| Скачать .docx |
Реферат: Методика прогноза лесной пожарной опасности
Реферат
Методика прогноза лесной пожарной опасности
2010
Содержание
Введение
ГЛАВА 1. ОПИСАНИЕ СУЩЕСТВУЮЩЕЙ МЕТОДИКИ ПРОГНОЗА ЛЕСНОЙ ПОЖАРНОЙ ОПАСНОСТИ
1.1. Детерминированно-вероятностные модели прогноза катастроф
1.2 Упрощенная математическая модель низкотемпературной сушки слоя растительных горючих материалов
ГЛАВА 2. УТОЧНЕНИЕ СУЩЕСТВУЮЩЕЙ МЕТОДИКИ
Заключение
Список литературы
Введение
Исследованиями прогноза возникновения и распространения лесных, степных и торфяных пожаров занимаются ученые во многих странах на протяжении уже более 50-ти лет. Наиболее актуальна проблема природных пожаров для Соединенных Штатов Америки, Канады, России, Франции, Испании, Греции, Австралии и других стран. Среди наиболее известных зарубежных систем оценки пожарной опасности можно отметить такие как канадская система CFFDRS (Canadian Forest Fire Danger Rating System) [1], национальная система США NFDRS (National Fire Danger Rating System) [2], австралийская Национальная система прогноза пожара NFBP (NationalFireBehaviourPredictionsystem) [3]. В настоящее время в России прогнозирование пожарной опасности ограничивается оценкой пожарной опасности по условиям погоды в соответствии с показателем В.Г. Нестерова (GOST Р 22.1.09-99 [4]). В качестве общего недостатка разработанных на сегодняшний день и программно реализованных систем следует отметить их неуниверсальность, т.е. невозможность их использования в других климатических условиях без предварительной адаптации. Это связано в первую очередь с тем, что в эти системы заложены эмпирические данные, полученные для определенных лесных горючих материалов (ЛГМ) и климатических условий, которые резко отличаются в разных частях света. Основным недостатком является игнорирование реальной причины возникновения лесных пожаров, а именно, процесса сушки слоя ЛГМ на подстилающей поверхности, а также учет антропогенной нагрузки.
В связи с этим в работах [5-7] была предложена новая детерминированно-вероятностная методика прогноза лесной пожарной опасности, обоснованность которой была доказана в результате ретроспективной проверки. Для определения вероятностей появления природных факторов (молний) и антропогенной нагрузки использовались соответствующие частоты.
Целью моей работы является уточнение существующей модели с учетом формулы для оценки частоты появления источников загорания и индекса грозовой пожарной опасности.
1. Описание существующей методики прогноза лесной пожарной опасности
1.1. Детерминированно-вероятностная модель прогноза катастроф
В настоящее время для прогноза катастроф широко применяется метод математического моделирования с использованием электронных вычислительных машин.
При математическом моделировании используются следующие типы математических моделей катастроф:
1) детерминированные;
2) вероятностные;
3) смешанные (детерминированно-вероятностные);
4) имитационные;
Согласно [5] наиболее эффективным инструментом познания катастроф являются детерминированные математические модели.
Детерминированной математической моделью физико-химического явления называется совокупность дифференциальных, интегральных, интегро-дифференциальных, трансцендентных и алгебраических уравнений, а также соответствующих граничных и начальных условий, которые адекватно описывают движение, деформацию и разрушение тел и поля физических величин (скорость, давление, плотность, температура, концентрация) для исследуемого катастрофического явления. Иными словами, каждая детерминированная математическая модель может рассматриваться как конкретная задача математической физики.
Наиболее плодотворно исследование различных проблем естествознания, в том числе и задач теории катастроф, с помощью смешанных математических моделей. Здесь необходимо отметить то, что если рассматриваются задачи о моделировании глобальных или региональных катастроф, например возникновения лесных пожаров, то вероятностный анализ этих проблем должен предшествовать использованию детерминированных математических моделей. Иными словами, результаты математического моделирования должны быть получены в режиме, опережающем время возникновения и развития катастроф.
