| Скачать .docx |
Реферат: Воздействие электромагнитних полей на человека и методы защиты от них
План
Вступление
Раздел 1. Области использования электромагнитных полей радиочастот
Раздел 2. Биологическое действие ЭМП радиочастот
Раздел 3. Гигиеническое нормирование ЭМП радиочастот
Раздел 4. Защитные мероприятия при работе с источниками ЭМП
Вывод
Список использованной литературы
Вступление
Электромагнитную энергию используют в радио-, радиорелейной и космической связях, радиолокации, радионавигации, на телевидении, в металлургии и металлообрабатывающей промышленности для индукционного плавления, сварки, напиливания металлов, в деревообрабатывающей, текстильной, легкой и пищевой промышленности, в радиоспектроскопии, современной вычислительной технике, медицине и тому подобное.
В производственных помещениях источниками электромагнитного излучения являются неэкранированые рабочие элементы высокочастотных установок (индукторы, конденсаторы, высокочастотные трансформаторы, батареи конденсаторов, катушки колебательных контуров и тому подобное). При эксплуатации ВЧ-, ДВЧ-, УВЧ-приемников на радио- и телецентрах источниками электромагнитного излучения являются высокочастотные генераторы, антенные коммутаторы, устройства составления мощностей электромагнитного поля, коммуникации (от генератора к антенному устройству), антенны.
В наше время постоянно человек поддается воздействию электромагнитного поля. Биологическое влияние ЭМП характеризуется тепловым влиянием и нетепловым эффектом. Под тепловым действием имеется в виду интегральное повышение температуры тела или отдельных его частей во время общего или локального облучения. Нетепловой эффект связан с переходом электромагнитной энергии в объекте в нетепловую форму энергии (молекулярно резонансное истощение, фотохимическая реакция но др.). Чем меньшая энергия электромагнитного излучения, тем высший тепловой эффект, который она осуществляет.
Избыточное действие ЭМП наносит вред человеческому организму. Нужно знать как защитить себя и людей от него. Влияние ЭМП на организм зависит от таких физических параметров как длина волны, интенсивность излучения, режим излучения - непрерывный и прерывистый, а также от длительности влияния на организм, комбинированного действия других производственных факторов (повышенная температура воздуха, наличие рентгеновского излучения, шума и тому подобное), которые способны изменить возможность сопротивления организма на действие ЭМП.Характер влияния на человека электромагнитного излучения в любых диапазонах отличается один от другого, в связи с чем значительно отличаются и требования к нормированию разных диапазонов излучения.
Раздел 1. Области использования электромагнитных полей радиочастот
Электромагнитное поле (ЭМП) радиочастот характеризуется рядом свойств (способностью нагревать материалы, распространяться в пространстве и отражаться от границы раздела двух сред, взаимодействовать с веществом), благодаря которым ЭМП широко используются в различных отраслях народного хозяйства: промышленности, науке, технике, медицине. Электромагнитные волны диапазона низких, средних, высоких и очень высоких частот применяются для термообработки металлов, полупроводниковых материалов и диэлектриков (поверхностный нагрев металла, закалка и отпуск, напайка твердых сплавов на режущий инструмент, пайка, плавка металлов и полупроводников, сварка, сушка древесины и др.), в радиосвязи, радиовещании, медицине.
Для индукционного нагрева наиболее широко используются ЭМП частотой 60—74, 440 и 880 кГц. Индукционный нагрев осуществляется в основном магнитной составляющей ЭМП за счет вихревых токов, наводимых в материалах при воздействии на них ЭМП.
ЭМП диапазона ВЧ и ОВЧ часто применяются в радиосвязи, радиовещании, телевидении, медицине, для нагрева диэлектриков в высокочастотном электрическом поле (сварка полимерной пленки при изготовлении обложек для книг, папок, пакетов, игрушек, спецодежды, полимеризация клея при склейке деревянных изделий, нагрев пластмасс и пресспорошков и др.). Нагрев диэлектриков осуществляется в основном электрической составляющей ЭМП. Установки диэлектрического нагрева преимущественно работают на частотах 27, 39, 40 МГц [1, ст.95]
Электромагнитные волны диапазона УВЧ, СВЧ и КВЧ (микроволны) используются в радиолокации, радионавигации, для радиорелейной связи, многоканальной радиосвязи, радиоастрономии, радиоспектроскопии, геодезии, дефектоскопии, физиотерапии и т. д. Иногда ЭМП УВЧ диапазона применяются для вулканизации резины, термической обработки пищевых продуктов, стерилизации, пастеризации, вторичного разогрева пищевых продуктов и т. д.
