| Скачать .docx |
Реферат: Основы безопасности жизнедеятельности 2 4
Контрольная работа
Основы безопасности жизнедеятельности
1. Понятие несчастного случая. Несчастные случаи на производстве, подлежащие расследованию и учету
Несчастный случай на производстве — событие, в результате которого застрахованный получил увечье или иное повреждение здоровья при исполнении им обязанностей по трудовому договору и в иных установленных настоящим Федеральным законом случаях, как на территории страхователя, так и за ее пределами либо во время следования к месту работы или возвращения с места работы на транспорте, предоставленном страхователем, и которое повлекло необходимость перевода застрахованного на другую работу, временную или стойкую утрату им профессиональной трудоспособности либо его смерть.
Несчастный случай на производстве является страховым случаем, если он произошел с работником, подлежащим обязательному социальному страхованию от несчастных случаев на производстве и профессиональных заболеваний.
Расследованию и учету в соответствии с настоящей главой подлежат несчастные случаи на производстве, происшедшие с работниками и другими лицами, в том числе подлежащими обязательному социальному страхованию от несчастных случаев на производстве и профессиональных заболеваний при исполнении ими трудовых обязанностей и работы по заданию организации или работодателя - физического лица.К указанным лицам относятся:
- работники, выполняющие работу по трудовому договору;
студенты образовательных учреждений высшего и среднего профессионального образования, учащиеся образовательных учреждений среднего, начального профессионального образования и образовательных учреждений основного общего образования, проходящие производственную практику в организациях;
- лица, осужденные к лишению свободы и привлекаемые к труду администрацией организации;
- другие лица, участвующие в производственной деятельности организации или индивидуального предпринимателя.
Расследуются и подлежат учету как несчастные случаи на производстве: травма, в том числе нанесенная другим лицом; острое отравление; тепловой удар; ожог; обморожение; утопление; поражение электрическим током, молнией, излучением; укусы насекомых и пресмыкающихся, телесные повреждения, нанесенные животными; повреждения, полученные в результате взрывов, аварий, разрушения зданий, сооружении и конструкций, стихийных бедствий и других чрезвычайных ситуаций, - повлекшие за собой необходимость перевода работника на другую работу, временную или стойкую утрату им трудоспособности либо смерть работника, если они произошли:
- в течение рабочего времени на территории организации или вне ее (в том числе во время установленных перерывов), а также в течение времени, необходимого для приведения в порядок орудий производства и одежды перед началом и после окончания работы, или при выполнении работ в сверхурочное время, выходные и нерабочие праздничные дни;
- при следовании к месту работы или с работы на транспорте, предоставленном работодателем (его представителем), либо на личном транспорте в случае использования указанного транспорта в производственных целях по распоряжению работодателя (его представителя) либо по соглашению сторон трудового договора;
- при следовании к месту служебной командировки и обратно;
- при следовании на транспортном средстве в качестве сменщика во время междусменного отдыха (водитель - сменщик на транспортном средстве, проводник или механик рефрижераторной секции в поезде и другие);
- при работе вахтовым методом во время междусменного отдыха, а также при нахождении на судне в свободное от вахты и судовых работ время;
- при привлечении работника в установленном порядке к участию в ликвидации последствий катастрофы, аварии и других чрезвычайных происшествий природного и техногенного характера;
- при осуществлении действий, не входящих в трудовые обязанности работника, но совершаемых в интересах работодателя (его представителя) или направленных на предотвращение аварии или несчастного случая.
2. Взрывоопасность как травмирующий фактор. Категории помещений и зданий по взрывопожарной опасности
ВЗРЫВООПАСНОСТЬ, совокупность факторов, обусловливающих возможность образования взрывоопасной среды в объеме, превышающем 5% свободного объема помещения, и ее воспламенения. Такими факторами служат горючее вещество, окислитель и источник воспламенения. Понятие взрывоопасности относится к объектам, в которых возможны образование газо-, паро- или пылевоздушной взрывоопасной среды и взрыв, приводящие к их разрушению.
Методика определения категорий помещений и зданий по взрывопожарной и пожарной опасности должна использоваться в проектно-сметной и эксплуатационной документации на здания, помещения и наружные установки.
