| Скачать .zip |
Реферат: Управление ликвидацией последствий чрезвычайной ситуации при лесном пожаре
ПРИЛОЖЕНИЕ А (справочное)
Таблица А1 - Точка росы τ0 в С0 при относительной влажности воздуха φ в %
| φ C0 | 30% | 35% | 40% | 45% | 50% | 55% | 60% | 65% | 70% | 75% | 80% | 85% | 90% | 95% |
| 30 | 10.5 | 12,9 | 14,9 | 16,8 | 18,4 | 20,0 | 21,4 | 22,7 | 23,9 | 25,1 | 26,2 | 27,2 | 28,2 | 29,1 |
| 29 | 9,7 | 12,0 | 14,0 | 15,9 | 17,5 | 19,0 | 20,4 | 21,7 | 23,0 | 24,1 | 25,2 | 26,2 | 27,2 | 28,1 |
| 28 | 8,8 | 11,1 | 13,1 | 15,0 | 16,6 | 18,1 | 19,5 | 20,8 | 22,0 | 23,2 | 24,2 | 25,2 | 26,2 | 27,1 |
| 27 | 8,0 | 10,2 | 12,2 | 14,1 | 15,7 | 17,2 | 18,6 | 19,9 | 21,1 | 22,2 | 23,3 | 24,3 | 25,2 | 26,1 |
| 26 | 7,1 | 9,4 | 11,4 | 13,2 | 14,8 | 16,3 | 17,6 | 18,9 | 20,1 | 21,2 | 22,3 | 23,3 | 24,2 | 25,1 |
| 25 | 6,2 | 8,5 | 10,5 | 12,2 | 13,9 | 15,3 | 16,7 | 18,0 | 19,1 | 20,3 | 21,3 | 22,3 | 23,2 | 24,1 |
| 24 | 5,4 | 7,6 | 9,6 | 11,3 | 12,9 | 14,4 | 15,8 | 17,0 | 18,2 | 19,3 | 20,3 | 21,3 | 22,3 | 23,1 |
| 23 | 4,5 | 6,7 | 8,7 | 10,4 | 12,0 | 13,5 | 14,8 | 16,1 | 17,2 | 18,3 | 19,4 | 20,3 | 21,3 | 22,2 |
| 22 | 3,6 | 5,9 | 7,8 | 9,5 | 11,1 | 12,5 | 13,9 | 15,1 | 16,3 | 17,4 | 18,4 | 19,4 | 20,3 | 21,1 |
| 21 | 2,8 | 5,0 | 6,9 | 8,6 | 10,2 | 11,6 | 12,9 | 14,2 | 15,3 | 16,4 | 17,4 | 18,4 | 19,3 | 20,2 |
| 20 | 1,9 | 4,1 | 6,0 | 7,7 | 9,3 | 10,7 | 12,0 | 13,2 | 14,4 | 15,4 | 16,4 | 17,4 | 18,3 | 19,2 |
| 19 | 1,0 | 3,2 | 5,1 | 6,8 | 8,3 | 9,8 | 11,1 | 12,3 | 13,4 | 14,5 | 15,5 | 16,4 | 17,3 | 18,2 |
| 18 | 0,2 | 2,3 | 4,2 | 5,9 | 7,4 | 8,8 | 10,1 | 11,3 | 12,5 | 13,5 | 14,5 | 15,4 | 16,3 | 17,2 |
| 17 | -0,6 | 1,4 | 3,3 | 5,0 | 6,5 | 7,9 | 9,2 | 10,4 | 11,5 | 12,5 | 13,5 | 14,5 | 15,3 | 16,2 |
| 16 | -1,4 | 0,5 | 2,4 | 4,1 | 5,6 | 7,0 | 8,2 | 9,4 | 10,5 | 11,6 | 12,6 | 13,5 | 14,4 | 15,2 |
| 15 | -2,2 | -0,3 | 1,5 | 3,2 | 4,7 | 6,1 | 7,3 | 8,5 | 9,6 | 10,6 | 11,6 | 12,5 | 13,4 | 14,2 |
| 14 | -2,9 | -1,0 | 0,6 | 2,3 | 3,7 | 5,1 | 6,4 | 7,5 | 8,6 | 9,6 | 10,6 | 11,5 | 12,4 | 13,2 |
| 13 | -3,7 | -1,9 | -0,1 | 1,3 | 2,8 | 4,2 | 5,5 | 6,6 | 7,7 | 8,7 | 9,6 | 10,5 | 11,4 | 12,2 |
| 12 | -4,5 | -2,6 | -1,0 | 0,4 | 1,9 | 3,2 | 4,5 | 5,7 | 6,7 | 7,7 | 8,7 | 9,6 | 10,4 | 11,2 |
| 11 | -5,2 | -3,4 | -1,8 | -0,4 | 1,0 | 2,3 | 3,5 | 4,7 | 5,8 | 6,7 | 7,7 | 8,6 | 9,4 | 10,2 |
| 10 | -6,0 | -4,2 | -2,6 | -1,2 | 0,1 | 1,4 | 2,6 | 3,7 | 4,8 | 5,8 | 6,7 | 7,6 | 8,4 | 9,2 |
| * для промежуточных показателей, не указанных в таблице, определяетс средняя величина. | ||||||||||||||
Таблица А2 - Шкала пожарной опасности в лесу по условиям погоды
| Класс пожарной опасности по условиям погоды | Значение комплексного показателя | Степень пожарной опасности |
| I | До 300 | — |
| II | 301 - 1000 | Малая |
| III | 1 001 - 4 000 | Средняя |
| IV | 4 001 - 10 000 | Высокая |
| V | Более 10 000 | Чрезвычайная |
Таблица А3 - Степень повреждения древостоя после низовых пожаров
| Средняя высота нагара, м | Средний диаметр древостоя | ||||||||
| 8 12 | 16 | 20 | 24 | 28 | 32 | 36 | 10 | ||
| Степень повреждения древостоя I | |||||||||
| СОСНЯКИ | |||||||||
| 0.1 - 0.5 | I | I | I | I | I | I | I | I | I |
| 0.6- 1.0 | II | I | I | I | I | I | I | I | I |
| 1.0- 1.5 | III | II | I | I | I | I | I | I | I |
| 1.0 - 2.0 | III | III | II | I | I | I | I | I | I |
| 2.1 - 3.0 | III | III | III | II | II | I | I | I | I |
| 3.1 - 4.0 | III | III | III | III | III | II | II | II | I |
| 4.1 - 5.0 | III | III | III | III | III | III | III | III | II |
| 5.1 и более | III | III | III | III | III | III | III | III | III |
| БЕРЕЗНЯКИ | |||||||||
| 0.1 - 0.5 | II | I | I | I | I | I | I | I | - |
| 0.6 - 1.0 | II | II | II | I | I | I | I | I | - |
| 1.0-1.5 | III | III | II | II | II | II | I | I | _- |
| 1.6-2.0 | III | III | II | И | II | II | II | 11 | - |
| 2.1 - 3.0 | III | III | III | III | III | II | II | II | - |
| 3.1 - 4.0 | III | III | III | III | III | III | III | II | - |
| 4.1 и более | III | III | III | III | III | III | III | III | - |
| ЛИСТВЕНИЧНИКИ К И | |||||||||
| 0.1 - 0.5 | I | I | I | I | I | I | I | I | I |
| 0.6- 1.0 | I | I | I | I | I | 1 | 1 | I | I |
| 1.0-1.5 | И | 1 | 1 | I | 1 | I | I | I | I |
| 1.6 - 2.0 | II | II | I | I | 1 | I | I | I | I |
| 2.1 - 3.0 | III | II | II | I | I | I | I | I | I |
| 3.1 - 4.0 | III | III | III | III | II | II | II | 11 | II |
| 4.1 - 5.0 | III | III | III | III | II | II | II | 11 | II |
| 5.1 - 6.0 | III | III | III | III | III | III | III | II | II |
| 6.0 - 7.0 | III | III | III | III | III | III | III | III | 11 |
| ЕЛЬНИКИ | |||||||||
| 0.1 - 0.5 | I | I | I | I | I | I | I | I | - |
| 0.6 - 1.0 | III | II | II | II | I | I | I | I | - |
| 1.0 - 1.5 | III | III | III | 11 | II | II | II | II | - |
| 1.6 - 2.0 | III | III | III | III | III | III | III | III | - |
| 2,1 и более | III | III | III | III | III | III | III | III | - |
Таблица А4 - Характеристики повреждения древостоя
| Степени повреждений | Характеристики состояния древостоя | Отпад, % | |
| числу деревьев | запасу | ||
| I | Древостой слабо повреждается пожаром, почти не изреживается, характеризуется частичным отмиранием подчиненных ярусов древостоя или даже сохранением их после слабых низовых пожаров. | 0- 30 | 0- 25 |
| II | Древостой после пожара заметно изреживается; характеризуется сохранением жизнедеятельности значительного количества деревьев верхнего полога и отмиранием подчиненной част» древостоя после низовых пожаров средней силы. | 31 - 70 | 26- 60 |
| III | Древостой после сильного повреждения пожаром усыхает полностью или почти полностью; характеризуется сохранением жизнедеятельности только незначительного числа деревьев верхнего полога после верховых или сильных низовых пожаров. | 71- 100 | 61- 100 |
| IV | Древостой гибнет полностью в процессе пожара; представляет собой горельники с древостоями, полностью утратившими жизнедеятельность вследствие обгорания крон во время верховых пожаров. | 100 | 100 |
| V | Древостой в результате пожара вываливается; представляет собой наложные горельники. | 71 - 100 | 61 - 100 |
СПИСОК ЛИТЕРАТУРЫ
1. Девлишев П. П. Организация и тактика борьбы с лесными и торфяными пожарами. - М.: Лесная промышленность, 1979. - 255 с.
2. Алтунин А. Т. Формирования гражданской обороны в борьбе со стихийными бедствиями. - М: Стройиздат, 1978. - 248 с.
3. Кимстач И.Ф. Пожарная тактика. - Москва, 1979. – 321 с.
4. Повзик Я. С. Пожарная тактика: учебное пособие. – М.: Стройиздат, 1990. – 280с.
5. Мастрюков Б. С. Безопасность в чрезвычайных ситуациях. Учебник для студ. высш. учеб. заведений / Борис Степанович Мастрюков. — М.: Издательский центр «Академия», 2003. — 336 с
6. ГОСТ Р 22.0.06-95 «Источники природных чрезвычайных ситуаций. Поражающие факторы.»
7. Валендик Э. Н. Борьба с крупными лесными пожарами. – М.: Наука, 1988. – 220 с.
8. Никитин Ю. А., Рубцов В. Ф. Предупреждение и тушение пожаров в лесах и на торфяниках. –М.: Лесная промышленность, 1980. – 126 с.
9. Гришин А.М. Математические модели лесных пожаров. Томск, Изд. Томск. Гос. Ин-та, 1981, 277 с.
10.
Евтюшкин Н. М. Методика расчета сил и средств для тушения пожаров: Москва, 1976. – 43 c.
11. ГОСТ Р 22.0.10-96 Правила нанесения на карты обстановки о чрезвычайных ситуации. Условные обозначения.
12. ГОСТ Р 22.0.02-94 Безопасность в чрезвычайных ситуациях. Основные положения.
13. Перечень превентивных мероприятий при чрезвычайных ситуациях: методическое пособие. - М.: Академия гражданской защиты, 2000. - 80 с.
14. Методика оценки последствий лесных пожаров, М 1994г. П.К.Рыжиков, В.В.Рощицын.
15. Прогнозирование и оценка обстановки при лесном пожаре. Методические указания. Кафедра БП и ПЭ г.Уфа 1997 г.
16. Инструкция по определению ущерба, причиняемого лесными пожарами. — М.: Рослесхоз, 2004. 30 с.
17. ГОСТ Р 22.10.01-2001. Безопасность в чрезвычайных ситуациях. Оценка ущерба. Термины и определения.
18. Рекомендации по обнаружению и тушению лесных пожаров. Рослесхоз. 17.12.1997 г.
19. Сборник методик по прогнозированию возможных аварий, катастроф, стихийных бедствий в РСЧС. Книга 1. Методика оценки последствий крупномасштабных лесных пожаров. – М.: МЧС, 1994.
20. Иванников В. П., Клюс П. П. Справочник руководителя тушения пожара. — М: Стройиздат, 1987. — 288 с: ил.
ПРИЛОЖЕНИЕ В (справочное)
Таблица Б1 - Оснащение пожарно-химических станции I и II типа
| Оборудование | Тип, марка | Количество | Назначение | |
| I типа | II типа | |||
| Основное оборудование | ||||
| Пожарные агрегаты | ||||
| Автоцистерна пожарная (команда из 8 человек) | АЦ–7-40 (на базе Урал - 4320) | 1 | 2 | Доставка средств тушения и рабочих к месту пожара |
| Автомобиль рукавный | АР-2 (на базе ЗиЛ-131) | 1 | 1 | Доставка рукавов и инвентаря для устройства трубопроводов |
| Трактор пожарный | ТП-55 (на базе трактора К-700) | 1 | 2 | Предназначен для вспомогательных работ |
| Автомобиль бортовой повышенной проходимости | ГАЗ – 66 | 1 | 2 | Доставка рабочих и средств пожаро-тушения к пожару,перевозка пожарного инвентаря |
| Пожарная насосная станция | ПНC-110 | 1 | 1 | Забор воды из водоисточника |
| Магистральный трубопровод | ПМТП-100 | 1 | 3 | Доставка воды от водоисточника |
| Малогабаритные переносные пожарные мотопомпы | МЛ – 100 ПМП – Л1 | 1 | 2 | Забор воды из водоисточника |
| Объемные пожарные цистерны или резиновые емкости 800 – 1500 л | РДВ - 1500 | 2 | 4 | Подвозка воды к месту пожара на автомашинах |
| Бульдозеры | Д-384 | - | 2 | Прокладка полос и трасс |
| Путепрокладчик | БАТ-М | - | 2 | Прокладка полос и трасс |
| Автотопливозаправщик | АТЗ-10- 4320 | - | 1 | Снабжение техники топливом и маслами |
| Плуги тракторные, полосопрокладыватели, грунтометы | ПК-70, ПКН-500, КН-600, ПД-1,2 | - | 2 | Прокладка полос и разрывов |
| Бензопилы | «Дружба», «Урал», «Тайга» | 2 | 1 | Разделка остатков деревьев и пней |
Продолжение таблицы Б1
Оборудование | Тип, марка | Количество | Назначение | |
| I типа | II типа | |||
| Основное оборудование | ||||
| Радиостанции: Стационарные Передвижные и переносные | «Лен1Р21В- -3» или «Гранит-М» «Карат» «ласточка» или «кактус» | 1 2 4 | 1 5 8 | Связь со службами. |
| Громкоговорящие устройства: возимые переносные | ГУ – 20М ГУ - 2 | 2 2 | 4 4 | Подача команд при тушении и оповещение населения |
| Технологическая оснастка | ||||
| Напорные пожар. рукава (диаметром 26,51 или 66мм), м | ГОСТ 17 – 1801 - 68 | |||
| Пожарные стволы | РС-50 и РС-70, РС-А и РС-Б | 10 | 20 | Создание сплошных струй соответственно 50 и 70 мм распыленных струй |
| Переходные соединит. втулки | ГП | 10 | 20 | Соединение рукавов различных диаметров |
| Разветвления | Двухходовые | 5 | 10 | Разветвление магистральных линий на рабочие |
| Пожарные лопаты | ГОСТ 3620 - 63 | 50 | 150 | Ликвидация очагов и тушение пожаров |
| Пожарные лопаты-мотыги | ГОСТ 1399-56 | 10 | 20 | Прокладка разрывов и удаление мешающих проезду элементов |
| Топор | Тип Б- 3 | 10 | 20 | Валка деревьев |
| Пилы | поперечные | 5 | 10 | Расчистка территории |
| Чаны (300 – 400 л) | Металлические | 1 | 1 - 2 | Приготовление и хранение химических растворов |
Канистры (10 – 20 л) | Полиэтиленовые | 5-10 | 10-30 | Перевозка огнегасительных растворов и горючего для мотопомп и бензопил |
| Приборы для измерения пож-ой опасности погоды: -осадкометр -психрометр -анемометр | УСП | 1 1 1 1 | 1 1 1 1 | Определение класса пожарной опасности по условиям погоды Определение скорости ветра |
ПРИЛОЖЕНИЕ Г (справочное)
| Тип ствола | Диаметр спрыска, мм. | Давление перед стволом, Ат | Расход, л/сек. | |
| воды | пенообразователя | |||
| Б | 13 | 3,5 | 3,5 | - |
| А | 19 | 3,5 | 7 | - |
| Лафетный | 25 | 8,0 | 14 | - |
| Лафетный | 28 | - | 21 | - |
| Лафетный | 32 | - | 28 | - |
| Лафетный | 36 | 9,5 | 35 | - |
| Лафетный | 40 | 9,5 | 42 | - |
| СВМП-2 | - | 6,0 | 3,9 | 0,16 |
| СВМП-4 | - | 6,0 | 7,8 | 0,31 |
| ВПСЭ-2,5 | - | 6,0 | 3,6 | 0,14 |
| ВПСЭ-5 | - | 6,0 | 6,5 | 0,26 |
| ВПСЭ-7,5 | - | 6,0 | 8,5 | 0,35 |
![]()
![]()
![]()
Условные обозначения:

![]()
![]()

![]()
![]()
![]()
![]()
![]()
![]()
![]()
![]()
![]()
![]()
![]()
![]()
![]()
![]()
![]()
![]()
![]()
![]()
![]()
![]()
Пункт управления ГО г.Дюртюли
Пункт управления ГО п.Венеция
Группа разведки
Контрольно-пропускной пункт
Средняя школа №101
Магазин, универмаг, палатка
Пути эвакуации
Пути выдвижения СиС
Р-н пожара и нап-ие его распространения
С
Ю
З
В
Направление ветра и его скорость
Городская больница №7
М 1 : 60000
в 1 сантиметре 0,6 километра
БУ
БУ
БУ
БУ
БУ
БУ
БУ
Пожарно-насосная станция
Отряд ПМП
Пожарные рукава
Центр оперативного управления
БУ
Боевой участок
БУ
БУ
Рисунок И1 – Решение председателя комиссии по чрезвычайным ситуациям и обеспечению пожарной безопасности при возникновении лесного пожара в Дюртюлинском районе Республики Башкортостан
Локализацию и ликвидацию очагов пожара осуществить силами лесопожарной службы Дюртюлинского лесхоза. Основные усилия сосредоточить на спасении людей, выводе людей из зоны пожара.
К ликвидации очагов пожара приступить немедленно. Силами пожарных команд и резервных пожарных команд ликвидировать очаги пожара на закрепленных за ними боевых участках.
Расчет сил и средств
Рисунок Е1 – Общая схема аварийно-спасательных и других неотложных работ при тушении пожара
![]()
![]()
Содержание
РЕФЕРАТ…………………………………………………………………………5
ВВЕДЕНИЕ…………………………………………………………………….…6
1 ЛИТЕРАТУРНЫЙ ОБЗОР ………………………...…………………………..8
1.1 Основные понятия, термины и определения……………….…………….…9
1.2 Анализ причин возникновения лесных пожаров. Крупнейшие лесные пожары…………………………………………………………………................11
1.3 Лесные пожары, как разновидность ландшафтных пожаров. Виды лесных пожаров и их распространение…………..……………………………………..12
1.4 Основные поражающие факторы пожаров и защитные мероприятия при крупномасштабных лесных пожарах…………………………………...………16
1.5 Развитие лесных пожаров………………………………………………..….17
2 ТАКТИЧЕСКИЕ ОСОБЕННОСТИ ПРОВЕДЕНИЯ АВАРИЙНО-СПАСАТЕЛЬНЫХ РАБОТ В ЗОНЕ ЛЕСНОГО ПОЖАРА………………….20
2.1 Общие положения по выполнению аварийно-спасательных и других неотложных работ (АСДНР) в зоне...…………………………………………..20
2.2 Основы тактики тушения лесных пожаров…………………….…………. 22
2.2.1 Тушение низовых пожаров……………………….……………………… 22
2.3 Использование магистральных трубопроводов для тушения лесных пожаров……………………………………………………………..….. ………..26
2.4 Дотушивание пожара………………………………………………………. 30
2.5 Окарауливание пожара………………………………………………………30
2.6 Основные превентивные мероприятия, осуществляемые при крупномасштабных ландшафтных (лесных, степных) пожарах………….…..31
3 ИСХОДНЫЕ ДАННЫЕ ДЛЯ ПРОЕКТИРОВАНИЯ
ГИПОТЕТИЧЕСКОЙ ЧРЕЗВЫЧАЙНОЙ СИТУАЦИИ……………………..34
3.1 Краткое описание рассматриваемой чрезвычайной ситуации – лесного пожара…………………………………………………………………………….34
3.2 Перечень мероприятий, необходимых для ликвидации ЧС………………35
3.2.1Прогноз и оценка пожарной обстановки в лесу…………………………35
3.2.2 Прогнозирование последствий лесного пожа….………………………...38
3.3 Определение сил и средств РСЧС, привлекаемых для работ в зоне ЧС…41
3.4 Расчет сил и средств, необходимых и задействованных для локализации и ликвидации лесного пожара…………………………………………………….41
3.4.1 Расчет продолжительности по локализации лесного пожара…………. 46
3.5 Планирование мероприятий тушения лесного пожара….………………. 47
3.5.1 Прокладка заградительных и минерализованных полос………………..49
4 ОРГАНИЗАЦИЯ УПРАВЛЕНИЯ ЛИКВИДАЦИЕЙ ЧРЕЗВЫЧАЙНОЙ СИТУАЦИИ - ЛЕСНОГО ПОЖАРА В ДЮРТЮЛИНСКОМ РАЙОНЕ РБ...51
4.1 Общее руководство ликвидацией чрезвычайной ситуации……………....51
4.2 Руководство работами по тушению лесного пожара на территории лесхоза «Венеция»……………………………………………………………….53
4.3 Решение председателя комиссии по чрезвычайным стуациям и обеспечению пожарной безопасности на проведение работ по локализации и ликвидации лесного пожара…………………………………………………….53
4.4 Организация связи…………………………………………………………...55
5 ОБЕСПЕЧЕНИЕ БЕЗОПАСНОСТИ ПРИ ПРОВЕДЕНИИ АВАРИЙНО-СПАСАТЕЛЬНЫХ И ДРУГИХ НЕОТЛОЖНЫХ РАБОТ………………...…57
5.1 Общие требования безопасности………..………………………………….57
5.2 Меры безопасности при разведке пожара……………..…………………...58
5.3 Меры безопасности при спасании людей………………………………….59
5.4 Меры безопасности при применении для тушения инженерной техники.59
5.5 Меры безопасности при боевом развертывании…………………………..60
5.6 Меры безопасности при тушении пожара…………………….…………... 61
ВЫВОДЫ…….…………………………………………………………………. 63
СПИСОК ЛИТЕРАТУРЫ…………………………………………………….... 65
ПРИЛОЖЕНИЯ………………………………………………………………….66
ПРИЛОЖЕНИЕ А – Справочные данные……………..……………………… 67
ПРИЛОЖЕНИЕ Б – Карта местности Дюртюлинского района РБ ………….70
ПРИЛОЖЕНИЕ В – Оснащение пожарно-химических станции I и II типа ...71
ПРИЛОЖЕНИЕ Г – Величина расхода стволов ………………..……………. 73
ПРИЛОЖЕНИЕ Д – Основные тактико-технические характеристики спецтехники……………………………………………………………….……..74
ПРИЛОЖЕНИЕ Е – Общая схема аварийно-спасательных и других неотложных работ при тушении пожара……………………………………….78
ПРИЛОЖЕНИЕ Ж – План-схема ведения аварийно-спасательных и других видов неотложных работ в зоне лесного пожара……………………………...79
ПРИЛОЖЕНИЕ З – Оперативный план резервных пунктов сил и средств для организации тушения лесных пожаров на территории Дюртюлинского лесхоза РБ……………………………………………………………………… 80
ПРИЛОЖЕНИЕ И – Решение председателя комиссии по чрезвычайным ситуациям и обеспечению пожарной безопасности при возникновении лесного пожара в Дюртюлинском районе Республики Башкортостан…………………………………………………………………….81
РЕФЕРАТ Пояснительная записка к курсовой работе по дисциплине «Тактика сил РСЧС и ГО» на тему: «Управление ликвидацией последствий чрезвычайной ситуации при лесном пожаре».
ЛЕСНОЙ Пожар, чрезвычайная ситуация, горение, разведка пожара, тушение пожара, локализация пожара, ликвидация пожара, аварийно-спасательные работы, другие неотложные работы, РЕШЕНИЕ РУКОВОДИТЕЛЯ ЛИКВИДАЦИИ ЧС.
Лесными пожарами на территории страны ежегодно охватывается до 2—5 млн.га лесной площади. Ущерб от этих пожаров ежегодно составляет несколько млрд. рублей.
Актуальность темы заключается в том, что опасность лесных пожаров для населения проявляется в угрозе непосредственного воздействия на людей, их имущество, в уничтожении лесных массивов, примыкающих к населенным пунктам, и предприятиям, а также в задымлении значительных территорий, что приводит к ухудшению состояния здоровья людей, нарушению движения автомобильного и железнодорожного транспорта.
Объектом исследования в курсовой работе является лесной массив Дюртюлинского района РБ.
Целью курсовой работы является разработка тактических действий руководителя работ по ликвидации чрезвычайной ситуации при лесном пожаре.
Были поставлены и решены основные задачи:
моделирование гипотетической чрезвычайной ситуации - лесного пожара с использованием данных (карта местности, метеоданные, характер местности);
выработка решения руководителя ликвидации чрезвычайной ситуации для выполнения АСДНР в полном объеме, в кратчайшие сроки, с минимальными потерями населения и материальных средств;
определение объема работ, потребных сил и средств, требуемых для ведения АСДНР;
разработка схемы оповещения и связи, организация взаимодействии, обеспечения действий формирований, проведения АСДНР с соблюдением мер безопасности.
Курсовая работа: 81 стр., 22 рис., 21 табл., 20 источников, 9 прил.
3 ИСХОДНЫЕ ДАННЫЕ ДЛЯ ПРОЕКТИРОВАНИЯ ЧРЕЗВЫЧАЙНОЙ СИТУАЦИИ
Исходными данными для проектирования ЧС являются:
-прогноз обстановки, которая складывается на территории в результате действия поражающих факторов ЧС;
-численность населения, которая может пострадать;
-перечень мероприятий АСДНР, необходимых для ликвидации ЧС;
-продолжительность периода ведения аварийно-спасательных мероприятий;
-прогнозируемый объем работ.
3.1Краткое описание рассматриваемой чрезвычайной ситуации – лесного пожара
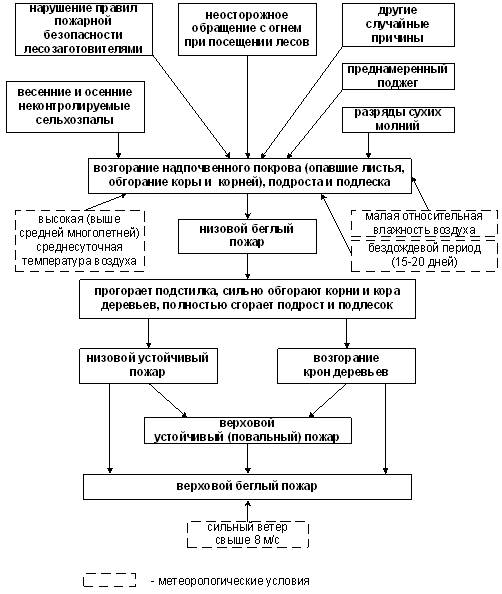
В 13 ч. 00 мин. 24 июля на лесной территории с хвойными насаждениями (сосна, средний диаметр древостоя – 30 см.) возник очаг устойчивого низового лесного пожара.
По данным метеорологическим условиям определяется степень пожарной опасности и класс пожарной опасности по условиям погоды:
- температура воздуха на момент обнаружения пожара, t=32єС;
- температура воздуха на 12 ч., t0=27єC;
- влажность воздуха φ=35%;
- скорость ветра, V=5м/с;
- направление ветра: северо-западное;
- характер местности – рельеф ровный;
- среднее количество осадков составляет 2,1 мм. в сутки;
- число дней прошедших после последнего дождя, n=19;
- точка росы на 12 ч. (Приложение А, таблица 1), τє=10,2.
Для оценки состояния пожарной опасности погодных условий и лесах используется комплексный показатель, который учитывает основные факторы, влияющие на пожарную опасность лесных горючих материалов. По имеющимся данным комплексный показатель равен:
К=n·(t0-τє)·t0=19·(27-10,2)·27=8618,4 (3.1)
Следовательно (Приложение А, таблица 2), степень пожарной опасности в лесу – высокая, класс пожарной опасности по условиям погоды IV.
Пожар возник в результате несоблюдения правил пожарной безопасности. Свободное распространение огня составляет 3 часа. К времени обнаружения пожара 16 ч. 00 мин. площадь пожара составила 80 га. Возникает непосредственная угроза охвата огнем всей площади лесного
массива и деревни Венеция, с численностью населения 720 человек, а также сильное задымление населенных пунктов, удаленных от лесных массивов.
Населенный пункт Венеция находится в 2 км. от г.Дюртюли и на удалении 2,5 км. от места возгорания. Карта местности представлена в приложении Б.
Сигнал о возникновении пожара поступил по звонку, спустя 2 ч. 30 мин. с момента возгорания, дежурному лесопожарной службы лесхоза Венеция.Сигнал о возникновении пожара немедленно довелся до всего населения населенного пункта. Оповещение населения, находящегося в зоне возможного распространения пожара осуществлялось поисково-спасательными службами лесхоза, с помощью громкоговорящих возимых устройств ГУ-20М. На пожар немедленно выехало подразделение лесопожарной службы лесхоза в составе пожарно-химической станции (ПХС) II типа. Оснащение пожарно-химических станций I и II типа представлено в приложении В.
3.2 Перечень мероприятий, необходимых для ликвидации ЧСДля ликвидации ЧС выполняются боевые действия по тушению лесного пожара. Боевые действия по тушению пожаров начинаются с момента получения сообщения о пожаре пожарной охраной, считаются законченными по возвращении в подразделения пожарной охраны на место постоянной дислокации и включают в себя:
- обработку вызова;
- выезд и следование к месту пожара;
- пожарную разведку;
- спасение людей и имущества;
- боевое развертывание;
- ликвидацию горения;
- выполнение специальных работ;
- сбор и возвращение в подразделение.
3.2.1 Прогноз и оценка пожарной обстановки в лесу
В сосновом лесу, прилегающем к д.Венеция возник очаг пожара при сильном ветре. Исходные данные для прогноза и оценки пожарной обстановки в лесу приведены в разделе 3.2. Дополнительные данные, необходимые для расчета:
Определение возможной площади и периметра лесного пожара.
1)лесопожарный коэффициент η, величина которого постоянна в
течение месяца для каждого региона: для большей части территории СНГ в июне — августе η=0,65, в юго-западном и центрально-черноземном регионах России η =0,7; (принимаем η=0,65);
2)скорость ветра VB = 5 м/с;
3)относительная влажность воздуха φ=35%;
4)время развития пожара, т.е. время прибытия средств пожаротушения на место пожара, t разв. = 3 ч; [15].
По номограмме изображенной на рисунке 3.1 определяются: возможная площадь SП и периметр РП очага пожара в лесном массиве.
Выбирается линия соответствующую лесопожарному коэффициенту η=0,65, через точку пересечения этой линии и соответствующей времени развития пожара tpaзв = 3 ч, проводим пунктирную линию. По номограмме получаем значения площади и периметра очага пожара: SП = 58 га, РП = 5,8 км, соответственно.

Рисунок 3.1 - Номограмма определение площади S(η, tразв.) и периметра Р(η, t разв.) лесного пожара [15].
Определение скорости распространения пожара в лесу.
Определение скорости распространения пожара в лесу осуществляется по номограмме изображенной на рисунке 3.2. Откладывается по осям значения скорости ветра VB = 5 м/с и относительной влажности воздуха φ=35% (по исходным данным), и восстанавливаются перпендикуляры к осям. Точка пересечения на номограмме, находится в области II. Это позволяет сделать вывод о том, что в лесу распространяется сильный низовой пожар со
средней скоростью распространения пожара выше 3 м/с и высотой пламени достигающей более 20 м. [15].

