| Скачать .docx |
Реферат: Классификация промышленной продукции
Классификация промышленной продукции
1.2.1. Под промышленной продукцией понимается материализованный результат процесса трудовой деятельности, обладающий полезными свойствами и предназначенный для использования потребителями в целях удовлетворения их потребности как общественного, так и личного характера.
1.2.2. Вся промышленная продукция для целей оценки ее уровня качества разделена на два класса (рис. 1);
расходуемая при использовании;
расходующая свой ресурс.
Первый класс продукции подразделяется на три группы;
1) сырье и природное топливо;
2) материалы и продукты;
3) расходные изделия.
Второй класс продукции делится на две группы:
4) неремонтируемые изделия;
5) ремонтируемые изделия.
К группе 1 относятся сырье и различные виды природного топлива,
например все полезные ископаемые, жидкое, твердое газообразное топливо,
естественные строительные материалы, драгоценные минералы и т.п.
В группу 2 входят материалы и продукты, например, искусственное
топливо, смазочные масла и смазки; различные химические продукты;
материалы для текстильной и легкой промышленности;
материалы строительной индустрии; лесоматериалы; электро- и радиотехнические материалы; кино-фотоматериалы; медицинские препараты и пищевые
продукты (кроме входящих в группу 3) и т.п.
К группе 3 относятся расходные изделия, например, кондитерские изделия,
аптекарские и парфюмерно-косметические товары в промышленной упаковке,
банки консервов, жидкое топливо в бочках, баллоны с газами, проволока и
кабели в катушках и в бобинах и т.п.
В группу 4 входят неремонтируемые изделия, например, электровакуумные
и полупроводниковые приборы, резисторы, конденсаторы, болты, гайки,
подшипники, шестерни и т.п.
Группу 5 составляют ремонтируемые изделия, например, технологическое иоборудование различных отраслей промышленности, автоматические линии и автоматизированные комплексы, сельскохозяйственные машины, транспортные машины, измерительные приборы, средства автоматизации и систем управления, радиоэлектронные и электронные приборы, кино- и фотоаппаратура, медицинские и бытовые приборы и аппараты, пушно-меховые изделия,
швейные и трикотажные изделия, мебель и т.п.

Рис.1. Классификация промышленной продукции
1.2.3. Продукция первого класса расходуется по назначению в процессе
использования. При этом происходит, как правило, необратимый процесс переработки (сырья, материалов, полуфабрикатов), сжигания (топлива), усвоения
(пищевых продуктов); в отдельных случаях может иметь место обратимый
процесс (например, при рекуперации и регенерации растворителей).
При использовании продукции второго класса по назначению происходит
расход ее ресурса. При этом продукция используется до технического или
морального износа.
1.2.4.Применение указанной классификации продукции необходимо для:
выбора номенклатуры единичных показателей определенной группы продукции;
определения области применения продукции;
обоснования возможности выбора конкретного изделия или нескольких изделий
в качестве базовых образцов;
1.3. Классификация показателей качества продукции
1.3.1. Показатели качества продукции, в зависимости от характера решаемых задач по оценке уровня качества продукции, можно классифицировать по
различным признакам (табл. 1)
ТАБЛИЦА 1
| Группы показателей качества продукции | |
| 1. По способу выражения | Показатели, выраженные в натуральных единицах (кг, м, баллы, безразмерные) Показатели, выраженные в стоимостных единицах. |
| 2. По количеству характеризуемых свойств | Единичные показатели Комплексные показатели (групповые, обобщенные, интегральные |
| 3. По применению для оценки | Базовые показатели Относительные показатели |
| 4. По стадии определения значений показателей | Прогнозируемые показатели Проектные показатели Производственные показатели Эксплуатационные показатели. |
1.3.2. В соответствии с п.1 табл.1 для оценки уровня качества продукции
применяют следующие группы показателей;
1. Показатели назначения.
2. Показатели надежности (безотказности, долговечности, ремонтопригодности, сохраняемости).
3. Эргономические показатели.
4. Эстетические показатели.
5. Показатели технологичности.
6. Показатели транспортабельности.
7. Показатели унификации.
8. Патентно-правовые показатели.
9. Экологические показатели.
10. Показатели безопасности.
