Скачать .docx  

Реферат: Оценка повышения уровня конкурентоспособности разрабатываемой техники и его экономической эффективности

С.В. Моисеев, Т.В. Мухортина

1. Показатели оценки конкурентоспособности разрабатываемой техники.

Оценка конкурентоспособности разрабатываемой техники производится путем сопоставления ее технических, качественно-эксплуатационных, экономических, эстетико-эргономических и других параметров с аналогичными параметрами базовой техники (или техники-эталона)

Различают два основных метода оценки конкурентоспособности новой техники – дифференциальный и комплексный.

Дифференциальный метод позволяет лишь констатировать факт конкурентоспособности разрабатываемой техники или наличие у нее недостатков по сравнению с техникой – эталоном. Он может использоваться на всех этапах жизненного цикла разрабатываемой техники, особенно при ее сравнении с гипотетическим (предполагаемым, возможным) образцом. Однако он не учитывает влияния на предпочтения потребителя новой техники весомости каждого из ее параметров.

Дифференциальный метод оценки конкурентоспособности, основан на сопоставлении единичных параметров разрабатываемой и базовой техники. В результате оценки устанавливается: достигнут ли уровень параметров базовой техники; по каким параметрам он не достигнут; какие из параметров наиболее сильно отличаются от базовых.

Если за базу оценки принимается величина определенного параметра, расчет единичного показателя конкурентоспособности (qi) новой техники следует производить по формуле:

(i=1,2,3,…,n), (1)

где,

– величина i-го параметра разрабатываемой техники;

– величина i-го параметра базовой техники;

n – количество рассматриваемых функционально-технических параметров.

При оценке по нормативным параметрам единичный показатель конкурентоспособности разрабатываемой техники может принимать только два значения: 1 или 0. Если величина анализируемого параметра соответствует обязательной норме или требованию стандарта, - показатель равен 1; если величина параметра техники в норму или в требования стандарта, не укладывается, то показатель ее конкурентоспособности равен 0.

Если значения параметров базовой техники установлены нормативно-технической документацией, специальными условиями, заказами или договорами, расчетные значения показателя конкурентоспособности принимаются в пределах, равных единице или превышающих ее.

Если за базу оценки принят образец определенной техники, расчет единичного показателя конкурентоспособности будет проводится по формуле (1) или по формуле (2):

(i=1,2,3,…,n), (2)

где,

, - единичный показатель конкурентоспособности по i-ому техническому параметру;

– величина i-го параметра для разрабатываемой техники;

– величина i-го параметра для изделия принятого за образец.

Из формул (1) и (2) выбирается та, по которой можно определить рост единичного показателя конкурентоспособности (например, по параметру типа производительности какой-либо техники – формула (1), а по параметрам, повышение качества которых характеризуется уменьшением абсолютной величины их показателя (типа шумов на входе приемного устройства) – формула (2)).

Эстетико-экономические параметры не имеют физической меры (например, комфортность, внешний вид, современность),. Количественные характеристики таких параметров устанавливаются экспертными методами в баллах.

В отличие от дифференциального метода комплексный метод оценки конкурентоспособности основывается на применении групповых, интегральных, смешанных показателей или сопоставлении показателей удельных полезных эффектов разрабатываемой техники и техники-эталона.

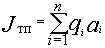
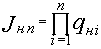
Расчет группового показателя конкурентоспособности по нормативным параметрам (Jтп) производится по формуле:

, (3)

где,

qнi – единичный показатель конкурентоспособности по i-му нормативному параметру; рассчитывается по формуле (1);

n – число нормативных параметров.

Если хотя бы один из единичных показателей равен нулю (т.е. разрабатываемая техника по какому-либо параметру не соответствует обязательной норме), то групповой показатель также равен нулю, что говорит о не конкурентоспособности данной техники по сравнению с техникой-эталоном.

Расчет группового показателя конкурентоспособности по техническим параметрам Jтп (кроме нормативных) производится по формуле:

, (4)

где,

Jтп – групповой показатель конкурентоспособности по техническим параметрам;

qi – единичный показатель конкурентоспособности по i-му техническому параметру, рассчитывается по формулам (1,2,3,4);

– весомость i-го параметра в общем наборе из n технических параметров, характеризующих потребность;

n - число параметров.

Полученный групповой показатель конкурентоспособности Jтп характеризует степень соответствия разрабатываемой существующей потребности по всему набору технических параметров: чем он выше, тем полнее удовлетворяются запросы потребителей техники.

2. Определение экономической эффективности повышения конкурентоспособности разрабатываемой техники.

