| Скачать .docx |
Реферат: Охрана труда и техника безопасности
Содержание
1.Экологическая экспертиза техники и технологий.
2.Закон "Об основах охраны труда в РФ " об обязанностях работодателей и работников в области охраны труда.
3.Анализ опасности включения человека в электрические сети.
4.Виды ионизирующих излучений. Действие ионизирующих излучений на людей. Отличие действия электромагнитных излучений радиочастот от действия ионизирующих излучений.
5.Характеристики пожарной опасности жидких горючих веществ, паро-воздушных смесей.
6.Обучение по охране труда. Категории лиц, подлежащих обязательному обучению.
1.Экологическая экспертиза техники и технологий.
Анализ причин появления опасности для человека при его взаимодействии с техническими системами позволяет выделить причины – организационные и технические. Для устранения организационных причин совершенствуется технологический процесс, уточняются процедуры подготовки и контроля операторов. При этом техническая система рассматривается как замкнутая система, взаимодействующая с окружающей средой. В этом случае под окружающей средой понимается комплекс условий на каждом этапе жизненного цикла системы. В комплекс условий включаются все возможные факторы, воздействующие на систему, в том числе профессионализм конструкторов, технологические факторы производственного процесса изготовления, режимы эксплуатации (электрические, тепловые и др.). Объективной закономерностью является то, что при переходе от этапа к этапу в жизненном цикле технической системы количество воздействующих на систему факторов возрастает, увеличивается и степень жесткости их влияния. Это ведет к уменьшению надежности и увеличению опасности в цепочке “человек–техническая система–окружающая среда”, что делает задачу обеспечения безопасности технических систем чрезвычайно сложной.
На практике необходимый уровень безопасности технических средств и технологических процессов устанавливается системой государственных стандартов безопасности труда (ССБТ) с помощью соответствующих показателей. Стандарты формулируют общие требования безопасности, а также требования безопасности к различным группам оборудования, производственных процессов, требования к средствам обеспечения безопасности труда.
Нормативные показатели безопасности во всех сферах труда разрабатываются в соответствии с санитарными нормами и вводятся посредством соответствующих государственных стандартов (ГОСТ). Так, например, внедрение новой техники увеличило интенсивность шума и вибрации и расширило диапазон частот в ультра и инфразвуковых частях спектра колебаний. Это вызвало необходимость разработки и включения в ГОСТ нормативов допустимых уровней ультра- и инфразвука на производстве.
Соответствующие нормативы, гарантирующие безопасное взаимодействие человека с техническимисистемами и технологическими процессами, установлены для электромагнитных полей, электрического напряжения и тока, излучений оптического диапазона, ионизирующих излучений, химических, биологических и психофизических опасных и вредных факторов. При разработке технических средств и технологий применяются все возможные меры для снижения опасных и вредных факторов ниже предельно допустимого уровня. Для каждого технического средства разрабатываются правила эксплуатации, гарантирующие безопасность при их выполнении. Для каждой технологической операции также разрабатываются правила техники безопасности.
Технические системы и технологии представляют опасность для человека своим опосредованным действием, так как современное производство сопровождается загрязнением окружающей среды, во взаимодействии с которой живет человек. Проблемы охраны окружающей среды требуют государственного законодательного регулирования, контроля на региональном уровне с участием общественности. Это связано с тем, что однозначное определение источников и размеров экологического ущерба в каждом конкретном случае представляет значительные трудности. Кроме того, обеспечение экологической безопасности производственных процессов и технических средств требует расходов, повышающих их стоимость, и может быть экономически целесообразным только при адекватном возмещении виновниками экологического ущерба, нанесенного окружающей среде.
Организационно-правовой формой предупредительного контроля является экологическая экспертиза.
Государственная экологическая экспертиза представляет собой рассмотрение и оценку проектной документации, а также новой техники, технологии, материалов с позиции их соответствия экологическим нормативам, проводимое государственными органами и экспертными комиссиями. Государственная экологическая экспертиза является обязательной мерой охраны окружающей природной среды, предшествующей принятию хозяйственного решения, осуществление которого может оказать вредное воздействие на окружающую природную среду. Помимо государственной, в ряде случаев проводится общественная экологическая экспертиза научными коллективами, общественными организациями по их инициативе. Задачей общественной экспертизы является привлечение внимания государственных органов к определенному объекту, широкое распространение научно обоснованной информации о его потенциальной экологической опасности. Заключение общественной экологической экспертизы носит рекомендательный, информационный характер. После утверждения органами государственной экологической экспертизы заключение становится юридически обязательным. В общественную экспертную комиссию могут входить представители общественности, ученые, деятели культуры.
Основными экологическими нормативными показателями предприятий, технических средств, технологий являются предельно допустимые выбросы и предельно допустимые сбросы.
Предельно допустимый выброс (ПДВ) в атмосферу устанавливают для каждого источника загрязнения атмосферы при условии, что выбросы вредных веществ от данного источника с учетом рассеивания вредных веществ в атмосфере, не создадут приземную концентрацию, превышающую их предельно допустимые концентрации (ПДК) для населения, растительного и животного мира.
Для атмосферного воздуха населенных мест нормируются максимально разовая и среднесуточная ПДК (список № 3086-84). При отсутствии данных о загрязняющих веществах в этом списке нормирование производится по ориентировочному безопасному уровню воздействия (ОБУВ) загрязняющих веществ в атмосферном воздухе населенных мест (список № 4417-87).
Максимально разовая ПДК является основной характеристикой опасности вредных веществ, не обладающих кумулятивным вредным действием. В случаях, когда в воздухе находится одновременно несколько вредных веществ, ПДК устанавливают с учетом того, что некоторые из них оказывают взаимоусиливающее действие: ацетон и фенол, диоксид серы и фенол, диоксид азота и формальдегид, диоксид серы и диоксид азота, диоксид серы и сероводород, циклогексан и бензол и др.
При выбросах объектами вредных веществ, претерпевающих полностью или частично химические превращения в атмосфере в более токсичные вещества, расчеты необходимо производить с учетом образования новых токсичных веществ.
В соответствии с СН 369-74 наибольшая концентрация каждого вредного вещества в мг/м3 в приземном слое атмосферы не должна превышать максимальной разовой предельно допустимой концентрации данного вредного вещества, установленной СН 245-71. При одновременном совместном присутствии в атмосфере нескольких вредных веществ, обладающих суммацией действия, их безразмерная суммарная концентрация не должна превышать единицы
![]()
где С1 , С2 ... С – концентрация вредных веществ, в атмосферном воздухе в одной и той же точке местности в мг/м3 ; ПДК1 , ПДК2 , ... ПДКП – соответствующие предельно допустимые концентрации вредных веществ в атмосферном воздухе в мг/м3 .
