| Скачать .docx |
Реферат: Электроника и электротехника
Курсовое
расчётно-графическое задание
по курсам: ”Электротехника”
“Электротехника и электроника”
1. Расчёт электрической цепи постоянного тока
![]() |
Исходные данные :
E1 R1 I1 j2
I3 R3
R5 R4
E2 I2 I5 I4 I6 R6
j1 j5 j3
I8 I7
R8 R7
I9 R9
j4
1.1. Расчёт токов во всех ветвях схемы методом узловых потенциалов
Пусть j1 ,j2 ,j3 ,j4 ,j5 – потенциалы (j4 =0),
I1, I2, I3, I4, I5, I6, I7, I8, I9 – токи в соответствующих участках цепи.
![]() |
По 2-му закону Кирхгоффа:
Для данной расчётной схемы составим матрицу, использовав метод узловых потенциалов :
![]() |
Откуда:
Для отдельных участков цепи, согласно 2-му закону Кирхгоффа, запишем:
![]() |
Для узла 1 запишем 1-ый закон Кирхгоффа:
![]() |
Получили:
1.2. Проверка расчёта токов по уравнению баланса мощности
Мощность источника:
Мощность потребителя:
Тогда:
![]() |
Мощность источника отличается от мощности потребителя, на 0 %.
1.3.
Построение потенциальной диаграммы для контура 1-2-3-4
![]() |
j
2 3 4
0 R R
j3 j4
j1 j2
1
1.4. Определение тока в ветви с E 1 методом эквивалентного генератора
![]() |
E1 R1 I1 j2 R3
a b
1 Uxx
E1 R5 R4 R6
j1 I5 j5 j3
j4
R8 R7 R9
![]() |
, где Uxx - напряжение холостого хода, Z_ab - входное сопротивление
По 2-му закону Кирхгоффа для контура 1:
![]() |
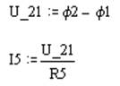
для участка цепи 1-4:
![]() |
j2 – найдём, используя метод узловых потенциалов:
Откуда
![]() |
Тогда для участка цепи 1-2:
Следовательно:
Найдём z_ab :
R3
ab
R5 R4 R6
R8 R7 R9
Треугольник с сопротивлениями R3, R4, R6 преобразуем в треугольник:

![]() |
Z_34
ab
R5
Z_46 Z_36
R7 R9
R8
![]() |
Сопротивления Z_46 и R7, Z_36 и R9 соединены последовательно:
![]() |
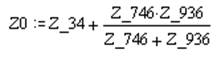
Полученные сопротивления соединены параллельно, а сопротивление Z_34 соединено с ними последовательно:
ab
R5
Z0
R8
![]() |
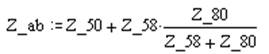
Полученный треугольник с сопротивлениями R5, R8, Z0 преобразуем в звезду:
a b
Z_50
Z_58
Z_80
![]() |
Тогда:
Следовательно, получим:
![]() |
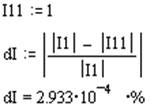
Где I11-ток в цепи с E1, полученный методом узловых потенциалов.
Ток, полученный методом эквивалентного генератора, отличается от тока, полученного методом узловых потенциалов, на 2.933*10-4 %, что вполне допустимо.
2. Расчёт электрической цепи синусоидального тока
Исходные данные :
![]() |


E1 R1 R3
![]() |
|
![]() |
![]() |
R5 R4
![]()
![]()
![]()
![]()
![]()
![]()
E2 XC
R6 XL
![]()
![]()
R8 R7 R9
2.1 Преобразование электрической цепи к 3-х ячеистой схеме.
Сопротивления Z_Lи R6 соединены последовательно, тогда :

E1 R1 R3
R5 R4
![]()
E2 Z_C
Z_6L
R8 R7 R9
Преобразуем звезду с сопротивлениями R3,R9,Z_6L в треугольник :
![]() |
![]()
E1 R1
![]() |
![]() |
R5 R4 Z_01
![]()
![]()
![]()
![]()
E2 Z_C
![]()
![]()
![]()
![]()
Z_03
R8 R7 Z_02
![]() |
Пары сопротивлений R4 с Z_01 и R7 с Z_02 соединены последовательно, следовательно:
E1 R1
![]() |
R5 Z_04
![]()
![]()
E2 Z_C
![]()
![]()
![]()
![]()
![]()
Z_03
R8 Z_05
![]() |
Преобразуем звезду с сопротивлениями Z_C,Z04,Z05 в треугольник :
![]()
E1 R1
![]() |
![]() |
R5 Z_06





E2
![]()
![]()
Z_08
Z_03
R8 Z_07

Пары сопротивлений R5 с Z_06 , R8 с Z_07 , Z_08 с Z_03 соединены последовательно, следовательно:
E1 R1 I1
![]() |
J1 Z1 I3
![]()
![]()
![]()
E2 I4
![]()
![]()
![]()
![]()
J3 Z3
![]()
![]()
![]()
I2 I5
J2 Z2
Получили преобразованную 3-х ячеистую схему
2.2 Определение токов (действующих в ветвях преобразованной схемы) методом контурных токов.

Запишем искомые токи через контурные:
Составим матрицу для контурных токов:
![]() |
![]() |
Найденные токи будут следующие:
![]() |
Абсолютное значение которых, равно:
2.3 Проверка расчёта токов по уравнению баланса мощности
Мощность источника:
![]() |
Мощность потребителя:
Мощность источника отличается от мощности потребителя, на 0.035%, что вполне допустимо.
2.4 Векторная диаграмма токов во всех ветвях преобразованной эл. Схемы
[R]=Ом ; [Z]=Ом; [E]=В; [f]=Гц; [L]=Г; [С]=Ф; [I]=А; [S]=Вт.
![]() |
![]() |
![]() |
| 1_2. Расчет эл. цепи методом эквивалентного генератора |
![]() |
![]() |
| 2. Расчет эл. цепи синусоидального тока |
![]() |
![]() |









