Область I соответствует высоким скоростям распространения пожара (до 6-7 км/ч). При такой скорости возникают низовые и верховые пожары, высота пламени достигает 20-50 м.
Область II соответствует скорости распространения около 200 м/ч. Это пожары средней силы. Высота пламени при таких пожарах достигает 1-2 м.
Область III - это медленно распространяющиеся пожары, их скорость менее 200 м/ч. Такой пожар может быть остановлен при встрече с препятствием.
Рисунок 3.2 - Номограмма определения скорости распространения
лесного пожара ![]()
Таким образом осуществлен прогноз и оценка пожарной обстановки в лесу. А также определено, что к 16 ч. 00 мин. при скорости ветра 5 м/с, площадь лесного пожара SП = 80 га, периметр лесного пожара PП = 5,8 км., что соответствует скорости распространения пожара VП = 3 м/с и высоте пламени hП = 20 м. И высока вероятность появления и распространения верхового пожара.
3.2.2 Прогнозирование последствий лесного пожара
Для определения: линейной скорости распространения фронта, флангов и тыла лесного пожара используются следующие данные:
- Вид пожара: низовой;
- класс горимости лесных насаждений I (таблица 3.1);
- класс пожарной опасности погоды - IV;
Таблица 3.1 - Классы горимости лесных насаждений [32]
| Класс горимости насаждений | Тип леса |
| I | Чистые и с примесью лиственных пород хвойные насаждения |
| II | Чистые с примесью хвойных пород лиственные насаждения |
Определение линейных скоростей распространения низовых лесных пожаров
В данном случае класс горимости лесных насаждений I. Для I класса зависимость линейной скорости распространения низового пожара определяется по скорости ветра (по рисунку 3.3).
Откладываем на оси значение скорости ветра VB = 5 м/с, восстанавливаем перпендикуляр до линии соответствующей классу пожарной опасности погоды – IV (по исходным данным) и восстанавливается перпендикуляр на ось линейная скорость распространения фронта, флангов и тыла лесного пожара (рисунок 3.3 а,б,в, соответственно).
В результате проведенных выше операций выявлен класс горимости лесных насаждений - I и пожарной опасности погоды - IV. А также определены линейные скорости фронта, фланга и тыла лесного пожара, значения которых составляет:
1. Линейная скорость распространения фронта лесного пожара
составит
=159м/ч;
2. Линейная скорость распространения флангов лесного пожара
составит
=27м/ч;
3. Линейная скорость распространения тыла лесного пожара
составит
=20м/ч;
а
) Vф – скорость распространения фронта пожара.
б
) Vфл - скорость распространения фланга пожара.
в
) Vт - скорость распространения тыла пожара.
Рисунок 3.3 - Зависимость линейной скорости распространения низового
пожара от скорости ветра (
) (римскими цифрами обозначены классы пожарной опасности погоды)
Определение периметра лесного пожара за время распространения огня и общей продолжительности локализации пожара
Периметр Пi, м (П3 и П4,62) лесного пожара за время распространения огня t1 (t1=3ч) и общей продолжительности локализации пожара t2 (t2=4,62 ч), определяется по формуле:
, (3.2)
; (3.2.1)
, (3.2,2)
где Пi – периметр лесного пожара за время t1 и t2, м;
Vф = 159м/ч – линейная скорость распространения фронта лесного пожара;
ti – время распространения огня и общая продолжительность локализации пожара, соответственно t1=3ч и t2=4,62 ч;
Определение площади лесного пожара за время распространения огня и общей продолжительности локализации пожара
Площадь Si, га (S3 и S6) лесного пожара за время распространения огня t1 (t1=3ч) и общей продолжительности локализации пожара t2 (t2=4,62 ч), определяется по формуле:
, (3.3)
(3.3.1)
(3.3.2)
Определение степень повреждения древостоя после низовых пожаров
Данный лес преимущественно состоит из сосны, средний диаметр древостоя 30 см, средняя высота нагара, более 5 м.
Степень повреждения древостоя III (приложение А таблица 3). В следствии сильных низовых пожаров древостой после сильного повреждения пожаром усыхает полностью или почти полностью; характеризуется сохранением жизнедеятельности только незначительного числа деревьев верхнего полога (приложение А таблица 4).
Таблица 3.2 – Рассчитанные данные об основных поражениях развития лесного пожара
| Площа-дь лесного пожара SП, га | Пери-метр лесного пожара PП, км | Высота пламени hП, м | Скорость | Класс | Линейная скорость распространения | ||||
| Распростране-ния пожара VП, м/с | Ветра пожара VВ, м/с | Горимости лесных насаждений | Пожар-ной опасно-сти погоды | Фронта пожара Vфр, м/с | Фланга пожара Vфл, м/с | Тыла пожараVт, м/с | |||
| 80 | 5,3 | >20 | >3 | 5 | I | IV | 159 | 27 | 20 |
Таким образом, полученные результаты дают представление об основных поражениях развития лесного пожара (см. таблицу 3.2), что в свою очередь позволит безошибочно и своевременно оценить потребность в силах и средствах с целью проведения АСДНР в минимальные сроки, с минимальными потерями.
3.3 Определение сил и средств РСЧС, привлекаемых для работ в зоне ЧСДля определения сил и средств РСЧС, привлекаемых для работ в зоне ЧС, основываться на имеющиеся в наличии средства и силы, расположенные в Дюртюлинском лесхозе. Имеющиеся силы и средства привлекаются для локализации и тушения лесного пожара, оказания первой медицинской помощи пострадавших в результате чрезвычайной ситуации, для проведения аварийно-спасательных и других видов неотложных работ.
К локализации и тушению пожара привлекаются:
подразделение ГПС г.Дюртюли, в оснащение которой входят 4 пожарно-химической станции II типа (ПХС-II),состав одной станции представлен в приложение В.
мужское население деревни Венеция, в количестве 50 человек.
Таким образом, определен состав сил и средств, расположенных в Дюртюлинском лесхозе для локализации и тушению лесных пожаров. Далее производится расчет сил и средств, необходимых для ликвидации и локализации лесного пожара, чтобы провести анализ достаточности имеющихся сил и средств с целью проведения АСДНР в полном объеме и в кратчайшие сроки (принцип необходимости и достаточности).
3.4 Расчет сил и средств, необходимых и задействованных для локализации и ликвидации лесного пожара
Для расчета сил и средств, необходимых для локализации и ликвидации лесного пожара определяются:
- требуемый расход воды на непосредственное тушение пожара;
- требуемое количество стволов на непосредственное тушение пожар;
- требуемое количество пожарных автомобилей на непосредственное тушение пожара;
- требуемое количество личного состава на непосредственное тушение пожара
На непосредственное тушение пожара требуемый расход воды (величина Qтр) - определяется по формуле:
(3.4)
где Qтр - требуемый расход воды, л/сек;
Jтр = 0,5 л/сек∙м - требуемая интенсивность подачи воды [10];
а = 157,2 м - фронт распространения огня;
= 159 м/ч = 2,65 м/мин - линейная скорость распространения фронта лесного пожара [раздел 3.2.2];
= 27 м/ч = 0,45 м/мин - линейная скорость распространения флангов лесного пожара [раздел 3.2.2];
TCB = 205 мин - время свободного развития пожара (до введения в действие стволов первыми прибывшими подразделениями);
VЛОК = 13,44 м/мин - скорость локализации пожара, которая определяется по формуле:
, (3.4.1)
где Jтр = 0,5 л/сек∙м - требуемая интенсивность подачи воды;
Tвв = 25 мин - продолжительность введения стволов [10];
Qф = 168 л/сек - фактический расход огнетушащих веществ, который определяется по формуле:
(3.4.2)
где
= 24 шт. - количество задействованных стволов (по условию);
QCT = 7 л/сек - расход ствола по типу А [Приложение Г];
Требуемое количество стволов на непосредственное тушение пожара определяется по формуле:
(3.5)
где Qтр = 711 л/сек - требуемый расход воды;
QCT = 7 л/сек - расход ствола по типу А [Приложение Г].
Требуемое количество пожарных автомобилей на непосредственное тушение пожара.
Требуемое количество автомобилей ПНС - 110 (величина Nа(ПНС - 110)) и автоцистерн АЦ – 7 – 40 (величина Nа(АЦ – 7 - 40)) - определяется по формуле:
(3.6)
(3.6.1)
(3.6.2)
где Nст = 102 шт. – требуемое количество стволов;
QCT = 7 л/сек - расход ствола по типу А [Приложение Г];
Qн(ПНС – 110) = 110 л/сек - расчетная производительность насоса ПНС – 110 [Приложение Д ];
Qн(АЦ – 7 - 40) = 40 л/сек - расчетная производительность насоса АЦ – 7 – 40 [Приложение Д].
Принимают 7 автомобилей ПНС – 110 и 18 автоцистерн АЦ – 7 – 40
По рукавам, требуемое количество автомобилей АР-2 (величина Nа(АР - 2)) - определяется по формуле:
(3.7)
где nл = 3 шт. - число магистральных линий;
lм.л. = 1200 м - длинна магистральных линий;
nр = 80 шт. - число рукавов на автомобиле;
Принимают 3 автомобиля АР – 2.
Требуемое количество личного состава на непосредственное тушение.
В данном случае количество личного состава следует определять из условия, что они потребуются только для работы со стволами. В этом случае количество требуемого личного состава определяется по формуле:
(3.8)
где nлс = 2 чел. - количество личного состава, требуемого для работы со стволом (для ствола типа А);
= 102 шт. – требуемое количество стволов (см. пункт 3.4).
Расчет сил и средств показал, что для тушения данного
пожара потребуется 204 личного состава лесопожарной службы.
Определив требуемое количество людей, следует проверить, будет ли оно достаточным для пожарных автомобилей. Эта проверка осуществляется по количеству рассчитанных пожарных машин, тогда требуемое количество личного состава на пожарных машинах (величина
=
) – определяется по условию:
(3.9)
где 5 - количество личного состава в боевом расчете одного отделения (принято как среднее значение численности боевого расчета на автоцистерне и автонасосе);
= 28 шт. – количество рассчитанных пожарных машин, которое определяется по формуле:
(3.9.1)
где: Nа(ПНС - 110), Nа(АЦ – 7 – 40) и Nа(АР - 2) = 7, 18 и 3 шт. - количество автомобилей ПНС - 110 (величина Nа(ПНС - 110)), автоцистерны АЦ – 7 – 40 (величина Nа(АЦ – 7 - 40)) и автомобилей АР-2 (величина Nа(АР - 2)), соответственно (см. пункт 3.4).
Условию (3.9), не выполняется, т.к. 204 > 140, следовательно, найденное количество личного состава с рассчитанным количеством стволов и пожарных машин, будет не достаточно для проведения работ, связанных с тушением.
Для расчета сил и средств, задействованных для локализации и ликвидации лесного пожара необходимо:
Определить количество личного состава со стволами.
По количеству задействованных стволов, количество личного состава со стволами (величина
) – определяется по формуле:
(3.10)
где nлс = 2 чел. - количество личного состава, требуемого для работы со стволом (для данного типа ствола);
= 24 шт. – количество задействованных стволов.
Определив количество личного состава, следует проверить, будет ли оно достаточным для пожарных автомобилей. Эта проверка осуществляется по количеству задействованных пожарных машин, тогда количество личного состава на пожарных машинах (величина
=
) – определяется по условию:
(3.11)
где 5 - количество личного состава в боевом расчете одного отделения (принято как среднее значение численности боевого расчета на автоцистерне и автонасосе);
= 16 шт. – количество задействованных пожарных машин.
Условие (3.11), выполняется, следовательно, найденное количество личного состава с задействованным количеством стволов и пожарных машин, будет достаточно для проведения работ, связанных с тушением.
Учитывая данные о численности ручных стволов, пожарных автомобилей и людей, применяемых для тушения сведены в таблицу 3.2.
Таким образом, проведен расчет численности личного состава пожарных формирований, которые привлекаются для проведения работ по локализации и ликвидации пожара на территории лесхоза «Венеция». Также определено количество пожарных автомобилей, которые будут задействованы в работе и другие технические средства. Результаты расчета представлены в таблице 3.2.
Таблица 3.2 – Сопоставление требуемого и задействованного количества сил и средств для проведения аварийно-спасательных работ
| Наименование | Требуемое количество сил и средств | Задействованное количество сил и средств |
| Стволы, шт. | 102 | 24 |
| Пожарные автомобили, шт.: -ПНС – 110 -АЦ – 7 – 40 -АР – 2 | 7 18 3 | 4 8 4 |
| Личный состав со стволами, чел. | 204 | 48 |
| Личный состав на пожарных автомобилях, чел. | 140 | 80 |
Приведенный расчет является максимально удовлетворяющим вариантом для тушения лесного пожара, хотя необходимых сил и средств, будет недостаточно для тушения пожара в кратчайшие сроки и с минимальными затратами. И в этом случае верным решением руководителя тушения пожара является применение метода прокладки минерализованных полос инженерной техникой, а личный состав и пожарная техника лесопожарной службы осуществляют работы по тушению и дотушиванию пожара.
3.4.1 Расчет продолжительности по локализации лесного пожара
Локализацию данного пожара проводят способом ограничения распространения огня в начале по его фронту с последующим наступлением на места наиболее интенсивного горения.
Общая продолжительность локализации пожара при двустороннем распространении огня, т.е. по фронту с последующем введением сил и средств в других направлениях определяется по формуле:
(3.12)
где а = 157,2 м – фронт распространения огня;
n = 2 – направление распространения огня;
= 159 м/ч = 2,65 м/мин - линейная скорость распространения фронта лесного пожара (см. раздел 3.2.2);
TCB = 205 мин - время свободного развития пожара (до введения в действие стволов первыми прибывшими подразделениями);
= 117,12 мин - продолжительность локализации пожара по фронту распространения огня, которая определяется по формуле:
(3.12.1)
где Vлок = 13,44 м/мин – скорость локализации пожара;
= 1574,1 м – периметр пожара, за время распространения t1 = 3 ч.
Клок = 2,54 – коэффициент локализации, показывает, во сколько раз скорость локализации пожара больше или меньше скорости роста его периметра, определяющийся по формуле:
(3.12.2)
где Vр = 5,3 м/мин – скорость роста периметра пожара, которая определяется по формуле:
(3.12.3)
Зная также продолжительность локализации пожара по фронту распространения огня (величина
) и время свободного развития пожара (величина TCB), можно определить:
- величину площади пожара в момент локализации по формуле:
(3.13)
где VП = 314,4 м/мин – линейная скорость пожара, которая определяется по формуле:
(3.13.1)
- величину периметра пожара в момент локализации по формуле:
(3.14)
Т. о. определена общая продолжительность локализации пожара при двустороннем распространении огня, время которой составила 4 ч. 37 мин. 12 сек. К этому времени площадь лесного пожара за время распространения может достигнуть 23,5 га.
Исходя из масштабов чрезвычайной ситуации (рассчитанном в разделе 3.2.2), тактики тушения лесных низовых пожаров (раздел 2) составлен план оперативно-тактических мероприятий при лесном пожаре (схема изображена в приложении Е).
По прибытию пожарных формирований лесхоза организовываются поисково-спасательные работы; подготовка к боевому развертыванию; организация и проведение непрерывной разведки пожара, в ходе которой выяснены:
-тактические части (фронт, фланги и тыл) пожара;
-наиболее опасное направление распространения огня на северо-запад, пожар угрожает деревни Венеция (2,5 км от очага пожара);
-наличие естественных и искусственных препятствий для распространения пожара: на пути распространения тыла пожара, на расстоянии 2 км на юго-восток, находится лесная просека шириной 3,5 км.,
после чего располагается летний лагерь вблизи р.Белой; распространение правого фланга пожара ограниченно лесной просекой длинною 1,5 км.; левый фланг пожара ограничивается также лесной просекой длинною 1 км., до населенного пункта Алпан.
-возможность подъезда к кромке пожара и применения механизированных средств локализации и тушения имеется с левого и правого флангов пожара;
-наличие водоисточников: на расстоянии 1200-1500 м на северо-восток, с правого фланга пожара (расположение рукавов направляются к фронту пожара) находится водоисточник – р.Белая. Имеется возможность использования его для забора воды;
-намечены трассы развертывания магистральных трубопроводов;
-определены безопасные места стоянки транспортных средств и пути отхода рабочих на случай прорыва огня, места укрытия.
Данные разведки и прогноз возможного распространения и развития пожара с указанием о необходимых дополнительных силах и средствах пожаротушения немедленно передают в лесхоз.
Подготовка к боевому развертыванию производится одновременно с разведкой пожара и включает в себя: установку пожарных машин на источники водоснабжения с присоединением всасывающих рукавов и пуском воды в насос, открепление пожарно-технического вооружения и проведение других подготовительных работ.
После оценки обстановки, по данным пожарной разведки и их анализа, руководитель тушения пожара отдает приказ на: полное боевое развертывание; тушение пожара с фронта после прокладки заградительной минерализованной полосы. Делает доклад начальнику лесхоза с запросом на ввод дополнительных сил и средств. Начальник лесхоза отдает приказ на ввод резервных пожарных команд лесопожарной службы и эвакуацию деревни Венеция (в связи с возможностью распространения огня на его территорию).
В ходе боевого развертывания, по намеченным в ходе разведки трассам, развертывается полевой сборно-разборный трубопровод ПМТП-100 (с средством перекачки: — Пожарная насосная станция ПНС-110 (131) на базе автомобилей ЗИЛ-131 – 4 шт,) диаметром 150 мм, длинной 1200 м. Развертывание трубопроводов осуществляется пожарным рукавными автомобилями АР-2 (43114). Время прокладки одного магистрального трубопровода – 20 минут. От трубопровода идет разветвление на 3 рукавные линий, по 2 ствола на линию. Ствольщики выходят на позиции установленные начальниками боевых участков. Ствольщики работы ведут парами: два человека со стволом РС-70 сосредоточенной струей издали сбивает пламя, а двое других с более близкого расстояния распыленной струей тщательно обрабатывает кромку огня стволами распылителями РС-А. Вода в распыленном состоянии обладает повышенными огнегасительными и
огнезащитными свойствами так как единица объема воды в распыленном виде имеет настолько большую поверхность, что поглощение ею тепла происходит почти мгновенно.
Прибывшие пожарные автомобили, так же выводятся на позиции установленные начальниками боевых участков.
В целях быстрой локализации пожара, а также обеспечения безопасности проведения работ и предотвращения угрозы для д.Венеция, руководитель тушения пожара принимает решение на прокладку минерализованных полос по всему периметру пожара инженерной техникой, а именно путепрокладчики, бульдозеры.
3.5.1 Прокладка заградительных и минерализованных полос
Для создания заградительных полос используется команды, группы и звенья механизации, входящие в состав ПХС II типа (приложение В).
При устройстве заградительных минерализованных полос расстояние от фронта огня до полосы выбирается в зависимости от скорости распространения пожара, производительности машин и условий выполнения
работ. Ориентировочная производительность инженерных машин в лесу составляет для комплекса машин: при устройстве просек шириной до 10 м — до 1000 пог. м/ч, при устройстве просек шириной 20 м и более до 200 пог. м/ч [20].
Исходя из производительности путепрокладчиков, бульдозеров (приложение Д) и данных разведки о линейной скорости распространения фронта, флангов и тыла пожара, решено проложить 3 заградительные минерализованные полосы, локализующие зону горения в целях обеспечения безопасности д.Венеция (см. план-схему ведения АСНДР – приложения Ж).
Первую заградительную минерализованную полосу шириной 20 м и длинной 360 м проложить на пути распространения фронта пожара. Расстояние перед фронтом пожара (на северо-западе от фронта) определяется по формуле:
, (3.15)
где
= 159м/ч – скорость распространения горения по фронту пожара;
τ = 3 ч – время необходимое для сбора сил и средств, их транспортировки и производства работ по созданию преграды;
= 50 м – дополнительное безопасное расстояние.
Вторую и третью заградительную минерализованную полосу шириной 10 м и длинной 900 м, проложить на пути распространения левого и правого флангов пожара.
Расстояние перед фронтом пожара (на северо-западе от флангов) составит 104м.
По мере выполнения поставленной задачи, организовывается помощь в прокладке первой заградительной минерализованной полосы.
Заградительные полосы устраиваются последовательным проходом бульдозера. Путепрокладчики с рабочими органами в духотвальном положении валят деревья и перемещают их в стороны, а бульдозер с рабочим органом в грейдерном положении расчищает земляной покров до минерального грунта с перемещением растительного покрова и грунта в сторону фронта распространения огня [1].
В данном разделе дано краткое описание рассматриваемой ЧС, с учетом исходных данных проектирования ЧС, с прогнозом и оценкой пожарной обстановки в лесу, а также прогнозирование последствий лесного пожара на территории лесхоза «Венеция»
Спланированы действия лесопожарной службы по локализации и ликвидации лесного пожара и произведены необходимые расчеты, такие как:
- требуемый расход воды на непосредственное тушение пожара Qтр = 711л/сек;
- требуемое количество стволов на непосредственное тушение пожар Nст = 102шт.;
- требуемое количество пожарных автомобилей на непосредственное тушение пожара Nа(ПНС-110) = 7шт., Nа(АЦ-7-40) = 18шт., Nа(АР-2) = 3шт.,;
- требуемое количество личного состава на непосредственное тушение пожара
.
А также произведен расчет на общую продолжительность локализации пожара при двустороннем распространении огня, что составляет
.
Для эффективного использования сил и средств и выполнения спланированных действий в полном объеме, в кратчайшие сроки, с минимальными потерями населения и материальных средств, необходимо четкое руководство и управление.
2 ТАКТИЧЕСКИЕ ОСОБЕННОСТИ ПРОВЕДЕНИЯ АВАРИЙНО-СПАСАТЕЛЬНЫХ РАБОТ В ЗОНЕ ЛЕСНОГО ПОЖАРА
Для проведения аварийно-спасательных и других неотложных работ (далее АСДНР) при лесном пожаре, в связи с значительной площадью горения, применяется значительное количество техники, сил и средств, и применяются различные тактические приемы.
Оперативная ликвидация лесного пожара имеет важное значение для минимизации ущерба проживающего населения, окружающей природной среде и ущерба лесному хозяйству. Поэтому необходимо планирование для проведения работ, что значительно снижает затраченное время и ресурсы.
Тактический план тушения лесного пожара разрабатывает руководитель тушения пожара на основе анализа данных разведки, при этом разведку небольшого пожара он производит лично. Разведку крупного пожара осуществляют разведывательные группы (звенья), направляемые руководителем тушения пожара. Так же руководитель тушения пожара ознакомливается с данными об обстановке в районе пожара, полученными путем авиационной разведки, проведенной службой авиаохраны лесного хозяйства.
Ликвидация пожара состоит из следующих стадий: локализация, остановка пожара (прекращение пламенного горения), дотушивание (тушение всех очагов горения внутри пожарища) и окарауливание [4].
2.1 Общие положения по выполнению аварийно-спасательных и других неотложных работ (АСДНР) в зоне ЧСОдной из важнейших задач, возложенных на Единую государственную систему предупреждения и ликвидации чрезвычайных ситуаций (далее - РСЧС) является ликвидация ЧС.
АСДНР в зонах ЧС характеризуются большим объемом и многообразием видов работ, проводятся в комплексе и выполняются во взаимодействии со специализированными формированиями министерств, ведомств, организаций, воинских частей МО РФ и другими формированиями. Они ведутся непрерывно, днем и ночью, в любую погоду до их полного завершения.
Успешное проведение АСДНР достигается:
заблаговременной подготовкой органов управления, сил и средств РСЧС к действиям при угрозе и возникновении ЧС, в том числе заблаговременным всесторонним изучением особенностей вероятных действий (участков и объектов работ), а также маршрутов ввода сил;
экстренным реагированием на возникновение ЧС (организацией эффективной разведки, приведением в готовность и созданием в короткие сроки необходимой группировки сил и средств, своевременным вводом ее в зоны ЧС);
непрерывным, твердым и устойчивым управлением работами, принятием оптимального решения и последовательным претворением его в жизнь, поддержанием устойчивого взаимодействия;
непрерывным ведением АСДНР днем и ночью, в любую погоду до полного их завершения, с применением способов и технологий, обеспечивающих наиболее полное использование возможностей аварийно-спасательных формирований (АСФ); неуклонным выполнением установленных режимов работ и мер безопасности, своевременной сменой формирований в целях восстановления их работоспособности;
организацией бесперебойного и всестороннего материально-технического и других видов обеспечения работ, жизнеобеспечения пострадавших и спасателей.
Для организованного проведения АСДНР в зонах ЧС планируется создание группировок сил и средств РСЧС.
Наращивание группировки сил и средств РСЧС в районе ЧС осуществляется по их готовности.
По мере прибытия в районы ЧС силы и средства РСЧС поступают в распоряжение соответствующей КЧС или иного органа управления, на который возложены задачи организации АСДНР (КЧС и ПБ Дюртюлинского района и руководитель тушения пожара).
В целях наиболее полного удовлетворения потребностей и оперативного решения задач по предупреждению и ликвидации ЧС организуется всестороннее обеспечение органов управление, сил и средств РСЧС, участвующих в мероприятиях по предупреждению и ликвидации ЧС.
При необходимости, для ликвидации ЧС, используются резервы финансовых и материальных ресурсов в порядке, определяемом законодательством РФ, законодательством субъектов РФ и нормативно-правовыми актами органов местного самоуправления. Ответственность за порядок обеспечения возлагается на соответствующих председателей комиссий по ЧС.
Исходя из условий возникновения, развития и течения такой ЧС как лесного пожар, при ведении АСДНР необходимо выполнение следующих операций:
обнаружение лесного пожара и оповещение населения;
выдвижение формирований в зону ЧС;
ведение пожарной разведки;
организация водоснабжения для пожарной техники;
оцепление зоны ЧС силами охраны правопорядка;
локализация пожара;
ведение аварийно-спасательных работ;
оказание первой медицинской и доврачебной помощи;
эвакуация пострадавших в лечебные учреждения и в места временного размещения;
обследование тел погибших судмедэкспертами;
отправка погибших в городской морг;
организация жизнеобеспечения пострадавшего населения, если лесной пожар достигает населенного пункта;
ликвидация пожара;
обеспечение горюче-смазочными материалами спецавтотехники и оборудования;
вывод формирований в места дислокации.
Общая схема аварийно-спасательных и других неотложных работ при тушении пожара представлена в приложении Е.
2.2 Основы тактики тушения лесных пожаровПод тактикой тушения лесных пожаров понимают способ действия сил, привлекаемых для тушения пожара, предусматривающий осуществление наиболее целесообразных приемов борьбы с огнем и рациональное использование в данных конкретных условиях имеющихся в наличии средств пожаротушения.
В тактика тушения пожара зависимости от его вида будет различной, поэтому рассмотрим несколько тактических приемов при тушении различных видов.
При тушении низовых лесных применяют два основных тактических приема: окружение пожара (тушение кромки огня по всему периметру пожара) и тушение пожара с фронта (тыла) с последующим продвижением к флангам, а затем в тыл (или к фронту) пожара [9].
П
ри небольших по размеру низовых беглых пожарах, если сил и средств пожаротушения достаточно, кромку огня ликвидируют сразу по всему периметру пожара (рисунок 2.1, А), при недостатке сил и средств тушение пожара начинают с фронта (рисунок 2.1, Б) или с тыла (рисунок 2.1, В).
А - окружение пожара; Б - тушение с фронта; В - тушение с тыла;
Рисунок 2.1 - Основные тактические приемы тушения лесных пожаров
При тушении кромки пожара сразу по всему его периметру захлестыванием ветками или забрасыванием грунтом группам работающих отводят определенные участки кромки; на этих участках группы останавливают пожар, локализуют его и полностью ликвидируют. Если тушение пожара ведут с фронта к тылу, или наоборот, группы, закончившие тушение на отведенных участках, приступают к работе на других участках в направлении кромки пожара. После того как кромку пожара ликвидировали, обходят место пожара, засыпая грунтом незначительные очаги горения, дымящиеся головешки и т. п. Если было возможно заглубление пожара, потушенный очаг пожара обязательно окружают минерализованной полосой, поскольку в подстилке могут сохраниться незаметные очаги горения, способные возобновить пожар.
Слабые пожары ликвидируют также водой или растворами химикатов из ранцевых опрыскивателей распыленной струей. При сильном пламени работы ведут парами: один человек сосредоточенной струей издали сбивает пламя, а другой с более близкого расстояния распыленной струей тщательно обрабатывает кромку огня. При тушении горящих пней, валежника и т. п. в воду обязательно добавляют смачиватель.
Примерная потребность в рабочей силе для тушения пожаров леса в зависимости от силы ветра приведена в таблице 2.1.
Таблица 2.1 - Затраты труда, чел.-дн. при тушении пожара
| Захламленность леса | Ветер | |||
| слабый | умеренный | крепкий | сильный | |
| Слабая Средняя Сильная | 0,5 1,0 2,0 | 1 4 5 | 2 6 10 | 3 10 20 |
Рассмотренные выше приемы тушения применяют в случаях, когда силы и средства пожаротушения позволяют тушить кромку с большей скоростью, чем продвигается фронт пожара. Если такой возможности нет, например, при сильном беглом низовом пожаре, устраивают заградительные полосы или выполняют отжиг. При тушении устойчивых низовых пожаров устройство заградительных полос является обязательным. При небольшой скорости распространения устойчивого пожара кромку вообще не тушат, а сразу локализуют пожар. Если устойчивый пожар сопровождается сильным беглым пожаром, то сначала останавливают распространение беглого пожара, а затем приступают к локализации очага, окружая его заградительной полосой.
Нормативов потребности сил и средств для тушения лесных пожаров нет. Исходные данные для ориентировочного определения необходимого количества сил и средств приведены в таблице 2.2.
Таблица 2.2 - Затраты времени на выполнение некоторых работ по тушению
лесных пожаров
| Виды работ по тушению 100-метровой кромки низового лесного пожара | Затраты времени, чел./мин (маш./мин) |
| Прокладка заградительной полосы: | |
| шириной 0,5 м ручными орудиями | 80—100 |
| тракторным плугом бригадой в составе 5 человек | 10—15 |
| Непосредственное тушение | |
| тушении кромки пожара двумя пожарными струями воды с обработкой полосы шириной 10 м с бригадой из 6 человек | 40(15) |
| растворами химикатов, ширина 1м | 15—18 |
| с помощью пожарной автоцистерны | 6(3) |
Создание заградительных полос средствами механизации, взрывным способом и отжигом в первую очередь производят перед фронтом пожара.
При локализации пожаров способом создания преград на путях распространения горения расстояния от фронта пожара до места создания преграды L, м, можно определяется по следующей формуле:
(1)
где
— скорость распространения горения по фронту пожара, м/ч; τ — время необходимое для сбора сил и средств, их транспортировки и производства работ по созданию преграды, ч.;
- дополнительное безопасное расстояние [3].