В зависимости от специфических особенностей продукции и условий ее изготовления и использования некоторые указанные выше группы, показателей качества продукции могут отсутствовать. При необходимости вводятся дополнительные группы показателей, характерные для рассматриваемой продукции.
1.3.3. Для характеристики рассеивания фактических значений определенного
показателя качества у разных единиц продукции одного вида следует применять показатели однородности. Примеры показателей однородности даны в разделе 3.2
1.4. Экономические показатели
1.4.1. При оценке уровня качества продукции необходимо учитывать экономические показатели.
Экономические показатели представляют собой особую группу показателей, характеризующих затраты на разработку, изготовление и эксплуатацию или потребление продукции.
1.4.2. Экономические показатели учитываются в интегральном показателе качества продукции при расчете суммарных затрат на создание и эксплуатацию или потребление продукции. Пример применения экономических показателей при составлении интегрального показателя приведен ниже, в разделе 4.2 (см.п. 4.2.9.)
1.4.3. Примерами экономических показателей могут служить:
затраты на разработку, изготовление и испытания опытных образцов;
себестоимость изготовления продукции;
затраты на расходные материалы при эксплуатации технических объектов.
1.4.4. Всесторонний учет экономических показателей при изготовлении,
эксплуатации или потреблении продукции проводится с целью оценки экономической эффективности улучшения качества продукции.
1.4.5. Определение экономического эффекта осуществляется комплексно.
1.4.6. Для расчета экономии как в эксплуатации или потреблении, так и
в производстве, необходимо сравнить эксплуатационные и производственные
затраты для улучшенного изделия и его аналога.
1.4.7. Для расчета общей (за весь срок службы) экономии, которую дает в народном хозяйстве применение улучшенной продукции, вначале рассчитывается экономия, получаемая в каждой отдельной i-й сфере применения улучшенной продукции в течение периода между расчетным годом и годом прекращения
ее эксплуатации, после чего эта экономия суммируется по всем сферам применения.
В других более частных случаях, когда применение продукции не зависит
от особенностей отдельных сфер, экономия определяется по всей массе продукции в расчете на средние условия ее применения.
Основные этапы оценки уровня качества продукции приведены в табл.2.
| Стадии существования | Этапы оценки уровня качества продукции |
| Разработка продукции Оценка технического уровня продукции |
П р и м е ч а н и е. Указанные выше этапы, в соответствии с ГОСТ 15001-73, отражаются в ТЗ на разработку продукции. |
1.4.8 Одним из основных документов, отражающих уровень качества продукции
является " Карта технического уровня и качества продукции" [15]
рименяемость показателей качества продукции
3.1 Применяемость основных групп показателей качества продукции показана в табл.1.
Таблица 1
| Наименование групп показателей качества продукции | Группы продукции | ||||
| Сырье и природное топливо | Материалы и продукты | Расходные изделия | Неремонтируемые изделия | Ремонтируемые изделия | |
| Группа 1 | Группа 2 | Группа 3 | Группа 4 | Группа 5 | |
| 1. Показатели назначения | + | + | + | + | + |
| 2. Показатели надежности: | |||||
| безотказности | — | — | — | + | + |
| долговечности | — | — | — | + | + |
| ремонтопригодности | — | (+)* | (+)* | — | + |
| сохрани смести | + | + | + | + | + |
| 3. Эргономические показатели | — | (+) | + | + | + |
| 4. Эстетические показатели | (+) | (+) | + | + | + |
| 5. Показатели технологичности | + | + | + | + | + |
| 6. Показатели транспортабельности | + | + | + | + | + |
| 7. Показатели унификации | — | — | (+) | + | + |
| 8. Показатели патентно-правовые | — | (+) | + | + | + |
| 9. Экологические показатели | (+) | (+) | (+) | (+) | (+) |
| 10. Показатели безопасности | (+) | (+) | (+) | (+) | (+) |
*Вместо показателей ремонтопригодности для продуктов и материалов применяют показатели восстанавливаемости.
