| Скачать .docx |
Реферат: БЖД 2
Содержание
1. Обеспечение безопасных условий труда в производстве, применяемом электромагнитные поля. 3
1.1. Допустимые уровни воздействия ЭМП радиочастот. 3
1.2. Требования к проведению контроля ЭМП на рабочих местах. 5
1.3. Защита от электромагнитных излучений. 8
1. Обеспечение безопасных условий труда в производстве, применяемом электромагнитные поля
1.1. Допустимые уровни воздействия ЭМП радиочастот
ЭМП радиочастот следует оценивать показателями интенсивности поля и создаваемой им энергетической нагрузкой.
В диапазоне частот 60 кГц - 300 МГц интенсивность ЭМП характеризуется напряженностью электрического (Е) и магнитного (Н) полей, энергетическая нагрузка (ЭН) представляет собой произведение квадрата напряженности поля на время его воздействия. Энергетическая нагрузка, создаваемая электрическим полем, равна ЭНЕ = Е2×Т, магнитным - ЭНН = Н2×Т.
В диапазоне частот 300 МГц - 300 ГГц интенсивность ЭМП характеризуется поверхностной плотностью потока энергии (далее плотность потока энергии - ППЭ), энергетическая нагрузка представляет собой произведение плотности потока энергии поля на время его воздействия ЭНППЭ = ППЭ×Т.
Предельно допустимые значения Е и Н в диапазоне частот 60 кГц - 300 МГц на рабочих местах персонала следует определять исходя из допустимой энергетической нагрузки и времени воздействия по формулам

где
и
- предельно допустимые значения напряженности электрического, В/м, и магнитного, А/м, поля;
Т - время воздействия, ч;
и
- предельно допустимые значения энергетической нагрузки в течение рабочего дня, (В/м)2 · ч и (А/м)2 · ч.
Максимальные значения ![]()
и ![]()
указаны в таблице.

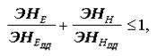
Одновременное воздействие электрического и магнитного полей в диапазоне частот от 0,06 до 3 МГц следует считать допустимым при условии

где
и
- энергетические нагрузки, характеризующие воздействия электрического и магнитного полей.
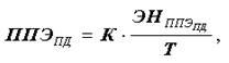
Предельно допустимые значения ППЭ ЭМП в диапазоне частот 300 МГц - 300 ГГц следует определять исходя из допустимой энергетической нагрузки и времени воздействия по формуле