Максимальная приземная концентрация вредных веществ при неблагоприятных метеорологических условиях достигается на оси факела выброса по направлению среднего ветра. При этом существуют значения опасной скорости ветра, когда возможно накопление вредных веществ на некотором расстоянии от источника выброса. Концентрация примесей в воздухе тем меньше, чем выше источник выброса (устье заводской трубы) над уровнем земли и больше разность температур выбрасываемых аэрозолей и окружающей среды, чем лучше условия вертикального и горизонтального рассеивания вредных веществ в атмосферном воздухе. Эти обстоятельства определяют вид формулы для расчета ПДВ от конкретных источников загрязнений. Если в воздухе городов или других населенных пунктов концентрации вредных веществ превышают ПДК, а значения ПДВ по причинам объективногохарактера в настоящее время не могут быть достигнуты, вводится поэтапное снижение выбросов от действующих предприятий до значений, обеспечивающих соблюдение ПДК или полного предотвращения выбросов.
На каждом этапе до обеспечения величин ПДВ устанавливают временно согласительные выбросы вредных веществ (ВСВ) на уровне выбросов предприятий с наилучшей достигнутой технологией и технологическими процессами.
При установлении ПДВ (ВСВ) учитывается перспектива развития предприятия, физико-географические и климатические условия местности, взаимное расположение промышленных и жилых зон. Пересматриваются ПДВ каждые пять лет.
Если невозможно устранить или существенно уменьшить выбросы вредных веществ от отдельных объектов, в территориально-ведомственных планах должны предусматриваться сроки вывода этих объектов из жилых зон городов, изменение профиля производства этих объектов или организация для них санитарно-защитных зон.
Предельно-допустимый сброс (ПДС) вещества в водный объект – это масса вещества в сточных водах, максимально допустимая к отведению с установленным режимом в данном пункте водного объекта в единицу времени с целью обеспечения норм качества воды в контрольном пункте. Нормы устанавливаются с учетом ПДК веществ в местах водопользования, ассимилирующей способности водного объекта и оптимального распределения массы сбрасываемых веществ между водопользователями. ПДК веществ в водных объектах – это такая концентрация веществ в воде в мг/л, выше которой она становится непригодной для пользования. Правилами охраны поверхностных вод от загрязнения запрещено сбрасывать в водные объекты сточные воды, содержащие вещества, для которых ПДК не установлены. В этих случаях необходимо обеспечить исследования для изучения степени вредности и обоснования ПДК вредных веществ. ПДК может быть разной в зависимости от назначения водоемов: водных объектов хозяйственно-питьевого и культурно-бытового назначения и водных объектов, используемых для рыбохозяйственных целей.
Постановлением правительства “О санитарной охране водопроводов и источников водоснабжения” предусматривается образование зон санитарной охраны источников водоснабжения. Для охраны и улучшения гидрологического режима, благоустройства рек, озер, водохранилищ и их прибрежных территорий, устанавливается специальный режим охраны вод от загрязнения. Размер зоны зависит от протяженности русла реки и колеблется от 100 до 500 м.
В качестве критериев оценки загрязненности почв предусмотрено установление нормативов предельно допустимых концентраций вредных химических, бактериальных, паразитарно-бактериальных и радиоактивных веществ в почве. Миграция вредных веществ в почве осуществляется в основном в результате диффузии или массопереноса. ПДК загрязняющих веществ в почве выражается в мг/кг.
Например, ПДК для свинца составляет 30 мг/ кг, для ртути 2,1 мг/кг.
В тех случаях, когда предприятия проводят работы, связанные с нарушением земель, они обязаны обеспечить снятие, использование и сохранение плодородного слоя почвы, а по окончании работ провести рекультивацию нарушенных земель, восстановление их плодородия и других полезных свойств земли.
Острой экологической проблемой является размещение быстро растущего количества отходов и очистка старых свалок. Решить проблему может только снижение количества производимых отходов, внедрение безотходных технологий.
В США захоронение и сжигание отходов оказывается в три раза дороже, чем переработка отходов и восстановление вторичных материалов – утилизация. Так, одна бутылка может быть в употреблении до тридцати раз.
Задачу утилизации облегчает раздельный сбор отходов. Одной из проблем захоронения отходов является образование попутных газов – метана и двуокиси углерода, которые могут приводить к взрывам и пожарам и требуют специального отвода.
Комплексные экологические требования применительно к каждому отдельному предприятию конкретизируются в его экологическом паспорте. Экологический паспорт промышленного предприятия – это нормативно-технический документ, включающий данные по использованию предприятием ресурсов (природных, вторичных и др.) и определению влияния его производства на окружающую среду.
Экологический паспорт разрабатывается предприятием и согласуется с территориальными органами.
Основой для разработки экологического паспорта являются основные показатели производства, проекты расчетов ПДВ, нормы ПДС, разрешение на природопользование, паспорта газо- и водоочистных сооружении и установок по утилизации и использованию отходов, формы государственной статистической отчетности.
В экологический паспорт включаются общие сведения о предприятии, об объеме промышленного производства и о технологическом регламенте, то есть о расходе сырья и вспомогательных материалов по видам продукции, и о характере готовой продукции. Такие данные позволяют объективно оценить содержание выбросов предприятия и предполагаемое количество отходов. Информация о выбросах и сбросах, об отходах-, образующихся на предприятиях, а также характеристика полигонов и накопителей отходов дается в виде приложения к экологическому паспорту. Экологический паспорт содержит сведения об использовании земельных ресурсов, данные баланса водопотребления и водоотведения, расчет платежей за загрязнение окружающей среды. Данные о полученных разрешениях на содержание загрязнений в выбросах и сбросах должны быть в экологическом паспорте. В случае загрязнения природной среды без надлежащего оформления вся масса загрязняющих веществ рассматривается как сверхнормативная и плата за загрязнение определяется по нормативам платы за превышение допустимых выбросов загрязняющих веществ.
2.Закон "Об основах охраны труда в РФ " об обязанностях работодателей и работников в области охраны труда.
Основы законодательства Российской Федерации об охране труда обеспечивают единый порядок регулирования отношений в области охраны труда между работодателями и работниками на предприятиях, в учреждениях и организациях всех форм собственности независимо от сферы хозяйственной деятельности и ведомственной подчиненности. Основы законодательства устанавливают гарантии осуществления права на охрану труда и направлены на создание условий труда, отвечающих требованиям сохранения жизни и здоровья работников в процессе трудовой деятельности и в связи с ней.
Охрана труда – это система обеспечения безопасности жизни и здоровья работников в процессе трудовой деятельности, включающая правовые, социально-экономические, организационно-технические, санитарно-гигиенические, лечебно-профилактические, реабилитационные и иные мероприятия.
Законодательство РФ об охране труда состоит из соответствующих норм Конституции РФ, основ законодательства РФ об охране труда и издаваемых в соответствии с ними законодательных и иных нормативных актов.