3.2 В табл. 1 знак «+» означает применяемость, знак «—» — неприменимость, знак «(+)» — ограниченную применяемость соответствующих групп показателей качества продукции.
| етоды определения значений - Технический уровень и качество продукции |
Страница 4 из 5 4 МЕТОДЫ ОПРЕДЕЛЕНИЯ ЗНАЧЕНИЙ ПОКАЗАТЕЛЕЙ КАЧЕСТВА ПРОДУКЦИИ 4.1 Классификация методов определения значений показателей качества продукции4.1.1 Методы определения значений показателей качества продукции подразделяются на две группы: 4.2 Статистические методы оценки показателей качества продукции.4.2.1 Определение численных значений показателей качества, а также значений базовых и относительных показателей, являющееся одной из важнейших операций оценки уровня качества продукции, как правило, требует применения статистических методов. Необходимость применения методов прикладной статистки при оценке показателей качества продукции обусловлена тем, что в большинстве случаев значения показателей качества являются случайными величинами. В процессе изготовления и эксплуатации продукция подвержена воздействию большого количества случайных факторов. Например, неоднородность стальной заготовки, обрабатываемой на металлорежущих станках, колебания жесткости последних, обусловленные упругостью их звеньев, изменения установки инструмента под воздействием случайных импульсов и т. п. приводят к рассеиванию размеров, получающихся в результате обработки. Непрерывное перемешивание частиц растворов и газов, вызванное броуновским движением, имеет следствием рассеивание физических констант жидких и газообразных продуктов. 4.3. Оптимизация значений показателей качества продукции.4.3.1. Оптимальными называются такие значения показателей качества продукции, при которых достигается либо наибольший эффект от эксплуатации или потребления продукции при заданных затратах на ее создание и эксплуатацию или потребление, либо заданный эффект при наименьших затратах, либо наибольшее отношение эффекта к затратам. |
5.1 Выбор базовых образцов
5.1.1 В основе оценки уровня качества продукции, лежит сравнение совокупности показателей качества этой продукции с соответствующей совокупностью показателей качества базового образца (совокупностью базовых значении показателей).
Базовым образцом называется реально достижимая совокупность значений показателей качества продукции, принятых для сравнения.
Совокупность базовых значений показателей должна характеризовать оптимальный уровень качества продукции на некоторый заданный период времени.
5.1.2 Методы оценки уровня качества продукции основаны на использовании информации о значениях показателей качества продукции, выпускаемой в стране и за рубежом.
От выбора базового образца в значительной степени зависит результат оценки качества продукции и принимаемое решение.
Необходимо обеспечить тщательный, всесторонний и продуманный подход к выбор; базовых образцов. Пользование устаревшими и технически несовершенными образцами приводит к искаженной необоснованно завышенной оценке уровня качества продукции. Не допускается применение в роли базового образца гипотетических (воображаемых) образцов, еще не прошедших в момент оценки технического уровня продукции научной и инженерной проработки и в выборе показателей которых может быть допущен произвол.
5.1.3 Базовыми образцами могут служить
а) на стадии разработки:
продукция, отвечающая реально достижимым перспективным требованиям (перспективный образец);
планируемая к освоению продукция, показатели качества которой заложены в техническом задании, техническом или рабочем проектах;
б) на стадии изготовления продукции:
выпускаемая в Украине или за рубежом продукция, показатели качества которой в момент оценки отвечают самым высоким требованиям и которая наиболее эффективна в эксплуатации или потреблении;
государственные и отраслевые стандарты Украины, технические условия, международные и прогрессивные зарубежные стандарты, регламентирующие оптимальные значения показателей качества продукции.
5.1.4 Базовый образец следует выбирать из группы продукции, аналогичной по назначению, условиям изготовления и эксплуатации или потребления,
В рассматриваемую группу должна входить продукция:
представляющая значительную часть общего объема продукции, производимой и реализуемой в Украине и за рубежом;
пользующаяся устойчивым спросом на внутреннем рынке;
конкурентоспособная на международном рынке.
При соблюдении указанных требований выбранная для сравнения группа продукции характеризует достигнутый уровень качества, близкий к оптимальному.
Установленная номенклатура показателей качества базового образца должна соответствовать номенклатуре показателей качества оцениваемой продукции.
Методы определения значений показателей: качества и единицы их измерения для базового образца и оцениваемой продукции должны быть идентичными, чтобы обеспечить их сопоставимости.
