| Скачать .docx |
Курсовая работа: Расчет параметров поражающих факторов в условиях чрезвычайных ситуаций
Комитет Российской Федерации по рыболовству Мурманский государственный технический университет
Курсовая работа
на тему: "Расчет параметров поражающих факторов в условиях чрезвычайных ситуаций"
по дисциплине "Безопасность жизнедеятельности"
Выполнила: Алёшина Д.
Студентка группы: ТВ 4
Подпись:
Дата сдачи:
Проверил:
Подпись:
Дата проверки:
Оценка:_____
Мурманск
2009
Задание
Раздел I . Оценка поражающих факторов ядерного взрыва. По исходным данным (табл. 1.21) определить:
1.1 Расстояния от центра взрыва, на которых открыто находящийся человек может получить легкую, средней тяжести, тяжелую степень поражения от действия воздушной ударной волны.
1.2 Зону поражения людей световым импульсом.
1.3 Расстояния, на которых открыто находящийся человек может получить ожоги 1,2, или 3-й степени.
1.4 Зону поражения проникающей радиацией.
1.5 Расстояние, на котором открыто находящийся человек получит дозу облучения, вызывающую лучевую болезнь 2-й степени.
1.6 Зону радиоактивного заражения местности.
1.7 Действие поражающих факторов на объекты, находящиеся на расстоянии R: (табл. 1.5).
1.8 Дозу облучения от проникающей радиации, которую получит человек, находящийся в защитном сооружении с заданным К0 сл на расстоянии R].
1.9 Время начала выпадения (tH ) радиоактивных осадков на местности, продолжительность выпадения (tB ), время, за которое сформируется радиационная обстановка от момента взрыва (тф = tH + tB ) в точке, заданной координатами R2 и У.
1.10 Уровень радиации (мощность дозы) на местности и в защитном сооружении, на момент формирования радиационной обстановки в точке с координатами R2 и У.
1.11 Поглощенную и эквивалентные дозы, которые могут быть, получены людьми за время нахождения в защитном сооружении (dT) в той же точке при γ-облучении.
1.12 Уровень радиации на местности к концу пребывания в защитном сооружений б точке с координатами R2 и У.
1.13 Маршрут эвакуации людей из зараженной зоны автотранспортом или пешими колоннами, время движения. Составить план-схему местности.
1.14 Уровень радиации в точке выхода на момент выхода из зараженной зоны.
1.15 Поглощенную дозу, которая может быть получена людьми за время эвакуации
1.16 Суммарную дозу, которая может быть получена людьми за время нахождения на зараженной территории.
Раздел 2. Оценка химической обстановки при аварии на химически опасном
объекте.
По данным табл. 2.10, произвести оценку химической обстановки:
2.1 Определить размеры и форму очага заражения (глубину и ширину распространения зараженного воздуха).
2.2 Определить время подхода зараженного воздуха к объекту.
Раздел 3. Прогнозирование и оценка степени опасности в очаге поражения
взрывов твердых взрывчатых веществ (ВВ) и газопаровоздушных смесей
(ГПВС).
По данным табл. 3.11 оценить степень опасности в очаге поражения,
определив при этом:
3.1. Радиус зоны детонации.
3.2. Радиус зоны действия продуктов взрыва.
3.3. Степень поражения объектов, находящихся на заданном расстоянии от центра взрыва.
3.4. Влияние взрыва на человека, открыто находящегося в районе указанного в п.3.3 объекта.
Раздел 1. Оценка поражающих факторов ядерного взрыва.
Исходные данные по табл. 1.21, стр. 29:
Вариант №
| q, кт |
Видимость до … км |
Скорость ветра, км/ч |
R1 , км |
№ объекта из таб. 1.5 |
R2 , км |
У, км |
Косл |
dT, сут. |
Тип местности |
q - мощность наземного ядерного взрыва;
R1 - расстояние до объекта;
R2 - расстояние по оси следа радиоактивных осадков;
У - удаление от оси следа радиоактивных осадков;
Косл - коэффициент ослабления внешней радиации в защитном сооружении;
dT - продолжительность нахождения в защитном сооружении;
V1 - скорость движения пешей колонны:
V2 - скорость движения автомобильного транспорта.