Категории помещений и зданий предприятий и учреждений определяются на стадии проектирования зданий и сооружений в соответствии с настоящими нормами и ведомственными нормами технологического проектирования, утвержденными в установленном порядке.
По взрывопожарной и пожарной опасности помещения подразделяются на категории А, Б, В1 - В4, Г и Д, а здания - на категории А, Б, В, Г и Д.
Категории взрывопожарной и пожарной опасности помещений и зданий определяются для наиболее неблагоприятного в отношении пожара или взрыва периода, исходя из вида находящихся в аппаратах и помещениях горючих веществ и материалов, их количества и пожароопасных свойств, особенностей технологических процессов.
Категории пожарной опасности наружных установок определяются, исходя из вида находящихся в наружных установках горючих веществ и материалов, их количества и пожароопасных свойств, особенностей технологических процессов.
Категории помещений по взрывопожарной опасности
Категории помещений по взрывопожарной и пожарной опасности принимаются в соответствии с табл. 1. Определение категорий помещений следует осуществлять путем последовательной проверки принадлежности помещения к категориям, приведенным в табл. 1, от высшей (А) к низшей (Д).
Таблица 1
| Категория помещения | Характеристика веществ и материалов, находящихся (обращающихся) в помещении |
А взрывопожароопасная |
Горючие газы, легковоспламеняющиеся жидкости с температурой вспышки не более 28o С в таком количестве, что могут образовывать взрывоопасные парогазовоздушные смеси, при воспламенении которых развивается расчетное избыточное давление взрыва в помещении, превышающее 5 кПа. Вещества и материалы, способные взрываться и гореть при взаимодействии с водой, кислородом воздуха или друг с другом в таком количестве, что расчетное избыточное давление взрыва в помещении превышает 5 кПа |
Б взрывопожароопасная |
Горючие пыли или волокна, легковоспламеняющиеся жидкости с температурой вспышки более 28o С, горючие жидкости в таком количестве, что могут образовывать взрывоопасные пылевоздушные или паровоздушные смеси, при воспламенении которых развивается расчетное избыточное давление взрыва в помещении, превышающее 5 кПа |
В1 - В4 пожароопасные |
Горючие и трудногорючие жидкости, твердые горючие и трудногорючие вещества и материалы (в том числе пыли и волокна), вещества и материалы, способные при взаимодействии с водой, кислородом воздуха или друг с другом только гореть, при условии, что помещения, в которых они имеются в наличии или обращаются, не относятся к категориям А или Б |
| Г | Негорючие вещества и материалы в горячем, раскаленном или расплавленном состоянии, процесс обработки которых сопровождается выделением лучистого тепла, искр и пламени; горючие газы, жидкости и твердые вещества, которые сжигаются или утилизируются в качестве топлива |
| Д | Негорючие вещества и материалы в холодном состоянии |
Определение пожароопасной категории помещения осуществляется путем сравнения максимального значения удельной временной пожарной нагрузки (далее по тексту — пожарная нагрузка) на любом из участков с величиной удельной пожарной нагрузки, приведенной в табл. 2.
Таблица 2
| Категория помещения | Удельная пожарная нагрузка g на участке, МДж*м-2 | Способ размещения |
| В1 | Более 2200 | Не нормируется |
| В2 | 1401 — 2200 | См. п. 25 |
| В3 | 181 - 1400 | То же |
| В4 | 1 - 180 | На любом участке пола помещения площадью 10 м2 . |
Категории зданий по взрывопожарной и пожарной опасности
Здание относится к категории А, если в нем суммарная площадь помещений категории А превышает 5 % площади всех помещений или 200 м2 .
Допускается не относить здание к категории А, если суммарная площадь помещений категории А в здании не превышает 25 % суммарной площади всех размещенных в нем помещений (но не более 1000 м2 ) и эти помещения оборудуются установками автоматического пожаротушения.
Здание относится к категории Б, если одновременно выполнены два условия:
здание не относится к категории А;
суммарная площадь помещений категорий А и Б превышает 5 % суммарной площади всех помещений или 200 м2 .
