| Скачать .docx |
Реферат: Проектирование ЦС АТСКЭ Квант
ЗАДАНИЕ.
1.1 Привести структуру сельской сети с пятизначной нумерацией построенную по радиальному одноступенчатому способу, в сельском административном районе. Райцентр – населенный пункт с числом жителей до 20 тыс. человек. В данном курсовом проекте предусматривается строительство в райцентре ЦС. Центральная станция имеет связь с АМТС зоны с использованием аппаратуры АОН. Количество и емкость станций СТС выбирается так, чтобы показать структуру сети и нумерацию абонентов.
1.2 Дать нумерацию абонентам СТС, приняв открытую систему нумерации с индексом выхода на внешнюю связь (цифра 9).
1.3 В соответствии с выбранной нумерацией написать последовательность цифр, которую набирает абонент при осуществлении:
а) местной связи;
б)внутризоновой связи;
в)междугородней связи.
1.4 Емкость сети и емкость ЦС, типы действующих АТС и число обслуживаемых хозяйств берем из таблиц.
1.5 Привести основные технические характеристики проектируемой АТСКЭ «Квант».
1.6 Привести структурную схему АТСКЭ «Квант» с кратким описанием основных блоков и узлов.
1.7 Привести расчет интенсивности нагрузки.
1.8 Составить схему распределения интенсивности нагрузки.
1.9 Произвести расчет объема основного станционного оборудования.
1.10 Рассчитать требуемое число соединительных линий методом комбинированной блокировки с применением ЭВМ.
1.11 Разработать схему проектируемой АТСКЭ «Квант» на основании полученных результатов. Привести схему размещения станционного оборудования АТСКЭ «Квант» в автоматном зале.
1.12 Разработать рабочую версию программного обеспечения АТСКЭ:
а) разработать абонентские характеристики;
б) разработать внешние характеристики.
ИСХОДНЫЕ ДАННЫЕ.
1. Емкость СТС – 2800 номеров.
2. Емкость ЦС АТСКЭ «Квант» - 1500 номеров.
3. Типы действующих АТС – К-100/2000, АТСЦ.
4. Число обслуживаемых станцией хозяйств (nx) – 1.
5. Число обслуживаемых станцией населенных пунктов (nнп) – 2.
СОДЕРЖАНИЕ.
Введение………………………………………………………………….. 4
1. Структура сельской сети…………………………………………………. 5
2. Техническая характеристика станции типа «Квант»…………………… 8
3. Структурная схема АТСКЭ «Квант»…………………………………… 10
4. Расчет интенсивности телефонной нагрузки…………………………… 20
4.1 Расчет нагрузки поступающей на приемники батарейные ……… 20
4.2 Расчет нагрузки поступающей на исходящие ШК………………….21
4.3 Расчет поступающей и внутристанционной нагрузки ..……………23
4.4 Схема распределения интенсивности нагрузки …………………….26
5. Расчет объема основного станционного оборудования…………………27
6. Расчет числа соединительных линий методом комбинированной блокировки с применением ЭВМ…………………………………………29
7. Размещение станционного оборудования АТСКЭ «Квант» в автоматном зале………………………………………………………………………… 36
Литература………………………………………………………………….41
ВВЕДЕНИЕ.
Узлы коммутации УК с программным управлением являются перспективными, так как обеспечивают экономичное построение сетей связи и постепенный переход к полностью цифровым системам коммутации на интегральных цифровых сетях. Это связано с тем, что электронные управляющие устройства являются гибким, мощным и универсальным средством автоматического правления.
Программное управление дает возможность выполнять централизацию функций управляющего устройства, гибко изменять программы, отыскивать обходные пути, вводить динамическое управление на сетях связи, предоставлять абонентам дополнительные виды обслуживания.
Централизация функций управления, в свою очередь, позволяет уменьшить стоимость управляющего и коммутационного оборудования.
Централизованное УУ позволяет повысить использование соединительных линий и, следовательно, уменьшить их число.
Появление микропроцессорных наборов позволило перейти к распределению функций управления между отдельными блоками УУ и послужило причиной появления распределенного управления.
Существующие в настоящее время квазиэлектронные и электронные автоматические телефонные станции и узлы коммутации делятся по принципу записи программ работы управляющего устройства и выполнения команд этих программ. Если программа работы УУ записывается в запоминающем устройстве программ, такое управление называется управлением с записанной программой ЗПП. Для изменения записанной программы требуется перезаписать информацию в запоминающем устройстве программ. В ряде случаев процесс установления соединения определяется схемной (замонтированной) логикой. Программа работы станции не записывается в запоминающих устройствах, а выполняется за счет определенных соединений (монтажа) между различными узлами программного устройства. Такой вид управления называется программным с замонтированной программой ЗМП.
В УУ с ЗПП имеется возможность программной перезаписи команд программы. Примерами УК с ЗПП являются квазиэлектронные АТС и АМТС типа «Кварц» с управляющим комплексом «Нева», аналого-цифровая система связи ЕСС АЦ «Исток» с управляющим комплексом УК 4310, учрежденческо-производственная АТС «Квант» со специализированным центральным УУ.
1. СТРУКТУРА СЕЛЬСКОЙ СЕТИ.
Структура сельской сети с пятизначной нумерацией построенному по радиальному одноступенчатому способу, в сельском административном районе приведена на рисунке 1. Райцентр– населенный пункт с числом жителей до 20 тыс. человек.