Объекты изучения (таб. 1.5):
- ;
- ;
- ;
- ;
1.1. Определить расстояния от центра взрыва, на которых открыто находящийся человек может получить легкую, средней тяжести, тяжелую степень поражения от действия воздушной ударной
волны.
Из табл. 1.4 берем величину избыточного давления фронта ВУВ в зависимости от характера поражения, по табл. 1.3 определяем радиус зоны поражения при данном избыточном давлении и при мощности ядерного взрыва .... кт. Коэффициент уменьшения в зависимости от типа местности равен из табл. 1.2 стр.7
Открыто находящийся человек может получить поражения от ВУВ:
| Характер поражения |
Рф , кПа |
Радиусы зон поражения, км |
| Легкие травмы (ушибы, вывихи, общая контузия) |
20-30 |
(табл. 1.3)* (табл. 1.2)= |
| Травмы средней тяжести (контузия, повреждение органов слуха, кровотечения). |
30-50 |
(табл. 1.3)* (табл. 1.2)= |
| Тяжелые травмы (переломы, сильные кровотечения) |
50-80 |
(табл. 1.3)* (табл. 1.2)= |
Примечание: при избыточном давлении в 80 кПа для определения расстояния до центра взрыва использовалась линейная интерполяция
ближайших значений.
1,2. Определить зону поражения людей световым импульсом.
Полагаем световой импульс равным 85 кДж/м, по табл. 1.6 _с учетом поправочного коэффициента К= (стр.17) на прозрачность атмосферы определяем расстояние, на котором будет действовать данный световой импульс при мощности ядерного взрыва .... кт .
Радиус зоны поражения людей световым импульсом составляет
(коэффициент уменьшения равен.................. ):
R си (коэффициент прозрачности воздуха стр17)* (расстояние, на котором
действует СИ из табл. 1.6)*( коэффициент уменьшения табл. 1.2)=.............................. км
1.3. Определить расстояния, на которых открыто
находящийся человек может получить ожоги 1, 2 или 3-й степени.
Из табл. 1.8 берем величину светового импульса в зависимости от характера поражения и с учетом поправочного коэффициента К= .. .(табл. 1.2) и коэффициента прозрачности воздуха стр.17; по табл. 1.6 определяем радиус
зоны поражения при данном световом импульсе и при мощности ядерного взрыва (из условия) кт:
| Степень ожога открытых участков кожи |
Световой импульс, кДж/м2 |
Радиусы зон поражения, км |
| 1 -и степени (покраснение кожи) |
100-200 |
(таб. 1.6)* (табл. 1.2)* (стр. 17)= |
| 2-й степени (пузыри) |
200-400 |
(таб. 1.6)* (табл. 1.2)* (стр.17)= |
| 3-й степени (омертвление кожи) |
400-600 |
(таб. 1.6)* (табл. 1.2)* (стр. 17)= |
Примечание: для определения расстояний, на которых действуют данные
световые импульсы, использовался закон подобия.
1.4. Определить зону поражения проникающей радиацией.
По табл. 1.10 определяем радиус зоны поражения проникающей радиацией в зависимости от дозы проникающей радиации 50 рад в военное время и 5 рад в мирное и при мощности ядерного взрыва (из условия)..... кт .
Радиус зоны поражения проникающей радиацией составляет (коэффициент уменьшения равен табл. 1.2):
В мирное время: Rnp = …….км.
В военное время: Rnp =……км.
1.5. Определить расстояние, на котором открыто находящийся человек
получит дозу облучения, вызывающую лучевую болезнь 2-й степени.
Из табл. 1.9 берем дозу облучения (в Гр) переводим (в рад), умножая на 100), в зависимости от степени поражения, по табл. 1.10 определяем радиусы зон поражения при данной дозе облучения и при мощности ядерного взрыва (из условия) ....кт (с учетом коэффициента уменьшена из табл. 1.2).
| Лучевое поражение |
Доза, рад |
Радиусы зоны поражения, км |
| 2-я степень поражения: лучевая болезнь средней тяжести |
250-400 |
(таб. 1.10)*(табл. 1.2)=.............................. |
Примечание: для определения расстояния до центра взрыва использовалась
линейная интерполяция ближайших значений.
1.6. Определить зону радиоактивного заражения местности.
