 в пробе масла сливочного | Synergi Polar-RP 250х4.6 мм 4 мкм |
| ВЭЖХ | Афлатоксин М1 в пробе молока | Synergi Polar-RP 250х4.6 мм 4 мкм |
| ВЭЖХ | Афлатоксин М1 в пробе сливок | Synergi Polar-RP 250х4.6 мм 4 мкм |
| ВЭЖХ | Афлатоксин М1 в пробе сметаны | Synergi Polar-RP 250х4.6 мм 4 мкм |
| ВЭЖХ | Афлатоксин М1 в пробе сыра | Synergi Polar-RP 250х4.6 мм 4 мкм |
| ВЭЖХ | Афлатоксины B1, B2, G1, G2 в пробе муки | Synergi Hydro-RP 250х4.6 мм 4 мкм |
| ВЭЖХ | Афлатоксины B1, B2, G1, G2 в пробе пирожного | Synergi Hydro-RP 250х4.6 мм 4 мкм |
| ВЭЖХ | Дезоксиниваленол в пробе муки | Synergi Hydro-RP 250х4.6 мм 4 мкм |
| ВЭЖХ | Дезоксиниваленол в пробе орехов арахиса | Synergi Hydro-RP 250х4.6 мм 4 мкм |
| ВЭЖХ | Зеараленон в пробе хлеба | Synergi Hydro-RP 250х4.6 мм 4 мкм |
| ВЭЖХ | Охратоксин А в вине | Synergi Hydro-RP 250х4.6 мм 4 мкм |
| ВЭЖХ | Стандартная смесь афлатоксинов B1, B2, G1, G2 | Synergi Hydro-RP 250х4.6 мм 4 мкм |
ГЛАВА 2. МЕТОДЫ ИДЕНТИФИКАЦИИ ТОКСИНОВ
Микотоксины и контроль
Проблема микотоксикозов не нова. Со времен охоты на ведьм в Сэлеме (XVII в.), когда токсин спорыньи, паразитирующий на ржи, попадая в муку для хлебопечения, вызывал массовые галлюцинации, и до настоящего времени микотоксины продолжают представлять угрозу здоровью как животных, так и людей. В нашей стране наиболее часто встречаются микотоксины: ДОН, или вомитоксин, Т-2 токсин, зеараленон и афлатоксин. Нередки случаи обнаружения в корме фузариевой кислоты и фумонизина, иногда - охратоксина А. Ими чаще всего бывают контаминированы зерновые, а также соевые и подсолнечниковые шроты и жмыхи, в том числе при хранении и продолжительной транспортировке. Причины появления и интенсивного роста грибов в период вегетации и созревания культур, особенно за несколько недель до уборки, еще до конца не выяснены.
В последнее десятилетие получены данные о том, что некоторые фунгициды, в частности тебуконазол и флюхинконазол, примененные в недостаточной концентрации, не уменьшали, а наоборот, усиливали контаминацию зерна вомитоксином (ДОН). А недавние исследования, проведенные в Великобритании, показали, что фунгицид азоксистробин, угнетая рост неопасной плесени, одновременно способствовал замещению ее токсиногенными видами грибов рода Fusarium.
Афлатоксины продуцируются грибами Aspergillus flavus, A. Parasiticus. Это сильные гепатоксины. Увеличение их концентрации приводит к разрушению печени и подавлению роста птицы. Токсический эффект усиливается при наличии в корме Т-2 токсина или охратоксина, а также при относительно низких уровнях сырого протеина, метионина и "пограничных" уровнях рибофлавина, витамина D3. Афлатоксин В1 - самый опасный токсин в этой группе (LD50= 6,5-16,5 мг/кг). Однако для бройлеров и утят этот показатель составляет менее 1 мг/кг корма. Наиболее восприимчивы к названным токсинам утята, затем индюшата, гусята, цыплята и фазаны.
При уровне 0,7 мг/кг афлатоксина В1 подавляются рост птицы и синтез ДНК, падает потребление корма. В печени снижается уровень витамина А и повышается содержание жиров. Она увеличивается в размерах, приобретает желтовато-коричневый оттенок, становится рыхлой. Иногда происходит кровоизлияние. Гематокритное число и уровень гемоглобина, а также глобулина и протеина в плазме крови значительно падают при наличии 5 мг/кг корма афлатоксина В1. У несушек снижаются яичная продуктивность и масса яйца и, как у бройлеров, увеличивается содержание жира в печени, меняются некоторые параметры плазмы крови. При уровне афлатоксина 1 мг/кг корма и более в течение 4 недель падает яйценоскость, поскольку ухудшается нормальное транспортирование жира из печени в яйцевод.
