| Скачать .docx |
Реферат: Учет времени отдачи по рекламе
Отдача по одной рекламе в ежедневной газете будет непродолжительной по времени (от дня до недели), а в ежегодном справочнике - продолжительной (до года и больше). В изложенных в предыдущем параграфе суждениях предполагается, что отдача по рекламе происходит равномерно в течение всего периода времени отдачи по рекламе, после чего заканчивается. Это сильно идеализирует процесс отдачи по рекламе, хотя все же позволяет учесть фактор времени.
На самом деле процесс отдачи по рекламе во времени имеет сложный характер. Любой сложный процесс лучше всего рассматривать на примерах простейших случаев. Так же поступим и сейчас. Представим себе, что фирма один раз дала рекламу (например, в газету), заплатив за это сумму EA. Разберем несколько вариантов отдачи по рекламе.
По данной рекламе в фирму не пришло ни одного клиента. Сумма EA была затрачена впустую. Без комментариев.
Через время T после оплаты данной рекламы в фирму пришел один клиент (благодаря этой рекламе) и один раз приобрел товаров на некоторую сумму. Эта сумма (за вычетом расходов на приобретение или производство этих товаров и накладных расходов) принесла дополнительную прибыль I (без учета затрат на рекламу EA). Выгодность данного акта рекламы зависит от соотношения величин I и EA.
I < EA. Этот вариант практически равносилен варианту 1. Разница лишь в том, что была впустую затрачена сумма не EA, а EA-I.
I = EA. Фактически это означает, что из оборота фирмы была изъята сумма EA и через время T она была возвращена. Иначе говоря, фирма дала беспроцентный кредит на время T. Этот вариант тоже нельзя признать выгодным.
I > EA. Фирма затратила сумму EA, а через период времени T она получила большую сумму I. Можно рассчитать рентабельность данного вложения за время T:
.
Выгодность этого варианта зависит от соотношения данной величины рентабельности и величины рентабельности альтернативных вложений. Это и было рассмотрено в 1-м параграфе.
Благодаря рекламе в фирму пришел один клиент и один раз приобрел товаров на некоторую сумму, а через период времени T после этого фирма оплатила саму рекламу. Этот вариант отличается от второго тем, что клиент приобрел товары до того, как была оплачена реклама (т. е. реклама была дана с отсрочкой платежа). Аналогично рассмотрим соотношения величин I и EA.
I < EA. Этот вариант равносилен взятию фирмой кредита на время T с процентами
. Хотя формально этот вариант нельзя однозначно признать невыгодным (все зависит от периода времени T и величины процентов r), вряд ли какое-либо СМИ даст возможность рекламироваться с длительной отсрочкой платежа, поэтому практически этот вариант вряд ли выгоден.
I = EA. Этот вариант равносилен взятию фирмой беспроцентного кредита на период времени T. Этот вариант для фирмы выгоден, как и любой беспроцентный кредит (конечно при условии, что сумма, взятая в кредит, используется с прибылью).
I > EA. Фактически это означает, что фирме дали сумму I, а через время T фирма отдала меньшую сумму EA. Этот вариант однозначно выгоден.
Фирма оплатила рекламу, через период времени T пришел один клиент, приобрел товаров на некоторую сумму, что принесло фирме прибыль I. Впоследствии этот клиент с периодичностью времени T каждый раз приобретал товаров на ту же сумму. Будем считать рентабельность вложения величиной EA после каждого посещения фирмы подобным клиентом. После 1-го посещения величина рентабельности за период времени T составит
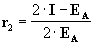
. После второго посещения фирма получит прибыль 2? I, а величина рентабельности за период времени 2? T составит
. Для возможности сравнения величин рентабельностей, их необходимо привести к рентабельности за один и тот же период времени. Тогда величина рентабельности после второго посещения, приведенная к периоду времени T, составит
или
. Нетрудно подсчитать, что после третьего посещения величина рентабельности, приведенная к периоду времени T, составит
, а после n-го посещения
. Таким образом, если по данному акту рекламы приходит один клиент, и он становится постоянным клиентом, величина рентабельности вложений в рекламу в данном случае составит ![]()
Реальный процесс отдачи по рекламе имеет более сложный характер. Нарисуем приблизительно график зависимости отдачи по рекламе от времени:

Однако этот процесс можно разбить на простейшие составляющие, аналогичные описанным выше. Величины рентабельности по каждому случаю, приведенные к одному моменту времени, можно сложить и получить величину рентабельности, соответствующую данному реальному случаю.