Рис.1. Структурная схема сельской сети с пятизначной нумерацией.
Сведения о сельской телефонной сети сведены в таблицу 1.
Таблица 1.
| Тип АТС | Числовой номер |
Тип оборудования |
Емкость N |
Нумерация |
| ЦС | 70 | «Квант» | 1500 | 70000-71499 |
| ОС 1 | 72 | АТСЦ | 300 | 72000-72299 |
| ОС 2 | 73 | АТСК-100/2000 | 1000 | 73000-73999 |
| ОС 3 | 74 | АТСК-100/2000 | 1500 | 74000-75499 |
На телефонных сетях применяются закрытые и открытые системы нумерации. В первом случае для связи между любыми двумя абонентами сети набирается номер одной и той же значности. Во втором случае число знаков номера зависит от вида соединения. Например, внутристанционные соединения устанавливаются по сокращенному номеру, а для установления межстанционных соединений абонент набирает все знаки абонентского номера. Открытые системы нумерации могут быть с индексами выхода и без индекса выхода.
На СТС часто применяются различные виды открытых систем. В настоящее время территория страны поделена на зоны с семизначной нумерацией, каждой из которых присвоен трехзначный код ABC. В качестве A могут быть использованы любые цифры, кроме 1 и 2, а в качестве B и C – любые цифры.
В пределах зоны каждый абонент имеет семизначный зоновый номер ab
. Внутризоновый код ab присваивается каждой стотысячной группе номеров. В качестве первой цифры a могут быть использованы любые цифры, кроме 8 и 0. Цифра 8 является индексом выхода на автоматическую междугородную телефонную станцию (АМТС), а цифра 0 используется в качестве первой цифры номеров экстренных. В стотысячной группе абонентский номер пятизначный
.
Так как число стотысячных групп в зоне нумерации не может превышать 80, то предельная ёмкость зоновой сети 8 млн. номеров.
В зависимости от ёмкости сети нумерация на ГТС может быть 5, 6 или 7-значной. Основной единицей ёмкости городской телефонной станции является десятитысячная АТС, поэтому абонентский номер образуется из кода АТС
и 4-значного номера xxxx (от 0000 до 9999). Если ёмкость сети не превышает 10 тыс. номеров (нерайонированная) или 80 тыс. номеров (районированная), то используются 5-значная нумерация.
Для выхода на зоновую сеть (при связи с другой местной сетью данной зоны нумерации, имеющей код ab, отличный от кода исходящей сети) набирается индекс выхода на АМТС – 8, внутризоновый индекс 2, а затем зоновый номер абонента ab
входящей местной сети.
Для выхода на междугородную сеть (при связи с абонентом местной сети другой зоны нумерации, имеющий код АВС) набирается индекс выхода на АМТС, затем десятизначный междугородный номер абонента АВС – ab -
. Цифра А не может быть равна 2, так как 2 – индекс выхода на зоновую сеть (внутризоновый индекс), и 1, так как 10 – индекс выхода на автоматически коммутируемую телефонную международную сеть.
Открытая безиндексовая система нумерации предполагает набор разного числа цифр при связи на различных уровнях иерархии сети. Применяется на СТС. Такая система нумерации может применяться и в пределах всей сети страны. Тогда цифры, с которой начинаются местный, зоновый и междугородный номера, не должны совпадать, т.е. А
. В связи с такими ограничениями имеют место значительные потери ёмкости нумерации.
Кроме безиндексной системы для СТС могут применяться открытые системы с индексами выхода на УС или на ЦС. Внутристанционная связь при этом осуществляется набором трёхзначного номера. Такие системы менее удобны для абонента и приводят к потерям номерной ёмкости СТС. Поэтому закрытая 5-начная система нумерации считается перспективной для СТС.
В соответствии с выбранной нумерацией напишем последовательность цифр, которую набирает абонент при осуществлении:
а) местной связи;
б) внутризоновой;
в) междугородней связи.
При осуществлении местной связи для того чтобы абонент 71032 позвонил абоненту 71145, он набирает последние три цифры номера – 145. Если абонент 73600 хочет позвонить абоненту другой станции 72531, то он набирает 72531.
При осуществлении внутризоновой связи абонент набирает: 82- ab
.
При осуществлении междугородней связи абонент набирает: 8-ABC- ab
.
2. ТЕХНИЧЕСКАЯ ХАРАКТЕРИСТИКА СТАНЦИИ ТИПА «КВАНТ».
Оборудование квазиэлектронных учрежденческо- производственных АТС «Квант» предназначено для построения центральных ЦС, узловых УС, оконечных станций ОС и узлов автоматической коммутации УАК, включаемых в ведомственную и общегосударственную телефонную сеть.
Оборудование станции предусматривает возможность изменения емкости от 64 до 2048 номеров. При этом коммутационное оборудование наращивается блоками (БАЛ – кратно 64 или 128 номерам, БСЛ – блоками 32х32 или 64х64 в зависимости от емкости АТС), остальное оборудование наращивается с помощью ТЭЗ и кассет.
Оборудование «Квант» позволяет включать от 0 до 384 односторонних (исходящих и входящих) соединительных линий. Число односторонних СЛ, включаемых в УАК-В, составляет от 8 до 464. Вместо односторонних соединительных линий могут быть включены двухсторонние; число линий при этом уменьшается вдвое. Число направлений внешней связи для АТС и УАК-В – до 32. Число соединительных линий в направлении может быть любым.
Оборудование «Квант» позволяет строить АТС с удельной суммарной нагрузкой до 0,2 Эрл на абонентскую линию и до 0,8 Эрл (не менее 0,4 Эрл) на соединительную линию.
Станции АТСКЭ имеют коммутационное оборудование, построенное на многократных герконовых соединителях с магнитным удержанием (ферридах). Управляющее устройство – централизованное, с записанной программой, построено на интегральных схемах по принципу двухмашинного комплекса. Центральное управляющее устройство одинаково для всех типов станций и может отличатся только объемом устройств памяти. Конструкцией АТСКЭ предусмотрено включение различных абонентских линий индивидуального пользования, со спаренными телефонными аппаратами с взаимной связью, удаленных абонентов и др.
Квазиэлектронные станции «Квант» обеспечивают следующие основные виды связи: внутристанционную и межстанционную (внутрирайонную, зоновую, междугородную и международную независимо от способа их установления – ручного, полуавтоматического и автоматического). Станции АТСКЭ и узлы УАК-В обеспечивают транзитную связь с двух- и четырехпроводной коммутацией разговорного тракта и переходом с двух- на четырех проводную и наоборот.
В абонентские линии могут включатся телефонные аппараты как с дисковым, так и с тастатурным номеронабирателем. Предусмотрена возможность включения более 16 внутристанционных категорий обслуживания абонентских линий, которые определяются в зависимости от вида абонентской линии, типа абонентской установки, основных видов связи, предоставляемых абоненту, а также дополнительных видов связи ДВС.
Кроме внутристанционных категорий абонентским линиям присваиваются категории, используемые для определения приоритета при установлении исходящей междугородней и международной связи, начисления оплаты при внутризоновой, междугородней и международной связи, вызова платных вспомогательных и других целей. Станции «Квант» обеспечивают взаимодействие с АТС и АМТС всех типов, существующих на телефонных сетях, без дооборудования последних.
Взаимодействие с АТС обеспечивается по двух-, трех- и четырехпроводным физическим линиям, а также по каналам ТЧ, уплотненным аппаратурой систем передачи, для чего в составе оборудования имеется набор различных комплектов соединительных линий.
Взаимодействие с АМТС обеспечивается как с помощью аппаратуры АОН, так и с набором собственного номера НСН. Предусмотрена возможность открытой (с индексом выхода и без него) и закрытой нумерации, при необходимости обеспечивается восстановление и гашение цифр набора номера.
Передача и прием сигналов управления (номер вызываемого абонента и др.) осуществляется как декадным, так и быстродействующим многочастотным кодом «2 из 6»методом импульсного челнока или импульсного пакета в зависимости от типа встречной станции. Информация АОН передается по методу безинтервального пакета.
Для однотипных АТСКЭ и при внутристанционной связи предусмотрен односторонний отбой: комплекты и соединительные линии освобождаются после подачи отбоя одним из абонентов. При связи АТСКЭ с АТС других типов применяется следующая система отбоя. В случае исходящей связи от АТСКЭ, если первым дал отбой ее абонент, приборы АТСКЭ освобождаются, за исключением исходящего комплекта, из которого посылается сигнал занятости вызываемому абоненту встречной АТС. В случае входящей связи, если первым дал отбой абонент АТСКЭ, то все ее приборы освобождаются, а в сторону встречной АТС из входящего комплекта посылается сигнал занятости. Если первым дал отбой абонент встречной АТС, то по сигналу отбоя освобождаются приборы АТСКЭ, а в сторону АТС из входящего (исходящего) комплекта посылается сигнал отбоя, который обеспечивает освобождение приборов АТС.
3.СТРУКТУРНАЯ СХЕМА АТСКЭ «КВАНТ»
Центральные и узловые, а также оконечные АТС с большим числом направлений внешней связи и емкостью более 256 номеров выполняются по схеме, приведенной на рис.2. В выходы блоков БИЛ включена исходящие комплекты ИК, входящие шнуровые комплекты ВШК и приемники-датчики сигналов управления ПДСУ. Во входы БИЛ включены ИШК, а во входы БВЛ – входящие комплекты ВК и ПДСУ.