5.1.5 Базовый образец должен быть перспективным в случаях, когда на освоение новых видов, типов и моделей продукции может затрачиваться значительное время (порядка трех лет и более). Он выбирается по указаниям п. 3.1.2, но с обязательной поправкой на прогнозируемое улучшение его важнейших показателей к моменту освоения и начала эксплуатации новой продукции.
5.1.6. Базовым образцом может служить типовой представитель группы продукции в том случае, когда появляется необходимость определить уровень качества группы конструктивны и технологически родственных изделий, входящих в параметрический или типоразмерный ряд.
5.2. Методы оценки уровня качества продукции
5.2.1 При оценке уровня качества продукции применяют дифференциальный, комплексный или смешанный метод.
5.2.2. Дифференциальным называется метод оценки уровня качества продукции, основанный на использовании единичных показателей ее качества.
При этом определяют, достигнут ли уровень базового образца в целом, по каким показателям он достигнут, какие показатели наиболее сильно отличаются от базовых.
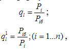
5.2.3 При дифференциальном методе рассчитывают относительные показатели качества продукции q по формулам:
;
где Pi – значение i-го показателя качества оцениваемой продукции;
Piб – значение базового показателя;
n – количество показателей качества продукции.
5.2.4 В результате оценки уровня качества продукции дифференциальным методом принимают следующие решение:
уровень, качества оцениваемой продукции выше или равен уровню базового образца, если все значения относительных показателей больше или равны единице;
уровень качества оцениваемой продукции ниже уровня базового образца, если все значения относительных показателей меньше единицы.
В случаях, когда часть значений относительных показателей (больше или равна единице, а часть — меньше единицы, следует, применять комплексный или смешанный метод оценки уровня качества продукции.
5.2.5 Уровень качества оцениваемой продукции, для которой существенно важно значение каждого показателя, считается ниже базового, если хотя бы один из относительных показателей меньше единицы.
5.2.6 Комплексный метод оценки уровня качества продукции основан на применении обобщенного показателя качества продукции. Обобщенный показатель представляет собой функцию от единичных (групповых комплексных) показателей качества продукции.
Обобщенный показатель может быть выражен:
главным показателем, отражающим основное назначение продукции;
интегральным показателем качества продукции;
средним взвешенным показателем.
5.2.7. Во всех случаях, когда имеется необходимая информация, определяют главный показатель и устанавливают функциональную зависимость его от исходных показателей.
Главным показателем для шин, например, служит ходимость в км, для дизельных двигателей моторесурс, в часах, для металлорежущих станков — показатель их производительности, т. е. количество снятой стружки или число обработанных деталей за определенное время, для буровой установки — длина проходки в м, для автобуса — годовая производительность в чел. км и т. п.;
В коксовой промышленности, например, установлено, что с изменением значении основных показателей качества кокса меняется производительность доменной печи в следующих соотношениях:
при увеличении содержания серы в коксе Sс на 1% производительность печи снижается на 20%;
при увеличении зольности кокса А на 1% производительность печи снижается на 2% ;
при увеличении дробимости кокса М40
на 1% производительность печи повышается на 1,3%:
при увеличении истираемости кокса МIО
на 1% производительность печи снижается па 3%.
При этих условиях обобщенный показатель качества кокса, характеризуемый изменением производительности доменной печи;
в зависимости от изменения значений основных показателей качества кокса (Qк —Qк.б.) в процентах может быть выражен с помощью среднего взвешенного арифметического показателя, рассчитываемого по формуле
(Qк —Qк.б.)=m1(Sс-Sсб)+m2(Ас-Асб)+m3(М40 -М40б ) m4(МIО -М10б ),
где Sс—содержание серы в коксе, %;
Ас— зольность кокса, %;
М40
— показатель дробимости кокса, %;
М40в
— показатель истираемости кокса, %;
m1, m2, m3, m4 —соответствующие коэффициенты весомости, равные изменению производительности доменной печи при увеличении значении основных показателей кокса на 1%.
5.2.8 Интегральный показатель применяют, когда установлен суммарный полезный эффект от эксплуатации или потребления продукции и суммарные затраты на создание и эксплуатацию или потребление продукции.
5.2.9 Средне взвешенные показатели при комплексном методе оценки уровня качества продукции применяют в тех случаях, когда затруднено определение главного показателя и установление его функциональной зависимости от исходных показателей качества продукции.