Рис. 2.2 - Пример комплекса тактических приемов при тушении лесных пожаров
Устройство заградительных полос сочетают с другими способами тушения пожаров. Например, при тушении сильного пожара (рис. 2.2) против фронта огня может быть пущен отжиг, на фланге создана заградительная полоса, а с тыла кромка залита водой и т. д.
Нормы выработки при проведении работ по прорубке и расчистке заградительной полосы, используя шанцевый инструмент, приведены в таблице 2.3 [4].
Таблица 2.3 - Нормы выработки при проведении работ по прорубке и
расчистке заградительной полосы
| Проведение работ по прорубке и расчистке заградительной полосы с валкой деревьев, уборкой валежника и сучьев | норма выработки за 8 ч на одного человека составляет, м2 |
| спелому густому лесу | 200 |
| средневозрастному лесу | 300 |
| мелкому лесу и кустарнику | 400 |
| по редколесью | 650 |
Для создания заградительных полос целесообразно использовать команды, группы и звенья механизации, входящие в состав формирований лесопожарной службы.
Заградительные полосы шириной 20 м и более целесообразно устраивать с помощью комплекса машин. Например, при двух путепрокладчиках и одном бульдозере заградительную полосу устраивают следующим образом: путепрокладчики с рабочими органами в двух-отвальном положении валят деревья и перемещают их в стороны, а бульдозер с рабочим органом в грейдерном положении расчищает кромки до минерального грунта с перемещением деревьев, растительного покрова и грунта в сторону фронта распространения огня. Возможно и такое использование машин: с помощью путепрокладчиков валят деревья, а с помощью бульдозера — удаляют эти деревья, а также растительный покров и верхний слой грунта с полосы.
В лесных массивах, имеющих деревья диаметром 30—50 см и разветвленную крону, заградительные полосы устраивают шириной 20—30 м. В этих случаях используют более мощные комплексы, состоящие из трех бульдозеров и нескольких путепрокладчиков (рис. 2.3) [3].