где ППЭПД - предельно допустимое значение плотности потока энергии, Вт/м2 (мВт/см2, мкВт/см2);
- предельно допустимая величина энергетической нагрузки, равная 2 Вт · ч/м2 (200 мкВт · ч/см2);
К - коэффициент ослабления биологической эффективности, равный:
1 - для всех случаев воздействия, исключая облучение от вращающихся и сканирующих антенн;
10 - для случаев облучения от вращающихся и сканирующих антенн с частотой вращения или сканирования не более 1 Гц и скважностью не менее 50;
Т - время пребывания в зоне облучения за рабочую смену, ч.
Во всех случаях максимальное значение ППЭПД не должно превышать 10 Вт/м2 (1000 мкВт/см2).
1.2. Требования к проведению контроля ЭМП на рабочих местах
Уровни ЭМП на рабочих местах контролируются измерением в диапазоне частот 60 кГц - 300 МГц напряженности электрической и магнитной составляющих, в диапазоне частот 300 МГц - 300 ГГц плотности потока энергии ЭМП с учетом времени пребывания персонала в зоне облучения.
Для измерений в диапазоне частот 60 кГц - 300 МГц следует использовать приборы, предназначенные для определения среднего квадратического значения напряженности электрической и магнитной составляющих поля с погрешностью £30%.
Для измерений в диапазоне частот 300 МГц - 300 ГГц следует использовать приборы, предназначенные для определения средних значений плотности потока энергии, с погрешностью £40% в диапазоне частот 300 МГц - 2 ГГЦ и £30% в диапазоне частот свыше 2 ГГц.
Измерения напряженности и плотности потока энергии ЭМП следует проводить не реже одного раза в год, а также в следующих случаях:
- при вводе в действие новых установок;
- при внесении изменений в конструкцию, размещение и режим работы действующих установок;
- во время и после проведения ремонтных работ, которые могут сопровождаться изменением излучаемой мощности;
- при внесении изменений в средства защиты от ЭМП;
- при организации новых рабочих мест.
Измерения напряженности или плотности потока энергии ЭМП допускается не проводить в случаях если: установка не работает в режиме излучения на открытый волновод, антенну или другой элемент, предназначенный для излучения ЭМП в окружающую среду, и ее номинальная мощность согласно паспортным данным не превышает:
2,5 Вт - в диапазоне частот от 60 кГц до 3 МГц;
400 мВт - в диапазоне частот свыше 3 МГц до 30 МГц;
100 мВт - в диапазоне частот свыше 30 МГц до 300 ГГц.
Измерения следует выполнять при наибольшей используемой мощности источника ЭМП. Допускается проведение измерений в антенных полях передающих радиотехнических объектов при неполной излучаемой мощности с последующим пересчетом результатов на условия максимального излучения.
2.5а. Измерения ЭМП на рабочих местах проводят на расстояниях от источников ЭМП, соответствующих нахождению тела работающих, на нескольких уровнях от поверхности пола или земли с определением максимального значения напряженности или плотности потока энергии ЭМП для каждого рабочего места. В каждой точке проводят не менее 3-х измерений. Наибольшее из зарегистрированных значений заносят в протокол.
Во время проведения измерений персонал не должен находиться в зоне измерения. При невозможности выполнения данного требования в протоколе измерений делается специальная отметка.
Лицо, проводящее измерения, не должно находиться между источником излучения и измерительной антенной.
При нескольких рабочих режимах источника ЭМП, различающихся параметрами генерации, видом и расположением рабочих элементов или излучающих систем, измерения следует проводить в каждом режиме.
Плотность потока энергии излучения вращающихся и сканирующих антенн измеряется при остановленной антенне в направлении максимума излучения при всех рабочих значениях угла наклона. Для открытой местности с однородным рельефом результаты, полученные при одном направлении излучения, распространяются на весь сектор, охватываемый антенной при ее движении, в радиусе, на котором производились измерения. В случаях, характеризующихся неоднородным рельефом местности, наличием зданий и других сооружений, необходимо проводить измерения на каждом рабочем месте при направлении излучения в место измерения.
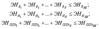
При воздействии на персонал ЭМП от нескольких источников в случае источников, работающих в частотных диапазонах, для которых установлены единые предельно допустимые уровни (ПДУ), суммарную интенсивность воздействия следует определять приборами с изотропными датчиками. При использовании приборов с антеннами, требующими учета поляризации ЭМП, измерения напряженности или плотности потока энергии ЭМП следует проводить от каждого источника раздельно и определять суммарную энергетическую нагрузку, которая не должна превышать предельно допустимых значений, установленных 1.2 и 1.3:

В диапазоне частот 300 МГц - 300 ГГц в случае одновременно работающих источников оценку воздействия допускается проводить путем суммирования значений ППЭ, измеренных от каждого источника; суммирование измеренных значений ППЭ не проводится в случаях облучения от двух или нескольких вращающихся или сканирующих антенн, в связи с крайне малой вероятностью одновременного совпадения в одной точке максимумов диаграмм направленности излучения двух или нескольких антенн.
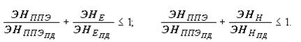
В случае источников, работающих в частотных диапазонах, для которых установлены разные значения ПДУ, измерения проводятся от каждого источника раздельно, допустимость воздействия оценивается следующим образом: в диапазоне частот 60 кГц - 300 МГц сумма отношений энергетических нагрузок, создаваемых каждым источником, к соответствующим предельно допустимым значениям параметра должна отвечать условию:

при воздействии на персонал ЭМП с различными нормируемыми параметрами соответствие уровней облучения гигиеническим нормативам достигается при условии:

В случаях, когда имеет место последовательное или одновременное облучение персонала ЭМП диапазона частот 300 МГц - 300 ГГц в непрерывном и прерывистом (от вращающихся и сканирующих антенн) режимах, суммарную энергетическую нагрузку
![]()
где
- энергетическая нагрузка от непрерывного облучения;
- энергетическая нагрузка от прерывистого облучения.
При этом
не должна превышать 200 мкВт · ч/см2.
Результаты измерений следует фиксировать в специальном журнале или оформлять в виде протокола. Рекомендуемые к включению в протокол сведения приведены в приложении.
1.3. Защита от электромагнитных излучений
Для ППЭ ослабление мощности ЭМП на рабочем месте можно достичь, увеличив расстояние r, уменьшив мощность источника Рист .
Способы и средства защиты от ЭМИ:
1) уменьшение параметров излучения в самом источнике (защита количеством, поглотители мощности из поглощающих материалов - резина, полистирол, чистый графит, аттенюаторы постоянного затухания из диэлектриков с металической сеткой);
2) экранирование источника излучения, экранирование рабочего места
( L - ослабление уровня излучения)
L=20 lg E/ Eн , L= 20 lg H/ Hн , L= 10 lg I /ППЭ;
3) выделение зон излучения (зонирование), применение сигнализации (сигнальные цвета и знаки);
4) установление рациональных режимов эксплуатации установок и режима работы персонала, применение сигнализации (световой, звуковой);
5) СНЗ - защитные халаты от СВЧ из ткани «Щит» - вискоза с наполнением, очки с металлизированными стеклами (двуокись олова);
6) защита расстоянием (увеличение расстояния между источником и рабочим местом)- эффективно для дальней зоны, т.е. в случае воздействия высокочастотных и сверхвысокочастотных ЭМИ;
7) защита временем (ограничение времени пребывания персонала в рабочей зоне) – применяется только для электрического поля с f = 50 Гц и ЭМП в диапазоне 300 МГц - 300 ГГц
Уменьшение параметров излучения непосредственно в самом источнике достигается за счет применения согласованных нагрузок и поглотителей мощности. Так в качестве нагрузки генератора вместо открытых излучателей применяют поглотители мощности (эквивалент антенны и нагрузки), представляет собой коаксиальные или волноводные линии, частично заполненные поглощающими материалами (чистым графитом или в смеси с цементом, песком и резиной, пластмассами, порошковым железом, керамикой, деревом, водой и т.д.). из диэлектрика, покрытого тонкой механической пленкой. Современные поглотители обеспечивают затухание электромагнитных волн на 40-60 дБ (в 104 -106 раз).
Экранирование источников используется для ослабления интенсивности излучения. Это непроницаемые или слабопроницаемые преграды, которые могут быть замкнутыми, то есть полностью изолирующими излучающие устройства или защищаемый объект, или незамкнутыми. Формы и размеры экрана определяются условиями.
Требуемое качество экранирования характеризуется ослаблением уровня излучения, рассчитываемое с учетом диапазона частот.
,
, 
Для оценки функциональных качеств экрана используется величина эффективности экранирования:
Эффективность Э :
,или, чаще
![]()
,
где
- ППЭ в точке без экрана,
- ППЭ в той же точке при наличии экрана.
По физическому действию экраны бывают:
Отражающие
(из хорошо проводящих металлов: меди, латуни, алюминия, стали). Их защитное действие обусловлено тем, что экранируемое поле создает в экране токи Фуко, наводящие вторичное поле, по амплитуде почти равное, а по фазе противоположное экранируемому полю. Результирующее поле в экране быстро убывает, проникая на небольшую величину. Обычно толщина экрана
0,5 мм. Следует помнить, что определенные радиочастоты могут возбуждать в экране высокочастотные токи, которые усилят поле излучения в экранированной зоне.
Поглощающие – изготавливаются из плохо проводящих материалов (резина прессованная, полистирол) и наклеиваются на каркас или поверхность излучаемого оборудования.
Выделение зон излучения. На основании инструментальных замеров интенсивности облучения для каждого конкретного случая размещения аппаратуры. Либо ограждают установки, либо границу зоны отмечают яркой краской на полу. Важное значение имеет рациональная планировка помещений, вынесение всех рабочих мест за пределы антенного поля, установление безопасных маршрутов движения людей.