5.2.9 Вид среднего взвешенного показателя и значения параметров (коэффициентов) весомости должны выбираться так, что бы наилучшим образом соответствовать принятым целям управления, т. е. должно выполняться условие состоятельности, условием состоятельности является соответствие выбранного обобщенного показателя целям управления качеством продукции.
Различа
ют следующие методы определения параметров (коэффициентов) весомости:
метод стоимостных регрессионных зависимостей;
метод предельных и номинальных значений;
метод эквивалентных соотношений;
экспертный метод.
Эти методы различаются исходной информацией, но при правильном их применении они должны приводить примерно к одинаковым результатам.
Метод стоимостных регрессионных зависимостей основан па построении приближенных зависимостей между затратами на создание и эксплуатацию продукции (или пропорциональными им показателями) и исходными показателями качества продукции,
Этот метод применяют при выполнении следующих основных условий:
а) стоимостные зависимости определены для продукции, для которой цена соответствует необходимым затратам на ее создание и эксплуатацию. Это условие считается выполненным для продукции, которая производилась длительное время и пользовалась устойчивым спросом, т. е. не являлась ни остро дефицитной, ни «неходовой»;
б) число показателей качества, входящих в стоимостную зависимость, существенно меньше числа вариантов продукции, по которым построена стоимостная зависимость.
Метод предельных и номинальных значений основан на использовании известных предельных допустимых значений показателей качества продукции, определяющих требования к годной продукции или принадлежность ее к данной категории качества.
Этот метод следует применять, когда предельные значения показателей определены правильно н оправданы длительным сроков их использования.
Метод эквивалентных соотношений следует применять в случаях. когда удается обосновать, какому относительному изменению количества продукции
эквивалентно, с точки зрения общего эффекта от использования продукции по назначению, относительное изменение соответствующего показателя качества
или насколько процентов можно, например, уменьшить число единиц продукции, чтобы удовлетворить те же потребности при изменении значения данного показателя качества на один процент.
5.2.13 Смешанн
ый метод оценки уровня качества продукции основан на совместном применении единичных и комплексных (групповых) показателей.
Смешанный метод оценки уровня качества продукции применяют в случаях, когда:
♦ совокупность единичных показателей качества является достаточно обширной и анализ значений каждого показателя дифференциальным методом не позволяет получить обобщающих выводов о качестве и техническом уровне продукции;
♦ комплексный показатель качества в комплексном методе недостаточно полно учитывает все существенные свойства продукции и не позволяет получить выводы относительно некоторых определенных групп свойств.
При смешанном методе оценки уровня качества продукции необходимо выполнить следующие действия:
а) часть единичных показателей объединяют в группы и для каждой группы определяют соответствующий комплексный (групповой) показатель. Отдельные, как правило, важные показатели допускается не объединить в группы, а применять их при дальнейшем анализе как единичные;
б) на основе полученной совокупности комплексных и единичных показателей оценивают уровень качества продукции дифференциальным методом.
При смешанном методе оценку уровня качества технической продукции рассчитывают по формуле:
![]()
где n – число единичных показателей, учитываемых самостоятельно.
Показатель полученный смешанным методом оценки уровня качества продукции, является обобщенным и комплексным одновременно.
5.3.1. Экспертные методы, применяемые для оценки уровня качества продукции, основаны на использовании обобщенного опыта и интуиции специалистов. Их следует применять, когда для определения значений единичных или комплексных показателей и для решения ряда других задач невозможно или затруднительно использовать более объективные методы, например, измерительный или расчетный.
5.3.2 Экспертные методы применяют при:
аттестации продукции;
разработке классификации оцениваемой продукции;
определении номенклатуры показателей качества оцениваемое продукции;
определении коэффициентов весомости показателей качества продукции;
оценке показателей качества продукции органолептическим методом;
выборе базовых образцов и значений базовых показателей качества;
определении комплексных показателей качества (обобщенные и групповых) на основе совокупности единичных и комплексных показателей-
5.3.3 Для оценки уровня качества продукции с помощью экспертных методов сознаются экспертные комиссии. Экспертная миссия состоит из экспертной и рабочей групп.
В экспертную группу включаются высококвалифицированные специалисты в области создания и функционирования оцениваемой продукции: исследователи, технологи, конструкторы, дизайнеры, товароведы и т. д.