Трихотецены (Т-2, ДОН и диацетоксискирпенол) продуцируются грибами из рода Fusarium. Они подавляют метаболизм протеина, вызывают повреждения в ротовой полости птицы. LD50 составляет 5 мг/кг массы тела Т-2 токсина для суточных цыплят и 4 мг/кг для цыплят в возрасте 7 дней, а ДОН - 140 мг/кг. Токсический эффект Т-2 токсина в кормах для бройлеров проявляется по-разному в зависимости от продолжительности его присутствия и концентрации. Например, появляются повреждения слизистой и роговых оболочек полости рта или некротический стоматит, геморрагический энтерит толстого и тонкого кишечников и истончение слизистой (первая неделя), падают темпы роста (вторая неделя), а с третьей недели начинаются дегенерация фабрициевой сумки, оральный некроз, анемия, лимфоидная атрофия. У несушек этот же токсин, если присутствует в кормах 18 дней подряд, вызывает снижение яйценоскости и массы яйца, оральные повреждения. Более продолжительное использование такого корма, даже когда концентрация Т-2 составляет не 16 мг/кг, а наполовину меньше, влечет за собой помимо упомянутых симптомов истончение скорлупы, снижение выводимости, повреждение зоба и мышечного желудка. ДОН (вомитоксин) подавляет массу яйца и скорлупы, если присутствует в кормах от 0,35 до 0,7 мг/кг в течение 70 дней. При выращивании бройлеров ДОН хотя и не вызывает падежа птицы, однако приводит к снижению аппетита у цыплят и, как следствие, к уменьшению их продуктивности.
Из охратоксинов наиболее опасен охратоксин А. Он более токсичен, чем афлатоксин. Значение LD50 для бройлеров составляет 2,1 мг/кг массы тела, в то время как для утят он значительно ниже - 0,5 мг/кг, а для японских перепелов - 16,5 мг/кг. Охратоксин А подавляет синтез протеина и метаболизм углеводов, в частности гликоногеноз, путем ингибирования активности фенилаланин - Т-РНК синтеза - специфического фермента, играющего ключевую роль в начальной стадии синтеза протеина.
Широкодоступные методы определения токсичности представляют собой сомнительные индикаторы (микроорганизмы, кожные пробы), которые практически не позволяют обнаружить микотоксины при их недостаточно высоком уровне, хотя и в этом случае многие из них опасны. Поэтому подобные методы очень часто создают путаницу и ложное представление о качестве кормов.
В настоящее время на птицефабриках наиболее распространен анализ общей токсичности кормов по выживанию простейших микроорганизмов (парамеции, стилонихии, калподы). К сожалению, такой простой метод ничего не говорит о природе токсичности. Это всего лишь качественный индикатор присутствия в корме каких-либо вредных для здоровья компонентов: тяжелых металлов, пестицидов, микотоксинов, прогоркших жиров и т.д. Кроме того, по токсичности для простейших можно лишь условно судить о токсичности для птицы. Метод кожной пробы (мыши, кролики и др.) хотя и более адекватен в данном случае, также не раскрывает причину токсичности. К тому же он трудоемок и долог (5-7 дней), что резко ограничивает его практическое применение.
Для анализа основных микотоксинов существуют и активно совершенствуются в последние годы достаточно точные количественные методы. На наиболее передовых птицефабриках стали применять в последние годы иммуноферментный экспресс-метод. Однако и он эффективен лишь в том случае, если отобранные образцы адекватны составу всего корма.
Проблема заключается в том, что микотоксины, как правило, крайне неравномерно распределяются в массе зерна или комбикорма. В местах роста плесени концентрация микотоксинов может быть очень высокой. Даже самый лучший современный метод анализа не выявит токсичность, если не будет соблюдена трудоемкая рутинная процедура отбора проб.
Показателен пример, продемонстрированный на Всемирном форуме по микотоксинам в Нидерландах. В табл. 1 представлены результаты анализа 10 проб пищевого арахиса по 5 кг каждая, отобранных из одной партии.