Коммутационная схема в этих станциях выполняется таким образом, чтобы каждый БАЛ был связан с блоками БИЛ одинаковым числом промежуточных станций и каждый БИЛ был связан с блоками БВЛ также одинаковым числом промежуточных линий.
Квазиэлектронные станции «Квант» различного назначения содержат:
коммутационное оборудование, состоящее из блоков абонентских линий (БАЛ) и соединительных (БСЛ) линий, блоков исходящих (БИЛ) и входящих (БВЛ) линий;
дублированное центральное управляющее устройство ЦУУ и периферийное управляющее устройство ПУУ;
каналы ввода вывода КВВ;
комплекты абонентских, внутристанционных и соединительных линий – абонентские комплекты АК, шнуровые комплекты ШК, комплекты соединительных линий КСЛ;
приемники и датчики сигналов управления ПДСУ;
контрольные устройства периферии КУП;
канал межмашинного обмена КМО;
устройство сопряжения с машинной периферией УСМП;
устройства машинной периферии: телетайп Т, пульт управления ПУ, считыватель с перфоленты Сч.
Центральное управляющее устройство представляет собой двухмашинный комплекс с записанной программой. Система команд специализирована для выполнения заданных алгоритмов управления телефонным оборудованием, а также для сбора, отображения и документирования информации. Объем запоминающего устройства составляет до 128 К слов при разрядности слова 16. Быстродействие процессора не менее 100 тыс. команд в секунду. В состав ЦУУ при его минимальной комплектации входят два процессора ЦП, два блока начального запуска системы БНЗ, два запоминающих устройства ЗУ.
Периферийные устройства управления ПУУ предназначены для взаимодействия ЦУУ с телефонным оборудованием, к которому относятся абонентские комплекты АК, коммутационное оборудование, внутристанционные комплекты ИШК, ВШК, комплекты соединительных линий КСЛ, приемники и датчики сигналов управления, общестанционные
генераторы. Периферийные устройства осуществляют передачу команд, поступающих из ЦУУ, в телефонное оборудование (включение и выключение реле, переключение транзисторов) и передачу в информации в ЦУУ о состоянии точек опроса (сканирования). Опрос может осуществляться с различной скоростью (медленно и быстро). Период обращения к точкам опроса (сканирования) при медленном опросе не более 128 мс (ответ абонента, отбой абонента и др.), а при быстром опросе не более 8 мс (занятие СЛ, прием набора номера и др.). Быстрое сканирование применяется для приемников и датчиков сигналов управления, комплектов соединительных линий, абонентских приставок, дополнительных видов связи, контрольных устройств периферии. Медленное сканирование применяется для абонентских и шнуровых комплектов.
Приемники и датчики сигналов управления ПДСУ предназначены для приема импульсов набора номера батарейным и частотным способами, а также для приема и передачи сигналов управления многочастотным способом кодом «2 из 6» по соединительным линиям, включая информацию АОН.
На АТСКЭ принят централизованный способ приема и передачи сигналов управления. При частотном способе передачи поступающие по АЛ и СЛ сигналы управления с помощью ПДСУ преобразуются в доступную для ЦУУ форму и передаются непосредственно в ЦУУ для запоминания и анализа. При необходимости выполняется последующая передача сигналов через датчики в СЛ.
При передаче сигналов управления по СЛ импульсами постоянного тока прием и выдачу этих сигналов осуществляют комплекты соединительных линий при непосредственном участии ЦУУ.
При установлении соединения ЦУУ определяет номер свободных ПДСУ, время их подключения к АЛ и СЛ, а также формирует код, число знаков и длительность импульсов при выдаче сигналов.
Приемники сигналов частотой 425 Гц позволяют обеспечить прием по СЛ сигнала ответа встречной станции («второй зуммер»). При необходимости сигнал может быть передан дальше по СЛ или выдан в аппарат вызывающего абонента.
В зависимости от структуры построения сети сигнал ответа станции после набора индексов выхода на АТС, АМТС и ведомственных АТС может выдаваться или не выдаваться.
Приемники осуществляют прием следующих сигналов управления:
импульсов набора номера по абонентской линии от дискового телефонного аппарата шлейфным способом (приемник батарейный ПБ) и от тастатурного аппарата частотным способом, кодом «2 из 6» (приемник многочастотный ПМ);
частотных сигналов по СЛ кодом «2 из 6» методом импульсного челнока или импульсного пакета (приемник многочастотный ПМ);
сигнала частотой 425 Гц (второй зуммер), сигнала запроса АОН частотой 500 Гц (приемник двухчастотный ПМ).
Датчики осуществляют выдачу в СЛ по команде ЦУУ следующих сигналов:
частотных сигналов управления кодом «2 из 6» методами импульсного пакета, импульсного челнока, безинтервального пакета;
сигнала запроса АОН частотой 500 Гц.
Абонентские комплекты предназначены для определения состояния шлейфа абонентской линии и передачи сигналов занятости в телефонный аппарат. Комплекты ИШК и ВШК обеспечивают подачу в абонентскую линию напряжения питания цепи микрофона ТА вызывающего и вызываемого абонентов и тональных сигналов по команде ЦУУ, принимают сигналы отбоя вызывающего и вызываемого абонентов и передают эти сигналы в ЦУУ. Кроме того, ВШК выдает сигнал посылки вызова в ТА вызываемого абонента. Комплекты ИШК и ВШК участвуют во внутристанционном соединении, ИШК совместно с КСЛ – в исходящем, а ВШК совместно с КСЛ – во входящем.
Для взаимодействия АТСКЭ с другими станциями имеются различные типы комплектов соединительных линий, обеспе6чивающие работу на общегосударственной и ведомственной телефонных сетях. Выбор типа комплекта и способа передачи линейных сигналов и сигналов управления зависит от типа встречной станции и вида соединительных линий. Совместная работа предусматривается по физическим двух-, трех- и четырехпроводным линиям, а также по каналам ТЧ, образованным аппаратурой систем передачи.
Передача и прием сигналов, используемых АТСКЭ, осуществляется шлейфным, батарейным, индуктивным и частотным способами с выделенным сигнальным каналом и без выделенного сигнального канала. Предусмотрена возможность одностороннего и двухстороннего отбоя.
Коммутационное оборудование АТС «Квант» различного назначения имеет блочное построение и выполняется из блоков БАЛ и БСЛ. Блоки БАЛ01 имеют 64 входа, 32 промежуточных линии и 32 выхода, коммутация двухпроводная (64х32х32). В зависимости от назначения станции применяются БСЛ следующих типов:
блоки исходящих соединительных линий БСЛ02 (64х64х64) и БСЛ06 (64х64х64);
блоки входящих соединительных линий БСЛ03 (64х64х64) и БСЛ07 (64х64х64);
блоки соединительных линий БСЛ04 (32х16х32) и БСЛ06 (64х64х64).
Для построения двухпроводных схем коммутации используются блоки БСЛ04, БСЛ06, БСЛ07, а четырехпроводных схем - БСЛ02, БСЛ03. Все блоки выполнены на основе коммутаторов представляющих собой многократные ферридные соединители МФС.
В системе предусмотрена возможность использования сдвоенных блоков абонентских линий, которые образуются запараллеливанием одноименных выходов двух БАЛ. В результате такого объединения из двух блоков получается один на 128 входов, 64 промежуточные линии и 32 выхода 2х(64х32)х32. В сдвоенном блоке допустимая удельная нагрузка при прочих равных условиях меньше, чем в соответствующем одинарном блоке. При запараллеливании выходов двух БАЛ уменьшается число БСЛ (БИЛ, БВЛ).
При внутристанционном соединении в случае снятия трубки вызывающим абонентом 1 изменяется состояние точки опроса (сканирования) в АК1. В ЦУУ имеется регулярная программа сканирования, которая дает возможность обнаружить поступление вызова от абонента. Для приема импульсов набора к АЛ должен быть подключен приемник батарейный (ПБ) в случае дискового номеронабирателя или многочастотный (ПМ) – в случае кнопочного. Оба типа приемников входят в состав блока приемников и датчиков сигналов управления ПДСУ см. рис. Если все приемники заняты , то АК1 выдает по команде ЦУУ сигнал занятости в аппарат абонента 1.
При наличии хотя бы одного свободного приемника последний занимается, а ЦУУ отыскивает соединительный путь для его подключения к АК1. Периферийное управляющее устройство по команде ЦУУ подключает АК1 к приемнику набора номера ПНН (рис.3) через три- четыре звена (АВ в БАЛ вызывающего абонента, CD или только D в БСЛ)по цепи АК1 – БАЛ – ИШК – БСЛ (БИЛ) – ПНН. После подключения ПНН из его схемы по команде ЦУУ выдается сигнал ответа станции в аппарат вызывающего абонента. Получив этот сигнал, абонент набирает номер вызываемого абонента.
ЦУУ фиксирует в ПНН первое размыкание абонентского шлейфа при наборе номера или первую частную комбинацию в случае кнопочного телефонного аппарата и посылает команду в ПНН на прекращение выдачи сигнала ответа станции. Импульсы набора номера транслируются в ЦУУ, где производится их счет, фиксация и анализ набранных знаков. Этим заканчивается первый этап установления соединения. Подключение ПНН к АК1 сохраняется.