Основные направления государственной политики в области охраны труда:
- признание и обеспечение приоритета жизни и здоровья работников по отношению к результатам производственной деятельности предприятий;
- установление единых нормативных требований по охране труда для предприятий всех форм собственности независимо от сферы хозяйственной деятельности и ведомственной подчиненности;
- государственное управление деятельностью в области охраны труда, включая государственный надзор и контроль за соблюдением законов и иных нормативных актов об охране труда;
- общественный контроль за соблюдением законных прав и интересов работников в области охраны труда, осуществляемый через профессиональные союзы и иные представительные органы;
- защита интересов работников, пострадавших от несчастных случаев на производстве или получивших профессиональные заболевания, а также членов их семей;
- проведение эффективной налоговой политики, стимулирующей создание здоровых и безопасных условий труда, разработку и внедрение безопасной техники и технологий, средств коллективной и индивидуальной защиты;
- применение экономических санкций в целях соблюдения предприятиями и работниками нормативных требований по охране труда.
- Каждый работник имеет право на охрану труда, в том числе:
- на рабочее место, защищенное от воздействия вредных или опасных производственных факторов;
- на возмещение вреда, причиненного увечьем, профессиональным заболеванием либо иным повреждением здоровья, связанными с исполнением им трудовых обязанностей;
- на обучение безопасным методам и приемам труда за счет работодателя и др.
Государство в лице органов законодательной, исполнительной и судебной властей гарантирует право на охрану труда работникам, участвующим в трудовом процессе по трудовому договору (контакту) с работодателем. Условия трудового договора (контакта) должны соответствовать требованиям законодательных и нормативных актов по охране труда.
В 1994 г. была создана межведомственная комиссия на уровне заместителей министров и ведомств РФ для координации деятельности министерств и ведомств Р3>, привлечения компетентных организаций, ученых и специалистов в целях реализации Основ законодательства РФ об охране труда.
Основным законом об охране труда на территории Российской Федерации является Федеральный закон от 17.07.99 № 181-ФЗ “Об основах охраны труда в Российской Федерации”, вступивший в силу 24 июля 1999 года.
Он устанавливает правовые основы регулирования отношений в области охраны труда между работодателями и работниками, и направлен на создание условий труда, соответствующих требованиям сохранения жизни и здоровья работников в процессе трудовой деятельности. Действие нового Закона распространяется на всех работодателей, независимо от сферы хозяйственной деятельности и ведомственной подчиненности; работников, состоящих с работодателями в трудовых отношениях; студентов образовательных учреждений высшего профессионального и среднего профессионального образования, учащихся образовательных учреждений начального и среднего профессионального образования и образовательных учреждений среднего (полного) общего, основного общего образования, проходящих производственную практику; военнослужащих, направляемых на работу в организации; а также на граждан, отбывающих наказание по приговору суда, в период их работы в организациях.
Законодателем подробно изложены права работников на охрану труда. Каждый из них имеет право на рабочее место, соответствующее требованиям охраны труда; обязательное социальное страхование от несчастных случаев на производстве и профессиональных заболеваний в соответствии с законодательством Российской Федерации; обеспечение средствами индивидуальной и коллективной защиты за счет средств работодателя; компенсации, установленные законодательством Российской Федерации и законодательством субъектов Российской Федерации, коллективным договором, трудовым договором (контрактом), если работник занят на тяжелых работах и работах с вредными или опасными условиями труда, и др.
Кроме того, по сравнению с ранее действовавшими Основами законодательства Российской Федерации об охране труда, работники вправе проходить внеочередной медицинский осмотр (обследование) в соответствии с медицинскими рекомендациями с сохранением за ними места работы (должности) и среднего заработка на время прохождения указанного медицинского осмотра.
Работодатель, среди прочего, обязан теперь проводить аттестацию рабочих мест по условиям труда с последующей сертификацией работ по охране труда в организации.
В целях обеспечения соблюдения требований охраны труда, осуществления контроля за их выполнением в каждой организации, осуществляющей производственную деятельность, с численностью более 100 работников создается служба охраны труда или вводится должность специалиста по охране труда, имеющего соответствующую подготовку или опыт работы в этой области.
В организациях с численностью более 10 работников работодателями создаются комитеты (комиссии) по охране труда. В их состав на паритетной основе входят представители работодателей, профессиональных союзов или иного уполномоченного работниками представительного органа.
Государственный надзор и контроль за соблюдением требований охраны труда осуществляются федеральной инспекцией труда – единой федеральной централизованной системой государственных органов.
Государственные инспектора труда при исполнении своих обязанностей имеют право: беспрепятственно в любое время суток при наличии удостоверений установленного образца посещать в целях проведения инспекции организации всех организационно-правовых форм; запрашивать и безвозмездно получать от руководителей и иных должностных лиц организаций, органов исполнительной власти, органов местного самоуправления, работодателей документы, объяснения, информацию, необходимые для выполнения надзорных и контрольных функций; расследовать в установленном порядке несчастные случаи на производстве и др.
Законом предусмотрено проведение государственной экспертизы условий труда, осуществляемой Всероссийской государственной экспертизой условий труда и государственными экспертизами условий труда субъектов Российской Федерации.
Задачами государственной экспертизы условий труда являются контроль за условиями и охраной труда, качеством проведения аттестации рабочих мест по условиям труда, правильностью предоставления компенсаций за тяжелую работу и работу с вредными или опасными условиями труда. Помимо этого, заключение государственной экспертизы условий труда является обязательным основанием для рассмотрения судом вопроса о ликвидации организации или ее подразделения при выявлении нарушения требований охраны труда. В заключение следует отметить, что ранее решения о закрытии предприятий или их структурных подразделений принимал соответствующий орган исполнительной власти по труду.
На федеральном уровне установлено, что в РФ действует система правовых актов, содержащих единые нормативные требования по охране труда, которые должны соблюдаться федеральными органами исполнительной власти, предприятиями, учреждениями и организациями всех форм собственности при проектировании и эксплуатации объектов, конструировании машин, механизмов и оборудования, разработке технологических процессов, организации производства и труда. В нее входят:
- государственные стандарты (ГОСТы) РФ;
- система стандартов безопасности труда (ССБТ);
- отраслевые стандарты ОСТ ССБТ;
- санитарные правила СП;
- гигиенические нормативы ГН;
- правила безопасности ПБ;
- инструкция по безопасности ИБ;
- правила по охране труда отраслевые ПОТО;
- типовые отраслевые инструкции по охране труда ТОИ.
Органы государственной власти субъектов РФ на основе государственных правовых актов, содержащих требования по охране труда, разрабатывают и утверждают соответствующие нормативные правовые акты по охране труда.
Предприятия, учреждения и организации разрабатывают и утверждают стандарты предприятия системы ССБТ, инструкции по охране труда для работников и на отдельные виды работ (ЙОТ) на основе государственных, правовых актов.
Профессиональные союзы в лице их соответствующих органов и иные уполномоченные работниками представительные органы имеют право принимать участие в разработке и согласовании нормативных правовых актов по охране труда.
ССБТ – комплекс взаимосвязанных стандартов, направленных на обеспечение безопасности труда, сохранения здоровья и работоспособности человека в процессе труда.
ССБТ устанавливает требования и нормы по видам опасных и вредных производственных факторов:
- требования безопасности к производственному оборудованию;
- требования безопасности к производственным процессам;
- требования к средствам защиты работающих.