Далее остановимся на одной из таких моделей, которая позволяет с определенной точностью осуществлять прогнозирование лесной пожарной опасности и обоснованность которой была доказана в результате ретроспективной проверки. Речь идет о детерминированно-вероятностной методике, предложенной на кафедре физической и вычислительной механики Томского государственного университета.
В работах [5-7] утверждается, что возникновение лесного пожара носит вероятностный характер и зависит не только от погодных условий и грозовой активности, но и от уровня антропогенной нагрузки, скорости ветра, влагосодержания растительных горючих материалов и реакционной способности этих материалов. В работе [5] предложена общая схема возникновения лесных пожаров

Рис.1. Схема возникновения лесного пожара.
Из схемы Рис.1. видно, что под действием осадков и при высушивании слоя растительных горючих материалов, достигается такое состояние РГМ, при котором влагосодержание слоя становится меньше критического значения. Именно в этом случае под воздействием сухих гроз, а также под воздействием антропогенной нагрузки происходит воспламенение растительных горючих материалов и возникает низовой лесной пожар.
Все эти факторы были учтены в предложенной детерминированно-вероятностной методике.
Далее возникает сложность в определении основного проводника горения. Считается, что для каждого индивидуального участка леса должен быть установлен свой основной проводник горения (ОПГ), но на практике имеет место огромное разнообразие образующихся смесей из растительных горючих материалов. Эта смесь может иметь признаки двух, трех и даже четырех ОПГ. Кроме того, при определении типов ОПГ необходимо учесть их сезонную динамику.
![]() |
Следуя [6] вначале было выбрано 5 ОПГ для рассматриваемого участка леса: опад хвои, мох, лишайник, опад листвы и травяную ветошь. Исходя из этого было записано условие невозгорания слоя РГМ:
Здесь верхний индекс k как раз соответствует проводнику горения (ОПГ), в левой части неравенства находится текущее влагосодержание k-го ОПГ на i-м выделе в j-й временной интервал, в правой части – критическое влагосодержание k-го основного проводника горения на i-м выделе, при котором ОПГ не воспламеняется и лесной пожар не возникает.
Далее, после применения теории вероятностей и физических соображений, была получена следующая формула (динамическая модель) для оценки вероятности возникновения лесного пожара для j-го временного интервала лесопожарного сезона на i-й лесной территории [5-7]:

Здесь Pij – вероятность возникновения лесного пожара для j-го интервала (шага по времени) на i-й контролируемой лесной территории; Pi (А) – вероятность антропогенной нагрузки; Pi (ЛП/А) – вероятность возникновения пожара вследствие антропогенной нагрузки на площади Fi ; Pi (М) – вероятность возникновения сухих гроз на площади Fi ; Pi (ЛП/М) – вероятность возникновения лесного пожара от молнии при условии, что сухие грозы могут иметь место на площади Fi ; Pij (C) – вероятность того, что влагосодержание слоя РГМ будет меньше критического (вероятность возникновения пожара по метеоусловиям).
При выводе формулы (4) было сделано допущение о том, что лесопожарное созревание на каждом выделе контролируемой лесной территории проходит независимо друг от друга и определяется только параметрами, характеризующими данный выдел.
![]() |
Величина Pij (C) для лесопожарного сезона определяется следующим образом:
Здесь n – это эмпирический показатель степени, характеризующий количественное изменение пожарной опасности.
Величины Pi (А), Pi (ЛП/А), Pi (М), Pi (ЛП/М) можно найти, используя известное определение вероятности события через соответствующие частоты (статистическая модель риска)
![]() |
![]() |
Здесь NА i и NПА i – количество дней пожароопасных сезонов для i-го выдела, когда имеется антропогенная нагрузка, достаточная для зажигания РГМ и количество пожаров вследствие этой нагрузки, включая и умышленные поджоги за период с 2000 по 2004 год; NКП i – общее количество пожаров для i-го выдела за пять лет с 2000 по 2004 год; NМ i и NПС i – число дней для i-го выдела, когда имели место молнии (при сухих грозах) и общее число дней пожароопасных сезонов для i-го выдела за период с 2000 по 2004 год; NПМ i – количество пожаров от молний при сухих грозах за пять лет с 2000 по 2004 год.