Рис.3. Этапы установления соединений на станциях
типа «Квант».
Второй этап установления внутристанционного соединения начинается по окончании анализа принятой ЦУУ информации о номере вызываемого абонента. Центральное УУ определяет место включения линии вызываемого абонента 2 и осуществляет опрос (сканирование) состояния его абонентского комплекта. Если абонент 2 свободен, ЦУУ отыскивает соединительный путь между АК1 и АК2. Подключение АК1 и АК2 осуществляется через пять- шесть звеньев (АВ в БАЛ вызывающего абонента, CD или только D в БСЛ, ВА в БАЛ вызываемого абонента) по цепи АК1 – БАЛ – ИШК – БСЛ(БИЛ) – ВШК – БАЛ – АК2.После установления соединения между АК1 и АК2 цепь подключения ПНН к АК1 нарушается. Питание микрофона вызывающего абонента обеспечивается из ИШК. Из ВШК выдаются сигналы посылки вызова вызываемому абоненту 2 и сигнал контроля посылки вызова вызывающему абоненту 1.В режимах первой и периодической посылок вызова ЦУУ анализирует состояние точек опроса (сканирования) в ИШК и ВШК, отражающих состояние АК1 и АК2.
Ответ вызываемого абонента 2 фиксируется в ВШК и передается в ЦУУ. Комплект ВШК по команде ЦУУ прекращает посылку вызова и контроль посылки вызова. Питание микрофона осуществляется из ВШК. При внутристанционном соединении предусмотрен односторонний отбой, т.е. освобождение станционных приборов, занятых в разговорном состоянии, происходит при освобождении любого из двух АК, участвующих в соединении.
По окончании разговора нарушается соединение цепи АК1 – БАЛ – ИШК – БСЛ(БИЛ) – ВШК – БАЛ – АК2, а абонент, не положивший трубку, получает сигнал занятости из своего абонентского комплекта. При отсутствии свободных приборов и промежуточных путей освобождение ранее занятых приборов происходит на любом этапе установления соединения по командам ЦУУ, а вызывающий абонент получает сигнал занятости из своего АК. Вызывающий абонент может отказаться от соединения, положив трубку в любой момент: до набора номера; во время набора; после установления соединения, не дождавшись ответа абонента 2.
Если это происходит до подключения ПНН, то снимается запрос в ЦУУ от соответствующего АК. Если это происходит после подключения ПНН или во время набора номера , ЦУУ определяет, что время обрыва шлейфа превышает 1,5с. Это характеризуется как отказ абонента от соединения, и приборы освобождаются.
Если абонент 1 отказывается от соединения, не дожидаясь ответа абонента 2, ЦУУ осуществляет освобождение всех приборов, занятых для данного соединения. Принудительное освобождение станционных приборов происходит в случае, если абонент после подключения ПНН в течение 4 с. не приступает к набору номера или в течении 4 с. после набора очередной цифры не приступает к набору следующей. Центральное УУ осуществляет освобождение всех приборов, занятых данным соединением, а вызывающий абонент получает сигнал занятости из своего АК.
При любом разъединении производится выключение всех коммутационных приборов, участвующих в данном соединении.
Исходящее местное соединение при закрытой нумерации. Этапы подключенияПННк АК вызывающего абонента, посылки сигнала ответа станции и приема набора номера осуществляются также как и при внутристанционной связи.
После окончания приема сигналов набора номера в ПНН центральное управляющее устройство ЦУУ выдает команду в подключенный ИШК на включение питающего моста, чтобы обеспечить питание микрофона вызывающего абонента, которое во время приема сигналов набора номера осуществляется из ПНН.
Следующий этап установления соединения состоит в выборе свободного ИК нужного направления. Тип ИК зависит от типа встречной станции и принятого на ней способа передачи сигналов управления. В случае передачи сигналов управления многочастотным способом «2 из 6» при связи с АТСК и АТСКЭ требуемое направление занимается после приема полного номера.
В остальных случаях, когда сигналы управления передаются декадным способом, занятие ИК происходит после приема ЦУУ определенного числа знаков (2 - 3), характеризующих код направления.
Центральное УУ занимает выбранный ИК требуемого направления и подключает к нему многочастотный датчик ДМ блока сигналов управления ПДСУ через четыре звена: DC в БСЛ(БВЛ) – БСЛ(БИЛ) – ИК. Для этого ЦУУ выдает команды на включение коммутационных элементов и занятие свободных соединительных путей между ДМ и ИК. Если нет свободного ДМ или свободных соединительных путей между ДМ и ИК, то ЦУУ освобождают все приборы. При этом соединения АК1 – ИШК и ДМ – ИК нарушаются, занятый ИК освобождается, а вызывающий абонент получает сигнал занятости из своего АК. После подключения ДМ к ИК ЦУУ выдает в ИК команду на передачу сигнала занятия в сторону встречной станции. В зависимости от способа передачи сигналов управления ЦУУ перестраивает работу ИК и ПДСУ для передачи информации о номере вызываемой абонентской линии.
После выдачи всей информации, включая и повторную при многочастотном способе, устанавливается соединение АК1 – ИК через три- четыре звена: АВ в БАЛ,CD (или только D) в БСЛ по цепи АК1 – БАЛ – ИШК – БСЛ – ИК и освобождается ПДСУ.
После установления соединения в аппарат вызываемого абонента со встречной станции поступает сигнал контроля посылки вызова. Сигнал ответа абонента встречной станции по СЛ передается в ЦУУ.
Исходящее местное соединение при открытой нумерации без второго зуммера. Процесс установления соединения при открытой нумерации не отличается от установления соединения при закрытой нумерации. После приема индекса исходящей связи ПДСУ продолжает прием знаков номера. Отличается случай выхода на АТСДШ, когда осуществляется непосредственная трансляция импульсов набора от номеронабирателя телефонного аппарата на встречную станцию. В этом случае после приема индекса выхода ЦУУ немедленно занимает свободный ИКБ3 (ИК батарейный трехпроводный) данного направления, за межсерийное время подключает его к ИШК и освобождает ПДСУ. После трансляции всех знаков набора номера прием сигнала ответа осуществляется так же, как и при установлении исходящей связи в случае закрытой нумерации.
Исходящее местное соединение при открытой нумерации со вторым зуммером. Если при установлении исходящей связи (УПАТС - АТС) в случае открытой нумерации предусматривается второй зуммер, то после приема индекса исходящей связи по команде ЦУУ блок ПДСУ посылает сигнал ответа станции. Получив этот сигнал, абонент продолжает набор номера. При наборе первого знака по команде ЦУУ блок ПДСУ прекращает посылку сигнала ответа и далее соединение устанавливается, как и при закрытой нумерации. Если первым даст отбой вызывающий абонент, то сигнал отбоя принимает ИШК и передает его в ЦУУ, который по этому сигналу освобождает все приборы станции кроме ИК. Исходящий комплект по команде ЦУУ передает сигнал отбоя на встречную станцию и затем освобождается. Если первым даст отбой вызываемый абонент, то сигнал отбоя со встречной станции принимает исходящий комплект, который передает его в ЦУУ. последний освобождает приборы, занятые в данном соединении. Вызывающий абонент получает сигнал занятости из своего АК.