При решении этой задачи обязательно требуется сравниваемые альтернативные варианты техники рассматривать при соблюдении условий их сопоставимости. При различии сравниваемых вариантов по совокупности «n» параметров рассчитывается общий коэффициент приведения к тождественному эффекту. Таким коэффициентом при приближенном расчете эффективности разрабатываемой техники мог бы стать коэффициент технического уровня

= * , (5)

где,

- значимость i-го функционально-технического параметра для рассматриваемого вида техники, определяется экспертным методом, а = 1.0

При этом способе различие параметров сравниваемых альтернативных вариантов техники находит свое выражение в расчетах:

дополнительных затрат в производстве;

годовых эксплуатационных издержек;

дополнительных капвложений потребителя базового варианта техники.

В случае, если разрабатываемая техника является комплектующей для техники более высокого уровня иерархии, то технический ее уровень J/ту должен быть увязан с долей влияния на конечный результат функционирования последней через коэффициент Кв, величина которого колеблется в пределах Кв<1. Для радиоэлектронной авиационной техники этот коэффициент может быть принят примерно в размере Кв=0,150,25.

Таким образом, с учетом отмеченного, Jту будет рассчитываться по формуле:

= (1+Кв) (6)

Расчет группового показателя по экономическим параметрам производится на основе определения полных затрат потребителя (Зп) на приобретение и эксплуатацию разработанной техники..

Полные затраты потребителя определяются по формуле:

, (7)

где,

Зе – единовременные затраты на приобретение разработанной техники;

- средние суммарные затраты потребителя на эксплуатацию указанной техники, относящиеся к i-му году ее эксплуатации;

Т – срок службы продукции;

i-тый год эксплуатации.

В свою очередь рассчитывается по формуле:

, (8)

– среднегодовые эксплуатационные затраты по j-ой статье;

 n - количество статей эксплуатационных затрат.

В издержках потребителя разрабатываемой техники учитываются все расходы по эксплуатации за весь нормативный срок ее службы: расходы по зарплате обслуживающего персонала, материальные расходы, амортизационные и прочие расходы.

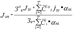
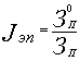
Расчет группового показателя по экономическим параметрам (Jэп) производится по формуле:

, (9)

где,

- полные затраты потребителя по технике-эталону

- полные затраты потребителя по разрабатываемой технике.

В связи с тем, что эксплуатационные затраты производятся в течение ряда лет, они должны быть приведены к расчетному году с помощью коэффициента приведения (ni). Отсюда в формуле (9) должны быть скорректированы: ( - на , - на и ) и ( - на )

Поэтому полные затраты потребителя примут вид:

, (10);

= + , (11)

а групповой показатель по экономическим параметрам (Jэп) запишется следующим образом:

, (12)

Величина срока службы для изделий промышленного назначения принимается равной амортизационному периоду. Для техники потребительского назначения оценка срока службы проводится на основе сведений о фактических сроках службы аналогичных изделий, а также скорости морального старения техники данного вида.

Расчет интегрального показателя конкурентоспособности анализируемой техники по отношению к технике-эталону (КСП∫) производится по формуле:

, (13)

При КПС∫>1 разрабатываемая техника конкурентоспособна.

Данный показатель КСП∫ отражает различия между сравниваемой техникой в потребительском эффекте.

Если анализ проводится по нескольким образцам, интегральный показатель конкурентоспособности разрабатываемой техники по выбранной группе аналогов (КСП∫ср) может быть рассчитан как сумма средневзвешенных показателей по каждому отдельному образцу техники:

, (14)

где,

КСПi - показатель конкурентоспособности i -го образца техники;

Ri - весомость i-го образца в группе аналогов (определяется по аналогии с );

N - количество аналогов.

Оценка экономической эффективности повышения конкурентоспособности разрабатываемой техники может определяться аналогично эффективности техники как таковой. Один из приближенных методов оценки может базироваться, например, на эффекте от производства или эксплуатации сравниваемых вариантов техники-аналогов или суммарной величине указанных эффектов.

Расчеты указанных эффектов позволяют установить шкалу стоимости условной единицы повышения конкурентоспособности. Практическое применение данной шкалы дает возможность осуществлять управляемый процесс повышения конкурентоспособности при разработке новой техники.

Оптимальные пути повышения конкурентоспособности разрабатываемой техники обеспечивают наиболее рациональное целевое использование инвестиционных ресурсов, осуществление мероприятий по оптимизации затрат при создании новой техники и создают условия для эффективного функционирования цивилизованного рынка.