То есть, если специалист будет считать, что образец в 5 кг, отобранный из одного места, достаточно полно отражает качество партии продукта, анализ микотоксинов окажется простой тратой денег и времени. Один из наиболее совершенных и удачных методов отбора проб для анализа на содержание афлатоксина описан в Директиве ЕС (табл. 2 ).

Из таблицы видно, что из партии в 100 т рекомендовано отобрать 30 кг продукта. Далее они должны быть разделены на три равные части (по 10 кг), тонко помолоты и снова тщательно перемешаны. Только после этого могут быть отобраны образцы для лабораторного анализа, обычно массой 50-200 г. Инструкция требует, чтобы для официального анализа образец содержал не менее 100 000 частиц, для обычного анализа достаточно 50 000 частиц.
Самая точная аналитическая техника может дать неверное представление о качестве продукта, если не будет применена схема подготовки образца. Однако схема отбора проб, подобная вышеописанной, подчас просто неприемлема на практике. В зависимости от типа продукта, условий выращивания культуры, ее уборки и хранения и в случае подозрения на зараженность корма специалист может сделать выбор в пользу профилактического применения подходящих адсорбентов или других методов уменьшения негативного влияния микотоксинов. И хотя этот подход сопряжен с увеличением стоимости кормов, затраты на регулярный отбор образцов и на выполнение дорогостоящих анализов могут оказаться значительно выше.
Подобно методам определения токсичности способы борьбы с микотоксинами также претерпели определенную эволюцию. Первоначально для исключения негативного влияния на здоровье и продуктивность птицы использовались бентониты, цеолиты, затем различные алюмосиликаты (Na, Ca, Mg), включавшие либо органические кислоты, либо ферменты. Как правило, все эти вещества даже при больших нормах ввода (около 1% в рационе) адсорбировали в основном афлатоксин и практически не связывали другие токсины, представляющие не меньшую, а иногда и большую опасность, особенно в случаях токсического синергизма. К тому же бентониты и алюмосиликаты адсорбируют также некоторую часть микроэлементов и витаминов. Так, например, алюмосиликаты и бентониты связывали 18% меди, 14% цинка и кальция. Аналогичная картина наблюдалась и в отношении витаминов, хотя потери здесь были менее значительными. Поэтому высокие нормы ввода в корма бентонитов, цеолитов и алюмосиликатов нередко приводят к потере питательных веществ и вследствие этого к некоторому снижению микроэлементов и витаминов в крови, хотя рацион полностью сбалансирован и его качественные параметры соответствуют рекомендованным нормам.
В последнее время была открыта способность этерифицированных глюкоманнанов, извлеченных из внутренних оболочек дрожжей специально подобранных штаммов, связывать микотоксины. Эта работа имела почти 20-летнюю историю, приведшую к созданию препарата Микосорб. В его составе отсутствуют цеолиты, бентониты, алюмосиликаты. Норма ввода колеблется от 0,2 до 1 кг/т в зависимости от степени токсичности корма. К тому же Микосорб адсорбирует не только афлатоксины, но и ряд других опасных токсинов, включая Т-2, ДОН, охратоксин и др. (рисунок ).


В табл. 3 приведены сравнительные данные эффективности нескольких адсорбентов, включая этерифицированные глюкоманнаны (Микосорб).[5-8]
Определение микотоксинов при их совместном присутствии в пищевых продуктах [11]
Одно из ведущих мест в ряду приоритетных загрязнителей пищевых продуктов принадлежит микотоксинам. В настоящее время известно более 250 различных микроскопических грибов, продуцирующих более 100 токсичных метаболитов. Микотоксины образуются в цепи последовательных ферментных реакций, протекающих по механизмам поликонденсации, окисления-восстановления, алкилирования, галогенизации. Особое внимание к проблеме загрязнения пищевых продуктов микотоксинами обусловлено широкой распространенностью их продуцентов в природе и способностью поражать пищевые продукты на любом этапе их производства. Цель настоящей работы - модификация имеющихся методик тонкослойной хроматографии (ТСХ) для исследований микотоксинов.