Система стандартов безопасности труда ССБТ насчитывает несколько сот государственных и отраслевых стандартов. На основе ССБТ создаются новые безопасные техника и технологии, планируются и осуществляются мероприятия по улучшению санитарно-гигиенических условий труда на рабочих местах, осуществляется контроль состояния условий и охраны труда.
Обеспечение безопасности производственного оборудования и технологических процессов должно достигаться приведением их в соответствие с требованием ССБТ.
Стандарты предприятий по безопасности труда (СТПБТ) являются составной частью ССБТ. Стандарт предприятия регламентирует организацию работы по обеспечению безопасности труда на предприятии.
Инструкция по охране труда (ЙОТ) является нормативным документом, устанавливающим требования безопасности при выполнении работ в производственных помещениях и в иных местах, где работающие выполняют порученную им работу или служебные обязанности. Инструкции могут разрабатываться как для работающих отдельных профессий, так и для отдельных видов работ. Инструкции должны включать только те требования, которые касаются безопасности труда и выполняются самими работающими.
Инструкции разрабатываются на основе типовых инструкций, требований безопасности, изложенных в эксплуатационной документации используемых технических средств, а также с учетом конкретных условий работы.
Требования ЙОТ являются обязательными для работающих. Невыполнение их рассматривается как нарушение производственной дисциплины.
Для организации работы по охране труда на предприятии создаются в случае необходимости службы охраны труда или привлекаются специалисты по охране труда на договорной основе. Структура и численность работников службы охраны труда предприятия определяется работодателем с учетом рекомендаций государственного органа управления охраной труда.
Ответственность за состояние условий и охраны труда на предприятии возлагается на работодателя. В обязанности работодателя входит обеспечение безопасности оборудования, технологических процессов и применяемых сырья и материалов, выполнение требований законодательства и нормативных актов, в частности, организация медицинских осмотров при поступлении на работу и периодических осмотров в процессе работы.
Оценка фактического состояния условий труда производится на основании данных аттестации рабочих мест или специальных инструментальных замеров уровней факторов производственной среды, которые отражаются в карте условий труда на рабочем месте.
Превышение ПДК и ПДУ на рабочих местах считается нарушением норм и правил по охране труда.
Государственное управление ОТ, надзор и контроль осуществляет государственный орган, полномочия которого определяются Президентом РФ и по его поручению Правительством РФ. Нормы и правила ОТ, утверждаемые этим государственным органом управления ОТ, обязательны для исполнения на территории РФ предприятиями всех форм собственности.
3.Анализ опасности включения человека в электрические сети.
Основные случаи поражения электрическим током происходят при прикосновении человека не менее чем к двум точкам сети, имеющим разные потенциалы. Опасность такого прикосновения зависит от условий включения человека в сеть, схемы сети, режима ее нейтрали, величины напряжения и состояния изоляции токоведущих частей от земли. Для анализа опасности электропоражёния рассматриваются различные электрические сети и определяются сила тока и напряжение, под которым может оказаться человек в случае прикосновения.
Включение человека в электрическую сеть может быть однофазным и двухфазным. Однофазное включение представляет собой подключение человека между одной из фаз сети и землей.
Сила поражающего тока в этом случае зависит от режима нейтрали сети, сопротивлений человека, обуви, пола, изоляции фаз относительно земли. Однофазное включение возникает значительно чаще и часто служит причиной электрических травм в сетях любого напряжения.
При двухфазном включении человек прикасается к двум фазам электрической сети. При двухфазном включении сила тока, протекающего через тело (поражающий ток), зависит лишь от напряжения сети и сопротивления тела человека и не зависит от режима нейтрали питающего трансформатора сети.
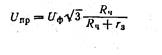
Электрические сети делят на однофазные и трехфазные. Однофазная сеть может быть изолирована от земли или иметь заземленный провод. На рис. 1 изображены возможные варианты подключения человека к однофазным сетям.

Рис. 1. Схема возможного прикосновения человека к однофазной сети.
а – изолированной от земли, нейтральный режим; б- то же, аварийный режим; в – с заземленным полюсом к изолированному проводу; г – с заземленным полюсом без изолированного провода.
Сила тока, проходящего через человека, Iч (в А), и напряжение прикосновения U пр (в В) для первого случая (рис. 1, а) определяются по формулам

Где U – фазное напряжение сети;
r1 , r2 – сопротивление изоляции проводов относительно земли, при расчетах обычно принимают r1 =r2 =r;
Rq – общее сопротивление тела человека, складываемое из сопротивлений тела, обуви и пола, на котором стоит человек.
В этом случае емкость проводов сети относительно земли принята равной нулю (сеть небольшой протяженности).
Анализ этих формул позволяет сделать практически полезные выводы. Опасность поражения человека при неизменном фазном напряжении зависит от сопротивлений тела человека и изоляции проводов относительно земли. Для обеспечения безопасности людей используют изолирующие свойства полов и обуви.
При аварийном режиме один из проводов сети может оказаться замкнутым на землю (см. рис. 1,б). Человек, прикоснувшийся к другому проводу, оказывается под напряжением, равным почти полному напряжению сети, а следовательно, опасность поражения человека током значительно возрастает.
Действительно, при замыкании провода 2 на землю сопротивление r 2 шунтируется сопротивлением в месте замыкания провода r3 на землю, которое мало по сравнению с r 1 и R Ч и может быть принято равным нулю (r2 = 0), тогда

При заземленной фазе сопротивление одного из проводов сети относительно земли можно принять равным сопротивлению заземления R 3 .
В случае прикосновения человека к изолированному проводу (рис. 1, в)
![]()
Откуда
![]()
Но RЧ ≥ R3 , тогда этот случай сводится ко второму варианту включения человека (рис. 1,б), рассмотренному выше (по нормам R3 ≤ 10 Ом).
При прикосновении к заземленному проводу (рис. 1, г) человек попадает лишь под небольшое напряжение, равное потере напряжения в заземленном проводе на участке от места заземления до места касания. Следовательно, сила тока будет равна
![]()
Тогда
![]()
Где Iи – сила тока нагрузки;
Zпр – полное сопротивление заземленного провода.
Опасность поражения человека при прикосновении к сетям постоянного тока оценивается так же, как и для сетей переменного тока.
Трехфазные сети, согласно Правилам устройства электроустановок (ПУЭ), при напряжении до 1000 В применяются или как трехпроводные сети с изолированной нейтралью или как четырехпроводные сети с заземленной нейтралью. При напряжении выше 1000 В, согласно ПУЭ, применяют сети трехпроводные с изолированной или заземленной нейтралью.
Поскольку методический подход к оценке опасности прикосновения к сетям с незаземленной и заземленной нейтралью одинаков, достаточно проанализировать две сети, показанные на рис . 2.
Для случая, показанного на рис. 2,а, при r1 = r2 = r3 = r и емкости проводов относительно земли, равной нулю (короткие

Рис. 2. Схема возможных прикосновений человека к трехфазной сети:
а – трехпроводной с изолированной нейтралью, нормальный режим; б – то же, аварийный режим; в – четырехпроводной с заземленной нейтралью, нормальный режим; г – то же, аварийный режим.