5.3.4 Желательно, чтобы для однотипной продукции экспертная комиссия формировалась как постоянно функционирующий орган с достаточно стабильным составом экспертов и членов рабочей группы. В процессе работы комиссии происходит обучение ее членов, выработка общих подходов и принципов на основе анализа результатов предыдущих экспертиз, что повышает эффективность работы экспертной комиссии.
При необходимости в состав экспертной комиссии включается дополнительно специалисты, участвующие в ее работе только при рассмотрении отдельных вопросов.
5.4 Оценка технического уровня продукции.
5.4.1 При оценке технического уровня продукции определяют соответствие установленным нормам совокупности:
значений важнейших измеримых (расчетных) единичных показателей качества продукции;
значений группового показателя качества продукции, полученного путем установления функциональной зависимости;
значений органолептической оценки;
значений обобщенного показателя качества продукции в долях единицы или в стобалльной шкале.
5.4.2 Оценка технического уровня продукции проводится по частным методикам, разработанным на основе общих отраслевых методик, утвержденных ведущим по производству данного вида продукции министерством (ведомством).
ПОРЯДОК РАЗРАБОТКИ И ПРИМЕНЕНИЯ "КАРТЫ ТЕХНИЧЕСКОГО УРОВНЯ И КАЧЕСТВА ПРОДУКЦИИ"
Карта технического уровня и качества продукции является основным нормативно-техническим документом, в котором отражены требования, предъявляемые к конкретному виду продукции, а также данные о показателях качества планируемого (перспективного) образца и аналогов, выпущенных в украине и зарубежом.
Карта уровня применяется для оценки уровня качества продукции при ее разработке, при ее аттестации продукции по категориям качества на стадии ее серийного и массового производства, принятия решения по дальнейшему совершенствованию продукции, ее модернизации, снятию с производства или эксплуатации.
Порядок разработки, согласования и утверждения Карты уровня установлен
ГОСТ 2.116-84 "Карта технического уровня и качества продукции".
Одно из важнейших условий эффективного управления качеством продукции — своевременная и до-п оперная его оценка.
Оценка качества представляет собой совокупность следующих операций: выбор номенклатуры показателей качества оцениваемой продукции, определение значений этих показателей и сравнение их с базовыми.
Необходимость оценки качества продукции возникает при решении следующих задач:
прогнозирования потребностей, технического уровня и качества продукции;
планирования повышения качества продукции и объемов ее производства;
обоснования освоения новых видов продукции;
выбора наилучших образцов продукции;
обоснования целесообразности снятия продукции с производства;
аттестации продукции по категориям качества;
обоснования возможности реализации продукции за рубежом;
оценки научно-технического уровня разрабатываемых и действующих стандартов на продукцию;
контроля качества продукции;
стимулирования повышения качества продукции;
анализа динамики изменения качества;
анализа информации о качестве продукции и др.
Оценка качества продукции должна производиться на различных стадиях ее жизненного цикла.
На этапе разработки оценивается уровень разрабатываемой продукции, в результате чего устанавливаются требования к ее качеству, и производится нормирование соответствующих показателей в нормативно-технической документации.
На этапе производства определяются фактические значения показателей качества продукции по результатам контроля и испытаний и принимаются соответствующие решения.
На этапе эксплуатации или потребления оценивается качество изготовленной продукции и по результатам этой оценки принимаются управляющие решения, направленные на сохранение или повышение уровня качества.
Уровень качества продукции определяется совокупностью единичных и (или) комплексных показателей, в результате сравнения которых с базовыми значениями в зависимости от цели оценки можно сделать соответствующие выводы.
Методы определения значений показателей качества продукции подразделяются в зависимости от способов и источников получения информации. В зависимости от способа получения информации различают измерительный, регистрационный, органолептический и расчетный методы.
Измерительный метод основывается на использовании технических измерительных средств. Результаты непосредственных измерений при необходимости приводятся путем соответствующих пересчетов к нормальным или стандартным условиям, например к нормальной температуре, нормальному атмосферному давлению и т.д. С помощью измерительного метода определяются масса изделия, сила тока, число оборотов двигателя, скорость автомобиля и др.