1.2. Упрощенная математическая модель низкотемпературной сушки слоя растительных горючих материалов
Как уже было сказано раннее, немаловажным фактором при составлении прогноза лесной пожарной опасности является учет влагосодержания в напочвенном покрове. В предложенной детерминировано-вероятностной методике этот фактор не остался без внимания.
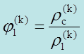
Далее воспользуемся формулами перехода от влагосодержания к объемным долям


Здесь ц1 ( k ) – объемная доля сухого органического вещества k-го ОПГ, ц2 ( k ) – объемная доля свободной и связанной воды k-го ОПГ.
Базой данных для этой модели должны служить данные о составе РГМ в напочвенном покрове и о термокинетических постоянных, характеризующих динамику сушки каждого из РГМ и РГМ, поддерживающих горение.
Зная текущее значение ц2 ( k ) и критическое влагосодержание можно определить текущее влагосодержание и в результате вероятность возникновения лесного пожара для прогнозируемого промежутка времени.
С точки зрения физики задача о сушке слоя РГМ ставится следующим образом: известны тип растительности и проводники горения в слое РГМ, известен запас РГМ, его высота и влагосодержание, известны метеоусловия, требуется определить изменение объемной доли воды в РГМ в разные моменты времени.
Для получения упрощенной математической модели используем данную постановку задачи со следующими допущениями:
1) Конвективный теплообмен между слоем РГМ и приземным слоем атмосферы удовлетворительно описывается с помощью граничных условий третьего рода с использованием известных коэффициентов конвективного теплообмена.
2) Давление Р, температура Т и плотность r газовой фазы в слое РГМ совпадают с соответствующими метеорологическими данными (Ре, Те и rе) для данного момента времени и данной местности.
3) Излучение в слое РГМ подчиняется закону Бугера-Ламберта. 4) Испарение связанной воды и капелек воды, прилипших к элементам РГМ, описывается одним и тем же законом Герца-Кнудсена.
5) Метеорологические данные и начальные влагосодержания типичных ОПГ на территории лесхоза одинаковы для всех типичных выделов.
6) Напочвенный покров всех типичных выделов лесхоза можно разбить на пять типов: опад хвои, мох, лишайник, опад листвы, травяная ветошь.
7) Для каждого типичного выдела температура и объемная доля воды в ОПГ описывается одной системой уравнений.
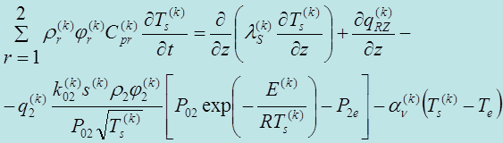
В результате для математического описания сушки основного проводника горения имеем следующую систему уравнений:



которую необходимо решать с учетом следующих начальных и граничных условий


Член в левой части (8) характеризует изменение тепловой энергии в слое РГМ в единице объема за единицу времени. Первый и второй член в правой части (8) отвечают за приток тепла за счет теплопроводности и солнечного излучения. Третий член характеризует влияние влажности воздуха на сушку слоя РГМ. Четвертый член характеризует теплообмен между к-й фазой и газовой фазой в слое РГМ. Член в квадратных скобках правой части уравнения [10] характеризует влияние влажности воздуха на баланс влаги в слое РГМ. Оставшиеся параметры в правой части характеризуют скорость сушки РГМ.
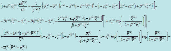
Приведем систему уравнений (8), (10) к безразмерному виду

Уравнение (14) представляет собой баланс энергии в к-й фазе слоя РГМ, а уравнение (15) характеризует баланс влаги в слое РГМ, где черта сверху обозначает осреднение по высоте слоя РГМ.
Эту систему необходимо решать с учетом следующих начальных условий
![]()
![]()
2. Уточнение существующей методики
Итак, мы рассмотрели одну из методик прогноза лесной пожарной опасности. Наряду с достоинствами она имеет и недостатки. Наиболее выраженный недостаток заключается в том, что эту модель нельзя использовать в других климатических условиях без предварительной адаптации. Это связано в первую очередь с тем, что в нее заложены эмпирические данные, полученные для определенных лесных горючих материалов и климатических условий, которые резко отличаются в разных частях света. Также весомым недостатком является то, что данные, которыми оперирует эта модель, получены на основе статистических наблюдений и не могут рассматриваться как достоверные.