Допускается не относить здание к категории Б, если суммарная площадь помещений категорий А и Б в здании не превышает 25 % суммарной площади всех размещенных в нем помещений (но не более 1000 м2 ) и эти помещения оборудуются установками автоматического пожаротушения.
Здание относится к категории В, если одновременно выполнены два условия:
здание не относится к категориям А или Б;
суммарная площадь помещений категорий А, Б и В превышает 5 % (10%, если в здании отсутствуют помещения категорий А и Б) суммарной площади всех помещений.
Допускается не относить здание к категории В, если суммарная площадь помещений категорий А, Б и В в здании не превышает 25 % суммарной площади всех размещенных в нем помещений (но не более 3500 м2 ) и эти помещения оборудуются установками автоматического пожаротушения.
Здание относится к категории Г, если одновременно выполнены два условия:
здание не относится к категориям А, Б или В;
суммарная площадь помещений категорий А, Б, В и Г превышает 5 % суммарной площади всех помещений.
Допускается не относить знание к категории Г, если суммарная площадь помещений категорий А, Б, В и Г в здании не превышает 25 % суммарной площади всех размещенных в нем помещений (но не более 5000 м2 ) и помещения категорий А, Б, В оборудуются установками автоматического пожаротушения.
Здание относится к категории Д, если оно не относится к категориям А, Б, В или Г.
3. Классификация зданий по функциональной пожарной опасности
Здания по функциональной пожарной опасности подразделяются на классы в зависимости от способа их использования и от того, в какой мере безопасность людей в них в случае возникновения пожара находится под угрозой, с учетом их возраста, физического состояния, возможности пребывания в состоянии сна, вида основного функционального контингента и его количества.
Класс функциональной пожарной опасности Ф1 - для постоянного проживания и временного (в том числе круглосуточного) пребывания людей (помещения в этих зданиях, как правило, используются круглосуточно, контингент людей в них может иметь различный возраст и физическое состояние, для этих зданий характерно наличие спальных помещений). К этому классу относятся: больницы, гостиницы, общежития, спальные корпуса санаториев, многоквартирные жилые дома и др.
Класс функциональной пожарной опасности Ф2 - зрелищные и культурно-просветительные учреждения (основные помещения в этих зданиях характерны массовым пребыванием посетителей в определенные периоды времени): театры, концертные залы, цирки, музеи, выставки.
Класс функциональной пожарной опасности Ф3 - предприятия по обслуживанию населения (в помещениях этих предприятий больше посетителей, чем обслуживающего персонала): предприятия торговли, общественного питания, вокзалы, поликлиники.
Класс функциональной пожарной опасности Ф4 - учебные заведения, научные и проектные организации, учреждения управления (помещения в этих зданиях используются в течение суток некоторое время, в них находится, как правило, постоянный, привыкший к местным условиям контингент людей определенного возраста и физического состояния): школы, вузы, банки, офисы.
Класс функциональной пожарной опасности Ф5 - производственные и складские здания (для помещений этого класса характерно наличие постоянного контингента работающих, в том числе круглосуточно).
4. Автоматические установки пожаротушения. Выбор автоматических извещателей в зависимости от назначения помещения
Автоматическая установка пожаротушения – установка пожаротушения, автоматически срабатывающая при превышении контролируемым фактором (факторами) пожара установленных пороговых значений в защищаемой зоне.
Количество автоматических пожарных извещателей определяется необходимостью обнаружения загораний по всей контролируемой площади помещений (зон), а для световых извещателей и оборудования.
Если установка пожарной сигнализации предназначена для управления автоматическими установками пожаротушения, дымоудаления и оповещения о пожаре, каждую точку защищаемой поверхности необходимо контролировать не менее чем двумя автоматическими пожарными извещателями.