сети), анализ выделенной стрелками цепи с подключенным трансформатором и нагрузками RЧ , r1 , r2 , r3 приводит к выражению

Откуда
![]()
Таким образом, в сетях с изолированной нейтралью опасность поражения для человека, прикоснувшегося к одной фазе в период нормальной работы сети, определяется сопротивлением проводов и человека. С увеличением этих сопротивлений опасность уменьшается.
При аварийном режиме (рис. 2,б), когда возникло замыкание фазы 3 на землю через малое сопротивление r3 , сила тока составит

Откуда

Так как RЧ ≥ r3 , можно считать, что при аварийном режиме человек окажется почти под линейным напряжением. Следовательно, этот случай значительно опаснее первого.
При нормальном режиме сети с заземленной нейтралью (рис. 2, в) сила тока в выделенной стрелками цепи, в которой фазное напряжение приложено к сопротивлениям RЧ и R3 . определится выражением
![]()
Откуда
![]()
Таким образом, если человек прикоснется к одной из фаз трехфазной четырехпроводной сети с глухозаземленной нейтралью, то он окажется практически под фазным напряжением ( R 3 ≤ R Ч ) и сила тока, проходящего через человека при нормальной работе сети, практически не изменится с изменением сопротивления изоляции и емкости проводов относительно земли.
При аварийном режиме (рис. 2, г), так же как и в предыдущем случае, человек окажется под линейным напряжением сети.
Кроме рассмотренных выше случаев включения человека в электрическую сеть представляет опасность так называемое шаговое напряжение. Причиной появления шагового напряжения является образование электрических потенциалов на поверхности земли в пределах поля растекания тока замыкания Iа в грунте, возникающего при падении электрического провода на землю, замыкании токоведущих частей на заземленный корпус, использовании земли в качестве провода и т. п.
Величина потенциала и характер распространения на поверхности земли зависят в основном от электрических свойств и однородности грунта, формы заземлителей и силы тока.
На рис. 3 показано лучами растекание тока в однородном изотропном грунте через полусферический одиночный заземлитель.

Рис. 3. Растекание тока в грунте через полусферический заземлитель.
Распределение потенциалов на поверхности земли от места замыкания в точке А определяется выражением


Выражение (а) является уравнением гиперболы. Для других форм заземления конфигурация кривой будет отличаться от гиперболы. Шаговым напряжением Uш называется разность потенциалов между двумя точками на поверхности земли в зоне растекания тока, которые находятся на расстоянии шага а = 0,8 м. Как следует из рис. 3, в точке А величина Uш =макс, а в точке x =20 м, величина Uш =0.
4.Виды ионизирующих излучений. Действие ионизирующих излучений на людей. Отличие действия электромагнитных излучений радиочастот от действия ионизирующих излучений.
Энергия излучения, поглощенная веществом, вызывает процессы возбуждения и ионизации. Возбуждение - это переход электрона в атоме на более высокий энергетический уровень, а ионизация - это отрыв одного или нескольких электронов от атома.
Ионизирующее излучение подразделяют на электромагнитное и корпускулярное. Электромагнитное излучение состоит из сгустков энергии - фотонов. Фотоны не имеют массы и заряда, и теряют энергию, проходя через вещество. Энергию одного фотона можно вычислить по формуле: Е = hv, где h - постоянная Планка.
Ионизирующее и неионизирующее излучения различаются только энергией отдельных фотонов, а не общей энергией дозы. Связь длины волны электромагнитного излучения (лямбда) с его частотой (ню) описывается уравнением с = лямбда*ню, где с - скорость света. Таким образом, длина волны обратно пропорциональна частоте.
К электромагнитному излучению относят рентгеновское и гамма-излучение (длина волны порядка 1/10000000000 м, или 1 ангстрема). Они отличаются только источником: рентгеновское излучение - это результат преобразования кинетической энергии электронов при взаимодействии с атомами вещества, а гамма-излучение образуется при распаде радионуклидов.
Энергия фотона рентгеновского или гамма-излучения в килоэлектронвольтах (кэВ) равна 12,4/лямбда, где лямбда - длина волны в ангстремах.
Корпускулярное излучение - это поток частиц: электронов, тяжелых заряженных частиц (например, протонов, альфа-частиц, отрицательных пи-мезонов) или нейтронов. Частицы имеют определенную массу и заряд (кроме нейтронов, которые заряда не имеют). Заряженные частицы могут ускоряться в электрическом поле. Электроны (бета-частицы) имеют небольшую массу и отрицательный заряд и могут разгоняться почти до скорости света. В тканях они быстро теряют скорость и проникают лишь на небольшую глубину, поэтому электронно-лучевую терапию часто используют для лечения некоторых заболеваний кожи. Протоны заряжены положительно; их масса составляет около 1 (в атомных единицах массы) и превышает массу электронов почти в 2000 раз. При столкновении с веществом протоны теряют энергию и быстро останавливаются. Максимум потерь энергии и ионизации приходится на небольшой участок в конце пробега протонов, называемый пиком Брэгга. Глубина расположения пика Брэгга зависит от энергии протонов. Альфа-частицы - это ядра гелия, состоящие из двух протонов и двух нейтронов. Из-за большой массы и заряда они могут проходить через вещество, только обладая огромной кинетической энергией; в большинстве случаев для защиты от альфа-частиц достаточно листа бумаги.
Нейтроны имеют почти такую же массу, как и протоны, но не имеют заряда, и поэтому не могут ускоряться в электрическом поле. Нейтронное излучение образуется при столкновении заряженных частиц с бериллиевой или дейтериевой мишенью или при распаде тяжелых радионуклидов.
Одинаковые дозы различных видов излучения обладают разным биологическим эффектом. Например, действие 1 Гр нейтронов намного сильнее, чем такой же дозы рентгеновского излучения. В связи с этим введено понятие относительная биологическая эффективность ионизирующего излучения. Для количественной оценки относительной биологической эффективности применяют коэффициент качества - это безразмерная величина, равная отношению доз исследуемого и стандартного излучения (обычно рентгеновского с энергией фотона 250 кэВ), вызывающих одинаковый биологический эффект. Коэффициент качества зависит от линейной передачи энергии, дозы, мощности дозы и вида биологической системы. Обычно относительная биологическая эффективность рентгеновского, гамма-излучения и бета-частиц близка, но точная величина коэффициента качества зависит от энергии излучения. Так, рентгеновское излучение с более высокой энергией, чем стандартное, имеет меньший коэффициент качества. Плотноионизирующие излучения имеют более высокий коэффициент качества: в случае нейтронов и альфа-частиц для большинства биологических систем он приблизительно равен 3.