Именно поэтому возникает необходимость новой системы оценки влияния антропогенных и природных факторов на риск возникновения лесных пожаров. В настоящее время появляются различные подходы к оценке появления природных факторов и антропогенной нагрузки. В частности можно отметить работы [8, 9].
В настоящее время появляются различные подходы к оценке появления природных факторов и антропогенной нагрузки. В частности можно отметить работы [8, 9].
В работе [8] в результате изучения количественных и качественных параметров влияния человека на возникновение лесных пожаров, собранных за более чем 10 лет, предложена следующая формула для оценки частоты появления источников загорания, приносимых на лесной участок жителями населенных пунктов, расположенных в пределах доступности, с учетом наличия транспортных путей и их вида
![]() |
где k – коэффициент доступности лесного участка; n – число населенных пунктов, расположенных в пределах доступности; Qi
– показатель пожарной опасности для леса со стороны жителей i-го населенного пункта;
- расстояние от наименее (
- наиболее) удаленной границы лесного участка до i-го населенного пункта.
Для нахождения индекса грозовой пожарной опасности в работе [9], на основе обработки данных о температурных профилях атмосферы, получаемых со спутникового зонда NOAA/TOVS, предложена формула
![]() |
где Ta – температура воздуха в приземном слое; T, D – температура и температура точки росы на соответствующих уровнях (500, 700 и 850 гПа (hPa)), полученная по данным спутникового зонда NOAA/TOVS.
Заключение
В работе предложено уточнение разработанной раннее детерминированно-вероятностной методики прогноза лесной пожарной опасности с учетом формулы для оценки частоты появления источников загорания и индекса грозовой пожарной опасности.
Для проведения ретроспективного анализа подготовлена база данных, включающая температуру воздуха в приземном слое, температуру и температуру точки росы на соответствующих уровнях (500, 700 и 850 гПа (hPa)), полученная по данным спутникового зонда NOAA/TOVS.
Следующим шагом является модификация программы, рассчитывающей вероятность возникновения лесного пожара, и проведение ретроспективного анализа данной методики, сравнение ее с GOST Р 22.1.09-99 и методикой (2)-(4).
Литература
1. Stocks B.J., Alexander M.E., Mc.Alpine R.S. Canadian Forest Fire Danger Rating System, Canadian Forestry service, 1987. - 500 p.
2. Deeming J.E., Lancaster G.W., Fosberg M.A. a.o. The National Fire-Danger Rating System. - N.Y.; London; Toronto; USDA: Forest Service, 1972. - 165 p.
3. Cruz M.G. National Fire Behaviour Prediction System [Text] / Cruz M.G., Gould J. // Proc. of the Biennial Conference of the Institute of Foresters of Australia, Caloundra, 2009.
4. GOSTР 22.1.09-99 Safetyunderemergencysituations. Monitoring and forecasting forest fires. General requirements, Electronic resource, 2000.- Modeofaccess: http://www.fire.nad.ru/2006/gost1.htm.
5. Grishin А.M. , "Modelling and forecasting ecological catastrophes", Ecological systems and devices. 2: 12-21 (2001).6. Grishin А.M. , Modelling and forecasting catastrophes (Basic definitions and concepts of the theory of catastrophes and general regularities of their ignition and development), Publishing house of Tomsk State University, 2002, p.122.7. Grishin А.M., Filkov A.I. , The forecast of ignition and spread of forest fires, Praktika, 2005, p. 201.8. Андреев Ю.А. Население и лесные пожары в Нижнем Приангарье, Красноярск, 1999. 96 с.
9. Пономарев Е.И., Иванов В.А., Коршунов Н.А. Прогнозирование грозовой пожарной опасности на основе данных со спутников NOAA/TOVS // Пожары в лесных экосистемах Сибири: Материалы Всероссийской конференции с международным участием. – Красноярск: Институт леса им. В.Н. Сукачева СО РАН, 2008. – С. 233-234.