Регистрационный метод основывается на подсчете числа определенных событий, предметов или затрат, например отказов изделия при испытаниях, числа частей сложного изделия (стандартных унифицированных, оригинальных, защищенных авторскими свидетельствами или патентами). Этим методом определяются показатели унификации, патентно-правовые показатели и др.
Органолептический метод основывается на анализе восприятия органов чувств: зрения, слуха, обоняния, осязания и вкуса. При этом органы чувств человека служат приемниками соответствующих ощущений, а показатели определяются путем анализа этих ощущений на основании имеющегося опыта и выражаются в баллах. Точность и достоверность этих показателей зависит от способностей, квалификации и навыков лиц, их определяющих, но метод не исключает возможности использования некоторых технических средств. С помощью органолептического метода определяются показатели качества пищевых продуктов, эстетические показатели, некоторые эргономические показатели.
Расчетный метод основывается на использовании теоретических или эмпирических зависимостей. Этим методом пользуются главным образом при проектировании продукции, когда последняя еще не может быть объектом экспериментальных исследований (испытаний). Расчетный метод служит для определения показателей производительности, безотказности, долговечности, сохраняемости, ремонтопригодности изделия и др.
В зависимости от источника информации методы определения значений показателей качества продукции разделяются на традиционные и социологические. Определение значений показателей качества продукции традиционным методом осуществляется должностными лицами специализированных экспериментальных и расчетных подразделений предприятий, учреждений или организаций.
К экспериментальным подразделениям относятся лаборатории, полигоны, испытательные станции, стенды, а к расчетным — конструкторские отделы, вычислительные центры, службы надежности и др. Например, в лаборатории определяются механическая прочность металлов, содержание серы, вязкость, содержание золы в угле, кислотность веществ и др.
Определение значений показателей качества продукции социологическим методом осуществляется фактическими или потенциальными потребителями продукции. Сбор мнений потребителей производится путем устных опросов или с помощью специальных анкет-опросников, а также на конференциях, выставках и т.д.
При необходимости используется совместно несколько методов определения значений показателей качества продукции.
В основе оценки качества лежит сравнение значений показателей качества выпущенной продукции с соответствующими показателями качества базового образца, поэтому выбор базовых образцов является одной из основных операций оценки технического уровня и качества продукции. Совокупность базовых показателей характеризует качество продукции на некоторый заданный период времени.
Выбор базовых образцов определяется целью оценки.
Базовыми на стадии разработки могут служить перспективные образцы продукции, характеризуемые прогнозируемыми реально достижимыми значениями показателей качества, и соответствующие передовые достижения науки и техники на определенный будущий период.
На стадии изготовления базовым образцом может быть продукция, показатели качества которой в момент оценки отвечают самому высокому мировому уровню. Такие базовые образцы применяются при сертификации продукции.
Срок действия базового образца устанавливается ведущей организацией в зависимости от специфики оцениваемой продукции, т.е. с учетом ее потребности у потребителей, длительности периодов ее разработки, изготовления и эксплуатации или потребления, а также планируемых сроков проведения сертификации и сроков смены моделей данного вида продукции на внутреннем и внешнем рынках.
Не допускается использование в качестве базовых морально устаревших образцов продукции и образцов, не прошедших к моменту оценки качества продукции научной проработки, а также использование наилучших значений показателей качества образцов-аналогов, если такие значения не являются реально достижимыми.
Основными источниками информации при установлении базовых образцов являются отчеты научно-исследовательских и проектно-конструкторских организаций, научно-технические прогнозы развития отдельных отраслей промышленности, описания отечественных и зарубежных патентов, отчеты о проведении патентных исследований, государственные, отраслевые, международные, зарубежные стандарты, отечественные и зарубежные периодические научно-технические издания.
Базовый образец выбирается из группы продукции, аналогичной по назначению, условиям изготовления и эксплуатации или потребления.
В аналоговую группу могут входить лучшие образцы спроектированной или промышленно освоенной отечественной и зарубежной продукции, составляющей значительную часть общего объема продукции, реализуемой на внешнем рынке и пользующейся устойчивым спросом. Лучший образец из группы принимается за базовый.
Для продукции одного вида (одного класса и назначения) используют следующие методы оценки ее качества: дифференциальный, комплексный и смешанный.