При отсутствии экранов вследствие отражения от стен и перекрытия, в помещении могут образовываться стоячие волны, а следовательно, зоны повышенной плотности ЭМП. Поэтому такие установки ( электрические установки, радиотехническая аппаратура) должны размещаться в отдельных специальных помещениях и иметь выход в коридор и наружу. Например - угловые помещения первого и последнего этажей зданий.
Следует исключать проникновение ЭМП через проемы, перекрытия, двери. Толщина стен и перекрытий определяется расчетным путем, исходя из мощности установок и помещений, свойств строительных материалов.
Контроль электромагнитных излучений
Измерение электромагнитных полей в рабочей зоне проводится не менее одного раза в год. Измерение от уровня пола до Н = 2 м ведут с шагом DН = 0,5 м. С целью определения характера распространения и интенсивности ЭМП в помещении измерения производятся в точках пересечения условной сетки 1 х 1м. Все измерения проводятся при максимальной мощности источника ЭМИ.
2. Практическая часть
| Расчет средств защиты от электромагнитных полей в диапазоне частот 300 МГЦ…300 ГГц | |||||||||||||||||||
| 1. Нормирование ЭМП | |||||||||||||||||||
| Предельно допустимая плотность потока энергии ЭМП от РТО, Вт/м2 | |||||||||||||||||||
| ППЭ = WN /T, | |||||||||||||||||||
| WN - нормированное значение допустимой энергетической нагрузки на организм человека, Вт*ч/м2 | |||||||||||||||||||
| Т - допустимое время пребывания в зоне облучения = | 8 | ч. | |||||||||||||||||
| WN = | 20 | Вт*ч/м2 | = | 2000 | мкВт*ч/м2 | ||||||||||||||
| ППЭ | =20/8= | 2,5 | Вт/м2 | = | 250 | мкВТ/см2 | |||||||||||||
| 2. Защита временем | ||||||||||||
| Максимальное время пребывания человека на рабочем месте, ч: | ||||||||||||
| Т = WN / ППЭ∑ | ||||||||||||
| ППЭ 2 = | 3 | мкВТ/см2 | ||||||||||
| ППЭ 3 = | 30 | мкВТ/см2 | ||||||||||
| ППЭ∑ = | 250+3+30= | 283 | мкВТ/см2 | |||||||||
| Т = | 2000/283= | 7,07 | ч | |||||||||
| 3. Защита расстоянием | |||||||||||||
| Римп = | 80000 | Вт | |||||||||||
| τ = | 0,0001 | с | |||||||||||
| Тс = | 0,01 | с | |||||||||||
| Рср = | 80000*0,0001/0,01= | 800 | Вт | - средняя мощность излучения | |||||||||
| σ = | 10 | ||||||||||||
| r = | ((800*10)/(12,56*283))^(1/2) = | 1,50 | м | ||||||||||
| 4. Защита экранированием | |||||
| Э = | 120 | ||||
| f = | 1000000 | Гц | |||
| В = | 0,001309884 | см | |||
Заключение
В результате выполнения контрольной работы были изучены требования к безопасности жизнедеятельности при условии воздействия электромагнитных полей.
Источниками электромагнитных полей являются - атмосферное электричество, радиоизлучение солнца и галактик, квазистатические, электрические и магнитные поля Земли.
Как в производственной так и в бытовой сфере широко используются электромагнитные поля, как переменные так и постоянные. Их применяют для индукционной и диэлектрической термообработки различных материалов, очистки полупроводников, выращивания полупроводниковых кристаллов, ионизирования газов, получения плазмы, обработки деталей, поддержания разряда при сварке в инертных газах, для сварки и прессования систематических материалов.
Источниками излучения электромагнитной энергии являются ЛЭП напряжением до 1150 кВ, открытые распределительные устройства, включающие коммутационные аппараты, устройства защиты и автоматики, измерительные приборы, соединительные шины и вспомогательные устройства (электрические поля промышленной частоты).
Источники постоянных магнитных полей: электромагниты, соленоиды, импульсные установки, литые и металлокерамические магниты.
Электромагнитную энергию излучают мощные радио- и телевизионные станции. В радиоаппаратуре источниками излучения являются блоки передатчиков, устройства сложения мощностей, разделительные фильтры, антенные коммутаторы, антенные системы.
Во второй части работы была рассчитаны различные способы защиты от воздействия электромагнитных полей.
Список литературы
1. ГОСТ 12.1.006-84 Электромагнитные поля радиочастот
2. Безопасность жизнедеятельности/С.В.Белов, В. А.Девисилов, А.Ф.Козьяков и др.; Под общ. ред. С. В. Белова. — М.: Высшая школа, НМЦ СПО, 2000.— 343с.