По табл. 1.12 при мощности ядерного взрыва (из условия)... кт и скорости ветра (из условия) км/ч зона радиоактивного заражения с учетом (коэффициента уменьшения из табл. 1.2) имеет размеры:
длина………км
ширина…….км
1.7. Определить действие поражающих факторов на объекты, находящиеся на расстоянии R1 (табл. 1.5).
По табл. 1.3 определяем величину избыточного давления на расстоянии R1 =.......из условия (км) от центра взрыва при мощности
ядерного взрыва (из условия) ... кт:
ΔРф =.... кПа.
По табл. 1.6 СИ ....кДж/м2 (с учетом поправочных коэффициентов
на прозрачность воздуха на стр. 17 и коэффициента типа местности из таб. 1.2)
По таб. 1.5 определяем степень разрушения объектов (из задания):
- здания или конструкции - получат……………... повреждение
- ………………грузовые автомобили или автоцистерны - получат слабые, не значительные, сильные и т.д. повреждения;
1.8. Определить дозу облучения от проникающей радиации, которую получит человек, находящийся в защитном сооружении с заданным Косл на расстоянии R1 .
По таб. 1.10 на расстоянии R1 =...................... (из задания) км до центра взрыва, при
мощности ядерного взрыва (из задания) .. ..кт и с учетом коэффициента ослабления Косл = (из задания)
Дпр = (таб. 1.10 ) рад / Косл (рад)
1.9. Определить время начала выпадения ( tH ) радиоактивных осадков на местности, продолжительность выпадения ( tB ып )? время, за которое сформируется радиационная обстановка от момента взрыва ( t ф = t н + tB ып ) в
точке, заданной координатами R2 и V.
По табл. 1.11 с учетом скорости ветра (из задания) км/ч и на расстоянии по оси следа R2 = (из задания) км находим:
tH =......... ч
tB ып ………… Ч
tф …………… Ч
11
0. Определить уровень радиации (мощность дозы) на местности и в защитном сооружении на момент формирования радиационной
обстановки ( tф ) в точке с координатами R2 и V.
Определим ожидаемую мощность дозы на местности после выпадения
радиоактивных осадков (РО).
По таблицам 1.13, 1.14 или 1.15 (в зависимости от скорости ветра из
задания), находим мощность дозы через 1ч после взрыва мощностью
(из здания) ........ кт на расстоянии по оси следа (из задания)................................... км:
Р0 = рад/ч.
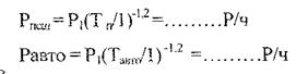
Мощность дозы после выпадения РО определяем по формуле:
P(t) = P0
(
)-1.2
где Р0 и P(t) —уровень радиации на время взрыва (То) и после него (Т). Мощность
дозы после выпадения РО (через (1Ф ч) составит:
Ptф = Po * tф -1.2 =……….рад/ч
Определим мощность дозы на объекте после выпадения РО. По табл. 1.16 находим коэффициент, учитывающий снижение радиации при отклонении от оси зоны РЗ на У= (из задания) км:
К=................ табл. 1.16
Мощность дозы на объекте после выпадения РО составит:
РМДО = Ptф * К (табл. 1.16) рад/ч
В защитном сооружении мощность дозы с учётом Косл (из задания) на
момент формирования радиационной обстановки составит:
Р = РМДО / Косл рад/ч.
1.11 Определить поглощенную дозу, которая может быть получена
людьми за время нахождения в защитном сооружении dT ч (из задания) в
той же точке при у -облучении.
Определим поглощенную дозу при нахождении людей в защитном сооружении с учетом того, что люди укрылись в ПРУ через 1ч после взрыва Тк =1 + (из задания перевести dT из суток в часы).
Поглощенную дозу (рад) в зараженном районе определяют по формуле:
Дпру = (5*Рtф *Т1.2 *(Тф -0.2 -Тк 0.2 ))/ Косл
где Ро - уровень радиации на данное время Т0 ; Тк и Тф - соответственно время конца и сформирования радиационной обстановки (отсчет ведется от времени
взрыва).
Дпру =……………….рад
1.12. Определить уровень радиации на местности к концу пребывания в защитном сооружении в точке с координатами R2 и У.