В физиотерапии ЭМП используют как мощный терапевтический фактор в комплексном лечении многих заболеваний (ВЧ-установки для диатермии и индуктотермии, специальные аппараты для УВЧ-терапии и СВЧ-аппараты для микроволновой терапии).
Источниками излучений электромагнитных волн низкой, средней, высокой и очень высокой частоты в производственное помещение являются ламповые генераторы.
В радиотехнических установках всех диапазонов частот, используемых для радиолокации, связи, радиовещания, основными источниками излучения энергии являются антенные системы. Паразитное излучение создается вследствие некачественного экранирования ВЧ-элементов в блоках передатчиков, в устройствах сложения мощностей и разделительных фильтрах, неплотности соединений волноводных трактов, отсутствия экранирования линий передачи электромагнитной энергии.
В электронной промышленности источниками электромагнитных излучений радиоволнового диапазона на участках динамических испытаний приборов могут быть испытываемые приборы, элементы волноводных трактов, измерительные генераторы.
В процессе эксплуатации СВЧ-печей могут возникать утечки энергии в результате нарушения экрана рабочей камеры.
Источниками ЭМП в физиотерапии при работе высокочастотных аппаратов являются электроды и СВЧ-излучатели.
При оценке условий труда учитываются время воздействия ЭМП, характер облучения работающих (непрерывный, прерывистый, интермиттирующий) [8, ст.165].
При осуществлении санитарного надзора за радиотехническими устройствами ведется протокол измерений уровней электромагнитных полей на рабочих местах и в случае превышения ПДУ даются рекомендации по снижению значений ЭМП. Большое значение, имеет паспортизация установок. Паспорт установки должен включать в себя технические данные генератора (мощность, частотный диапазон, назначение), схему размещения в производственном помещении.
Практика показывает, что степень облучения работающих на установках индукционного и диэлектрического нагрева зависит от мощности установок и степени экранирования ВЧ-элементов, а также от расположения рабочего места относительно источника излучения.
При эксплуатации радиочастотных установок наряду с электромагнитными полями существенное гигиеническое значение могут иметь сопутствующие физические и химические факторы производственной среды (шум, высокие и низкие температуры, углеводороды и др.), обусловленные работой генераторных схем и особенностями технологических процессов, а также характер самого труда.
Раздел 2. Биологическое действие ЭМП радиочастот
По законам физики изменения в веществе может вызвать только та часть энергии излучения, которая поглощается этим веществом, а отраженная или проходящая через него энергия действия не оказывает. Электромагнитные волны лишь частично поглощаются тканями биологического объекта, поэтому биологический эффект зависит от физических параметров ЭМП радиочастот: длины волны (частоты колебаний), интенсивности и режима излучения (непрерывный, прерывистый, импульсно-модулированный), продолжительности и характера облучения организма (постоянное, интермиттирующее), а также от площади облучаемой поверхности и анатомического строения органа или ткани.