Для совместного определения афлатоксина В1, зеараленона, Т-2 токсина и дезоксиниваленола, содержащихся в одних и тех же продуктах, предложено использовать смесь ацетонитрила и раствора хлорида калия с массовой долей 4% в соотношении 9:1. При разделении микотоксинов на хроматографических пластинках «Силуфол» с силикагелевым покрытием хроматографирование проводилось смесью растворителей гексан : ацетон (1:1). При этом величины Rf : для афлатоксина В1 – 0,45%, , для зеараленона – 0,75%, для Т-2 токсина – 0,4%, для дезоксиниваленола 0,42%. В отдельных случаях предложено использование подтверждающих тестов – спиртовый раствор хлорида алюминия для зеараленона и водный раствор азотной кислоты для всех остальных, при этом флуоресценция зеараленона меняется с зеленоватой на ярко-голубую, а остальных с оттенков голубого и синего на ярко-желтую. Такой подход позволил ускорить выдачу результата и экономно расходовать реактивы и хроматографические пластинки.
ОПРЕДЕЛЕНИЕ АРОМАТИЧЕСКИХ КИСЛОТ В ПИЩЕВЫХ ПРОДУКТАХ [ 14 ]
Разработан способ экстракционно-потенциометрического определения бензойной и салициловой кислот в пищевых продуктах (фруктовые компоты, варения, джемы, мармелады). Экстракция трет.бутиловым спиртом (высаливатель - сульфат лития) значительно снижает пределы обнаружения кислот. Детектирование осуществляют методом потенциометрического титрования с применением платинового индикаторного электрода и хлоридсеребряного электрода сравнения (кислотно-основной механизм).
Содержание кислот в анализируемом объекте (m, мг) вычисляют по формуле:
m=0,01. С. V. R. M,
где С - концентрация титранта (0,01 моль/л раствор КОН в изопропиловом спирте); V - объем титранта, мл; R - степень извлечения кислоты трет.бутиловым спиртом, %.
Минимально определяемые концентрации кислот 10 мг/л, продолжительность анализа 40 мин.
Предложен способ определения галловой кислоты в пищевых продуктах (маргарин, жиры, молочные продукты), основанный на экстракционном концентрировании трет.бутиловым спиртом в присутствии сульфата лития и фотометрическом детектировании (окислительно-восстановительный механизм). Минимально определяемая концентрация галловой кислоты - 5 мг/л. Продолжительность анализа 60 мин, ошибка не превышает 10 %.
Определение галловой и протокатеховой кислот в чае включает экстракционное концентрирование трет.бутиловым спиртом с применением высаливателя (сульфат лития) и детектирование концентрата методом фотометрического титрования (окислительно-восстановительный механизм). Способ позволяет определять галловую и протокатековую кислоты в чае на уровне 50-70 мг/кг сырья. Продолжительность анализа 40-60 мин, погрешность 10%.
ПРЯМОЕ НЕПЛАМЕННОЕ АТОМНО-АБСОРБЦИОННОЕ ОПРЕДЕЛЕНИЕ МЫШЬЯКА, СВИНЦА И КАДМИЯ В НЕКОТОРЫХ ПИЩЕВЫХ ПРОДУКТАХ [13]
Работа посвящена оптимизации условий прямого электротермического атомно-абсорбционного спектрофотометрического (ЭТ ААС) определения микроколичеств (0,002-0,2 мг·кг-1) мышьяка(As), свинца (Pb) и кадмия (Cd) в некоторых пищевых продуктах.
Растворы исследуемых материалов (0,020-0,040 мл), полученные после их предварительного автоклавного разложения, наносили на платформу Львова в ЭТ графитовой трубчатой печи, добавляли модификатор матрицы (ММ) и программировано нагревали. Установлено, что смесь гидрофосфата аммония с нитратом палладия и азотной кислотой эффективна при определении Cd; нитрат магния и палладия - при определении As, а дигидрофосфат аммония с нитратом магния и палладия – при определенииr Pb. Использование при ЭТ ААС определении в пищевых продуктах (> 0,002 мг·кг-1) As, Pb и Cd перечисленных ММ и платформы Львова позволяет повысить температуру печи на стадии озоления до 900-950оС и значительно упростить процедуру анализа в целом.
Показана эффективность использования прямого ЭТ ААС при анализе некоторых продуктов питания растительного и животного происхождения.
ГЛАВА 3. СОВРЕМЕННОЕ ОБОРУДОВАНИЕ
Определение токсинов в продовольственном сырье и пищевых продуктах методом высокоэффективной жидкостной хроматографии
Аппаратно-программный комплекс на базе жидкостного хроматографа "Хромос ЖХ-301", разработанный в соответствии с требованиями стандартов образцовой лабораторной практики.
Определяемые токсины
Афлатоксины В1, В2,G1, G2 и М1 (МУ №4082-86)
Вомитоксин и зеараленон (МУ № 3940-85)
Преимущества метода
Метод ВЭЖХ дает достоверные количественные результаты анализа.