Таблица 3
| № п.п. | Автоматический пожарный извещатель | Перечень характерных помещений, производств, технологических процессов |
| А. Производственные здания | ||
| I. С производством и хранением: | ||
| 1 | Тепловой или дымовой | изделий из древесины, синтетических смол, синтетических волокон, полимерных материалов, текстильных, трикотажных, текстильно-галантерейных, швейных, обувных, кожевенных, табачных, меховых, целлюлозно-бумажных изделий, целлулоида, резины, резинотехнических изделий, синтетического каучука, горючих рентгеновских и кинофотопленок, хлопка |
| 2 | Тепловой или световой | лаков, красок, растворителей, ЛВЖ, ГЖ, смазочных материалов, химических реактивов, спиртоводочной продукции |
| 3 | Световой | щелочных металлов, металлических порошков, каучука натурального |
| 4 | Тепловой | муки, комбикормов и других продуктов и материалов с выделением пыли |
| II. С производством: | ||
| 5 | Тепловой или световой | бумаги, картона, обоев, животноводческой и птицеводческой продукции |
| III. С хранением: | ||
| 6 | Тепловой или дымовой | несгораемых материалов в сгораемой упаковке, твердых сгораемых материалов |
| Б. Специальные сооружения | ||
| 7 | То же | Помещения (сооружения) для прокладки кабелей; помещения для трансформаторов, распределительных и щитовых устройств |
| 8 | Дымовой | Помещения электронно-вычислительном техники, электронных регуляторов, управляющих машин, АТС, радиоаппаратных |
| 9 | Тепловой или световой | Помещения для оборудования и трубопроводов по перекачке горючих жидкостей и масел, для испытаний двигателей внутреннего сгорания и топливной аппаратуры, наполнения баллонов горючими газами |
| 10 | Тепловой или дымовой | Помещения предприятий по обслуживанию автомобилей |
| В. Общественные здания и сооружения | ||
| 11 | Дымовой | Зрительные, репетиционные, лекционные, читальные и конференц-залы, артистические, кулуарные, костюмерные, реставрационные мастерские, киносветопроекционные, аппаратные, фойе, холлы, коридоры, гардеробные, книгохранилища, архивы |
| 12 | Тепловой или дымовой | Склады декораций, бутафории и реквизитов, административно-хозяйственные помещения, машиносчетные станции, пульты управления |
| 13 | Тепловой | Жилые помещения, больничные палаты, помещения предприятий торговли, общественного питания и бытового обслуживания |
| 14 | Дымовой или световой | Помещения музеев и выставок |
| Примечание. Необходимость установки в одном помещении автоматических пожарных извещателей, реагирующих на разные признаки горения в начальной стадии пожара, определяется технико-экономическим обоснованием. | ||
Задача № 1
Рассчитать молниезащиту промышленного корпуса по пожарной опасности категории А отдельно стоящим стержневым молниеотводом. Здание расположено в г. Нижневартовск, Тюменской области.
Необходимо учесть, что интенсивность грозовой деятельности для Тюменской области n= 40.
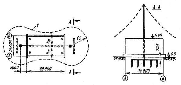
1. Сделать эскиз промышленного корпуса с указанием отдельно стоящим стержневым молниеотводом.
Защита от прямых ударов молнии зданий и сооружений, относимых по устройству молниезащиты к I категории, должна выполняться отдельно стоящими стержневыми (рис. 1) или тросовыми молниеотводами.
Рис. 1. Отдельно стоящий стержневой молниеотвод
1 — защищаемый объект; 2 — металлические коммуникации
2. Рассчитать ожидаемое количество поражений молнией в год N:
Подсчет ожидаемого количества N поражений молнией в год производится по формулам:
![]()
где
L и b - соответственно длина и ширина здания, м;
hx - наибольшая высота здания по его боковым сторонам, м ;
n - среднее число поражений молнией I км2 земной поверхности в год, зависящее от интенсивности грозовой деятельности, ч/год
![]()
Производственные, жилые и общественные здания и сооружения промышленных предприятий в зависимости от их назначения, конструктивного исполнения, географического местоположения, связанного с интенсивностью грозовой деятельности и ожидаемого количества поражения их молнией, должны быть обеспечены молниезащитой.
3.Определить высоту молниеотвода и вычертите на эскизе зоны защиты молниеотводом.
Защита промышленных зданий или сооружений молниеотводами. Зона защиты промышленного здания двойным стержневым молниеотводом показана на рис. 3.1.