При отсутствии свободных приборов и промежуточных линий, при отказе вызывающего абонента от дальнейшего соединения на любом этапе отбой происходит следующим образом. По отбойному сигналу, полученному от ИШК, ЦУУ освобождает все приборы, участвующие в данном соединении, кроме исходящего комплекта. Последний по команде ЦУУ посылает сигнал отбоя вызывающего абонента на встречную станцию. Сигнал отбоя от встречной станции может поступать:
между знаками набора номера при передаче частотным или декадным способом;
до ответа вызываемого абонента (во время посылки вызова, в паузе между посылками);
после ответа вызываемого абонента.
В первом случае при отсутствии промежуточных путей и свободных приборов на встречной станции сигнал отбоя принимается многочастотным приемником в виде определенной частотной комбинации. Этот сигнал передается в ЦУУ, которое осуществляет освобождение приборов. Абонент получает сигнал занятости из своего АК.
Во втором случае при занятости или недоступности вызываемого абонента сигнал отбоя принимается ИК и передается в ЦУУ, которое осуществляет освобождение приборов.
Принудительное освобождение станционных приборов осуществляется аналогично освобождению приборов при внутристанционной связи.
Входящее местное соединение. При установлении входящего соединения сигнал занятия, поступающий по соединительной линии от станции вызывающего абонента, принимается ВК. Центральное УУ с помощью программы сканирования состояния точек опроса всех ВК обнаруживает ВК, в который поступило занятие. В зависимости от типа встречной АТС установление входящего соединения может протекать различным образом.
В случае декадного набора номера при каждом импульсе меняется состояние ВК. Это изменение передается в ЦУУ, которое принимает импульсы. При многочастотном способе передачи сигналов от АТСКЭ или АТСК установление входящего соединения начинается с отыскания свободного ПМ. Свободный соединительный путь от ВК к ПМ отыскивает ЦУУ, используя программы опроса с полным перебором. На оконечных АТС емкостью более 256 номеров, на узловых и центральных станциях подключение ВК к ПМ осуществляется через четыре звена DC в БСЛ и CD в БСЛ по цепи ВК – БСЛ (БВЛ) – БСЛ (БИЛ) – ПМ. Номер поступающий со встречной АТС, принимается ПМ и передается в ЦУУ, после чего ПМ освобождается по команде из ЦУУ. Если ЦУУ не найдет свободного ПМ, то по команде ЦУУ входящий комплект ВК передает по соединительной линии в сторону встречной станции сигнал отбоя, после чего ВК освобождается.
После приема всех цифр номера в ЦУУ производится определение состояния линии вызываемого абонента. Если вызываемый абонент 2 свободен, ЦУУ отыскивает свободный соединительный путь между ВК и АК1 на оконечной АТС емкостью более 256 номеров через шесть звеньев соединения DC, CD в БСЛ и ВА в БАЛ по цепи ВК – БСЛ – БСЛ – ВШК – БАЛ – АК2. По команде из ЦУУ периферийное управляющее устройство ПУУ включает требуемые коммутационные приборы в БСЛ и БАЛ. Если это УС или ЦС, то отыскание соединительного пути происходит через звенья EF в БВЛ, CD в БИЛ и ВА в БАЛ по цепи ВК – БВЛ – БИЛ – ВШК – БАЛ – АК2.
После подключения ВК к АК2 из ВШК по команде ЦУУ выдается сигнал посылки вызова вызываемому абоненту 2 и сигнал контроля посылки вызова вызывающему абоненту 1.
Сигнал ответа абонента 2 принимается комплектом ВШК и передается в ЦУУ, которое выдает команду:
в ВШК на прекращение посылки сигналов ПВ, КПВ и переключение комплектов в разговорное состояние;
в ВК для передачи сигнала ответа на встречную станцию.
При связи с однотипными квазиэлектронными АТС предусматривается односторонний отбой. При связи с АТС возможны два варианта.
1. Если первым даст отбой вызывающий абонент (абонент встречной станции), то ЦУУ по сигналу отбоя освобождает все приборы, кроме ВК, который по команде ЦУУ передает в сторону встречной станции сигнал отбоя (сигнал подтверждения отбоя). После этого по команде ЦУУ ВК освобождается.
2. Если первым даст отбой вызываемый абонент, то сигнал отбоя принимает ВШК и передает его в ЦУУ. Последнее дает команду на освобождение всех приборов, кроме ВК, который по команде ЦУУ передает в сторону встречной станции сигнал отбоя и акустический СЗ. Освобождается ВК по сигналу разъединения от встречной станции.
При недоступности вызываемого абонента (отсутствие промежуточных линий, приборов, блокировка АК2) и передаче сигналов управления многочастотным способом на встречную станцию передается сигнал в виде соответствующей частотной комбинации после приема ЦУУ всех знаков номера. Передача этой комбинации осуществляется многочастотным датчиком по команде из ЦУУ. После выдачи этой комбинации ЦУУ освобождает все приборы, занятые данным соединением.
При передаче сигналов управления декадным способом ЦУУ освобождает все приборы кроме ВК. Последний по команде ЦУУ выдает в СЛ сигнал недоступности абонентского комплекта и освобождается. При занятости вызываемого АК отбой осуществляется аналогично отбою при недоступности вызываемого АК.
Сигнал о принудительном освобождении станционных приборов передается на встречную станцию таким же образом, как при недоступности и занятости вызываемого абонента.
4.РАСЧЕТ ИНТЕНСИВНОСТИ ТЕЛЕФОННОЙ НАГРУЗКИ.
4.1. Рассчитаем нагрузку поступившую на приемники батарейные (ПБ).
Определим по формуле:
, Эрл
где
N – емкость центральной станции;
- среднее число занятий ПБ;
- среднее время занятия ПБ.
,
где
Nнх – число абонентов народнохозяйственного сектора (включая и абонентов административного сектора);
Nк – число абонентов квартирного сектора.
Рассчитаем среднее время занятия ПБ
.
,![]()
где
- время слушания «ответ станции»,
=3с;
- время слушания абонентом сигнала занятости после отбоя другого,
=2с;
- время установления соединения:
,
где
n – число знаков номера, n=5;
- время установления соединения,
=1с.
=1,5×5+1=8,5с
=3+8,5+2=13,5с
![]()
4.2. Рассчитаем нагрузку поступающая на исходящие ШК.
, Эрл
где
- нагрузка на группы ИШК;
Среднее число занятия ИШК равно среднему числу занятия ПБ,
=![]()
Рассчитаем среднее время занятия ИШК:
,
где
- разговор состоялся.
=
+
+
+
+
,
где
- средняя продолжительность слушания вызывающим абонентом сигнала контроля посылки вызова,
=7с;