Высокая чувствительность позволяет сократить затраты на пробоподготовку.
Комплекс можно быстро перестроить на выполнение других анализов.
Достоинства хроматографа "Хромос ЖХ-301" высокая стабильность и точность поддержания расхода элюента обеспечивается конструкцией насосов высокого давления легкий доступ к колонкам обеспечивается конструкцией прибора эффективность разделения обеспечивается применением высокоэффективных хроматографических колонок широкий линейный диапазон измерительного сигнала детекторов без переключений предела измерения, что позволяет с высокой точностью измерять пики как большой, так и малой концентрации высокопроизводительная обработка хроматографической информации программой "Хромос 2.3." работающей под управлением среды "Windows
Состав и характеристика оборудования и программного обеспечения
Жидкостный хроматограф "Хромос ЖХ-301", № в Гос. Реестре 21433-01
| Насос SSI серии III | Насос для подачи элюента имеет низкий уровень пульсаций |
| Детектор спектрофотометрический СПФ-1 | Детектор по измерению поглощения (длинна волны 283нм) |
| Кран-дозатор | Применяется шестипортовый двухходовой петлевой дозатор. Увеличение петли дозирования позволяет увеличить чувствительность анализа. |
| Колонки хроматографические | Аналитическая колонка С-18 250 х 4mm |
| Вспомогательное оборудование для лаборатории жидкостной хроматографии | вакуумный насос для дегазации элюента |
| Программа сбора и обработки хроматографической информации "Хромос 2.3." | Работа одного компьютера с несколькими хроматографами (количество зависит от конфигурации компьютера). Методы расчета хроматограмм: абсолютная калибровка, внутренний стандарт |
| Компьютер IBM-PC/AT с принтером | Celeron-366 (и выше), 32 Мб RAM. HDD-10G. FDD 1.44 (либо CD-ROM). клавиатура, мышь. монитор 15" SVGA, принтер. |
Сочетание модулей обеспечивает аналитика всеми преимуществами интегральной системы, с одной стороны, и гибкостью модульной системы с другой. В какой бы области применений Высокоэффективной Жидкостной Хроматографии (ВЭЖХ) - фармакология, биотехнология, анализ объектов окружающей среды, клинический анализ, анализ пищевых продуктов и напитков, анализ нефтехимической и химической продукции - не использовался этот прибор, он всегда оптимально конфигурируется для того, чтобы соответствовать наивысшим требованиям.
Как исследовательская, так и высокопроизводительная рутинная
системы обеспечивают:
• Высокоэффективную дегазацию растворителя
• Возможность работы с малыми и сверхмалыми количествами образца
• Высочайшую чувствительность, как с УФ/ВИД детектором, так и с диодной матрицей (со знаменитой LightPipe технологией с длиной оптического пути 1 или 5 см по выбору)
• Работу с различными колонками
•Высочайшую точность количественного анализа
• Возможность автоматической работы с разными объемами образца
• Среднеквадратичную ошибку по временам удерживания менее 0.3 %
• Минимальную рабочую площадь, занимаемую системой
•Высочайшую надежность и стабильность параметров
Surveyor LC Pump - ВЭЖХ насос, обладающий лучшими показателями воспроизводимости времен удерживания среди всех доступных в мире четырехкомпонентных градиентных насосов. Интегрированный четырехканальный вакуумный дегазатор и демпфер пульсаций обеспечивают великолепную стабильность базовой линии для достижения максимальной чувствительности и точности количественного анализа.
Автодозатор обеспечивает высочайшую производительность и гибкость анализа. Широкий выбор поддонов для образцов - от стандартных виал до 96 - и 384-луночных микропластин - покрывает потребности практически всех применений. Новая технология обеспечивает ввод пробы практически без потерь, практически 5 мкл образца вводятся автодозатором из полного объема образца в 5 мкл.
SURVEYOR
УФ/Вид детектор и PDA (Детектор с диодной матрицей)
Surveyor UV/Vis - детектор ультрафиолетового и видимого света с переменной длиной волны является комбинацией экономичности и надежности с высочайшей чувствительностью LightPipe технологии. Широкий выбор проточных кювет делает этот детектор универсальным для всех применений от тех, которые используют капиллярную или микроколоночную хроматографию до полупрепаративных и препаративных.