Степень поглощения энергии тканями зависит от их способности к ее отражению на границах раздела, определяемой содержанием воды в тканях и другими их особенностями. Колебания дипольных молекул воды и ионов, содержащихся в тканях, приводят к преобразованию электромагнитной энергии внешнего поля в тепловую, что сопровождается повышением температуры тела или локальным избирательным нагревом тканей, органов, клеток, особенно с плохой терморегуляцией (хрусталик, стекловидное тело, семенники и др.). Тепловой эффект зависит от интенсивности облучения. Пороговые интенсивности теплового действия ЭМП на организм животного составляют для диапазона средних частот 8000 В/м, высоких — 2250 В/м, очень высоких — 150 В/м, дециметровых — 40 мВт/см2 , сантиметровых — 10 мВт/см2 , миллиметровых — 7 мВт/см2 . ЭМП ниже указанных величин не обладают термическим действием на организм, но вызывают слабовыраженные эффекты аналогичной направленности, что, согласно ряду теорий (молекулярной поляризации, ионной и концепции информационного взаимодействия ЭМП с живыми объектами), считается специфическим нетепловым действием, т. е. переходом электромагнитной энергии в объекте в какую-то форму нетепловой энергии. Так или иначе о биологическом действии ЭМП небольших интенсивностей существуют достаточно сложившиеся представления [1, ст.97]
Действие ЭМП радиочастот на ЦНС при ППЭ более 1 мВт/см2 свидетельствует о ее высокой чувствительности к ЭМИ. Однако наблюдаемые реакции отличаются большой вариабельностью и фазным характером, включая условнорефлекторные и поведенческие реакции. Они в такой степени зависят от диапазона и режимов облучения, вида животных, что говорить о наличии каких-либо специфических корреляций весьма затруднительно, особенно в отношении гигиенического значения эффектов, наблюдаемых в эксперименте, и возможности переноса представлений, полученных в опытах на животных, на человека. Последнее крайне осложняется высокоразвитой психикой человека, способной реагировать на самые разнообразные воздействия, а также и тем, что в условиях производства работающий почти никогда не подвергается изолированному воздействию ЭМП. Учитывая особенности человеческой психики при расширяющемся использовании источников ЭМП в быту (например, СВЧ-печей), переоценка возможности неблагоприятного действия ЭМП с деонтологической точки зрения столь же опасна, как и недооценка.
Состояние эндокринной системы. При воздействии ЭМП на животных наблюдаются многочисленные гормональные сдвиги, свидетельствующие о нарушении нервно-эндокринной регуляции по типу стресса: вовлекается - гипоталамо-гипофизарно-адренокортикальная система, тормозится секреция гормонов роста и стимулируется выделение кортикостероидных гормонов и пролактина и_т. д. В большинстве опытов изменение уровня гормонов наступает при высоких поглощенных дозах облучения (7 Дж/г) при внешней интенсивности облучения более 80 мВт/см2 , хотя различные колебания гормональной активности, особенно уровней 17-оксикето- и кортикостероидов, наблюдались в экспериментах и при слабых уровнях воздействия. Таким образом, нарушение гормонального равновесия при наличии СВЧ-фона на производстве следует рассматривать как противопоказание для профессиональной деятельности, связанной с нервной напряженностью труда и частыми стрессовыми ситуациями.
Для переноса на человека данных об изменениях эндокринной системы, полученных экспериментально на животных, в принципе также имеется ряд ограничений, вызванных наличием специфических качественных отличий гормональных реакций человека, обусловленных сложностью его эмоционально-психической сферы. Кроме того, ограничением служит адаптивный характер многих гормональных реакций у животных, а также отсутствие четкой количественной зависимости эффектов от плотности потока энергии (ППЭ) и дозы облучения.
Состояние системы крови и иммунологические реакции. Постоянные изменения в крови наблюдаются, как правило, при ППЭ выше 10 мВт/см2 , хотя и при меньших уровнях воздействия наблюдаются фазовые изменения количества лейкоцитов, эритроцитов и гемоглобина (чаще лейкоцитоз, эозинопения, повышение эритроцитов и гемоглобина) [8, ст.170]
Качественные особенности иммунологических реакций напоминают ответ на стероидные гормоны и воздействие теплового фактора. При длительном воздействии ЭМП происходит физиологическая адаптация или ослабление иммунологических реакций.
Поражение глаз в виде помутнения хрусталика — катаракты является одним из наиболее характерных специфических последствий воздействия ЭМП в условиях производства. Многочисленными экспериментальными исследованиями показана зависимость поражения хрусталика от вида и интенсивности облучения. При воздействии миллиметровых волн изменения наступали немедленно, но быстро проходили, в то время как при частоте 35 ГГц они были стойкими, т. к. являлись результатом повреждения эпителия роговицы. При частоте около 400 кГц повреждений, как правило, не наблюдалось. В основе наблюдавшихся поражений лежал тепловой эффект, который, как оказалось, обладает способностью к кумуляции. Видимым макроструктурным изменениям предшествуют одновременно возникающие более тонкие биохимические и морфологические изменения, обнаруживаемые с помощью электронного микроскопа. Помимо этого, следует иметь в виду и возможность неблагоприятного воздействия ЭМП-облучения на сетчатку и другие анатомические образования зрительного анализатора.