Дифференциальный метод заключается в сравнении показателей качества оцениваемого вида продукции с соответствующими базовыми показателями, т.е. показатель качества оцениваемой продукции сопоставляется с показателем качества базового образца.
При использовании дифференциального метода оценки качества продукции возможны следующие случаи:
1) все относительные показатели больше единицы;
2) все относительные показатели меньше единицы;
3) все относительные показатели равны единице;
4) часть относительных показателей больше единицы, а часть
равна единице;
5) часть относительных показателей меньше единицы, а часть
равна единице;
6) часть относительных показателей больше или равна единице, а часть меньше единицы.
В первом, третьем и четвертом случаях однозначно можно сделать вывод, что качество оцениваемой продукции не ниже базового, а во втором и пятом случаях, — что качество ниже базового. В шестом случае необходимо все показатели разделить по значмости на две группы. В первую группу следует включить показатели, определяющие наиболее существенные свойства продукции, а во вторую — второстепенные. Если в первой группе все относительные показатели больше или равны единице, а во второй большая их часть также не меньше единицы, то можно сказать, что качество оцениваемой продукции не ниже базового. В противном случае оценку качества необходимо проводить другим методом, например комплексным.
Комплексный метод предусматривает использование обобщенного показателя качества .и применяется в случаях, когда целесообразно результат представить в виде одного значения. Оценка в этом случае производится по отношению обобщенного показателя качества оцениваемой продукции к обобщенному показателю качества базового образца.
При оценке сложной продукции, имеющей широкую номенклатуру показателей качества, с помощью дифференциального метода практически невозможно сделать конкретный вывод, а использование только одного комплексного метода не позволяет объективно учесть все значимые свойства оцениваемой продукции. В этом случае для оценки применяют и единичные, и комплексные показатели качества, т.е. оценку производят смешанным методом, сущность которого заключается в следующем. Единичные показатели качества объединяют в группы, для каждой из которых определяют групповой комплексный показатель качества. Наиболее значимые единичные показатели можно в группы не включать, а рассматривать отдельно. Объединение показателей в группы должно производиться в зависимости от цели оценки. Например, при аттестации качества продукции по назначению, надежности, технологичности, стандартизации, унификации показатели группируются по характеризуемым свойствам. Найденные значения групповых комплексных и отдельно вьщеленных наиболее важных единичных показателей сравнивают с соответствующими значениями базовых показателей, т. е. применяют принцип дифференциального метода.
Когда невозможно или затруднено использование более объективных методов оценки качества продукции, например инструментального или расчетного, применяют экспертные методы, основанные на использовании обобщенного опыта и интуиции специалистов. Эти методы служат:
для разработки классификации оцениваемой продукции;
определения номенклатуры показателей качества оцениваемой продукции;
определения коэффициентов весомости показателей качества продукции;
оценки показателей качества продукции органолептическим методом;
выбора базовых образцов и определения значений базовых показателей качества;
определения обобщенных групповых показателей качества на основе единичных и комплексных показателей, т. е. аттестации качества продукции.
Для оценки качества продукции создается экспертная комиссия, состоящая из экспертной и рабочей групп. В экспертную группу включаются высококвалифицированные специалисты по созданию и реализации оцениваемой продукции: исследователи, технологи, конструкторы, дизайнеры, товароведы и др. Для исключения необъективности оценки в состав групп не должны входить специалисты, имеющие отношение к созданию (проектированию, изготовлению) продукции. Число экспертов зависит от требуемой точности средних оценок, допустимой емкости оценочных процедур, возможностей управления группой и возможностей организации, в которой формируется группа, но их должно быть не менее семи. При заочном опросе число экспертов не ограничивается.
При необходимости в состав комиссии включаются дополнительно специалисты, участвующие только в рассмотрении отдельных вопросов. Процедура проведения экспертных работ, как правило, включает в себя:
назначение лиц, ответственных за организацию и проведение работ по экспертной оценке;
формирование рабочей и экспертной групп;
подготовку анкет и пояснительных записок для опроса экспертов;
опрос экспертов;
обработку экспертных оценок;
анализ результатов оценок.
Экспертная группа принимает решение на основе усреднения оценок экспертов или голосованием. Для избежания субъективности суждений проводят несколько туров опроса.