Б – бульдозер; ПП – путепрокладчик
Рисунок 2.3 - Схема устройства заградительной полосы
На местности с достаточной несущей способностью грунта и торфяным слоем до 0,5 м в заградительных полосах рекомендуется отрыть канавы с помощью землеройной техники и заполнить их водой.
Устройство заградительных полос возможно также с помощью взрывчатых веществ.
С помощью пожарных машин низовые пожары всегда следует ликвидировать с фронта, охватывая затем очаг по периметру. В зависимости от обстановки в районе пожара можно либо сразу добиться полного тушения очагов огня с одной позиции, используя максимальное число пожарных стволов, либо сначала только приостановить пожар, сбив пламя по кромке, а потом тщательно дотушить его. Последний тактический прием применяют при быстром распространении пожара. При дотушивании очаги заливают водой из ведер или опрыскивателей, наполняемых из рукавных линий или машин. Если очагов много и они крупные, для их локализации можно использовать рукавные линии, наращенные пожарными рукавами.
При тушении крупных очагов пожара, куда подача воды (растворов химикатов) затруднена, очаг рассекают просеками шириной 4 м для пропуска пожарных, поливомоечных и других машин [7].
2.3 Использование магистральных трубопроводов для тушения лесных пожаров
Магистральные трубопроводы предназначены для подачи воды в большом количестве и на значительные расстояния в очаги пожара для пожаротушения.
Трасса трубопровода проходит по возможности вдоль дорог и
троп; дороги выбираются с наименьшей интенсивностью движения, при этом обеспечена защита трубопровода от повреждения колесным и гусеничным транспортом; трасса проходит с правой стороны дороги, что создает удобства при выгрузке труб и способствует безаварийной работе автотранспорта.
Развертывание одной линии трубопровода производится в случаях, когда необходимо подать воду для тушения или локализации очага пожара, не представляющего опасности для объектов, а также, когда недостаточно сил и средств для развертывания большего числа трубопроводов [4].

Рисунок 2.4 - Пример схемы развертывания нескольких линий
трубопровода с разных направлений к очагу пожара
Р
азвертывание нескольких линий трубопровода с разных направлений или по одному магистральному направлению (рисунок 2.4) осуществляется в тех случаях, когда в ограниченные сроки требуется подать большое количество воды на тушение одного мощного очага пожара, представляющего опасность для соседних районов (объектов); в таких случаях трубопровод подводят к очагу с тех направлений, в сторону которых распространяется огонь. Благоприятным для этого метода является наличие вокруг очага нескольких источников воды [3].
Рисунок 2.5 - Пример схемы развертывания одной магистральной линии
трубопровода черта очаг пожара по мере подавления огня
Развертывание трубопровода через очаг пожара по мере подавления огня (рис. 2.5) рекомендуется в случаях, когда ширина очага пожара не более 800—1000 м. По центру очага пожара прокладывают магистральную линию трубопровода, к которой по достижении границы зоны горения присоединяют пожарные рукава со стволами. По мере необходимости трубопровод наращивается пожарными рукавами. При этом следует организовать наблюдение за рукавной линией из-за возможного воздействия на нее распространяющегося огня.
Технологическая схема развертывания трубопровода и рукавных линий такая, чтобы сводился к минимуму маневр трубопроводом и обеспечивался широкий маневр более подвижными рукавными линиями.
Развертывание нескольких отводов от магистральной линии трубопровода (рисунок 2.6) применяется при очаге пожара, имеющего большие размеры по фронту. В этом случае на границе очага пожара перпендикулярно к основной линии развертывают коллектор с тройниками, а от тройников в глубь очага прокладывают параллельные линии отводов трубопровода, на концы которых подсоединяют пожарные рукава со стволами.

Рис. 2.6 - Пример схемы развертывания нескольких отводов от
магистральной линии трубопровода через очаг пожара
Возможен и другой вариант этой схемы развертывания: в глубину очага пожара развертывают одну магистральную линию трубопровода, а через каждые 300 — 400 м перпендикулярно к ней на ширину очага последовательно развертывают коллекторы со смонтированными на них тройниками и переходниками для присоединения пожарных рукавов со стволами. Процесс наращивания линии трубопровода и развертывания коллекторов повторяется, пока не будет ликвидирован весь очаг пожара.
Развертывание нескольких магистральных линий трубопровода (рисунок 2.7) проводится для тушения мощного очага пожара. Одновременное развертывание нескольких магистральных линий трубопровода обеспечивает подачу большого количества воды.

Рисунок 2.7 - Пример схемы развертывания нескольких магистральных
линий трубопровода через очаг пожара
Развертывание нескольких линий трубопровода по направлению к центру очага пожара (рисунок 2.8) применяется, когда центр очага представляет большую опасность, и ранее очаг был окружен линией трубопровода. Процесс тушения пожара в этом случае происходит от периферии с постепенным продвижением к центру.
Трубопровод нецелесообразно использовать для локализации очага пожара, границы которого подвижны и имеют большую протяженность, а сам очаг представляет множество разбросанных далека друг от друга мелких очагов горения. В этих случаях более эффективно могут быть использована высокоподвижные средства тушения огня - пожарные машины, мотопомпы, авторазливочные станции и т. д.

Рисунок 2.8 - Пример схемы развертывания нескольких линий
трубопровода по направлению к центру очага пожара
При организации тушения крупного лесного пожара важно правильно выбрать рубеж, на котором необходимо остановить фронт продвижения огня. При решении этого вопроса необходимо определить скорость продвижения огня и возможности развертывания трубопровода. На выбранном рубеже развертывают трубопровод. В линию трубопровода через каждые 200—300 м монтируют тройники с задвижками и переходники для соединения пожарных рукавов со стволами. Это дает возможность остановить распространение огня путем подачи воды компактными или распыленными струями.
До подхода фронта огня к подготовленному рубежу подаваемую по трубопроводу воду используют для следующих целей: заполнения емкостей пожарных автоцистерн, авторазливочных станций, поливомоечных машин и другой техники, применяемой для борьбы с огнем на дальних подступах; создания запаса воды в сухих водоемах для последующего использования ее
пожарными мотопомпами и машинами; заполнения водой больших по площади, но неглубоких складок местности на пути распространения огня; смачивания водой почвы, крон деревьев, подлеска и травы.
При локализации крупных лесных верховых пожаров трубопровод развертываютпо заградительной полосе на стороне, удаленной от очага пожара [4].
2.4 Дотушивание пожара
После локализации пожара руководитель тушения лично осмотривает границы пройденной пожаром площади с тем, чтобы убедиться в надежности локализации. Особое внимание при осмотре уделено границе пожара с подветренной стороны, участкам, где локализация производилась устройством минерализованных полос.
Одновременно с осмотром границ пожара организовано дотушивание очагов горения, оставшихся на пройденной огнем площади. На сильно захламленных площадях целесообразно дать горючим материалам основательно выгореть, а затем приступать к дотушиванию.
Дотушивание проводят засыпкой очагов горения грунтом, заливанием их водой до полного прекращения горения. Горящие дуплистые пни, валежник, порубочные остатки (колодины) распиливают, тлеющие муравьиные кучи, пласты дернины, корневые лапы деревьев вскрывают, заливают или засыпают землей.
Дотушивание, в первую очередь, проводится по периметру пожара, постепенно удаляясь от периферии к центру. Первоочередное внимание уделяется подветренной части периметра, как наиболее опасной в отношении возобновления пожара [2].
2.5 Окарауливание пожара
Окарауливание пожаров состоит в непрерывном или периодическом осмотре пройденной пожаром площади и, в особенности, кромки, с целью предотвратить возобновление распространения пожара.
Окарауливание организуется еще в процессе остановки пожара, когда пожарные, по мере продвижения оставляют позади себя караульных, которые ликвидируют загорания и дотушивают очаги по периферии пожара.
Для каждого караульного отводят определенный участок кромки пожара, протяженность которого зависит от степени опасности возобновления горения (наличие мощного слоя подстилки, валежника, сильный ветер и т.д.). Протяженность участка вдоль минерализованной полосы, который может удержать от переброса огня один пожарный с лесным огнетушителем при разных классах пожарной опасности по условиям погоды и скорости ветра, приведена в таблице 2.4 [2].
Таблица 2.4 - Протяженность участка вдоль минерализованной полосы шириной 2...4 м, который может удержать от перебросов огня один
пожарный с лесным огнетушителем, м
| Класс пожарной опасности по условиям погоды | Скорость ветра, м/с | ||
| 0...6 | 6...12 | 12...18 | |
| I II III IV V | 400 300 150 100 100 | 300 200 100 50 30 | 200 100 50 25 20 |
Продолжительность окарауливания определяется в зависимости от условий погоды, оно может быть прекращено лишь по распоряжению лесничего или вышестоящего по должности работника лесхоза. После прекращения окарауливания периодический осмотр места пожара осуществляется наземными или авиационными средствами, вплоть до выпадения осадков в количестве не менее 3...5 мм [3].
2.6 Основные превентивные мероприятия, осуществляемые при крупномасштабных ландшафтных (лесных, степных) пожарахОсновные превентивные мероприятия осуществляются в трех режимах:
1. Режим повседневной деятельности;
2. Режим повышенной готовности;
3. Режим чрезвычайной ситуации;
К основным превентивным мероприятиям, осуществляемые при крупномасштабных ландшафтных (лесных, степных) пожарах относят:
1. Регламентация работы лесопожарных служб.Вычисление комплексного показателя пожарной опасности - режимы 1, 2 [13].
2. Ограничение посещения лесов в период засушливого лета.
Режимы 1, 2. Информирование населения. Установление контроля и режима. Привлечение милиции и органов ГИБДД. Просветительная работа с использованием средств массовой информации. Водится по решению местной администрации.
3. Соблюдение мер ПБ при лесоразработках и производстве других работ с применением технических средств
Режимы 1, 2. Осуществляется и контролируется лесхозами и на лесоохранительными органами. Сезонная просветительная работа с населением.
4. Обучение населения основным приемам тушения лесных пожаров
Режимы 1, 2. Преподавание в школах, использование средств массовой информации, выступления ответственных лиц и специалистов. Инструктаж служащих, участников культурно-массовых и других мероприятий перед выездом в лес о соблюдении требований пожарной безопасности в лесах и способах тушения лесных пожаров.
5. Контроль за подготовкой сил и средств, поддержание в готовности невоенизированных формирований для рабочих, борьбы с огнем
Режимы 1, 2. Создание, экипировка и оснащение, подготовка и аттестация профессиональных, нештатных и общественных аварийно-спасательных формирований (АСФ) на базе предприятий, ведомств, федеральных и территориальных органов. Поддержание в готовности аварийно-спасательных служб (АСС). Создание запасов материально-технических средств по профилю ЧС. Выделение материально-технических и финансовых ресурсов для ликвидации последствий ЧС. Планирование действий, отработка взаимодействия, проведение учений и тренировок.
6. Проверка и уточнение планов действий при пожарах
Режимы 1, 2. Планирование и корректировка планов в соответствии со складывающейся обстановкой. Использование данных мониторинга и прогнозирования. Проведение учений и тренировок. Отработка взаимодействия. Внедрение систем поддержки принятия решений на основе ПЭВМ. Подготовка руководящего состава к действиям при угрозе возникновения ЧС на основе современных методических и практических разработок.
7. Подготовка команд подрывников для локализации и тушения пожаров
Режимы 1, 2, 3. Создание специальных команд, обучение методике проведения взрывных работ. Сертификация формирований. Экипировка и оснащение команд. Согласование порядка применения взрывного способа ликвидации пожаров и порядка использования команд подрывников. Планирование доставки команд в места проведения взрывных работ. Проведение учений и тренировок.
8. Контроль за своевременной очисткой лесоразработок и лесов от заготовленной древесины, сучьев, щепы, от сухих деревьев и мусора
Режимы 1, 2. Очистка мест рубок от порубочных материалов одновременно с заготовкой древесины. Применение безогневых способов очистки лесосек от порубочных материалов. Сжигание порубочных остатков до начала пожароопасного сезона. Окаймление заготовленных штабелей лесопродукции минерализованными полосами шириной не менее 1,4 м. Складирование заготовленной древесины только на открытых местах. Разработка и утверждение для каждого участка лесного фонда противопожарных мероприятий.
9. Устройство заградительных минерализованных полос
Режимы 1, 2. Устройство минерализованных полос: вокруг мест хранения ГСМ - шириной не менее 1,4 м, вокруг мест сжигания мусора - 2 по 2,6 м с расстоянием между ними 5 м, вокруг мест складирования заготовленной древесины - 2 по 1,4 м с расстоянием между ними 5 - 10 м, ограждение производственных объектов лесного промысла - 2 по 1,4 м с разрывом 10 м , вокруг колодцев на трубопроводах - 2,5 м.
10. Подготовка к эвакуации населения из опасных зон
Режимы 1, 2, 3. Отработка планов проведения эвакуации. Определение мест размещения эвакуированного населения, порядка обеспечения его жизненно важных потребностей. Доведение до населения порядка действий и правил поведения в случае осуществления эвакуации. Установление порядка и норм обеспечения, определение источников финансирования эвакуационных мероприятий. Создание формирований транспортного и материального обеспечения. Проведение расчетов по определению потребности в транспортных средствах, ГСМ и ресурсах первоочередного жизнеобеспечения. Планомерное проведение эвакуации в случае возникновения реальной угрозы (по данным наблюдений и прогноза).
11. Контроль за направлением распространения крупномасштабных пожаров, оповещение и эвакуация населения в случаях реальной угрозы
Режимы 2, 3. Наблюдение и прогнозирование направления распространения пожара, замеры и определение задымленное и загазованности, оценка степени опасности для населения. Задействование систем оповещения при угрозе жизни и здоровью людей, организованный и
самостоятельный вывод (вывоз) населения из опасных зон. Информирование населения о правилах поведения.
В данном разделе приведены тактические приемы тушения различных видов лесных пожаров. Рассмотрены основные схемы развертываний магистральных трубопроводов для тушения лесных пожаров. Дальше рассматриваются исходные данные для проектирования ЧС, краткое описание рассматриваемой ЧС – лесного пожара.
4 ОРГАНИЗАЦИЯ УПРАВЛЕНИЯ ЛИКВИДАЦИЕЙ ЧРЕЗВЫЧАЙНОЙ СИТУАЦИИ – ЛЕСНОГО ПОЖАРА В ДЮРТЮЛИНСКОМ РАЙОНЕ РБ
Управление при ликвидации чрезвычайных ситуаций заключается в руководстве силами при проведении аварийно-спасательных и других неотложных работ. Главной целью управления является обеспечение эффективного использования сил и средств различного предназначения, в результате чего работы в зонах чрезвычайных ситуаций выполняются в полном объеме, в кратчайшие сроки, с минимальными потерями населения и материальных средств.
4.1 Общее руководство ликвидацией чрезвычайной ситуации
Общее руководство тушением лесных пожаров на территории лесхоза и ответственность за полноту и своевременность принимаемых мер к их ликвидации возложены на директора лесхоза. Координация всех мероприятий по борьбе с лесными пожарами в данном административном районе, когда на тушение его привлечено население, пожарная техника и транспортные средства предприятий, организаций и учреждений, осуществляется администрацией через лесхоз или создаваемой при администрации районной комиссией, а в республиках, краях, областях и автономных образованиях - соответственно республиканской, краевой или областной комиссией по предупреждению и ликвидации чрезвычайных ситуаций и обеспечения пожарной безопасности (далее КЧС БП). При данном лесном пожаре общее руководство ликвидацией ЧС будет осуществлять КЧС ПБ Дюртюлинского района. Схема управления на пожаре представлена на рисунке 4.1 [4].