=3+8,5+7+100+2=120,5c
Разговор не состоялся из-за не ответа вызываемого абонента:
,
где
![]()
=3+8,5+30=41,5с
Разговор не состоялся из-за занятости вызываемого абонента:
,
где
=5с
=3+8,5+5=16,5с
Разговор не состоялся из-за ошибок вызывающего абонента:
=18с
Разговор не состоялся по техническим причинам:
=13с
Доля каждого вида занятий соответствует:
=0,7
=0,1
=0,15
=0,03
=0,02
=120,5×0,7+41,5×0,1+16,5×0,15+18×0,03+13×0,02=91,78с

Рассчитаем нагрузку на все ИШК:
,
где
- число блоков БАЛ.
блоков
![]()
4.3. Расчет поступающей и внутристанционной нагрузки.
Блоки БАЛ имеют двухзвенную структуру, поэтому на выходе блока БАЛ потери составляют один процент, тогда нагрузка поступающая на вход блока БАЛ будет:


Рассчитаем нагрузку на выходах блока БИЛ по формуле:
,
где
m – число категорий абонентов;
- число абонентов i-категории;
- удельное внутристанционное (исходящая местная) нагрузка на одну абонентскую линию i- категории.
![]()
Нагрузка от оконечных станций на проектируемую – нагрузка на входах блока БВЛ и определяется по формуле:
,
где
- число абонентов i-ой категории на j – ой станции;
-удельная исходящая внешняя нагрузка на абонентскую линию i-ой категории.


Нагрузка, поступающая от проектируемой станции к оконечным станциям – нагрузка на выходе блоков БИЛ и определяется по формуле:
,
где
- удельная входящая внешняя нагрузка на абонентскую линию i-ой категории.

Нагрузка, исходящая от абонентов центральной станции – нагрузка на выходе блоков БИЛ.
,
где
- удельная исходящая внешняя нагрузка на абонентской линии i-ой категории для ЦС;
- число абонентов i-ой категории ЦС.
![]()
Нагрузка, входящая к абонентам ЦС:
,
где
- удельная входящая внешняя нагрузка на АЛ i-ой категории для абонентов ЦС.
![]()
Нагрузка к специальным службам рассчитывается по формуле:
,
где
n – общее число оконечных станций на сети;
- емкость оконечных станций;
- удельная средняя нагрузка к специальным службам от абонентов центральной и оконечной станций:

![]()
Нагрузка к межгороду определяем по формуле:
,
где
- удельная междугородная нагрузка от абонентов ЦС и ОС.

![]()
![]()
4.4. Схема распределения интенсивности нагрузки.
Рассчитанную нагрузку нанесем на схему рис. 4.