Время конца пребывания в защитном сооружении (время из задания
перевести dT из суток в часы) ч после взрыва. За это время уровень радиации на местности составит:
Рt к =РDt = Ptф *(tк /tф ) -1.2
1.13 Определить маршрут эвакуации людей из зараженной зоны
автотранспортом и пешими колоннами, время движения. Составить
план-схему местности.
Пешие колонны преодолеют расстояние........................ км при скорости движения
из задания............. км/ч за t =.............. ч, автомобили при скорости движения из
задания за t = .............. ч.
Определить уровень радиации в точке выхода на момент выхода из зараженной зоны.
По табл. 1.15 на границах зоны заражения через 1ч после взрыва уровень радиации равен Р1 ........ Р/ч.
Время выхода из зараженной зоны
- пешими колоннами ТП = dT + (.................. )—. ... ч после взрыва,
- автотранспортом Тавто= + dT ( )=... ч.
За это время уровень радиации в точке выхода из зараженной дозы
составит:
|
|
1.15. Определить поглощенную дозу, которая может быть получена
людьми за время эвакуации.
При эвакуации пешими колоннами
![]()
При эвакуации автотранспортом (с учетом коэффициента ослабления
внешней радиации при нахождении в автотранспорте Косл
=............................. )
![]()
L16. Определить суммарную дозу, которая может быть получена
людьми за время нахождения на зараженной территории.
Общая доза внешнего облучения будет складываться из дозы за время выпадения РО (Дро1), ДОЗЫ за время от конца выпадения РО и до начала пребывания в защитном сооружении (Дпру), дозы за время пребывания в защитном сооружении (Дэв) ДОЗЫ за время эвакуации из заражённой зоны (Дэв).
Рассчитаем дозы Дро1, Дро2 с учетом того, что время выпадения РО ...ч
(из задания), время конца выпадения РО Тк
……..
ч (из задания) и люди
укрылись в защитном сооружении через ТзС
................... ч (из задания) после взрыва.
Дро1 = 0.5*Ртзс*Тк = …………рад
Дро2= РdT*(Тлюд- tф )/2……….рад
где Тлюд - время укрытия людей после взрыва.
При эвакуации пешими колоннами:
Д = Дро1+ Дро2+Дпру + Дэв =......................................... рад-
При эвакуации на транспорте:
Д = Д ро1+Дро2+Дпру+ Дэв авто= ....................................... рад.
стр. 44 РАЗДЕЛ 3. ПРОГНОЗИРОВАНИЕ И ОЦЕНКА СТЕПЕНИ
ОПАСНОСТИ В ОЧАГЕ ПОРАЖЕНИЯ ВЗРЫВОВ ТВЕРДЫХ ВЗРЫВЧАТЫХ ВЕЩЕСТВ И ГАЗОПАРОВОЗДУШНЫХ СМЕСЕЙ.
Ход расчетов стр. 4 МУ.
I . Оценка степени опасности в очаге поражения при взрыве твердого взрывчатого вещества.
/, Исходные данные для прогнозирования зон поражения при взрывах В В и ГПВС, стр. 60 таб 3.11
Вариант №2
| Взрывчатое вещество |
Масса 8В,кг |
Расстояние до объекта по табл. 3.4, R, м |
Горючий компонент (ГПВС) |
Емкость, |
Расстояние, R,M |
| Гексоген |
100 |
100 |
Ацетилен |
175 |
250 |
2. Объект изучения берется из таб. 3.4 стр. 52.
- промышленных: ΔРпр =35 кПа,
- кирпичных: ΔРпр= 28 кПа.
3. Определить радиус зоны детонации.
Определить радиус зоны детонации.
При расчете параметров ВУВ при взрывах различных химических ВВ с энергией взрыва Q (кДж/кг) величину массы ВВ следует умножить на коэффициент, равный отношению энергии взрыва Q данного ВВ к энергии взрыва тротила QT =4240 кДж/кг (табл. 3.1) стр. 46
В расчетные формулы введено обозначение Rn - «приведенное»
![]()
где R - расстояние, (вариант) м;
Мтр - тротиловый эквивалент, кг.