Клинико-эпидемиологическими исследованиями людей, подвергавшихся производственному воздействию СВЧ-облучения при интенсивности его ниже 10 мВт/см2 , показано отсутствие каких-либо проявлений катаракты.
Клинические проявления воздействия ЭМП-радиочастот. Непосредственные наблюдения на людях свидетельствуют о большом полиморфизме жалоб и отмечаемых симптомов.
Воздействия ЭМП с уровнями, превышающими допустимые, могут приводить к изменениям функционального состояния центральной нервной и сердечно-сосудистой систем, нарушению обменных процессов и др. При воздействии значительных интенсивностей СВЧ могут возникать более или менее выраженные помутнения хрусталика глаза (катаракта). Нередко отмечаются изменения в составе периферической крови. Начальные изменения в организме обратимы. При хроническом воздействии ЭМП изменения в организме могут прогрессировать и приводить к выраженной патологии с астеновегетативными, ангиодистоническими и диэнцефальными проявлениями или энцефалопатии с выраженными органическими симптомами [9, ст. 201]
В результате воздействия радиочастотных излучений клинически различают 3 стадии изменений в организме: начальную, умеренно выраженную и выраженную, хотя клинические проявления у больных, как правило, не укладываются в рамки строго определенных синдромов, и на практике заболевание обозначается как «последствия хронического воздействия СВЧ-поля».
Раздел 3. Гигиеническое нормирование ЭМП радиочастот
Интенсивность электромагнитных полей радиочастот на рабочих местах персонала, осуществляющего работы с источниками ЭМП, и требования к проведению контроля регламентируются ГОСТом 12.1.006—84 «Электромагнитные поля радиочастот. Допустимые уровни на рабочих местах и требования к проведению контроля».
ЭМП радиочастот в диапазоне частот 60 кГц — 300 МГц оцениваются напряженностью электрической и магнитной составляющих поля; в диапазоне частот 300 МГц—300 ГГц — поверхностной плотностью потока энергии (ППЭ) излучения и создаваемой им энергетической нагрузкой (ЭН).
ЭН представляет собой суммарный поток энергии, проходящий через единицу облучаемой поверхности за время действия (Т), и выражается произведением ППЭ-Т.
Напряженность ЭМП в диапазоне частот 60 кГц—300 МГц на рабочих местах персонала в течение рабочего дня не должна превышать установленных предельно допустимых уровней (ПДУ):
по электрической составляющей, В/м:
50 — для частот от 60 кГц до 3 МГц;
20 — для частот от 3 МГц до 30 МГц;
10 — для частот от 30 МГц до 50 МГц;
5 — для частот от 50 МГц до 300 МГц;
по магнитной составляющей, А/м:
5 — для частот от 60 кГц до 1,5 МГц;
0,3 — для частот от 30 МГц до 50 МГц.
Допускаются уровни выше указанных, но не более чем в 2 раза, в случаях, когда время воздействия ЭМП на персонал не превышает 50% продолжительности рабочего времени.
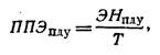
Предельно допустимые значения плотности потока энергии ЭМП в диапазоне частот 300 МГц—300 ГГц на рабочих местах персонала следует определять, исходя из допустимой энергетической нагрузки на организм с учетом времени воздействия по формуле:

где ППЭпду — предельно допустимое значение плотности потока энергии, Вт/м2 (мВт/см2 , мкВт/см2 ); ЭНПДУ — нормативная величина энергетической нагрузки за рабочий день, равная: 2Вт•ч/м2 (200 мкВ•ч/см2 ) для всех случаев облучения, исключая облучение от вращающихся и сканирующих антенн; 20 Вт•ч/м2 (2000 мкВ*•ч/см2 ) для случаев облучения от вращающихся и сканирующих антенн с частотой вращения или сканирования не более 1 Гц и скважностью не менее 50; Т — время пребывания в зоне облучения за рабочую смену, ч (без учета режима вращения или сканирования антенн).