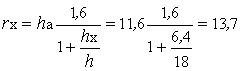
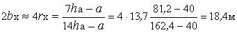
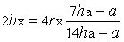
Радиусы rx зоны защиты на высоте hx определяются по формуле как для одиночного молниеотвода. Наименьшая ширина зоны защиты 2bx двух молниеприемников одинаковой высоты определяется приближенно по формуле
![]()
Построим зону защиты двойного стержневого молниеотвода на высоте hx = 6,4 м, равной высоте здания. Высота молниеприемника 18 м. Расстояние между молниеприемниками a = 40 м (рис. 3.1).
Определяем разность, между высотой молниеприемника h и высотой hx:
![]()
Определяем радиусы rx зон защиты на высоте hx:

Определяем наименьшая ширина зоны защиты 2bx двух одинаковых молниеприемников на высоте hx :

По полученным данным строится сечение зоны защиты.
Для построения зоны защиты трех- и четырехстержневых молниеотводов строят зоны защиты всех соседних, взятых попарно единичных молниеотводов, рассчитываемые как двойные стержневые молниеотводы.
Рис. 2. Защита здания двойным стержневым молниеотводом
1 - зона защиты на отметке 6,4 м.
Сооружение высотой hx защищено, если выполняется условие
![]()
где D: для трех стержневых молниеотводов - диаметр окружности, проходящей через точки их установки; для четырех стержневых молниеотводов - длина наибольшей диагонали четырехугольника.
Зоны защиты двойного стержневого молниеотвода
Молниеотвод считается двойным, когда расстояние между стержневыми молниеприемниками L не превышает предельного значения Lmax . В противном случае оба молниеотвода рассматриваются как одиночные.
Конфигурация вертикальных и горизонтальных сечений стандартных зон защиты двойного стержневого молниеотвода (высотой h и расстоянием L между молниеотводами) представлена на рис. 3.2. Построение внешних областей зон двойного молниеотвода (полуконусов с габаритами h0 , r0 ) производится по формулам для одиночных стержневых молниеотводов, Размеры внутренних областей определяются параметрами h0 и hc , первый из которых задает максимальную высоту зоны непосредственно у молниеотводов, а второй – минимальную высоту зоны по середине между молниеотводами. При расстоянии между молниеотводами L Ј Lc граница зоны не имеет провеса (hc = h0 ). Для расстояний Lc Ј L і Lmax высота hc определяется по выражению
![]()
Входящие в него предельные расстояния Lmax и Lc вычисляются по эмпирическим формулам, пригодным для молниеотводов высотой до 150 м. При большей высоте молниеотводов следует пользоваться специальным программным обеспечением.
Рис. 3. Зона защиты двойного стержневого молниеотвода
4. Показать заземление, конструкцию которого примите самостоятельно, сделайте его эскиз.
Основная задача заземляющего устройства молниезащиты – отвести как можно большую часть тока молнии (50 % и более) в землю. Остальная часть тока растекается по подходящим к зданию коммуникациям (оболочкам кабелей, трубам водоснабжения и т.п.). При этом не возникают опасные напряжения на самом заземлителе. Эта задача выполняется сетчатой системой под зданием и вокруг него. Заземляющие проводники образуют сетчатый контур, объединяющий арматуру бетона внизу фундамента. Это обычный метод создания электромагнитного экрана внизу здания. Кольцевой проводник вокруг здания и/или в бетоне на периферии фундамента соединяется с системой заземления заземляющими проводниками обычно через каждые 5 м. Внешний заземлитель может быть соединен с указанными кольцевыми проводниками.
Арматура бетона внизу фундамента соединяется с системой заземления. Арматура должна образовывать сетку, соединенную с системой заземления обычно через каждые 5 м.
Можно использовать сетку из оцинкованной стали с шириной ячейки обычно 5 м, приваренную или механически прикрепленную к прутьям арматуры обычно через каждый 1 м. Концы проводников сетки могут служить заземляющими проводниками для соединительных полос. На рис. 4.1 и 4.2 показаны примеры сетчатого заземляющего устройства.