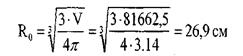
При взрыве ВВ гексагена расчёт ведётся по его тротиловому 'эквиваленту:
Мэт =М-5540/4240=100-5540/4240 = 130,66 кг.
|
|
Принимаем форму заряда сферической и исходя из этого определяют
объем V:
|
|
V= 130660/1,60 = 81662,5 cm3 ,
где рТ = 1,60 г/см3 - плотность гексогена (ВВ) .
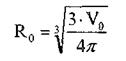
Радиус сферы определяем из формулы объема шара (стр. 47):
|
|
3.2. Определить радиус зоны действия продуктов взрыва.
Продукты взрыва, вызывающие бризантное действие действуют на расстоянии примерно до 20-Ro (20-26.9=538 см ~ 5,4 м), поэтому бризантное действие взрыва 100 кг гексогена будет проявляться на расстоянии до 5,4 м..
3.3. Определить степень поражения объектов, находящихся на
заданном расстоянии от центра взрыва.
Для расстояния R = 100 м (вариант) и при МЭТ = 130,66 кг(рассчитали) гексогена вычисляем приведенное расстояние (стр. 47):

Следовательно, на этом расстоянии избыточное давление во фронте ВУВ
(давление ВУВ) будет (стр. 47):
![]()
По таб.3.4 (стр. 52) при такой величине давления ВУВ ΔРФ перекрытия промышленных и кирпичных зданий не разрушатся, т.к. значение
ΔРф меньше ΔРпр
З.4 Определить влияние взрыва на человека, открыто находящегося в
районе указанного в п.3.3 объекта. По формулам и значениям из пункта 3.3 видно, что человек, находящийся в момент взрыва твердого ВВ гексогена возле указанного объекта на расстоянии 100 м не пострадает (табл. 1.4, стр. 12). Однако может быть поврежден разлетающимися твердыми осколками и обломками.
II . Оценка степени опасности в очаге поражения при
взрыве газопаровоздушнвй смеси ГПВС ( пример 7 стр. 49 данные
используют еще таб. 3.2 стр. 48)
3.1. Определить радиус зоны детонации.
Начальный радиус R0 полусферического облака ГПВС в зависимости от объема V0 определяется следующим образом (стр. 48) :

Приближенная формула для определения объема облака:

где
К - коэффициент, принимаемый в зависимости от способа хранения
продуктов (принимаем К = 0.5 - для газов сжиженных под давлением);
М - масса ГПВС (таб. 3.11) стр. 60, там Q в тоннах, а нам нужно в кг_:
175000 кг;
μ- молекулярная масса горючего вещества (таб.3.2) стр. 48 : 26;
Сстх - объемная концентрация стехиометрической смеси (таб.3.2.): 7,75%.

Определяем радиус R« полусферического облака ГПВС:
|
|
3.6. Определить степень поражения объектов, находящихся на
заданном расстоянии от центра взрыва.
Расчёт максимума избыточного давления взрыва на соответствующих расстояниях ведется с применением "приведенных" расстояний и давлений
по тротиловому эквиваленту наземного взрыва полусферического облака Мт :
|
|
где
М = ρСТХ -V0 - масса горючего облака;
ρстх по (таб.3.2) = 1,278 кг/м3 ;
Qt - энергия взрыва тротила стр. 49
(ОТ = 4184кДж/кг);
ОМ.СТХ = 3,387 МДж/кг стр. 48 (столбец 4, таб.3.2).
|
|
«Приведенное расстояние»:
|
|
Максимальное избыточное давление ударной волны:
|
|
где Р0 —101,3 кПа - атмосферное давление
Р определяется из выражения:

Следовательно: Р =100,05 =1,12
Определяем максимальное избыточное давление ударной волны:
ΔРм = 101,3 - 1,12 = 113,6 кПа
По таб.3.4 при такой величине максимального избыточного давления ВУВ ΔРм перекрытия промышленных и кирпичных зданий будут полностью
уничтожены, т.к. значение ΔРФ больше ΔРпр .
3.7. Определить влияние взрыва на человека, открыто находящегося в
районе указанного в п.3.3 объекта.
По формулам и значениям из пункта 3.3 видно, что человек, находящийся в момент взрыва ГПВС ацетилена возле указанного объекта на
расстоянии 250 м будет уничтожен.