![]()
Рисунок 4.1 - Схема управления на пожаре
Непосредственное руководство работами по тушению каждого лесного пожара в районах наземной охраны осуществляет начальник лесопожарной службы (или бригадир, если прибыла лишь одна бригада из состава лесопожарной службы). До прибытия этих сил руководство тушением осуществляется работником лесной охраны (лесником, участковым техником).
Прибывшее на пожар вышестоящее должностное лицо лесной охраны (лесничий, инженер по охране и защите леса и др.) при необходимости (в случае усложнившейся обстановки) принимает руководство тушением пожара на себя.
Директор лесхоза (а при отсутствии директора лицо, его замещающее) по получении сообщения о возникшем лесном пожаре немедленно устанавливает связь с находящимся на месте работником, руководящим тушением, выявляет достаточность принятых мер и, если пожар продолжает развиваться или принятые меры для его тушения недостаточны, организует отправку на пожар дополнительных сил и средств и при необходимости командирует для непосредственного руководства тушением пожара наиболее опытного инженерно-технического работника лесхоза.
Руководитель тушения пожара назначает помощников для разведки пожара, руководства отдельными отрядами (или группами), осуществляющими работы на отдельных участках.
Прибывшие на пожар команды или отдельные бригады пожарно-химических станций, или пожарного резерва лесхоза по возможности сохраняют свою организационную структуру. Рабочие, привлеченные из населенных пунктов, предприятий, организаций и учреждений, также сохраняют свое деление на отряды, команды и бригады, причем - по указанию руководителя тушения пожара эти подразделения могут укрупняться или разделяться на более мелкие.
Каждому отдельному отряду, команде, бригаде рабочих, привлеченных из населенных пунктов или отряду, команде, группе невоенизированных формирований гражданской обороны, либо воинскому подразделению, по прибытии их на место пожара, руководитель тушения ставит определенную задачу по локализации и тушению пожара и отводит часть кромки пожара. Начальники (командиры) всех названных выше подразделений поддерживают постоянную связь с руководителем тушения и выполняют его указания [16].
4.2 Руководство работами по тушению лесного пожара на территории лесхоза «Венеция»
Руководитель лесхоза, получает сообщение о пожаре, немедленно принимает меры к его тушению силами пожарных формирований лесхоза. Так как быстро потушить возникший пожар силами одной пожарно-химической станции невозможно, лесничий немедленно сообщает об этом руководителям лесхоза для направления на тушение дополнительных сил и средств. Имеющихся мобильных сил для быстрого тушения возникших пожаров недостаточно, руководитель лесхоза немедленно привлекает на тушение пожаров резервные команды, необходимую технику и средства транспорта с производства. Оперативный план резервных пунктов сил и средств смотреть в приложении З.
При направлении для тушения пожаров необходимых сил и средств руководитель лесхоза учитывает возможную силу и скорость распространения пожара.
Руководитель лесхоза или лесничий составляет прогноз поведения пожара с учетом возможного изменения обстановки и погоды. Причем расчет необходимых сил и средств пожаротушения производит применительно к возможной наиболее тяжелой ситуации в сложившихся условиях и с учетом поправочных коэффициентов на ведущие факторы, определяющие скорость распространения кромки пожара и трудность его тушения.
Привлеченные пожарная техника и средства транспорта, с обслуживающим их персоналом, прикрепляются соответствующим отрядам, командам или бригадам.
К каждому отдельному отряду, команде и бригаде на пункте сбора прикреплен назначенный лесхозом работник для сопровождения к месту пожара и помощи в руководстве работами по тушению пожара.
Решение о частичном тушении или прекращении тушения принимается на основе тщательного анализа пожарной обстановки по каждому конкретному пожару [1].
4.3 Решение председателя комиссии по чрезвычайным ситуациям и обеспечения пожарной безопасности на проведение работ по локализации и ликвидации лесного пожара Дюртюлинского района РБ
В 13 ч. 00 мин. 24 июля на лесной территории с хвойными насаждениями (сосна, средний диаметр древостоя – 30 см.) возник очаг устойчивого низового лесного пожара.
Пожар возник в результате несоблюдения правил пожарной безопасности. Свободное распространения огня составляет 3 часа. К времени обнаружения пожара 15 ч. 30 мин. площадь пожара составила 9,9 га. Возникает непосредственная угроза охвата огнем всей площади лесного массива и деревни Венеция, с численностью населения 720 человек, а также
сильное задымление населенных пунктов, удаленных от лесных массивов.
РЕШИЛ:
1.Локализацию и ликвидацию очагов пожара осуществить силами лесопожарной службы Дюртюлинского лесхоза. Основные усилия сосредоточить на спасении людей, выводе людей из зоны пожара.
К ликвидации очагов пожара приступить немедленно. Силами пожарных команд и резервных пожарных команд ликвидировать очаги пожара на закрепленных за ними боевых участках.
Личному составу пожарных команд и групп механизации использовать дополнительные средства защиты (противогазы ГП-5 с гопкалитовым патроном).
2.Руководителю тушения пожара, закрепить за личным составом боевые участки и установить график ведения работ – 1 смена, т. к. время локализации составляет около 4 ч. 38 мин.
Подготовить резерв сил и средств на случай прорыва огня через заградительные полосы и боевые участки.
3.Начальнику группы механизации к 17.00, 24.07.2006 г. локализовать пожар, путем прокладки заградительных и минерализованных полос.
4.Начальнику пожарно-технической станции к 17.20, 24.07.2006 г. организовать техническое обслуживание, и ремонт техники, в случае необходимости.
5. Начальнику тыла обеспечить участников тушения пожара, средствами индивидуальной защиты, питанием и предметами первой необходимости. К 17.30 ч., 24.07.2006 г. оборудовать места для приема пищи и места для отдыха. Организовать доставку необходимого количества горюче-смазочных материалов.
6. Начальнику медицинской службы к 16.30 ч., 24.07.2006 г. развернуть пункт оказания первой медицинской помощи, эвакуацию пострадавших осуществлять по мере необходимости с использованием машин скорой помощи городской сети.
7. Заместителю председателя КЧС ПБ, к 15.45 ч., 24.07.2006 г. организовать в порядке взаимодействия с администрацией Дюртюлинского района оцепление зоны пожара силами МВД и осуществить эвакуацию населения.
8. Начальнику отдела связи: к 15.45 ч., 24.07.2006 г. обеспечить устойчивую радиопроводную связь с местом ЧС, пунктами сбора пораженных, участками тушения пожара.
9. О ходе выполнения поставленных задач докладывать руководителю тушения пожара каждый час с момента возникновения лесного пожара, при необходимости немедленно.
Решение председателя комиссии по чрезвычайным ситуациям и обеспечения пожарной безопасности на проведение работ по локализации и ликвидации лесного пожара представлено в приложение И.4.4 Организация связи
При тушении пожара требуется четкое управление подразделениями, своевременная информация центрального пункта пожарной связи или пожарных частей об обстановке, организация взаимодействия подразделений. Основные задачи службы связи:
- организация и поддержание связи между оперативным штабом тушения пожара, боевыми участками и тылом, между участками тушения пожара, и другими службами;
- передача приказаний и распоряжений руководителя тушения пожара исполнителям, получении докладов об исполнении приказаний и иной информации в ходе ликвидации пожара.
Связь с пожарными командами или бригадами, работающими на тушении пожара, а также с работниками, осуществляющими наземное патрулирование (при наличии у них средств радиосвязи), поддерживается в течение всего периода работ по тушению пожаров или по патрулированию
лесов.
На рисунке 4.2 представлена схема связи на пожаре.
Основными техническими средствами связи являются телефонная проводная связь и радиосвязь.


1 - руководитель ликвидации ЧС; 2 - комиссия по КЧС ПБ; 3 - руководитель тушения пожара; 4 - оперативный штаб тушения пожара; 5 - начальник тыла; 6 - группа тыла; 7 - начальник боевого участка; 8 - автомобиль связи; 9 - центральный пункт пожарной части; 10 - инженерная техника; 11 - посты милиции.
Рисунок 4.2 - Общая схема связи на пожаре
С
вязь с пожарными командами или бригадами, работающими на тушении пожара, а также с работниками, осуществляющими наземное патрулирование (при наличии у них средств радиосвязи), поддерживается в течение всего периода работ по тушению пожаров или по патрулированию лесов. Основными техническими средствами связи являются телефонная проводная связь и радиосвязь представленными на рисунке 4.3.
РТП — руководитель тушения пожара; НШ — начальник штаба; ЗНШ — заместитель начальника штаба; НT — начальник тыла; КС — командир отделения связи; АСО — автомобиль связи и освещения; ЦППС — центральный пункт пожарной связи; НБУ — начальник боевого участка; НТ – начальник тыла; ГТ – группа тыла; ИТ – инженерная техника; ДПС – пост дорожно-патрульной службы.