Surveyor PDA детектор является самым чувствительным среди всех ВЭЖХ детекторов, использующих диодную матрицу. Оптика с двуламповым источником безразрывно покрывает весь диапазон длин волн от 190 до 800 нм. Волоконно-оптический формирователь светового пучка обеспечивает великолепное оптическое разрешение без принесения в жертву чувствительности.
Surveyor RI рефрактометрический детектор с термостатированной кюветой минимального объема с полным электронным контролем с компьютера.
Surveyor FL флюориметрический сканирующий детектор с высочайшей чувствительностью и возможностью детекции при флюоресценции, хемилюминисценции и фосфоресценции.
ЗАКЛЮЧЕНИЕ
В целом вопросы безопасности пищевых продуктов включают в себя довольно широкий спектр проблем, которые в последние десятилетия в мировой прессе, в том числе научных и научно-популярных изданиях, обсуждаются довольно широко. Исследования в этой области в последнее время в связи с ухудшением экологической обстановки проводятся в широких масштабах, однако не всегда имеют системный подход.
Основными путями решения этой актуальной задачей являются следующие:
- пересмотр нормативной документации, регламентирующей критерии и методы оценки качества и безопасности пищевой продукции и продовольственного сырья;
- введение дополнительных показателей, принятых за рубежом (определение ряда антибиотиков и других лечебных препаратов, стильбенов, стероидных гормонов, бета-антогонистов, тиреостатиков и т.д.);
- разработка ускоренных методов анализа, приемлемых для широкого практического применения. С экономической точки зрения необходимо создание отечественных тест-наборов, тест-систем и измерительной аппаратуры, которые были бы дешевле импортных и доступны для производственных лабораторий;
- постепенный переход от контроля готовой продукции к предварительному контролю на стадии ее производства, позволяющему существенно снизить затраты на проведение исследований и прогнозировать качество и безопасность продовольственного сырья и пищевой продукции;
- разработка системы экологического регионального мониторинга объектов окружающей среды (почва, вода, воздух), оказывающих непосредственное влияние на качество и безопасность сельскохозяйственной продукции;
- планирование и соответствующая координация тематик научно-исследовательских учреждений с учетом приоритета разработок в области методического обеспечения оценки качества и безопасности продовольственного сырья и пищевой продукции.
Таким образом, в настоящее время стратегию безопасности пищевых продуктов определяет предупреждение загрязнения и заражения – как химического, так и биологического, на всех стадиях и ступенях пищевой цепи.
ЛИТЕРАТУРА
1. Смирнов В.В., Зайченко Ф.М., Рубежняк И.Г. Микотоксины: Фундаментальные и прикладные аспекты. // Современные проблемы токсикологии —2000. —№1. —С. 5-12.
2. Тутельян В.А., Кравченко Л.В. Микотоксины. —АМН СССР. —М.: Медицина, 1985 —211 с.
3. Скурлатов Ю.И., Дука Г.Г., Мизити А. Введение в экологическую химию. - М.: Высшая школа, 1994.
4. Родионова И.А. Глобальные проблемы человечества. - М.: "Аспект-Пресс", 1994.
5. Методы анализа объектов окружающей среды: Сб. научных трудов / Под ред. В.В.Малахова. - Новосибирск: Наука, Сибирское отделение, 1988.
6. Майстренко В.Н., Хамитов Р.З., Будников Г.К. Эколого-аналитический мониторинг супертоксикантов. - М.: Химия, 1996.
7. Кормилицын В.И., Цицкшивили М.С., Яламов Ю.И. Основы экологии. - М. : “ Интерстиль ” (МПУ), 1997. - 368 с.
8. Новиков Ю.В. “ Экология, окружающая среда и человек ” . - М. : Агентство “ ФАИР ” , 1998. - 320 с.
9. Шустов С.Б., Шустова Л.В. Химия и экология. - Нижний Новгород : Нижнегородский гуманитарный центр, 1994. - 239 с.
Похожие рефераты:
Пищевые отравления. Токсикоинфекции
Пищевая и биологическая ценность пищевых продуктов животного и растительного происхождения
Критерии и оценки безопасности пищевых продуктов
Понятие о пищевых добавках и их характеристика
Основные загрязнители почвы, кормов и продукции животноводства
Методы исследования свойств сахара-песка и сухого солода
Товароведная характеристика и оценка качества копчено-вареных продуктов из свинины
Технология хранения и транспортирования продовольственных товаров