Линейная передача энергии - это отношение энергии, поглощенной веществом, к длине пробега ионизирующих частиц. Она служит количественной мерой плотности ионизации. Обычно линейная передача энергии выражается в килоэлектронвольтах на микрометр (кэВ/мкм); она прямо пропорциональна квадрату заряда частицы. Излучения с высокой и низкой линейной передачей энергии имеют разное биологическое действие: так, гипоксияв три раза ослабляет действие излучения с низкой линейной передачей энергии (например, рентгеновского и гамма-излучения), а при высокой линейной передаче энергии (например, у альфа-частиц) этот так называемый кислородный эффект отсутствует. Считается, что излучение с низкой линейной передачей энергии вызывает гибель клетки за счет накопления множественных повреждений ДНК, тогда как излучение с высокой линейной передачей энергии способно убить клетку, повредив ДНК в единственном месте.
Электромагнитное излучение, особенно рентгеновское, взаимодействует с веществом и вызывает ионизацию тремя путями: при помощи фотоэффекта, эффекта Комптона и образования электронно-позитронных пар. Фотоэффект преобладает при излучениях с низкой энергией (от 30 до 100 кэВ), которые используются в диагностической радиологии. Эффект состоит в том, что фотон взаимодействует с электроном одного из энергетических уровней атома (обычно К, L или М). Если энергия фотона превышает энергию связи электрона, то электрон покидает свою орбиту с кинетической энергией, равной разности между энергией фотона и энергией связи электрона. Фотоэлектрический эффект прямо пропорционален кубу атомного номера элемента Z; именно поэтому кости видны на рентгенограммах намного лучше, чем мягкие ткани.
У излучений с более высокой энергией, используемых в терапевтической радиологии, преобладает эффект Комптона. Он состоит в том, что при столкновении фотона с электроном, находящимся на орбите, часть энергии фотона переходит в кинетическую энергию электрона, а фотон, потеряв часть энергии, изменяет направление движения.
Фотоны с энергией выше 1,02 МэВ могут вызывать образование электронно-позитронных пар. Позитрон имеет такую же массу, как и электрон, но положительно заряжен. Пройдя небольшое расстояние, он соединяется с электроном из другой пары. При этом масса обеих частиц переходит в энергию с излучением в противоположных направлениях двух фотонов.
Биологическое действие ионизирующих излучений и способы защиты от них
Различают два вида эффекта воздействия на организм ионизирующих излучений: соматический и генетический . При соматическом эффекте последствия проявляются непосредственно у облучаемого, при генетическом - у его потомства. Соматические эффекты могут быть ранними или отдалёнными. Ранние возникают в период от нескольких минут до 30-60 суток после облучения. К ним относят покраснение и шелушение кожи, помутнение хрусталика глаза, поражение кроветворной системы, лучевая болезнь, летальный исход. Отдалённые соматические эффекты проявляются через несколько месяцев или лет после облучения в виде стойких изменений кожи, злокачественных новообразований, снижения иммунитета, сокращения продолжительности жизни.
При изучении действия излучения на организм были выявлены следующие особенности:
1. Высокая эффективность поглощённой энергии, даже малые её количества могут вызвать глубокие биологические изменения в организме.
2. Наличие скрытого (инкубационного) периода проявления действия ионизирующих излучений.
3. Действие от малых доз может суммироваться или накапливаться.
4. Генетический эффект - воздействие на потомство.
5. Различные органы живого организма имеют свою чувствительность к облучению.
6. Не каждый организм (человек) в целом одинаково реагирует на облучение.
7. Облучение зависит от частоты воздействия. При одной и той же дозе облучения вредные последствия будут тем меньше, чем более дробно оно получено во времени.
Ионизирующее излучение может оказывать влияние на организм как при внешнем (особенно рентгеновское и гамма-излучение), так и при внутреннем (особенно альфа-частицы) облучении. Внутреннее облучение происходит при попадании внутрь организма через лёгкие, кожу и органы пищеварения источников ионизирующего излучения. Внутреннее облучение более опасно, чем внешнее, так как попавшие внутрь ИИИподвергают непрерывному облучению ничем не защищённые внутренние органы.
Под действием ионизирующего излучения вода, являющаяся составной частью организма человека, расщепляется и образуются ионы с разными зарядами. Полученные свободные радикалы и окислители взаимодействуют с молекулами органического вещества ткани, окисляя и разрушая её. Нарушается обмен веществ. Происходят изменения в составе крови - снижается уровень эритроцитов, лейкоцитов, тромбоцитов и нейтрофилов. Поражение органов кроветворения разрушает иммунную систему человека и приводит к инфекционным осложнениям.
Местные поражения характеризуются лучевыми ожогами кожи и слизистых оболочек. При сильных ожогах образуются отёки, пузыри, возможно отмирание тканей (некрозы).
Смертельные поглощённые дозы для отдельных частей тела следующие:
· голова - 20 Гр;
· нижняя часть живота - 50 Гр;
· грудная клетка -100 Гр;
· конечности - 200 Гр.
При облучении дозами, в 100-1000 раз превышающую смертельную дозу, человек может погибнуть во время облучения ("смерть под лучом").
В зависимости от типа ионизирующего излучения могут быть разные меры защиты: уменьшение времени облучения, увеличение расстояния до источников ионизирующего излучения, ограждение источников ионизирующего излучения, герметизация источников ионизирующего излучения, оборудование и устройство защитных средств, организация дозиметрического контроля, меры гигиены и санитарии.
В России, на основе рекомендаций Международной комиссии по радиационной защите, применяется метод защиты населения нормированием . Разработанные нормы радиационной безопасности учитывают три категории облучаемых лиц:
А - персонал, т.е. лица, постоянно или временно работающие с источниками ионизирующего излучения;
Б - ограниченная часть населения, т.е. лица, непосредственно не занятые на работе с источниками ионизирующих излучений, но по условиям проживания или размещения рабочих мест могущие подвергаться воздействию ионизирующих излучений;
В - всё население.
| Таблица |
- |
Биологические нарушения при однократном (до 4-х суток) облучении всего тела человека |
| Доза облучения, (Гр) | Степень лучевой болезни | Начало проявления первичной реакции | Характер первичной реакции | Последствия облучения |
| До 0,250,25 - 0,50,5 - 1,0 | Видимых нарушений нет. Возможны изменения в крови. Изменения в крови, трудоспособность нарушена |
|||
| 1 - 2 | Лёгкая (1) | Через 2-3 ч | Несильная тошнота с рвотой. Проходит в день облучения | Как правило, 100% -ное выздоровление даже при отсутствии лечения |
| 2 - 4 | Средняя (2) | Через 1-2 ч Длится 1 сутки | Рвота, слабость, недомогание | Выздоровление у 100% пострадавших при условии лечения |
| 4 - 6 | Тяжёлая (3) | Через 20-40 мин. | Многократная рвота, сильное недомогание, температура -до 38╟ | Выздоровление у 50-80% пострадавших при условии спец. лечения |
| Более 6 | Крайне тяжёлая (4) | Через 20-30 мин. | Эритема кожи и слизистых, жидкий стул, температура -выше 38╟ | Выздоровление у 30-50% пострадавших при условии спец. лечения |
| 6-10 | Переходная форма (исход непредсказуем) | |||
| Более 10 | Встречается крайне редко (100%-ный смертельный исход) | |||
Для категорий А и Б , с учётом радиочувствительности разных тканей и органов человека, разработаны предельно допустимые дозы облучения.