Максимальное значение ППЭпду не должно превышать 10 Вт/м2 (1000 мкВт/см2 ) [1, ст.102]
Раздел 4. Защитные мероприятия при работе с источниками ЭМП
Все средства и методы защиты от ЭМП могут быть разделены на 3 группы: организационные, инженерно-технические и лечебно-профилактические. Организационные мероприятия как при проектировании, так и на действующих объектах предусматривают предотвращение попадания людей в зоны с высокой напряженностью ЭМП, создание санитарно-защитных зон вокруг антенных сооружений различного назначения. Для прогнозирования уровней электромагнитных излучений на стадии проектирования используются расчетные методы определения ППЭ и напряженности ЭМП.
Общие принципы, положенные в основу инженерно-технической защиты, сводятся к следующему: электрогерметизация элементов схем, блоков, узлов установки в целом с целью снижения или устранения электромагнитного излучения; защита рабочего места от облучения или удаление его на безопасное расстояние от источника излучения. Для экранирования рабочего места рекомендуется использовать различные типы экранов: отражающие (сплошные металлические из металлической сетки, металлизированной ткани) и поглощающие (из радиопоглощающих материалов).
В качестве средств индивидуальной защиты рекомендуется специальная одежда, выполненная из металлизированной ткани, и защитные очки.
В том случае, когда облучению подвергаются только отдельные части тела или лицо, возможно использование защитного халата, фартука, накидки с капюшоном, перчаток, очков, щитков.
Лечебно-профилактические мероприятия должны быть направлены прежде всего на раннее выявление нарушений в состоянии здоровья работающих. Предусмотрены предварительные и периодические медосмотры для лиц, работающих в условиях воздействия СВЧ (миллиметровых, сантиметровых, дециметровых диапазонов), 1 раз в 12 мес. Для лиц, работающих в условиях воздействия ЭМП УВЧ и ВЧ-диапазона (средние, длинные и короткие волны), периодические медосмотры работающих осуществляются 1 раз в 24 мес. В медицинском осмотре принимают участие терапевт, невропатолог, офтальмолог.
При выявлении симптомов, характерных для воздействия ЭМП, углубленное обследование и последующее лечение проводится в соответствии с особенностями выявленной патологии [1, ст. 103].
Вывод
Электромагнитную энергию используют в радио-, радиорелейной и космической связях, радиолокации, радионавигации, на телевидении, в металлургии и металлообрабатывающей промышленности для индукционного плавления, сварки, напиливания металлов, в деревообрабатывающей, текстильной, легкой и пищевой промышленности, в радиоспектроскопии, современной вычислительной технике, медицине и тому подобное.
В производственных помещениях источниками электромагнитного излучения являются неэкранированые рабочие элементы высокочастотных установок (индукторы, конденсаторы, высокочастотные трансформаторы, батареи конденсаторов, катушки колебательных контуров и тому подобное). При эксплуатации ВЧ-, ДВЧ-, УВЧ-приемников на радио- и телецентрах источниками электромагнитного излучения являются высокочастотные генераторы, антенные коммутаторы, устройства составления мощностей электромагнитного поля, коммуникации (от генератора к антенному устройству), антенны.
Влияние ЭМП на организм зависит от длина волны, интенсивности излучения, режим излучения - непрерывный и прерывистый, а также от длительности влияния на организм, комбинированного действия других производственных факторов (повышенная температура воздуха, наличие рентгеновского излучения, шума и тому подобное), которые способны изменить возможность сопротивления организма на действие ЭМП.
Электромагнитное излучение - мощный физический раздражитель. Разные организмы имеют разную чувствительность к естественным и антропогенным (искусственных) ЭМП: характер и выраженность биологического эффекта зависят от параметров ЭМП и уровня организации биосистемы. Миллиметровые волны ЭМП влияют преимущественно на рецепторный аппарат, волны большей длины - на центральную нервную систему.