Рисунок 4.3 - Схема организации радиосвязи при тушении пожара
Как правило, в любой чрезвычайной ситуации правильность принятия решений, минимизация потерь зависят от своевременного и оперативного получения необходимой информации и скоординированности действий. Рассмотренная система управления, связи и, имеющаяся в наличии необходимое оборудование и квалифицированные специалисты, создают предпосылки для успешного проведения работ по локализации и ликвидации любого лесного пожара [16].
5 ОБЕСПЕЧЕНИЕ БЕЗОПАСНОСТИ ПРИ ПРОВЕДЕНИИ АВАРИЙНО-СПАСАТЕЛЬНЫХ И ДРУГИХ НЕОТЛОЖНЫХ РАБОТ
Воздействие поражающих факторов лесного пожара (раздел 1), а также опасных и вредных факторов труда приводит к необходимости особое внимание уделять вопросам безопасности выполнения работ.
Безопасность в чрезвычайных ситуациях – это состояние защищённости населения, объектов экономики и окружающей природной среды от опасностей в чрезвычайных ситуациях.
Обеспечение безопасности в чрезвычайных ситуациях– принятие и соблюдение правовых норм, выполнение эколого-защитных, отраслевых или ведомственных требований и правил, а также проведение комплекса организационных, экономических, эколого-защитных, санитарно-гигиенических, санитарно-эпидемиологических и специальных мероприятий, направленных на обеспечение защиты населения, объектов экономики и иного назначения, окружающей природной среды от опасностей в чрезвычайных ситуациях.
Конституцией РФ установлена приоритетность задач спасения жизни и сохранения здоровья людей при возникновении чрезвычайных ситуаций и в процессе работ по ее ликвидации. В этом же заключается главный принцип деятельности аварийно-спасательных служб, аварийно-спасательных формирований и спасателей. При проведении спасательных работ возникает угроза жизни и здоровью спасателей, т.к. работа спасателей в зоне чрезвычайной ситуации связана с большой физической и психологической нагрузкой, воздействием неблагоприятных факторов внешней среды. Поэтому организация аварийно-спасательных и других неотложных работ в зоне ЧС предполагает наличие условий для обеспечения безопасности, как самих спасателей, так и других участников ликвидации лесного пожара [12].
5.1 Общие требования безопасностиЛесхоз, направляющий работников на тушение лесных пожаров:
- составляет списки работников, направляемых на тушение лесного пожара, прошедших обучение по этому виду работ, и назначает старших лесопожарных групп;
- обеспечивает работников исправной спецодеждой, спецобувью, исправным пожарным оборудованием и инвентарем, средствами индивидуальной защиты, индивидуальными медицинскими пакетами и аптечкой (на группу), запасом питания.
Привлеченные для борьбы с пожаром работники обеспечиваются питанием и питьевой водой непосредственно на месте работы. При отсутствии на месте работы водоисточников вода доставляется в закрытой посуде (баке, термосе, фляге и т.п.) из расчета 5-6 л на человека в смену.
К тушению лесных пожаров допущены мужчины в возрасте от 18 до 60 лет, не имеющие физических недостатков, предварительно прошедшие медицинский осмотр по месту своей работы и по состоянию здоровья признанные годными к выполнению этой работы.
Вся работа по тушению пожаров строиться на основе твердой дисциплины и единоначалия. Участник тушения выполняет команды (распоряжения) только непосредственного руководителя тушения (пожара).
Ответственность за соблюдение личным составом техники безопасности и создание безопасных условий работы на пожаре несут: руководитель тушения пожара, начальник оперативного штаба тушения пожара и начальник тыла, начальники боевых участков и лица начальствующего состава, обеспечивающие выполнение работ на порученном участке.
5.2 Меры безопасности при разведке пожараРазведка пожара ведется непрерывно с момента выезда подразделения на пожар и до его ликвидации. Целью разведки является сбор сведений о пожаре для оценки обстановки и принятия решения по организации боевых действий.
Для проведения разведки без применения изолирующих противогазов назначается группа разведки из двух человек, а при работе в изолирующих противогазах - не менее чем из трех [4].
Группа разведки в зависимости от объема и места работы обеспечивается средствами индивидуальной защиты органов дыхания (СИЗОД) приборы связи и освещения, спасания и самоспасания, а при необходимости и средства тушения. На период разведки руководитель тушения пожара (РТП) создает резерв из личного состава в СИЗОД для оказания помощи разведывательной группе.
При проведении разведки выставляются посты безопасности и контрольно-пропускные пункты, на которые возлагается:
-регистрация в специальном журнале время начала разведки, фамилия состава группы разведки и давление кислорода при включении в СИЗОД;
-поддержание связи с группой разведки, передача сообщений РТП или штабу;
-наблюдение за временем пребывания группы разведки в лесном массиве и информация об этой РТП и руководителя группы;
-восстановление нарушенной связи с группой разведки и своевременный вывод ее на чистый воздух или оказание медицинской помощи, если она требуется.
При работе в СИЗОД в загазованном объекте на большой площади посты безопасности и контрольно-пропускные пункты создаются на весь период тушения. На них возлагается проведение инструктажа с лицами, направляющимися на тушение пожара, по технике безопасности с учетом
поставленных задач.
Посты безопасности и контрольно-пропускные пункты размещаются в местах, где исключается возможность задымления. В случае, когда это невозможно, личный состав постов безопасности или контрольно-пропускных пунктов работает в СИЗОД. Контрольно-пропускные пункты при длительной работе обеспечивают пожарных автобусами для инструктажа и отдыха. Эти автобусы должны находиться недалеко от места пожара.
Во избежание несчастных случаев руководитель группы разведки перед ее началом опрашивает каждого из идущих о самочувствии, а после включения в СИЗОД, проверяет их работу давление кислорода в баллонах. Определить наименьшее давление, руководитель группы восстанавливает по нему время пребывания в задымленной зоне и объявляет составу группы и пожарным, выделенным на пост безопасности, задачу, порядок ее выполнения, срок пребывания в зоне и вид связи (условные сигналы) на время пребывания в разведке, указывает порядок движения состава группы, назначает замыкающих [5].
5.3 Меры безопасности при спасании людейСпасательные работы организуются и проводятся на пожаре в тех случаях, когда людям угрожают опасные факторы пожара (огонь, высокая температура, опасность падения деревьев, задымление или загазованность окружающей среды) или предусматривается применение опасных для здоровья и жизни людей огнетушащих веществ и составов.
При спасании людей на пожаре, когда пути спасания задымлены, либо состояние и возраст спасаемых вызывает сомнение в возможности самостоятельного выхода из угрожаемой зоны (дети, больные, престарелые), выводить людей следует только в сопровождении работников пожарной охраны.
Очень важно принять своевременные меры по предотвращению паники среди людей, находящихся в окружении огня или задымленной территории. Необходимо предотвратить панику, используя громкоговорящие установки и другие средства [2].
5.4 Меры безопасности при применении для тушения пожаров инженерной техникиДля локализации лесного применяется инженерная техника, в связи с этим предусмотрены следующие меры безопасности:
- перед началом работы проведена разведка проходимости грунтов с учетом особенностей используемых инженерных машин;
- вблизи очага пожара машины работают группами (не менее двух
машин) для обеспечения своевременного вывода неисправной техники в безопасное место;
- в каждой команде, работающей в лесу, выделяется наблюдатель за падающими деревьями и направлением распространения фронта огня; в случае опасности личный состав предупреждается установленными звуковыми сигналами;
- на случай тушения загоревшихся машин, команды укомплектовываются огнетушителями, так же используют минеральный грунт, воду и другие подручные средства;
- при загорании одежды личного состава огонь тушат водой или набрасывают на пострадавшего куртку, брезент и т. п. (для предотвращения доступа воздуха к огню);
- в процессе работы не допускается скопления на машине хвои, листьев, веток и других легковоспламеняющихся материалов;
- личный состав снабжен касками, противодымными масками, противогазами с гопкалитовыми патронами и респираторами;
- места отдыха и ночлега должны, расположены на расстоянии 150 м от границы локализованной части пожара и ограждены (окопаны) заградительными полосами шириной не менее 2 м.
- к работам не допущена инженерная техника с неисправным двигателем.
- вся техника проверена на предмет подтекания топлива и смазки;
- для заправки машин горюче-смазочными материалами отведена площадка на удалении от огня [5].
5.5 Меры безопасности при боевом развертыванииБоевое развертывание пожарных подразделений может проходить при различной обстановке, оно сопряжено с большими физическими нагрузками и опасностью получения травм при проявлении излишней торопливости в обращении с пожарно-техническим вооружением или при несоблюдении правил техники безопасности во время его доставки к месту пожара [4].
Пожарные автомобили устанавливают на безопасном расстоянии и, как правило, с наветренной от пожара стороны с целью уменьшения воздействия дыма, газов, искр и теплового излучения. Наиболее опасным является тепловое излучения. При лесных пожарах безопасное расстояние от 25 до 40 м. Если эти расстояния меньше указанных, то необходимо защищать автомобили от воздействия теплового излучения распыленными водяными струями.
Руководитель тушения пожара выбирает и указывает личному составу наиболее короткие, удобные и безопасные пути прокладки рукавных линий и переноски технического вооружения.
Воду в рукавную линию подают, когда ствольщик занял исходную
позицию, и она закреплена рукавными задержками.
Водители подают и прекращают подачу воды, повышают или понижают напор в рукавной линии только с разрешения РТП.
Места пересечения рукавных линий с дорогами, охраняются. Для защиты рукавных линий, проложенных через проезжую часть, используют рукавные мостки.
5.6 Меры безопасности при тушении пожара
При тушении пожара ствольщики подходят к нему как можно ближе. Поэтому почти на каждом пожаре они работают в зоне значительного теплового излучения, горячих газов и других продуктов горения, имеющих высокую температуру.
Воздействие теплового излучения зависит от интенсивности потока, величины облучаемой поверхности, длительности облучения, угла падения лучей, цвета одежды.
Высокая температура воздуха при облучении тела приводит к накоплению тепла в организме и перегреву. При этом резко ухудшается работа сердца, учащается дыхание, увеличивается потовыделение и происходит потеря нужных организму солей. В таких условиях ствольщик работает в индивидуальных средствах защиты от теплового излучения.
Наиболее надежным средством защиты является теплоотражательный костюм. Из других средств защиты от теплового излучения могут применяться: водяная завеса, ватная одежда с орошением ствольщика распыленной струей и т.д
При определении позиции стволов определяются рубежи отхода.
При сильном ветре работающие и особенно начальствующий состав следит за окружающей обстановкой, принимая своевременные меры не только по предупреждению возможности возникновения новых очагов пожара, но и по защите работающих от окружения огнем и падающих деревьев, в некоторых случаях необходимо своевременно оказывать помощь в случае угрозы жизни соседним подразделениям, отрезанным огнем, и принять меры по защите путей отхода [13].
При лесных пожарах большую опасность представляет неожиданное изменение направления ветра, увеличение скорости распространения огня, переброска искр через участки, где работают люди, и образование в тылу новых очагов горения, в результате чего люди могут потерять ориентиры и оказаться окруженными огнем. Поэтому всему личному составу заранее указываются водоисточники, валовые, и другие каналы, где люди могут найти укрытие от надвигающегося огня. В качестве ориентировки используются рукавные линии.
При угрозе появления сильных конвекционных потоков и при сильном ветре создаются запасные позиции для личного состава.
На заключительном этапе тушения пожара работы упрощаются.
Поэтому внимание работающих к соблюдению правил техники безопасности в этот период ослабевает. Чтобы избежать несчастных случаев на этом этапе тушения пожара, РТП усиливает надзор за работающими и требует от начальствующего состава повышения контроля за безопасным ведением работ.
Перед отъездом в часть проверяется пожарный инвентарь, укладывается на автомобили и закрепляется на отведенном месте.
Проявляя заботу о подчиненных, о сохранении их здоровья и жизни, каждый начальник предъявляет высокую требовательность в строгом соблюдении ими правил техники безопасности на всех этапах боевой работы по тушению пожаров [12].
В данном разделе рассмотрены вопросы обеспечения безопасности на всех этапах работ: разведка, поисково-спасательные работы, боевое развертывание и непосредственно само тушение.
ВЫВОДЫ
В данной курсовой работе на примере чрезвычайной ситуации, сложившейся в результате пожара в лесном массиве Дюртюлинского района Республики Башкортостан, рассмотрен ситуационный план сложившейся обстановки, причины и особенности возникновения и развития лесного пожара. В результате возгорания 9,9 га хвойного леса может возникнуть угроза для жителей населенного пункта Венеция в составе 720 человек, территория которого находится в лесном массиве в зоне воздействия поражающих факторов лесного пожара.
В курсовой работе было введено понятие лесного пожара, описаны основные поражающие факторы лесного пожара, дана классификация лесных пожаров, приведены тактические приемы тушения различных видов лесных пожаров, рассмотрены основные схемы развертываний магистральных трубопроводов для тушения лесных пожаров.
С учетом исходных данных проектирования ЧС, с осуществленным прогнозом и оценкой пожарной обстановки в лесу, а также прогнозированием последствий лесного пожара на территории лесхоза «Венеция» в работе были спланированы действия лесопожарной службы по локализации и ликвидации лесного пожара, и произведены необходимые расчеты, такие как:
- требуемый расход воды на непосредственное тушение пожара Qтр = 711л/сек;
- требуемое количество стволов на непосредственное тушение пожар Nст = 102шт.;
- требуемое количество пожарных автомобилей на непосредственное тушение пожара Nа(ПНС-110) = 7шт., Nа(АЦ-7-40) = 18шт., Nа(АР-2) = 3шт.,;
- требуемое количество личного состава на непосредственное тушение пожара
.
А также произведен расчет на общую продолжительность локализации пожара при двустороннем распространении огня, что составляет
.
Определены потребные силы и средства, необходимые для ликвидация чрезвычайной ситуации, ведения аварийно-спасательных и других неотложных работ.
Также сопоставлены необходимые и имеющиеся в лесхозе силы и средства для ликвидации чрезвычайной ситуации. Анализ показал, что в случае возникновения лесного пожара необходимо применение современных средств пожаротушения, для эффективной ликвидации лесного пожара в кратчайшие сроки и с минимальными затратами.
А для эффективного использования сил и средств и выполнения спланированных действий в полном объеме, в кратчайшие сроки, с минимальными потерями населения и материальных средств, введено четкое руководство и управление.
В работе разработано решение руководителя ликвидации чрезвычайной ситуации. К решению прилагается схема-план ведения аварийно-спасательных работ.
Как правило, в любой чрезвычайной ситуации правильность принятия решений, минимизация потерь зависят от своевременного и оперативного получения необходимой информации и скоординированности действий, была рассмотрена система управления, связи и, имеющаяся в наличии необходимое оборудование и квалифицированные специалисты, которые создают предпосылки для успешного проведения работ по локализации и ликвидации любого лесного пожара.
На управление так же возлагается ответственность за создание безопасных условий работы участникам тушения пожара и обеспечение безопасности пострадавшего населения и участников тушения пожара на всех этапах работ: разведка, поисково-спасательные работы, боевое развертывание и непосредственно само тушение.
Таким образом, цель, поставленная перед курсовой работой, путем решения соответствующих задач выполнена.
ВВЕДЕНИЕ
К числу природных стихийных бедствий, связанных с антропогенной деятельностью человека относятся лесные пожары, которые представляют серьезную опасность распространения и воздействия на население на данной территории. Лесные пожары усугубляются недостаточно налаженной службой наблюдения за состоянием леса и несвоевременным оповещением соответствующих органов о появлении в лесу отдельных очагов огня, а также необъективной оценкой обстановки и т. д. Все это приводит к превращению отдельных очагов пожаров в массовые, которые становятся стихийным бедствием.
Лесными пожарами на территории страны ежегодно охватывается до 2—5 млн.га лесной площади, а также до одного миллиона лесных молодняков и так называемой нелесной площади (болот, оленьих и других отгонных пастбищ, сенокосов, кустарниковых зарослей и других). Ущерб от этих пожаров ежегодно составляет несколько млрд. рублей.
Лесные пожары вызываются различными причинами. До 80% пожаров
возникает из-за нарушения населением мер пожарной безопасности при
обращении с огнем в местах труда и отдыха, а также в результате
использования в лесу неисправной техники. Леса загораются от молний во
время грозы, особенно часто они горят при неблагоприятных
метеорологических условиях (высокая температура воздуха, длительное
отсутствие дождей).
Актуальность темы заключается в том, что опасность лесных пожаров для населения проявляется в угрозе непосредственного воздействия на людей, их имущество, в уничтожении лесных массивов, примыкающих к населенным пунктам, и предприятиям, а также в задымлении значительных территорий, что приводит к ухудшению состояния здоровья людей, нарушению движения автомобильного и железнодорожного транспорта.
Практически во всех районах республики имеются лесные участки и массивы, где существует высокая пожарная опасность. Пожароопасный сезон в Республике Башкортостан наблюдается с середины апреля по октябрь. Наибольшее число пожаров можно ожидать в мае, после схода снега при сухой погоде, когда новый травяной покров еще не образовался. Наибольшую опасность с точки зрения возникновения лесных пожаров представляют леса с преобладанием сосновых пород.
Наиболее горимые леса расположены в Абзелиловском, Баймакском, Белорецком, Бурзянском, Зилаирском, Туймазинском, Дюртюлинском, Краснокамском, Кугарчинском и Учалинском, Буздякском, Ишимбайском районах.
Объект исследования в курсовой работе является лесной массив Дюртюлинского района РБ.
Целью курсовой работы является разработка тактических действий руководителя ликвидации чрезвычайной ситуации при лесном пожаре в Дюртюлинском районе РБ.
Основными аспектами в области предупреждения и ликвидации чрезвычайных ситуаций являются:
- экономические аспекты проявляются как угроза уничтожения примыкающих к лесным массивам поселков и предприятий, в задымлении значительных территорий, что приводит к нарушениям движения автомобильного и железнодорожного транспорта, прекращению речного
судоходства и уничтожение материально-ресурсной базы для предприятий деревообрабатывающей промышленности.
- экологические аспекты. Основной формой воздействия лесных пожаров на среду обитания является химическое загрязнение атмосферы, почвы, гидросферы продуктами горения и в ряде случаев самими горючими материалами, если они являются токсичными.
- социально-политические аспекты. Опасность лесных пожаров для населения проявляется в угрозе непосредственного воздействия на людей, их имущество, в ухудшение состояния здоровья людей, так же лес является достоянием Российской Федерации. При возникновении пожара население временно лишается иллюзии обеспечения собственной безопасности, что может привести к паническому состоянию.
1 ЛИТЕРАТУРНЫЙ ОБЗОР С переходом к рыночной экономике состояние лесного хозяйства в нашей стране значительно ухудшилось. Этому способствовали несанкционированная вырубка леса в крупных размерах, отсутствие должного контроля за состоянием лесных массивов, нехватка современной техники. Эти обстоятельства, а также наличие в лесу большого количества горючих материалов способствует возникновению пожаров.
Лесные пожары уничтожают деревья и кустарники, заготовленную в
лесу продукцию, строения и сооружения. Ослабленные пожарами насаждения становятся очагами вредных заболеваний, что приводит к гибели не только пораженных огнем, но и соседних с ними посадок. В результате пожаров снижаются защитные, водоохранные и другие полезные свойства леса, уничтожается ценная фауна, нарушается плановое ведение лесного хозяйства и использование лесных ресурсов [15].
Вред от лесных пожаров — не ограничивается погибшими или поврежденными огнем деревьями. При пожаре уничтожается естественное возобновление леса. В ослабленных огнем насаждениях развиваются очаги вредных лесных насекомых — короедов и усачей. Поврежденные огнем деревья подвержены грибным заболеваниям. Пожары в древостоях с поверхностной корневой системой нарушают связь корней с почвой, деревья вываливаются, образуются прогалины.
В результате гибели древостоев, испаряющих воду из нижних слоев почвы, поднимается уровень грунтовых вод и на месте древостоев образуются болота [6].
Лесные пожары усугубляются недостаточно налаженной службой наблюдения за состоянием леса и несвоевременным оповещением соответствующих органов о появлении в лесу отдельных очагов огня, а также необъективной оценкой обстановки и т. д. Все это обычно приводит к превращению отдельных очагов пожаров в массовые, которые становятся стихийным бедствием [8].
В данном разделе рассмотрено явление пожара и процесса горения, представлены характеристика, классификация и виды крупномасштабных пожаров, основные понятия теории лесных пожаров, проведен анализ горимости лесов России. Эта информация необходима для общего понятия о данном виде чрезвычайной ситуации (ЧС). Так же отражены основные понятия, термины и определения.
1.1 Основные понятия, термины и определения
Чрезвычайная ситуация (ЧС) - обстановка на определенной территории, сложившаяся в результате аварии, опасного природного явления, катастрофы, стихийного или иного бедствия, которые могут повлечь или повлекли за собой человеческие жертвы, ущерб здоровью людей или окружающей природной среде, значительные материальные потери и нарушения условий жизнедеятельности людей.
П р и м е ч а н и е. Различают чрезвычайные ситуации по характеру источника (природные, техногенные, биолого-социальные и военные) и по масштабам (локальные, муниципальные, межмуниципальные, региональные, межрегиональные, федеральные).
Зона чрезвычайной ситуации (зона ЧС) – территория или акватория, на которой в результате возникновения источника чрезвычайной ситуации или распространения его последствий из других районов возникла чрезвычайная ситуация.
Зона бедствия – часть зоны чрезвычайной ситуации, требующая дополнительной и немедленно предоставляемой помощи и материальных ресурсов для ликвидации чрезвычайной ситуации.
Пострадавшее население – часть населения, оказавшегося в зоне ЧС, перенесшая воздействие поражающих факторов источника чрезвычайной ситуации, приведших к гибели, ранениям, травмам, нарушению здоровья, понесшая материальный и моральный ущерб [6].
Российская система по чрезвычайным ситуациям (РСЧС) – Единая государственная система предупреждения и ликвидации чрезвычайных ситуаций.
Эвакуация населения - комплекс мероприятий по организованному выводу и (или) вывозу населения из зон чрезвычайной ситуации или вероятной чрезвычайной ситуации, а также жизнеобеспечение эвакуированных в районе размещения.
Лесной пожар - стихийное (неуправляемое) распространение огня в лесу (на покрытых и не покрытых площадях, землях лесного фонда).
Зона пожаров - территория, в пределах которой в результате стихийных бедствий, аварий или катастроф, неосторожных действий людей возникли и распространились пожары.
Фронт лесного пожара - часть кромки лесного пожара, распространяющаяся с наибольшей скоростью.
Тыл пожара - часть кромки пожара, наиболее медленно распространяющаяся в сторону, противоположную движению фронта.
Фланги пожара - части движущейся кромки между фронтом и тылом пожара.
Контур лесного пожара - внешняя граница лесной площади, пройденная огнем.
Площадь лесного пожара - площадь в пределах контура лесного пожара, на которой имеются признаки воздействия огня на растительность.
Кромка лесного пожара - полоса горения по контуру лесного пожара.
Пожарная опасность в лесу - возможность возникновения и (или) развития лесного пожара.
Класс пожарной опасности лесных участков - оценка степени пожарной опасности лесных участков по условиям возникновения в них пожаров [17].
Техническое обеспечение организуется и осуществляется в целях полного и своевременного выполнения мероприятий по поддержанию в исправном и работоспособном состоянии всех видов техники и военно-технического имущества. Своевременное восстановление их при выходе из строя в ходе ведения работ.
Материальное обеспечение организуется и осуществляется в целях своевременного и полного удовлетворения потребности подразделений в технике, инструменте, горюче-смазочных материалах, продовольствии, медицинском, вещевом, инженерно-техническом имуществе, воде, других материалах, необходимых для выполнения аварийно-спасательных и других неотложных работ, а также жизнеобеспечения личного состава формирований, участвующих в этих работах.
Выжигание - применение управляемого огня в лесохозяйственных целях
Отжиг - выжигание напочвенных горючих материалов перед кромкой лесного пожара [5].
Крупный лесной пожар - лесной пожар, распространившийся на площадь более 25 га в районах наземной охраны лесов и более 200 га в районах авиационной охраны лесов от пожаров
Горение - это сложный физико-химический процесс, основой которого является быстро протекающая химическая реакция окисления, сопровождающаяся выделением значительного количества тепла и обычно ярким свечением (пламенем).
Пожар – это неконтролируемое горение вне специального очага, наносящее материальный ущерб.
Зоной горения называется часть пространства, в которой происходит подготовка горючих веществ к горению (подогрев, испарение, разложение) и их горение.
Зоной теплового воздействия называется часть пространства, примыкающая к зоне горения, в которой тепловое воздействие пламени приводит к заметному изменению состояния окружающих материалов и конструкций и делает невозможным пребывание в ней людей без средств специальной защиты.
Зоной задымления называется часть пространства, в которой от дыма создается угроза жизни и здоровью людей.
1.2 Анализ причин возникновения лесных пожаров. Крупнейшие лесные пожары и их развитиеЛесной пожар - неуправляемое (стихийное) горение, распространяющееся по лесной площади.
Основными причинами возникновения лесного пожаров является деятельность человека, грозовые разряды, самовозгорания торфяной крошки и сельскохозяйственные палы в условиях жаркой погоды или в, так называемый, пожароопасный сезон (период с момента таяния снегового покрова в лесу до появления полного зеленого покрова или наступления устойчивой дождливой осенней погоды).
Лесные пожары уничтожают деревья и кустарники, заготовленную в лесу древесину. В результате пожаров снижаются защитные, водоохранные и другие полезные свойства леса, уничтожается фауна, сооружения, а в отдельных случаях и населенные пункты. Кроме того, лесной пожар представляет серьезную опасность для людей и сельскохозяйственных животных.
Лесные пожары распространяются в результате горения лесных горючих материалов (ЛГМ). Лесными горючими материалами называются природные углеводородные топлива, к которым относятся тонкие веточки, хвоинки или листья в кронах деревьев и опавшие на землю, а также напочвенный покров (трава, кустарники, мох, лишайник), болотные растения и торф.
В результате горения лесных горючих материалов образуются конечные продукты горения — зола и недожог — совокупность недогоревших лесных горючих материалов, которые имеют черно-бурый цвет и обогащены углеродом. Над очагом лесного пожара возникает конвективная колонка — струя нагретых продуктов полного и неполного сгорания ЛГМ (частицы сажи и золы в виде дыма). Высота конвективной колонки тем больше, чем большее количество тепла выделяется при горении [9].
Лесной пожар явление неуправляемого многостадийного горения в открытом пространстве на покрытой лесом площади, в рамках которого имеют место взаимосвязанные процессы конвективного и радиационного переноса энергии, нагревания, сушки и пиролиза лесных горючих материалов, а также горение газообразных и догорание конденсированных продуктов пиролиза ЛГМ.
Ежегодно в мире возникает более 200·103 лесных пожаров, которые выбрасывают в атмосферу миллионы тонн продуктов сгорания.
Опыт показывает, что на пожарную обстановку в лесах серьезное влияние оказывают следующие факторы:
состояние погоды (атмосферные осадки, температура воздуха, его влажность, а также сила ветра и его направление);
структура и состав леса;
особенности рельефа.
Известны случаи катастрофических лесных пожаров:
1972 г. Европейская территория России. В течение летних месяцев горели леса и торфяники на площади более 100·103 квадратных километров. Смог накрыл Москву.
1976 г. Сильные лесные пожары в Германии, Италии, Голландии, Бельгии, Англии и Франции. Во Франции огнем пройдено более 50·103 га.
2000 г. Лесной пожар в окрестностях Лос Аламосского ядерного центра США. Леса выгорели на площади 20·103 га. В Лос Аламосе сгорело 500 домов, городские власти эвакуировали из зоны пожара 30·103 жителей. Убытки от пожара превысили 1 млн. долл., существовала реальная опасность радиоактивного загрязнения территории.
2002 г. Массовые лесные и торфяные пожары в центрально-европейской части России в течение всего лета. Произошло сильное задымление Москвы, Санкт-Петербурга, Ярославля, Костромы и других городов.
2005 г. Лесной пожар в национальном парке "Торрес дель Пайне" (Torres del Paine) на крайнем юге Чили. Пожаром было пройдено 1200 га или 5% всей площади национального парка.
2007 г. На территории Ялтинского горно-лесного заповедника неподалеку от горы Ай-Петри вспыхнул пожар около 300 гектаров [13].
Анализ данных по лесным пожарам за несколько лет по лесхозам государственной лесной службы Республики Башкортостан, показывает:
- основная часть лесных пожаров, приходится на низовые пожары;
- площадь лесных пожаров после ликвидации достигает 25 га;
- время ликвидации лесных пожаров составляет от 2-х до 7 суток;
- время локализации лесных пожаров составляет от нескольких часов до 4 суток] [3].
В связи с этим главным направлением в борьбе с лесными пожарами является предупреждение их возникновения, а так же минимизация времени от момента возникновения пожара до его обнаружения и начала работ по тушению пожара. Для успешного прогнозирования необходимо знать условия развития лесных пожаров.
1.3 Лесные пожары, как разновидность ландшафтных пожаров. Виды лесных пожаров и их распространениеЛандшафтный пожар - пожар на открытой местности, распространяющийся стихийно [7].
Классификация ландшафтных пожаров представлена на рисунке 1.1.
Из всего многообразия пожаров, вызванных антропогенной деятельностью человека, так и в связи с последствиями стихийных бедствий, значительную опасность представляют лесные пожары, требующие
дополнительного углубленного рассмотрения.
Низовым называется лесной пожар, распространяющийся по напочвенному покрову и охватывающий нижние части стволов деревьев и выступающие на поверхность почвы корни.
Низовые пожары подразделяются на беглые и устойчивые. При низовом беглом пожаре сгорает живой и мертвый надпочвенный покров, самосев леса, опавшие листья и хвоя, обгорают кора нижней части деревьев и обнаженные корни, хвойный подрост и подлесок. Такой пожар распространяется с большой скоростью, обходя места с повышенной влажностью покрова, поэтому часть площади остается незатронутой огнем.
Беглые пожары в основном происходят весной, когда просыхает лишь самый верхний слой мелких горючих материалов [7].
При низовом устойчивом пожаре огонь «заглубляется», прогорает подстилка, сильно обгорают корни и кора деревьев, полностью сгорает подрост и подлесок. Устойчивые пожары развиваются, обычно начиная с середины лета, когда просыхает подстилка.
При подземных пожарах горит торф, залегающий под лесными массивами. Торф сгорает или частично, до влажных слоев, в которых горение продолжаться не может, или полностью, на всю глубину до минерального слоя почвы. При этом обнажаются и обгорают корни деревьев. Возникновение и распространение подземных пожаров обычно связано с низовыми лесными пожарами, при которых огонь (отдельными очагами) заглубляется в слой торфа на наиболее подсохших участках, чаще всего у стволов деревьев, а затем постепенно распространяется в стороны.
Подземные пожары начинаются в основном во второй половине лета, их число возрастает в засушливые годы, когда достаточно просыхают торфяные слои, расположенные под лесом [5].
Верховые пожары характеризуются распространением огня по напочвенному покрову и по кронам деревьев, при этом сгорают хвоя, листья, мелкие, а иногда и крупные ветви. Переход низового пожара на полог древостоя происходит в насаждениях с низкоопущенными кронами, в разновозрастных насаждениях, а также при обильном хвойном подросте. Чаще всего верховые пожары возникают в горных лесах при распространении огня вверх по крутым склонам. В значительной мере их возникновению способствует сильный ветер.