Связь заземлителя и системы соединений создает систему заземления. Основная задача системы заземления – уменьшать разность потенциалов между любыми точками здания и оборудования. Эта задача решается созданием большого количества параллельных путей для токов молнии и наведенных токов, образующих сеть с низким сопротивлением в широком спектре частот. Множественные и параллельные пути имеют различные резонансные частоты. Множество контуров с частотно-зависимыми сопротивлениями создают единую сеть с низким сопротивлением для помех рассматриваемого спектра.
Рис. 4. Сетчатое заземляющее устройство здания
1 – сеть соединений; 2 – заземлитель
Рис. 4. Сетчатое заземляющее устройство производственных сооружений:
1 – здания; 2 – башня; 3 – оборудование; 4 – кабельный лоток
Задача № 2
Помещение конторского типа имеет следующие параметры: длина комнаты А = 10 м., ширина В = 8 м., высота Н = 3 м., площадь пола ρ = 80 м2 . Высота рабочего места hс = 0,8 м. Расстояние от потолка до нижней кромки светильника hл = 0,5 м. Нормальная освещенность Ен = 250 лк. Для освещения помещения принимаются светильники с лампами накаливания, для которых коэффициент α = 1,5. Коэффициент запаса К = 1,3. Коэффициент Zпредставляющий собой отношение средней освещенности к минимальной для ламп накаливания равен 1,15. Коэффициент использования светового потока равен η = 0,57 (см. рис. 5).
Определить расположение и число
светильников, расстояние между светильниками и световой поток лам накаливания.
|
![]()
![]()
![]()
10 м
Рис 5 Схема расположения светильников в помещении
1. Найдем расчетную высоту подвеса светильника h:
(м).
![]()
2. Определить индекс помещения i:
.
![]()
3. Определим расстояние между светильниками L:
(м).
![]()
4. Найдем число светильников Nиспользуя схему расположения светильников в помещении.
Исходя из длины помещения, определяется количество светильников в одном ряду (для люминесцентных ламп длина одного светильника - 1,5 м + зазор между светильниками 0,5 м, для дуговых ртутных длина светильника - 40 см) и общее количество светильников в помещении.
Количество светильников в одном ряду М=8;
Общее количество светильников в помещении N=15;
![]()
Выбирается схема размещения светильников в зависимости от ширины помещения (количество рядов светильников).
Для заданного варианта выбирается схема 2
Для заданного варианта выбирается ЛСП01 - светильник с люминесцентными лампами и устанавливается 30 лампы;
5. Рассчитаем световой поток ламп F:
(лм).
![]()
Список литературы
1. Баратов А.Н., "Ж. Всес. хим. о-ва им. Д.И.Менделеева", 1982, т. 27, № 1, с. 22-29.
2. Розловский А.И., Научные основы техники взрывобезопасности при работе с горючими газами и парами, М., 1972;
3. Орлов Г.Г. Охрана труда в строительстве. – М.: Высшая школа, 1985 г.
4. Крикунов Т.Н., Руссков В.Е. Сборник задач по охране труда.
5. Монахов В.Т., Методы исследования пожарной опасностивеществ, 2 изд., М., 1979, с. 422-23;
6. Крикунов Т.Н., Руссков В.Е. Сборник задач по охране труда. Издательство Воронежского университета. – В.: 1984 г.
7. Инструкции по устройству молниезащиты зданий и сооружений и промышленных коммуникаций СО 153 34-21 122.2003. – Екатеринбург: изд. дом Уралюриздат, 2005 г.
8. Инженерные решения по охране труда в строительстве. Справочник строителя под редакцией Т.Г. Орлова. – М.: 1985 г.
9. Трудовой кодекс РФ . от 30 декабря 2001 г. N 197-ФЗ (далее - ТК РФ) (с последними изм. и доп. от 30 июня 2006 г.). Статья 227. Несчастные случаи на производстве, подлежащие расследованию и учету
10. Нормы пожарной безопасности НПБ 105-03"Определение категорий помещений, зданий и наружных установок по взрывопожарной и пожарной опасности" (утв. приказом МЧС РФ от 18 июня 2003 г. № 314)
11. Федеральный закон «Об обязательном социальном страховании от несчастных случаев на производстве и профессиональных заболеваний» от 24.07.1998 г. № 125-ФЗ, ст. 5.