Предельно допустимая доза - это наибольшее значение индивидуальной эквивалентной дозы за год, которая при равномерном воздействии в течение 50 лет не вызовет в состоянии здоровья персонала неблагоприятных изменений, обнаруживаемых современными методами.
Каждый житель Земли (категория В ) на протяжении всей своей жизни ежегодно облучается дозой в среднем 250-400 мбэр. Полученная доза складывается из природных и искусственных источников ионизирующего излучения.
| Таблица 3.5 | - | Предельно допустимые дозы облучения |
| Дозовые пределы | ||
| Группа и название критических органов человека | Предельно допустимая доза для категории А за год, бэр |
Предел дозы для категории Б за год, бэр |
| I. Всё тело, красный костный мозг | 5 | 0,5 |
| II. Мышцы, щитовидная железа, печень, жировая ткань, лёгкие, селезёнка, хрусталик глаза, желудочно-кишечный тракт | 15 | 1,5 |
| III. Кожный покров, кисти, костная ткань, предплечья, стопы, лодыжки | 30 | 3,0 |
Природные источники дают суммарную годовую дозу примерно 200 мбэр (космос - до 30 мбэр, почва - до 38 мбэр, радиоактивные элементы в тканях человека - до 37 мбэр, газ радон - до 80 мбэр и другие источники).
Искусственные источники добавляют ежегодную эквивалентную дозу облучения примерно в 150-200 мбэр (медицинские приборы и исследования - 100-150 мбэр, просмотр телевизора -1-3 мбэр, ТЭЦ на угле - до 6 мбэр, последствия испытаний ядерного оружия - до 3 мбэр и другие источники).
Всемирной организацией здравоохранения (ВОЗ) предельно допустимая (безопасная) эквивалентная доза облучения для жителя планеты определена в 35 бэр, при условии её равномерного накопления в течение 70 лет жизни.
Источники электромагнитных полей радиочастот
Источниками возникновения электромагнитных полей радиочастот являются: радиовещание, телевидение, радиолокация, радиоуправление, закалка и плавка металлов, сварка неметаллов, электроразведка в геологии (радиоволновое просвечивание, методы индукции и др.), радиосвязь и др.
Электромагнитная энергия низкой частоты 1-12 кГц широко используется в промышленности для индукционного нагрева с целью закалки, плавки, нагрева металла.
Энергия импульсивного электромагнитного поля низких частот применяется для штамповки, прессовки, для соединения различных материалов, литья и др.
При диэлектрическом нагреве (сушка влажных материалов, склейка древесины, нагрев, термофиксация, плавка пластмасс) используются установки в диапазоне частот от 3 до 150 МГц.
Ультравысокие частоты используются в радиосвязи, медицине, радиовещании, телевидении и др. Работы с источниками сверхвысокой частоты осуществляются в радиолокации, радионавигации, радиоастрономии и др.
Биологическое действие электромагнитных полей радиочастот
По субъективным ощущениям и объективным реакциям организма человека не наблюдается особых различий при воздействии всего диапазона радиоволн ВЧ, УВЧ и СВЧ, но более характерны проявления и неблагоприятны последствия воздействий СВЧ электромагнитных волн.
Наиболее характерными при воздействии радиоволн всех диапазонов являются отклонения от нормального состояния центральной нервной системы и сердечно-сосудистой системы человека. Общим в характере биологического действия электромагнитных полей радиочастот большой интенсивности является тепловой эффект, который выражается в нагреве отдельных тканей или органов. Особенно чувствительны к тепловому эффекту хрусталик глаза, желчный пузырь, мочевой пузырь и некоторые другие органы.
Субъективными ощущениями облучаемого персонала являются жалобы на частую головную боль, сонливость или бессонницу, утомляемость, вялость, слабость, повышенную потливость, потемнение в глазах, рассеянность, головокружение, снижение памяти, беспричинное чувство тревоги, страха и др.
К числу перечисленных неблагоприятных воздействий на человека следует добавить мутагенное действие, а также временную стерилизацию при облучении интенсивностями выше теплового порога.
Для оценки потенциальных неблагоприятных воздействий электромагнитных волн радиочастот приняты допустимые энергетические характеристики электромагнитного поля для различного диапазона частот - электрическая и магнитная напряжённости, плотность потока энергии.
5. Характеристики пожарной опасности жидких горючих веществ, паро-воздушных смесей.
Горением называется быстропротекающее химическое превращение веществ, сопровождающееся выделением большого количества теплоты и ярким свечением (пламенем).
В обычных условиях горение представляет собой процесс интенсивного окисления или соединения горючего вещества с кислородом воздуха. Водород и некоторые металлы могут гореть в атмосфере хлора, медь - в парах серы, магний - в диоксиде углерода и т. д. Сжатый ацетилен, хлористый азот, озон и некоторые другие могут взрываться и без кислорода.
Горение бывает полное и неполное. Полное - протекает при достаточном количестве кислорода и заканчивается образованием веществ, не способных к дальнейшему горению. Если кислорода недостаточно, то происходит неполное горение, сопровождающееся образованием горючих и токсических продуктов - окиси углерода, спиртов, альдегидов и пр.
В зависимости от скорости распространения пламени различают дефлаграционное (нормальное) горение, взрыв и детонацию. При дефлаграционном горении скорость распространения пламени составляет от нескольких сантиметров до нескольких метров в секунду.
Когда горение происходит в замкнутом пространстве или выход газа затруднен, последующие слои горючей смеси нагреваются не только путем теплопроводности, но и за счет, повышения давления вследствие их адиабатического сжатия. Это способствует увеличению скорости распространения пламени и может привести к взрыву.
Взрыв - это быстрое превращение вещества, сопровождающееся выделением энергии и образованием сжатых газов, способных производить работу . Скорость пламени при взрыве достигает сотни метров в секунду.
При дальнейшем ускорении распространения пламени весь объем горючей смеси за счет адиабатического сжатия может подвергаться нагреванию до температуры горения. Такое горение называется детонацией. Скорость распространения пламени при этом превышает скорость звука (тысячи метров в секунду).
Если реагирующие вещества находятся в одинаковом агрегатном состоянии, то горение называют гомогенным, а если в различных и имеется граница раздела фаз в горючей системе, то - гетерогенным.
Пожары обычно характеризуются гетерогенным диффузионным горением, которое ограничивается диффузией кислорода воздуха в очаг горения. При пожарах в замкнутых объемах могут возникать условия, приводящие к взрывам и детонации.
Пожаром называется неконтролируемое горение вне специального очага, наносящее материальный ущерб. Он характеризуется: образованием открытого огня и искр; повышенной температурой воздуха, предметов и т. п., токсичных продуктов горения и дыма; пониженной концентрацией кислорода; повреждением зданий, сооружений и установок; возникновением взрывов. Все это относится к опасным и вредным факторам, воздействующим на людей.