Рисунок 1.1 - Классификация ландшафтных пожаров
Различают верховой устойчивый и верховой беглый пожары. При верховом устойчивом пожаре огонь распространяется по кронам по мере продвижения кромки низового пожара. При этом сгорают подстилка, напочвенный покров, валежник и сухостой, подрост и подлесок, ветви и даже крупные сучья, сильно обгорают стволы деревьев. Такой, пожар называют также повальным - после него остаются лишь обугленные остатки стволов.
При верховом беглом пожаре, который начинается только при сильном ветре, огонь продвигается обычно по пологу «скачками», иногда значительно опережая фронт низового пожара. Такое распространение огня объясняется тем, что тепло от горящих крон, поднимаясь наклонно по ветру, лишь частично попадает на соседние кроны и тепла оказывается недостаточно для подогрева и подготовки их к воспламенению. Подогрев полога происходит в основном за счет тепла от низового пожара. Под действием ветра это тепло сначала подогревает кроны впереди растущих деревьев, а затем с приближением основного очага эти кроны вспыхивают.
При продвижении огня по кронам ветер разносит искры, горящие ветви и хвою, которые создают новые очаги низовых пожаров за несколько десятков, а иногда и сотен метров впереди основного очага. Во время скачка пламя разносится по кронам со скоростью 15 - 20 км/ч [4].
Лесной пожар, охвативший большую площадь, чаще всего сочетает в себе элементы низового, беглого и других видов пожаров. При этом часть территории может быть не подвержена огню - пожар обходит участки, где нет горючих материалов или где такие материалы не способны гореть в данных условиях. Нередко кромка пожара разбивается на участки, которые можно принять за отдельные самостоятельные очаги.
Пламя распространяется с разной скоростью и неоднократно меняет направление в зависимости от изменения направления ветра и наличия горючих материалов. Конфигурация кромки пожара сложная и неопределенная, в результате чего трудно выделить основные элементы пожара - фронт, тыл и фланги [5].
Основные характеристики пожаров представлены в таблице 1.1 [7].
Таблица 1.1 - Характеристика пожаров
| Параметры пожара | Значения показателей силы пожара | ||
| слабого | среднего | сильного | |
| Низовой пожар | |||
| Скорость распространения огня, м/мин | До 1 | 1-3 | Более 3 |
| Высота пламени, м | До 0,5 | 0,5 - 1,5 | Более 1,5 |
| Верховой пожар | |||
| Скорость распространения огня, м/мин | До 3 | 3-100 | Более 100 |
| Подземный пожар | |||
| Глубина прогорания, см | До 25 | 25-30 | Более 50 |
К наиболее пожароопасным лесным насаждениям относятся: сосновые и лиственные леса, кедровые леса, лишайники, брусничники. В период, во время которого на деревьях зеленая листва, она является преградой для распространения верховых пожаров хвойных пород древостоя [8].
Лесные пожары распространяются в результате горения лесных горючих материалов (ЛГМ). Лесными горючими материалами называются природные углеводородные топлива, к которым относятся тонкие веточки, хвоинки или листья в кронах деревьев и опавшие на землю, а также напочвенный покров (трава, кустарники, мох, лишайник), болотные растения и торф.
В результате горения лесных горючих материалов образуются конечные продукты горения — зола и недожог — совокупность недогоревших лесных горючих материалов, которые имеют черно-бурый цвет и обогащены углеродом. Над очагом лесного пожара возникает конвективная колонка — струя нагретых продуктов полного и неполного сгорания ЛГМ (частицы сажи и золы в виде дыма).
1.4 Основные поражающие факторы пожаров и защитные мероприятия при крупномасштабных лесных пожарах
При пожарах на население и участников тушения пожара, находящихся на открытом воздухе, в сооружениях и в кабинах техники, будут действовать поражающие факторы пожара отображеные на рисунке 1.2. На людей, находящихся в зоне пожара, могут действовать одновременно несколько факторов.
Действие тепловых поражающих факторов пожара относительно быстротечно (период активного горения) и имеет ограниченный радиус (до нескольких десятков метров), а сформировавшиеся при пожарах зоны загазованности могут охватывать территории большой площади и сохраняться, в силу определенных погодных условий, длительное время (до нескольких суток) [4].

Рисунок 1.2 - Основные поражающие факторы пожаров
Комплексное воздействие опасных факторов пожара на людей диктует малые значения допустимого времени пребывания в зоне пожара, требует его экстренной локализации и тушения. Опасность для человека высоких температур и концентраций вредных веществ, зависит от продолжительности их воздействия. Опасные для человека температуры и продукты горения представлены в таблице 1.2.
Таблица 1.2 - Опасные для человека температуры и продукты горения
| Показатель | Опасные продукты и продукты горения при продолжительности горения | |||
| 5-10 мин. | 30 мин. | 1-2 часа | 8 часов | |
| Температура окружающей среды, 0С | 140 | 100 | 65,6 | 48.5 |
| Содержание кислорода, % | 6 | 11 | 14 | 15 |
| Содержание токсичных продуктов горения, %: CO2 | 0,5 | 0,4 | 0,35 | 0,32 |
| CO | 0,03 | 0,016 | 0,008 | 0,0001 |
| SO2 | 0,004 | 0,0015 | 0,0005 | 0,00008 |
| NO2 | 0,0024 | 0,001 | 0,0005 | 0,0003 |
| HCN (цианистый водород) | 0,0021 | 0,001 | 0,0005 | 0,0002 |
Превышение времени нахождения людей в зоне чрезвычайной ситуации и превышение указанных параметров (см. таблицу 1.2), ведет к смертельному исходу [6].
Для защиты населения в случае возникновения и развития крупномасштабного и распространяющегося пожара проводятся следующие основные мероприятия:
- пешая, а также с использованием личного и общественного транспорта самостоятельная эвакуация из опасной зоны (Самостоятельный выход населения из опасной зоны);
- проведение в очагах пожаров спасательных и других неотложных работ;
- эвакуация населения транспортом (Организованный вывоз) в безопасные районы;
- укрытие населения в защитных сооружениях, если пожары возникают в лесных массивах, расположенных вблизи мест разработок и населенных пунктов.
Когда возникает непосредственная угроза воздействия поражающих факторов, люди спасаются самостоятельно. В этом случае важно своевременно предупредить население о приближающемся фронте пожара или о вероятном высоком уровне загазованности.
Для выезда из опасной зоны используется личный и общественный транспорт.
1.5 Развитие лесных пожаров
Наиболее часто пожары возникают в лесных массивах, расположенных
вблизи мест разработок и населенных пунктов, у железных и шоссейных дорог, по берегам озер и рек.
Сценарий развития лесных пожаров представлен на рисунке 1.3.
Предпосылками чрезвычайной лесопожарной ситуации являются:
- малоснежная зима, длительный бездождевой период (15—20 дней) с высокой (выше средней многолетней) среднесуточной температурой воздуха и малой относительной влажностью в начале пожароопасного сезона, атмосферная засуха в любое время пожароопасного сезона;
- наличие в лесном фонде бесконтрольных антропогенных источников огня и/или частые грозовые разряды при высокой степени пожарной опасности в лесу по условиям погоды.
При низовых пожарах горят напочвенный покров, лесная подстилка, подлесок и подрост, всевозможный хлам и мусор. Пламя имеет высоту 0,5 — 1 м и более. Температура при горении живого растительного покрова достигает 400 °С, а при горении сучьев и прочих древесных остатков — до 900 °С.
Линейная скорость распространения огня зависит от типа леса, влажности горючего материала и воздуха, рельефа местности, скорости ветра и захламленности площади.

Рисунок 1.3 – Общий сценарий развития лесных пожаров
Например, в сухих сосняках (лишайниковых и вересковых) при слабом и умеренном ветре в дневные часы скорость достигала 1100 м/ч, в других сосняках, менее сухих (зеленомошниках, долгомошниках)—280— 850 м/ч, а в сосняках на торфяниках—160 м/ч.
При верховом пожаре горит вся растительность, лесная подстилка, подрост, древостой (кроны и стволы), огонь распространяется со скоростью до 2500 м/ч, а при сильном ветре — до 5 000 м/ч.
Эти пожары возникают из низовых, как дальнейшая стадия их развития, причем низовой пожар является составной частью верхового.
Типовой сценарий развития лесного пожара включает в себя следующие стадии:
- отклонение метеорологических условий от среднестатистических
в направлении увеличения количества суток без осадков, уменьшения влажности воздуха, усиление ветра до 8-30 м/с;
- воспламенение (самовоспламенение) лесных горючих материалов;
- развитие лесных пожаров до крупных (распространение и слияние многочисленных очагов пожаров в обширную зону);
- догорание лесного массива при удалении фронта пожара, сопровождающееся сильным задымлением и загазованностью;
- тушение пожара силами пожарной охраны или естественными
осадками.
С учетом особенностей данного лесного участка составлен сценарий развития лесного пожара и приведен на рис. 1.4.

Рисунок 1.4 - Сценарий развития лесного пожара в Дюртюлинском районе РБ
В данном разделе, проанализированы причины возникновения и развития лесных пожаров, введено понятие лесного пожара, описаны основные поражающие факторы лесного пожара, дана классификация лесных пожаров. Дальше рассматриваются основные тактические приемы тушения лесных пожаров.