Рис.4. Схема распределения интенсивности нагрузки.
5. РАСЧЕТ ОБЪЕМА ОСНОВНОГО СТАНЦИОННОГО ОБОРУДОВАНИЯ.
Определим число БАЛ.
Определяем удельную нагрузку на одну линию:
, Эрл
![]()
Так как, Y<0,1Эрл, то выбираем сдвоенные блоки БАЛ, которые получаются путем запараллеливания одноименных выходов блоков БАЛ.
БАЛ - 128×64×32. Приведен на рисунке 5.
128 – входов
64 – промлинии
32 – выхода

Рис.5. Структура блока БАЛ 128´64´32.
![]()
Выходы блока БАЛ делятся пополам, к одной половине подключаются ИШК к другой ВШК. Определим число выходов из БАЛ, если блоки сдвоенные:
,
где
m – число выходов из одного БАЛ;
½ - учитывает сдвоенные БАЛ.
![]()
![]()
Определим число блоков БИЛ.
Входы в блок БИЛ делятся пополам, к одной половине подключаются ИШК к другой половине БВЛ.
,
где
К – число входов в один блок БИЛ.
БИЛ - 64×64×64.
![]()
Определим число блоков БВЛ.
,
где
К – число входов одного блока БИЛ;
L – число выходов одного блока БВЛ.
БВЛ - 64×64×64.
![]()
Используем блок – БСЛ 02
6. РАСЧЕТ ЧИСЛА СОЕДИНИТЕЛЬНЫХ ЛИНИЙ МЕТОДОМ КОМБИНИРИВАННОЙ БЛОКИРОВКИ С ПРИМЕНЕНИЕМ ЭВМ.
Этот расчет основан на методе эффективной доступности, предложенном А. Д. Харкевичем. Отличие заключается в том, что вместо эффективной доступности используется средняя доступность.
Доступность многозвенных коммутационных системах является величиной переменной зависящей от поступающей нагрузки и числа линий в направлении.
Определим среднюю доступность по формуле:
,
где
- число выходов из одного коммутатора звена С;
q – число выходов в направлении из коммутатора звена D;
-нагрузка обслуженнаявыходами одного коммутатора звена C
,
где
- число коммутаторов в звене С в одном блоке БИЛ
![]()
,
-приемники батарейные.
![]()
В этом методе пучок линий одного направления рассматривается как неполнодоступный пучок из V – линий с доступностью D (Р).
Так как величина доступности определяет потери за счет внутренних блокировок и отсутствие линий в направлении, то потери Р можно найти по формуле Пальма – Якобеуса:
,
где
- вероятность потерь при поступающей нагрузкеY и числа линий в пучке V;
- вероятность потерь при поступающей нагрузке Y и числа линий в пучке V-
(
- средняя доступность).
Поток вызовов в пределах фиксированного в ЧНН изо дня в день нестационарен. Нестационарность потока приводит к значительным колебаниям потерь вызовов во времени и росту средних потерь. Поэтому при расчете оборудования АТС рекомендуется использовать не среднюю интенсивность нагрузки в ЧНН, а несколько большую расчетную нагрузку в качестве расчетного значения используют 75%-ую квантиль закона распределения интенсивности нагрузки, тогда вероятность потерь с вероятностью 0,75 не превысит расчетного значения потерь, а если превысит, то незначительно. Таким образом:
![]()
Расчет количества оборудования по методу П-Я очень трудоемок, для него также необходимо найти g и D.
,
где
V – число линий пучка
,
где
n -число коммутаторов звена Д в одном блоке БИЛ n=8 (стандартный блок).
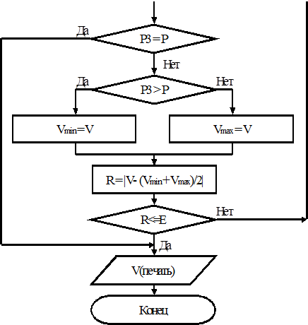
Для облегчения расчета составим программу. Для этого будем использовать метод половинного деления с применением рекуррентной формулы Эрланга:

где :
i = 1,v
P0 = 1 – вероятность потерь когда 0 линий свободно.
Метод половинного деления.
Берется отрезок от минимального числа линий в пучке Vmin = 0 до максимального числа линий в пучке Vmax = 5A где А – поступающая нагрузка. Отрезок складывается и делится пополам:
![]()
далее предполагается, что полученное число линий V истинно. тогда мы должны найти вероятность потерь для числа линий V по рекуррентной формуле Эрланга. Если полученная вероятность потерь P1равна заданной вероятности потерь P,то расчет верен, если нет, то необходимо взять новый отрезок. Если P1 > P то Vmin = V, если P1 < P то Vmax = V.
Считать до бесконечности невозможно поэтому вводится точность с которой необходимо определить число линий в пучке:
E = 0,001

где: V – первый отрезок
-число V для нового отрезка.
Q > E – продолжаем расчет
Q £ E – остановлен расчет.
Нормы потерь на СЛ.
| Емкость АТС | Потери, Р |
| 50-200 | 0,03 |
| 300-900 | 0,02 |
| 1000-2000 | 0,01 |
| ЦС-АМТС (ЗСЛ) | 0,01 |
| АМТС-ЦС (СЛМ) | 0,01 |
| УСС | 0,01 |
| ПБ | 0,01 |


ПРОГРАММА ДЛЯ РАСЧЕТА ЧИСЛА ЛИНИЙ МЕТОДОМ ПОЛОВИННОГО ДЕЛЕНИЯ.
10 INPUT "Введите значения A,P,E,Y,S"; A , P, E, Y, S
20 A1 = 1.03 * A + 0.29 * SQR( A )
30 V1 = 0: V2 = 5 * A1
40 V = (V1 + V2) / 2
50 K = 8 * S
60 Q = V / K
70 D = (8 - Y ) * Q
80 P1 = 1
90 FOR I = 1 TO V
100 P1 = P1 * A1 / (I + P1 * A1)
110 NEXT I
120 V3 = (V - D)
130 P2 = 1
140 FOR I = 1 TO V3
150 P2 = P2 * A1 / (I + P2 * A1)
160 NEXT I
170 P3 = P1 / P2
180 IF P3 = P THEN 240
190 IF P3 < P THEN V 2 = V: GOTO 210
200 V 1 = V
210 R = ABS(V - (V1 + V2) / 2)
220 IF R <= E THEN 2 40
230 GOTO 40
240 PRINT "Число линий V="; V
250 END
Данные, полученные в результате вычисления с помощью программы:



7.РАЗМЕЩЕНИЕ СТАНЦИОННОГО ОБОРУДОВАНИЯ АТСКЭ «КВАНТ» В АВТОМАТНОМ ЗАЛЕ.
Оборудование ЦС-70 емкостью 1500 номеров с двухпроводной коммутацией,. 192 ИШК и 192 ВШК размещается в шести пятистативном ряду (рис.6). На стативах устанавливаются кассеты, содержащие отдельные блоки станции.
Высота ряда вместе с кабель ростом не более 2450 мм, ширина одного статива не более 800 мм, глубина не более 320 мм, шаг установки стативных рядов не менее 1280 мм (рис.7).