Показатели пожаро - и взрывоопасности веществ
Пожаро- и взрывоопасность веществ, т. е. сравнительная вероятность их горения в равных условиях, определяется их свойствами: горючесть и температуры вспышки, воспламенения и самовоспламенения.
По горючести все вещества подразделяются на
· негорючие,
· трудногорючие,
· горючие.
Негорючие вещества - это те, которые не способны гореть в воздухе нормального состава при температуре до 200o С.
Трудногорючие вещества могут загораться под действием источника зажигания в воздухе нормального состава, но не способны гореть самостоятельно. Негорючие и трудногорючие вещества представляют опасность лишь как источники токсических и горючих газов. Некоторые из них при разложении могут выделять большое количество теплоты.
Горючие вещества способны загораться от источника зажигания в воздухе нормального состава и продолжать гореть после его удаления. Они, в свою очередь, подразделяются на
· легковоспламеняющиеся - способны воспламеняться от кратковременного воздействия источника зажигания с низкой энергией (пламени спички, искры и т. п.),
· средней воспламеняемости - от длительного воздействия источника зажигания с низкой энергией,
· трудновоспламеняющиеся - только под действием мощного источника зажигания.
Горючие жидкости обычно более пожароопасны, чем твердые горючие вещества, так как они легче воспламеняются, интенсивнее горят, образуют взрывоопасные паровоздушные смеси и плохо поддаются тушению водой.
Горючие вещества могут быть в трех агрегатных состояниях: жидком, твердом и газообразном. Большинство горючих веществ независимо от агрегатного состояния при нагревании образует газообразные продукты, которые при смешении с воздухом, содержащим определенное количество кислорода, образуют горючую среду. Горючая среда может образоваться при тонкодисперсном распылении твердых и жидких веществ. Пожарная опасность вещества тем больше, чем ниже нижний и выше верхний пределы воспламенения и чем ниже температура самовоспламенения.
Температурой вспышки называется наименьшая температура, при которой образующиеся над поверхностью горючего вещества пары и газы вспыхивают на воздухе от источника зажигания, но не образуют устойчивого горения из-за малой скорости их образования.
Температурой воспламенения называется температура горючего вещества, при которой оно выделяет горючие газы и пары с такой скоростью, что после воспламенения их от источника зажигания возникает устойчивое горение.
Температурой самовоспламенения называется наименьшая температура, при которой резко увеличивается скорость экзотермических реакций, заканчивающихся пламенным горением.
6.Обучение по охране труда. Категории лиц, подлежащих обязательному обучению.
Обучение безопасным приёмам труда для работников проводится на основании государственного стандарта - "ГОСТ 12.0.004-90 ССБТ. Организация обучения по безопасности труда. Общие положения". Необходимость обучения и инструктирования работников законодательно закреплена в КЗоТе РФ. В частности, статья 144 кодекса обязывает администрацию (работодателя) организовывать для работников проведение инструктажа по охране труда и технике безопасности, производственной санитарии, противопожарной безопасности и другим правилам.
В статье 18 федерального закона "Об основах охраны труда в Российской Федерации" изложены обязанности работодателя проводить вводный инструктаж, обучать безопасным методам работы и оказанию первой доврачебной помощи пострадавшим. Здесь же закрепляется обязательность подготовки по охране труда при изучении программ начального, среднего и высшего профессионального образования.
В соответствии с ГОСТ 12.0.004-90 инструктажи подразделяют на следующие виды.
Вводный инструктаж - проводится со всеми вновь принимаемыми на работу; проводит инженер по охране труда или лицо, на которое приказом возложены эти обязанности; проводится по программе, утверждённой руководителем организации в кабинете по охране труда.
Первичный инструктаж на рабочем месте - проводится со всеми вновь принятыми на предприятие, кроме лиц, которые не связаны с обслуживанием и ремонтом оборудования, использованием инструмента, хранением и применением сырья и материалов. Перечень профессий и должностей работников, освобождённых от первичного инструктажа на рабочем месте, утверждает работодатель.
Повторный инструктаж - проходят все работники, за исключением лиц, освобождённых от первичного инструктажа на рабочем месте, не реже одного раза в полугодие. Для некоторых категорий работников может быть установлен более продолжительный (до 1 года) срок проведения повторного инструктажа.
Внеплановый инструктаж - проводится при изменении вида работ, при введении в действие новых или переработанных стандартов или инструкций по охране труда, при несчастном случае на производстве, при нарушении требований безопасности труда, по требованию органов надзора, при перерывах в работе 60 дней (для работ, к которым предъявляют повышенные требования безопасности труда - 30 дней).
Целевой инструктаж - проводят при выполнении разовых работ, не связанных с прямыми обязанностями по специальности (погрузка и разгрузка, уборка территории); ликвидации последствий аварий, стихийных бедствий и катастроф; производстве работ, на которые оформляется наряд-допуск; проведении экскурсии на предприятии, организации массовых мероприятий.
Первичный инструктаж на рабочем месте, повторный, внеплановый и целевой проводит непосредственный руководитель работ (мастер, преподаватель). О проведении инструктажа лицо, проводившее инструктаж, делает запись в журнале регистрации инструктажа с обязательной подписью инструктируемого и инструктирующего. Целевой инструктаж фиксируется в наряд-допуске или оформляется протоколом.
В 1994 году вышло постановление Министерства труда РФ "О порядке обучения и проверке знаний по охране труда руководителей и специалистов предприятий, учреждений и организаций" (позднее, постановлением Минтруда РФ N18 от 9 апреля 1996 года были внесены изменения и дополнения). Данное постановление обязательно для организаций всех видов собственности, направленности деятельности и подчинённости. Обучение проводится по утверждённой программе в объеме не менее 32 часов.
Обучению и проверке знаний по охране труда подлежат:
· руководители и специалисты организаций, а также лица, занимающиеся предпринимательской деятельностью, осуществляющих руководство, организацию, надзор и контроль работ, выполняемых подчинёнными им работниками;
· инженерные и педагогические работники образовательных организаций, функциональные обязанности которых имеют отношение к производственной деятельности (в мастерских, лабораториях, полигонах и т.п.);
· руководители и специалисты при всех формах повышения их квалификации по специальности (профессии).
Обучение и проверка знаний по охране труда проводится для руководителей и специалистов периодически, но не реже одного раза в три года. Внеочередное обучение и проверка знаний по охране труда для руководителей и специалистов организаций проводится:
· при введении новых или переработанных (дополненных) законодательных и иных нормативных актов по охране труда;
· при изменениях технологических процессов, переводе на другую работу, если это предусматривает изучение новых правил по охране труда;
· по требованию государственной инспекции труда;
· при перерыве в работе более одного года.
При успешной сдаче экзамена выдается удостоверение утверждённого образца. Руководители и специалисты, не прошедшие проверку знаний по охране труда из-за неудовлетворительной подготовки, обязаны в срок не позднее одного месяца пройти повторную проверку знаний. В случае неудовлетворительной проверки знаний по охране труда во второй раз, решается вопрос о соответствии занимаемой должности.