Радиочастотное излучение разные органы и системы организма поглощают по-разному: существенное значение имеют их форма и линейные размеры, ориентация относительно источника ЭМП. Первичные изменения функций центральной нервной системы и связанные с ними нарушения вызывают биологические эффекты на уровне органов и систем. Длительное действие высоких уровней электромагнитного излучения приводит к перенапряжению адаптационно-компенсаторных механизмов, существенных отклонений функций органов и систем, нарушения обмена веществ и ферментативной активности, гипоксии, органических изменений. Поскольку в производственной среде электромагнитное излучение действует, как правило, в комплексе с другими факторами, его влияние на организм человека усиливается.
Эффекты от влияния на биологические ткани человека электромагнитного излучения радиочастотного диапазона малой мощности разделяются на тепловых и нетепловых. Тепловой эффект может оказываться у человека или повышением температуры тела, или выборочным (селективным) нагреванием отдельных его органов, терморегуляция которых затруднена (желчного и мочевого пузырей, желудка, кишок, яичек, хрусталиков).
Условно различают такие механизмы биологического действия ЭМП:
• непосредственное действие на ткани и органы, когда изменяется функция центральной нервной системы и связаная с ней нейрогуморальна регуляция;
• рефлекторные изменения нейрогуморальной регуляции;
• сочетание основных механизмов патогенеза, действия ЭМП с подавляющим нарушением обмена веществ, активности ферментов.
Удельный вес каждого из этих механизмов определяется физическими и биологическими изменениями в организме человека.
В отдельных случаях у человека появляются боль в сердце, отдышка, сердцебиение, головокружение, повышена потливость, усиливается функция щитовидной железы, нарушается менструальный цикл у женщин и наблюдается половая слабость у мужчин; изменяется формула крови (уменьшается количество лейкоцитов и тромбоцитов). Одним из специфических поражений человека есть катаракта, которая может возникнуть сразу после облучения, через 3-6 дней или развиваться постепенно на протяжении нескольких лет. Катаракта вызывается нагреванием хрусталика к температуре сверх допустимых физиологичных пределов. Кроме катаракты возможно повреждение стромы роговицы и кератит.
Следовательно, влияние электромагнитного излучения имеет системный характер и нуждается в соответствующих системных методах защиты от него.
Самыми распространенными из таких методов являются такие:
- уменьшение плотности потока энергии, если позволяет данный технологический процесс или оборудование.
- защита временами (то есть ограничение времени нахождения в зоне источника ЭМП).
- защита расстоянием.
- экранирование рабочего места или источника.
- рациональное планирование рабочего места.
- применение средств предупредительной сигнализации.
- применение средств личной защиты.
Для уменьшения влияния электромагнитных полей на персонал, который находится в зоне действия некоторых радиоэлектронных средств, необходимы защитные мероприятия: организационные, инженерно-технические и лечебно-профилактические.
Список использованной литературы
1. Алексеев С.В., Усенко В.Р. Гигиена труда. – М.: Медицина, 1988. – 576 с.
2. Безпека життєдіяльності / За ред. Я. І. Бедрія. — Львів, 2000. – 124 с.
3. Брага В.М., Квашніна О.В., Сівак О.А. Виживання у надзвичайних ситуаціях – Черкаси, 2005. – 68 с.
4. Гайченко В. А., Коваль Г. М. Основи безпеки життєдіяльності людини: Навч. посіб. — 2-ге вид., стереотип. — К.: МАУП, 2004. — 232 с.
5. Єлісєєв А. Г. Охорона праці. — К., 1995. – 248 с.
6. Иванюков М.И., Алексеев В.С. Основы безопасности жизнедеятельности. Учебное пособие. – К: Москва. - 2007. – 153 с.
7. Кочін І.В., Букін В.Є., Савчук О.М. Охорона праці та безпека життєдіяльності населення у надзвичайній ситуації – Київ, «Здоров’я», 2005. – 430 с.
8. Пістун І.П. Безпека життєдіяльності. – Львів, 1996. – 528 с.
9. Скобло Ю.С., Соколовська Т.Б., Мазоренко Д.І., Тіщенко Л.М., Троянов М.М. Безпека життєдіяльності: Навчальний посібник для вищих навчальних заклаів 3-4 рівнів акредитації. – Київ: Кондор, 2006. – 422 с.