Рис.7. Размещение оборудования ЦС емкостью 700 номеров.
Обслуживание стативных рядов двухстороннее. Нагрузка на перекрытие помещения не более 450 кг/
. В помещение должна быть температура от5 до 40° C,относительная влажность не более 90% при температуре Т=30°С.
Соединения кассет выполняются кабелями межкассетных соединений.
Соединения от коммутационного оборудования до вводно-коммутационных устройств и аппаратуры систем передачи выполняется кабелем марок «Клен», ТВП, ТСВ или ТПП.
8.РАБОЧАЯ ВЕРСИЯ ПРОГРАММНОГО ОБЕСПЕЧЕНИЯ АТСКЭ.
Общая структура программного обеспечения АТСКЭ «Квант» состоит из:
1. программ общего математического обеспечения;
2. программ функционального математического обеспечения;
3. постоянных данных, состоящих из таблиц адресов и необходимых для выполнения вычислительного процесса констант.
4. Станционных данных.
Станционные данные представляют собой комплекс полупостоянных данных которые могут изменятся в ходе эксплуатации АТС и которые дополняя программы характеризуют конкретную спроектированную АТС. Станционные данные условно делятся на три группы:
1. Проектные или внутристанционные данные (они отражают конфигурацию АТС, места включения в коммутационную систему комплектов и промлиний, привязку оборудования телефонной периферии к каналам управления и т.д.);
2. Абонентские характеристики;
3. Внестанционные характеристики (обеспечивают работу программ внешней связи и анализа номерной информации при работе АТСКЭ на различных сетях и по различным типам КСЛ)
Внестанционные данные помогают анализировать номер любого типа связи. Они состоят из таблиц и характеристик исходящих и входящих направлений, таблиц привязки номеров входящих комплектов к кодам входящих направлений и т.д.
Для исходящей связи и анализа номера используют таблицу индексов и характеристик направлений, а также таблицы расширения характеристик направлений.
Тип трансляции номера: 0 – батарейный, 1 – многочастотный.
Внестанционные данные составляются для обеспечения работы программы анализа номера в процессе установления соединения.
Исходными сведениями для внестанционных данных являются:
сведения о системе нумерации (значность, индексы вохода, необходимость гашения цифр, количество и цифры восстановления номера);
сведения о способах передачи номерной информации;
сведения о типах комплектов СЛ;
тип АМТС и РАТС;
сведения о количестве и емкости пучков исходящих и входящих направлений.
На основе этих сведений составляются таблицы индексов и характеристик направлений, а также таблицы расширения характеристик направлений.
Таблица индексов и характеристик направлений состоит из двух частей: первые 50 слов (начиная с 0 и до 31 слова) отведены под индексы характеристик направлений (ИХН); вторая часть отведена под двухсловные характеристики направлений (ХН). Таблица ИХН представляет собой массив однобайтовых элементов, обращение к которым осуществляется по значению первых двух цифр принятого номера. Содержимое элемента (байта) является, в свою очередь, индексом обращения к ХН. Каждая запись в ХН (два слова) содержит сведения о направлении связи. Структура ХН зависит от кода направления связи КНС.
Если направление не задействовано, то код направления КНС = F, а в остальных битах нулевого и первого слова записываются нули.
Характеристика направлений для внутристанционной связи КНС = 2 имеет следующую структуру: Р = 0 – значит в данной записи содержатся все необходимые сведения и не требуется обращения к таблице расширения.
В поле УКН – указателя конца набора номера записывается число цифр, которые должен набрать абонент после первых двух.
Если на АТС используется 5-значная нумерация, то характеристика направления будет иметь вид Р = 1, в первом слове ХН будет записан адрес таблицы расширения, а в элементах таблицы расширения новый индекс таблицы ХН. Обращение к таблице расширения осуществляется по адресу в первом слове ХН, а выбор одного из 10 элементов ТР – по третьей цифре номера.
Характеристика направлений для исходящей местной связи, исходящей междугородной и зоновой связи имеет одинаковую структуру. В ней записывается следующие сведения:
НТН – начало трансляции номера – показывает необходимость гашения цифр, т.е. номер цифры, с которой начинается трансляция номера в исходящем направлении;
Y – тип трансляции номера ТРН.
Если трансляция осуществляется декадным кодом батарейными импульсами, то Y = 0. Если трансляция осуществляется многочастотным кодом “2” из “6”, то Y = 1.
Таблица характеристик направлений ХН содержит 64 слова, на каждую запись ХН отводится два слова – нулевое и первое. Таким образом, в ХН имеется 32 записи. Адрес ХН начинается с БА-33032. Адрес конкретной записи Ахн определяется по содержимому таблицы ИХН:
Ахн = Бахн + И2
Где:
И – содержимое таблицы индексов;
БАхн – базовый адрес характеристики направлений.
Входящее направление характеризуется типом пучка, типом приема набора номера, наличием у нижестоящей АТС аппаратуры АОН, числом цифр гашения или восстановления.
Входящих направлений 32. Для входящей связи используется таблица характеристик входящих направлений (ХВН) и таблица пересчета линейных номеров входящих комплектов в индексы ХВН.
ХВН – двухсловная.
В нулевом слове записывается восстанавливаемые цифры номера, биты с 0 по 3 – первая восстанавливаемая цифра, с 4 по 7 – вторая восстанавливаемая цифра, с 8 по B – третья восстанавливаемая цифра , с C по F – прием набора номера.
В первом слове:
биты с 0 по 3 – количество восстановленных цифр;
бит 4 – наличие у нижестоящих АТС аппаратура АОН;
биты с 5 по 8 - количество цифр гашения;
бит 9 – указывает на необходимость подачи сигнала «второе готово» (1 – есть сигнал, 0 – нет сигнала);
бит A – X – куда поступает номер (0 – в ПБ, 1 – в ВК);
бит B – Z – выдача сигнала «занято» при отбое (0 – есть сигнал «занято», 1 – нет сигнал «занято»);
| F | E | D | C | B | A | 9 | 8 | 7 | 6 | 5 | 4 | 3 | 2 | 1 | 0 |
| ПНН | 3я вост. цифра | 2ая вост. цифра | 1ая вост. цифра | ||||||||||||
| Z | X | Кол-во цифр гаш | кол. вост. цифр | ||||||||||||
ПНН (прием набора номера):
0000 – 0 – декадно-шлейфными импульсами;
0001 – 1 – декадно-батарейный;
0010 – 2 – импульсный челнок;
0011 – 3 - импульсный пакет;
0100 – 4 – безинтервальный пакет.
Таблица пересчета линейных номеров ВК в индексы ХВН состоит из 128 слов, в ней пересчитывается линейный номер ВК в индекс ХВН и код входящего пучка (КВП).
ЛИТЕРАТУРА.
1. Попова А.Г. Проектирование квазиэлектронных АТС. Учебное пособие для вузов. – М. Радио и связь, 1987
2. Квазиэлектронная АТС «Квант» В.О. Жоголо, А.А. Иванов, А.П.Иванов и др. под редакцией Я.Я. Лочмелиса. – М. Радио и связь, 1987.
3. АТСКЭ «Квант». Описание к лабораторным работам для студентов специальности 23.05 лабораторные работы 1,2,3. – Алматы: АЭИ, 1991.
4. АТСКЭ «Квант». Описание к лабораторным работам для студентов специальности 23.05 лабораторные работы 4,5,6. – Алматы: АЭИ, 1991.